Форма и движение Земли. План и карта
Реферат на тему:
«ФОРМА И ДВИЖЕНИЕ ЗЕМЛИ. ПЛАН И КАРТА»
Содержание
1. Шарообразность и вращение Земли
2. Измерение времени
3. Ориентирование и измерение расстояний на местности
4. Глобус и градусная сеть
5. Географические карты
Список использованной литературы
1. Шарообразность и вращение Земли
Основоположником учения о том, что Земля – это шар, который свободно, без всякой опоры располагается в космическом пространстве, принято считать выдающегося математика и философа Пифагора, жившего в VI в. до н. э.
Греческие мореплаватели заметили, что те звезды, которые видны в южной части горизонта у берегов Африки, не видны у берегов Черного моря. Следовательно, Земля имеет изогнутую поверхность, и положение горизонта в разных ее местах различно. К тому же было замечено, что при приближении к берегу из-за горизонта сначала появляются верхушки высоких предметов (гор, мачт кораблей и т. п.), затем их средние части, и наконец они становятся видны целиком. Другой выдающийся мыслитель – Аристотель (III в. до н. э.) – сформулировал еще одно доказательство: «Так как лунное затмение происходит от земной тени, то и Земля должна иметь вид шара». Он же предположил, что «объем Земли незначителен в сравнении с небом».
Впервые достаточно точно определил размеры Земли греческий ученый Эратосфен (276–194 до н. э.), живший в Египте. Его идея была довольно проста: измерить длину дуги земного меридиана в линейных единицах и определить, какую часть полной окружности эта дуга составляет. Получив эти данные, можно вычислить длину дуги в 1°, а затем длину окружности и величину ее радиуса, т. е. радиуса земного шара (рис. 1).

Рис. 1. Определение радиуса Земли по методу Эратосфена
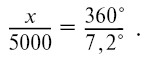
Для этого Эратосфену нужно было знать полуденную высоту Солнца в один и тот же день в двух пунктах. Измерив высоту Солнца в полдень 22 июня в г. Александрии, где он жил, Эратосфен установил, что Солнце отстоит от зенита примерно на 7° (z). От купцов и погонщиков верблюдов, которые водили караваны вдоль Нила, ему было известно, что в этот день в полдень в г. Сиена (ныне Асуан) Солнце освещает дно самых глубоких колодцев, т. е. находится в зените. Следовательно, длина дуги составляет 7,2°, а расстояние между Сиеной и Александрией – около 5000 греческих стадий (800 км).
Обозначив длину окружности земного шара через х, мы получаем выражение:

Откуда следует, что длина окружности земного шара равняется 250 000 стадий (ок. 50 000 км). Если считать 1 стадий равным 160 м, то результат Эратосфена практически не отличается от современных данных, согласно которым длина окружности Земли составляет 40 000 км.
Для измерения длины 1° дуги меридиана и уточнения формы Земли в конце XVIII в. Французская академия наук снарядила сразу две экспедиции. Одна из них работала в Перу, в экваториальных широтах Южной Америки, а другая – вблизи Северного полярного круга на территории Финляндии и Швеции. Оказалось, что длина 1° дуги меридиана на севере больше, чем вблизи экватора. Последующие измерения, проведенные в различных пунктах земного шара, подтвердили, что длина 1° дуги меридиана увеличивается с возрастанием географической широты, т. е. Земля сплюснута у полюсов. Ее экваториальный радиус составляет 6378 км, а полярный на 21 км короче. На школьном глобусе масштаба 1: 50 000 000 эти радиусы отличаются всего на 0,4 мм.
Наиболее точно форму нашей планеты передает фигура, называемая эллипсоидом, у которого любое сечение плоскостью, проходящей через центр Земли, является не окружностью, а эллипсом.
В настоящее время форму Земли принято характеризовать следующими величинами:

Эратосфен не только определил размеры Земли, но и ввел в практику использование терминов «широта» и «долгота».
Сетку параллелей и меридианов, по которой отсчитывают широту и долготу, предложил наносить на рисунках, изображающих Землю, римский географ Марин Тирский в конце I – начале II в. н. э.
Доказательства вращения Земли. Польский астроном Коперник привел ряд убедительных доводов в пользу предположения, что Земля вращается вокруг своей оси и вокруг Солнца, но не смог этого доказать. Доказать вращение Земли оказалось весьма непросто. На основе опыта с маятником это было сделано лишь в 1851 г. Французский физик Леон Фуко использовал свойство маятника сохранять неизменным направление качания независимо от вращения того основания, на котором он находится. Маятник длиной 67 м, подвешенный под куполом парижского Пантеона, имел период колебания 16 с, а масса груза составляла 22 кг. При каждом новом качании маятника его острие прочерчивало на песке, слоем которого был специально для этого опыта покрыт пол здания, новый след. Происходило это потому, что даже за несколько секунд Земля успевала повернуться на небольшой угол, а плоскость качания маятника оставалась неизменной.
Это явление можно смоделировать в лабораторных условиях, если небольшой маятник установить на подставке, которую можно плавно поворачивать.
2. Измерение времени
Все науки, в том числе и астрономия, возникли для удовлетворения тех или иных потребностей человечества. Наблюдая за расположением и движением небесных светил, люди научились определять свое местоположение на Земле, вести счет больших и малых промежутков времени. Не случайно все единицы времени – сутки, месяц, год и даже неделя – связаны с астрономическими явлениями.
Именно потому, что многие из наблюдаемых на небе явлений отличались строгой периодичностью, они и были выбраны в качестве единиц для измерения времени. Причем эти единицы стали использовать еще тогда, когда считалось, что небесная сфера со всеми расположенными на ней «неподвижными» звездами совершает за сутки один оборот вокруг Земли, а Солнце, перемещаясь на фоне звезд, за год один раз обходит вокруг нее. Луна же движется вокруг Земли с периодом обращения один месяц.
В XVII в. Николай Коперник предложил гелиоцентрическую систему мира, согласно которой суточное движение светил вызвано вращением Земли вокруг оси, а те изменения, которые происходят на небе в течение года, связаны с обращением нашей планеты вокруг Солнца.
Местное время. Вращаясь вокруг своей оси, Земля поворачивается за 1 ч на 15°. Местное время зависит от географической долготы. Например, в тот момент, когда в Москве полдень, в пунктах, лежащих на 15° к востоку от нее, уже 13 ч, а в тех, которые на те же 15° западнее, еще только 11 ч. В Санкт-Петербурге, который расположен на 8°45 западнее Москвы, полдень наступает на 35 мин позже.
Всемирным временем (UT>0>) называют местное время начального (нулевого) меридиана, проходящего через Гринвичскую обсерваторию, которая расположена недалеко от Лондона.
Для того чтобы узнать местное время в данном пункте (Т>м>), достаточно знать всемирное время и долготу этого пункта (λ) относительно начального меридиана:
Т>м> = UT>0> + λ.
Местное время любого пункта равно всемирному времени в этот момент плюс долгота данного пункта от начального меридиана, выраженная в часовой мере.
Из того что Земля за 1 ч поворачивается на 15°, следует: 1° соответствует 4 мин, а 1 (угловая минута) – 4 с.
Если бы мы пользовались местным временем, то по мере передвижения на запад или восток приходилось бы непрерывно передвигать стрелки часов. Возникающие при этом неудобства столь очевидны, что в настоящее время практически все население земного шара пользуется поясным временем.
Поясная система счета времени была предложена в 1884 г. Согласно этой системе, весь земной шар был разделен по долготе на 24 часовых пояса (по числу часов в сутках), каждый из которых занимает примерно 15°. По сути, счет времени по этой системе ведется только на 24 основных меридианах, отстоящих друг от друга на 15° по долготе. Время на этих меридианах, которые расположены примерно посередине каждого часового пояса, отличается ровно на 1 ч.
Границы часовых поясов не всегда идут строго по меридианам, а проведены так, как это удобно людям. Москва, например, находится на границе третьего часового пояса. Если бы формально следовали принятому правилу деления на часовые пояса, то граница пояса разделила бы город на две неравные части. Поэтому нередко границы часовых поясов проводят по административным границам областей или других регионов так, чтобы на всей их территории действовало одно и то же время.
В нашей стране поясное время было введено с 1 июля 1919 г. В связи с изменениями, происходящими в социально-экономической жизни, границы часовых поясов неоднократно пересматривались и изменялись (рис. 2).

Рис. 2. Часовые пояса
Местное время основного меридиана данного пояса называется поясным временем. Поясное время, которое принято в конкретном пункте, отличается от всемирного на число часов, равных номеру его часового пояса:
Т = UT>0> + n,
где UT>0> – всемирное время, а n – номер часового пояса.
В целях более рационального распределения электроэнергии, идущей на освещение предприятий и жилых помещений, а также наиболее полного использования дневного света в летние месяцы года во многих странах (в том числе и в России) в конце марта стрелки часов переводят на 1 ч вперед. Это время называют летним. Осенью, в конце сентября, стрелки возвращают на 1 ч назад. Дни, когда эти операции осуществляются, ежегодно устанавливаются по распоряжению правительства.
Линия изменения даты. При переезде из одного часового пояса в соседний стрелки часов нужно передвинуть на 1 ч вперед, если мы движемся на восток, или назад, если – на запад. Среди границ часовых поясов выделена линия изменения даты (линия перемены дат), при пересечении которой, наряду с изменением времени на 1 ч, производится и изменение даты. Она в основном проходит по 180-му меридиану, расположенному между Азией и Америкой.
На корабле, пересекающем линию изменения даты с запада на восток, на следующий день повторяется то же число, а при пересечении этой линии в противоположном направлении 1 сут из счета выбрасываются, т. е. после 3 апреля наступит 5-е.
Календарь. Календарь, которым мы пользуемся в настоящее время, создан в результате длительных поисков, на протяжении истории человечества их существовало более 200.
Уже на первом этапе развития цивилизации некоторые народы стали пользоваться лунными календарями. В этих календарях чередовались месяцы продолжительностью 29 и 30 сут. Началом месяца всегда считалось новолуние. Но от одного новолуния до следующего проходит примерно 29 1/>2> сут – такова периодичность смены фаз Луны, связанная с ее обращением вокруг Земли. При таком календаре продолжительность года из 12 «лунных» месяцев составляет всего 354 дня.
В солнечном календаре за основу берется продолжительность тропического года, т. е. промежуток времени между двумя последовательными прохождениями центра Солнца через точку весеннего равноденствия. Тропический год составляет 365 сут 5 ч 48 мин 46,1 с. Поскольку число суток в году не может быть дробным, во всех календарях условно приняли, что год содержит 365 сут, а каждый четвертый (високосный) год – на 1 сут больше (5 ч 48 мин 46,1 с х 4 г ~ 24 ч).
В Древнем Египте в V тыс. до н. э. был введен календарь, который был согласован со сменой времен года и состоял из 12 месяцев по 30 дней в каждом и дополнительных 5 дней в конце года. Такой календарь давал ежегодно отставание в 1/>4 >сут, или 1 год за 1460 лет.
Непосредственный предшественник современного календаря был разработан в Древнем Риме по приказу императора Юлия Цезаря и потому получил название юлианского календаря. Год, согласно этому календарю, состоял из 12 месяцев, содержащих 365 или 366 сут. Лишние сутки добавлялись каждые четыре года, такие года получили название високосных.
С учетом високосных лет продолжительность года по юлианскому календарю отличалась от продолжительности тропического года всего на 11 мин 14 с, что давало ошибку в 1 сут за 128 лет или 3 сут примерно за 400 лет. Юлианский календарь был принят в качестве христианского в 325 г. н. э., и ко второй половине XVI в. расхождение достигло уже 10 сут.
Для того чтобы исправить положение дел, папа римский Григорий XIII в 1582 г. ввел так называемый новый стиль – григорианский календарь.
Год по григорианскому календарю оказывается в среднем на полминуты длиннее тропического, так что расхождение за 400 лет составляет всего 2 ч 53 мин, или сутки за 3300 лет.
Решено было, чтобы уменьшить отличие календарного года от тропического, каждые 400 лет выбрасывать из счета 3 сут путем сокращения числа високосных лет. Простыми, не високосными условились считать все годы столетий, за исключением тех, у которых число столетий делится на 4 без остатка. Високосными считались 1600 г. и закончивший XX в. 2000 г. В то же время 1700, 1800 и 1900 гг. были простыми.
В России новый стиль был введен только с 1 февраля 1918 г. К этому времени между ним и старым стилем накопилась разница в 13 дней. Эта разница сохранится до 2100 г., который по старому стилю должен был бы считаться високосным, а по новому – простым. Различие между старым и новым стилем обычно указывается, когда мы имеем дело с событиями, относящимися к прошлому. Так, например, мы говорим, что К. Э. Циолковский родился 5(17) сентября 1857 г.
Нумерация лет как по новому, так и по старому стилю ведется от года Рождества Христова. В России новая эра была введена указом Петра I, согласно которому после 31 декабря 7208 г. «от сотворения мира» наступило 1 января 1700 г.
3. Ориентирование и измерение расстояний на местности
Видимую часть земной поверхности – круг, в центре которого находится наблюдатель, называют горизонтом. Линия, по которой небо соприкасается с землей, – это линия горизонта. На открытой местности линия горизонта кажется наблюдателю окружностью, в центре которой он находится, а на закрытой – замкнутой кривой, обходящей видимые препятствия.
Сориентироваться на местности – это значит найти основные и промежуточные стороны горизонта: север, запад, северо-запад и т. д.
Известно много способов определения сторон горизонта: по солнцу, Полярной звезде и др. В полдень солнце находится на юге, поэтому тень, отбрасываемая предметами, – полуденная линия и указывает направление местного меридиана. Если в это время встать спиной к солнцу, а лицом по направлению к тени, то впереди будет север, сзади – юг, слева – запад и т. д.
Определить страны света можно и по ручным часам с циферблатом (рис. 3). Для этого часы кладут на ладонь так, чтобы часовая стрелка указывала на то место горизонта, над которым находится солнце. Если угол между часовой стрелкой и направлением на цифру 1 разделить пополам, то эта биссектриса покажет направление север – юг.

Рис. 3. Определение сторон горизонта по солнцу и часам
Для того чтобы определить стороны горизонта ночью, надо отыскать на звездном небе Полярную звезду, она всегда находится на севере (рис. 4). Менее надежно ориентирование по форме крон одиноко стоящих деревьев, годичным кольцам на пнях, расположению муравейников и т. д.

Рис. 4. Определение местоположения Полярной звезды на небосводе
Достаточно надежно можно ориентироваться в лесу по квартальным столбам и просекам. Квартальные просеки всегда проходят в направлении север – юг, запад – восток.
Быстрее, проще и надежнее всего ориентироваться по компасу. Для этого надо компас положить горизонтально и совместить северный конец магнитной стрелки с буквой «С» или цифрой «0» на месте. В этом положении стрелка компаса покрывает направление местного меридиана. При этом необходимо проследить, чтобы рядом с компасом не оказалось металлических, железных, стальных или чугунных предметов, иначе показания могут быть искажены.
С помощью компаса осуществляется передвижение по азимуту на местности (рис. 5).

Рис. 5. Определение азимута по компасу
Азимут – это угол между направлением на север и направлением на заданный объект.
В повседневной жизни человеку иногда приходится не только ориентироваться на местности, но и определять расстояния между различными точками. Есть много способов определения расстояний: на глаз, шагами, шаговым циркулем, с помощью веревки, рулетки, мерной ниткой и т. д.
Для того чтобы определять расстояния на глаз, необходимо постоянно в этом тренироваться, и все равно ошибка в определении будет очень велика. При определении расстояния дальномером (рис. 6) надо знать высоту или длину предмета, расстояние до которого мы хотим узнать. Для этого берут дальномер или обычную линейку и, держа их на вытянутой руке, определяют, сколько делений закрывает предмет. Далее, зная количество делений на линейке, длину руки и высоту предмета, вычисляют расстояние.

Рис. 6. Определение расстояния с помощью простейшего дальномера
Чтобы измерить расстояние шагами, надо знать длину шага, которую определяют так: отмеряют определенное расстояние, обычно 100 м, и несколько раз его проходят, считая шаги. Затем вычисляют среднее число шагов.
Нередко, например, при составлении чертежей местности измеренные расстояния и направления на предметы приходится наносить на лист бумаги. Для этого расстояние уменьшают с помощью масштаба. Масштаб показывает, во сколько раз реальное расстояние уменьшено на чертеже.
Различают три вида масштабов: численный, именованный и линейный.
Численный масштаб всегда записывается в виде отношения 1: 100, 1: 10 000, 1: 30 000 и т. д., он показывает, сколько сантиметров на местности соответствует 1 см на чертеже.
Для большей наглядности численный масштаб переводят в именованный, в данном случае это: в 1 см – 1 м, в 1 см – 100 м, в 1 см – 300 м.
Линейный масштаб представляет собой прямую линию, на которую нанесены сантиметровые и миллиметровые деления. Пользуясь этим масштабом, можно мгновенно измерять расстояние между объектами, нанесенными на план местности (рис. 7).

Рис. 7. Численный, именованный и линейный масштабы
Для планов местности характерны следующие признаки: направление север – юг показано стрелкой, чаще всего это направление совпадает с обрезом листа (т. е. сверху вниз); масштаб плана везде одинаков; предметы наносят условными знаками; на плане нет координатной сетки.
4. Глобус и градусная сеть
Глобус – уменьшенная модель земного шара. Он наглядно демонстрирует шарообразность Земли и дает правильное представление о положении на земном шаре полюсов и экватора, меридианов и параллелей, а также морей, материков и океанов, островов и крупных форм рельефа. Изображение Земли на глобусе равно-масштабно – линейные размеры объектов земной поверхности даются на нем с одинаковым уменьшением. Изображение также равноугольно (очертания фигур на глобусе подобны действительным очертаниям на земной поверхности) и равновелико (площади всех объектов, показанных на глобусе, пропорциональны их действительным площадям на земном шаре).
Первым глобусом считают глобус, изготовленный немецким географом М. Бехаймом в 1492 г. Теперь он хранится в музее в Нюрнберге. В XVII и XVIII вв. глобусами пользовались на судах дальнего плавания, где они заменяли карты.
Наряду с достоинствами у глобуса имеется существенный недостаток: он изготовляется только в мелком масштабе. Глобус такого масштаба, в котором обычно составляют стенную карту России, имел бы диаметр, равный 2,55 м. Пользоваться таким глобусом было бы неудобно.
На глобусе нанесены меридианы и параллели.
Меридианы – это линии на глобусе и картах, соединяющие полюса. Поэтому каждый меридиан составляет половину окружности земного шара, а все они имеют одинаковую длину. Меридианов можно провести бесчисленное множество. Начальный (нулевой) меридиан проходит через Гринвичскую обсерваторию около Лондона. От него счет ведется на восток и запад до 180°, где проходит граница Западного и Восточного полушарий.
Параллели на глобусе наносятся параллельно экватору.
Экватор – это линия пересечения земной поверхности с плоскостью, проходящей через центр Земли перпендикулярно ее оси и делящей земной шар на два полушария: Северное и Южное.
Параллелей, как и меридианов, можно провести бесчисленное множество. Параллели, в отличие от меридианов, имеют разную длину, которая постепенно уменьшается к полюсам. Так, самая длинная параллель – экватор – имеет длину 40075,7 км, параллель 30° – 30056,8 км, параллель 60° – 20037,8 км.
Меридианы и параллели, нанесенные на глобус и карту, составляют градусную сеть. По ней определяют точное положение каждого пункта на Земле, для чего вводят понятия «долгота» и «широта».
Под географической долготой понимают угол между плоскостью начального меридиана и плоскостью меридиана данного пункта.
Долготу выражают в градусах от начального меридиана: к востоку от него долгота восточная, к западу – западная. Поскольку счет ведется от начального меридиана, долгота может быть от 0 до 180°.
Географическая широта точки – это угол между плоскостью экватора и отвесной линией в данном месте.
Она также измеряется в градусах, причем отсчет ведется от экватора к северу и к югу (от 0 до 90°), соответственно широты могут быть северными и южными. Расстояние от экватора до полюса – это четверть окружности земного шара (90°), а длина дуги меридиана в 1° составит 111 км, увеличиваясь от экватора к полюсам (вследствие сплюснутости Земли). Длина дуги параллели в 1° у экватора составляет 110,6 км, а в районе Полярного круга – 111,7 км.
Географические координаты любой точки на Земле можно точно определить, вычислив ее широту и долготу.
Широту в Северном полушарии можно определить по высоте Полярной звезды. Полярная звезда находится около полюса мира, не совпадая с ним на 55 . Таким образом, на Северном полюсе она находится почти вертикально над головой, т. е. под углом 90°. При удалении от полюса высота Полярной звезды уменьшается, на экваторе ее уже не видно. Высоту Полярной звезды можно приблизительно определить при помощи транспортира с отвесом, величина этого угла соответствует широте местности.
Географическую долготу можно узнать путем определения разницы во времени. Как вы уже знаете (см. § 11), полный оборот вокруг оси Земля совершает в течение 24 ч, проходя за это время путь в 360°, т. е. за 1 ч она поворачивается на 15°, а на 1° – за 4 мин. Зная время на нулевом меридиане и местное время, можно определить их разницу, а по этой разнице – долготу. Например, если в 16 ч 30 мин по местному времени на нулевом меридиане 12 ч, разница будет 4 ч 30 мин, это составит 270 мин. Разделим 270: 4 = 67°30. Следовательно, долгота нашего пункта 67°30 .
5. Географические карты
В повседневной жизни более удобно пользоваться не глобусом, а картами.
Географическая карта – это уменьшенное и обобщенное изображение на плоскости земной поверхности, географические объекты которой переданы условными знаками.
Карты необходимы для изучения земной поверхности, а также природных и общественных объектов.
Географические карты классифицируются по содержанию, территориальному охвату, масштабу, назначению.
По территориальному признаку карты делят на: мировые, океанов и морей, материков и их крупных частей, государств, областей, районов.
По масштабу географические карты делят на: крупномасштабные, построенные в масштабах крупнее 1:200 000; мелкомасштабные, построенные в масштабах мельче 1:1 000 000; среднемасштабные, построенные в масштабах от 1:200 000 до 1:1 000 000 включительно.
Наиболее распространены общегеографические карты, отображающие формы рельефа и естественный покров земной поверхности, гидрографию, населенные пункты, пути сообщения, границы.
Прочие географические карты называют тематическими. На них более подробно показаны какие-либо элементы, входящие в содержание общегеографической карты, например рельеф, пути сообщения, или изображены климатические пояса, давление воздуха, расселение животных и т. п., отсутствующие на общегеографической карте.
По назначению выделяют карты учебные, туристские, справочные и др.
Географические карты составляют, используя результаты съемок местности (топографические, геологические) либо посредством обработки и синтеза разнообразных источников.
У крупномасштабных топографических карт масштаб сохраняется неизменным во всех частях карты. Рельеф на этих картах показан при помощи горизонталей – линий, соединяющих точки, лежащие на одной и той же высоте над уровнем моря.
На мелкомасштабных картах при этом неизбежно возникают искажения площадей (размеров), углов (очертаний) и длин (расстояний), поскольку поверхность шара нельзя развернуть на плоскости без разрывов. Для того чтобы составлять мелкомасштабные карты, применяют картографические проекции.
Картографическая проекция – это способ развертки на плоскости поверхности земного шара при составлении карт.
В зависимости от характера искажений проекции разделяют на: равноугольные, при использовании которых сохраняется правильность очертаний изображаемых объектов (материков, океанов, морей), но сильно искажаются размеры площадей; равноплощадные, когда сохранены правильные размеры площадей, но искажены очертания; произвольные, искажающие углы (формы) и площади. Выбор проекции определяется положением и размерами изображаемой территории, содержанием карты и ее назначением.
Например, при составлении политической карты Западной Европы нужно подобрать такую проекцию, которая бы не искажала площади, чтобы, глядя на карту, можно было сравнивать по территории отдельные государства.
В зависимости от способа переноса градусной сети с глобуса на карту различают четыре вида картографических проекций (рис. 8): цилиндрические, азимутальные, конические и произвольные, или условные.

Рис. 8. Построение цилиндрической (1), конической (2) и азимутальных (3) проекций
При цилиндрической проекции на глобус надевают цилиндр, на внутреннюю сторону которого наносят градусную сеть с географическими объектами. Если цилиндр развернуть, то меридианы и параллели образуют сеть прямоугольников. С наименьшими искажениями будет нанесена та территория, которая непосредственно соприкасалась со стенкой цилиндра. Если соединить эти точки, образуется линия нулевых искажений, а чем дальше от нее, тем искажения больше.
Конические проекции строят при помощи конуса. Конус надевают на глобус и на его внутреннюю стенку проектируют градусную сеть со всеми географическими объектами.
В конической проекции часто изображают материки, отдельные государства. В этой же проекции обычно составляют учебные карты России. Углы и площади на таких картах искажены незначительно. Масштаб карты остается неизменным по одной параллели, где проходит нулевая линия искажения, а к северу и к югу от этой линии масштаб меняется, соответственно искажения увеличиваются.
Азимутальными называют такие проекции, когда градусная сеть переносится с глобуса на плоскость непосредственно, без использования промежуточных фигур, т. е. цилиндра или конуса. Эти проекции чаще всего используют при составлении карт полушарий, Арктики и Антарктики.
Если градусную сеть спроектировать на две плоскости, касающиеся глобуса в противоположных точках, то получится карта полушарий, изготовленная в азимутальной экваториальной проекции. Карта в этой проекции сильно искажает очертания и расстояния. Параллели на этой карте непараллельны друг другу и экватору, а длина среднего меридиана в 1,5 раза меньше западного или восточного.
Если плоскость поместить к полюсу и нанести на нее градусную сеть, то параллели будут выглядеть как концентрические окружности, а меридианы – прямые линии, расходящиеся от полюса. Эта проекция получила название азимутальной полярной. На картах, изготовленных в этой проекции, очертания объектов сильно искажены.
Существует ряд других картографических проекций (рис. 9), используемых, например, для создания карт больших территорий и др.

Рис. 9. Некоторые другие картографические проекции: 4 – поликоническая (применяется для изображения материков); 5 – проекция с разрывами (имеет малые искажения в пределах материков); 6 – псевдоцилиндрическая (удобна для изображения океанов); 7 – условная овальная (для Атлантического и Северного Ледовитого океанов); 8 – косая азимутальная (для карты Азии с сопредельными районами); 9 – косая перспективно-цилиндрическая (для карты России)
Список использованной литературы
1. Аруцев А.А., Ермолаев Б.В., Кутателадзе И.О., Слуцкий М. Концепции современного естествознания. С учебное пособие. М. 1999
2. Петросова Р.А., Голов В.П., Сивоглазов В.И., Страут Е.К. Естествознание и основы экологии. Учебное пособие для средних педагогических учебных заведений. М.: Дрофа, 2007, 303 стр.
3. Савченко В.Н., Смагин В.П.. Начала современного естествознания. Концепции и принципы. Учебное пособие. Ростов-на-Дону. 2006.