Вибір форм кредиту комерційного банку для фінансування капітальних та поточних потреб підприємства
Міністерство освіти і науки України
НАЦІОНАЛЬНИЙ ГІРНИЧИЙ УНІВЕРСИТЕТ
ФІНАНСОВОЕКОНОМІЧНИЙ ФАКУЛЬТЕТ
Кафедра економічного аналізу і фінансів
КУРСОВА РОБОТА
з дисципліни “Банківські операції”
“Вибір форм кредиту комерційного банку для фінансування капітальних та поточних потреб підприємства”
Дніпропетровськ 2007
ЗМІСТ
ВСТУП
РОЗДІЛ 1. ПОСТАНОВКА ЗАДАЧІ (ВАРІАНТ №4)
1.1 Вхідні дані для підприємства варіант №4
1.2 Методологічні вхідні дані завдання
РОЗДІЛ 2. РОЗРАХУНКИ ВАРІАНТІВ КРЕДИТУВАННЯ ПІДПРИЄМСТВА
2.1 Етап 1. Складання графіку обслуговування боргу
2.2 Етап 2. Алгоритм та розрахунок ліміту овердрафту
РОЗДІЛ 3. ПЛАНУВАННЯ РІЧНОГО ГРАФІКУ ПЛАТЕЖІВ ПІДПРИЄМСТВА
3.1 Етап 3. Складання графіку платежів
3.2 Аналіз результатів
ВИСНОВКИ
СПИСОК ВИКОРИСТАНОЇ ЛІТЕРАТУРИ
ВСТУП
Метою курсової роботи є закріплення, поглиблення та узагальнення знань, одержаних студентами за час вивчення дисципліни, їх застосування для розрахунку платежів по різним видам кредитів, складання звіту про рух коштів на поточних рахунках, визначення необхідних сум овердрафту для фінансування поточних потреб підприємства.
В курсовій роботі були вирішені наступні задачі:
на базі вихідних даних застосовані теоретичні та практичні знання, отримані під час вивчення дисципліни;
пояснені методичні підходи до віднесення окремих показників, що розраховуються;
визначені найбільш сприятливі умови кредитування для підприємства та обґрунтувати їх ефективність;
складені звіти про обороти підприємства за поточним рахунком з урахуванням отриманих кредитів, порядку проведення розрахунків в іноземній та національній валюті;
пояснені прийняті рішення щодо відстрочки платежу, чи інших операцій по поточному та кредитним рахункам підприємства;
пояснені причини та наслідки виникнення від’ємних залишків по поточному рахунку підприємства (поточні овердрафтні кредити).
Розділи курсової роботи відповідають трьом основним етапам її виконання, а саме:
Етап 1. Складання графіку обслуговування боргу.
Етап 2. Розрахунок ліміту овердрафту.
Етап 3. Складання графіку платежів
Курсова робота виконана згідно методичних вказівок на базі комплексу вихідних даних для умовного підприємства варіант №4.
При виконанні курсової роботи застосований комплекс побудованих програмно-пов’язаних “електронних” таблиць Excel2000.
РОЗДІЛ 1. ПОСТАНОВКА ЗАДАЧІ (ВАРІАНТ №4)
1.1 Вхідні дані для підприємства варіант №4
Таблиця 1.1 Вхідні дані для розрахунку графіку обслуговування боргу (Варіант №4)
|
Вартість обладнання, яке підприємство планує придбати за кредитні кошти, грн. |
124 872 |
|
Базова процентна ставка |
24,0% |
|
Ставка LIBOR |
4,5% |
|
Плата за оформлення об’єкту застави |
0,1% |
|
Плата за відкриття кредитного рахунку |
4,0% |
|
Плата за перевірку документів |
0,5% |
|
РКО |
1,0% |
|
Активи, що передаються у заставу, грн.. |
156 091 |
|
Витрати на оформлення страхової гарантії кредиту |
5,0% |
|
Вексель 1, грн. |
49 949 |
|
Строк погашення векселя №1 (надходження коштів) |
15.08.2007 |
|
Вексель 2, грн. |
12 487 |
|
Строк погашення векселя №2 (надходження коштів) |
30.10.2007 |
|
Вексель 3, грн. |
24 974 |
|
Строк погашення векселя №3 (надходження коштів) |
15.12.2007 |
|
Курс грн. /дол.. |
5,05 |
|
Плата за покупку валюти на міжбанківській біржі |
1,0% |
|
Збір в Пенсійний Фонд за покупку валюти на біржі |
1,0% |
|
Плата за вільний продаж валюти на міжбанківській біржі |
0,5% |
|
Плата за обов’язковий продаж валюти на міжбанківській біржі |
0% |
|
Ставка оподаткування прибутку |
25,0% |
|
Норматив обов’язкового обсягу продажу валюти по експортних контрактах ЗЕД |
50,0% |
|
Строк продажу валюти з момента надходження на валютний розр.рахунок (в задачі), днів |
1 |
Таблиця 1.2 Вхідні дані для розрахунку графіку платежів (Варіант №4)
|
Вид грошових виплат / надходжень |
Регулярність |
Сума |
|
Виручка по контракту № 1/23456, грн. |
10 січня |
26 015 |
|
Виручка по контракту № 1/23457, грн. |
5 лютого |
30 178 |
|
Виручка по контракту № 1/23458в, дол. |
20 березня |
10 198 |
|
Виручка по контракту № 1/23459, грн. |
13 квітня |
19 667 |
|
Виручка по контракту № 1/23460, грн. |
7 травня |
24 870 |
|
Виручка по контракту № 1/23461, грн. |
17 червня |
12 956 |
|
Виручка по контракту № 1/23462в, дол. |
12 липня |
14 090 |
|
Виручка по контракту № 1/23463в, дол. |
27 серпня |
3 642 |
|
Виручка по контракту № 1/23464, грн. |
14 вересня |
14 464 |
|
Виручка по контракту № 1/23465, грн. |
18 жовтня |
25 287 |
|
Виручка по контракту № 1/23466, грн. |
21 листопада |
22 872 |
|
Виручка по контракту № 1/23467, грн. |
27 грудня |
35 901 |
|
Виплата заробітної плати, грн. |
До 30 числа кожного місяця |
4 683 |
|
Оплата комунальних послуг, грн. |
До 10 числа кожного місяця |
624 |
|
Оплата електроенергії, грн. |
До 15 числа кожного місяця |
1 301 |
|
Оплата водопостачання, грн. |
До 20 числа кожного місяця |
572 |
|
Оплата матеріалів по контракту № 2/312, грн. |
15 січня |
4 683 |
|
Оплата матеріалів по контракту № 2/313, грн. |
23 лютого |
8 325 |
|
Оплата матеріалів по контракту № 2/314, грн. |
2 березня |
13 528 |
|
Оплата матеріалів по контракту № 2/315, грн. |
5 квітня |
10 271 |
|
Оплата матеріалів по контракту № 2/316, грн. |
13 травня |
17 659 |
|
Оплата матеріалів по контракту № 2/317, грн. |
7 червня |
11 291 |
|
Оплата матеріалів по контракту № 2/318, грн. |
1 липня |
12 029 |
|
Оплата матеріалів по контракту № 2/319, грн.. |
21 серпня |
10 781 |
|
Оплата матеріалів по контракту № 2/320в, дол.. |
18 вересня |
4 433 |
|
Оплата матеріалів по контракту № 2/321, грн. |
13 жовтня |
12 238 |
|
Оплата матеріалів по контракту № 2/322, грн. |
24 листопада |
10 614 |
|
Оплата матеріалів по контракту № 2/323, грн. |
16 грудня |
10 968 |
|
Оплата податку на землю, грн. |
До 25 числа кожного місяця наступного за звітним |
754 |
|
Оплата податку на прибуток за IV квартал 2006 року, грн. |
До 20 лютого місяця наступного за звітним кварталом |
7 076 |
|
Вид грошових виплат / надходжень |
Регулярність |
Сума |
|
Оплата податку на прибуток за IІІІ квартали 2007 року, грн. |
До 20 числа місяця наступного за звітним кварталом |
Згідно розрахунку |
|
Оплата податку на фонд оплати праці, грн. |
При виплаті заробітної плати |
36,5% від ФОП |
|
Оплата інших обов’язкових податків та зборів, грн. |
До 25 числа місяця наступного за звітним |
151 |
|
Погашення дебіторської заборгованості, грн. |
12 січня |
4 745 |
|
Погашення дебіторської заборгованості, грн. |
16 лютого |
5 909 |
|
Погашення дебіторської заборгованості, грн. |
6 березня |
3 592 |
|
Погашення дебіторської заборгованості, дол. |
19 квітня |
6 597 |
|
Погашення дебіторської заборгованості, грн. |
23 травня |
8 221 |
|
Погашення дебіторської заборгованості, грн. |
4 червня |
9 730 |
|
Погашення дебіторської заборгованості, грн. |
12 липня |
4 776 |
|
Погашення дебіторської заборгованості, дол. |
1 серпня |
2 393 |
|
Погашення дебіторської заборгованості, грн. |
22 вересня |
2 914 |
|
Погашення дебіторської заборгованості, грн. |
16 жовтня |
2 556 |
|
Погашення дебіторської заборгованості, грн. |
22 листопада |
2 279 |
|
Погашення дебіторської заборгованості, грн. |
19 грудня |
3 388 |
|
Залишок на гривневому рахунку на 01.01.2007 |
1 516 |
|
|
Залишок на валютному рахунку на 01.01.2007 |
255 |
Таблиця 1.3 Вхідні дані для розрахунку ліміту овердрафту (Варіант № 4)
|
Показник |
Листопад 2007 р. |
Грудень 2007 р. |
|
Виручка від реалізації, грн. |
37 233 |
40 286 |
|
Дебіторська заборгованість (неторгова), грн. |
2 979 |
3 210 |
|
Відстрочка платежу |
6,0% |
5,0% |
|
Неплатежі по неторговій заборгованості |
0,6% |
0,7% |
|
Неплатежі по торговій заборгованості |
0,8% |
|
|
Кредитний рейтинг |
0,90 |
|
|
Коефіцієнт стабільності грошових потоків |
0,85 |
|
|
Коефіцієнт перспективності галузі |
0,93 |
Завдання
Скласти графіки обслуговування боргу по всіх перелічених формах кредиту (овердрафт, стандартний короткостроковий кредит, кредитна лінія, авальний кредит, кредит по лінії ЄБРР) та обрати найбільш вигідний варіант фінансування капітальних потреб підприємства.
Визначити максимально можливу суму овердрафту з урахуванням всіх платежів в тому числі по обслуговуванню кредиту.
Скласти графік платежів по поточному рахунку підприємства.
На основі розрахованих показників проаналізувати отримані результати та зробити ґрунтовані висновки щодо динаміки показників та стану платежів на підприємстві.
1.2 Методологічні вхідні дані завдання
Вартість обладнання, яке підприємство планує придбати за кредитні кошти становить М= 124 872 грн.
Згідно з календарним планом надходжень та витрат, підприємство може сплачувати відсотки та погашати основну суму боргу (крім овердрафту) до 20 числа місяця наступного за звітним.
Всі розрахунки підприємства за торговими контрактами здійснюються за допомогою платіжного доручення.
Динаміка процентних ставок по кредитах наведена у таблиці 1.4.
Таблиця 1.4 Динаміка зміни процентної ставки на кінець кожного місяця, +/ %
|
Вид кредиту |
Січень |
Лютий |
Березень |
Квітень |
Травень |
Червень |
|
Короткостроковий кредит |
2,50 |
1,50 |
2,20 |
4,50 |
||
|
Кредитна лінія |
3,50 |
|||||
|
Ставка LIBOR |
0,25 |
0,37 |
1,68 |
0,14 |
0,16 |
0,28 |
|
Вид кредиту |
Липень |
Серпень |
Вересень |
Жовтень |
Листопад |
Грудень |
|
Короткостроковий кредит |
1,50 |
2,50 |
3,80 |
|||
|
Кредитна лінія |
5,70 |
4,20 |
||||
|
Ставка LIBOR |
0,23 |
0,5 |
0,65 |
0,24 |
0,87 |
0,48 |
За січень проценти нараховуються у відповідності з початковими вихідними даними задачі R1%=24%, ставка LIBOR складає R2%=4,5%.
Відсотки по стандартному короткостроковому кредиту та кредиту ЄБРР нараховуються на залишок боргу, а основна сума боргу може погашатись рівними сумами або за амортизаційним (іпотечним) графіком за бажанням клієнта.
При отриманні кредиту на придбання обладнання можливі наступні умови кредитування (табл. 1.5).
Таблиця 1.5 Умови надання кредиту терміном на 1 рік
|
Умови Кредитування |
Стандартний короткостроковий кредит |
Кредитна лінія |
Кредит по лінії ЄБРР |
Авальний кредит |
|
Максимальна сума кредиту |
70% вартості обладнання |
70% вартості об’єкту застави |
70% вартості об’єкту застави |
90% номіналу векселів |
|
Термін погашення процентів по кредиту та основної суми боргу |
До 20 числа місяця наступного за звітним |
До 20 числа місяця наступного за звітним |
До 20 числа місяця наступного за звітним |
До 20 числа місяця наступного за звітним |
|
Процентна ставка |
R1+5% |
R1+3% |
LIBOR+8% |
R1+6% |
|
Характер ставки |
Плаваюча |
Плаваюча |
Плаваюча |
Фіксована |
|
Періодичність перегляду ставки |
Щомісяця |
По кварталах |
Щомісяця |
|
|
Валюта кредиту |
Гривня |
Гривня |
Долари США |
Гривня |
|
Забезпечення кредиту |
Обладнання, що купується |
Активи позичальника |
Активи позичальника, гарантія страхової компанії |
Векселя, авальовані банком |
Максимальна сума активів, яка може бути надана в якості застави складає А46= 156 091 дол.США. Витрати по наданню гарантії страхової компанії складає 5% від суми кредиту. Для всього періоду розрахунку курс гривні – 5,05 грн./дол. США.
Кредитна лінія передбачає перерахування основної суми боргу на протязі січня 10.01.07 – 60 % від суми кредиту та 15.01.07 – 40 % від суми кредиту.
Тарифи банка передбачають:
плату за відкриття кредитного рахунку – 4% від суми кредиту,
плату за перевірку документів та розрахунок кредитного ліміту – 0,5 % від суми кредиту,
плату за розрахунково-касове обслуговування – 1,0% від суми платежу,
плату за оформлення об’єкту застави – 0,1% від вартості майна, що передається у заставу,
за обробку платіжних документів плата не стягується,
в січні місяці при отриманні кредитів (не пізніше 10 січня сплачуються витрати по оформленню кредиту),
за послуги біржі стягається 1% від суми покупки/продажу валюти,
при надходженні на поточний рахунок іноземної валюти в формі торгової виручки 50% від надходження підлягає обов’язковому продажу на валютній біржі,
ставка оподаткування прибутку приймається на рівні 25%.
У підприємства маються 3 авальованих векселя, які він може передати у заставу під авальний кредит номіналом А47=49 949 грн., А48=12 487 грн. та А49=24 974 грн.. З погашенням відповідно 20.08.07, 31.10.07 та 15.12.07.
За листопад 2007 р. сукупний обсяг реалізації підприємства склав П1=37 233 грн., при чому К1%=6,0% реалізації було здійснено на умовах відстрочки платежу на 1 місяць. Дебіторська заборгованість, що виникла у результаті неторгових операцій підприємства та підлягала погашенню у листопаді місяці склала ДЗ1=2 979 грн. Однак неплатежі по цій заборгованості склали К2%=0,6%.
У грудні 2007 р. обсяг реалізації товару підприємства збільшився на К3%=8,2 у порівнянні з попереднім місяцем, однак на умовах відстрочки платежу на 1 місяць було реалізовано К4 %=5,0%. Дебіторська заборгованість, що виникла у результаті неторгових операцій підприємства та підлягала погашенню у грудні склала ДЗ2=3 210 грн. Неплатежі по торговій дебіторській заборгованості склали К5%=0,8%, а по неторговій – К6%=0,7%. Кредитний рейтинг – К7=0,90, коефіцієнт стабільності грошових потоків – К8=0,85, перспективність галузі – К9=0,93.
Овердрафт надається на умовах плаваючої процентної ставки R% . При чому, для різних термінів користування кредитом встановлюється різна процентна ставка (табл. 1.6).
Таблиця 1.6 Ставки по овердрафту
|
Термін кредиту |
17 днів |
814 днів |
1521 днів |
2231 днів |
|
Ставка R, % |
R1 |
R1+2% |
R1+4% |
R1+6% |
Динаміка процентної ставки по овердрафту ідентична до ставки по стандартному короткостроковому кредиту R1.
Овердрафтом підприємство користується в тому випадку, коли коштів на поточному рахунку не вистачає для оплати поточних витрат. Проценти по овердрафту погашаються одночасно з основною сумою боргу.
РОЗДІЛ 2. РОЗРАХУНКИ ВАРІАНТІВ КРЕДИТУВАННЯ ПІДПРИЄМСТВА
2.1 Етап 1. Складання графіку обслуговування боргу
На даному етапі на основі вихідних даних складаємо графіки погашення кредитних платежів та знаходимо найбільш рентабельну систему кредитування з мінімумом витрат на обслуговування кредиту.
Вихідними умовами є наступні:
а) Для придбання необхідного обладнання потрібен кредит на суму
124 872 грн. зі строком погашення 1 рік (Табл.1.1);
б) Згідно з табл. 1.5 банк за кредит потребує заставу, в якості якої підприємство може надати:
власно кредитуєме обладнання на суму 124 872 грн. з коефіцієнтом обліку застави 0,7, тобто на суму кредиту 124 872 грн.*0,7=87 410 грн.;
активи підприємства на суму 156 091 грн. з коефіцієнтом обліку застави 0,7, тобто на суму кредиту 156 091грн.*0,7 = 109 264 грн.;
3 авальованих банком векселя на загальну суму (49 949+12487+24974) грн.= 87410 грн. з коефіцієнтом обліку 0,9, тобто на суму кредиту 87410грн.*0,9 = 78669 грн.
Таким чином для придбання обладнання підприємство вимушене йти на комбіновану заставу та комбінований кредит, враховуючи умови табл.1.1 по виду застави, яку можна запропонувати за кожним з можливих видів кредиту.
Для фінансування придбання обладнання підприємство може скористуватись наступними видами кредиту: стандартний короткостроковий кредит, кредитна лінія, авальний кредит, кредит по лінії ЄБРР. Термін кредитування згідно з вхідними умовами – 1 рік.
Розрахуємо собівартості кожного з перелічених видів кредиту для виявлення оптимальної комбінації кредитів, які забезпечать необхідну суму для придбання обладнання.
1. Розрахуємо графік обслуговування стандартного короткострокового кредиту.
Враховуючи, що в якості застави короткострокового кредиту можна надати власно кредитуєме обладнання, визначимо максимально можливу суму кредиту:
грн.
(2.1)
де S>обл> – вартість обладнання, грн.
k – коефіцієнт забезпеченості кредиту, долі од.
Ставка по короткостроковому кредиту на 5% більше базової процентної ставки R1=24,0% по гривневому кредиту (табл.1.5). Таким чином, процентна ставка складає 29% з врахуванням плаваючого корегування на протязі року згідно табл. 1.4.
Витрати на оформлення застави по короткостроковому кредиту становлять 0,1% від вартості застави, тобто 124 872 * 0,001 = 125 грн., страхування застави при цьому виді кредитування не передбачається.
Кредит може погашатись рівними сумами основного кредитного боргу (варіант 1) та рівними виплатами частини основного боргу та кредитних відсотків (амортизаційний графік обслуговування боргу – варіант 2).
Розрахуємо варіант 1 з використанням «електронних таблиць» Excel2000 (табл. 2.1).
Таблиця 2.1 Погашення короткострокового
кредиту рівними сумами (
варіант
1), грн.
Розрахуємо варіант 2. Для розрахунку сумарної виплати за період скористуємось формулою постійних виплат (РМТ):
(2.2)
де r – річна процентна ставка по кредиту, долі од.
початкова сума кредиту, грн
Скориставшись наведеною формулою (2.2) та даними табл.2.1, розраховуємо, що при середньорічній відсотковій ставці 33,56% щомісячні виплати повинні становити 7 983,71 грн. Однак, процентна ставка змінюється щомісяця, тому в таблицю вводиться додатковий стовпчик “Поправка на процент”. Значення даного стовпчика розраховуються так:
(2.3)
де r>пот> – поточна річна процентна ставка по кредиту, долі од.,
r>поч> – початкова річна процентна ставка по кредиту, долі од.
поточний залишок кредиту, на
який нараховується
процентна ставка.
Графік обслуговування боргу приймає наступний вигляд (табл. 2.2).
Т
аблиця
2.2 Погашення короткострокового кредиту
рівними виплатами (варіант 2), грн.
При використанні стандартного короткострокового кредиту підприємство повинно оплатити наступні витрати (табл. 2.3).
Т
аблиця
2.3 Сукупні витрати з обслуговування
стандартного короткострокового кредиту,
грн.
2. Розрахуємо графік обслуговування кредитної лінії.
При використанні кредитної лінії проводяться аналогічні розрахунки. Особливістю даного кредиту є надання кредиту окремими траншами. Тобто, в місяці надання окремого траншу відсотки нараховуються за фактичний період використання кредиту.
Ставка по кредитній лінії на 3% більше базової процентної ставки R1=24,0% по гривневому кредиту (табл.1.5). Таким чином, процентна ставка складає 27% з врахуванням плаваючого корегування на протязі року згідно табл. 1.4. Окрім цього, сума кредиту страхується від неповернення з витратами 5 % від суми кредиту.
Згідно з вхідними даними параметри кредитної лінії наступні (табл. 2.4).
Таблиця 2.4 Вхідні параметри гривневої кредитної лінії
|
Показник |
Сума |
Показник |
Термін |
Сума |
|
Сума кредиту, грн. |
109 264 |
Транш 1 (60%) |
10.01.2007 |
65 560 |
|
Початкова ставка кредиту , % |
27 % |
Транш 2 (40%) |
15.01.2007 |
43 704 |
|
Сума застави, грн. |
156 091 |
|||
|
Витрати на оформлення застави(0,1%), грн. |
156 |
|||
|
Витрати на страхування кредиту (5%), грн. |
5463 |
Розрахунок варіанту 1 та варіанту 2 наведений у табл. 2.5 та 2.6.
Таблиця 2.5 Погашення кредитної
лінії рівними сумами (варіант 1), г
рн.
Т
аблиця
2.6 Погашення кредиту рівними виплатами
(варіант 2), грн.
В табл.2.5, 2.6 за перший місяць визначена сума поправки як на плаваючу ставку так і з урахуванням фактичного періоду використання кредиту: 1 транш –21день, 2 транш –16 днів з 31 днів січня 2007 року.
Таким чином, при використанні кредитної лінії підприємство повинно оплатити наступні витрати (табл. 2.7).
Т
аблиця
2.7 Сукупні витрати з обслуговування
кредитної лінії, грн.
3. Розрахуємо графік обслуговування кредиту по лінії ЄБРР.
Використання кредиту по лінії Європейського Банку Реконструкції та Розвитку (ЄБРР) пов’язане з наступними умовами:
кредит надається в доларах США по відповідному курсу,
ставка по кредиту базується на ставці LIBOR (+8%).
Згідно з вхідними даними параметри кредиту по лінії ЄБРР наступні (табл. 2.8).
Таблиця 2.8 Вхідні параметри кредиту по лінії ЄБРР
|
Показник |
грн. |
дол. США |
|
Сума кредиту |
109 264 |
21 637 |
|
Курс валюти кредиту грн./дол.США |
5,05 |
|
|
Ставка |
12,5% |
|
|
Витрати на оформлення застави |
156 |
|
|
Витрати на страхування кредиту (5%) |
5463 |
|
|
Витрати на покупку валюти для повернення кредиту (1%) |
1092 |
|
|
Витрати на покупку валюти для сплати процентів (1%) |
розрахунок |
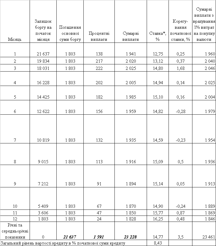
Згідно з вхідними даними кредит погашається лише рівними сумами. Графік обслуговування боргу наведений в табл. 2.9.
Т
аблиця
2.9 Погашення кредиту по лінії ЄБРР
рівними сумами, дол. США
Таким чином, при використанні кредитної лінії підприємство повинно оплатити наступні витрати (табл. 2.10).
Т
аблиця
2.10 Сукупні витрати з обслуговування
кредиту по лінії ЄБРР
4. Розрахуємо графік обслуговування вексельно-авального кредиту.
Використання вексельно-авального кредиту пов’язане з деякими особливостями у розрахунку терміну кредиту та погашення основної суми боргу.
Так при визначенні терміну погашення кредиту необхідно враховувати те, що кредит повинен погашатись за 5 днів до терміну погашення векселя (табл. 2.11).
При цьому основна сума боргу погашається в поточному місяці (20 числа або за графіком), а проценти по вексельно-авальному кредиту – у наступному місяці. Таким чином, в серпні необхідно погасити основну суму кредиту до 15 серпня, в жовтні – до 26 числа, в грудні – до 10 числа.
Ставка по кредитній лінії на 6% більше базової процентної ставки R1=24,0% по гривневому кредиту (табл. 1.5). Таким чином, фіксована процентна ставка по вексельно-авальному кредиту складає 30%. Сума кредиту становить 90% від заставної суми векселів.
Таблиця 2.11 Вхідні параметри вексельно-авального кредиту
|
Показник |
Сума векселя, грн. |
Термін погашення векселя, грн. |
Сума погашення основної частини кредиту, грн. |
Термін погашення кредиту, грн. |
|
Вексель 1 |
49 949 |
20.08.2007 |
44 954 |
15.08.2007 |
|
Вексель 2 |
12 487 |
31.10.2007 |
11 238 |
26.10.2007 |
|
Вексель 3 |
24 974 |
15.12.2007 |
22 477 |
10.12.2007 |
|
Сума кредиту |
78 669 |
|||
|
Ставка по кредиту |
30,0% |
Графік обслуговування боргу складається окремо по кожному векселю (табл. 2.12 – 2.14), а потім консолідується в єдиний графік обслуговування вексельно-авального кредиту (табл. 2.15).
Т
аблиця
2.12 Погашення авального кредиту (вексель
1), грн.
Т
аблиця
2.13 Погашення авального кредиту (вексель
2), грн.
Т
аблиця
2.14 Погашення авального кредиту (вексель
3), грн.
Т
аблиця
2.15 Сукупний платіж по авальному кредиту
Таким чином, при використанні вексельно-авального кредиту підприємство повинно оплатити наступні витрати (табл. 2.16).
Т
аблиця
2.16 Сукупні витрати з вексельно-авального
кредиту, грн.
Порівняємо собівартість використання наведених форм кредитів. Для цього проведемо розрахунок відносних витрат на основі даних по сукупним витратам та сумі можливого кредиту (табл. 2.17).
Таблиця 2.17 Порівняльна таблиця витрат по кредитам, грн.
|
Показник |
Стандартний кредит |
Кредитна лінія |
Кредит ЄБРР |
Вексельно-авальний кредит |
||
|
Варіант 1 |
Варіант 2 |
Варіант 1 |
Варіант 2 |
|||
|
Сума кредиту |
87 410 |
87 410 |
109 264 |
109 264 |
109 264 |
78 669 |
|
Витрати |
20 833 |
21 687 |
28 775 |
29 534 |
21 036 |
14 720 |
|
Відносні витрати |
23,83% |
24,81% |
26,34% |
27,03% |
19,25% |
18,71% |
Згідно з результатами розрахунку найбільш вигідним є використання вексельно-авального кредиту та кредиту по лінії ЄБРР. Враховуючи, що самостійно ні суми вексельно-авального кредиту, ні суми кредиту ЄБРР не достає для придбання обладнання, а кредити ЄБРР на суму менше 100 000 грн. практично отримати неможливо, приймаємо наступну комбінацію:
для кредитування повністю використовуємо можливу суму кредиту ЄБРР в доларах США (109 264 грн.);
для отримання додатково необхідної суми кредиту на придбання обладнання (124 872 грн. – 109 264 грн. = 15 608 грн.) застосовуємо вексель № 3 вартістю 24 974 грн. зі строком погашення 10.12.2007 року (максимальна сума кредиту 22 477 грн.), використовуючи додаткові кредитні кошти в якості оборотного капіталу.
Таким чином, комбінований новий графік обслуговування боргу приймає наступний вигляд (табл. 2.18). Загальні сумарні витрати на обслуговування повної суми комбінованого кредиту наведені в табл. 2.19.
Таблиця 2.18 Комбінований графік обслуговування кредиту по лінії ЄБРР + вексельно-авального кредиту (по векселю №3), грн.

Таблиця 2.19 Сукупні витрати з
комбінованого кредиту ЄБРР +
в
ексельно-авального
кредиту, грн.
2.2 Етап 2. Алгоритм та розрахунок ліміту овердрафту
Ліміт овердрафту (тобто автоматичного кредитування банком дебетового сальдо на розрахунковому рахунку підприємства) здійснюється по результатам оцінки надходження грошових потоків на розрахунковий рахунок підприємства за 2 попередніх місяця.
За листопад 2006 р. сукупний обсяг реалізації підприємства склав П1=37233 грн., при чому К1%=6,0% реалізації було здійснено на умовах відстрочки платежу на 1 місяць. Дебіторська заборгованість, що виникла у результаті неторгових операцій підприємства та підлягала погашенню у листопаді місяці склала ДЗ1=2 979 грн. Однак неплатежі по цій заборгованості склали К2%=0,6%.
У грудні 2006 р. обсяг реалізації товару підприємства збільшився на К3%=8,2 у порівнянні з попереднім місяцем, однак на умовах відстрочки платежу на 1 місяць було реалізовано К4 %=5,0%. Дебіторська заборгованість, що виникла у результаті неторгових операцій підприємства та підлягала погашенню у грудні склала ДЗ2=3 210 грн. Неплатежі по торговій дебіторській заборгованості склали К5%=0,8%, а по неторговій – К6%=0,7%. Кредитний рейтинг – К7=0,90, коефіцієнт стабільності грошових потоків – К8=0,85, перспективність галузі – К9=0,93.
Овердрафт надається на умовах плаваючої процентної ставки R%. При чому, для різних термінів користування кредитом встановлюється різна процентна ставка (табл. 2.20).
Таблиця 2.20 Ставки по овердрафту
|
Термі кредиту |
17 днів |
814 днів |
1521 днів |
2231 днів |
|
Ставка R, % |
R1 |
R1+2% |
R1+4% |
R1+6% |
|
Фактична ставка R,% |
24,0% |
26,0% |
28,0% |
30,0% |
Динаміка процентної ставки по овердрафту ідентична до ставки по стандартному короткостроковому кредиту (табл.1.4).
Овердрафтом підприємство користується в тому випадку, коли коштів на поточному рахунку не вистачає для оплати поточних витрат. Проценти по овердрафту погашаються одночасно з основною сумою боргу.
Розраховуємо сукупні надходження на поточний рахунок підприємства в листопаді та грудні 2007 р.


Розраховуємо ліміт овердрафту:

Таким чином, на січень 2007 року банком встановлюється ліміт овердрафтного кредиту для підприємства у розмірі 28 937 грн. На наступні місяці 2007 року, для яких розраховується графік надходження та витрат коштів з розрахункового рахунку підприємства у 2007 році, ліміт овердрафту перераховується з врахуванням 2х останніх місяців.
РОЗДІЛ 3. ПЛАНУВАННЯ РІЧНОГО ГРАФІКУ ПЛАТЕЖІВ ПІДПРИЄМСТВА
3.1 Етап 3. Складання графіку платежів
На основі вихідних даних розділу 1 та запланованого графіку обслуговування кредитного боргу, розрахованого в розділі 2, побудуємо попередній графік надходження та витрат коштів з розрахункового рахунку підприємства та з’ясуємо необхідність, величину та строк залучення овердрафтних кредитів.
Складемо звіт про рух за поточним рахунком в січні місяці 2007 року (табл. 3.1).
Як видно з наведеного розрахунку, залишок на поточному рахунку в національній валюті більше нуля, тобто в січні підприємство не користується овердрафтом.
При розрахунку податку на прибуток враховані всі доходи та витрати підприємства за звітній період. Згідно з законами України [3], [4], податок на прибуток сплачується раз в квартал за попередній період на протязі 10 днів з подання квартальної декларації, яка подається через 40 днів після закінчення кварталу, тобто строк сплати:
за 4 квартал 2006 року – до 20 лютого 2007 року (40+10);
за 1 квартал 2007 року – до 20 травня 2007 року (40+10);
за 2 квартал 2007 року – до 20 серпня 2007 року (40+10);
за 3 квартал 2007 року – до 20 листопада 2007 року (40+10);
за 4 квартал 2007 року – до 20 лютого 2008 року (40+10);
Необхідно враховувати, що витрати, пов’язані з погашенням основної суми боргу здійснюються за рахунок прибутку після сплати податку, а процентні витрати включаються у валові витрати підприємства.
Таблиця 3.1 Звіт про обороти за поточними рахунками за січень 2007 року

Таблиця 3.2 Звіт про обороти за
поточними рахунками за лютий 2007 р
оку
Таблиця 3.3 Звіт про обороти за
поточними рахунками за березень 2007 р
оку
Таблиця 3.4 Звіт про обороти за
поточними рахунками за квітень 2007 р
оку
Таблиця 3.5 Звіт про обороти за
поточними рахунками за травень 2007 р
оку
Таблиця 3.6 Звіт про обороти за поточними рахунками за червень 2007 року

Таблиця 3.7 Звіт про обороти за
поточними рахунками за липень 2007 р
оку
Таблиця 3.8 Звіт про обороти за
поточними рахунками за серпень 2007 р
оку
Т
аблиця
3.9 Звіт про обороти за поточними рахунками
за вересень 2007 року
Таблиця 3.10 Звіт про обороти за
поточними рахунками за жовтень 2
007
року
Таблиця 3.11 Звіт про обороти за поточними рахунками за листопад 2007 року

Таблиця 3.12 Звіт про обороти за
поточними рахунками за грудень 2007 р
оку
Таблиця 3.13 Розрахунок процентного платежу по овердрафту за березень 2007, грн.
|
Початок користування кредитом |
Закінчення використання кредиту |
Сукупна сума овердрафту |
Основна сума за розрахунковий період |
Стандартний термін |
Розрахунковий термін |
Штрафний термін |
Базова процентна ставка |
Розрахункова процентна ставка |
Процентний платіж |
|
02.03 |
06.03 |
8 586,2 |
8 586,2 |
4 |
4 |
24,00% |
24,00% |
||
|
06.03 |
15.03 |
6385,9 |
6385,9 |
10 |
10 |
24,00% |
26,00% |
||
|
15.03 |
20.03 |
7 852,5 |
7 852,5 |
5 |
5 |
24,00% |
24,00% |
||
|
Разом |
93,89 |
Таблиця 3.14 Розрахунок процентного платежу по овердрафту за травень 2007, грн.
|
Початок користування кредитом |
Закінчення використання кредиту |
Сукупна сума овердрафту |
Основна сума за розрахунковий період |
Стандартний термін |
Розрахунковий термін |
Штрафний термін |
Базова процентна ставка |
Розрахункова процентна ставка |
Процентний платіж |
|
20.05 |
23.05 |
4 215,7 |
4 215,7 |
3 |
3 |
24,00% |
24,00% |
8,32 |
|
|
Разом |
8,32 |
Таблиця 3.15 Розрахунок процентного платежу по овердрафту за червень 2007, грн.
|
Початок користування кредитом |
Закінчення використання кредиту |
Сукупна сума овердрафту |
Основна сума за розрахунковий період |
Стандартний термін |
Розрахунковий термін |
Штрафний термін |
Базова процентна ставка |
Розрахункова процентна ставка |
Процентний платіж |
|
31.05 |
04.06 |
2459,2 |
2459,2 |
4 |
4 |
24,00% |
24,00% |
6,47 |
|
|
07.06 |
15.06 |
5531,4 |
5531,4 |
8 |
8 |
24,00% |
30,00% |
||
|
15.06 |
17.06 |
6997,9 |
6997,9 |
2 |
2 |
24,00% |
30,00% |
||
|
17.06 |
20.06 |
4028,8 |
4028,8 |
3 |
3 |
24,00% |
30,00% |
||
|
20.06 |
30.06 |
6876,7 |
6876,7 |
10 |
10 |
24,00% |
30,00% |
114,33 |
|
|
Разом |
120,80 |
Таблиця 3.16 Розрахунок процентного платежу по овердрафту за липень 2007, грн.
|
Початок користування кредитом |
Закінчення використання кредиту |
Сукупна сума овердрафту |
Основна сума за розрахунковий період |
Стандартний термін |
Розрахунковий термін |
Штрафний термін |
Базова процентна ставка |
Розрахункова процентна ставка |
Процентний платіж |
|
01.07 |
12.07 |
25 596,5 |
25 596,5 |
12 |
12 |
12 |
24,00% |
26,00% |
218,8 |
|
01.07 |
12.07 |
25 596,5 |
25 596,5 |
12 |
48,00% |
52,0% |
437,60 |
||
|
Разом |
656,4 |
3.2 Аналіз результатів
Т
аблиця
3.17 Оцінка прибутковості діяльності
підприємства варіант №4 за 2007 рік
Спільний аналіз даних табл.3.1 – 3.12 показує, що станом на 01.01.2008 року показники наявності коштів та боргів характеризуються наступним:
а) вексельно – авальний кредит повернутий та проценти сплачені;
б) кредит ЄБРР повернутий достроково (на 1 місяць раніше) та проценти сплачені;
в) кредитний борг з рівня 124872 грн. станом на 01.01.2007 становить 0 грн. станом на 01.01.2008 року;
г) сальдо коштів на гривневому розрахунковому рахунку з рівня 1516,0 грн. станом на 01.10.2007 року зросло до рівня 46 254,19 грн. станом на 01.01.2008 року;
д) сальдо коштів на валютному розрахунковому рахунку з рівня 255 дол. США станом на 01.10.2007 року знизилось до рівня 54,35 дол. США станом на 01.01.2008 року;
е) чистий прибуток підприємства за 2007 рік становить 140 802 грн., рентабельність продаж (валового доходу) становить 28,3%.
ВИСНОВКИ
Згідно з завданням курсової роботи проведений аналіз ефективності залучення кредитних коштів для придбання необхідного обладнання підприємству варіант №4 показав, що найнижчий рівень собівартості кредиту в вексельно-авальному кредиті (18,71%), але суми авальованих векселів, які є у підприємства нестає для повної суми необхідного кредиту. У валютного кредиту ЄБРР другі за рангом показники собівартості кредиту (19,25%), але застави, яка є у підприємства у вигляді активів, нестає також для повної суми кредиту.
Таким чином, за результатами проведено аналізу в курсовій роботі був вибраний комбінований кредит:
валютний кредит ЄБРР, який виданий під 100% наявної застави активів;
додатковий вексельно-авальний кредит з заставою тільки векселя №3 з строком погашення 15.12.2007 року;
Розрахункова собівартість комбінованого кредиту становить – 19,69%.
Спільний аналіз помісячних графіків руху грошових коштів за 2007 рік на гривневому та валютному розрахунковому рахунках підприємства варіант №4 з врахуванням вихідних даних по надходженням і витратам підприємства, а також врахуванні надходження коштів від погашення векселів показав, що станом на 01.01.2008 року показники наявності коштів та боргів характеризуються наступним:
а) вексельно – авальний кредит повернутий та проценти сплачені;
б) кредит ЄБРР повернутий достроково (на 1 місяць раніше) та проценти сплачені;
в) кредитний борг з рівня 124872 грн. станом на 01.01.2007 становить 0 грн. станом на 01.01.2008 року;
г) сальдо коштів на гривневому розрахунковому рахунку з рівня 1516,0 грн. станом на 01.10.2007 року зросло до рівня 46 254,19 грн. станом на 01.01.2008 року;
д) сальдо коштів на валютному розрахунковому рахунку з рівня 255 дол. США станом на 01.10.2007 року знизилось до рівня 54,35 дол. США станом на 01.01.2008 року;
е) чистий прибуток підприємства за 2007 рік становить 140 802 грн., рентабельність продаж (валового доходу) становить 28,3%.
СПИСОК ВИКОРИСТАНОЇ ЛІТЕРАТУРИ
1. ЗАКОН УКРАЇНИ «Про банки і банківську діяльність» від 7 грудня 2000 року N 2121III // Із змінами і доповненнями, внесеними Законами України станом від 27 квітня 2007 року N 997V Комп’ютерна законодавчо-довідкова система законодавства України “Лігазакон”, 2007
2. ЗАКОН УКРАЇНИ „Про заставу” від 2 жовтня 1992 року N 2654XII // Із змінами і доповненнями, внесеними Законами України станом від 27 квітня 2007 року N 997V Комп’ютерна законодавчо-довідкова система законодавства України “Лігазакон”, 2007
3. Закон України “Про порядок погашення зобов'язань платників податків перед бюджетами і державними цільовими фондами // Закон України від 21.12.2000 № 2181ІІІ (Із змінами і доповненнями, внесеними Законами України станом від 23 червня 2005 р. N 2711IV )
4. Закон України „Про оподаткування прибутку підприємств” // від 22 травня 1997 р. N 283/97ВР (станом змін від від 7 липня 2005 р. N 2771IV )
5. ДЕКРЕТ КАБІНЕТУ МІНІСТРІВ УКРАЇНИ «Про систему валютного регулювання і валютного контролю” від 19 лютого 1993 року N 1593 // Із змінами і доповненнями, внесеними Законами України та Господарським кодексом України від 23 лютого 2006 року N 3509IV Комп’ютерна законодавчодовідкова система законодавства України “Лігазакон”, 2007
6. Інструкція з бухгалтерського обліку кредитних, вкладних (депозитних) операцій та формування і використання резервів під кредитні ризики в банках України // Постанова Правління Національного банку України від 15 вересня 2004 року N 435 Комп’ютерна законодавчо-довідкова система законодавства України “Лігазакон”, 2007
7. Аналіз банківської діяльності: Підручник / А.М.Герасимович та ін.; За ред. А.М.Герасимовича. — К.: КНЕУ, 2003.— 599 с.
8. Банківські операції: Підручник / За ред. А. М. Мороз. — К.: КНЕУ, друге видання. — 2002. — 476 с.
9. Банківські операції: Підручник/ А.М.Мороз, М.І.Савлук, М.Ф.Пуховкіна та ін.; За ред.дра екон.наук,проф.А.М.Мороза. К.: КНЕУ, 2000. 384с.
10. Банки и банковские операции: Учебник для вузов / Под ред. проф. Е.Ф.Жукова. М.: Банки и биржи, ЮНИТИ, 1997. 471 с.
11. Гриджук Д.М. Забезпечення кредитних зобов"язань у діяльності банків/ Д.М.Гриджук, В.О.Олійник. Київ: Істина, 2001. 256с.
12. Гроші та кредит: Підручник / За ред. проф. М. І. Савлука. — К.: КНЕУ, 2002. — 578 с.
13. Економіка підприємства: Підручник/ Ред. С.Ф. Покропивний. 3тє вид., без змін. К.: КНЕУ, 2006. 528 с. (До 100річчя Київського національного економічного університету)
14. Коцовська Р., Ричаківська В та інш. Операції комерційних банків – Львів : ЛБІ НБУ, 2001 – 276 с.
15. Крамаренко Г.О., Чорна О.Є. Фінансовий менеджмент. Киів: Центр навчальної літератури, 2006р. 520с.
16. Лагутин В.Д. Кредитование : теория и практика. Учебное пособие. 3 –е изд. К.: «Знание», 2002. 215 с.
17. Фінанси підприємств: Підручник / Кол. авт. під кер. проф. А. М. Поддєрьогіна. – К.: КНЕУ, 2004. 546 с.
18. Фінансовий менеджмент: Підручник/Кер. кол. авт. і наук. ред проф.А.М.Поддєрьогін. К.: КНЕУ, 2005. 536 с.
19. Шевченко Р. І. Банківські операції : Навч.метод. посіб. для самост. вивч.дисципліни / Київський національний економічний унт К. : КНЕУ, 2003. – 276с.
20. Шевченко Р. І. Кредитування і контроль : Навч.метод. посібник для самостійного вивчення дисципліни / Київський національний економічний унт. К. : КНЕУ, 2002. 183с.