Векселя. Коносамент

Федеральное агентство по образованию

ГОУ ВПО "Сибирский государственный технологический университет"

Лесосибирский филиал

Кафедра экономики природопользования и охраны окружающей среды

КОНТРОЛЬНАЯ РАБОТА

ПО ДИСЦИПЛИНЕ РЫНОК ЦЕННЫХ БУМАГ

Векселя. Коносамент

Пояснительная записка

(ЭПООС 000000.006)

Руководитель:

__________________С.А. Евсеева

(подпись)

Разработал:

студент группы 83-1

________________И.С. Малыхин

(подпись)

Лесосибирск 2007

Содержание

Введение

1. Теоретическая часть

1.1 Векселя

1.2 Коносамент

2. Практическая часть

2.1 Решение задачи по теме "Акции"

2.2 Решение задачи по теме "Облигации"

2.3 Решение задачи по теме "Векселя"

Заключение

Библиографический список

Введение

Ценные бумаги - это форма существования капитала, отличная от его товарной и денежной форм, которая может приносить доход. В современных экономических условиях рынок ценных бумаг имеет не меньшее значение, чем товарный или валютный рынок. Грамотное вложение средств в ценные бумаги может стать надежным источником получения стабильного дохода. Это обусловлено тем, что ценные бумаги обладают рядом специфических признаков. Прежде всего, ценные бумаги представляют собой документы, удостоверяющие право в форме титула собственности или имущественное право, как отношение займовладельца документа к лицу, его выпустившему. Иными словами, ценные бумаги выступают в качестве документов, свидетельствующих об инвестировании средств. Кроме того, ценные бумаги имеют свойство приносить доход, обладают свойствами ликвидности и обращаемости, носят рыночный характер, выпускаются, как правила, в серийном порядке, в то же время, ценным бумагам свойственна рискованность - степень рискованности ценных бумаг находится в прямой зависимости от дохода, который они приносят. Ценные бумаги признаются государством как элемент рыночных отношений, и их обращение может подвергаться регулированию посредством определенного комплекса мер, установленного в законном порядке. Говоря о мировом рынке ценных бумаг, необходимо отметить, что участие в настоящих рыночных отношениях является неотъемлемым признаком высокой степени экономического развития государства, выступающего в качестве субъекта этих отношений.

1. Теоретическая часть

1.1 Векселя

Вексель - это ценная бумага строго установленной законом формы, удостоверяющая безусловное денежное обязательство векселедателя уплатить в указанный срок определенную денежную сумму владельцу векселя (векселедержателю).

Предметом вексельного обращения могут быть только деньги. Векселя имеют право выпускать физические и юридические лица. Вексель выписывается на специальных бланках (гербовой бумаге) и имеет определенный набор реквизитов: вексельную метку, вексельную сумму, наименование и адрес плательщика (для переводного), срок и место платежа, наименование получателя платежа, указание места и даты составления, подпись векселедателя.

В зависимости от условий возникновения долга и выполняемых функций различают следующие виды векселей:

коммерческие векселя - основаны на реальной сделке купли-продажи товаров в кредит, выдача их влечет отсрочку платежа;

финансовые векселя - являются непосредственным следствием договора займа, когда одна сторона получает от другой некоторую сумму денег, выдавая взамен вексель. Разновидностью служат казначейские векселя и банковские векселя, плательщиком по которому выступает банк;

обеспечительные векселя - используются в качестве обеспечения своевременности и точности исполнения обязательства по какой-либо другой сделке.

По типу или форме составления векселя делятся:

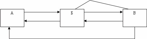
простые векселя (соло вексель) - простое ничем не обусловленное обязательство векселедателя уплатить по наступлении срока конкретную сумму векселедержателю. Рассмотрим схему обращения простого векселя. Предприятие А в оплату продукции (услуг), кредита выписало предприятию Б вексель. Этот вексель может быть передан фирмой Б в оплату долга перед другой организацией В. По простому векселю (соло) плательщиком сколько бы не передавался вексель, всегда является его векселедатель - предприятие А (рисунок 1.1)

5

Векселедержатели

Плательщик вексель вексель

Товар (кредит) Товар ( кредит)

Предъявление векселя

Рисунок 1.1 - Схема обращения простого векселя.

переводные векселя (тратта) - письменный документ, содержащий приказ векселедателя, адресованный плательщику - должнику, уплатить деньги (в определенный срок и в определенном месте) получателю-держателю векселя. Это документ регулирующий вексельные отношения трех сторон:

1) кредитора - выдающий вексель (трассанта);

2) должника - плательщика, которому векселедержатель предлагает произвести платеж (трассата);

3) получателя платежа - первый приобретатель, получающий вместе с векселем право требовать и платеж по нему (ремитента). Рассмотрим схему обращения переводного векселя. Переводной вексель (тратта) - регулирует отношения трех сторон векселедателя (трассанта) А, плательщика (трассата) В, получателя платежа (ремитента) Б. Предприятие А получает от Б определенные материалы для производства продукции, которую реализует другому предприятию В. Для оплаты долга перед Б фирма А выписывает (трассирует) переводной вексель, где указывается, что плательщиком по нему является фирма В. В случае согласия предприятия Б принять такой вексель, сумма долга предприятия А считается погашенной. Фирма Б предъявляет предприятию В вексель для акцепта. При акцепте предприятием В данного векселя оно становится прямым должником (плательщиком).

вексель

Товар

Товар (кредит)

Предъявление векселя к

оплате

Плательщик

Рисунок 1.2 - Схема обращения переводного векселя.

А

6

кцепт - согласие должника оплатить по векселю лицу, предъявившему его к оплате. Акцептант по переводному векселю обязан так же, как векселедатель по простому.

В процессе обращения вексель передается от одного владельца другому посредством специальной надписи - индоссамента на оборотной стороне векселя или аллонже - дополнительном листе к векселю. Индоссамент выражается словами "платите по приказу" или "платите вместо нас". Лицо, передающее вексель, называется индоссантом, получающее - индоссатом. При неоплате должником требование может быть предъявлено к любому из индоссантов. Индоссаменты, содержащие наименование индоссанта, являются именными. В отличие от именного, бланковый индоссамент не содержит указания получателя векселя, т.е. является предъявительским. Если вексель передается в залог выданного кредита, то он сопровождается оговоркой "валюта в залог" и оформляется залоговый индоссамент.

Все передаточные и прочие надписи на векселе оформляются в пределах установленного срока платежа. Существуют следующие способы определения времени платежа:

Срок на определенный день (конкретную дату);

Срок по предъявлении - подлежит оплате в день предъявления векселя;

Через определенное время от составления (через столько-то дней, месяцев или на начало/конец такого-то месяца);

Через определенное время от предъявления векселя.

Платеж по акцептованному векселю может быть дополнительно гарантирован третьим лицом (обычно банком) посредством выдачи поручительства - аваля. Аваль оформляется специальной надписью авалиста на лицевой стороне векселя или аллонже. Авалист несет солидарную ответственность с плательщиком за платеж. При оплате векселя авалистом, к нему переходит право требования уплаты вексельной суммы ко всем предыдущим индоссантам, включая того, за кого выдано поручительство.

Часто посредниками в поведении вексельных расчетов между предприятиями выступают банки. Если банк уполномочен получить платеж по векселю, то такая операция называется инкассированием (индоссамент имеет вид "на инкассо"). Если в задачу банка входит оплата векселей клиентов - это домициляция векселей.

Все большим спросом в системе денежно-кредитных отношений пользуются банковские векселя двух видов: кредитные векселя и доходные (дисконтные) векселя, плательщиками по которым выступает банк.

В свою очередь и простые и переводные векселя делятся:

процентные - на сумму векселя начисляются проценты;

дисконтные - выписываются или продаются с дисконтом;

Банковский вексель - одностороннее, ничем не обусловленное обязательство банка - эмитента векселя уплатить векселедержателю указанную в векселе сумму в установленный срок. Они делятся: процентные и дисконтные. Процентные продаются по номиналу, а при представлении векселя к погашению векселедержателю выплачивается номинал, а также проценты по нему. Дисконтные векселя продаются ниже номинала (со скидкой-дисконтом). Такие векселя определенно срочные, при продаже банк оговаривает срок погашения такого векселя. Все большим спросом в системе денежно-кредитных отношений пользуются банковские векселя двух видов: кредитные векселя и доходные (дисконтные) векселя, плательщиками по которым выступает банк:

к

7

редитные векселя - применяются для предоставления кредита (вексельный кредит) - процедура оформления кредита обычная, но вместо денежных средств клиент получает вексель с определенной датой погашения. Процентная ставка по данному кредиту значительно ниже обычной кредитной ставки. Сумма процентов по вексельному кредиту определяется по формуле

, (1.1)

где - сумма процентов за вексельный кредит, руб.;

- вексельная сумма, руб.;

- кредитная ставка, %;

- срок обращения векселя, дни или месяцы;

- календарный фонд времени, дни или месяцы.

доходные (дисконтные) векселя - оформление векселя похоже на депозитный вклад, отличие от депозитного вклада состоит в том, что вексель можно продать, перепродать, расплатиться им. Величина дисконтной скидки определяется, исходя из депозитной ставки банка по формуле

, (1.2)

где - дисконтная скидка по векселю, руб.;

- депозитная ставка, %;

Тогда цена размещения векселя определяется по формуле

, (1.3)

где - цена размещения векселя, руб.

Максимальный срок обращения векселя - 361 день, срок обращения коммерческого векселя в российской практике - 6 месяцев (не более 180 дней). Оплата (погашение) векселей осуществляется по номинальной стоимости. Коммерческие банки практикуют различные операции с векселями сторонних эмитентов. Все операции банка с векселями можно разделить на 2 класса:

к

8

редитные операции - цель - получение денег до срока наступления платежа по векселям

комиссионные операции - нацеленные на наиболее удобное получение платежа по векселю по месту нахождения банка.

В соответствии с действующим законодательством коммерческие банки могут предоставлять своим клиентам вексельные кредиты в форме:

учета векселей (дисконтирования векселей) - коммерческий банк превращается в векселедержателя;

специального ссудного счета под векселя (онкольного счета);

форфейтинга (кредитования внешнеторговых сделок).

Комиссионные операции с векселями проводятся банком в форме:

инкассирования векселей - получение банком платежа по векселю;

домициляции векселей - оплата банком векселя клиента;

авалирования векселей - банк выступает гарантом по векселю;

акцепта векселей.

Сумма дисконта векселя (процентный платеж) при учете векселей определяется по формуле

, (1.4)

где - сумма дисконта векселя, руб.;

- число дней с момента дисконтирования до даты погашения векселя (срок до наступления платежа по векселю);

- годовая учетная ставка, %.

Срок до наступления платежа по векселю определяется по формуле

, (1.5)

где - срок платежа по векселю, дни;

- момент сдачи векселя на учет, дни.

Дисконтированная величина векселя определяется по формуле

, (1.6)

Д

9

ля портфеля векселей иногда требуется определить средний срок платежа, который определяется по формуле

, (1.7)

где - сумма дисконтных чисел (для всех векселей);

- общая сумма векселей, руб.

Учет векселя - это покупка векселя до наступления срока платежа по нему. Поскольку денежные средства обычно сосредоточены у банка, постольку покупателем векселей чаще всего выступают банки.

Инвестор может досрочно обменять свой вексель на деньги, как правило, в банке, но на меньшую сумму денег, чем та, которую ему должен вернуть эмитент (т.е. должник по векселю). Поскольку вексель есть форма денег, постольку его, как и чек, нельзя купить-продать. Досрочный обмен векселя на деньги внешне представляется его куплей-продажей, так как последняя является по форме обменом векселя на деньги. На самом деле этот обмен всегда есть только кредитное отношение, потому что тот, кто "покупает" вексель за деньги, через установленный срок снова получит их при погашении векселя. Покупатель векселя есть всегда кредитор, который дает кредит, а затем получает его обратно с процентами от плательщика по векселю. Продавец векселя, который получает деньги за вексель, например от банка, на самом деле не продает его, а лишь возвращает (частично) ту ссуду, которую он дал эмитенту. Таким образом, и покупатель векселя, и его продавец в сделке купли-продажи векселя являются сторонами кредитного отношения, но только не одного и того же, а двух разных, но замыкающихся на эмитенте векселя.

Учет векселя состоит в том, что векселедержатель, нуждающийся в деньгах, передает (продает) вексель банку по индоссаменту до наступления срока платежа по нему и получает за это вексельную сумму за вычетом, внешне как бы за досрочное получение денег, определенного процента от этой суммы, называемого учетным процентом или дисконтом банка. Размер учетного процента устанавливается самим банком в зависимости от платежеспособности векселедержателя, представившего вексель к учету, и рассчитывается по формуле

Д = N t r/100 T, (1.8)

где Д - дисконт;

N - номинал векселя;

t - время, оставшееся до погашения векселя, дни;

r - учетная процентная ставка банка;

Т - годовой период (360 дней).

П

10

отребность в учете векселя возникает в случае, если его держатель нуждается в деньгах и не может использовать вместо них имеющийся у него вексель в качестве средства платежа (платежей), а срок получения денег по векселю еще не наступил. Досрочное предъявление векселя к оплате, хотя и возможно, не дает ему никаких шансов, если плательщик не пожелает досрочно расплатиться по векселю (нет денег или по иным причинам). Единственное место на рынке, где, как правило, можно занять деньги, - это банк, назначение которого и состоит в торговле деньгами, а не товарами. Получая по индоссаменту вексель, банк может взамен передать только деньги, в которых и нуждается векселедержатель.

Для банка учет векселя есть обычная кредитная сделка. Внешне кажется, что банк дает ссуду векселедержателю под учетный процент с принятием от него в качестве залога предоставляемого им векселя. На самом деле векселедержатель путем индоссамента лишь уступает свои права по векселю банку, а потому должником по банковской ссуде является плательщик векселя. В этом кроется экономическая причина того, почему учетный процент вычитается из вексельной суммы, а не начисляется на нее, как это имеет место при обычном кредитовании. Сумма возвращаемого кредита банку уже зафиксирована размером вексельной суммы, а потому банк может получить свою плату за кредит не сверх его величины, а только путем вычета из вексельной суммы. При наступлении срока платежа по векселю его плательщик, возвращая вексельную сумму банку, возвращает как денежную сумму, за которую банк "купил" вексель у его держателя, так и учетный (банковский) процент, под который банк ссужает деньги своим клиентам.

Продажа ранее купленного банком векселя либо другому банку, либо центральному банку страны называется переучетом векселя. Такого рода операции имеют место в случае, когда у самого банка возникает потребность в дополнительных денежных средствах. Переучет векселя осуществляется в том же порядке, что и учет векселя.

1.2 Коносамент

Определение. Коносамент - это ценная бумага, удостоверяющая заключение договора перевозки груза (ст.785 ГК РФ).

Коносамент представляет собой "товарную" разновидность транспортной накладной по аналогии с тем, что складское свидетельство есть складская расписка в форме товара. Коносамент является товарной ценной бумагой.

Основные характеристики. При перевозке товара, также как и в процессе его хранения, имеет место временное отчуждение товара от его владельца, что означает наличие ссудного отношения, но не в форме отношения кредитования. Поэтому характеристики коносамента аналогичны характеристикам складского свидетельства и соответственно отличны от характеристик доходных долговых ценных бумаг. Коносамент есть ценная бумага:

д

11

олговая;

неэмиссионная;

бездоходная;

документарная;

срочная - срок существования данной ценной бумаги зависит от времени транспортировки товара;

предъявительская или именная в зависимости от вида складского свидетельства;

номинированная - в качестве номинала коносамента, как и складского свидетельства, выступает не денежная сумма, а только натуральное количество перевозимого товара;

предъявительская, именная или ордерная.

Порядок выпуска. Коносамент выдается грузоперевозчиком. Он активно используется при перевозке грузов в международном сообщении и представляет собой ценную бумагу, которая удостоверяет его погрузку, перевозку и право на получение, т.е. в конечном счете право владения перевозимым грузом.

К коносаменту обязательно прилагается страховой полис на перевозимый груз. Кроме того, выдача коносамента может сопровождаться выпиской каких-то дополнительных документов, связанных с перевозкой груза, его хранением и сохранностью, которые в том числе необходимы для прохождения таможенных процедур и т.д.

Коносамент является документом, в котором не возможны никакие изменения.

Обычные реквизиты коносамента:

наименование судна;

наименование фирмы-перевозчика;

место приема груза;

наименование отправителя груза;

наименование получателя груза;

наименование груза и его главные характеристики;

время и место выдачи коносамента;

подпись капитана судна.

Можно выделить следующие виды коносаментов (табл.1.1).

Различают коносаменты именной, ордерный, на предъявителя. Именной - коносамент, составленный на имя определенного грузополучателя. По именному коносаменту груз передается в порту назначения тому получателю, который указан в коносаменте. Ордерный - коносамент, по которому груз передается либо приказу (т.е. по приказу) грузоотправителя, либо приказу грузополучателя, либо приказу банка, либо по передаточной надписи того, чьему приказу он составлен. Коносамент на предъявителя - коносамент, который передается в обмен на груз путем простого вручения.

Т

12

аблица 1.1 - Классификация коносаментов

Классификационный признак

Виды коносамента

1. Порядок владения

Именной

На предъявителя

Ордерный

2. Место расположения груза

Бортовой

Береговой

3. Наличие страхового полиса

Застрахованный

Незастрахованный

4. Особенность перевозки

Линейный

Чартерный

5. Наличие оговорок о повреждении груза

Коносамент с оговорками

Чистый коносамент

6. Возможность распоряжаться товарами

Оборотные

Необоротные

Ордерные и предъявительские коносаменты являются оборотными. Это дает право их держателю распоряжаться товарами, пока они находятся в пути, или заложить коносамент в банк до прибытия товара. Необоротные коносаменты предполагают, что получатель сам примет товары по прибытии судна.

В зависимости от наличия оговорок о претензиях у перевозчика к количеству и качеству принятого к перевозке груза или его упаковки различают коносаменты чистые и с оговорками. Коносамент с оговорками - коносамент, в котором сделаны отметки о повреждении груза или упаковки. Чистый коносамент - коносамент, который не содержит каких-либо оговорок или пометок, констатирующих дефектное состояние груза или его упаковки.

В зависимости от того, где находится груз, коносаменты бывают береговые и бортовые. Бортовой - коносамент, удостоверяющий, что принятые к перевозке грузы погружены на судно. Береговой - коносамент на груз, принятый для погрузки в порту в ожидании еще не прибывшего судна.

В зависимости от особенностей перевозки различают: линейный и чартерный коносамент. Линейный - коносамент, выдаваемый судоходной компанией и покрывающий перевозку на судах, курсирующих по регулярным маршрутам в соответствии с установленным и опубликованным расписанием, для которой в порту назначения имеется зарезервированный причал. Чартерный - коносамент, который применяется в трамповых (нерегулярных) перевозках.

Прямой коносамент - коносамент, покрывающий перевозку груза между непосредственными портами погрузки и выгрузки на одном и том же судне. Сквозной - коносамент, предусматривающий перевалку груза на другое судно в промежуточном пункте и покрывающий всю перевозку груза от порта погрузки до места конечного назначения.

В

13

зависимости от того, включает ли в себя коносамент страховой полис, выделяют застрахованный коносамент. Застрахованный коносамент представляет собой сочетание транспортного документа со страховым полисом и служит доказательством как приема груза к перевозке, так и его страхования.

Обращение. Коносамент может свободно передаваться между заинтересованными участниками рынка, поскольку он обслуживает обращение товара во время его перевозки.

Цена коносамента. Как и в случае со складским свидетельством, цена коносамента полностью определяется стоимостью перевозимого груза и затратами на его перевозку.

2. Практическая часть

2.1 Решение задачи по теме "Акции"

Задача: Инвестор приобрёл акции номиналом 1 руб. с ажио 0,5 руб. Ставка дивиденда составляет 10% годовых. Через 3 года акции были проданы, обеспечив их владельцу доходность в размере 20%. Определить цену продажи акций.

Решение: Поскольку акции приобретены с ажио 0,5 руб., цена приобретения акций составит 1 + 0,5 = 1,5 руб. Владелец акций за 3 года получит дивиденд в размере: 1 0,1 3 = 0,3 руб. Доход с каждого инвестируемого рубля составит: 1,5 0,2 3 = 0,9 руб. - доход с учётом дивиденда. Прибыль, приносимая акциями за 3 года, составит: 0,9 - 0,3 = 0,6 руб. Тогда цена продажи акций равна 2,1 руб.: 1,5 + 0,6 = 2,1 руб.

2.2 Решение задачи по теме "Облигации"

Задача: Определить ориентировочную рыночную стоимость дисконтной облигации номиналом 1000 руб., выпущенной на срок 184 дня, при условии, что рыночная ставка составляет 15% годовых.

Решение: Используем формулу:

, (2.1)

где p>d>> - >цена облигации с дисконтом;

Т - число лет, по истечении которых облигация погашается;

C>б - >ставка банковского процента, в долях единицы.

В данном случае: N = 1000 руб.; T = 184 дня = 0,5 года; С>б> = 15%.

Находим: p>d> = 1000 (1/1 + 0,5 0,15) = 1000 1/1,075 = 1000 0,93 = 930 руб.

2.3 Решение задачи по теме "Векселя"

Задача: В расчет за поставку фирма получила от своего клиента переводной вексель на сумму 100 тыс. руб. с датой истечения срока действия через 30 дней. Фирма дисконтирует свой вексель в банке, который применяет учетную ставку 4%. Определите дисконтированную величину векселя.

Р

15

ешение: Определим сумму дисконта при t = 30 дней по формуле

D = , (2.2)

где - сумма дисконта векселя, руб.;

- вексельная сумма, руб.;

- число дней с момента дисконтирования до даты погашения векселя

(срок до наступления платежа по векселю);

- годовая учетная ставка, %.

В данном случае: B>c> = 100000 руб.; t = 30 дней; r = 4%.

D = (100000 30 4) / (360 100) = 12000000/36000 = 333,33 руб.

Дисконтированную величину векселя определим по формуле:

K = B>c> - D = 100000 - 333,33 = 99666,67 руб.

Заключение

В данной контрольной работе, в качестве теоретической части, представлено подробное изложение вопросов, касающихся таких ценных бумаг, как векселя и коносамент. В практической части представлено решение задач по темам "Акции", "Облигации" и "Векселя". Решение данных задач сопровождается представлением формул и пояснением каждого из этапов вычисления.

Выполнение данной контрольной работы позволило закрепить теоретические знания, полученные на лекциях, а также более детально и подробно рассмотреть механизм обращения отдельных видов ценных бумаг, изучить особенности формирования их рыночной стоимости и получения дохода по ним.

Контрольная работа представляет собой пояснительную записку, содержащую 17 страниц печатного текста, 1 таблицу, 2 рисунка. При выполнении работы было использовано 6 библиографических источников.

Библиографический список

1. Воронина Е.А. Ценные бумаги: теория и практика [Текст]: Учебное пособие к практическим занятиям и самостоятельной работе для студентов направлений 5215, 5216 и специальностей 06.05, 06.08, 26.01 всех форм обучения / Е.А. Воронина - Красноярск: СибГТУ, 2001. - 56с.

2. Килячков А.А., Чалдаева Л.А. Рынок ценных бумаг и биржевое дело [Текст]: Учебное пособие / А.А. Килячков [и др.] - М.: ЮРИСТЪ, 2001. - 704с.

3. Колесников В.И., Торкановский В.С., Тарасевич Л.С. Ценные бумаги [Текст]: Учебник.2-е изд., перераб. и доп. / В.И. Колесников [и др.] - М.: Финансы и статистика, 2002. - 448с.

4. Колтынюк Б.А. Ценные бумаги [Текст]: Учебное пособие. - 2-е изд. / Б.А. Колтынюк - С-Пб.: Издательство Михайлова В.А., 2001. - 304с.

5. Новиков, Д.Б. Справочная правовая система Консультант Плюс: Высшая Школа [Электронный ресурс] / Выпуск 8 I К осеннему семестру 2007 года.

6. Чернецкая Г.Ф. Рынок ценных бумаг и биржевое дело [Текст]: Практикум / Г.Ф. Чернецкая - ТГУ. - М.: Инфра-М, 2001. - 152 с.