Енергетика та паливно-енергетичний баланс світу
Енергетика та паливно-енергетичний баланс світу
Серед галузей «авангардної трійки» особливе значення належить енергетиці. Соціально-економічний розвиток суспільства виявився тісно пов’язаним з рівнем споживання енергії у різних формах. Лише протягом ХХ століття використання енергії в світі збільшилося у 15 разів, тому що енергомісткість виробництва внаслідок НТР швидко зростає.
Відмінності у галузевій структурі господарства окремих країн суттєво впливають на рівень споживання енергії. Багато енергії витрачається у виробництві кольорових і чорних металів, хімічної продукції, целюлози і паперу тощо. Значним споживачем є комунально-побутове господарство (у країнах із суворими природними умовами 40-50% енергоспоживання можуть становити витрати на опалення приміщень).
Енергетика являє собою складний комплекс галузей і виробництв – паливно-енергетичний комплекс (ПЕК), в якому можна відокремити дві основні групи – паливна промисловість та електроенергетика. До складу ПЕК також входять засоби доставки палива й енергії.
Паливна складова виступає «фундаментом» енергетики, оскільки відповідає за видобуток первинних джерел енергії. У галузевій структурі паливної промисловості провідну роль відіграють нафтова, газова і вугільна промисловість. Допоміжні функції у ПЕК виконують торф’яна і сланцева промисловість. Швидко зростає значення уранової промисловості (уран – метал, тому географія його видобутку розглянута у попередній темі № 3).
Нафтова промисловість протягом минулого століття була найдинамічнішою та найрентабельнішою галуззю не тільки ПЕК, але й усього світового господарства. Відбувалося не тільки зростання споживання нафти як палива, вона зайняла місце основної сировини в хімічній промисловості для синтезування штучних матеріалів. В результаті сьогодні п’ята частина світової торгівлі припадає на нафту, нафтопродукти і промислові вироби з них. Не дивно, що нафту називають «чорним золотом».
Світові запаси нафти становлять близько 190 млрд. тон, але розміщуються вони вкрай нерівномірно. Нафтогазові басейни розташовані на території майже 100 країн, але ⅔ нафтових запасів зосереджено на Близькому та Середньому Сході (особливо у басейні Перської затоки). Серед країн лідерами є Саудівська Аравія (чверть розвіданих світових покладів), Іран, Ірак, Кувейт. Тут відкриті гігантські родовища Гавар (Саудівська Аравія) із запасами у 12 млрд. тон, Ага-Джагарі (Іран) – 10 млрд. тон, Ель-Буркан (Кувейт) – 9 млрд. тон. Нафта розташована неглибоко, всі свердловини є фонтануючими, тому мають найбільший в світі дебіт.
З моменту створення у 1960 році організації країн-експортерів нафти – ОПЕК1, роль і частка нафти, що видобувається за межами цих країн, має сталу тенденцію до зменшення. Значними запасами нафти крім країн ОПЕК володіють також Канада і Росія.
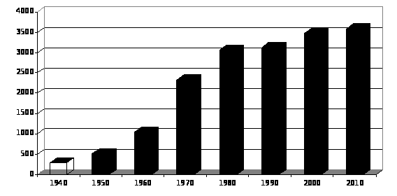
Протягом тільки 70-х років минулого століття узгоджена позиція країн ОПЕК дозволила збільшити ціну на нафту у 7 разів, світ двічі опинився в лещатах жорсткої енергетичної кризи (1973-74 та 1979 рр.). Після цього споживання і видобуток нафти перестали так стрімко зростати (див. рис. 5.1.), як це було раніше. Епоха «дешевої нафти» закінчилася.
До того ж, запаси нафти вичерпуються, гранично можливою величиною щорічного світового видобутку фахівці вважають 4 млрд. тон (світове господарство вже зараз споживає більше 3,5 млрд. тон нафти на рік). Інша проблема – це недоліки сучасної технології видобування, адже вилучити з пластів вдається не більше 30-40% нафти.
Високорозвинені країни почали запроваджувати енергозберігаючі технології, збільшувати видобуток природного газу, у тому числі й на шельфі (Нідерланди, Великобританія, Норвегія), розвивати атомну енергетику (особливо Франція і Бельгія), «повертатися» до вугільної промисловості (США, ФРН, Австралія), більше уваги приділяти біопаливу (Нова Зеландія створила технологію отримання біодизеля із тваринних жирів – відходів переробки баранини) тощо. Низка країн «третього світу» виробляє біопаливо з відходів переробки цукрової тростини та іншої рослинницької продукції.

Рис. 5.1. Обсяги світового видобутку нафти, млн. т
Ієрархія країн, що видобувають нафту, виглядає наступним чином: 1) Саудівська Аравія – 440 млн. т; 2) США – 350 млн. т; 3) Росія – 310 млн. т; 4) Іран – 185 млн. т; 5) Китай – 160 млн. т; 6) Норвегія – 155 млн. т; 7) Венесуела – 153 млн. т; 8) Мексика – 143 млн. т; 9) Великобританія – 129 млн. т; 10) Канада – 125 млн. тон. Далі йдуть ОАЕ (120 млн. т), Нігерія (110 млн. т), Кувейт (103 млн. т), Індонезія (77 млн. т), Лівія (70 млн. т), Алжир (62 млн. т). Тимчасово на 26 місці знаходиться Ірак (30 млн. тон), це пов’язано з наслідками військових дій, торговим ембарго і дозволом продавати нафту тільки в обмін на критичний імпорт продовольства, ліків та інших соціально важливих товарів. До 1991 року Ірак займав 4 місце в світі за видобутком нафти.
Україна з річним видобутком близько 3,3 млн. тон займає 48 місце в світі (вище від ФРН, Франції або Італії, не говорячи вже про Японію), але ці обсяги задовольняють лише десяту частину потреб української економіки.
Найбільшими експортерами нафти є арабські країни – Саудівська Аравія, Кувейт, ОАЕ, Іран. Великими експортерами є Росія, Канада, Мексика, Венесуела, Лівія, Індонезія, Нігерія. Гарні перспективи мають Азербайджан (Каспійський шельф), Казахстан (нові родовища Карачаганак і Тенгіз), Туркменістан (новий басейн в районі Узбою) тощо.
Найбільші імпортери нафти – США, Японія, ФРН, Франція, Італія, Нідерланди. Економіка США споживає щорічно 850 млн. тон нафти (тобто імпорт становить 500 млн. тон). Зростання економіки Китаю також перетворює його на значного імпортера (незважаючи на 5 місце в світі з видобутку та перспективність шельфу Жовтого моря) – потреби оцінюються у 300 млн. тон на рік.
Близько 50% видобутої нафти споживається транспортом, 14% – в електроенергетиці, по 11% споживання припадає на комунально-побутовий сектор і промисловість, лише 14% глибоко переробляється нафтохімічними комбінатами та підприємствами органічного синтезу (хоча іще Д.І. Менделєєв попереджав: «Топити нафтою – все рівно, що топити асигнаціями»).
Вугільна промисловість протягом минулого віку поступово втрачала своє панівне значення серед паливних галузей, але деякий її ренесанс розпочався на межі 70 – 80-х років ХХ століття в зв’язку з нафтовими кризами. Продовжується він і сьогодні. Виникла конкуренція за вугілля між чорною металургією, якій потрібен кокс2, та енергетикою. У цій боротьбі енергетика «перемагає», споживаючи більше половини видобутого вугілля.
Геологічна оцінка запасів вугілля становить 1520 млрд. тон, у тому числі кам’яного (разом з антрацитом) – 920 млрд. тон, бурого та лігнітів3 – близько 600 млрд. тон. Промислові запаси оцінюються у ⅔ від названих цифр. Отже, запаси вугілля є найбільшими серед усіх видів традиційних паливних мінеральних ресурсів. Родовища вугілля знайдені у 80 країнах світу (тільки в Росії – близько 500).
Найбільшими достовірними запасами, доступними для видобутку при сучасних технологіях володіють такі країни як США (25% від світових), Китай, Росія, Індія, Австралія, Канада, Польща, Південноафриканська Республіка, Німеччина, Великобританія, Колумбія, Венесуела.
Світовий видобуток всіх сортів вугілля (кам’яного з антрацитом і бурого з лігнітом) – близько 5,8 млрд. тон (див. рис. 5.2.), з них 4,5 млрд. тон становить кам’яне вугілля з антрацитом (вміст вуглецю в останньому 98%), ще 1,3 млрд. тон – буре вугілля та лігніт (з вмістом вуглецю лише 65%).

Рис 5.2. Обсяги світового видобутку вугілля, млн. тон
Більше 90% валового видобутку вугілля в світі припадає всього на 10 країн: 1) Китай – 1340 млн. т; 2) США – 930 млн. т; 3) Індія – 282 млн. т; 4) Росія – 280 млн. т; 5) ФРН – 255 млн. т; 6) Австралія – 245 млн. т; 7) ПАР – 206 млн. т; 8) Польща – 200 млн. т; 9-10) Україна і Казахстан – по 85 млн. тон.
За видобутком кам’яного вугілля й антрациту ієрархія країн виглядає так: 1) Китай – 1275 млн. т; 2) США – 850 млн. т; 3) Індія – 260 млн. т; 4) ПАР – 204 млн. т; 5) Австралія – 192 млн. т; 6) Росія – 185 млн. т; 7) Польща – 150 млн. т; 8) Україна – 85 млн. т; 9) Казахстан – 80 млн. т; 10) Канада – 65 млн. т; 11) Чехія – 60 млн. т; 12) ФРН – 55 млн. тон.
Світовими лідерами з експорту кам’яного вугілля є Австралія (більше 100 млн. т), США (70 млн. т), ПАР (40 млн. т), Канада (30 млн. т), колишній лідер – Польща (25 млн. т) зараз лише на 5 місці. До «нових» експортерів можна віднести Колумбію та Індонезію. Очікується вихід на світовий ринок кам’яного вугілля товаровиробників із Ботсвани, Зімбабве, Мозамбіку, Свазіленду.
Найбільшим імпортером виступає Японія, яка щорічно купує близько 125 млн. тон кам’яного вугілля (саме японський попит стимулював розвиток вугільної промисловості Австралії і Канади). Південна Корея купує 40 млн. тон, а Тайвань – 25 млн. тон вугілля на рік. Україна також стала нетто-імпортером вугілля (при цьому експорт коксівного вугілля становить 2,5 млн. тон, а імпорт енергетичного – 9 млн. тон).
Буре вугілля використовується переважно як місцеве паливо, ним на світовому ринку не торгують. Найбільше його видобувають ФРН (200 млн. т), Росія (95 млн. т), США (80 млн. т), Китай (65 млн. т). Значні обсяги видобутку бурого вугілля і лігніту мають також Австралія (53 млн. т), Польща, Греція, Туреччина (по 50 млн. т), Румунія (35 млн. т), КНДР і Болгарія (по 25 млн. т).
Широке використання природного газу у світовому господарстві розпочалося набагато пізніше від вугілля і нафти, що пов’язано із значними труднощами його транспортування і зберігання. Сучасна газова промисловість пропонує екологічно найчистіший енергоносій (серед традиційних первинних джерел). На жаль, значна частина (фактично – половина) супутнього нафтового газу сьогодні втрачається (потрапляє в атмосферу, спалюється у так званих «факелах», закачується назад у нафтові пласти для підтримки високого тиску тощо).
Розвідані запаси природного газу в світі оцінюються у 175 трлн. м3, серед окремих країн за цим показником лідирує Росія (30% світових покладів). Майже третина світових запасів концентрується на Близькому та Середньому Сході (Іран, Катар, Саудівська Аравія, ОАЕ та інші країни).
Питома вага інших регіонів у світових запасах менш значна, але слід відзначити в Африці Алжир і Лівію, у Південній Америці – Венесуелу, у Північній Америці – Канаду і США, в Азії – Індонезію, Казахстан і Туркменістан, в Європі (шельф Північного моря) – Великобританію і Норвегію, меншою мірою – Нідерланди, яка першою в світі розпочала видобуток мінеральних ресурсів на шельфі та на даний момент виснажила свої родовища газу, у тому числі і знаменитий Гронінген.
Промисловий видобуток природного газу ведуть майже 80 країн світу, сумарний світовий обсяг видобутку сягає 2,5 трлн. м3. Важливою тенденцією розвитку газовидобутку є збільшення ролі морських (шельфових) родовищ (нині – це п’ята частина видобутку). Частка супутнього нафтового газу у товарному виробництві природного становить 20% (теоретично мала б становити 40%).
Сучасна ієрархія газовидобувних країн має наступний вигляд: 1) Росія – 580 млрд. м3; 2) США – 550 млрд. м3; 3) Канада – 170 млрд. м3; 4) Великобританія – 100 млрд. м3; 5) Алжир – 90 млрд. м3; 6) Індонезія – 64 млрд. м3; 7) Іран – 60 млрд. м3; 8) Нідерланди – 57 млрд. м3; 9-10) Узбекистан і Туркменістан – по 52 млрд. м3; 11) Норвегія – 50 млрд. м3; 12) Саудівська Аравія – 47 млрд. м3; 13) Малайзія – 44 млрд. м3; 14) ОАЕ – 40 млрд. м3; 15) Мексика – 36 млрд. м3. Україна із показником близько 20 млрд. м3 знаходиться на 24 місці. Це вище за Китай, Кувейт або Польщу.
Найбільшим експортером природного газу є Росія (до 150 млрд. м3 на рік). Значні обсяги експорту мають Канада, Алжир, Нідерланди, Норвегія, Індонезія. Реалізація нових проектів побудови газопроводів може збільшити роль Ірану, Туркменістану і Казахстану.
Серед імпортерів виділяються США і ФРН, на третьому місці в світі за обсягами імпорту – Україна (6 місце в світі за абсолютними обсягами споживання). Багато природного газу імпортують Японія, Франція, Італія, Іспанія, Бельгія, Південна Корея, Тайвань.
Більша частина природного газу транспортується і експортується газопроводами. Найбільшу довжину газогонів має Росія, яка експортними поставками охоплює всі країни Центральної і Південно-Східної Європи, а також Німеччину й Австрію. Потужні газотранспортні системи діють у Північній Америці, Західній Європі (від голландського Гронінгену через ФРН і Швейцарію – до Італії; з норвезького сектору Північного моря – у Данію, ФРН, Бельгію, Францію) та Центральній Європі (тут виділяється Україна – найбільший в світі транзитер газу). У 1982 році почав функціонувати перший міжконтинентальний газопровід з Алжиру через Туніс і далі по дну Середземного моря (з подоланням глибин більше 500 метрів) до Італії.
Стрімко зростають міжнародні перевезення газу в скрапленому вигляді танкерами-газовозами. Важливий напрямок використання скрапленого газу – це покриття сезонних «піків» попиту на природний газ. Крім того, сучасна технологія скраплення дозволила активніше включитися у географічний поділ праці таким постачальникам як Алжир, Індонезія, Малайзія, Бруней – з одного боку, та поліпшити надійність енергопостачання для Японії, Тайваня, інших острівних країн – з іншого боку.
Допоміжне значення має торф’яна промисловість. Торф як паливо – це місцева малоефективна сировина. Торф може бути цінним добривом і хімічною сировиною. Болотяні мохи також слугують важливою технологічною сировиною. Але при цьому не слід забувати, що болота виконують важливі екологічні функції збереження природної рівноваги в геосистемах як регіонального, так і глобального рівня.
Світові запаси торфу перевищують 2 трлн. тон. За промисловими покладами помітно виділяються Канада, Росія і США (на Алясці). Підраховано, що торф тільки боліт Канадської Півночі за теплотворною здатністю еквівалентний 4 млрд. тон нафти. Обсяги світового видобутку торфу порівняно невеликі – близько 30 млн. тон. Найактивніше його використовують як джерело енергії скандинавські країни та Ірландія. В умовах енергетичної кризи намагаються використати цей досвід Білорусь та Україна (в Україні налічується понад 2500 невеликих родовищ торфу).
Схожі допоміжні функції у структурі ПЕК виконує і сланцева промисловість. Геологічні запаси сланців навіть перевищують вугільні, але більша їх частина навряд чи буде освоюватися найближчим часом. Технологія екстрагування із сланців рідких і газоподібних вуглеводнів при нагріванні порівняно ефективна, але й досить дорога. Обсягами видобутку виділяється Естонія, яка інших власних енергоресурсів не має. Ця країна досягла найвищого показника виходу нафтопродуктів із сировини – 320 літрів на 1 тону (в США – 240 літрів на тону). Видобувають горючі сланці Китай і Бразилія. Поклади горючих сланців має й Україна, але не використовує їх. Величезні родовища недавно відкриті в Австралії (штат Квінсленд), але видобуток також поки що не планується.
Особливо швидкими темпами в галузевій структурі світового господарства розвивається електроенергетика, оскільки розвиток цієї складової ПЕК сприяє економії дефіцитних енергоресурсів. Відомо, що споживання електроенергії є більш економічним, ніж пряме споживання палива (наприклад, на залізниці використання електровозної тяги замість тепловозної економить 15% енергоресурсів). Тому в сучасному світовому господарстві тільки половина первинних джерел енергії використовується безпосередньо для одержання тепла і палива, а інша половина призначається для виробництва електричної енергії.
Виробництво і споживання електроенергії зростає швидше, ніж виробництво і споживання первинних енергоресурсів.
Електроенергія – це вторинний вид енергії. При всіх її перевагах, вона має і недоліки: неможливість накопичення у великій кількості, тому час виробництва і споживання мають співпадати.
Сумарне виробництво електроенергії в світі перевищує 15 трлн. кВт∙год. 33% світового виробництва електроенергії припадає на Англо-Америку (США – 28%, Канада – 5%). Латинська Америка виробляє всього 5% світової електроенергії (у т.ч. Бразилія – 2%, Мексика – 1%). Показник Західної Європи становить 21% (у т.ч. ФРН – 5%, Франція і Великобританія – по 3%). Центральна і Південно-Східна Європа разом з Росією, Закавказзям і Середньою Азією виробляє близько 20% (Росія – 7%, Україна – 2%). Азія (без Закавказзя і Середньої Азії) має показник на рівні 17% світового виробництва (у т.ч. Японія – 8%, Китай – 6%, Індія – 2%). Всі африканські країни разом узяті виробляють лише 2% світової електроенергії (при цьому майже половина виробництва припадає на Південноафриканську Республіку). Ще 2% становить валовий показник Австралії та Океанії.
Серед окремих країн помітне виразне лідерство США. Японія, Росія, Китай відчутно поступаються, хоча також мають величезні обсяги виробництва електроенергії. Наступна група країн – ФРН, Канада, Франція, Великобританія, Бразилія, Індія, Італія й Україна – також є значними виробниками. У названій дюжині країн зосереджено більш як ¾ світового виробництва електроенергії.
Але більш цікавим для співставлень є показник виробництва електроенергії на душу населення (у середньому по світу – 2,2 тис. кВт∙год на особу за рік). Лідирує в цьому випадку Норвегія (28,03 тис. кВт∙год/рік), другою є Канада (18,73 тис. кВт∙год/рік), третьою Ісландія (18,48 тис. кВт∙год/рік). Далі йдуть Швеція (16,20 тис. кВт∙год/рік), Кувейт (13,76 тис. кВт∙год/рік); США (13,59 тис. кВт∙год/рік), як бачимо, лише на 6 місці. Наступні позиції займають Фінляндія, Катар, Нова Зеландія, Австралія. Японія опиняється лише на 15 місці, ФРН – на 21-му, Росія – на 25-му. Україна з показником 3,47 тис. кВт∙год/рік займає 47 місце у світовій ієрархії. Наступне 48 місце – за Польщею. Останні місця світової ієрархії займають Беліз, Гамбія, Мавританія, Чад, Малі.
Загалом доіндустріальні країни (особливо – африканські) мають низькі показники. Досі в світі майже 2,1 млрд. осіб не має можливості користуватися електроенергією навіть для освітлення житла.
Структура виробництва електричної енергії (за типами електростанцій) відображена на рис. 5.3.

Рис. 5.3. Структура світового виробництва електроенергії
Як бачимо, провідні позиції у виробництві електроенергії належать тепловим електростанціям (ТЕС), особливо тим, що працюють на вугіллі. ТЕС, що працюють на мазуті, розташовуються переважно поблизу нафтопереробних заводів, газові ТЕС – на трасах газопроводів. Загалом ТЕС екологічно дуже шкідливі, особливо – вугільні.
Звичайно, що існують серйозні територіальні відмінності в структурі виробленої електроенергії. В Латинській Америці на гідроелектростанціях (ГЕС) виробляється ¾ електроенергії, а у Європі найвища в світі частка атомних електростанцій (АЕС).
Різниця між окремими країнами ще більш суттєва. Наприклад, у Парагваї на ГЕС виробляють 99,9% електроенергії, в Норвегії – 99,5%, Бразилії – 92,5%. Натомість у Франції більше 75% електроенергії отримують на АЕС, а у Литві – навіть 80%. ПАР встановила «світовий рекорд» за часткою вугільних ТЕС в електробалансі – 90%.
Частина теплових станцій представлена теплоелектроцентралями (ТЕЦ), які крім електроенергії виробляють тепло і пару (за рахунок цього коефіцієнт корисної дії зростає практично вдвічі – до 70%). Якщо ТЕС будуються в районах споживання електроенергії або поблизу джерел сировини, то ТЕЦ розміщуються виключно поблизу значних споживачів своєї продукції – великих і надвеликих міст.
Гідроелектростанції виробляють найдешевшу за собівартістю електроенергію, використовуючи при цьому відновні ресурси та не забруднюючи водний і повітряний басейни. Щоправда, мають вони і недоліки: будівництво ГЕС є досить тривалим в часі та капіталомістким, водосховища затоплюють значні території, порушується гідрологічний режим річок.
Сумарна встановлена потужність всіх ГЕС світу перевищує 300 млн. кВт. Найпотужнішою на даний момент є бразильсько-парагвайська ГЕС «Ітайпу» (12 млн. кВт), що збудована на річці Парана. Будівництво гідровузла «Санься» («Три ущелини») у Китаї на річці Янцзи приведе до створення водосховища площею більше 1 тис. км2 з обсягами води у 40 млрд. м3, це дозволить функціонувати ГЕС потужністю 18,2 млн. кВт. Доведеться відселити майже 2 млн. осіб, перенести низку цінних історико-архітектурних пам’яток.
Для покриття «пікових» навантажень в енергосистемах багато країн останнім часом стали активно будувати гідроакумулюючі електростанції (ГАЕС). ГАЕС є одночасно і споживачами електроенергії (вночі закачують воду у верхній басейн), і виробниками її, а фактично вони перерозподіляють в часі надлишки електроенергії. Це дозволяє більш ефективно використовувати потужності електростанцій інших типів.
Атомна енергетика – порівняно молода галузь електроенергетики, але вже встигла пережити декілька підйомів і спадів. Цикли підйому пов’язані з енергетичними кризами, відсутністю або вичерпанням власних енергоносіїв у багатьох високорозвинених країнах; спади пов’язані з успіхами енергозбереження, поширенням у світі ідей концепції сталого розвитку, а також з техногенними катастрофами (на кшталт Чорнобильської аварії).
Після аварії на Чорнобильській АЕС низка країн (Австрія, Італія, Польща, Швеція, Швейцарія) прийняла рішення про поступову повну відмову від використання атомної енергії. США, Росія, Великобританія суттєво скоротили свої атомно-енергетичні програми. Вчені-теоретики і практики-експлуатаційники стали більше уваги приділяти надійності реакторів і радіаційній безпеці (особливо в екстремальних умовах – землетруси, тайфуни, теракти та ін.), а як наслідок здорожчало будівництво. Невирішеною залишається проблема трансмутації4 або довгострокового зберігання радіоактивних відходів.
Але глибока енергетична криза призвела до перегляду перспектив атомної енергетики. Знову запустили зупинені АЕС Литва і Вірменія. Нові енергоблоки вводять не тільки Франція, Китай, США, Росія, Японія, але й Україна. Сумарна потужність АЕС досягла 350 млн. кВт. Найпотужніша в світі АЕС «Фукусіма» (8,8 млн. кВт) збудована в Японії. Найбільша в Україні та Європі Запорізька АЕС має потужність 6 млн. кВт.
До альтернативних джерел отримання електричної енергії відносяться енергія вітру, сонячна енергія, енергія припливів і відпливів, енергія хвиль, внутрішня теплова енергія Землі тощо. Вони часто використовуються для автономного енергопостачання у віддалених районах.
Вітрові електростанції (ВЕС) збудовані у 16 країнах. Потужність всіх ВЕС світу становить більше 4 млн. кВт. Найбільшу сумарну потужність ВЕС має Німеччина. Найбільша частка ВЕС у виробництві електроенергії – в Данії і штаті Каліфорнія (США). Є такі електростанції і в Україні, більше того, збудована поблизу Севастополя у 1931 році ВЕС вважається першою в світі.
Сонячні (геліотермальні) електростанції (СЕС) працюють вже у 32 країнах світу. Найбільші валові обсяги виробництва і використання сонячної енергії – в США і Японії. На душу населення найвищі показники мають Ізраїль і Кіпр. Протягом 1985-1994 років одна СЕС діяла і в Україні (поблизу Керчі), але собівартість електроенергії була вищою за відпускну ціну, до того ж площа дзеркал-геліостатів перевищувала 4 га. Цей шлях виявився хибним, у світі зараз переважають фотоелектричні генератори, які не займають великих площ.
Припливні електростанції (ПЕС) функціонують у 7 країнах світу. Найперша була збудована у Франції, найпотужніша – у Великобританії. Найбільша кількість ПЕС (3 шт.) – у Канаді. Працюють ПЕС також у Росії, Індії, Південній Кореї, Китаї. Ефективне використання припливної енергії поки що обмежується районами з висотою припливу не менше 10 метрів. Дуже часто – це важкодоступні території без транспортної та іншої інфраструктури.
Геотермальні електростанції (ГТЕС) наявні у 8 країнах світу, хоча термальні джерела виявлені у майже 80 країнах. Сумарна потужність ГТЕС досягла майже 5 млн. кВт. Найбільше геотермальна енергія використовується в Ісландії і Новій Зеландії (більше для тепло- і водопостачання, ніж виробництва електроенергії). Порівняно значні масштаби використання мають США, Італія, Японія, Росія, Мексика. З 80-х років минулого століття розпочато спорудження невеликих типових ГТЕС в Україні на Керченському півострові (вже працює 13).
Хвильові електростанції для отримання електроенергії використовуються в Норвегії, Великобританії, Японії.
В перспективі – будівництво гідротермальних електростанцій (на термопарах, що використовуватимуть температурний градієнт вод Світового океану) і використання енергії течій (зокрема Гольфстріму). Поки що ці проекти серйозно розробляються лише в США та Франції.
Паливно-енергетичний баланс
Паливно-енергетичний баланс (ПЕБ) – це співвідношення між надходженням (видобутком й імпортом) різних видів палива і виробництвом електроенергії та витратою їх в народному господарстві й експортом.
Розрахунки структури паливно-енергетичного балансу ведуться як у повному обсязі (з врахуванням біомаси, альтернативних джерел тощо), так і виключно по комерційним джерелам5. Для порівняння ефективності використання різних видів палива та їх сумарного обліку використовується спеціальна одиниця виміру – умовне паливо. В європейських країнах як одиниця умовного палива зазвичай використовується 1 кг кам’яного вугілля з теплотою згоряння 7000 ккал6/кг (вугільний еквівалент). Зараз в світі більш вживаним став нафтовий еквівалент (10000 ккал/кг).
Для співставлення паливних і непаливних енергоресурсів 2 кВт∙год. виробленої електроенергії (гідравлічної, вітрової, сонячної, геотермальної або іншої) прирівнюють до 1 кг умовного палива (у вугільному еквіваленті).
Нижче наводиться формула переведення будь-яких енергоресурсів у співставні одиниці умовного палива:
Х = Т·
(формула 5.1.)
де: Х – вага умовного палива;
Т – реальна вага даного виду палива;
– калорійність
(теплотворна здатність) даного виду
палива;
– калорійність вугілля
(вугільний
еквівалент)
або нафти (нафтовий
еквівалент).
Не слід плутати паливно-енергетичний баланс повний і комерційний, а також ототожнювати їх з електроенергетичним балансом. Цифри в названих трьох випадках будуть різні (порівняйте дані таблиць 5.1., 5.2. і рис. 5.3., останній репрезентує якраз електроенергетичний баланс світу).
Структура світового ПЕБ не залишається незмінною. Протягом ХІХ і першої половини ХХ століття вона пройшла «вугільний» етап свого розвитку. Після Другої світової війни розпочався «нафтовий» етап, що пояснюється перевагами нафти, як найбільш ефективного енергоносія. Але внаслідок серйозного підвищення цін на нафту, із середини 80-х років минулого століття розпочався сучасний етап розвитку паливно-енергетичного балансу, його можна назвати «перехідним». Він характеризується певним скороченням споживання нафти як палива та збільшенням ролі природного газу і вугілля, місцевих паливних ресурсів, відходів деревообробки та рослинництва тощо, поступовим нарощуванням обсягів використання альтернативних джерел. Зростання споживання природного газу, збільшення масштабів використання нетрадиційних видів палива серед інших причин пов’язано також із введенням у багатьох країнах світу більш жорсткого екологічного законодавства.
Таблиця 5.1.
Сучасна структура паливно-енергетичного балансу світу
(комерційні джерела)
-
Вид палива
Частка у ПЕБ, %
Нафта
38,6
Вугілля
28,7
Природний газ
22,1
Ядерне паливо
6,9
Гідроенергія
3,7
Всього
100,0
Звичайно, що можливості «екологізації» структури ПЕБ вищі у країн більш багатих (див. табл. 5.2., в якій наводиться відповідне порівняння). Вони можуть дозволити собі купувати дорогі та ефективні нафту і природний газ, витрачати значні кошти на альтернативну енергетику, врешті-решт, вирішувати принципове питання: будувати АЕС або відмовлятися від них. А ось надмірне використання біомаси в доіндустріальних низькорозвинених країнах викликає загрозу збезлісення та опустелювання. Такими драматичними прикладами можуть слугувати Ефіопія і Непал (95% ПЕБ становить біомаса), Кенія (75%), навіть в новій індустріальній Індії цей показник лишився на рівні 45%.
Таблиця 5.2.
Порівняння ПЕБ (з врахуванням некомерційних джерел) різних класів країн за рівнем економічного розвитку
-
Вид палива
Частка у ПЕБ, %
Низькорозвинені країни
Середньорозвинені країни
Високорозвинені країни
Нафта
23
35
38
Вугілля
28
31
24
Природний газ
7
22
23
Ядерне паливо
1
6
5
Гідроенергія
6
3
6
Біомаса
35
1
2
Альтернативні джерела
-
2
2
Всього
100
100
100
Висновки:
Паливно-енергетичний комплекс (ПЕК) – складна міжгалузева система видобутку і виробництва палива й енергії (електроенергії та тепла), їх транспортування, розподілу і використання. До його складу входять паливна промисловість (нафтова, газова, вугільна, торф’яна, сланцева, уранова) і електроенергетика, тісно пов’язані з усіма галузями національної економіки.
У галузевій структурі паливної промисловості провідну роль відіграють нафтова, газова і вугільна; допоміжну – торф’яна і сланцева промисловість. Зростає значення уранової промисловості.
Найбільші обсяги виробництва електроенергії серед країн світу мають США, найвищий показник на душу населення – у Норвегії.
Україна посідає 8 місце в світі за обсягами видобутку кам’яного вугілля, 24 місце – природного газу, 48 місце – нафти. За валовим виробництвом електроенергії Україна займає 12 місце в світі.
Співвідношення між надходженням різних видів палива і виробництвом електроенергії та витратою їх в народному господарстві – називається паливно-енергетичним балансом.
Провідну роль у паливно-енергетичному балансі світу відіграють нафта, вугілля і природний газ (разом – майже 90%). Частка альтернативних джерел енергії залишається незначною.
Структура паливно-енергетичного балансу має певну часову динаміку, що дозволяє виділити вугільний, нафтовий та перехідний (сучасний) етапи її розвитку.
1 В складі ОПЕК зараз перебувають 11 країн: Іран, Ірак, Кувейт, Саудівська Аравія, Катар, ОАЕ, Венесуела, Індонезія, Алжир, Лівія, Нігерія (Еквадор та Габон вийшли з організації). ОПЕК для підтримання вигідних для експортерів цін на нафту встановлює відповідні квоти на продаж. Штаб-квартира ОПЕК розташована у Відні. Пояснити це можна географією головних покупців, вони дійсно зосереджені переважно в Європі.
2 Кокс – продукт переробки кам’яного вугілля нагріванням до 950 – 1050ºС без доступу повітря (супутній продукт – коксовий газ, що складається з метану, водню, чадного газу). Кокс – це важлива сировина для чорної металургії при використанні доменного, мартенівського, киснево-конверторного способів виплавки сталі.
3 За теплотою згоряння буре вугілля втричі поступається антрациту, а лігніт – вчетверо. Буре вугілля і лігніт видобуваються у випадку відсутності інших видів паливних ресурсів або при зручних умовах залягання (велика потужність пластів, незначна глибина), абсолютно переважає дешевий відкритий спосіб видобутку. Зазвичай використовується буре вугілля на місці (спалюється в топках ТЕС або газифікується). Буре вугілля і лігніт мають ще один недолік – високу зольність, що вимагає значного вилучення земель під золошлакові відвали.
4 Трансмутація – перетворення радіоактивних відходів АЕС шляхом нейтронного бомбардування у менш довгоживучі ізотопи. Технологія настільки дорога, що зводить нанівець всі переваги атомної енергетики.
5 До комерційних джерел відносяться нафта, природний газ, вугілля, ядерне паливо і гідроенергія. Альтернативні (або нетрадиційні) джерела енергії поки що відносяться до некомерційних. Частка їх у ПЕБ невелика, собівартість отриманої енергії лишається високою. Часто вони використовуються для автономного забезпечення, тобто не є пов’язаними з об’єднаними енергосистемами, тому важко піддаються обліку.
6 Калорія – одиниця виміру енергії, що еквівалентна теплоті, необхідній для нагрівання 1 грама води на 1˚С. Кілокалорія (ккал) – це 1000 калорій.