Регіональна економіка сільського господарства України
КУРСОВА РОБОТА
з дисципліни «Регіональна економіка»
Тема: «Регіональна економіка сільського господарства України»
ЗМІСТ
ВСТУП
1 Продукція сільського господарства України (1990, 1995, 1996, 1997-2005) (діаграми)
2 Земельна площа і площа сільськогосподарських угідь по регіонах (карта, діаграми)
3 Посівні площі сільськогосподарських культур по регіонах (карта, діаграми)
4 Перелік регіонів першої «сімки» по валовому збору: зерна, цукрового буряка, насіння соняшника, картоплі, овочів
5 Перелік регіонів першої «сімки» по наявності поголів’я худоби (велика рогата худоба, свині, вівці та кози), виробництву м’яса, молока, яєць
СПИСОК ВИКОРИСТАНОЇ ЛІТЕРАТУРИ
ВСТУП
Україна – самостійна суверенна держава українського народу. Вона є однією із найбільших країн Європи, її площа 603,7 тис. км2., що становить 0,4 % площі земної суші. Земельні ресурси виступають територіальною базою розміщення народногосподарських об’єктів, системи розселення населення, а також основним засобом виробництва. Всі землі України не залежно від їх цільового призначення, господарського використання і особливостей правового режиму відносяться до земельних ресурсів і складають єдиний земельний фонд держави.
За рівнем розвитку, природо-ресурсним та соціально-економічним потенціалом Україна належить до середньо розвинутих країн світу з перехідною економікою. Проте вона співмірна з такими найбільшими країнами Європи, як Німеччина, Великобританія, Франція, Італія.
Україна мало поступається названим державам за потенціалом виробництва багатьох видів промислової продукції, зокрема сталі, залізної руди, мінеральних добрив. Переважає Італію у виробництві електроенергії, посідає 2 місце у Європі за видобутком вугілля. За сільськогосподарським потенціалом і пов’язаними з ними галузями агропромислового комплексу посідає у Європі 1 і 2 місце по виробництву зерна, цукрових буряків, цукру-піску, молока і ін.
Земля – один з найбільш універсальних природних ресурсів, необхідний для всіх галузей господарства, і одночасно – предмет та засіб праці. Загальний земельний фонд України становить близько 603,6 тис. км2, з яких 71,2% становлять сільськогосподарські землі, головним чином сільськогосподарські угіддя, якими зайнято майже 70% території України (у тому числі: рілля – 55,1%, багаторічні насадження – 1,7%, сіножатні і пасовища – 12,5%). Лісами вкрито 17,2% загальної площі держави, під забудовами знаходяться 3,8%. Майже 4% території України вкрито водою, 1,5% зайнято болотами. Інші землі (яри, піски, зсуви, радіоактивно забруднені території тощо) займають 4,1% загальної площі України.
Структура сільськогосподарських угідь значно впливає на регіональні особливості розміщення сировинної бази агропромислового комплексу. Саме тому вони викликають особливий інтерес. Показник забезпеченості населення сільськогосподарськими угіддями вважають найбільш об’єктивним при економічних оцінках земельних ресурсів. В Україні він складає 0,8 га на одного жителя, з них 0,65 га становить рілля.
Сільськогосподарські угіддя сконцентровані на території нерівномірно. Їх площа зростає від 37% у гірсько-лісовому регіоні Карпат до 90% у степах. На орні землі (ріллю) у структурі сільськогосподарських угідь припадає близько 76%, що свідчить про високу розораність території України. За цим показником Україна займає перше місце в Європі.
Розподіл земельного фонду України за землекористувачами: державні та колективні сільгосппідприємства, кооперативи, акціонерні товариства, фермерство – 77,3% земельного фонду; лісогосподарські підприємства – 11,9%; підприємства промисловості, транспорту, зв’язку та ін. – 3,5%; землі держаної власності – 5,5%, всі інші – 1,8%. Найвища залученість земель у господарство є у Львівській, Донецькій, Тернопільській областях; найвища сільськогосподарська освоєність території – Запорізька (88,3%), Миколаївська(86,6%), Кіровоградська (85,7%), Дніпропетровська (82,8%), Одеська (83,2%) та Херсонська (81,4%) області.
Проте особливе значення має продуктивність земель, яка залежить від природної родючості ґрунтів. У структурі ґрунтового покрову України домінують різновиди чорноземів, поширені майже на 55% площ орних земель. 10% орних земель займають опідзолені й деградовані чорноземи, 9% – каштанові, 7% – підзолисті, 6,7% – сірі лісові, 2,5% – солонцюваті, 2% – лужні та ін. В Україні зосереджено 25% покритих чорноземом площ світу1.
1 Продукція сільського господарства України (1990, 1995, 1996, 1997-2005) (діаграми)

Рис.1.1 - Територіальна спеціалізація сільського
господарства України [10]

Рис.1.2. – Динаміка виробництва продукції сільського господарства України [16]

Рис.1.3 – Динаміка виробництва окремих видів продукції сільського господарства України
(тваринництво) [16]

Рис.1.4 – Динаміка виробництва окремих видів продукції сільського господарства України
(рослинництво) [16]

Рис.1.5 – Динаміка темпів росту продукції сільського господарства України [16]
Стан сільського господарства у січні–вересні 2007 року2
Обсяг продукції сільського господарства в усіх категоріях господарств за січень-вересень п.р. проти відповідного періоду 2006р. скоротився на 5,1%, у т.ч. в аграрних підприємствах – на 6,4%, у господарствах населення – на 4,4%, що обумовлено зменшенням виробництва продукції рослинництва, особливо зернових культур.
Рослинництво. За 9 місяців п.р. обсяг виробництва продукції рослинництва порівняно з відповідним періодом 2006р. скоротився на 8,9%, у т.ч. в сільськогосподарських підприємствах – на 14,1%, у господарствах населення – на 5,7%.
Хід збирання врожаю станом на 1 жовтня 2007р. характеризується такими даними (у порівнянні з 2 жовтня 2006р.):
Таблиця 1.1
Хід збирання врожаю 2007 року
|
Валовий збір |
Зібрана площа |
Урожайність |
||||||
|
тис.т |
2007р. до 2006р. |
тис.га |
2007р. до 2006р. |
ц з 1 га |
2007р. (+, -) до 2006р. |
|||
|
+, — |
у % |
+, — |
у % |
|||||
|
Зернові та зернобобові культури (вкл. кукурудзу)1 |
25454,9 |
–4893,7 |
83,9 |
12060,6 |
–598,7 |
95,3 |
21,1 |
–2,9 |
|
у тому числі |
||||||||
|
пшениця (озима та яра)2 |
14532,1 |
150,7 |
101,0 |
5927,6 |
552,3 |
110,3 |
24,5 |
–2,3 |
|
кукурудза на зерно |
2636,8 |
1481,8 |
228,3 |
686,4 |
363,2 |
212,4 |
38,4 |
2,7 |
|
просо |
78,7 |
–45,4 |
63,5 |
74,6 |
–26,5 |
73,8 |
10,5 |
–1,8 |
|
гречка |
194,0 |
–53,6 |
78,3 |
237,1 |
–69,7 |
77,3 |
8,2 |
0,1 |
|
Рис |
56,4 |
22,4 |
166,0 |
10,4 |
4,0 |
162,5 |
54,1 |
1,5 |
|
Соняшник1 |
2680,9 |
–612,9 |
81,4 |
2014,8 |
–201,5 |
90,9 |
13,3 |
–1,6 |
|
Цукрові буряки (фабричні) |
3745,3 |
–3148,6 |
54,3 |
126,4 |
–124,0 |
50,5 |
296 |
21 |
|
Картопля |
18908,5 |
–289,9 |
98,5 |
1427,3 |
–17,9 |
98,8 |
132 |
–1 |
|
Овочі відкритого ґрунту |
4783,4 |
–788,1 |
85,9 |
354,1 |
1,7 |
100,5 |
135 |
–23 |
|
Плоди та ягоди |
1055,5 |
221,9 |
126,6 |
147,9 |
3,5 |
102,4 |
71,3 |
13,5 |
На початок жовтня п.р. виробництво зернових культур (включаючи кукурудзу) склало 25,5 млн.т (у початково оприбуткованій вазі), що на 16% менше порівняно з початком жовтня 2006р., в т.ч. сільськогосподарськими підприємствами намолочено 19,5 млн.т (на 15% менше), господарствами населення – 6,0 млн.т (на 19% менше).
Аграрними підприємствами зібрано 2,1 млн.т насіння соняшнику при середній урожайності 14,0 ц з 1 га (торік – відповідно 2,6 млн.т та 15,0 ц); цукрових буряків – 3,5 млн.т, що на 42% менше проти минулорічного (при зростанні урожайності до 303 ц з 1 га проти 280 ц – торік, зібрані площі майже вдвічі менші, ніж на початок жовтня 2006р.).
З урахуванням трансформації посівних площ на початок жовтня п.р. аграрним підприємствам (крім малих) залишалося зібрати 1,6% площ зернових та зернобобових культур (без кукурудзи), що підлягають до збирання (на початок жовтня 2006р. – 1,5%), кукурудзи на зерно – 74,7% (90,7%), соняшнику – 42,6% (42,9%), цукрових буряків (фабричних) – 76,7% (67,1% – торік).
Озимі на зерно і зелений корм (крім ріпаку) під урожай 2008 року аграрними підприємствами (крім малих) посіяно на площі 3,94 млн.га (99,6% минулорічного рівня), з яких 3,87 млн.га (98,2%) – посіви на зерно.
Тваринництво. У січні-вересні 2007р. обсяг виробництва продукції тваринництва порівняно з відповідним періодом 2006р. зріс на 0,2%, у т.ч. в аграрних підприємствах – на 5,4%, а в господарствах населення – скоротився на 2,5%.
Зростання загального виробництва м’яса відбулося за рахунок збільшення обсягу реалізації худоби та птиці на забій в сільськогосподарських підприємствах (на 23%). У структурі їхньої реалізації частка птиці становила 53% (у 2006р. – 54%), великої рогатої худоби – 23% (26%), свиней – 23% (21%). У той же час, відношення загального обсягу вирощування худоби та птиці до реалізації тварин на забій склало 100% (торік – 109%).
Таблиця 1.2
Виробництво основних видів продукції тваринництва
|
Усі категорії господарств |
Аграрні підприємства |
Господарства населення |
Частка населення, % |
|||||
|
січень-вересень 2007р. |
у % до січня-вересня 2006р. |
січень-вересень 2007р. |
у % до січня-вересня 2006р. |
січень-вересень 2007р. |
у % до січня-вересня 2006р. |
січень-вересень 2006р. |
січень-вересень 2007р. |
|
|
М’ясо3, тис.т |
1871,6 |
109,8 |
910,0 |
122,9 |
961,6 |
99,6 |
56,6 |
51,4 |
|
Молоко, тис.т |
9719,4 |
92,8 |
1758,6 |
87,8 |
7960,8 |
94,0 |
80,9 |
81,9 |
|
Яйця, млн.шт. |
10972,3 |
98,1 |
5513,9 |
97,8 |
5458,4 |
98,3 |
49,6 |
49,7 |
За 9 місяців п.р. проти відповідного періоду 2006р. аграрні підприємства зменшили продаж населенню молодняку свиней – на 150 тис. голів (на 17%), птиці – на 4,6 млн. голів (на 9,5%), а великої рогатої худоби – збільшили на 9,6 тис. голів (на 4%).
За розрахунками, на 1 жовтня 2007р. загальне поголів’я великої рогатої худоби склало 6,4 млн. голів (на 8% менше, ніж на 1 жовтня 2006р.), у т.ч. корів – 3,3 млн. (на 9% менше); більше було свиней – 8,3 млн. (на 2%); залишилася практично на минуло-річному рівні чисельність птиці всіх видів (196,7 млн.) та овець і кіз (1,9 млн. голів).
Станом на 1 жовтня п.р. в аграрних підприємствах (крім малих) було в наявності кормів усіх видів 3,1 млн.т кормових одиниць, що на 19% менше, ніж на відповідну дату 2006р., у т.ч. концентрованих – 1,1 млн.т к.од. (на 15% менше). У розрахунку на одну умовну голову великої худоби припадало по 7,5 ц к.од. кормів усіх видів, у т.ч. концентрованих – по 2,6 ц к.од. (на 1 жовтня 2006р. – відповідно 8,9 ц та 3,0 ц к.од.).
Реалізація сільськогосподарської продукції. Загальний обсяг реалізованої аграрними підприємствами власно виробленої продукції за січень–вересень 2007р. порівняно з відповідним періодом 2006р. зменшився на 3%, у т.ч. продукції рослинництва – на 14%, проте обсяг продукції тваринництва збільшився на 11%. Середні ціни продажу продукції аграрними підприємствами за всіма напрямами реалізації за січень–вересень 2007р. порівняно з відповідним періодом 2006р. зросли на 29%, у т.ч. на продукцію рослинництва на 53%, тваринництва – на 9%.
Таблиця 1.3
Реалізація основних видів продукції аграрними підприємствами
у січні–вересні 2007 року
|
Обсяг реалізованої продукції |
Середня ціна реалізації |
Довідково: вересень 2007р. |
||||
|
тис.т |
у % до січня-вересня 2006р. |
грн. за т (тис.шт.) |
у % до січня-вересня 2006р. |
грн. за т (тис.шт.) |
у % до серпня 2007р. |
|
|
Зернові культури |
8349,1 |
73,7 |
806,2 |
162,1 |
924,0 |
106,5 |
|
у т. ч. пшениця |
4877,3 |
82,0 |
760,0 |
148,9 |
862,3 |
107,2 |
|
Насіння соняшнику |
1508,2 |
124,7 |
1566,7 |
159,6 |
1989,0 |
113,4 |
|
Цукрові буряки |
949,3 |
47,3 |
152,3 |
84,4 |
152,3 |
125,0 |
|
Худоба та птиця (у живій вазі) |
910,0 |
122,0 |
6165,6 |
95,6 |
7536,2 |
107,5 |
|
у тому числі |
||||||
|
велика рогата худоба |
231,0 |
114,2 |
5472,5 |
101,0 |
6111,1 |
100,7 |
|
свині |
201,8 |
135,2 |
7273,3 |
83,7 |
9213,1 |
103,3 |
|
птиця |
472,6 |
121,2 |
6051,7 |
98,5 |
7607,3 |
112,9 |
|
Молоко та молочні продукти |
1424,5 |
89,2 |
1512,2 |
148,7 |
1777,1 |
112,9 |
|
Яйця, млн.шт. |
4766,6 |
98,2 |
233,1 |
130,0 |
311,0 |
121,0 |
Надходження продукції тваринництва на переробні підприємства. За 9 місяців п.р. від усіх категорій сільськогосподарських товаровиробників на переробні підприємства надійшло 534 тис.т худоби та птиці (у живій вазі), що на 29% більше, ніж за 9 місяців 2006р., та 4,6 млн.т молока (на 5% більше). Крім того, переробними підприємствами перероблено 414 тис.т власно вирощеної худоби та птиці (на 24% більше, ніж торік). Частка господарств населення у загальному обсязі закупленої переробними підприємствами худоби та птиці порівняно з минулорічним періодом зросла з 37,8% до 38,9%, молока – з 60,6% до 63,9%.
Наявність зерна. Станом на 1 жовтня 2007р. на підприємствах, що здійснюють зберігання, переробку зернових культур, та в сільськогосподарських підприємствах (крім малих) було в наявності 14,2 млн.т зерна (на 5% більше проти 1 жовтня 2006р.), у т.ч. 8,4 млн.т пшениці (на 15% більше). Безпосередньо в аграрних підприємствах було в наявності 7,2 млн.т зерна (на рівні минулорічного), у т.ч. 4,1 млн.т пшениці (на 20% більше). Зернозберігаючі та зернопереробні підприємства мали в наявності 7,0 млн.т зерна, у т.ч. зернозберігаючі – 4,7 млн.т.
Середня закупівельна ціна зернових культур, яку пропонували зберігаючі та переробні підприємства, у січні–вересні п.р. становила 822 грн. за т, з них на пшеницю – 792 грн. за т (торік – відповідно 534 грн. та 551 грн. за т).
2 Земельна площа і площа сільськогосподарських угідь по регіонах (карта, діаграми)
Ефективність регіональної політики залежить від чіткого визначення території регіону, його меж, природно-ресурсного та соціально-економічного стану. Адже регіон — це об'єкт регіональної політики, — тому велике значення має економічне районування країни, тобто виокремлення на її території самостійних регіонів, які представляють економічні райони.
Економічне районування України — непроста проблема. Регіональний аналіз для здійснення районування доцільно почати на рівні адміністративних областей. Шляхом синтезу найважливіших показників економічного розвитку (національний дохід на душу населення; валовий продукт на душу населення; продуктивність суспільної цраці; виробництво продукції промисловості й сільського господарства на душу населення; обсяг матеріального достатку на душу населення; забезпеченість території природно-ресурсним потенціалом; демографічний потенціал тощо) В. Поповкін визначив вагу кожної області в економіці країни й сформував групи-мезорайони: Донбас, Катеринославське Придніпров'я, Слобідська Україна, Київське Полісся, Волинське Полісся, Українські Карпати, Поділля, Середнє Придніпров'я, Північне Причорномор'я, Крим. На підставі мезорайонування він виокремив п'ять макроекономічних районів [12]:
1) Центральноукраїнський (Київська, Чернігівська, Житомирська, Черкаська, Кіровоградська області);
2) Донбас та Нижнє Придніпров'я (Донецька, Дніпропетровська, Луганська, Запорізька області);
3) Слобідська Україна (Харківська, Сумська, Полтавська області);
4) Причорноморський (Одеська, Миколаївська, Херсонська області та Автономна Республіка Крим);
5) Західноукраїнський (Рівненська, Волинська, Львівська, Івано-Франків-ська, Тернопільська, Вінницька, Хмельницька, Закарпатська, Чернівецька області).
Мережа районів, яку запропонував В. Поповкін, є найбільш обґрунтованою, бо об'єктивно віддзеркалює особливості сучасного регіонального розвитку України. Тому характеристика макрорегіонів України в курсовій роботі дається саме за В. Поповкіним. Назви деяких регіонів спрощені, а саме: Донбас і Нижнє Придніпров'я ми названі Донецько-придніпровським районом, а Слобідська Україна — Північно-Східним.
1) ЦЕНТРАЛЬНОУКРАЇНСЬКИЙ ЕКОНОМІЧНИЙ РАЙОН
Район складається з Київської, Чернігівської, Черкаської, Житомирської й Кіровоградської областей. За територією (136,2 тис. км2, або 22,6% загальноукраїнського показника) він поступається лише Західноукраїнському, а за кількістю населення (9,9 млн чол.) — Донецько-Придніпровському й Західноукраїнському.
Агропромисловий комплекс Центральноукраїнського району є однією з найважливіших ланок структури народного господарства. Значення сільського господарства й харчової промисловості виходить за межі району. Питома вага валової продукції сільського господарства в загальноукраїнському обсязі становить 23% (друге місце після Західноукраїнського району). На Центральноукраїнський район припадає 21% виробленого країною зерна, 28% цукрових буряків, 13% соняшнику, 19% овочів, 22% м'яса, 27% картоплі.
Агропромисловий комплекс району характеризується великою структурно-галузевою різноманітністю, що зумовлює його розташування у трьох природно-кліматичних зонах. Полісся спеціалізується на молочно-м'ясному скотарстві, льонарстві й картоплярстві. За виробництвом картоплі Чернігівська область посідає перше місце серед областей України, хоч загалом район у цьому відношенні поступається Західноукраїнському. Спеціалізація лісостепової зони — цукрові буряки, зернові культури (пшениця, ячмінь), м'ясо-молочне скотарство, свинарство. Більша частина території району входить до "цукрового поясу" України. Південна половина Кіровоградщини входить до степової зони. Тут ще є цукрові буряки, але вже з'являється соряшник. Зернові культури (пшениця, ячмінь, кукурудза) мають більшу питому вагу в посівах в порівнянні з попередніми зонами. Скотарство має м'ясо-молочний напрямок; поширене свинарство, яке базується, зокрема, на зерні, відходах цукроваріння й олійництва.
2). ЗАХІДНОУКРАЇНСЬКИЙ ЕКОНОМІЧНИЙ РАЙОН
До складу району входять Рівненська, Волинська, Львівська, Івано-Фран-ківська, Тернопільська, Вінницька, Хмельницька, Закарпатська та Чернівецька області. Це — найбільший район в Україні за площею (158 км2, або 26,1% території України) і другий за кількістю населення (13,2 мільйони чоловік, або 26,0%) після Донецько-Придніпровського.
Агропромисловий комплекс характеризується значним обсягом валової продукції та галузевою різноманітністю; це район зернового господарства, найбільшого в країні виробництва цукрових буряків (43% до загальноукраїнського виробництва), льонарства, овочівництва, виробництва м'яса (27%), у Закарпатті вирощується виноград.
За природними умовами район поділяється на кілька зон сільськогосподарської спеціалізації. Полісся спеціалізується на молочно-м'ясному скотарстві, льонарстві, картоплярстві. Передкарпатська зона представлена льонарством, цукровими буряками, скотарством м'ясо-молочного напряму, свинарством. Гірська зона Карпат зайнята пасовиськами зі спеціалізацією на м'ясо-молочному скотарстві й вівчарстві.
Найбільшу територію займає лісостепова зона, яка спеціалізується на виробництві цукрових буряків, зернових культурах (пшениця, ячмінь), м'ясо-молочному скотарстві, свинарстві. Три області Поділля (Вінницька, Хмельницька і Тернопільська) виробляють 68% цукрових буряків району, 61% зерна, 42% овочів, 44% м'яса. Найбільш розвинений АПК у Вінницькій області. Закарпаття спеціалізується на виноградарстві, овочівництві, тютюнництві, м'ясо-молочному скотарстві, вівчарстві.
3). ДОНЕЦЬКО-ПРИДНІПРОВСЬКИЙ ЕКОНОМІЧНИЙ РАЙОН
Складається з Донецької, Луганської, Дніпропетровської й Запорізької областей. Територія району — 112,3 тис. км2 (18,6% території країни), населення — 13,6 млн чол. (26,9%). Важка промисловість визначає профіль економіки району.
Сільське господарство перебувають у "затінку" важкої індустрії, але й вона дають значний внесок в економіку країни: район посідає перше місце за виробництвом, зерна (22% ), соняшнику (44% ), овочів (25%).
4). ПІВНІЧНО-СХІДНИЙ ЕКОНОМІЧНИЙ РАЙОН
До складу району входять Харківська, Полтавська й Сумська області. За територією—84 тис. км2 (13,9% території України) та кількістю населення — 6,1 млн чол. (12,1%) Північно-Східний район найменший. Проте його роль в економічному потенціалі держави досить велика. Він має розвинений агропромисловий комплекс; за виробництвом цукрового буряка (23,5% обсягу в країні) й соняшника (17,4%) район посідає третє місце.
5). ПРИЧОРНОМОРСЬКИЙ (ПІВДЕННИЙ) ЕКОНОМІЧНИЙ РАЙОН
Район складається з Автономної Республіки Крим, Одеської, Миколаївської та Херсонської областей. Площа району — 113,4 тис. км2 (18,8% загальноукраїнської території), населення — 7,7 млн чол. (15,2%).
Сільськогосподарські угіддя займають приблизно 70 % всієї території України. З них рілля становить 55 % від загальної площі, пасовища – 9 %, сіножаті – 4 % та багаторічні насадження – менше 2 %. Землезабезпеченість в Україні становить 0,80 га сільськогосподарських угідь, у тому числі 0,64 га ріллі на одну людину. Однак внаслідок різної щільності населення та міграцій існує значна варіація цих показників в різних регіонах та в різні проміжки часу.

Рис.1.1 - Природно-кліматичні зони України [8]
Рис.1.2 – Рейтинг регіонів України по адміністративній площі територій та населенню (питома вага в %) [16]
За природно-кліматичними умовами Україна поділяється (рис.1):
1. БОЛОТИСТА ЛІСОВА МІСЦЕВІСТЬ і КАРПАТСЬКА ЗОНА (ПОЛІССЯ): Івано-Франківська, Чернігівська, Львівська, Рівненська, Волинська, Закарпатська і Житомирська області (ПІВНІЧНА ЗОНА)
Це зона змішаних лісів; вона займає північну частину України. Південна межа між поліссям та лісостепом проходить по лінії Володимир-Волинський-Луцьк-Рівне-Корець-Шепетівка-Полонне-Чуднів-Троянів-Житомир-Крнин-Київ-Ніжин-Батурин-Кролевець-Глухів. На захід від Шепетівки до Рави-Руської тягнеться між Волинською височиною на півночі і Подільською на півдні смуга так званого Малого полісся.
Загальна площа Полісся становить 113 500 кв. км або близько 19 % всієї території України. Характерною рисою природних умов цієї зони є здебільшого мозаїчний характер природних комплексів з низинним рельєфом, якому притаманні широкі та здебільшого заболочені низини.
Клімат Полісся континентальний з теплими і вологими літами та м’якими зимами. Середня температура повітря в липні становить +17 – +19°C, у січні вона знижується до -4.5 – -7.8°C. Період вегетації триває з другої декади квітня до третьої декади жовтня. Період із середньодобовими температурами понад +15°C триває приблизно 95-125 діб. Річна сума температур, які перевищують +10°C, становить близько 2 600. Період без легких заморозків на поверхні ґрунту складає 160-180 днів. Рельєф – рівний, середньорічний рівень опадів становить 550-650 мм. Найбільша кількість опадів, на рівні 400-450 мм, випадає в зоні торф’яно–підзолистих ґрунтів, домінуючих у верхніх шарах ґрунту, які займають десь 75 % території Полісся, вони . Середній рівень лісистості зони становить 30 %. Рілля займає 33 % всієї території зони, що становить понад 4 мільйони га, сінокоси – 1,2 мільйони га та пасовиська – 0,7 мільйонів га. Ця територія є широкою просторовою базою для виробництва зернових (жита, вівса і гречки), технічних культур, льону, хмелю, цукрового буряка та картоплі, а також для переробки льону, м’яса і молочних продуктів.
2. ЛІСОСТЕПОВА ЗОНА (Лісостеп) — Черкаська, Чернівецька, Харківська, Хмельницька, Київська, Полтавська, Сумська, Тернопільська і Вінницька області (ЦЕНТРАЛЬНА ЗОНА)
Ця зона розташована між Поліссям і Лісостепом. Південна межа проходить по лінії Фрунзівка-Озеро Ананіїв- Криве- Вільшана — на північ від Кіровоград-Знам’янка-Кременчук-Красноград-Зміїв. Площа зони становить 202 000 кв. км., в основному це рівнинна територія, лівобережну частину якої складає Волинсько-Подільська височина, а правобережну – Дністровська височина Дніпра.
Клімат зони помірно-континентальний. Середня температура липня в північно-західній частині становить +18°C, а на півдні вона сягає +22°C. Середня температура січня – в межах від -5 до -8°C. Період вегетації в середньому триває 200-210 днів. Період, коли середня добова температура перевищує +15°C, на заході складає приблизно 100 днів, а на південному сході – приблизно 120 днів. Річна сума температур, які перевищують +10°C, на півночі становить 2 500 – 2 600, а на півдні – приблизно 2 800. Період без легких заморозків на поверхні ґрунту триває приблизно 135-140 днів. В західній частині зони випадає в середньому близько 550-700 мм опадів, в центральній частині – 500-550 мм, а на південному сході – 450 мм. Найбільша кількість опадів, близько 75 %, випадає від квітня до вересня.
Верхні шари ґрунту є досить різноманітними за складом, від підзолистих грунтів до типових чорноземів. Лісистість території незначна – близько 12 %. Сільськогосподарські угіддя займають 70 % території, в т.ч. 66 % – це рілля. Спеціалізація сільського господарства Лісостепу – буряківництво та зерновиробництво, а також в молочне та м’ясне тваринництво і відгодівля свиней. У структурі посівних площ: озима пшениця займає понад 30 %, кукурудза – 10 %, близько 8 % – ячмінь та бобові. Більше 10 % посівних площ зайнято цукровим буряком та соняшником.
3.СТЕПОВА ЗОНА (СТЕП) – Кримська, Дніпропетровська, Донецька, Херсонська, Кіровоградська, Луганська, Миколаївська, Одеська та Запорізька області (ПІВДЕННА ЗОНА)
Ця зона включає всю південну та східну частини України, від Чорного і Азовського морів на півдні до зони Лісостепу на півночі. Площа становить близько 240 200 кв. км., рельєф здебільшого рівнинний.
Клімат зони помірно-континентальний із спекотним літом і холодною зимою. Середня температура січня становить від -5 до -7°C, в липні – +21- +23°C. Тривалість періоду вегетації, як правило, становить210-245 днів, а періоду із середньою температурою понад +15°C – 120-140 днів. Річна сума температур, які перевищують 10°C, становить від 2 800 до 3 600.
Середньорічна кількість опадів становить від 350 мм на півдні до 500 мм на півночі. Більшість опадів випадає в літні місяці, часто бувають зливи. Коефіцієнт зволоження на півдні зони становить 0,8, на півночі – 1,3. У південній частині часто бувають пилові бурі та суховії.
Чорноземи (займають приблизно 90 % площі зони) переважають у верхньому шарі ґрунтів. Темні каштанові чорноземи є типовими для південної частини. Зона Степу є найбільш розораною в Україні, і приблизно 48 % ріллі країни знаходиться тут.
Сільське господарство спеціалізується на вирощуванні зернових, фруктів і овочів, а також на виноградарстві. Основними зерновими є озима пшениця, куку-рудза, ячмінь і технічні культури, соняшник. Широко поширене овочівництво, особливо в приміських зонах великих міст, наприклад, Донецька.
Таблиця 2
Площа регіонів та площа сільскогосподарських угідь по регіонах України [16]

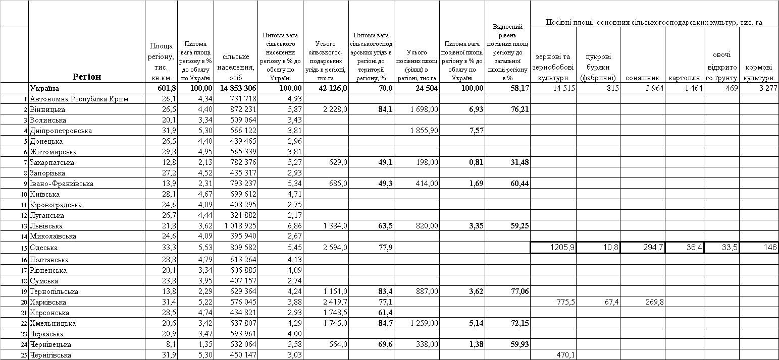
3 Посівні площі сільськогосподарських культур по регіонах (карта, діаграми)
Таблиця 3.1
Динаміка обсягів посівних площ під основні рослинницькі культури в сільському господарстві України в 1990 – 2006 роках [16]
|
|
Посівні площі основних сільськогосподарських культур, тис. га |
|||||
|
зернові та зернобобові культури |
цукрові буряки (фабричні) |
соняшник |
картопля |
овочі відкритого ґрунту |
кормові культури |
|
|
1990 |
14583 |
1607 |
1636 |
1429 |
456 |
11999 |
|
1991 |
14671 |
1558 |
1601 |
1533 |
477 |
11555 |
|
1992 |
13903 |
1498 |
1641 |
1702 |
500 |
11707 |
|
1993 |
14305 |
1530 |
1637 |
1552 |
474 |
11287 |
|
1994 |
13527 |
1485 |
1784 |
1532 |
457 |
11881 |
|
1995 |
14152 |
1475 |
2020 |
1532 |
503 |
10898 |
|
1996 |
13248 |
1359 |
2107 |
1547 |
476 |
11026 |
|
1997 |
15051 |
1104 |
2065 |
1579 |
480 |
9720 |
|
1998 |
13718 |
1017 |
2531 |
1513 |
459 |
9236 |
|
1999 |
13154 |
1022 |
2889 |
1552 |
497 |
8653 |
|
2000 |
13646 |
856 |
2943 |
1629 |
538 |
7063 |
|
2001 |
15586 |
970 |
2502 |
1604 |
490 |
6375 |
|
2002 |
15448 |
897 |
2834 |
1590 |
479 |
5858 |
|
2003 |
12495 |
773 |
4001 |
1585 |
480 |
5074 |
|
2004 |
15434 |
732 |
3521 |
1556 |
476 |
4243 |
|
2005 |
15005 |
652 |
3743 |
1514 |
465 |
3738 |
|
2006 |
14515 |
815 |
3964 |
1464 |
469 |
3277 |
Таблиця 3.2
Регіональна структура посівних площ (ріллі) по Україні у 2007 році

4 Перелік регіонів першої «сімки» по валовому збору: зерна, цукрового буряка, насіння соняшника, картоплі, овочів
Таблиця 4.1
Динаміка обсягів збору основних сільськогосподарських культур в Україні в 1990 –2006 роках [16]
|
|
Валовий збір основних сільськогосподарських культур, тис. т |
|||||
|
зернові та зернобобові культури (у вазі після доробки) |
цукрові буряки (фабричні) |
насіння соняшнику (у вазі після доробки) |
картопля |
овочі |
плоди та ягоди |
|
|
1990 |
51009 |
44264 |
2571 |
16732 |
6666 |
2902 |
|
1991 |
38674 |
36168 |
2311 |
14550 |
5932 |
1537 |
|
1992 |
38537 |
28783 |
2127 |
20277 |
5310 |
2122 |
|
1993 |
45623 |
33717 |
2075 |
21009 |
6055 |
2798 |
|
1994 |
35497 |
28138 |
1569 |
16102 |
5142 |
1153 |
|
1995 |
33930 |
29650 |
2860 |
14729 |
5880 |
1897 |
|
1996 |
24571 |
23009 |
2123 |
18410 |
5070 |
1924 |
|
1997 |
35472 |
17663 |
2308 |
16701 |
5168 |
2793 |
|
1998 |
26471 |
15523 |
2266 |
15405 |
5492 |
1178 |
|
1999 |
24581 |
14064 |
2794 |
12723 |
5324 |
766 |
|
2000 |
24459 |
13199 |
3457 |
19838 |
5821 |
1453 |
|
2001 |
39706 |
15575 |
2251 |
17344 |
5907 |
1106 |
|
2002 |
38804 |
14452 |
3271 |
16619 |
5827 |
1211 |
|
2003 |
20234 |
13392 |
4254 |
18453 |
6538 |
1697 |
|
2004 |
41809 |
16600 |
3050 |
20755 |
6964 |
1635 |
|
2005 |
38016 |
15468 |
4706 |
19462 |
7295 |
1690 |
|
2006 |
34258 |
22421 |
5324 |
19467 |
8058 |
1114 |
Таблиця 4.2
Динаміка урожайності основних сільськогосподарських культур в Україні в 1990 –2006 роках [16]
|
Урожайність основних сільськогосподарських культур, ц з 1 га зібраної площі |
||||||
|
зернові та зернобобові культури |
цукрові буряки (фабричні) |
насіння соняшнику |
картопля |
Овочі |
плоди та ягоди |
|
|
1990 |
35,1 |
276 |
15,8 |
117 |
149 |
42,7 |
|
1991 |
26,5 |
234 |
14,6 |
95 |
128 |
23,0 |
|
1992 |
27,9 |
194 |
13,0 |
119 |
110 |
32,2 |
|
1993 |
32,1 |
222 |
12,7 |
137 |
130 |
43,2 |
|
1994 |
26,8 |
192 |
9,1 |
105 |
115 |
18,0 |
|
1995 |
24,3 |
205 |
14,2 |
96 |
120 |
29,8 |
|
1996 |
19,6 |
183 |
10,5 |
119 |
112 |
30,6 |
|
1997 |
24,5 |
176 |
11,5 |
106 |
114 |
44,5 |
|
1998 |
20,8 |
174 |
9,3 |
102 |
123 |
28,6 |
|
1999 |
19,7 |
156 |
10,0 |
82 |
111 |
19,2 |
|
2000 |
19,4 |
177 |
12,2 |
122 |
112 |
38,4 |
|
2001 |
27,1 |
183 |
9,4 |
108 |
123 |
30,5 |
|
2002 |
27,3 |
189 |
12,0 |
104 |
124 |
36,5 |
|
2003 |
18,2 |
201 |
11,2 |
116 |
139 |
56,0 |
|
2004 |
28,3 |
238 |
8,9 |
133 |
149 |
58,1 |
|
2005 |
26,0 |
248 |
12,8 |
128 |
157 |
63,7 |
|
2006 |
24,1 |
285 |
13,6 |
133 |
171 |
45,0 |
Таблиця 4.3
Валовий збір основних сільськогосподарських
культур у 2007 році (тис. т)
|
|
Зернові та зернобобові культури |
Цукрові буряки (фабричні) |
Насіння соняшнику |
Картопля |
Овочі відкритого ґрунту |
|
Станом на 1 серпня |
19923,5 |
- |
- |
868,4 |
1081,8 |
|
Станом на 31 серпня |
22537,8 |
8,9 |
272,5 |
9541,7 |
2859,3 |
|
Станом на 1 жовтня |
25454,9 |
3745,3 |
2680,9 |
18908,5 |
4783,4 |
Таблиця 4.4
Регіональна структура врожаю основних рослинницьких культур на посіяних площах (ріллі)
по Україні у 2006 - 2007 роках

Таблиця 4.5
Рейтинг регіональних врожаїв зернових та зернобобових
по Україні у 2006 році
Таблиця 4.6
Рейтинг регіональних врожаїв пшениці по Україні у 2006 році

5. Перелік регіонів першої «сімки» по наявності поголів’я худоби (велика рогата худоба, свині, вівці та кози), виробництву м’яса, молока, яєць
Таблиця 5.1
Динаміка поголів’я худоби та птиці по Україні у 2007 році (тис. голів)
|
|
Велика рогата худоба |
У т.ч. корови |
Свині |
Вівці та кози |
Птиця, млн. голів |
|
На 1 лютого 2007р. |
6196,9 |
3338,0 |
7935,6 |
1647,8 |
160,4 |
|
На 1 березня 2007р. |
6395,1 |
3334,7 |
8162,9 |
1766,8 |
158,1 |
|
На 1 квітня 2007р. |
6674,1 |
3337,7 |
8266,7 |
1962,1 |
155,0 |
|
На 1 травня 2007р. |
6850,3 |
3351,4 |
8175,1 |
2064,5 |
159,6 |
|
На 1 червня 2007р. |
6830,8 |
3346,9 |
8374,7 |
2070,8 |
178,1 |
|
На 1 липня 2007р. |
6762,7 |
3339,1 |
8443,5 |
2048,8 |
199,1 |
|
На 1 серпня 2007р. |
6672,2 |
3323,4 |
8375,5 |
2016,0 |
207,7 |
|
На 1 вересня 2007р. |
6540,9 |
3297,3 |
8281,7 |
1966,2 |
201,4 |
|
На 1 жовтня 2007р. |
6399,0 |
3276,7 |
8250,8 |
1908,9 |
196,7 |
Таблиця 5.2
Динаміка виробництва основних продуктів тваринництва по Україні
у 2007 році [16]
|
|
М’ясо усіх видів (у живій вазі), тис.т |
Молоко, тис. т |
Яйця, млн. шт. |
Вовна, т |
|
Січень |
268,4 |
607,4 |
993,8 |
- |
|
Січень-лютий |
456,6 |
1227,8 |
1956,2 |
- |
|
Січень-березень |
669,5 |
2134,8 |
3230,5 |
- |
|
Січень-квітень |
915,4 |
3211,1 |
4642,0 |
- |
|
Січень-травень |
1090,0 |
4578,2 |
6100,4 |
- |
|
Січень-червень |
1269,7 |
5968,2 |
7394,2 |
2602 |
|
Січень-липень |
1459,3 |
7332,6 |
8638,8 |
3109 |
|
Січень-серпень |
1660,2 |
8609,9 |
9865,7 |
3205 |
|
Січень-вересень |
1871,6 |
9719,4 |
10972,3 |
3272 |
Таблиця 5.3
Виробництво основних продуктів тваринництва в усіх категоріях господарств за січень–грудень 2005 року [16]
|
|
Реалізація худоби та птиці на забій (у живій вазі) |
Молоко |
Яйця всіх видів |
Вовна |
||||
|
тис.т |
у % до січня–грудня 2004р. |
тис.т |
у % до січня–грудня 2004р. |
млн. шт. |
у % до січня–грудня 2004р. |
т |
у % до січня–грудня 2004р. |
|
Україна |
2367,5 |
98,0 |
13802,5 |
100,1 |
13025,5 |
109,0 |
3216 |
100,4 |
|
Автономна Республіка Крим |
156,8 |
110,9 |
346,8 |
92,5 |
571,4 |
104,3 |
609 |
115,3 |
Вінницька |
76,6 |
74,3 |
848,8 |
110,0 |
570,0 |
133,9 |
21 |
80,8 |
|
Волинська |
89,2 |
106,2 |
550,2 |
105,4 |
219,4 |
102,5 |
22 |
95,7 |
|
Дніпропетровська |
160,5 |
118,3 |
493,7 |
100,2 |
882,1 |
119,5 |
31 |
88,6 |
|
Донецька |
122,2 |
103,5 |
605,3 |
104,8 |
1388,7 |
110,0 |
157 |
101,3 |
|
Житомирська |
69,4 |
88,5 |
730,9 |
102,9 |
440,7 |
107,7 |
23 |
95,8 |
|
Закарпатська |
73,6 |
101,0 |
395,7 |
90,2 |
298,6 |
101,4 |
196 |
100,0 |
|
Запорізька |
77,2 |
102,7 |
383,8 |
102,0 |
556,7 |
116,1 |
59 |
92,2 |
|
Івано-Франківська |
87,5 |
101,3 |
576,3 |
101,0 |
346,4 |
116,1 |
51 |
85,0 |
|
Київська |
230,5 |
120,7 |
692,6 |
97,6 |
1455,6 |
105,7 |
4 |
80,0 |
|
Кіровоградська |
65,5 |
88,8 |
394,8 |
100,7 |
283,3 |
105,5 |
32 |
103,2 |
|
Луганська |
65,4 |
101,7 |
409,3 |
102,8 |
608,1 |
102,9 |
65 |
98,5 |
|
Львівська |
123,1 |
96,7 |
930,3 |
97,0 |
550,1 |
106,5 |
14 |
93,3 |
|
Миколаївська |
44,2 |
95,3 |
432,3 |
97,2 |
313,7 |
132,5 |
64 |
112,3 |
|
Одеська |
81,1 |
76,9 |
606,5 |
84,4 |
684,8 |
100,1 |
1449 |
99,3 |
|
Полтавська |
55,6 |
87,3 |
754,0 |
112,1 |
537,8 |
101,7 |
13 |
100,0 |
|
Рівненська |
67,8 |
88,7 |
502,0 |
98,4 |
327,9 |
106,3 |
21 |
116,7 |
|
Сумська |
94,7 |
96,4 |
498,0 |
99,2 |
371,6 |
110,8 |
33 |
100,0 |
|
Тернопільська |
63,5 |
89,4 |
485,4 |
99,0 |
290,8 |
104,5 |
5 |
83,3 |
|
Харківська |
139,0 |
96,2 |
566,0 |
100,9 |
752,1 |
108,1 |
42 |
75,0 |
|
Херсонська |
62,3 |
100,8 |
357,5 |
104,0 |
248,6 |
107,1 |
143 |
88,8 |
|
Хмельницька |
75,9 |
69,6 |
722,7 |
95,2 |
190,3 |
110,8 |
15 |
93,8 |
|
Черкаська |
146,4 |
101,8 |
518,4 |
102,9 |
534,7 |
118,1 |
5 |
83,3 |
|
Чернівецька |
51,4 |
100,2 |
367,6 |
100,4 |
243,8 |
97,9 |
127 |
95,5 |
|
Чернігівська |
88,1 |
96,2 |
633,6 |
101,9 |
358,3 |
100,3 |
15 |
93,8 |
Таблиця 5.4
Виробництво основних продуктів тваринництва за січень–грудень 2006 року [16]
|
|
Реалізовано на забій худоби та птиці (у живій вазі) |
Молоко |
Яйця всіх видів |
|||
|
тис.т |
у % до січня–грудня 2005р. |
тис.т |
у % до січня–грудня 2005р. |
млн.шт. |
у % до січня–грудня 2005р. |
|
|
Україна |
2547,0 |
106,6 |
13269,8 |
96,8 |
14228,0 |
109,1 |
|
Автономна Республіка Крим |
164,5 |
104,7 |
322,6 |
93,0 |
602,4 |
103,5 |
|
Вінницька |
95,0 |
123,2 |
851,6 |
100,3 |
639,5 |
112,2 |
|
Волинська |
97,0 |
108,9 |
544,3 |
98,9 |
213,1 |
97,0 |
|
Дніпропетровська |
183,9 |
114,3 |
474,4 |
96,0 |
974,7 |
110,6 |
|
Донецька |
144,4 |
109,6 |
476,3 |
92,6 |
1442,0 |
103,8 |
|
Житомирська |
76,0 |
108,9 |
727,9 |
99,5 |
502,0 |
113,9 |
|
Закарпатська |
74,1 |
100,7 |
395,0 |
99,8 |
289,0 |
96,8 |
|
Запорізька |
81,5 |
106,1 |
375,9 |
97,9 |
659,1 |
118,3 |
|
Івано-Франківська |
92,6 |
105,8 |
570,1 |
98,9 |
505,2 |
145,5 |
|
Київська |
272,8 |
118,2 |
612,0 |
88,3 |
1705,3 |
116,6 |
|
Кіровоградська |
62,5 |
95,4 |
389,9 |
98,7 |
297,9 |
105,2 |
|
Луганська |
65,5 |
94,2 |
371,4 |
90,8 |
656,9 |
107,9 |
|
Львівська |
137,1 |
110,6 |
893,2 |
96,0 |
563,7 |
102,8 |
|
Миколаївська |
43,5 |
97,1 |
413,1 |
95,6 |
327,0 |
104,2 |
|
Одеська |
74,4 |
91,5 |
535,0 |
88,2 |
616,4 |
90,1 |
|
Полтавська |
68,2 |
113,3 |
799,8 |
106,1 |
573,5 |
106,6 |
|
Рівненська |
70,8 |
104,3 |
499,4 |
99,5 |
331,0 |
100,9 |
|
Сумська |
94,2 |
99,9 |
487,0 |
97,8 |
385,1 |
103,6 |
|
Тернопільська |
62,2 |
97,8 |
469,7 |
96,8 |
384,6 |
132,6 |
|
Харківська |
138,8 |
99,8 |
531,9 |
93,9 |
883,2 |
117,4 |
|
Херсонська |
66,8 |
104,7 |
354,0 |
99,0 |
260,3 |
104,2 |
|
Хмельницька |
75,1 |
98,4 |
689,0 |
95,4 |
219,2 |
113,3 |
|
Черкаська |
162,3 |
110,6 |
515,2 |
99,3 |
614,2 |
114,9 |
|
Чернівецька |
56,3 |
109,3 |
360,8 |
98,1 |
257,5 |
105,6 |
|
Чернігівська |
87,5 |
101,3 |
610,3 |
96,3 |
325,2 |
90,7 |
Таблиця 5.5
Виробництво основних продуктів тваринництва за січень–вересень 2007 року [16]
|
Реалізовано на забій худоби та птиці (у живій вазі) |
Молоко |
Яйця всіх видів |
||||
|
тис.т |
у % до січня–вересня 2006р. |
тис.т |
у % до січня–вересня 2006р. |
млн.шт. |
у % до січня–вересня 2006р. |
|
Україна |
1871,6 |
109,8 |
9719,4 |
92,8 |
10972,3 |
98,1 |
|
Автономна Республіка Крим |
134,5 |
111,6 |
267,8 |
103,4 |
463,5 |
98,0 |
|
Вінницька |
70,2 |
117,2 |
632,6 |
97,8 |
526,3 |
101,7 |
|
Волинська |
70,4 |
112,5 |
405,2 |
94,0 |
166,4 |
87,9 |
|
Дніпропетровська |
144,1 |
116,0 |
325,2 |
87,6 |
687,5 |
94,2 |
|
Донецька |
95,7 |
111,4 |
331,5 |
85,0 |
990,8 |
90,7 |
|
Житомирська |
50,6 |
89,4 |
521,2 |
87,1 |
382,1 |
91,1 |
|
Закарпатська |
44,8 |
99,6 |
321,4 |
100,5 |
244,6 |
99,8 |
|
Запорізька |
66,3 |
117,1 |
249,1 |
87,2 |
465,6 |
92,8 |
|
Івано-Франківська |
63,8 |
106,7 |
416,8 |
95,0 |
438,0 |
113,6 |
|
Київська |
212,7 |
112,5 |
418,7 |
88,5 |
1320,2 |
104,1 |
|
Кіровоградська |
47,0 |
106,6 |
295,5 |
95,5 |
271,9 |
107,0 |
|
Луганська |
46,5 |
103,6 |
279,5 |
92,6 |
469,3 |
92,4 |
|
Львівська |
101,6 |
110,7 |
668,0 |
91,1 |
455,8 |
98,4 |
|
Миколаївська |
32,8 |
114,3 |
301,3 |
90,6 |
257,9 |
101,9 |
|
Одеська |
69,1 |
120,4 |
374,8 |
87,8 |
437,8 |
85,0 |
|
Полтавська |
54,7 |
122,6 |
529,7 |
90,7 |
419,0 |
94,6 |
|
Рівненська |
56,0 |
109,4 |
377,7 |
95,7 |
284,6 |
106,7 |
|
Сумська |
42,5 |
77,6 |
367,9 |
92,6 |
270,1 |
80,8 |
|
Тернопільська |
40,3 |
106,1 |
362,9 |
97,3 |
314,8 |
94,7 |
|
Харківська |
87,0 |
97,2 |
378,8 |
90,7 |
623,1 |
95,1 |
|
Херсонська |
52,3 |
112,2 |
254,4 |
93,0 |
204,3 |
100,0 |
|
Хмельницька |
49,8 |
106,4 |
508,2 |
93,1 |
281,3 |
170,3 |
|
Черкаська |
143,5 |
122,6 |
406,4 |
98,4 |
492,4 |
103,5 |
|
Чернівецька |
38,4 |
110,0 |
262,3 |
95,1 |
256,1 |
117,2 |
|
Чернігівська |
57,0 |
104,0 |
462,5 |
95,8 |
248,9 |
89,9 |
Таблиця 5.6
Рейтинг поголів’я ВРХ(усього) по регіонах станом на 1 березня 2007 року

Таблиця 5.7
Рейтинг поголів’я ВРХ(корів) по регіонах станом на 1 березня 2007 року

Таблиця 5.8
Рейтинг поголів’я свиней по регіонах станом на 1 березня 2007 року

Таблиця 5.9
Рейтинг поголів’я овець та кіз по регіонах станом на 1 березня 2007 року

Таблиця 5.10
Рейтинг поголів’я птиці по регіонах станом на 1 березня 2007 року

Таблиця 5.11
Рейтинг виробництва м’яса по регіонах за 2005 –2007 роки

Таблиця 5.12
Рейтинг виробництва молока по регіонах за 2005 –2007 роки

Таблиця 5.13
Рейтинг виробництва яєць по регіонах за 2005 –2007 роки

Таблиця 5.14
Адміністративна площа, чисельність та структура населення України по регіонах станом на 1 березня 2007 року

Таблиця 5.15
Рейтинг виробництва м’яса на душу населення по регіонах за 2007 рік

Таблиця 5.16
Рейтинг виробництва молока на душу населення по регіонах за 2007 рік

Таблиця 5.17
Рейтинг виробництва яєць на душу населення по регіонах за 2007 рік

Таблиця 5.18
Підсумковий рейтинг виробництва продуктів тваринництва по регіонах за 2007 рік (перші “сімки” за обсягами та за обсягами на душу населення)

Список використаної літератури
1. Борух, Віра Онисимівна. Економічна статистика: Навчальний посібник для студ. вищих навчальних закладів/ В.О. Борух, Р.В. Алямкін. - К.: Ліра-К, 2006. - 316 с
2. ЕКОНОМІКА ЧЕРНІГІВЩИНИ за січень-вересень 2007 року //Повідомлення Головного управління статистики у Чернігівській області, http://www.chernigivstat.gov.ua
3. ЕКОНОМІЧНЕ ТА СОЦІАЛЬНЕ СТАНОВИЩЕ ХАРКІВСЬКОЇ ОБЛАСТІ за 2006 рік // ДЕРЖКОМСТАТ УКРАЇНИ ГОЛОВНЕ УПРАВЛІННЯ СТАТИСТИКИ У ХАРКІВСЬКІЙ ОБЛАСТІ, http://uprstat.kharkov.ukrtel.net
4. ЕКОНОМІЧНЕ ТА СОЦІАЛЬНЕ СТАНОВИЩЕ Дніпропетровської області за 2006 рік // ДЕРЖКОМСТАТ УКРАЇНИ ГОЛОВНЕ УПРАВЛІННЯ СТАТИСТИКИ У Дніпропетровській області
5. Коваль Я. В. Регіональна економіка: Навч. посібник/ Я.В. Коваль, І.Я. Антоненко. - К.: Професіонал, 2005. - 268 с
6. Обсяг реалізованої продукції за основними видами промислової діяль-ності за січень–вересень 2007 року // Експрес-випуск Державного комітету статистики України від 26.10.2007р. № 267р
7. ОСНОВНІ ПОКАЗНИКИ СОЦІАЛЬНО-ЕКОНОМІЧНОГО РОЗВИТКУ
УКРАЇНИ //Державний комітет статистики України Статистичний бюлетень за січень–лютий 2007 року // 2007, Вих. № 13/1–18/6, http://www.ukrstat.gov.ua
8. Рей Мортон, Кевін Шарп, Богдан Хом’як, Наталія Степанець, Олександр Муляр, Наталя Олешко – Cільське господарство України (довідник інвестора) // Агентства США з міжнародного розвитку (USAID/АМР США), 2004, : http://www.bizpro.org.ua
9. Розміщення продуктивних сил України: Підручник./За ред. проф. Качана Є.П. – К.: ВД “Юридична книга”, 2001.
10. Розміщення продуктивних сил: Підручник./ За ред. Ковалевського В.В., Михайлик О.Л., Семенова В.Ф. – К.: “Знання”, 1998.
11. Соціально-економічна географія України: Підручник./ За ред. акад. Шаблія О.І. – Львів.: “Світ”, 2000.
12. Стеченко Д.М. Розміщення продуктивних сил і регіоналістика: Підручник/ Д.М. Стеченко. - К.: Вікар, 2006. - 396 с
13. Статистичний щорічник України за 2005 рік/ Державний комітет статистики України; Ред. О.Г. Осауленко. - К.: Консультант, 2006. - 575 с
14. Управління розвитком регіону: Навчальний посібник для студ. вищих навчальних закладів/ Т.Л. Миронова, О.П. Добровольська, А.Ф. Процай. - К.: Центр навчальної літератури, 2006. - 327 с
15. Чекотовский Е.В. Основи статистики сільського господарства.- К.: КНЕУ, 2001.- 432 с.
16. http://www.ukrstat.gov.ua - Офіційний інтернет-сайт Державного комітету статистики України
17. http://www.minagro.kiev.ua - Офіційний інтернет-сайт Міністерства агропромислової політики України
18. http://www.uga-port.org.ua - Офіційний інтернет-сайт Зернової асоціації України
1 Соціально-економічна географія України: Підручник./ За ред. акад. Шаблія О.І. – Львів.: “Світ”, 2000.
2 ОСНОВНІ ПОКАЗНИКИ СОЦІАЛЬНО-ЕКОНОМІЧНОГО РОЗВИТКУ УКРАЇНИ //Державний комітет статистики України Статистичний бюлетень за січень–лютий 2007 року // 2007, Вих. № 13/1–18/6, http://www.ukrstat.gov.ua
