Депозитні операції банків на фінансовому ринку України (за матеріалами АТЗТ "АК ПРОМІНВЕСТБАНК")
ДИПЛОМНА РОБОТА
ДЕПОЗИТНІ ОПЕРАЦІЇ БАНКІВ НА ФІНАНСОВОМУ
РИНКУ УКРАЇНИ
(за матеріалами АТЗТ „АК ПРОМІНВЕСТБАНК”)
ЗМІСТ
Вступ
Розділ 1. Теоретичні засади депозитних операцій
1.1 Характеристика банківських депозитних операцій, задачі залучення депозитних коштів комерційними банками
1.2. Фінансові умови залучення депозитів комерційними банками
1.3 Формування відсоткових ставок, показники ефективності та ризиків депозитних операцій
Розділ 2. Оцінка системи залучення депозитних коштів в атзт “АК ПРОМІНВЕСТБАНК”
2.1 Характеристика діяльності АТЗТ “АК ПРОМІНВЕСТБАНК” за 2004 –2007 роки
2.2 Аналіз динаміки структури, строковості та ставок залучених депозитних коштів в АТЗТ “АК ПРОМІНВЕСТБАНК”
2.3 Аналіз вартості залучення та рентабельності використання залучених депозитних коштів в АТЗТ «АК ПРОМІНВЕСБАНК»
Розділ 3. Шляхи удосконалення залучення депозитних коштів банками України
3.1 Кореляційний аналіз впливу показників макроекономіки України та рівня доходів населення на обсяг залучених депозитів комерційними банками України у 2001 – 2007 роках
3.2 Світовий досвід з управління залученими депозитними коштами банку
3.3 Удосконалення управління поточною структурою залучених депозитних коштів банку в концепції інтегрованого управління активами та пасивами банку
Висновки
Список використаних джерел
Додатки
Анотація
ВСТУП
Актуальність обраної теми дипломного проекту та доцільність проведення досліджень для оцінки стану та перспектив розвитку методів управління залученими депозитними коштами в комерційних банках полягає в необхідності впровадження методології комплексного аналізу ефективності діяльності комерційного банку не тільки в внутрішньому мікросередовищі, але і при порівняльному аналізі положення банку у банківській системі України (макросередовищі), оскільки формування попиту та пропозиції на залучені кошти є результатом конкурентної взаємодії банків банківської системи України і загального фінансового стану юридичних і фізичних осіб в Україні, який формує їх схильність до пропозиції тимчасового збереження вільних коштів в банківській системі.
Залучені(на міжбанківському фінансовому ринку) та запозичені (на загальному фінансовому ринку юридичних та фізичних осіб) кошти комерційного банку є платними ресурсами, ціна на які залежить від їх виду, суми, валюти та строку залучення (запозичення).
Об’єктом дипломного дослідження є – діяльність комерційного банку по залученню депозитних коштів юридичних та фізичних осіб на прикладі діяльності АКБ «Промінвестбанк» та інших комерційних банків України першої групи рейтингу Національного банку України.
Предметом дипломного дослідження є – комплекс системи управління вартістю та рентабельністю залучених депозитних коштів в АКБ «Промінвестбанк», а також в інших банківських установах банківської системи України.
Мета дипломного дослідження полягає у теоретичному обґрунтуванні важливості інтегрованого управління активами та пасивами комерційного банку для визначення алгоритму управління залученням депозитних ресурсів(пасивів) у юридичних та фізичних осіб, розкриттю діючої практики залучення депозитних коштів в АКБ «Промінвестбанк», а також пошуку напрямків удосконалення розвитку програмних моделей управління оптимальністю структури залучених депозитних коштів в комерційному банку.
Для досягнення поставленої мети в дипломній роботі вирішуються такі завдання:
досліджено сутність та класифікацію ресурсної бази комерційного банку, як структурний розподіл коштів на власний капітал, залучені кошти юридичних та фізичних осіб у вигляді поточних та строкових депозитів, запозичені кошти у інших комерційних банків та Національного банку України у вигляді короткострокових та довгострокових кредитів;
досліджено структуру залучених депозитних коштів в АКБ «Промінвестбанк», її динаміку у 2004 – 2007 роках та порівняльні особливості структур залучених депозитних коштів в інших комерційних банках першої групи рейтингу НБУ;
розглянуто процес функціонування та управління залученими депозитними коштами в АКБ «Промінвестбанк»;
проведено аналіз діючої практики управління залученими депозитними коштами в комерційних банках розвинутих країн світу;
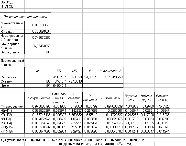
проведена розробка регресійної багатовимірної математичної моделі розрахунку впливу структури депозитних коштів (пасивів) комерційного банку на рентабельність його роботи;
на основі розрахунків побудованої моделі запропоновано шляхи удосконалення оптимальної структури залучених депозитних коштів в АКБ «Промінвестбанк» для підвищення рівня рентабельності роботи банку;
На вирішення проблеми оптимального управління залученими коштами в комерційних банках спрямовані дослідження, викладені в монографіях наступних авторів: – Азаренкова Г.М., Васюренко О.В., Герасимович А.М., Жуков Е.Ф., Коцовська Р.Н., Ричаківська В.І., Мороз А.М., Українська Л.О., Савлук М.І., Панова Г.С., Примостка Л.О. , Пуховкіна М.Ф., Спіцин І.О., Спіцин Я.О., Шевченко Р. І..
Інформаційною базою дипломного дослідження були – звітні документи АКБ «Промінвестбанк» за 2004 – 2007 роки, статистичні матеріали Національного банку України, Асоціації українських банків, Держкомстату України.
Впровадження пропозицій і рекомендацій щодо шляхів оптимізації структури залучених депозитних коштів в комерційному банку, наданих в дипломній роботі, дозволить:
зосередити увагу банківських установ на доцільності оптимальних структурних обсягів залучення депозитних коштів відносно рівня статутного капіталу з точки погляду на максимальний рівень досягнення дивідендної рентабельності роботи комерційного банку;
звернути увагу акціонерів комерційних банків на необхідність оптимального нарощення власного капіталу, оскільки результати дипломного дослідження доводять, що максимум частки ринку залучених коштів не є основою для максимуму дивідендної доходності акціонерного капіталу банку.
Досліджена політика екстенсивного зростання валюти балансу банку АТЗТ “АК Промінвестбанк” у 2004 – 2007 роках та розширення його інфраструктури, з точки зору акціонерів, - не є ефективною, оскільки разом з політикою впровадження переорієнтації банку з переважно юридичних клієнтів в сторону ощадного банку для фізичних осіб ROE зменшився з рівня 16,2% за 2005 рік до рівня 8,7% за 2007 рік, тобто дохідність акцій банку стала практично в 2 рази нижче ринкової доходності інвестиційного капіталу в Україні.
Практична цінність отриманих результатів дипломного дослідження полягає в наданні службі депозитного менеджменту АТЗТ “АК Промінвестбанк” нових комплексних рішень та підходів по аналізу ефективності політики застосування фінансового важеля зростання рентабельності статутного капіталу за рахунок залучених та запозичених коштів юридичних та фізичних осіб, які доцільно застосувати для корегування стратегічних напрямків в структурі депозитної політики банку.
РОЗДІЛ 1
ТЕОРЕТИЧНІ ЗАСАДИ ДЕПОЗИТНИХ ОПЕРАЦІЙ
1.1 Характеристика банківських депозитних операцій, задачі залучення депозитних коштів комерційними банками
Ресурси комерційного банку – це сукупність грошових коштів, що знаходяться у його розпорядженні і використовуються ним для виконання активних операцій. Операції, завдяки яким комерційні банки формують свої ресурси, мають назву пасивних [25].
Згідно з джерелами утворення банківських ресурсів в існуючій банківській практиці ресурси комерційних банків поділяють на власні, залучені (або депозити) та запозичені(або міжбанківські депозити та кредити).
Функціональною задачею власних ресурсів банку (статутний капітал, прибуток та резерви) є [37]:
- по-перше, забезпечення придбання основних та нематеріальних необоротних коштів, які становлять робочу інфраструктуру банківської установи, що дозволяє виконувати всі банківські операції з грошовими коштами як в Україні, так і за кордоном в банках - нерезидентах;
- по-друге, виконання страхової функції нейтралізації банківських ризиків, пов’язаних з неотриманням доходів (вкладення коштів в збиткові операції) та втратою коштів в активних операціях (неповернення кредитних коштів);
- по-третє, інвестування тимчасово вільних власних коштів банку в інші види бізнесу з підвищеним ризиком та дохідністю, де ризикування коштами клієнтів практично недопустимо.
У
загальному
обсязі ресурсів, якими володіє комерційний
банк, переважають зобов’язання банку.
Під зобов’язаннями банку слід розуміти вимоги до активів банківської установи, що зобов’язують її сплатити фіксовану суму коштів у визначений час у майбутньому. У бухгалтерському обліку до зобов’язань включають кошти на поточних рахунках клієнтів; кредиторську заборгованість, заборгованість за нарахованими процентами та відстрочену дебіторську заборгованість за доходами, але не включають доходи, прибуток та внутрішньобанківські розрахунки.

Рис. 1.1. Структура зобов’язань банку [22]
В економічній літературі зобов’язання заведено поділяти на залучені та запозичені кошти. Залучені кошти є найбільшою частиною зобов’язань банку. Це основне джерело формування ресурсів банку, які спрямовуються на проведення активних операцій.
До залучених коштів банку, згідно класифікації роботи колективу авторів під керівництвом проф. Герасимовича А.М. (КНЕУ) [ 22], належать залишки коштів на поточних, бюджетних рахунках клієнтів, депозитні вклади фізичних та юридичних осіб, вклади до запитання, залишки на пластикових платіжних картах, кредиторська заборгованість тощо.
В табл.1.1 наведена в дипломному дослідженні класифікація ресурсів комерційного банку з точки зору рівня вартості з використанням бухгалтерсько-облікової класифікації статей пасивів згідно «Плану рахунків» [13].
Таблиця 1.1
Бухгалтерсько-облікова класифікація ресурсів (пасивів) банку [13]
-
Безплатний власний капіталу (статутний капітал +фонди + прибуток)
Низьковитратні залучені кошти до запитання фізичних осіб
Високовитратні залучені строкові депозити фізичних осіб
Низьковитратні залучені кошти до запитання юридичних осіб
Високовитратні залучені та запозичені строкові депозити юридичних осіб
Платні технологічні пасиви (кредиторська заборгованість, власні ЦП, відсотки за депозити)
1
2
3
4
5
6
Статутний капітал банку
Кошти на вимогу фізичних осіб
Строкові кошти фізичних осіб
Кошти на вимогу інших банків
Короткострокові кредити, що отримані від Національного банку України
Кредиторська заборгованість за операціями з банками
Емісійні різниці
Кошти виборчих фондів
Короткострокові ощадні (депозитні) сертифікати, емітовані банком
Бюджетні кошти клієнтів, які утримуються за рахунок місцевих бюджетів
Довгострокові кредити, що отримані від Національного банку України
Кредиторська заборгованість і транзитні рахунки за операціями з клієнтами банку
Загальні резерви та фонди банку
Ощадні (депозитні) сертифікати на вимогу, емітовані банком
Довгострокові ощадні (депозитні) сертифікати, емітовані банком
Кошти спеціального фонду бюджетів АРК, областей, міст Киє-ва і Севастополя
Кредити, що отримані від міжнародних та інших фінансових організацій
Цінні папери власного боргу, крім субординованого боргу
Результати минулих років
Кошти позабюджетних фондів
Строкові вклади (депозити) інших банків
Інші пасиви банку
Результати звітного року, що очікують затвердження
Кошти на вимогу суб'єктів господарювання
Короткострокові кредити, що отримані від інших банків
Банківські резерви на покриття ризиків і витрат
Результати переоцінки
Кошти небанківських фінансових установ
Довгострокові кредити, що отримані від інших банків
Субординований борг банку
Результат поточного року
Строкові кошти суб'єктів господарювання
Найбільша частка ресурсів банку, наведених в табл.1.1, у банківській практиці називається - залучені, або депозитні зобов’язання:
низьковитратні залучені кошти до запитання фізичних осіб;
високовитратні залучені строкові депозити фізичних осіб;
низьковитратні залучені кошти до запитання юридичних осіб;
високовитратні залучені строкові депозити юридичних осіб;
Класифікація депозитів за категоріями вкладників, економічним змістом, строками, валютою, згідно роботи [22], наведена на рис.1.2
Д
епозит
(вклад) — це зобов’язання банку за
тимчасово залученими коштами фізичних
і юридичних осіб або цінними паперами
за відповідну плату. Депозити утворюються
за рахунок вкладу в банк суми грошей
готівкою або у безготівковій формі, у
вигляді цінного папера, що належить до
оплати. Практично всі клієнтські рахунки
в пасиві називаються депозитними.
Депозитним може бути будь-який рахунок,
відкритий клієнтові в банку, на якому
зберігаються його грошові кошти [22]. У
світовій практиці їх частка в структурі
пасивів становить від 60 до 80 %.
Депозитні операції відіграють значну роль у діяльності банку [22]:
депозитні операції є головним джерелом проведення активних і, насамперед, пасивних операцій. Від характеру депозитів залежать види кредитних операцій і, відповідно, розмір доходу банку;
правильна організація депозитних операцій забезпечує ліквідність комерційних банків;
депозитні операції сприяють прискоренню безготівкових розрахунків;
ресурси, сформовані за рахунок депозитних операцій, зазвичай дешевші міжбанківських кредитів.
Водночас депозитні операції мають певні недоліки:
операції щодо залучення коштів у вклади пов’язані зі значними маркетинговими зусиллями, грошовими і матеріальними витратами комерційних банків. Це не дає змоги комерційному банку в разі необхідності

Рис. 1.2. - Класифікація депозитів [22]
оперативно отримувати грошові кошти для проведення активних операцій, здійснення непередбачених платежів;
мобілізація коштів у вклади (депозити) в більшості випадків залежить від вкладників, а не від комерційного банку, якому часто важко, а то й неможливо досягти додаткового залучення коштів;
загальний обсяг тимчасово вільних грошових коштів у рамках окремого банку або району об’єктивно обмежений.
Оскільки частка депозитів у зобов’язаннях найбільша, то потрібно окремо проаналізувати їх структуру. Класифікацію депозитів банку за різними класифікаційними ознаками наведено на рис. 1.2 [22].
За строками використання коштів рахунки поділяються на: депозити (вклади) до запитання та строкові депозити. У свою чергу, в структурі строкових депозитів виділяють: ультрастрокові (типу овернайт), короткострокові (до одного року) та довгострокові (більше одного року).
За категоріями вкладників депозити поділяються на: депозити банків; депозити за рахунок бюджетних коштів; депозити суб’єктів господарської діяльності; депозити фізичних осіб.
За формою грошового обігу можна виділити: депозити внесені готівкою та безготівкові депозити. При цьому депозити від фізичних осіб, як правило, залучаються готівкові, а від юридичних осіб — безготівкові.
За валютою, у якій номіновано депозит розрізняють: депозити у національній валюті та депозити в іноземній валюті. Останні підрозділяють на депозити у вільно конвертованій валюті та у невільно конвертованій валюті.
Зрозуміло, що комерційні банки з останнім видом депозитів, як правило, намагаються не працювати.
За формою визначення власника депозиту виділяють іменні депозити та депозити на пред’явника. Так, наприклад, ощадні депозитні сертифікати на пред’явника емітуються без зазначення власника, а вимогу за ними уступають, просто вручаючи сертифікат без пред’явлення будь-якого документа. Ощадні сер тифі-кати на пред’явника — визнаний засіб конфіденційного зберігання значних коштів у національній та іноземній валютах. Але якщо власник загубить його, то втрачає вкладену суму так само безповоротно, як гаманець із готівкою. Іменні депозитні сертифікати в обіг не потрапляють і не продаються іншим особам (не підлягають відчуженню).
За цільовим призначенням депозити поділяються на: дохідні депозити та гарантійні депозити.
За способом юридичного оформлення зобов’язань виокремлюють: депозити, оформлені угодою, депозити з наданням ощадної книжки, депозити з наданням ощадного сертифіката.
За формою вилучення депозиту та нарахованих процентів розрізняють: безумовні депозити та умовні. Безумовні депозити бувають без попереднього повідомлення та з попереднім повідомленням. Умовні депозити можуть бути вилучені у разі настання певних обумовлених угодою обставин.
За економічним змістом та характером депозиту розрізняють: пасивні та активні депозити. Пасивні депозити виступають джерелом залучення банківських ресурсів. Активні депозити — засіб розміщення тимчасово вільних кредитних ресурсів. Значна частка активних депозитів у валюті балансу негативно характеризує ділову активність банку, який не в змозі ефективно розпоряджатися своїми кредитними ресурсами.
Ефективність формування ресурсної бази банку залежить від раціонального поєднання трьох чинників: стабільності (стійкості), вартості та строковості. Розглянемо переваги та недоліки окремих складових ресурсної бази за цією ознакою.
Депозити до запитання є найдешевшими залученими ресурсами серед платних ресурсів. Витратність цього виду ресурсів коливається в межах 1—2 % річних за залишками на рахунках клієнтів. До депозитів до запитання (або онкольних депозитів) відносять: залишки на поточних рахунках клієнтів; кошти місцевих бюджетів та позабюджетних фондів; кошти на коррахунках інших банків (рахунках «лоро»); кошти в розрахунках (невикористані залишки за акредитивами, лімітованими чековими книжками, кошти замовників на спеціальних рахунках, розрахунках по капітальних вкладеннях в цілому за об’єкт); вклади населення до запитання.
Депозити до запитання розміщують у банку на поточних рахунках клієнтів. Вони використовуються для поточних розрахунків власника рахунка з його партнерами. На вимогу клієнта кошти з поточного рахунка у будь-який час можуть вилучатися через видачу готівки, виконання платіжного доручення, сплати чеків або векселів. До вкладів до запитання прирівнюються вклади з попереднім повідомленням банку про намір зняти гроші з рахунка (за умови, що термін повідомлення не перевищує одного місяця).
Вклади до запитання є нестабільними, що обмежує можливість їх використання банком для кредитних та інвестиційних операцій, тому власникам поточних рахунків сплачується низький депозитний процент або не сплачується зовсім. В умовах відсутності (як правило) плати за депозити до запитання банки намагаються залучити клієнтів і стимулювати приріст поточних внесків за рахунок надання їм додаткових послуг та підвищення якості обслуговування. Це, зокрема, кредитування з поточного рахунка, пільги вкладникам в одержанні кредиту, використання зручних для клієнта форм розрахунків: застосування кредитних карток, чеків, розрахунково-консультативне обслуговування тощо.
Для покриття операційних витрат, пов’язаних з веденням поточних рахунків, банк стягує з клієнта комісійну винагороду. Комісія може утримуватись з депозитного процента. Деякі банки не стягують комісії з безпроцентних рахунків за умови зберігання на них стабільного залишку не нижче встановленого рівня. До депозитів до запитання можна віднести і кредитові залишки на контокорентних рахунках.
На цьому рахунку відбиваються всі операції банку з клієнтами, тобто видача позичок і здійснення платежів за дорученням клієнтів, а також надходження виручки від реалізації продукції та інших грошових переказів на користь клієнта і на погашення позичок. Інакше кажучи, контокорентний рахунок — це активно-пасивний рахунок, що поєднує в собі ознаки поточного і позичкового. Кредитове сальдо за контокорентним рахунком означає, що клієнт має у своєму розпорядженні власні кошти, дебетове — що у клієнта виникла заборгованість перед банком за позичками.
Формою залучення банком вкладів до запитання є також поточний рахунок з овердрафтом. За режимом функціонування цей рахунок подібний до контокорентного. Проте, якщо останній відкривається надійним клієнтам, які активно кредитуються, при овердрафті таке позичання допускається від випадку до випадку, тобто має нерегулярний характер. Для цього рахунка характерний кредитовий залишок. Особовий рахунок з овердрафтом може відкриватися тільки у відносинах банку з юридичними особами. Отже, особовий рахунок з овердрафтом має ширшу сферу застосування.
Одним із видів депозитів до запитання є залишок коштів на кореспондентських рахунках, відкритих у даному банку іншими банками, який можна назвати міжбанківським депозитом.
Конкуренція на ринку кредитних ресурсів змушує комерційні банки шукати нові форми і способи залучення коштів. Значного поширення в банківській практиці набуло залучення коштів на рахунки, що обслуговуються за допомогою платіжних карток. За експертними оцінками операції з платіжними картками в Україні набувають все більшого поширення і зараз становлять 15—20 % загального обсягу розрахунків. За своїм характером такий рахунок вважається депозитом до запитання. В умовах обмеженості клієнтської бази даний вид залучення ресурсів є, безумовно, перспективним і потребує подальшого розвитку в банківській практиці.
Витрати на обслуговування поточних рахунків, як правило, найменші. Це найдешевший вид ресурсів. Збільшення частки даного компонента в ресурсній базі скорочує процентні витрати і знижує витратність ресурсів у цілому. Проте зміну залишків депозитів до запитання важко спрогнозувати, і цей вид ресурсів є найнестабільнішим елементом. Висока їх частка значно знижує ліквідність банку. Як свідчить практика, оптимальний рівень депозитів до запитання в ресурсній базі — до 30 %.
Строкові депозити — це грошові кошти, які розміщуються в банку на строго обумовлений термін і можуть зніматися після закінчення цього терміну або після попереднього повідомлення банку за встановлений період. Строкові депозити поділяються на депозити від юридичних та фізичних осіб (вклади населення). Банку вигідно залучати строкові депозити, бо вони стабільніші і дають змогу банкові розпоряджатися ними тривалий термін. Незважаючи на зростання процентних витрат, збільшення частки строкових депозитів у загальній сумі зобов’язань є позитивним моментом, оскільки вони є найстабільнішою частиною ресурсів. Саме вони дають змогу кредитувати на більш тривалі терміни, але в результаті за ними вищий процент. У зв’язку з тим, що на сьогодні вільних оборотних коштів у підприємств майже немає, у структурі строкових депозитів значною є частка вкладів населення (депозити фізичних осіб). Витрати на залучення вкладів населення дещо нижчі, тому вони є вирішальним елементом стабільних ресурсів банку.
Однією з форм строкових вкладів є сертифікати. Ощадний (депозитний) сертифікат — це письмове підтвердження депонування банком грошових коштів, яке засвідчує право вкладника на одержання після закінчення встановленого строку суми депозиту і процентів за ним. Доходи за ним нараховуються у вигляді процентів на номінал, фіксованої премії чи виграшу або як різниця між ціною розміщення та ціною погашення (сума дисконту) цінного папера. Депозитний сертифікат може використовуватись його власником як платіжний засіб і обертатися на фондовому ринку.
Основною задачею залучення депозитних коштів комерційними банками є створення пасивних джерел виконання банками активних операцій з залученими коштами з метою отримання прибутку від активних операцій, який перевищує витрати на залучення депозитних коштів.
Основною задачею запозичення коштів на міжбанківському ринку є покриття тимчасових касових розривів між грошовими потоками власних платежів банку і платежів за дорученням клієнтів та грошовими потоками надходження платежів в банк у власних операціях та операціях клієнтів.
Згідно з визначенням роботи [24], метою менеджменту в сфері управління зобов’язаннями банку є залучення достатнього обсягу коштів з найменшими витратами для фінансування тих активних операцій, які має намір здійснити банк і підтримка достанього рівня ліквідності.
Згідно з визначенням роботи [61], метою банківського менеджменту у сфері управління зобов’язаннями банку є залучення достатнього обсягу коштів з найменшими витратами для фінансування тих активних операцій, які має намір здійснити банк. Отже, у процесі формування ресурсної бази менеджмент повинен враховувати два основні параметри управління — вартість залучених коштів та їх обсяг.
Для забезпечення бажаної структури, обсягів та рівня витрат за депозитними зобов’язаннями менеджмент використовує різні методи залучення коштів, які загалом поділяються на дві групи — цінові та нецінові методи управління залученими коштами.
Сутність цінових методів полягає у використанні відсоткової ставки за депозитами як головного важеля в конкурентній боротьбі за вільні грошові кошти фізичних і юридичних осіб. Підвищення пропонованої банком ставки дозволяє залучити додаткові ресурси. І, навпаки, банк, перенасичений ресурсами, але обмежений небагатьма прибутковими напрямами їх розміщення, зберігає чи знижує депозитні ставки.
Нецінові методи управління залученими коштами банку базуються на використанні різноманітних прийомів заохочення клієнтів, які прямо не пов’язані зі зміною рівня депозитних ставок.
Нецінові методи управління базуються на маркетингових дослідженнях того сектору ринку, який обслуговується банком, вивченні потреб клієнтури, розробленні нових фінансових інструментів та операцій, що пропонуються клієнтам. У цілому застосування нецінових методів потребує деяких (іноді й значних) витрат.
Згідно визначень роботи Л.О.Примостки (КНЕУ) [61] - до залучених коштів банку належать залишки коштів на поточних, бюджетних і розрахункових рахунках клієнтів, ощадні та строкові вклади фізичних і юридичних осіб, вклади до запитання, різні види депозитних рахунків, таких як умовні, заставні, брокерські, цільові депозити, депозити в іноземній валюті, а також кошти на кореспондентських рахунках інших банків (лоро-рахунки). У банківській практиці всі рахунки клієнтів, відкриті в банку, у цілому називають депозитами, а залучені кошти — депозитними зобов’язаннями.
Згідно визначень роботи А.М. Арістової (КНТЕУ) [24] - до депозитів (залучених коштів) банку належать залишки коштів на поточних, бюджетних і розрахункових рахунках клієнтів, ощадні та строкові вклади фізичних і юридичних осіб, вклади до запитання, різні види депозитних рахунків, включаючи такі як умовні, заставні, брокерські, цільові депозити, депозити в іноземній валюті, а також кошти на кореспондентських рахунках інших банків (лорорахунки). Усі ці джерела коштів поділяються на дві групи: трансакційні та ощадні депозити. Ознакою трансакційних депозитів є право клієнта на переказ грошей в іншу банківську установу та використання цього права на регулярній основі. Тому трансакційні депозити є найбільш рухливою частиною банківських пасивів. Ощадні депозити не мають цієї ознаки, вони стійкіші як джерела фінансування, але їх залучення коштує банку більше (відсоткова ставка).
Основними завданнями щодо управління залученими коштами банку, за думкою к.е.н. Арістової А.М. та д.е.н. Шульги Н.П. (КНТЕУ, кафедра банківської справи) [24], на сучасному етапі розвитку банків України є:
дотримання нормативів ліквідності;
дотримання нормативів обов’язкового резервування;
реалізація депозитної політики банку;
підтримка структури пасивів (коефіцієнт фінансового важеля) на рівні, який відповідає стратегічним цілям банку;
використання підходів до управління зобов’язаннями, які відповідають стратегії управління ризиком ліквідності;
застосування інструментів управління зобов’язаннями банку, адекватних стану фінансового ринку;
встановлення відповідності обсягів і структури зобов’язань обсягам і структурі активних операцій, спираючись на стратегію інтегрованого управління пасивами і активами банку;
формування собівартості ресурсів на ринку, що забезпечують стабільну доходність активних операцій.
1.2 Фінансові умови залучення депозитів комерційними банками
Для забезпечення бажаної структури, обсягів і рівня витрат за депозитними зобов'язаннями менеджмент використовує різні методи залучення коштів, які загалом зводяться до двох груп: цінові та нецінові методи управління залученими коштами.
Сутність цінових методів полягає у використанні відсоткової ставки за депозитами як головного важеля в конкурентній боротьбі за вільні грошові кошти фізичних і юридичних осіб. Підвищення пропонованої банком ставки дає змогу залучити додаткові ресурси. І навпаки, банк, перенасичений ресурсами, але обмежений небагатьма прибутковими напрямами їх розміщення, зберігає або навіть зменшує депозитні ставки.
Обсяги залучення заощаджень у банківську систему суттєво залежать від цінової політики банків, основним інструментом якої є депозитна ставка. Банки встановлюють диференційовані ставки залежно від виду депозитного рахунку, строку розміщення коштів на депозиті та суми вкладу. Ціноутворення за депозитними зобов'язаннями банку базується на аналізі співвідношення між депозитною ставкою, яка відображає ринкову вартість залучення коштів, і витратами банку, пов'язаними з обслуговуванням кожного виду депозитних рахунків. Якщо операційні витрати банку за рахунком чималі, наприклад, для розрахункових рахунків клієнтів, то ставка буде низькою або взагалі відсотки не виплачуватимуться. Покриття витрат з обслуговування депозиту банк найчастіше перекладає на клієнта, стягуючи фіксовану комісійну винагороду або встановлюючи вартість проведення кожної операції за рахунком, і водночас виплачує відсотки за залишок коштів на клієнтському рахунку.
В табл.Ж.1 – Ж.6 Додатку Ж наведені умови залучення вкладів в 6 банках м. Києва станом на 15.05.2007 року, які дозволяють ідентифікувати основні інструменти конкурентного управління залученням депозитів в банківську систему, як:
ставка залучення депозиту в залежності від валюти депозиту, строку залучення, режиму сплати відсотків, режиму сприяння особливим клієнтам, суми депозиту та інш.;
строк залучення депозиту;
мінімальна сума залучення депозиту;
строковість сплати відсотків (авансова, щомісячна, щоквартальна, в кінці строку);
наявність режиму довкладання коштів депозиту чи фіксована початкова сума депозиту;
наявність режиму часткового зняття суми депозиту та режим нарахування відсотків у цьому випадку;
наявність режиму кредитування вкладника під заставу депозиту на певну долю депозиту (не більше 50%);
штрафні санкції за дострокове припинення договору депозиту (зменшення ставки нарахування відсотків та перерахування при розриві);
прості чи складні відсотки (автоматичне зарахування відсотків до суми вкладу);
постійна чи регульована ставка депозиту на протязі довгострокового депозиту;
наявність режиму мультивалютності вкладу при сплаті відсотків по вкладу в іноземній валюті;
наявність додаткових бонусно-виграшних програм при пролонгації депозита на наступний строк;
наявність умов безкоштовної сплати комунальних платежів через банк при наявності в ньому депозиту на певну суму та певний строк;
наявність умови видачі безплатної пластикової картки для отримання нарахованих відсотків через мережу банкоматів банку, відділенні банку.
За своїм економічним змістом відсоткова ставка – це ринкова ціна (вартість) грошей, яка відображає альтернативні варіанти їх розміщення та ризики. Депозитна ставка є платою власникові тимчасово вільних грошових коштів за їх використання впродовж певного періоду часу і має компенсувати упущені можливості за інших напрямів їх розміщення. На сучасному етапі розвитку банківської системи України застосовується набор управління параметрами поточних та строкових депозитів, наведений в табл.1.2 – 1.4, який доповнює основний ціновий параметр – відсоткову ставку депозиту в залежності від валюти вкладу - строком депозиту, умовами сплати відсотків, мінімальної суми депозиту, умовами права на часткове поповнення та зняття суми вкладу.
Таблиця 1.2
Управління строковими залученими коштами юридичних та фізичних осіб [24]
-
Вид інструмента
Управляємі параметри, застосовуємі інструментом
Лімітування суми залучених коштів
Мінімальна сума депозиту
Мінімальна сума довкладень
Мінімальна сума часткового зменшення депозиту
Управління строками депозитів
Строк депозита по договору
Можливість автоматичної пролонгації строку договору
Строк до кінця дії депозитного договору, після якого поповнення депозитного рахунку припиняється
Строк повідомлення банку про дострокове повернення грошових коштів на вимогу клієнта
Управління процентною ставкою
Вид процентної ставки: фіксована чи плаваюча процентна ставка
Спосіб нарахування процентів(прості чи складні)
Розмір процентної ставки за договором
Розмір процентної ставки у разі дострокового розірвання договору клієнтом
Управління періодичністю сплати процентів
Авансова сплата
Періодична (щомісячна, шоквартальна, річна)
Сплата по закінченню договору
Таблиця 1.3
Управління залученими коштами на вимогу (поточні рахунки) юридичних та фізичних осіб [24]
-
Вид інструмента управління
Управляємі параметри, застосовані інструментом
Лімітування суми залучених коштів
Мінімальний незнімаємий залишок суми на рахунку
Управління процентною ставкою
Вид процентної ставки: фіксована чи плаваюча процентна ставка
Спосіб нарахування процентів(прості чи складні)
Розмір процентної ставки за договором
Управління періодичністю сплати процентів
Періодична (щомісячна, шоквартальна, річна)
Таблиця 1.4
Управління залученими коштами на вимогу (карткові рахунки) юридичних та фізичних осіб [24]
-
Вид інструмента управління
Керовані параметри, застосовані інструментом
Лімітування суми залучених коштів
Максимальна сума зняття коштів з рахунку за 1 день
Управління процентною ставкою
Вид процентної ставки: фіксована чи плаваюча процентна ставка
Спосіб нарахування процентів(прості чи складні)
Розмір процентної ставки за договором
Управління періодичністю сплати процентів
Періодична (щомісячна, шоквартальна, річна)
Ліміт транзакцій
Максимальна кількість трансакцій за 1 день
Банки, які не мають на ринку репутації надійних і стабільних установ, змушені для залучення клієнтів пропонувати високі депозитні ставки. У такому разі менеджмент банку повинен точно знати напрями та обсяги можливого розміщення ресурсів та їх дохідність. Підвищення депозитної ставки за відсутності високодохідних напрямів розміщення залучених ресурсів може призвести до появи від'ємного спреду, а отже, збиткової діяльності банку.
В умовах загострення конкурентної боротьби в банківській сфері менеджмент велику увагу приділяє саме неціновим методам управління, оскільки підвищення депозитних ставок має обмеження і не завжди такий метод управління можна застосовувати.
До нецінових методів управління депозитами належать реклама, поліпшений рівень обслуговування; розширення спектра пропонованих банком рахунків і послуг, комплексне обслуговування, додаткові види безкоштовних послуг, розташування філій у місцях, максимально наближених до клієнтів, пристосування графіка роботи до потреб клієнтів та ін. У боротьбі за клієнтів банки вдаються до таких прийомів, як проведення лотереї серед клієнтів, безкоштовне розсилання витягів з рахунків, відкриття депозитів новонародженим як подарунок від банку, обладнання безкоштовних автомобільних стоянок біля банку, розташування банкоматів у громадських місцях, проведення безготівкових розрахунків за допомогою пластикових карток, надсилання клієнтам привітань і подарунків до свят від імені керівництва банку та ін.
Нецінові методи управління базуються на маркетингових дослідженнях того сектора ринку, який обслуговується банком, вивченні потреб клієнтури, розробці нових фінансових інструментів та операцій, що пропонуються клієнтам. У цілому застосування нецінових методів потребує деяких (іноді чималих) витрат. Тому, обираючи метод управління залученими коштами, менеджмент банку має порівняти витрати, пов'язані з підвищенням депозитної ставки, та витрати, які супроводжуватимуть впровадження нецінових прийомів. На практиці ці методи застосовують паралельно.
1.3 Формування відсоткових ставок, показники ефективності та ризиків депозитних операцій
Основним інструментом управління зобов'язаннями банку є депозитна ставка. В основу формування депозитних ставок покладено визначення базової ринкової ставки, яка показує той мінімальний рівень дохідності, що задовольнить інвестора у разі вкладення власних коштів у конкретний банк.
На рівень базової депозитної ставки впливають такі основні чинники:
- реальні темпи економічного зростання в країні;
- очікуваний рівень інфляції впродовж періоду вкладання коштів;
- ризик неповернення коштів, що пов'язується з конкретною банківською установою.
- попит і пропозиція грошових коштів на ринку;
- попит на кредити;
- норми обов'язкових резервів за зобов'язаннями банку;
- нормативні вимоги НБУ щодо співвідношення вкладів фізичних осіб і регулятивного капіталу банку;
- структура та умови вкладу;
- правила обліку і оподаткування доходів;
- завищений рівень відсоткових ставок інсайдерам банку;
- рівень конкуренції;
- демпінгова політика окремих банків, які тільки виходять на ринок і прагнуть будь-якою ціною завоювати свою нішу, необгрунтовано підвищуючи депозитні ставки.
Під час визначення рівня депозитної ставки менеджменту банку потрібно пам'ятати, що ціна ресурсів трансформується в ціну кредиту, яка, своєю чергою, відображається в цінах на товари і послуги, кінцевим споживачем яких залишається населення. Відтак необґрунтоване завищення депозитних ставок має негативні наслідки для всього суспільства.
Рівень ринкових процентних ставок банківських депозитів може бути визначений за формулою:
(1.1)
де k – рівень ринкової процентної ставки депозиту;
r - реальна доходно-витратна процентна ставка процентів банку;
x – очікуваний рівень інфляції;
p - премія за ризик непогашених зобов’язань.
m – премія за ризик дострокового погашення депозиту
r-конкур – конкурентна складова ставки, яка залежить від конкурентних пропозицій банків на банківському ринку (зовнішній тиск на ставку)
Реальна ставка залежить від попиту грошей на ринку активних операцій, від пропозиції грошей на ринку депозитів та регуляції рівня розміщення залучених депозитів в активні кредити за допомогою вимог Національного банку України до ставки обов’язкового резервування залучених коштів, яка стримує кредитний мультиплікатор грошей в банківській системі України. Реальна ставка розраховується за формулою нормованої доходності залученого депозиту в активних операціях банку (з врахуванням залишення в резервах банку обов’язкової частки депозиту):
(1.2)
де r-кред – ринкова ставка активних (кредитних) операцій, в які можна розмістити залучені депозитні кошти;
r-дох_банк – розрахункова ставка власного доходу банку від активної операції по розміщенню депозиту;
Stприб – ставка податку на прибуток банку;
rвитр_банку - додаткова ставка врахування витрат банку на оформлення та обслуговування депозиту (договору, пластикові картки та інше);
r-обов_резерв – ставка вимог НБУ до обов’язкового резервування частки залучених депозитів на кореспондентському рахунку в Національному банку України
Формула (2.2) показує доходно-витратну фінансову схему залежності депозитної ставки від ставки активних (кредитних) операцій по розміщенню залученого депозиту в активні операції банку та ставки обов’язкового резервування, які для комерційного банку є зовнішніми, незалежними від нього.
Реальна ставка процента та інфляційна премія разом визначають номінальний рівень пропонованої банком ставки депозиту на рівні вільного від ризику процента (i):
(1.3)
Застосовані інструменти управління залученими коштами в банках банківської системи України дають можливість структурувати основні сегменти залучених коштів по управлінню p та m – ризиковими ставками, як:
1. Ощадні депозити, основними признаками яких є:
сплата відсотків в кінці строку договору депозиту чи авансом;
відсутність права на до вкладення коштів до вкладу на період договору;
відсутність права на часткове зняття коштів вкладу на період договору;
2. Доходні депозити, основними признаками яких є:
регулярна (щомісячна чи щоквартальна) сплата відсотків;
відсутність права на до вкладення коштів до вкладу на період договору;
відсутність права на часткове зняття коштів вкладу на період договору;
3. Накопичувальні депозити, основними признаками яких є:
умови як сплати відсотків в кінці строку так і регулярна (щомісячна чи щоквартальна) сплата відсотків;
наявність права на до вкладення коштів до вкладу на період договору;
відсутність права на часткове зняття коштів вкладу на період договору;
4. Універсальні депозити, основними признаками яких є:
умови як сплати відсотків в кінці строку так і регулярна (щомісячна чи щоквартальна) сплата відсотків;
наявність права на до вкладення коштів до вкладу на період договору;
наявність права на часткове зняття коштів вкладу на період договору;
У вказаних 4-х сегментах додаткові умови строків сплати відсотків та наявність чи відсутність права управління основним “тілом” депозиту є основою для систематичного регулювання різниці в відсоткових ставках при рівних строках розміщення депозитів.
До інструментів банку, крім процентної ставки за окремим депозитом, відносять узагальнюючі показники середньої процентної ставки і собівартості залучених коштів. Середня процентна ставка за залученими коштами розраховується як середньозважена величина ставок залучених коштів на конкретну дату. До розрахунку приймаються:
- залишок коштів за кожною статтею залучених коштів за балансом на конкретну дату;
- процентна ставка (параметр аналітичного обліку) за кожною статтею залучених коштів.
На середню процентну ставку діють такі фактори:
зміни процентних ставок за окремими залученими коштами;
зміна структури залучених коштів.
Тому більш об’єктивну інформацію щодо динаміки процентних ставок можна отримати на підставі середньої ставки за окремими групами залучених коштів. Ця інформація міститься в щоденному звіті банку про депозити і процентні ставки.
Собівартість залучених коштів використовують як інструмент управління процентною маржею у тактичному менеджменті. Щомісяця на підставі даних балансу (щодо процентних витрат) і даних управлінського обліку (щодо середньоденної суми залучених коштів) собівартість залучених коштів розраховують як відношення процентних витрат до середньоденного залишку залучених коштів.
Зовнішня інформація з управління зобов'язаннями пов'язана зі станом міжнародного і внутрішнього фінансового ринку, ринку нерухомості, змінами податкового законодавства, станом банків-контрагентів, станом бізнесу в галузях, де працюють клієнти банку.
Внутрішню інформацію банку треба розглядати за її джерелами та періодичністю (табл. Р.1 Додатку Р).
Управління зобов'язаннями банку здійснюється Правлінням банку, КУАП, Казначейством, функціональними підрозділами з вкладних операцій, аналізу, планування, звітності. Розподіл функцій і повноважень з управління зобов'язаннями відрізняється за банками і залежить від типу його організаційної структури, кількості рівнів управління у банку, ступеня централізації прийняття рішень щодо пасивних операцій. У документованій формі розподіл функцій і повноважень передбачається внутрішніми регламентами банку і повинен забезпечити виконання всіх завдань з управління зобов'язаннями банку:.
- Встановлення завдань щодо залучення коштів клієнтів
- Контроль за виконанням завдань щодо залучення коштів
- Встановлення процентних ставок за депозитами клієнтів
- Методика планування залучення коштів
- Методика розрахунку процентної ставки за депозитами
- Облік операцій за депозитами
- Аналіз залучених коштів
- Статистична звітність
- Управлінська звітність
Методичне забезпечення банку з управління зобов'язаннями охоплює політики банку, внутрішні нормативні документи стосовно аналітичного обліку, форм управлінської звітності, ризик-менеджменту, планування, здійснення депозитних операцій з клієнтами та банками, методики з планування і аналізу грошових потоків зі зобов'язань банку (табл. 1.5).
Таблиця 1.5
Групи і види методичного забезпечення банку з управління зобов'язаннями банку [24]
-
Групи методичного забезпечення
Види методичного забезпечення
Загальні для всіх зобов'язань
3 політик
Депозитна політика
Облікова політика
3 обліку
План аналітичних рахунків
Зі звітності
Форми управлінської звітності
3 ризик-менеджменту
Положення щодо управління ризиком незбалансованої ліквідності
3 планування
Методичні рекомендації зі складання бізнес-плану розвитку банку на рік
Стосовно залучених коштів
Зі здійснення депозитних операцій з клієнтами
Положення про депозитні операції юридичних осіб у національній та іноземній валютах у системі банку
Правила здійснення установами банку операцій по вкладах населення
Правила випуску депозитних сертифікатів банку
Зі встановлення процентних ставок за депозитами
Методи ціноутворення на депозити банку
3 вивчення та управління грошовими потоками
Методичні рекомендації з вивчення та управління грошовими потоками
Залучені кошти банку мають наступні основні методологічні важелі контролю та управління:
- доступність до додаткового залучення та можливість підтримання необхідного рівня залучення;
- вартість залучених коштів, яка реалізується у вигляді ставок залучення;
- стабільність обсягів залучених коштів з точки зору конкурентності умов з іншими банками;
- процентна маржа використання залучених коштів, яка реалізується у вигляді кредитних ставок розміщення залучених коштів, конкурентних з точки зору середньоринкових ставок кредитування в банківській системі України.
В результаті несприятливого коливання на ринку відсоткових ставок Банк піддається відсотковому ризику, джерелом якого є дисбаланс активів і пасивів, чутливих до зміни відсоткових ставок за термінами погашення.
З метою зниження відсоткового ризику при управлінні залученими коштами Банк використовує комплексну систему управління ризиком, яка базується на:
- прогнозуванні тенденцій зміни відсоткових ставок;
- вивченні динаміки зміни спреду між ставками залучення і розміщення коштів;
- визначенні величини GAP-розриву між активами і пасивами, чутливими до зміни відсоткових ставок на різних часових проміжках;
- визначенні співвідношення активів і пасивів, чутливих до зміни відсоткових ставок і співвідношення GAP-розриву до чистих активів Банку;
- встановленні ліміту величини відсоткового ризику в капіталі Банку;
- здійсненні контролю за розривами між активами і пасивами, чутливими до зміни відсоткових ставок на щотижневій основі;
- здійсненні контролю за рівнем чистої відсоткової маржі;
- співвідношення величини відсоткового ризику з прибутком Банку;
- створенні стрес-моделей;
- проведенні зваженої відсоткової політики Банку, яка базується на формуванні відсоткових ставок за кредитами з урахуванням собівартості пасивів і рейтингу позичальника, ризику операції;
- щомісячному перегляді відсоткових ставок активних і пасивних операцій з урахуванням ринкової позиції банків-конкурентів;
- управлінні кривою прибутковості активів і пасивів за термінами погашення.
Результати оцінки та аналізу величини відсоткового ризику подаються на засідання Кредитного комітету і КУАП двічі на тиждень. КУАП ухвалює рішення про зміну відсоткової політики Банку і внутрішніх лімітів відсоткового ризику. Рішення про зміну рівня відсоткових ставок затверджуються КУАП і доводяться до всіх регіональних підрозділів відповідними наказами і розпорядженнями. КУАП здійснює постійний моніторинг і перегляд відсоткових ставок за видами валют, в розрізі термінів, видів продуктів (за активами і пасивами Банку).
Щоденний контроль відповідності фактичних відсоткових ставок, встановлених в Банку, здійснює служба бек-офісу Головного Банку. Контроль проводиться в цілому по системі Банку.
Для підвищення "гнучкості" балансу по відношенню до відсоткового ризику в договорах з фіксованою ставкою (кредитних, депозитних) передбачена можливість перегляду відсоткових ставок, у разі значних коливань ставок на ринку або зміни облікової ставки.
Прийняті Комітетом управлінські рішення виконуються працівниками казначейства банку та інших структурних підрозділів з відповідних напрямів діяльності. Казначейство або департамент активних і пасивних операцій є основним робочим підрозділом комерційного банку, який реалізує інтегрований підхід до управління фінансовими потоками банку та управлінські рішення КУАП.
Банки, крім управління окремими видами залучених коштів, використовують інструменти управління структурою залучених коштів (табл.1.6).
Основним інтегральним показником ефективності процесу управління залученими коштами є чистий процентний спред, тобто різниця сум отриманих процентів за розміщення залучених коштів в процентні кредити, віднесених до сум кредитів, та сум сплачених процентів за залучення поточних та строкових депозитів, віднесених до сум залучених депозитів:
Таблиця 1.6
Інструменти банку з управління структурою залучених коштів [24]
-
Ознака
Фінансові коефіцієнти
За суб’єктами депозитних зобов’язань
Співідношення коштів юридичних та фізичних осіб
За видами поточних рахунків фізичних осіб
Співвідношення коштів на вимогу за звичайними рахунками та картковими рахунками фізичних осіб
За строками залучених коштів
Співвідношення коштів на вимогу і строкових коштів
За видами валют
Співвідношення коштів у національній та іноземній валютах
За видами процентних ставок
Співвідношення коштів, залучених за фіксованою процентною ставкою, і коштів, залучених за плаваючою процентною ставкою
Співвідношення залучених коштів, за якими нараховуються прості і складні проценти
Чистий процентний спред(%) =
Процентний дохід Процентні витрати
= (----------------------------- - ----------------------------------------) х 100%(1.4)
Сума доходних активів Сума витратних залучених коштів
Чистий процентний спред - визначає здатність банку приносити прибуток у вигляді його доходу від процентної різниці підпроцентних активів та залучених коштів.
Другим основним показником ефективності управління залученими коштами є рівень обов’язкового резервування залучених коштів на кореспондентському рахунку банку в НБУ, який знижує частку залучених коштів, що можуть бути розміщені комерційним банком в активні операції, тобто частка розміщених коштів повинна дати процентний дохід, якій покриє витрати на залучення усієї суми залучених коштів, та ще й дати прибуток. Підвищення норм обов’язкового резервування для різних строків та валют приводить до змін в політиці комерційного банку по залученню коштів з боку мінімізації недоходних обов’язкових резервів, а також відповідному підняттю ставок активних операцій по кредитуванню (розміщенню залучених коштів).
В таблиці Л.1 Додатку Л наведена динаміка встановлення Національним банком нормативів обов’язкового резервування окремих агрегатів залучених банками коштів у 1998-2008 роках. Як показує, аналіз даних табл.Л.1 додатку Л, регулююча політика НБУ на сучасному етапі робить вигідним залучення строкових коштів юридичних та фізичних осіб, оскільки рівень обов’язкового резервування за цими видами залучених ресурсів знизився з 6,0% на початок 2006 року до 0,5% на кінець 2006 року та у 2007 -2008 роках. Одночасно НБУ суттєво знизив рівень обов’язкового резервування за поточними коштами юридичних та фізичних осіб в національній валюті з рівня 8% на початок 2006 року до 1% на кінець 2006 року та на протязі 2007 року.
В той же час НБУ на протязі 2006 - 2007 року підняв норму обсягу обов'язкових резервів, який має зберігатися щоденно на початок операційного дня на кореспондентському рахунку банку в Національному банку України в розмірі з 70 процентів від суми визначеного та сформованого обсягу обов'язкових резервів за попередній звітний період резервування (з 01.03.2006) до 100% з 01.10.2006 року.
Таким чином, НБУ у кінці 2006 - на протязі 2007 року мінімізував вплив зовнішнього страхового інструменту обов’язкового резервування залучених коштів, що привело до різкого зростання обсягів депозитів, залучених комерційними банками (темп зростання у 2007 році перевищує темп 2006 року):
1) Так за станом на 01.01.2007 року банківська система України мала наступні характеристики депозитної бази залучених коштів.
За 2006 рік зобов’язання банків України збільшилися на 57,7% або на 108,7 млрд. грн. і на 01.01.2007 становили 297,2 млрд. грн., в т.ч. нерезиденти – 23,7 % від зобов’язань.
Збільшення зобов`язань банків відбулось, в основному, за рахунок строкових вкладів (депозитів) інших банків та кредитів, що отримані від інших банків – на 40,2 млрд. грн. або в 2,5 разів, збільшення коштів фізичних осіб - на 33,5 млрд. грн. або на 46,2 %, коштів суб’єктів господарювання – на 15,7 млрд. грн. або на 25,6%, кредитів, що отримані від міжнародних та інших фінансових організацій – на 4,8 млрд. грн. або в 2,4 рази, коррахунків інших банків – на 3,7 млрд. грн. або в 2 рази, цінних паперів власного боргу – на 3,3 млрд. грн. або в 2,2 рази, субординованого боргу - на 2,1 млрд. грн. або на 83,0%.
Зобов`язання банків мають таку структуру. Кошти Національного банку України складають 0,5 % від загальної суми зобов’язань; коррахунки інших банків – 2,5%; строкові вклади (депозити) інших банків та кредити, що отримані від інших банків – 22,8%; кошти суб’єктів господарювання – 25,9 %; кошти фізичних осіб – 35,7 %; кошти небанківських фінансових установ – 2,5 %; кошти бюджету та позабюджетних фондів – 0,6 %; кредити, що отримані від міжнародних та інших фінансових організацій – 2,8%, цінні папери власного боргу – 2,1 %; субординований борг – 1,6 %; інші зобов`язання – 3,0%.
Банки мають таку структуру коштів населення з точки зору строковості. Строкові кошти складають 81,8 млрд.грн. або 77,2 % від загальної суми вкладів, а кошти до запитання – 24,2 млрд.грн. або 22,8 %. Кошти в національній валюті складають 53,8% від загальної суми коштів фізичних осіб.
2) За станом на 01.01.2008 року банківська система України має наступні характеристики зростання депозитної бази залучених коштів.
Зобов’язання банків України за 2007 рік збільшилися на 230,8 млрд. грн. або на 77,5% і на 01.01.2008 становили 528,4 млрд. грн.
Зобов`язання банків мають таку структуру. Кошти Національного банку України складають 0,3% від загальної суми зобов’язань; залишки на коррахунках інших банків – 2,4%; строкові вклади (депозити) інших банків та кредити, що отримані від інших банків – 29,4%; кошти суб’єктів господарювання – 21,2%; кошти фізичних осіб – 30,9%; кошти небанківських фінансових установ – 3,0%; кошти бюджету та позабюджетних фондів – 0,8%; кредити, що отримані від міжнародних та інших фінансових організацій – 3,5%; цінні папери власного боргу – 3,7%; субординований борг – 1,5%; інші зобов`язання – 3,3%.
Банки мають таку структуру коштів населення з точки зору строковості. Строкові кошти складають 125,6 млрд. грн. або 76,8% від загальної суми коштів населення, а кошти до запитання – 37,9 млрд. грн. або 23,2%. Кошти в національній валюті складають 60,1% від загальної суми коштів фізичних осіб.
Протягом 2007 року активи банків збільшилися на 258,1 млрд. грн. або на 75,9 % і становлять 598,3 млрд. грн. Загальні активи збільшились на 264,5 млрд. грн. або на 74,9% і складають 617,6 млрд. грн. Збільшення загальних активів відбулось, в основному, за рахунок збільшення кредитів, наданих банками, – на 216,7 млрд. грн. або на 80,3%, з них: кредитів, що надані суб’єктам господарювання – на 108,5 млрд. грн. або на 64,7%, кредитів, наданих фізичним особам, – на 75,9 млрд. грн. або на 97,6%.
Продовжували зростати довгострокові кредити. Протягом 2007 року вони збільшилися на 85,7% і на 01.01.2008 становили 291,9 млрд. грн. або 60,0% від наданих кредитів. Такий темп зростання є ризиком для депозитної бази, яка є, в основному, короткостроковою (не більше 1,2 року).
На графіках рис.1.2 – 1.4 наведені дані по регулюючій ролі НБУ в формуванні вартості депозитів (облікова ставка + рівень резервування депозитів).

Рис.1.2. – Динаміка рівня річної облікової ставки НБУ(в %) у 2000 – 2008 роках [81]

Рис.1.3. – Динаміка рівнів вимог по резервуванню поточних та короткострокових депозитів в національній та іноземній валютах (в % від залучених обсягів) у 1998 – 2008 роках [81]

Рис.1.4. – Динаміка рівнів вимог по резервуванню довгострокових депозитів в національній та іноземній валютах (в % від залучених обсягів) у 1998 – 2008 роках [81]
Як показує аналіз графіків на рис.1.2 – 1.4, регулююча політика НБУ у 2000 – 2008 році направлена на розширення депозитної бази комерційних банків та зростання грошового мультиплікатора, що є наслідком зменшення облікової ставки НБУ та зменшення рівня резервування залучених депозитів в грошових коштах на кореспондентському рахунку в НБУ [77].
На рис.1.5 наведений фінансово-функціональний розподіл внутрішніх банківських ризиків з додатковим розділом фінансових ризиків на цінові та нецінові групи [71].
Депозитні операції банку в основному наражаються на фінансові ризики, серед яких основне місце посідає група цінових ризиків.
Р
ис.1.5.
– Фінансово-функціональний розподіл
внутрішніх банківських ризиків [71]
Цінові фінансові ризики пов’язані з можливою зміною доходності чи вартості активів і зобов’язань банку внаслідок зміни ринкових цін на фінансові та фізичні активи, що перебувають на балансі банку, або обліковуються на позабалансових рахунках. Трьома основними банківськими ризиками, що належать до групи цінових фінансових ризиків, є ризик зміни відсоткових ставок, валютний ризик і ризик зміни вартості цінних паперів.
Ризик зміни відсоткових ставок (відсотковий ризик) – це ймовірність фінансових втрат у зв'язку з мінливістю відсоткових ставок на ринку впродовж певного періоду часу в майбутньому. Ризик зміни відсоткової ставки (відсотковий ризик) супроводжує діяльність позичальників, кредиторів, власників цінних паперів, інвесторів.
Валютний ризик визначається ймовірністю втрат, пов'язаних зі зміною курсу однієї валюти щодо іншої. Валютний ризик виникає в тих суб'єктів господарської діяльності, які мають на балансі активні, пасивні або позабалансові статті, деноміновані в іноземній валюті.
Базисний ризик визначається ймовірністю структурних зрушень у різних відсоткових ставках. Іншими словами, цей ризик зумовлюється виникненням асиметрії в динаміці окремих ставок (порівняльна характеристика) на противагу відсотковому ризику, який пов'язується зі змінами в рівнях відсоткової ставки з плином часу (динамічна характеристика).
Розробка стратегії мінімізації банківського ризику проходить ряд етапів:
- Виявлення факторів, що збільшують і зменшують конкретний вид ризику при здійсненні визначених банківських операцій.
- Аналіз виявлених факторів з погляду сили впливу на ризик.
- Оцінка конкретного виду ризику.
- Встановлення оптимального виду ризику.
- Аналіз окремих операцій з погляду відповідності прийнятному рівню ризику.
- Розробка заходів щодо зниження ризику.
Для зниження рівня процентного ризику банк може застосувати наступні інструменти:
1. Залучення депозитів та видача кредитів із процентною ставкою, що плаває. Такі міри дозволяють банку вносити відповідні зміни в розмір процентної ставки по виданому кредиті відповідно до коливань ринкових процентних ставок. У результаті банк одержує можливість уникнути ймовірних втрат у випадку підвищення ринкової норми позичкового відсотка.
2. Узгодження активів і пасивів по термінах їхнього повернення. Узгодження активів і пасивів по термінах їхнього повернення можливо по всьому балансі банку (макрохеджування) чи по конкретному активу і конкретному пасиву (мікрохеджування). Для максимального хеджування процентного ризику терміни повернення по активу і пасиву повинні цілком збігатися, що, однак, значним образом обмежує маневреність у діяльності банку.
Процентний ризик містить у собі інфляційний ризик - ризик збитків у результаті знецінення сум відсотків, що сплачуються позичальником. Методом його страхування є індексація, при якій у кредитному договорі обмовляється, що сума платежу залежить від зміни визначеного індексу, наприклад, цін, а також заключення поновлюваних (револьверних) позик на короткий термін із правом їхнього поновлення і перегляду рівня ставки.
Для зниження валютного ризику банк може використовувати наступні прийоми:
1. Видача позичок в одній валюті з умовою її погашення в іншій з урахуванням форвардного курсу, зафіксованого в кредитному договорі. Такі міри дозволяють банку застрахуватися від можливого падіння курсу валюти кредиту.
2. Форвардні валютні контракти. Це основний метод зниження валютного ризику. Такі операції припускають заключення термінових угод між банком і клієнтом про купівлю-продаж іноземної валюти при фіксації в угоді суми угоди і форвардного обмінного курсу.
Серед усіх видів ризиків, з якими зіштовхуються банки, не найдеться іншого, аналізу і контролю якого приділяється стільки уваги в останні роки, як ризик процентних ставок, оскільки зміна рівня процентних ставок може негативно впливати на доходи і вартість банківських активів, пасивів і капіталу.
Зміни рівня процентних ставок на ринку можуть нанести втрата прибутковості банку, збільшуючи його витрати фінансування, зменшуючи надходження по активах, скорочуючи вартість інвестицій акціонерів (чисту вартість або власний капітал). Останнім часом у періоди коливань процентних ставок банкіри змушені діяти в зовсім новій і більш непередбаченому середовищі.
Значні коливання процентних ставок останнім часом істотно змінювали рівні витрат, прибутки і вартість активів банку. Для багатьох з них, що звикли інвестувати в кредити і цінні папери з фіксованими ставками, одержання засобів від короткострокових депозитів з відсотком, що плаває, часто було згубно, оскільки сприяло значному прискоренню банкрутства банку. Банкіри почали активно шукати способи огородження своїх портфелів активів і пасивів, а також прибутку від впливу змін кредитних ставок. Багато банків у даний час реалізують стратегію керування активами і пасивами під керівництвом спеціальних комітетів. Подібні комітети не тільки вибирають стратегію для боротьби з ризиком змін процентних ставок, але також займаються короткостроковим і довгостроковим плануванням, вибирають заходу для захистові від ризику неліквідності, організують контроль за якістю видаваних кредитів, витратами і податковими зобов'язаннями.
Ціль захисних мір проти ризику процентних ставок - огородження прибутку банку (чистого доходу після виплати податків і інших витрат) від негативних впливів їхніх змін. Не так уже важливо, у якому напрямку міняються ставки, головне, щоб прибуток залишався стабільної.
Для досягнення цієї мети менеджери банку повинні концентрувати свою увагу на тих складового портфеля, що найбільш чуттєві до зміни процентних ставок. У рамках активної частини портфеля - це звичайно кредити й інвестиції в цінні папери, а в рамках пасивної частини - це депозити і позики на грошовому ринку. Для того, щоб захистити прибуток банку від негативного впливу зміни процентних ставок, його керівництво прагне до підтримки на фіксованому рівні чистої процентної маржі (ЧПМ), що обчислюється в такий спосіб [72]:
Чистий процентний доход
ЧПМ = ----------------------------------------------------- (1.5)
Вартість всіх активів, що приносять доход
У випадку, якщо процентні ставки по зобов'язаннях банку ростуть швидше, ніж доход по кредитах і цінних паперах, значення ЧПМ буде скорочуватися з негативними наслідками для прибутку. Якщо процентні ставки знижуються і викликають більш швидке зменшення доходу по кредитах і цінних паперах у порівнянні зі скороченням процентних витрат по запозичених засобах, то ЧМП банку теж скоротиться. У цьому випадку менеджери банку повинні шукати можливі шляхи зниження ризику значного росту витрат запозичення в порівнянні з процентними доходами, що загрожує величині ЧПМ.
Найбільш популярна стратегія хеджування ризику процентних ставок, що використовують банки сьогодні, називається керування дисбалансами. Ця стратегія вимагає проведення аналізу термінів дії і можливостей зміни цін, зв'язаних з активами, що приносять процентний доход, банку, депозитами і позиками на грошовому ринку.
Банк може застрахуватися від негативного впливу змін процентної ставки (причому не важливо, росте вона або зменшується), якщо для кожного моменту часу виконана рівність [72]:
-
Вартість активів банку, підданих переоцінці (чуттєвих до змін процентних ставок)
=
Вартість пасивів банку, підданих переоцінці (чуттєвих до змін процентних ставок)
(1.6)
При нерівності виникає дисбаланс між активами і пасивами, чуттєвими до змін процентних ставок: [72]
-
Дисбаланс
=Активи банку, чуттєві до змін процентних ставок
Пасиви банку, чуттєві до змін процентних ставок
(1.7)
Банк відносно захищений від ризику процентних ставок, тільки коли обсяги чуттєвих до змін процентних ставок активів і пасивів рівні. У цьому випадку процентні надходження по активах і витрати фінансування змінюються в однаковій пропорції, тобто дисбаланс банку буде дорівнює нулеві і його ЧПМ буде стабільна незалежно від напрямку змін процентних ставок. Однак, як показує практика, нульовий дисбаланс не гарантує повний захист від процентного ризику, оскільки процентні ставки по активах і зобов'язанням у дійсності можуть мінятися в різному ступені.
Методи керування дисбалансом можуть бути корисним інструментом захисту від ризику процентних ставок, але вони далеко не цілком враховують вплив динаміки процентних ставок на ринкову вартість банківського капіталу (інвестицій акціонерів банку). Більш того, ці методи не можуть дати ніякого кількісного показника, по якому можна визначити, наскільки банк у цілому підданий ризикові зміни процентних ставок. Щоб врахувати ці істотні характеристики, повинен розрахуватися середньозважений термін погашення банківських активів і пасивів.
Важлива особливість показника середньозваженого терміну погашення з погляду керування ризиком полягає в тому, що він вимірює чутливість ринкової вартості фінансових інструментів до змін процентних ставок.
Банк, зацікавлений у повному хеджуванні змін процентних ставок, прагне вибирати активи і зобов'язання таким чином, щоб [72]:
-
Зважений по вартості надходжень термін погашення портфеля активів
Зважений по вартості виплат термін погашення портфеля пасивів,
(1.8)
тобто так, щоб дисбаланс середньозважених термінів погашення був максимально наближений до нуля.
Тому що вартість банківських активів звичайно перевершує вартість пасивів (у противному випадку банк буде банкрутом!), банк, що прагне звести дисбаланс середньозважених термінів погашення до нуля, повинний домогтися, щоб [72]:
-
Зважений по вартості надходжень термін погашення портфеля
активів
=
Зважений по
вартості виплат термін
погашення портфеля пасивів
Х
Загальна величина
пасивів
---------------------------------
Загальна величина
активів
(1.9)
Оскільки більший середньозважений термін погашення припускає велику чутливість до змін процентних ставок, це рівняння говорить про те, що для зведення до нуля загального ризику процентних ставок банку вартість банківських пасивів повинна мінятися трохи в більшому ступені чим вартість активів. Чим більше дисбаланс середньозважених термінів погашення, тим більше чуттєвою буде акціонерний капітал банку до змін процентних ставок.
РОЗДІЛ 2
ОЦІНКА СИСТЕМИ ЗАЛУЧЕННЯ ДЕПОЗИТНИХ КОШТІВ В АТЗТ “АК ПРОМІНВЕСТБАНК”
2.1 Характеристика діяльності АТЗТ “АК ПРОМІНВЕСТБАНК” за 2004 –2007 роки
Український акціонерний комерційний промислово-інвестиційний банк (Промінвестбанк України) створено 26 серпня 1992 року в результаті роздержавлення та приватизації республіканської інфраструктури Промстройбанку СРСР в Україні.
Станом на 01.01.2008 року статутний капітал банку становить 200 175 000 грн., розподілених на 20 175 000 простих акцій номінальною вартістю 10 грн. за 1 акцію.
Самостійна юридична особа - акціонерне товариство закритого типу “Акціонерний комерційний промислово-інвестиційний банк” (Україна, 01001, Київ-1, пров. Шевченка, 12) станом на 31.12.2006 року організаційна структура Промінвестбанку представлена 825 установами, в тому числі [83]:
- ОПЕРУ Промінвестбанку - 1;
- філії - 161;
- безбалансові відділення - 662;
- Представництво в Російській Федерації - 1.
На кінець року структура Центрального Апарату банку складалася із п’яти Головних регіональних управлінь (Східно-Донбаського, Центрально-Київського, Південно-Індустріального, Харківського та Західно-Українського), 17 департаментів (Генеральний департамент обліку та банківського контролю, Фінансовий департамент, Департамент пасивів, Департамент кредитування, Департамент споживчого кредитування, Планово-аналітичний департамент, Департамент фінансового моніторингу, Департамент безпеки банку, Юридичний департамент, Департамент управління персоналом, Департамент розвитку банку, Департамент капітального будівництва, Департамент внутрішнього аудиту, Господарський департамент, Департамент цінних паперів, Департамент валютних операцій, Департамент касових операцій та інкасації), Центру комп'ютерних та пластикових технологій.
Банк має наступні ліцензії та дозволи на здійснення операцій [83]:
- Ліцензія Національного банку України № 1 від 31.10.2001 року та дозволи на проведення банківських операцій (дозвіл №1-3 від 31.10.01р. та додаток до дозволу №1-3 від 20.01.06р.);
- Ліцензія Державної комісії з цінних паперів та фондового ринку (серія АА №770422 від 13.10.04р. строком дії до 13.10.07р.) на здійснення професійної діяльності на ринку цінних паперів: діяльність по випуску та обігу цінних паперів; депозитарна діяльність зберігача цінних паперів; діяльність щодо ведення реєстру власників іменних цінних паперів;
- Ліцензія Міністерства фінансів України (серія АБ №108675 від 23.05.05р. строком дії до 23.05.10р.) на проведення операцій з торгівлі з купленими у населення та прийнятими під заставу з ювелірними та побутовими виробами з дорогоцінних металів та дорогоцінного каміння.
Промінвестбанк є універсальним фінансовим інститутом, що надає весь спектр банківських послуг юридичним і фізичним особам. Банк переважно спеціалізується на кредитуванні підприємств промисловості, агропромислового комплексу, розрахунково-касовому обслуговуванні юридичних осіб. Трансформація заощаджень населення в інвестиційний розвиток економіки є одним із пріоритетних напрямків діяльності Промінвестбанку.
Промінвестбанк має солідну клієнтську базу - майже 4 млн. громадян та суб'єктів господарської діяльності, надає клієнтам понад 300 видів послуг: від розрахунково-касового обслуговування до сучасних електронних послуг та операцій з банківськими металами, постійно вдосконалює форми обслуговування клієнтів.
Промінвестбанк є одним із лідерів ринку пластикових технологій. Банком емітовано більше 4 млн. карток, в тому числі 2,6 млн. карток міжнародних платіжних систем, встановлено 1,7 тис. банкоматів.
В Додатку А наведені баланси АТЗТ “АК Промінвестбанк” за 2004 – 2007 роки та звіти про фінансові результати діяльності банку за 2004 – 2007 роки [83].
В табл.2.1 наведені основні характеристики діяльності АТЗТ “АК Промінвестбанк” за 2004 –2007 роки у формі абсолютних значень характеристик та відповідного рейтингового місця банку у банківській системі України по відповідній характеристиці. Одночасно в табл.2.1 та на рис.2.1 наведений обсяг ринку банківських послуг, який займає АТЗТ “АК Промінвестбанк” в загальних обсягах БС України, поступово втрачаючи позиції під впливом конкурентів.
Як показує аналіз даних табл.2.1 на ринку залучених депозитних коштів, які є предметом дипломного дослідження, Промінвестбанк займає 1(2004) –2(2007) місця по обсягах депозитів юридичних осіб та 3(2004) – 4(2007) місця по обсягах залучення депозитів фізичних осіб, по загальному обсягу валюти балансу банк займав 3 місце у 2004 році та 6 місце у 2007 році.
Спільний аналіз даних табл.2.1 та графіків рис.2.1 – 2.2 дозволяє виявити наступні тенденції внутрішнього розвитку АТЗТ «АК Промінвестбанк» та вплив зовнішнього конкурентного середовища банківської системи України на частку, яку займає банк на ринку банківських капіталів та послуг в Україні.
Так за 2004 – 2007 роки у АТЗТ «АК Промінвестбанк» (табл.2.1):
а) абсолютний обсяг валюти балансу збільшився з 10,6 млрд. грн. до 26,1 млрд. грн., тобто зріс в 2,46 рази. Але при цьому ринкова частка обсягу валюти балансу банка в загальному обсягу валюти балансу банківської системи України зменшилась з рівня 8,1% у 2004 році до рівня 4,46% у 2007 році, тобто зменшилась в 1,81 рази.
В результаті за обсягом валюти балансу банк за 4 роки перемістився з 3 місця в БС України на 6 місце (рис.2.2);
Таблиця 2.1
Динаміка характеристик та рейтингових місць АТЗТ “АК Промінвестбанк” в банківській системі України у 2004 –2007 роках


Рис.2.1. – Динаміка конкурентного падіння ринкової частки АТЗТ «АК Промінвестбанк» в загальній валюті активів, власного капіталу та залучених коштів БС України у 2004 -2007 роках

Рис.2.2. – Визначення ринкової частки загальних активів балансу АТЗТ “АК Промінвестбанк” в активах банківської системи України (158 діючих банків) станом на 01.01.2008 року
б) абсолютний обсяг власного капіталу збільшився з 1,167 млрд.грн. до 2,683 млрд. грн., тобто зріс в 2,3 рази. Але при цьому ринкова частка обсягу власного капіталу банка в загальному обсягу власного капіталу банківської системи України зменшилась з рівня 6,29% у 2004 році до рівня 3,28% у 2007 році, тобто зменшилась в 1,71 рази.
В результаті за обсягом власного капіталу банк за 4 роки перемістився з 3 місця в БС України на 6 місце (рис.2.10);
в) абсолютний обсяг поточних і строкових депозитів фізичних осіб збільшився з 3,466 млрд. грн. до 10,173 млрд. грн., тобто зріс в 2,93 рази. Але при цьому ринкова частка обсягу поточних і строкових депозитів фізичних осіб в загальному обсягу поточних і строкових депозитів фізичних осіб банківської системи України зменшилась з рівня 8,51% у 2004 році до рівня 6,3% у 2007 році, тобто зменшилась в 1,35 рази.
В результаті за обсягом поточних і строкових депозитів фізичних осіб банк за 4 роки перемістився з 3 місця в БС України на 4 місце (рис.2.5);
г) абсолютний обсяг поточних і строкових депозитів юридичних осіб збільшився з 5,599 млрд. грн. до 10,786 млрд. грн., тобто зріс в 1,93 рази. Але при цьому ринкова частка обсягу поточних і строкових депозитів юридичних осіб в загальному обсягу поточних і строкових депозитів юридичних осіб банківської системи України зменшилась з рівня 11,93% у 2004 році до рівня 7,137% у 2007 році, тобто зменшилась в 1,67 раза.
В результаті за обсягом поточних і строкових депозитів юридичних осіб банк за 4 роки перемістився з 1 місця в БС України на 2 місце (рис.2.3);
д) абсолютний обсяг чистого прибутку банку збільшився з 0,122 млрд. грн. до 0,234 млрд. грн., тобто зріс в 1,92 рази. Але при цьому ринкова частка обсягу чистого прибутку банку в загальному обсягу чистого прибутку банківської системи України зменшилась з рівня 9,31% у 2004 році до рівня 3,64% у 2007 році, тобто зменшилась в 2,55 рази.
В результаті за обсягом чистого прибутку банк за 4 роки перемістився з 2 місця в БС України на 7 місце (Рис.2.9);
е) рентабельність статутного капіталу банку(ROE) за рахунок стратегії капіталізації дивідендів в спеціальному фонді та постійному рівні статутного капіталу збільшилась з рівня 61,11% у 2004 році (5 рейтингове місце) до рівня 117,1 % у 2007 році (1 рейтингове місце), тобто зросла в 1,92 рази (рис.2.7). Але при цьому рентабельність активів банку (ROA) зменшилась з рівня 1,154% у 2004 році (55 рейтингове місце) до рівня 0,898 % у 2007 році (45 рейтингове місце), що, за нормативами НБУ, характеризує банк як низькорентабельний (рис.2.8).
Таким чином, фінансовий важіль залучених коштів в АТЗТ «АТ Промінвестбанк» працює з високою ефективністю, але є значні резерви росту рентабельності статутного капіталу за рахунок підвищення рентабельності роботи активів банку.
Р
ис.2.3.
– Визначення рейтингу та ринкової
частки АТЗТ “АК Промінвестбанк” на
ринку депозитів юридичних осіб
банківського ринку України (158 діючих
банків) станом на 01.01.2008 року

Рис.2.4. – Питома вага депозитів юридичних осіб в зобов’язаннях АТЗТ “АК Промінвестбанк” та інших банків банківського ринку України (158 діючих банків) станом на 01.01.2008 року
Рис.2.5. – Визначення рейтингу та ринкової частки АТЗТ “АК Промінвестбанк” на ринку депозитів фізичних осіб банківського ринку України (158 діючих банків) станом на 01.01.2008 року

Рис.2.6. – Питома вага депозитів фізичних осіб в зобов’язаннях АТЗТ “АК Промінвестбанк” та інших банків банківського ринку України (158 діючих банків) станом на 01.01.2008 року
Рис.2.7. – Рентабельність статутного капіталу (ROE) в АТЗТ “АК Промінвестбанк” та інших банках банківського ринку України (158 діючих банків) станом на 01.01.2008 року

Рис.2.8. – Рентабельність активів (ROA) в АТЗТ “АК Промінвестбанк” та інших банках банківського ринку України (158 діючих банків) станом на 01.01.2008 року

Рис.2.9. – Ринкова частка чистого прибутку в АТЗТ “АК Промінвестбанк” та інших банках банківського ринку України (158 діючих банків) станом на 01.01.2008 року

Рис.2.10. – Ринкова частка власного капіталу в АТЗТ “АК Промінвестбанк” та інших банках банківського ринку України (158 діючих банків) станом на 01.01.2008 року

Рис.2.11. – Рейтинг обсягу статутного капіталу в АТЗТ “АК Промінвестбанк” та інших банках банківського ринку України (158 діючих банків) станом на 01.01.2008 року
2.2 Аналіз динаміки структури, строковості та ставок залучених депозитних коштів в АТЗТ “АК ПРОМІНВЕСТБАНК”
Застосовані інструменти управління залученими коштами в АТЗТ “АК ПРОМІНВЕСТБАНК” та інших банках банківської системи України дають можливість структурувати основні сегменти залучених коштів як:
1. Ощадні депозити
2. Доходні депозити
3. Накопичувальні депозити
4. Універсальні депозити
У вказаних 4-х сегментах додаткові умови строків сплати відсотків та наявність чи відсутність права управління основним “тілом” депозиту є основою для систематичного регулювання різниці в відсоткових ставках при рівних строках розміщення депозитів.
На рис.Н.1 – Н.3 Додатку Н наведені результати оцінки цінової конкурентоспроможності АТЗТ “АК ПРОМІНВЕСТБАНК” на ринку залучення депозитів в Україні. Як показує аналіз даних рис. Н.1- Н.3 Додатку Н маркетингова політика пропозиції банківських депозитних послуг АТЗТ “АК ПРОМІНВЕСТБАНК” характеризується відносно середнім та низьким рівнями пропонованих ставок депозитних ресурсів – ставок покупки ресурсів.
В табл.2.2 наведені коефіцієнти конкурентоспроможності по привабливості ставок покупки ресурсів АТЗТ “АК Промінвестбанк” відносно конкурентів, розраховані як коефіцієнт конкурентної привабливості депозитних ставок:
(2.1)
де – ставка_макс(і) – максимальна ставка депозитів і-го виду;
Таблиця 2.2
Коефіцієнти конкурентоспроможності АТЗТ “АК Промінвестбанк” за рівнем привабливості депозитних послуг (станом на 18.03.2008)
-
№ з/п
Назва банківської послуги
Ставка чи сумарна ставка «Промінвестбанк”
Максимальна (для депозитів) ставка на ринку в характерному сегменті
Коефіцієнт конкурентної привабливості пропозицій
«Промінвестбанк»
1.
Ощадні вклади на 3 місяці (гривня)
10,00%
13,00%
76,92%
2.
Ощадні вклади на 3 місяці (долар США)
7,00%
10,50%
66,67%
3.
Ощадні вклади на 3 місяці (євро)
7,00%
7,50%
93,33%
4.
Ощадні вклади на 6 місяців (гривня)
11,50%
14,50%
79,31%
5.
Ощадні вклади на 6 місяців (долар США)
7,50%
11,50%
65,22%
6.
Ощадні вклади на 6 місяців (євро)
7,50%
9,35%
80,21%
7.
Ощадні вклади на 12 місяців (гривня)
12,50%
16,00%
78,13%
8.
Ощадні вклади на 12 місяців (долар США)
8,50%
12,00%
70,83%
9.
Ощадні вклади на 12 місяців (євро)
8,00%
10,75%
74,42%
Ощадні вклади на 24 місяців (гривня)
13,50%
16,50%
81,82%
Ощадні вклади на 24 місяців (долар США)
9,00%
12,00%
75,00%
Ощадні вклади на 24 місяців (євро)
9,00%
10,75%
83,72%
Ощадні вклади на 36 місяців (гривня)
13,50%
17,50%
77,14%
Ощадні вклади на 36 місяців (долар США)
9,00%
12,20%
73,77%
Ощадні вклади на 36 місяців (євро)
9,00%
10,75%
83,72%
10.
Доходні вклади (зняття процентів, без поповнення та зняття) на 3 місяці (гривні)
9,00%
16,00%
56,25%
11.
Доходні вклади на 3 місяці (дол. США)
6,00%
11,20%
53,57%
12.
Доходні вклади на 3 місяці (євро)
6,00%
8,30%
72,29%
13.
Доходні вклади (зняття процентів, без поповнення та зняття) на 6 місяців (гривня)
10,50%
14,30%
73,43%
14.
Доходні вклади на 6 місяців (дол. США)
6,50%
11,00%
59,09%
15.
Доходні вклади на 6 місяців (євро)
6,50%
9,25%
70,27%
16.
Доходні вклади (зняття процентів, без поповнення та зняття) на 12 місяців (гривня)
11,50%
16,00%
71,88%
17.
Доходні вклади на 12 місяців (дол. США)
7%
11,80%
59,32%
18.
Доходні вклади на 12 місяців (євро)
7%
10,75%
65,12%
22.
Накопичувальні вклади(поповнення без права зняття сумм) на 6 місяців (гривня)
10,50%
17,00%
61,76%
№ з/п
Назва банківської послуги
Ставка чи сумарна ставка «Промінвестбанк”
Максимальна (для депозитів) ставка на ринку в характерному сегменті
Коефіцієнт конкурентної привабливості пропозицій « Промінвестбанк»
23.
Накопичувальні вклади на 6 місяців (долар США)
5%
12,50%
40,00%
24.
Накопичувальні вклади на 6 місяців (євро)
5%
9,80%
51,02%
25.
Накопичувальні вклади(поповнення без права зняття сумм) на 12 місяців (гривня)
11,50%
18,00%
63,89%
26.
Накопичувальні вклади на 12 місяців (долар США)
6,00%
13,00%
46,15%
27.
Накопичувальні вклади на 12 місяців (євро)
6,00%
10,50%
57,14%
28.
Універсальні вклади(поповнення та зняття сум) на 6 місяців (гривня)
10%
15,30%
65,36%
29.
Універсальні вклади на 6 місяців (долар США)
4,50%
10,25%
43,90%
30.
Універсальні вклади на 6 місяців (євро)
4,50%
8,25%
54,55%
31.
Універсальні вклади(поповнення та зняття сум) на 12 місяців (гривня)
11,00%
15,25%
72,13%
32.
Універсальні вклади на 12 місяців (долар США)
5,50%
11,00%
50,00%
33.
Універсальні вклади на 12 місяців (євро)
5,50%
10,75%
51,16%
34.
Середній показник послуг
66,62%
Аналіз результатів, наведених в табл.2.2 та на рис.Н.1 – Н.3 Додатку Н, показує , що в сегменті ринку банківських депозитних послуг конкурентні коефіцієнти привабливості АТЗТ “АК Промінвестбанк” в середньому становлять 66,62%, а діапазон коефіцієнтів для різних видів вкладів знаходиться серед значень 40,0% –93,33%, тобто:
- доходні ставки депозитів в банку знаходяться в серединних позиціях рейтингу, тобто ставки депозитів є непривабливими для клієнтів, але залучені ресурси є відносно “дешевими”, ніж в інших банках;
- банк застосовує середній рівень обмежувальних бар’єрів по мінімальній сумі вкладу відносно інших банків конкурентів, тобто є привабливим для клієнтів.
Таким чином, проведений аналіз показав:
- конкурентні переваги на ринку депозитних послуг в АТЗТ “АК Промінвестбанк” на сучасному етапі забезпечуються політикою мінімізації ставок залучення депозитів та використання іміджу “надійного” та стабільного банку, як послуги додаткової банківської гарантії повернення депозиту;
- як показує аналіз, аналогічну стратегію використовує і самий великий банк України – АКБ “Приватбанк” (рис.Н.1 – Н.3 Додатку Н), які вдало використовують психологію вкладників після скандального банкрутства великих комерційних банків Києва, Дніпропетровська та інших.
На рис.2.12 – 2.15 наведені результати структурного аналізу частки власного капіталу та зобов’язань в пасивах в АТЗТ «АК Промінвестбанк» та, окремо, структурного аналізу питомої ваги залучених та запозичених коштів в зобов’язаннях банку у 2006 -2007 роках.
Як показує спільний аналіз графіків рис.2.12 - 2.13, структура пасивів АТЗТ «АК Промінвестбанк» у 2006 -2007 роках характеризується наступними показниками:
Структурна частка власного капіталу знаходиться на рівні 9,38% у 2006 році та знижується до рівня 8,94% у 2007 році;
Структурна частка запозичених коштів, представлених коштами інших банків та коштами від емісії депозитних сертифікатів, знаходиться:
- для коштів інших банків на рівні 1,14% у 2006 році та підвищується до рівня 2,45% у 2007 році;
- для коштів від емісії депозитних сертифікатів на рівні 0,15% у 2006 році та підвищується до рівня 0,51% у 2007 році;
Структурна частка залучених коштів юридичних та фізичних осіб займає основну частину пасивів банку та становить 88% у 2006 році та 87% у 2007 році, складаючись з основних агрегатів, наведених в табл.2.3.

Рис.2.12. – Порівняльна структура обсягів складових пасивів (власного капіталу + залучених та запозичених коштів) в АТЗТ «АК Промінвестбанк» у 2006 – 2007 роках

Рис.2.13. – Порівняльна структура зобов’язань за обсягами залучених та запозичених коштів в АТЗТ «АК Промінвестбанк» у 2006 -2007 роках
Таблиця 2.3
Структурна частка агрегатів залучених коштів в валюті пасивів балансу АТЗТ «АК Промінвестбанк» у 2006 -2007 роках
-
Відносний рівень залучених коштів в валюті пасивів балансу в %
2006
2007
Відхилення (2007- 2006) рік, %
поточні рахунки коштів бюджету та державних цільових фондів
0,201
0,035
-0,165
вклади (депозити) мiсцевих бюджетiв
0,367
1,185
0,818
кошти суб'єктів господарювання на вимогу
22,936
17,665
-5,271
короткостроковi вклади (депозити) суб'єктiв господарювання
3,061
0,902
-2,159
довгостроковi вклади (депозити) суб'єктiв господарювання
23,601
23,101
-0,500
нараховані витрати за коштами суб'єктів господарювання
0,030
0,032
0,002
кошти фізичних осіб на вимогу
11,851
14,279
2,429
короткостроковi вклади (депозити) фiзичних осiб
14,716
10,131
-4,585
довгостроковi вклади (депозити) фiзичних осiб
9,978
18,467
8,490
нараховані витрати за коштами фізичних осіб
0,133
0,152
0,019
Кошти небанківських фiнансових установ,
1,170
1,049
-0,122
РАЗОМ
88,043
86,999
-1,044
Згідно даним табл.2.3, у 2007 році значно зросла частка довгострокових вкладів фізичних осіб +8,5% за рахунок зниження частки коштів юросіб на вимогу (-5,3%) та частки короткострокових депозитів юросіб (-2,1%).
На рис.2.14 -2.15 наведений аналіз строковості залучених коштів в пасивах АТЗТ «АК Промінвестбанк» (рис.2.14) та, окремо, в зобов’язаннях за залученими та запозиченими коштами (рис.2.15).
Як показує спільний аналіз графіків рис.2.14 -2.15:
- пасиви строковістю більше 10 років представлені власним капіталом у частці 8,97% (2007 рік) від загального обсягу пасивів, при цьому із 2,683 млрд. грн. власного капіталу – 1,998 млрд. грн. вкладено в основні та нематеріальні активи банку, таким чином власний оборотний капітал банку станом на 01.01.2008 року становить 0,685 млрд. грн., тобто 2,63% від обсягу валюти балансу.

Рис.2.14. – Структура розподілу тривалості (часової стійкості) джерел пасивів в АТЗТ «АК Промінвестбанк» у 2007 році

Рис.2.15. – Структура розподілу тривалості (часової стійкості) зобов’язань за залученими та запозиченими коштами в АТЗТ «АК Промінвестбанк» у 2007 році
- найбільша частка в зобов’язаннях належить нестійкій групі депозитів на вимогу, тобто коштам на поточних рахунках юридичних та фізичних осіб (36,55% від обсягу зобов’язань в пасивах балансу), які є найбільш дешевою депозитною базою банку;
- короткострокові депозити юридичних та фізичних осіб тривалістю від 2 до 92 днів представлені часткою в 14,5% від обсягу зобов’язань в пасивах балансу;
- довгострокові депозити юридичних та фізичних осіб тривалістю від 93 днів до 1 року представлені часткою в 23,96% від обсягу зобов’язань в пасивах балансу;
- інвестиційні довгострокові депозити юридичних та фізичних осіб тривалістю від 1 року до 10 років представлені часткою в 25,98% від обсягу зобов’язань в пасивах балансу.
На рис.М.1–М.10 та в табл. М.1–М.4 Додатку М наведена динаміка рівнів річних депозитних ставок по депозитам юросіб та фізосіб в національній та іноземній валютах в АТЗТ «АК Промінвестбанк» у 2004 -2008 роках.
На графіках рис.Л.1 – Л.3 Додатку Л наведена повалютна та построкова структура залучених депозитів юридичних та фізичних осіб в АТЗТ «АК Промінвестбанк» у 2004 -2007 роках
2.3 Аналіз вартості залучення та рентабельності використання залучених депозитних коштів в АТЗТ «АК Промінвестбанк»
Рентабельність статутного капіталу банку(ROE) за рахунок стратегії капіталізації дивідендів в спеціальному фонді та постійному рівні статутного капіталу збільшилась з рівня 61,11% у 2004 році (5 рейтингове місце) до рівня 117,1 % у 2007 році (1 рейтингове місце), тобто зросла в 1,92 раза (табл.2.1, рис.2.7). Але при цьому рентабельність активів банку (ROA) зменшилась з рівня 1,154% у 2004 році (55 рейтингове місце) до рівня 0,898 % у 2007 році (45 рейтингове місце), що, за нормативами НБУ, характеризує банк як низькорентабельний (рис.2.8).
Таким чином, фінансовий важіль рентабельності статутного капіталу (доходність акціонерів) залучених коштів в АТЗТ «АТ Промінвестбанк» працює з високою ефективністю, але є значні резерви росту рентабельності статутного капіталу за рахунок підвищення рентабельності роботи активів банку (табл.2.4).
На рис. 2.16 -2.17 представлені графіки динаміки показників структури процентних, комісійних та торгівельних доходів в АТЗТ «АК Промінвестбанк» у 2004 – 2008 роках та процентного спреду та операційної маржі в АТЗТ «АК Промінвестбанк» у 2004 -2007 роках. Як показує аналіз графіків рис.2.16 -2.17 у 2006 – 2007 роках з підвищенням частки довгострокових депозитів фізичних осіб, які є відносно дорогою депозитною базою, показники операційної маржі та процентного спреду поступово знижуються.
В табл.2.5 - 2.6 наведені осереднені за 2006 та 2007 роки річні ставки вартості залучених та запозичених депозитів в АТЗТ АК «Промінвестбанк» та річні ставки доходності активних операцій банку, які в сумі визначають загальну собівартість та процентну маржу прибутковості діяльності банку. Як показує аналіз даних табл.2.5 –2.6 АТЗТ АК “Промінвестбанк” працює при рівнях розриву ставок пасивних та активних операцій від 5,0 до 8,5% річних , що становить рівень валової маржі від 20 до 50% від ставки кредитів, наданих банком.
Таблиця 2.4
Динаміка показників ефективності діяльності та використання депозитних коштів Промінвестбанку за 2004 -2007 роки

Таблиця 2.5
Середньозважена процентна ставки за активами та зобов’язаннями в АТЗТ «АК Промінвестбанк» за 2006 рік
-
Рядок
Найменування статті
Гривні
USD
EUR
RUВ
АКТИВИ
3.
Кошти в інших банках
10,7
2,4
1,9
0,8
5.
Цінні папери в портфелі банку на продаж
12,8
0
0
0
6.
Кредити та заборгованість клієнтів
17,2
11,7
11,6
14,2
7.
Цінні папери в портфелі банку до погашення
13,3
0
0
0
ЗОБОВ'ЯЗАННЯ
8.
Кошти банків
0
5,9
0,3
0,3
9.
Кошти клієнтів: юридичні особи
8,1
7,7
7,5
0,2
фізичні особи
11,7
10.
Ощадні (депозитні) сертифікати, емітовані банком
12,1
0
0
0
Таблиця 2.6
Середньозважена процентна ставки за активами та зобов’язаннями в АТЗТ «АК Промінвестбанк» за 2007 рік
-
Рядок
Найменування статті
Гривні
USD
EUR
RUВ
АКТИВИ
3.
Кошти в інших банках
9,5
4,4
2,6
0,9
4.
Цінні папери в торговому портфелі банку
0
0
0
0
5.
Цінні папери в портфелі банку на продаж
13
0
0
0
6.
Кредити та заборгованість клієнтів: юридичних осіб
16,2
11,0
10,9
10,2
фізичних осіб
18,8
12,1
11,7
0
ЗОБОВ'ЯЗАННЯ
8.
Кошти банків
0
7
3,9
0,1
9.
Кошти клієнтів
8,7
5,6
6,6
1,4
10.
Ощадні (депозитні) сертифікати, емітовані банком
12,7
0
0
0

Рис.2.15. – Динаміка структури процентних, комісійних та торгівельних доходів в АТЗТ «АК Промінвестбанк» у 2004 – 2008 роках

Рис.2.16. – Динаміка процентного спреду та операційної маржі в АТЗТ «АК Промінвестбанк» у 2004 -2007 роках
Таким чином, як показали результати проведеного аналізу, досліджений банк АТЗТ “АК Промінвестбанк” станом на 01.01.2008 року займає 2-е місце в банківській системі України по обсягам залучених коштів юридичних осіб (10,786 млрд. грн.) та 4-е місце по обсягам залучених коштів фізичих осіб (10,172 млрд. грн.), при цьому ці обсяги в 1,5 рази (для коштів юридичних осіб) та в 2,2 раза (для коштів фізичних осіб) менші, ніж у лідера БС України – АКБ “Приватбанк”.
Порівняння показників відношення залучених коштів до власного капіталу в найбільших банках України станом на 01.01.2008 року показало, що цей показник для АТЗТ “АК Промінвестбанк” дорівнює 7,81, при рівні показника у лідера БС України АКБ “Приватбанк” – 6,5 та максимальному значенні в інших банках 1-2 групи рейтингу НБУ до 7,0. Таким чином, потенціал власного капіталу банку в АТЗТ “АК Промінвестбанк” для залучення коштів юридичних та фізичних осіб використано у максимально високому ступені для БС України, що значно підвищує ризик функціонування банку.
Спільний аналіз дозволив виявити наступні тенденції внутрішнього розвитку АТЗТ «АК Промінвестбанк» та вплив зовнішнього конкурентного середовища банківської системи України на частку, яку займає банк на ринку банківських капіталів та послуг в Україні.
Так за 2004 – 2007 роки у АТЗТ «АК Промінвестбанк»:
а) абсолютний обсяг валюти балансу збільшився з 10,6 млрд. грн. до 26,1 млрд. грн., тобто зріс в 2,46 рази. Але при цьому ринкова частка обсягу валюти балансу банка в загальному обсягу валюти балансу банківської системи України зменшилась з рівня 8,1% у 2004 році до рівня 4,46% у 2007 році, тобто зменшилась в 1,81 рази.
В результаті за обсягом валюти балансу банк за 4 роки перемістився з 3 місця в БС України на 6 місце;
б) абсолютний обсяг власного капіталу збільшився з 1,167 млрд.грн. до 2,683 млрд. грн., тобто зріс в 2,3 рази. Але при цьому ринкова частка обсягу власного капіталу банка в загальному обсягу власного капіталу банківської системи України зменшилась з рівня 6,29% у 2004 році до рівня 3,28% у 2007 році, тобто зменшилась в 1,71 рази.
В результаті за обсягом власного капіталу банк за 4 роки перемістився з 3 місця в БС України на 6 місце;
в) абсолютний обсяг поточних і строкових депозитів фізичних осіб збільшився з 3,466 млрд. грн. до 10,173 млрд. грн., тобто зріс в 2,93 рази. Але при цьому ринкова частка обсягу поточних і строкових депозитів фізичних осіб в загальному обсягу поточних і строкових депозитів фізичних осіб банківської системи України зменшилась з рівня 8,51% у 2004 році до рівня 6,3% у 2007 році, тобто зменшилась в 1,35 рази.
В результаті за обсягом поточних і строкових депозитів фізичних осіб банк за 4 роки перемістився з 3 місця в БС України на 4 місце;
г) абсолютний обсяг поточних і строкових депозитів юридичних осіб збільшився з 5,599 млрд. грн. до 10,786 млрд. грн., тобто зріс в 1,93 рази. Але при цьому ринкова частка обсягу поточних і строкових депозитів юридичних осіб в загальному обсягу поточних і строкових депозитів юридичних осіб банківської системи України зменшилась з рівня 11,93% у 2004 році до рівня 7,137% у 2007 році, тобто зменшилась в 1,67 рази.
В результаті за обсягом поточних і строкових депозитів юридичних осіб банк за 4 роки перемістився з 1 місця в БС України на 2 місце;
д) абсолютний обсяг чистого прибутку банку збільшився з 0,122 млрд. грн. до 0,234 млрд. грн., тобто зріс в 1,92 рази. Але при цьому ринкова частка обсягу чистого прибутку банку в загальному обсягу чистого прибутку банківської системи України зменшилась з рівня 9,31% у 2004 році до рівня 3,64% у 2007 році, тобто зменшилась в 2,55 рази.
В результаті за обсягом чистого прибутку банк за 4 роки перемістився з 2 місця в БС України на 7 місце;
е) рентабельність статутного капіталу банку(ROE) за рахунок стратегії капіталізації дивідендів в спеціальному фонді та постійному рівні статутного капіталу збільшилась з рівня 61,11% у 2004 році (5 рейтингове місце) до рівня 117,1 % у 2007 році (1 рейтингове місце), тобто зросла в 1,92 рази. Але при цьому рентабельність активів банку (ROA) зменшилась з рівня 1,154% у 2004 році (55 рейтингове місце) до рівня 0,898 % у 2007 році (45 рейтингове місце), що, за нормативами НБУ, характеризує банк як низькорентабельний.
Таким чином, фінансовий важіль підвищення рентабельності статутного капіталу за рахунок експлуатації залучених коштів в АТЗТ «АТ Промінвестбанк» працює з високою ефективністю, але є значні резерви росту рентабельності статутного капіталу за рахунок підвищення рентабельності роботи активів банку.
Структура пасивів АТЗТ «АК Промінвестбанк» у 2006 -2007 роках характеризується наступними показниками:
1. Структурна частка власного капіталу знаходиться на рівні 9,38% у 2006 році та знижується до рівня 8,94% у 2007 році;
Структурна частка запозичених коштів, представлених коштами інших банків та коштами від емісії депозитних сертифікатів, знаходиться:
- для коштів інших банків на рівні 1,14% у 2006 році та підвищується до рівня 2,45% у 2007 році;
- для коштів від емісії депозитних сертифікатів на рівні 0,15% у 2006 році та підвищується до рівня 0,51% у 2007 році;
Структурна частка залучених коштів юридичних та фізичних осіб займає основну частину пасивів банку 88% у 2006 році та 87% у 2007 році.
У 2007 році значно зросла частка довгострокових вкладів фізичних осіб +8,5% за рахунок зниження частки коштів юросіб на вимогу (-5,3%) та частки короткострокових депозитів юросіб (-2,1%).
Аналіз строковості залучених коштів в пасивах АТЗТ «АК Промінвестбанк» та, окремо, в зобов’язаннях за залученими та запозиченими коштами показав:
- пасиви строковістю більше 10 років представлені власним капіталом у частці 8,97% (2007 рік) від загального обсягу пасивів, при цьому із 2,683 млрд. грн. власного капіталу – 1,998 млрд. грн. вкладено в основні та нематеріальні активи банку, таким чином власний оборотний капітал банку станом на 01.01.2008 року становить 0,685 млрд. грн., тобто 2,63% від обсягу валюти балансу;
- найбільша частка в зобов’язаннях належить нестійкій групі депозитів на вимогу, тобто коштам на поточних рахунках юридичних та фізичних осіб (36,55% від обсягу зобов’язань в пасивах балансу), які є найбільш дешевою депозитною базою банку;
- короткострокові депозити юридичних та фізичних осіб тривалістю від 2 до 92 днів представлені часткою в 14,5% від обсягу зобов’язань в пасивах балансу;
- довгострокові депозити юридичних та фізичних осіб тривалістю від 93 днів до 1 року представлені часткою в 23,96% від обсягу зобов’язань в пасивах балансу;
- інвестиційні довгострокові депозити юридичних та фізичних осіб тривалістю від 1 року до 10 років представлені часткою в 25,98% від обсягу зобов’язань в пасивах балансу.
Аналіз динаміки показників структури процентних, комісійних та торгівельних доходів в АТЗТ «АК Промінвестбанк» у 2004 – 2008 роках та процентного спреду та операційної маржі в АТЗТ «АК Промінвестбанк» у 2004 -2007 роках показав, що у 2006 – 2007 роках з підвищенням частки довгострокових депозитів фізичних осіб, які є відносно дорогою депозитною базою, показники операційної маржі та процентного спреду поступово знижуються.
Аналіз динаміки зростання абсолютних обсягів депозитних джерел залучених коштів в АТЗТ «АК Промінвестбанк» у 2004 –2007 роках показав, що:
- темп ланцюгового приросту обсягів залучених коштів фізичних осіб з рівня 55,6% у 2005/2004 роках поступово знизився до рівня 33,9% у 2007/2006 роках(базовий темп росту 2007/2004 становить – 293,4%);
- темп ланцюгового приросту обсягів залучених коштів фізичних осіб з рівня 34,5% у 2005/2004 роках різко знизився до рівня 3,3% у 2006/2005 роках та знову зріс до рівня 38,6% у 2007/2006 роках(базовий темп росту 2007/2004 становить – 192,65%);
Таким чином, АТЗТ «АК Промінвестбанк» поступово переорієнтовує політику традиційного депозитного залучення коштів пасивів в напрямку політики зростання частки запозичення коштів на міжбанківському ринку ресурсів.
Аналіз строковості запозичених коштів показує, що:
79,97% коштів банків залучено на термін від 3 до 6 місяців;
85,2 % коштів депозитних сертифікатів залучено на строк більше 3 місяців, з них 28,34% залучено на строк від 2 до 3 років;
Аналіз повалютної структури запозичених коштів інших банків показує, що:
- структурна частка запозичених коштів інших банків в доларах США знизилась з рівня 79,6% у 2006 році до 69,2% у 2007 році;
- структурна частка запозичених коштів інших банків в євро зросла з рівня 1,4% у 2006 році до 9,4% у 2007 році, витіснивши долари США;
Ресурсна політика запозичення коштів в АТЗТ «АК Промінвестбанк» характеризується:
залученням не більше 3,0% недепозитних коштів від валюти пасивів;
залученням, в основному, середньострокових валютних коштів на міжбанківському ринку для компенсації вимог клієнтів по фінансуванню імпортних операцій, при цьому значно зростає використання євро замість доларів США в розрахунках торгового обороту клієнтів банку ;
залученням середньо- та довгострокових коштів в національній валюті за допомогою депозитних сертифікатів, які відрізняються від депозитних вкладів відсутністю можливості їх дострокового погашення банком.
РОЗДІЛ 3
ШЛЯХИ УДОСКОНАЛЕННЯ ЗАЛУЧЕННЯ ДЕПОЗИТНИХ КОШТІВ БАНКАМИ УКРАЇНИ
3.1 Кореляційний аналіз впливу показників макроекономіки України та рівня доходів населення на обсяг залучених депозитів комерційними банками України у 2001 – 2007 роках
В дипломній роботі проведений кореляційно–регресійний аналіз впливу факторних ознак на сумарні обсяги депозитів фізичних осіб в банківській системі України. В якості факторних ознак можуть бути використані статистичні дані за 2001 – 2007 роки (табл.3.2, 3.3, таблиці Додатку С):
- середній рівень доходів на 1 жителя України, який є складною функцією від чисельності населення України, його структури (працездатний вік, пенсіонери, діти), мінімального законодавчого рівня заробітної плати, фактичного середнього рівня заробітної плати на 1 працюючого, фактичного середнього рівня пенсії на 1 пенсіонера;
- співвідношення рівня прожиткового мінімуму та середнього доходу на 1 жителя України, який показує рівень перевищення фактичним доходом соціально необхідного рівня доходів.
В якості результативної ознаки використовуємо сумарний обсяг депозитів в банківській системі України (табл.3.1- 3.3) за 2001 –2007 роки..
На основі наведених
даних спостережень будуються лінійна
одновимірні Y=f(X1) та багатовимірні
Y=f(X1,X2,X3) регресійні моделі, яка встановлює
залежність відносного приросту обсягів
депозитної бази банку
від відносного середнього рівня доходів
населення України
,
(
,
n – кількість періодів, що розглядаються)
в і-тий період [48].
Таблиця 3.1
Динаміка обсягів депозитів в банківській системі України
в
2001 –2007 роках [81]
Таблиця 3.2
Динаміка основних факторів середніх доходів населення України
у
2001 –2007 роках [ 83]
Таблиця 3.3
Динаміка та структура доходів та витрат населення України
у 2001 –2007 роках (млн. грн.) [83]

Одновимірна лінійна регресійна модель представляється як:
,
(3.1)
де
– постійна складова доходу
(початок відліку);
– коефіцієнт
регресії;
–
відхилення фактичних
значень доходу
від оцінки (математич-
ного сподівання)
середньої величини доходу в і-тий
період.
Існують різні способи
оцінювання параметрів регресії.
Найпростішим, найуніверсальнішим є
метод найменших квадратів[48]. За цим
методом параметри визначаються виходячи
з умови, що найкраще наближення, яке
мають забезпечувати параметри регресії,
досягається, коли сума квадратів різниць
між фактичними значеннями доходу та
його оцінками є мінімальною, що можна
записати як
.
(3.2)
Відмітимо, що
залишкова варіація (3.2) є функціоналом
від параметрів регресійного рівняння:
(3.3)
За методом найменших
квадратів параметри регресії
і
є розв’язком системи двох нормальних
рівнянь [48]:
,
(3.4)
.
Розв’язок цієї системи має вигляд:
,
(3.5)
.
Середньоквадратична помилка регресії, знаходиться за формулою
,
(3.6)
Коефіцієнт детермінації для даної моделі
(3.7)
повинен дорівнювати :
>0,75
– сильний кореляційний зв'язок,
0,36>
>0,75
- кореляційний зв’язок середньої
щільності;
<0,36
- кореляційній зв’язок низької щільності
[48].
На рис.Т.1 – Т.3 наведені результати кореляційно-регресійного аналізу, виконані побудовою трендових кривих, розрахованих з застосуванням програмного забезпечення пакету MICROSOFT EXCEL-2003:
- регресійної лінійної моделі залежності сумарних обсягів депозитів фізичних осіб в банківській системі України від рівня середнього наявного доходу на 1 жителя України на рік (рис.Т.1);
- регресійної нелінійної моделі залежності сумарних обсягів депозитів фізичних осіб в банківській системі України від рівня середнього наявного доходу на 1 жителя України на рік(рис.Т.2);
- регресійних моделей залежності обсягів щорічних приростів депозитів фізичних осіб в банківській системі України та кредитів, виданих фізичним особам, від рівня середнього наявного доходу на 1 жителя України на рік (рис.Т.3).
Як показують результати аналізу даних рис.Т.1- Т.3, найвищий рівень щільності (найкращий кореляційний зв’язок) між рівнем річного доходу на 1 жителя України та обсягом депозитів в БС України є досягається при нелінійно-зростаючій формі рівняння регресії, що може бути використане для прогнозування майбутнього потоку депозитів населення в банківську систему.
Отримане регресії лінійне рівняння (рис.Т.1):

дозволяє розрахувати коефіцієнт чутливості, які дорівнює приросту в банківській системі 13,5 млн. грн. при прості середнього річного доходу 1 українця в 1грн./рік.

Враховуючи рівень населення України в 46 млн. чоловік, можна констатувати, що кожні 30 -35 копійок з кожної додатково заробленої 1 грн. річного доходу українця вкладаються в комерційний банк у вигляді депозиту («відкладений попит»). Ризикованість такого заощадження коштів населенням повністю повинна бути гарантована оптимальною політикою активного вкладання отриманих коштів комерційними банками в прибуткові комерційні проекти.
В той же час,звертає на себе увагу нелінійно зростаючий потік споживчих кредитів фізичним особам (рис.Т.3), приріст яких у 2007 році досяг 65% від приросту депозитів фізичних осіб в банківську систему, тобто банківська система змінює стратегію на використання «невідкладеного попиту» частини населення, яка має високі поточні доходи та може сплачувати відсотки:
- з традиційної стратегії залучення депозитів населення та кредитування за рахунок цих коштів комерційних проектів юридичних осіб;
- до “прибуткової” стратегії залучення “дорогих” депозитів населення та кредитування за рахунок цих коштів споживчих проектів населення з підвищеними “прихованими” відсотками (страхування та інш.).
3.2 Світовий досвід з управління залученими депозитними коштами банку
В умовах становлення фінансового ринку в Україні, реструктуризації банківської системи, комерційні банки повинні здійснювати зважену реалістичну стратегію подальшого розвитку, адаптованого до вимог ринку. Вибір оптимального шляху формування ресурсної бази, який враховуватиме адекватну економічну ситуацію і сприятиме надійному розв’язанню дилеми «прибутковість-ліквідність», є одним з основних завдань комерційного банку.
Сучасний світовий банківський досвід показує, що внутрішнє управління залученими коштами з точки зору рентабельності, процентного ризику та ризику ліквідності відбувається за допомогою наступних інструментів [77], [78]:
- встановлення GAP-розривів по активам та пасивам;
- управління рівнем процентної маржі;
- встановлення мінімально допустимих процентних ставок по кредитним операціям та максимально допустимих ставок по залученню депозитів;
- встановлення позиційних лімітів по процентним активам і пасивам;
- управління на основі визначення операції активів та пасивів;
- управління за допомогою імітаційних моделей;
- періодичне стрес-тестування.
Порядок управління процентним ризиком та ризиком ліквідності визначається відповідними положеннями та методиками, що затверджені КУАП та Правлінням банку - цільовою стратегією строкового ГЕП-менеджменту в управлінні активами та пасивами банку [41].
Стратегій управління відсотковим ризиком є дві: фіксація спреду та управління гепом. Оскільки прогнозів щодо динаміки ставок і варіантів реструктуризації балансу в банку може бути багато, в межах цих загальних стратегій банк може сформувати багато альтернативних сценаріїв, які аналізуються за допомогою прийомів імітаційного моделювання. Стратегія фіксації спреду передбачає максимальну збалансованість позицій за чутливими активами та зобов'язаннями, тобто нульовий геп. У такому разі маржа банку залишається стабільною, незалежною від коливань відсоткових ставок на ринку. У разі застосування стратегії фіксації спреду одержання підвищених прибутків унаслідок сприятливої кон'юнктури ринку стає неможливим, тоді як і додатний, і від'ємний геп дають таку потенційну можливість. Зате ця стратегія є найпростішою та досить надійною, адже вона не потребує ні точних прогнозів, ні складного аналітичного забезпечення.
Стратегія управління гепом має на меті отримання підвищених прибутків і передбачає свідомий ризик банку, а тому характеризується як агресивніша. У разі реалізації ризику маржа банку знизиться, що буде зумовлено підвищенням ставок за від'ємного гепу або зниженням ставок за додатного гепу. У процесі реалізації стратегії управління гепом необхідно досягти відповідності між видом гепу (додатний чи від'ємний) та прогнозами зміни напряму, швидкості й рівня відсоткових ставок. Очевидно, запорукою успіху цієї стратегії є наявність надійного прогнозу (або можливість отримати такий прогноз) і передбачуваність економічної ситуації. Якщо спрогнозувати зміну відсоткових ставок неможливо, наприклад, через нестабільність економіки або під час кризових періодів, набагато безпечнішою для банку буде стратегія фіксації спреду.
Зокрема вітчизняна практика засвідчує, що українські банки здебільшого віддають перевагу стратегії фіксації спреду, утримуючи незначний розрив між активами і пасивами з однаковими термінами погашення. Водночас є очевидним, що повністю збалансувати активи і пасиви за строками неможливо (та й недоцільно), а тому проблеми, пов'язані з управлінням гепом, не втрачають своєї актуальності.
Основними параметрами управління є строки та обсяги активів і зобов'язань банку. Узгодження строків розміщення активів і залучення зобов'язань – один із методів, з допомогою якого банк фіксує спред і нейтралізує ризик зміни відсоткової ставки. Припускається, що всі відсоткові ставки і за активними, і за пасивними операціями змінюються з однаковою швидкістю в одному напрямі. Це припущення пов'язане з концепцією "паралельного зсуву" кривої дохідності.
Сутність прийомів УАП банку полягає у встановленні співвідношень між строками залучення та розміщення однакових за обсягом коштів.
Збалансований за строками підхід передбачає встановлення повної відповідності між термінами залучення та розміщення коштів. Такий прийом не максимізує, а стабілізує прибуток, мінімізуючи відсотковий ризик.
Незбалансований за строками підхід є альтернативним прийомом управління, який надає потенційні можливості одержання підвищених прибутків за рахунок зміни відсоткових ставок. Використання цього підходу базується на прогнозі зміни швидкості, напряму та величини відсоткових ставок на ринку. Згідно з незбалансованим підходом до управління, строки залучення коштів мають бути коротшими за строки їх розміщення, якщо прогноз свідчить про майбутнє зниження відсоткових ставок. І навпаки: строки виконання зобов'язань банку мають перевищувати строки за активами, якщо прогнозується зростання ставок. Це дає змогу максимізувати прибуток, але супроводжується підвищеним ризиком, пов'язаним із невизначеністю зміни відсоткових ставок. Якщо прогноз щодо відсоткових ставок не виправдається, банк може отримати збитки.
На вибір того чи іншого підходу до управління строками впливає багато чинників, таких як обрана банком загальна стратегія управління, надійність прогнозу зміни ринкових ставок, конкретна ситуація на ринку, можливості банку щодо залучення та розміщення коштів, схильність до ризику.
Тактика структурного балансування активів і пасивів може застосовуватись і щодо строків, і щодо обсягів залучених і розміщених коштів. Сутність підходу зводиться до намагання максимально наблизити обсяги активних і пасивних операцій, які мають однакові строки виконання. Інакше кажучи, банк щоразу намагається зупинити вибір на тому напрямі розміщення коштів, який дасть змогу повністю узгодити структуру активів і зобов'язань. Керуючись правилами структурного балансування, менеджер запропонує клієнтові кредит на таку саму суму і той самий строк, які передбачені умовами угоди, що слугує джерелом фінансування кредитної операції.
Узгодження строків вхідних і вихідних фінансових потоків використовується менеджментом банків паралельно з іншими прийомами управління відсотковим ризиком, оскільки на практиці узгодити всі позиції за строками та сумами майже неможливо. Здебільшого цей підхід застосовують щодо найбільших за обсягами операцій. Загалом методи структурного балансування є традиційним підходом до управління активами і пасивами банку для зниження відсоткового ризику. До переваг цієї групи методів можна віднести простоту та доступність, що особливо важливо для вітчизняних банків за браком інших можливостей, які надає розвинений фінансовий ринок. Недоліками є недостатня гнучкість, необхідність проведення реструктуризації балансу у зв'язку зі змінами ринкових ставок, брак достатнього простору для маневру. Вимога увідповіднення структури активів і пасивів перешкоджає повному врахуванню потреб клієнтів, коли йдеться про укладення кредитних і депозитних угод, потребує деякого часу і може стати неприйнятною для щоденного управління відсотковим ризиком. Проведення збалансованих операцій не завжди відповідає потребам банку, його планам на майбутнє, а іноді невигідне з погляду витрат.
У процесі управління активами та зобов'язаннями для встановлення контролю над рівнем ризику відсоткової ставки оцінюється чутливість окремих статей і банківського балансу в цілому до відсоткового ризику. Індикатором чутливості балансу до відсоткового ризику є показник гепу (gap – розрив, дисбаланс). Для визначення показника гепу всі активи і пасиви банку поділяють на дві групи – чутливі до змін відсоткової ставки та нечутливі до таких змін.
Актив чи пасив є чутливим до змін відсоткової ставки, якщо впродовж зафіксованого інтервалу він задовольнятиме принаймні одну з таких умов:
- дата перегляду плаваючої відсоткової ставки потрапляє в межі зафіксованого часового інтервалу;
- строк погашення настає в цьому інтервалі;
- термін проміжної або часткової виплати основної суми настає в зафіксованому інтервалі;
- зміна базової ставки (наприклад, облікової ставки НБУ), покладеної в основу ціноутворення активу чи зобов'язання, можлива або очікується впродовж цього самого часового інтервалу і не контролюється банком.
До нечутливих активів і зобов'язань належать такі, доходи та витрати за якими впродовж аналізованого періоду не залежать від зміни відсоткових ставок на ринку.
Показник гепу визначається як різниця між величиною чутливих активів і чутливих зобов'язань банку в кожному із зафіксованих інтервалів [63]:
(3.8)
де GAP (t) – величина гепу (у грошовому виразі) в періоді t;
FA (t) – активи, чутливі до зміни відсоткової ставки в періоді t;
FL (t) – пасиви, чутливі до зміни ставки в періоді t.
Геп може бути додатним, якщо активи, чутливі до змін ставки, перевищують чутливі зобов'язання (FA(t) > FL(t)), або від'ємним, якщо чутливі зобов'язання перевищують чутливі активи (FA(t) < FL(t)).
Збалансована позиція, коли чутливі активи та зобов'язання рівні між собою, означає нульовий геп. За нульового гепу маржа банку буде стабільною, незалежною від коливань відсоткових ставок, а відсотковий ризик – мінімальним. Проте одержати підвищений прибуток внаслідок сприятливої зміни відсоткових ставок на ринку за нульового гепу неможливо. І додатний, і від'ємний геп надають банку потенційну можливість отримати більшу маржу, ніж у разі нульового гепу.
Для визначення співвідношення чутливих активів і зобов'язань банку використовують коефіцієнт гепу – FGAP (t), який обчислюється як відношення чутливих активів до чутливих зобов'язань [63]:
(3.9)
Якщо коефіцієнт гепу більший за одиницю, це означає, що геп додатний, якщо менший – геп від'ємний. Якщо коефіцієнт дорівнює одиниці, геп нульовий.
Головна ідея управління гепом полягає в тому, що величина та вид (додатний або від'ємний) гепу мають відповідати прогнозам зміни відсоткових ставок.
Правило управління гепом:
- якщо геп додатний, то зі зростанням відсоткових ставок маржа банку зростатиме і, навпаки, у разі їх зниження маржа зменшуватиметься;
- якщо геп від'ємний, то зі зростанням відсоткових ставок маржа банку зменшуватиметься, а з їх зниженням – збільшуватиметься.
Це означає, що для банку не так вже й важливо, як змінюються відсоткові ставки на ринку. Головне – щоб геп відповідав тому напряму руху ставок, який забезпечить підвищення прибутку, тобто був додатним за підвищення ставок і від'ємним – за їх зниження.
Проте менеджменту банку потрібно пам'ятати, що потенційна можливість одержання додаткового прибутку супроводжується підвищеним рівнем відсоткового ризику. Якщо прогноз зміни ставок виявиться помилковим або не справдиться, то це може призвести до зниження прибутку і навіть до збитків. Отже, за наявності в банку додатного чи від'ємного гепу цілком реальною є і ймовірність одержання додаткових прибутків, і ймовірність фінансових втрат.
Тому геп є мірою відсоткового ризику, на який наражається банк упродовж зафіксованого часового інтервалу. Незалежно від того, додатний чи від'ємний геп має банк, що більша абсолютна величина гепу, то вищий рівень відсоткового ризику бере на себе банк і то більше змінюється його маржа.
Однак ані абсолютна величина гепу, ані коефіцієнт гепу не дають уявлення про те, яка частина активів чи пасивів банку залежить від зміни відсоткової ставки. Для контролю за рівнем відсоткового ризику використовують індекс відсоткового ризику.
Індекс відсоткового ризику дорівнює відношенню абсолютної величини гепу до працюючих активів і виражається у відсотках [63]:
(3.10)
де IR (t) – індекс відсоткового ризику;
А – працюючі активи банку.
Індекс відсоткового ризику показує, яка частина активів (коли геп додатний) чи пасивів (коли геп від'ємний) може змінити свою вартість у зв'язку зі зміною ринкових ставок, а отже, вплинути на ринкову вартість усієї банківської установи. Індекс розраховується без урахування знака, оскільки і додатний, і від'ємний геп можуть призвести до збитків.
Через встановлення лімітів індексу відсоткового ризику банк може здійснювати контрольну функцію. Ліміт індексу визначає той рівень ризику відсоткової ставки, який банк вважає за доцільне на себе взяти. У практиці роботи закордонних банків ліміт індексу відсоткового ризику встановлюється зазвичай на рівні 20–25%, хоча твердих норм не існує.
Зміну маржі банку залежно від коливань ринкових ставок дає змогу оцінити модель гепу, яка описує залежність між цими показниками [63]:
(3.11)
де
–
величина зміни процентної маржі банку
(у грошовому виразі) впродовж періоду
t;
rp, r – прогнозована та поточна ринкові ставки відповідно.
Збільшення чи зменшення процентної маржі залежить від знака гепу ("плюс" чи "мінус"), а також від того, зростатимуть чи спадатимуть відсоткові ставки на ринку.
Додатне значення
вказує
на збільшення маржі і буде результатом
підвищення ставок за додатного гепу
або зниження ставок за від'ємного гепу.
Від'ємне значення DP (t) означатиме зниження
маржі банку, зумовлене підвищенням
ставок за від'ємного гепу або їх зниженням
за додатного гепу.
З моделі гепу випливає, що величина змін у показниках прибутковості банку залежить і від темпів зміни відсоткових ставок, і від величини гепу, яку банк може регулювати на власний розсуд. Очевидно, з цих двох чинників точно виміряти можна лише внутрішній, тобто геп, тоді як зовнішній (ставки) можна тільки прогнозувати з певним рівнем імовірності.
Головне завдання менеджменту банку в процесі управління гепом – досягти відповідності між видом гепу та прогнозом зміни напряму, швидкості й рівня відсоткових ставок. Необхідною умовою управління гепом є наявність надійного прогнозу (або можливість одержати такий прогноз) і передбачуваність економічної ситуації.
Метод гепу дає змогу банку зважено керувати співвідношенням обсягів активів і зобов'язань банку, проте на практиці виникає необхідність одночасного управління і обсягами, і строками фінансових потоків банку. Для цього застосовують метод кумулятивного гепу.
Метод кумулятивного гепу дає змогу управляти співвідношенням чутливих активів і зобов'язань не лише у певний момент часу (статичний аналіз), а й водночас враховувати часовий компонент (динамічний аналіз). Зміст методу полягає в тому, що в кожному з інтервалів, на які поділено досліджуваний період (часовий горизонт), зіставляються чутливі активи та зобов'язання й обчислюється геп. Оскільки показник гепу тісно пов'язаний з конкретним часовим інтервалом, показників гепу буде стільки, скільки й часових інтервалів. Кумулятивний (нагромаджений) геп – це алгебраїчна сума (з урахуванням знака) гепів у кожному з часових інтервалів, на які поділено часовий горизонт. Для обчислення показника кумулятивного гепу в кожному з інтервалів обчислюють алгебраїчну суму гепів за попередні періоди [63]:
(3.12)
де KGAP(T) – кумулятивний геп; T –
часовий горизонт;
.
Показник кумулятивного гепу показує незбалансованість (різницю) між загальним обсягом чутливих активів і зобов'язань, які впродовж часового горизонту можуть бути переоцінені.
На рис. О.1 – О.5 Додатку О наведені результати аналізу величин гепу та кумулятивного гепу повалютно для сумарного гривневого еквіваленту в АТЗТ “АК Промінвестбанк” у 2005 – 2006 роках..
Порівняльний аналіз ефективності управлінням часовими геп-розривами в короткострокових активах та пасивах в АТЗТ “АК Промінвестбанк” станом на 01.01.2006 року та на 01.01.2007 року, що для короткострокових активів та пасивів часткові (в періодах) гепи (розрив між активами та пасивами) та кумулятивний геп мають від'ємний характер, тобто управління пасивами та активами , начебто, спрямоване на прогноз зниження відсоткових ставок на пасиви та активи в короткостроковому періоді. При цьому у 2006 році величина кумулятивного від’ємного гепу для короткострокових періодів зросла практично в 10 разів за рахунок стратегії роботи в діапазоні строків активів та пасивів від 1 до 31 дня (“короткі гроші”).
Порівняльний аналіз ефективності управлінням часовими геп-розривами в довгострокових активах та пасивах в АТЗТ “АК Промінвестбанк” станом на 01.01.2006 року та на 01.01.2007 року показує, що для довгострокових активів та пасивів часткові (в періодах) гепи (розрив між активами та пасивами) та кумулятивний геп мають додатний характер, тобто управління пасивами та активами, начебто, спрямоване на прогноз підвищення відсоткових ставок на пасиви та активи в довгостроковому періоді. При цьому у 2006 році величина кумулятивного від’ємного гепу для довгострокових періодів зросла практично в 4 рази за рахунок стратегії роботи в діапазоні строків активів та пасивів більше 365 днів (“довгі гроші”).
Аналіз структури активів та пасивів в АТЗТ “АК Промінвестбанк” , в той же час показує, що довгострокові кредити (строк більше 365 днів) у 2005 – 2006 роках зросли за рахунок масового іпотечного кредитування фізичних осіб, а пасивна база залучених ресурсів має, в основному, короткостроковий характер.
Для дослідження ефективності строкових діапазонів залучення коштів розглянемо кореляційну модель інструменту управління оптимальною структурою залучених коштів з точки зору максимуму рентабельності.
3.3 Удосконалення управління поточною структурою залучених депозитних коштів банку в концепції інтегрованого управління активами та пасивами банку
Нині у світовій банківській практиці інтегрований підхід до управління активами і пасивами банку більшістю фахівців визнано єдиним раціональним способом управління, здатним забезпечити виживання банку у високо конкурентному ринковому середовищі. За сучасних умов підвищеної волатильності фінансових ринків і зростання загального рівня ризиковості саме цей підхід найефективніший [51].
Незалежно від того, якого підходу до управління активами та пасивами дотримується банк, перед менеджментом неминуче постає важливе питання: чи мають величина та структура зобов'язань впливати на напрями розміщення активів?
Традиційний підхід до вирішення проблеми полягає в об'єднанні джерел фінансування. Згідно з таким методом управління структура зобов'язань не впливає на вибір напрямів розміщення активів, усі кошти розглядаються як єдиний ресурсний потенціал банку без урахування особливостей різних видів зобов'язань. Завдання керівництва банку – визначити пріоритетні напрями розміщення активів, що розглядаються як незалежна величина.
Перевагою методу об'єднання джерел фінансування є простота й доступність його практичного застосування, а головним недоліком – виникнення проблем з ліквідністю. Ризик ліквідності зростає, якщо зв'язки між активами та зобов'язаннями не враховуються. Намагаючись вибрати найприбутковіші напрями вкладення ресурсів, банк може видати довгострокові кредити, які фінансуються за рахунок короткострокових депозитів. Така трансформація з великою ймовірністю призводить до підвищення рівня ризику ліквідності.
Якщо менеджмент банку вирішить застрахуватися від підвищення рівня ризику ліквідності і з цією метою розглядатиме високоліквідні активи як пріоритетний напрям розміщення коштів, йому доведеться відмовитися від одержання максимально можливого прибутку для акціонерів банку.
Альтернативний підхід до управління структурою активів і зобов'язань банку базується на поділі джерел фінансування. Сутність методу полягає у встановленні відповідності між конкретними видами таких джерел і напрямами використання ресурсного потенціалу. Частина ресурсів, сформована за рахунок мінливих джерел, таких як вклади до запитання, залишки на розрахункових рахунках клієнтів, одержані позики "овернайт", має вкладатися в короткострокові кредити та цінні папери. Кошти, одержані зі стабільних джерел, таких як строкові вклади, депозити, можуть бути спрямовані на видачу довгострокових кредитів і придбання облігацій.
Застосовуючи метод поділу джерел фінансування, менеджмент банку має ретельно стежити за розмірами сум і строками різних видів зобов'язань і увідповіднювати до них структуру активів. З огляду на потребу постійно балансувати між структурою пасивів та активів зазначений метод стає вельми трудомістким, а отже, ускладнюється практичне його застосування. Іншим недоліком є можливе зменшення доходів банку, спричинене відмовою від прибуткового вкладення коштів, якщо не існує відповідного джерела фінансування. Перевага цього методу полягає у зниженні ризику незбалансованої ліквідності, оскільки потреба в ліквідних засобах у будь-який час може бути передбачена [53].
Метод поділу джерел фінансування набув практичного поширення в період керування банками через пасиви. Встановлення контролю над структурою та стабільністю зобов'язань дає змогу формувати депозитну базу згідно з потребами щодо проведення активних операцій. З розвитком фінансових ринків головна перевага методу поділу джерел, яка полягає в зниженні ризику ліквідності, втратила своє значення. Банки дістали можливість у будь-який час залучати ліквідні кошти на міжбанківському ринку.
У міжнародній банківській практиці застосовують інтегрований підхід до управління, який включає методи об'єднання та поділу джерел фінансування і забезпечує більшу гнучкість від час управління активами та зобов'язаннями банку.
При управлінні ризиком процентних ставок менеджмент банку має вирішити такі завдання [33]:
- досягти цільового рівня чистої процентної маржі, спреду, стабілізації чистого процентного доходу;
- передбачити рух процентних ставок, визначити тенденції ринку;
- встановити процентні ставки за залученими та наданими коштами, визначити динамічну структуру активів і пасивів на підставі геп-аналізу та дюрації;
- використовувати засоби хеджування.
Перевагою інтегрованого підходу є можливість отримання максимального прибутку за прийнятного рівня ризику, а також реалізація зваженого підходу до управління ліквідністю завдяки точнішому визначенню потреби в ліквідних коштах. Такий підхід до управління потребує застосування багатьох складних методів і прийомів та високого рівня кваліфікації банківських менеджерів, що часто перешкоджає його впровадженню у практику роботи українських банків.
Інструментарій управління активами та пасивами включає інформаційні системи, моделі планування, аналіз і оцінку сценаріїв, системи прогнозування, фінансові огляди та спеціальні звіти. Відтак УАП охоплює практично всі сфери фінансового управління банком, такі як стратегічне та середньострокове планування, оперативне управління, включаючи аналіз і контроль, управління прибутком і ризиками, формування аналітичного інструментарію.
Довгострокове управління активами і пасивами оцінюється конкурентоспроможним рівнем прибутку на активи (ROA) та прибутку на капітал (ROE). Оперативне управління активами і пасивами зорієнтоване на щоденне управління банківським балансом. У цьому аспекті головними показниками ефективності застосування УАП є процентний прибуток, чиста процентна маржа або прибуток на акцію. Невіддільними складниками процесу стають контроль та управління фінансовими ризиками, передусім ризиком відсоткових ставок, валютним ризиком і ризиком незбалансованої ліквідності.
Щодо управління активами і пасивами загальні стратегії управління фінансовою діяльністю банку реалізуються через систему аналітичних моделей і методів управління.
В дипломній роботі розроблений один з можливих комплексних підходів до побудови системи управління залученими коштами комерційного банку за підходами ризик-менеджменту, побудований на побудові економетричної моделі по цільовій функції – нормативна дивідендна дохідність статутного капіталу.
Під економетричною моделлю розуміють рівняння регресії, яке встановлює кількісне співвідношення між дивідендною доходністю статутного капіталу банка і відносною структурою залучених коштів, при цьому вважається що принцип конкуренції банківського ринку приводить до вирівнювання відсоткових ставок для різних видів депозитів в банках України.
Аналіз формування дивідендної доходності статутного капіталу банка за допомогою економетричних методів включає [45]: з’ясування чинників, що можуть впливати на розмір доходів; формування масиву статистичної інформації; знаходження регресійних залежностей (побудова регресійних моделей); економічна інтерпретація моделей і практичне використання.
В якості вхідних параметрів дослідження Х1 – Х11, згідно з доступними для дослідження агломератами балансів банків, публікованих щомісячно на Інтернет-сайті Асоціації комерційних банків України [81] застосовуються :
Х1 - Частка технологічних (основні засоби, дебіторська заборгованість, нараховані відсотки) та малоприбуткових(каса, коррахунок в НБУ) активів, віднесених до поточного рівня статутного капіталу банку, % ;
Х2 - Частка низькоприбуткових міжбанківських кредитів, віднесених до поточного рівня статутного капіталу банку, % ;
Х3 - Частка високоприбуткових кредитів юридичним особам, віднесених до поточного рівня статутного капіталу банку, % ;
Х4 - Частка високоприбуткових кредитів фізичним особам, віднесених до поточного рівня статутного капіталу банку, % ;
Х5 - Частка високоприбуткових цінних паперів, віднесених до поточного рівня статутного капіталу банку, % ;
Х6 - Частка безплатного власного капіталу (статутний +фонди + прибуток), віднесених до поточного рівня статутного капіталу банку, % ;
Х7 - Частка низьковартісних залучених коштів до запитання фізосіб, віднесених до поточного рівня статутного капіталу банку, % ;
Х8 - Частка високовартісних залучених строкових депозитів фізосіб, віднесених до поточного рівня статутного капіталу банку, % ;
Х9 - Частка низьковартісних залучених коштів до запитання юридосіб, віднесених до поточного рівня статутного капіталу банку, % ;
Х10 - Частка високовартісних залучених строкових депозитів юридосіб, віднесених до поточного рівня статутного капіталу банку, % ;
Х11 - Частка платних технологічних пасивів (дебіторська заборгованість, власні ЦП, відсотки за депозити), віднесених до поточного рівня статутного капіталу банку, % ;
В якості вихідної функції Y досліджується параметр:
Y - Приведена до річної норми прибутковість (дивідендна доходність) статутного капіталу, % на рік.
В розробленій моделі, для того, щоб можна було порівнювати банки з різними статутними капіталами на протязі певного інтервалу часу (чи один банк зі статутним капіталом, що змінюється кожен місяць) переходимо до відносних (зведених) величин, тобто величин віднесених до статутного капіталу.
(3.13)
(3.14)
(3.15)
(3.16)
(3.17)
(3.18)
(3.19)
(3.20)
(3.21)
(3.22)
(3.23)
(3.24)
(3.25)
Кореляційно-регресійне дослідження одномірної функції рентабельності статутного капіталу ROE та рентабельності власного капіталу ROEK (статутний + резерви + фонди + прибуток) від питомої ваги цих недепозитних агрегатів в валюті пасивів балансу показало (рис. П.1 - П.5 Додатку П):
- зниження питомої ваги статутного капіталу в валюті балансу веде до зростання фінансового важелю залучених та запозичених коштів, які використовуються як засіб зароблення прибутку, власником якого є статутний капітал;
- зниження в структурі власного капіталу (статутний капітал + резерви + фонди + капіталізований прибуток) питомої ваги статутного капіталу, яке практикується АТЗТ «АК Промінвестбанк», значно підвищує показник ROE, але не приводить до зростання рентабельності активів, хоча в їх склад входить безплатна частка власного капіталу;
- існує нелінійна функція рентабельності ROE від структурної частки власного капіталу, яка є статистично чіткою для перших 20-ти банків БС України (рис.П.1), але з розширенням вибірки (рис.П.2, П.3) статистичний зв’язок стає слабким.
Лінійна багатовимірна модель (ЛБМ) Y=f(X1,X2,X3) має такий вигляд [68]
y=β0+ β1x1+ … + βpxp+ε (3.26)
де ε – випадкова помилка або перешкода.
y – залежна змінна – ендогенна змінна
x1, x2…xp – залежні змінні – екзогенні змінні.
Чисельний аналіз регресійної моделі починають з того, що визначають значення регресійних коефіцієнтів β1... βр та коефіцієнтів β0, який має спеціальну назву – вільний член.
Регресійні коефіцієнти визначають за допомогою методів найменших квадратів.
(3.27)
Візьмемо часткові похідні по кожному з виразів, дорівняти їх і отримаємо систему рівнянь

Ця система рівнянь має спеціальну назву – нормальна система.
(3.28)
Невідомі у системі (3.28) – це коефіцієнти в0, в1...
х1, y1 – ми маємо внаслідок спостережень
в0, в1 - це коефіцієнти, які ми повинні визначити
n – кількість спостережень, вони нам завжди відомі.
Розрахунки багатовимірної лінійної регресійної моделі проведено за допомогою “електронних таблиць” EXCEL-2003. Результати розрахунків наведені в табл.Е.1 – Е.4 Додатку Е.
Як видно з даних розрахунків табл.Е.1 – Е.4 Додатку Е, лінійні багатовимірні рівняння регресії описують наступні статистичні процеси:
1. Рівняння багатовимірної лінійної регресії :
а) 11-параметрична модель “активи + пасиви АТЗТ «АК Промінвестбанк” (n=47).

б) 6-параметрична модель “пасиви АТЗТ «АК Промінвестбанк”(n=47).

в) 11-параметрична модель “активи + пасиви 4-х банків”(n=191).

г) 6-параметрична модель “пасиви 4-х банків”(n=191).

2. Коефіцієнт детермінації для даних моделей:
а) Коефіцієнт детермінації R2 (11-параметрична модель “активи + пасиви АТЗТ «АК Промінвестбанк”) = 0,856 (n=47), сила регресійного зв’язка – високої щільності (більше 0,75).
б) Коефіцієнт детермінації R2 (6-параметрична
модель “пасиви АТЗТ «АК Промінвестбанк”)
= 0,616 (n=47), сила регресійного зв’язка –
середньої щільності (0,36>
>0,75).
в) Коефіцієнт детермінації R2 (11-параметрична модель “активи + пасиви 4-х банків”) = 0,877 (n=191), сила регресійного зв’язка – високої щільності (більше 0,75).
г) Коефіцієнт детермінації R2 (6-параметрична модель “пасиви 4-х банків”) = 0,754 (n=191), сила регресійного зв’язка – високої щільності (більше 0,75).
3. Перевірку значущості регресійного рівня здійснюють за критерієм Фішера F. Якщо величина F буде більше Fтабл, то ми вважаємо, що наше рівняння значуще.
Згідно з таблицями критичних значень критерію Фішера:
- для багатовимірної (і=11) лінійної вибірки з n-1=191 величин табличне значення Fтабл = 1,93 при рівні довірчої ймовірності Р=0,95 [48].
- для багатовимірної (і=6) лінійної вибірки з n-1=47 величин табличне значення Fтабл = 2,31 при рівні довірчої ймовірності Р=0,95 [48].
Як видно з даних розрахунків (Додаток Е), проведених за допомогою “електронних таблиць” EXCEL-2000, фактичні значення критерія Фішера для багатовимірних вибірок(і=6) з n-1=47 величин та (і=11) з n-1=191 величина становлять:
а) F (11-параметрична модель “активи + пасиви АТЗТ «АК Промінвестбанк”) = 19,526 (n=47)> 2,31 (табл. критерій Фішера);
б) F (6-параметрична модель “пасиви АТЗТ «АК Промінвестбанк”) = 10,981 (n=47)> 2,31 (табл. критерій Фішера);
в) F (11-параметрична модель “активи + пасиви 4-х банків”) = 116,582 (n=191)> 1,93 (табл. критерій Фішера);
г) F (6-параметрична модель “пасиви 4-х банків”) = 94,333 (n=191)> 1,93 (табл.критерій Фішера).
Тобто набагато перевищують мінімально-критеріальні значення по Фішеру і отримані регресійні багатовимірні рівняння є значущими.
Як показують результати аналізу, при впровадженні 11-параметричної моделі (“Активи + Пасиви”) по відношенню до якості рішення по 6-параметричній моделі (“Пасиви”) значення коефіцієнта детермінації R2 на вибірці помісячних даних для АТЗТ «АК Промінвестбанк” за 2004 –2007 роки зростає з рівня 0,616 (середня сила зв’язку) до 0,856 (сильний кореляційний зв’язок)
Одночасно, як показують результати аналізу, при впровадженні 11-параметричної моделі (“Активи + Пасиви”) по відношенню до якості рішення по 6-параметричній моделі (“Пасиви”) значення коефіцієнта детермінації R2 на вибірці помісячних даних для 4-х банків (АТЗТ «АК Промінвестбанк”, БАНК “Приватбанк”, БАНК “Укрсоцбанк”, БАНК “Державний Укрексімбанк” за 2004 –2007 роки зростає з рівня 0,754 (сильний кореляційний зв’язок) до 0,877 (сильний кореляційний зв’язок).
Отримані регресійні рівняння можуть бути використані для якісного аналізу депозитної політики банку, тобто оцінки впливу структури активів та пасивів на рентабельність статутного капіталу банку ROE. При цьому найбільш цінним методологічним підходом до описаного процесу моделювання для менеджменту банка є використання інформації не тільки по власному банку, а з допомогою нормованого приведення масштабів банків – також і інформації по іншим банкам банківської системи України.
Сутністний аналіз отриманих кореляційно-регресійних моделей по досліджуваного АТЗТ “АК Промінвестбанк” показує:
- найбільш ефективним в депозитній політиці банку з точки зору зростання ROE є підвищення структурної частки поточних депозитів юридичних осіб, що потребує мінімальних витрат на обслуговування операцій (особливо з використанням автоматизованих систем “Клієнт-банк”) та має найменшу ставку витрат (0,5% річних);
- в той же час підвищення структурної частки поточних депозитів фізичних осіб потребує значних витрат на обслуговування операцій з незначними сумами, що потребує значних вкладень на їх автоматизацію (банкомати, POS – термінали), хоч також має найменшу ставку витрат (0,5% річних);
- ефективним в депозитній політиці банку з точки зору зростання ROE є підвищення структурної частки строкових депозитів юридичних осіб, які мають значні одиничні суми, потребують мінімальних витрат на обслуговування операцій та має ставку депозитних витрат на 1,0 –1,5 % річних нижче у порівнянні з строковими депозитами фізичних осіб;
- в той же час підвищення структурної частки строкових депозитів фізичних осіб є нагально необхідним з точки зору переміщення значних джерел вільних коштів в Україні 2004 –2008 років до населення, що потребує значних витрат на обслуговування численних операцій з незначними сумами та потребує значних вкладень на їх автоматизацію (банкомати, POS – термінали), при цьому вартість строкових депозитів фізичних осіб є найвищою серед джерел депозитів.
Таким чином, політика екстенсивного зростання валюти балансу банку АТЗТ “АК Промінвестбанк” у 2004 – 2007 роках та розширення його інфраструктури з точки зору акціонерів, для яких єдиним значимим показником ефективності депозитної політику залучення банком коштів юридичних та фізичних осіб є рентабельність статутного капіталу ROE, тобто доходність капіталу, вкладеного в акції банку, - не є ефективною, оскільки разом з політикою впровадження переорієнтації банку з переважно юридичних клієнтів в сторону ощадного банку для фізичних осіб ROE зменшився з рівня 16,2% за 2005 рік до рівня 8,7% за 2007 рік, тобто дохідність акцій банку стала практично в 2 рази нижче ринкової доходності інвестиційного капіталу в Україні.
ВИСНОВКИ
Проведене дипломне дослідження мало метою теоретичне обґрунтування важливості визначення алгоритму управління залученням ресурсів(пасивів) у юридичних та фізичних осіб, розкриттю діючої практики залучення коштів в АТЗТ “АК Промінвестбанк”, а також пошуку напрямків удосконалення розвитку програмних моделей управління оптимальністю структури залучених коштів в комерційному банку.
Для досягнення поставленої мети в дипломній роботі вирішені такі завдання:
досліджено сутність та класифікацію ресурсної бази комерційного банку, як структурний розподіл коштів на власний капітал, залучені кошти юридичних та фізичних осіб у вигляді поточних та строкових депозитів, запозичені кошти у інших комерційних банків та Національного банку України у вигляді короткострокових та довгострокових кредитів;
досліджено структуру залучених коштів в АТЗТ “АК Промінвестбанк”, її динаміку у 2004 – 2007 роках та порівняльні особливості структур залучених коштів в інших комерційних банках першої групи рейтингу НБУ;
розглянуто процес функціонування та управління залученими коштами в АТЗТ «АК Промінвестбанк»;
проведено аналіз діючої практики управління залученими коштами в комерційних банках розвинутих країн світу;
проведена розробка регресійної багатовимірної математичної моделі розрахунку впливу структури пасивів комерційного банку на рентабельність його роботи;
на основі розрахунків побудованої моделі запропоновано шляхи удосконалення оптимальної структури залучених коштів в АТЗТ “АК Промінвестбанк” для підвищення рівня рентабельності роботи банку.
Як показують результати аналізу, досліджуваний банк АТЗТ “АК Промінвестбанк” станом на 01.01.2008 року займає 2-е місце в банківській системі України по обсягам залучених коштів юридичних осіб (10,786 млрд. грн.) та 4-е місце по обсягам залучених коштів фізичних осіб (10,172 млрд. грн.), при цьому ці обсяги в 1,5 рази (для коштів юридичних осіб) та в 2,2 рази (для коштів фізичних осіб) менші, ніж у лідера БС України – АКБ “Приватбанк”.
Порівняння показників відношення залучених коштів до власного капіталу в найбільших банках України станом на 01.01.2008 року показало, що цей показник для АТЗТ “АК Промінвестбанк” дорівнює 7,81, при рівні показника у лідера БС України АКБ “Приватбанк” – 6,5 та максимальному значенні в інших банках 1-2 групи рейтингу НБУ до 7,0. Таким чином, потенціал власного капіталу банку в АТЗТ “АК Промінвестбанк” для залучення коштів юридичних та фізичних осіб використано у максимально високому ступені для БС України, що значно підвищує ризик функціонування банку.
Спільний аналіз дозволив виявити наступні тенденції внутрішнього розвитку АТЗТ «АК Промінвестбанк» та вплив зовнішнього конкурентного середовища банківської системи України на частку, яку займає банк на ринку банківських капіталів та послуг в Україні.
Так за 2004 – 2007 роки у АТЗТ «АК Промінвестбанк»:
а) абсолютний обсяг валюти балансу збільшився з 10,6 млрд. грн. до 26,1 млрд. грн., тобто зріс в 2,46 рази. Але при цьому ринкова частка обсягу валюти балансу банка в загальному обсягу валюти балансу банківської системи України зменшилась з рівня 8,1% у 2004 році до рівня 4,46% у 2007 році, тобто зменшилась в 1,81 рази.
В результаті за обсягом валюти балансу банк за 4 роки перемістився з 3 місця в БС України на 6 місце;
б) абсолютний обсяг власного капіталу збільшився з 1,167 млрд. грн. до 2,683 млрд. грн., тобто зріс в 2,3 рази. Але при цьому ринкова частка обсягу власного капіталу банка в загальному обсягу власного капіталу банківської системи України зменшилась з рівня 6,29% у 2004 році до рівня 3,28% у 2007 році, тобто зменшилась в 1,71 рази.
В результаті за обсягом власного капіталу банк за 4 роки перемістився з 3 місця в БС України на 6 місце;
в) абсолютний обсяг поточних і строкових депозитів фізичних осіб збільшився з 3,466 млрд. грн. до 10,173 млрд. грн., тобто зріс в 2,93 рази. Але при цьому ринкова частка обсягу поточних і строкових депозитів фізичних осіб в загальному обсягу поточних і строкових депозитів фізичних осіб банківської системи України зменшилась з рівня 8,51% у 2004 році до рівня 6,3% у 2007 році, тобто зменшилась в 1,35 рази.
В результаті за обсягом поточних і строкових депозитів фізичних осіб банк за 4 роки перемістився з 3 місця в БС України на 4 місце;
г) абсолютний обсяг поточних і строкових депозитів юридичних осіб збільшився з 5,599 млрд. грн. до 10,786 млрд. грн., тобто зріс в 1,93 рази. Але при цьому ринкова частка обсягу поточних і строкових депозитів юридичних осіб в загальному обсягу поточних і строкових депозитів юридичних осіб банківської системи України зменшилась з рівня 11,93% у 2004 році до рівня 7,137% у 2007 році, тобто зменшилась в 1,67 рази.
В результаті за обсягом поточних і строкових депозитів юридичних осіб банк за 4 роки перемістився з 1 місця в БС України на 2 місце;
д) абсолютний обсяг чистого прибутку банку збільшився з 0,122 млрд. грн. до 0,234 млрд. грн., тобто зріс в 1,92 рази. Але при цьому ринкова частка обсягу чистого прибутку банку в загальному обсягу чистого прибутку банківської системи України зменшилась з рівня 9,31% у 2004 році до рівня 3,64% у 2007 році, тобто зменшилась в 2,55 рази.
В результаті за обсягом чистого прибутку банк за 4 роки перемістився з 2 місця в БС України на 7 місце;
е) рентабельність статутного капіталу банку(ROE) за рахунок стратегії капіталізації дивідендів в спеціальному фонді та постійному рівні статутного капіталу збільшилась з рівня 61,11% у 2004 році (5 рейтингове місце) до рівня 117,1 % у 2007 році (1 рейтингове місце), тобто зросла в 1,92 рази. Але при цьому рентабельність активів банку (ROA) зменшилась з рівня 1,154% у 2004 році (55 рейтингове місце) до рівня 0,898 % у 2007 році (45 рейтингове місце), що, за нормативами НБУ, характеризує банк як низькорентабельний.
Таким чином, фінансовий важіль підвищення рентабельності статутного капіталу за рахунок експлуатації залучених коштів в АТЗТ «АТ Промінвестбанк» працює з високою ефективністю, але є значні резерви росту рентабельності статутного капіталу за рахунок підвищення рентабельності роботи активів банку.
Структура пасивів АТЗТ «АК Промінвестбанк» у 2006 -2007 роках характеризується наступними показниками:
1. Структурна частка власного капіталу знаходиться на рівні 9,38% у 2006 році та знижується до рівня 8,94% у 2007 році;
Структурна частка запозичених коштів, представлених коштами інших банків та коштами від емісії депозитних сертифікатів, знаходиться:
- для коштів інших банків на рівні 1,14% у 2006 році та підвищується до рівня 2,45% у 2007 році;
- для коштів від емісії депозитних сертифікатів на рівні 0,15% у 2006 році та підвищується до рівня 0,51% у 2007 році;
Структурна частка залучених коштів юридичних та фізичних осіб займає основну частину пасивів банку – 88% у 2006 році та 87% у 2007 році.
У 2007 році значно зросла частка довгострокових вкладів фізичних осіб +8,5% за рахунок зниження частки коштів юросіб на вимогу (-5,3%) та частки короткострокових депозитів юросіб (-2,1%).
Аналіз строковості залучених коштів в пасивах АТЗТ «АК Промінвестбанк» та, окремо, в зобов’язаннях за залученими та запозиченими коштами показав:
- пасиви строковістю більше 10 років представлені власним капіталом у частці 8,97% (2007 рік) від загального обсягу пасивів, при цьому із 2,683 млрд. грн. власного капіталу – 1,998 млрд. грн. вкладено в основні та нематеріальні активи банку, таким чином власний оборотний капітал банку станом на 01.01.2008 року становить 0,685 млрд. грн., тобто 2,63% від обсягу валюти балансу;
- найбільша частка в зобов’язаннях належить нестійкій групі депозитів на вимогу, тобто коштам на поточних рахунках юридичних та фізичних осіб (36,55% від обсягу зобов’язань в пасивах балансу), які є найбільш дешевою депозитною базою банку;
- короткострокові депозити юридичних та фізичних осіб тривалістю від 2 до 92 днів представлені часткою в 14,5% від обсягу зобов’язань в пасивах балансу;
- довгострокові депозити юридичних та фізичних осіб тривалістю від 93 днів до 1 року представлені часткою в 23,96% від обсягу зобов’язань в пасивах балансу;
- інвестиційні довгострокові депозити юридичних та фізичних осіб тривалістю від 1 року до 10 років представлені часткою в 25,98% від обсягу зобов’язань в пасивах балансу.
Аналіз динаміки показників структури процентних, комісійних та торгівельних доходів в АТЗТ «АК Промінвестбанк» у 2004 – 2008 роках та процентного спреду та операційної маржі в АТЗТ «АК Промінвестбанк» у 2004 -2007 роках показав, що у 2006 – 2007 роках з підвищенням частки довгострокових депозитів фізичних осіб, які є відносно дорогою депозитною базою, показники операційної маржі та процентного спреду поступово знижуються.
Аналіз динаміки зростання абсолютних обсягів депозитних джерел залучених коштів в АТЗТ «АК Промінвестбанк» у 2004 –2007 роках показав, що:
- темп ланцюгового приросту обсягів залучених коштів фізичних осіб з рівня 55,6% у 2005/2004 роках поступово знизився до рівня 33,9% у 2007/2006 роках(базовий темп росту 2007/2004 становить – 293,4%);
- темп ланцюгового приросту обсягів залучених коштів фізичних осіб з рівня 34,5% у 2005/2004 роках різко знизився до рівня 3,3% у 2006/2005 роках та знову зріс до рівня 38,6% у 2007/2006 роках(базовий темп росту 2007/2004 становить – 192,65%);
Таким чином, АТЗТ «АК Промінвестбанк» поступово переорієнтовує політику традиційного депозитного залучення коштів пасивів в напрямку політики зростання частки запозичення коштів на міжбанківському ринку ресурсів.
Аналіз строковості запозичених коштів показує, що:
79,97% коштів банків залучено на термін від 3 до 6 місяців;
85,2 % коштів депозитних сертифікатів залучено на строк більше 3 місяців, з них 28,34% залучено на строк від 2 до 3 років;
Аналіз повалютної структури запозичених коштів інших банків показує, що:
- структурна частка запозичених коштів інших банків в доларах США знизилась з рівня 79,6% у 2006 році до 69,2% у 2007 році;
- структурна частка запозичених коштів інших банків в євро зросла з рівня 1,4% у 2006 році до 9,4% у 2007 році, витіснивши долари США;
Ресурсна політика запозичення коштів в АТЗТ «АК Промінвестбанк» характеризується:
залученням не більше 3,0% недепозитних коштів від валюти пасивів;
залученням, в основному, середньострокових валютних коштів на міжбанківському ринку для компенсації вимог клієнтів по фінансуванню імпортних операцій, при цьому значно зростає використання євро замість доларів США в розрахунках торгового обороту клієнтів банку ;
залученням середньо- та довгострокових коштів в національній валюті за допомогою депозитних сертифікатів, які відрізняються від депозитних вкладів відсутністю можливості їх дострокового погашення банком.
Порівняльна оцінка цінової конкурентоспроможності АТЗТ “АК Промінвестбанк” на ринку залучення депозитів в Україні показала, що маркетингова політика пропозиції банківських депозитних послуг АТЗТ “АК Промінвестбанк” характеризується відносно середнім та низьким рівнями пропонованих ставок депозитних ресурсів – ставок покупки ресурсів:
- в сегменті ринку банківських депозитних послуг конкурентні коефіцієнти привабливості АТЗТ “АК Промінвестбанк” в середньому становлять 66,62%;
- діапазон коефіцієнтів привабливості для різних видів вкладів знаходиться в діапазоні 40,0% –93,33%, тобто:
а) доходні ставки депозитів в банку знаходяться в серединих позиціях рейтингу, відповідно, ставки депозитів є непривабливими для клієнтів, але залучені ресурси є відносно “дешевими”, ніж в інших банках;
б) банк застосовує середній рівень обмежувальних бар’єрів по мінімальній сумі вкладу відносно інших банків конкурентів, тобто є привабливим для клієнтів.
- конкурентні переваги на ринку депозитних послуг в АТЗТ “АК Промінвестбанк” на сучасному етапі забезпечуються політикою мінімізації ставок залучення депозитів та використання іміджу “надійного” та стабільного банку, як послуги додаткової банківської гарантії повернення депозиту;
- як показує аналіз, аналогічну стратегію використовує і самий великий банк України – АКБ “Приватбанк” , який також вдало використовує психологію вкладників після скандального банкрутства великих комерційних банків Києва, Дніпропетровська та інших.
Депозитна політика зниження вартості залучених коштів фізичних та юридичних осіб за рахунок зниження ставок залучення коштів в АТЗТ “АК Промінвестбанк” привела в умовах жорсткої конкуренції на ринку залучення ресурсів в банківській системі України до зниження темпів зростання депозитної бази залучених коштів у 2007 році та до різкого зростання недепозитної бази запозичених коштів з міжбанківського ринку.
В проектній частині дипломної роботи на основі кореляційно-регресійного аналізу побудовані:
- регресійна лінійна та нелінійна моделі залежності сумарних обсягів депозитів фізичних осіб в банківській системі України від рівня середнього наявного доходу на 1 жителя України на рік;
- регресійні моделі залежності обсягів щорічних приростів депозитів фізичних осіб в банківській системі України та кредитів, виданих фізичним особам, від рівня середнього наявного доходу на 1 жителя України на рік.
Як показали результати, найвищий рівень щільності (найкращий кореляційний зв’язок) між рівнем річного доходу на 1 жителя України та обсягом депозитів в БС України є досягається при нелінійно-зростаючій формі рівняння регресії, що може бути використане для прогнозування майбутнього потоку депозитів населення в банківську систему.
Отримані регресійні рівняння дозволили розрахувати коефіцієнт чутливості, який дорівнює приросту в банківській системі 13,5 млн. грн. при рості середнього річного доходу 1 українця в 1грн./рік.
Враховуючи рівень населення України в 46 млн. чоловік, можна констатувати, що кожні 30 -35 копійок з кожної додатково заробленої 1 грн. річного доходу українця вкладаються в комерційний банк у вигляді депозиту («відкладений попит»). Ризикованість такого заощадження коштів населенням повністю повинна бути гарантована оптимальною політикою активного вкладання отриманих коштів комерційними банками в прибуткові комерційні проекти.
В той же час,звертає на себе увагу нелінійно зростаючий поток споживчих кредитів фізичним особам, приріст яких у 2007 році досяг 65% від приросту депозитів фізичних осіб в банківську систему, тобто банківська система змінює стратегію на використання «невідкладеного попиту» частини населення, яка має високі поточні доходи та може сплачувати відсотки:
- з традиційної стратегії залучення депозитів населення та кредитування за рахунок цих коштів комерційних проектів юридичних осіб;
- до “прибуткової” стратегії залучення “дорогих” депозитів населення та кредитування за рахунок цих коштів споживчих проектів населення з підвищеними “прихованими” відсотками (страхування та інш.).
В проектній частині дипломної роботи запропоновані перспективні інструменти управління залученими коштами, які застосовуються у банках розвинутих країн світу, тобто:
- комплексне управління залученими коштами (пасивами) та активами з точки зору процентної маржі та ризику процентної маржі, пов’язаного з динамікою ставок на пасиви (ресурси) та невідповідною динамікою ставок на кредити (активи), а також часових розривів (гепів) у строках залучення пасивів (ресурсів) та строках розміщення активів;
- інструментарій управління оптимальною структурою залучених коштів з точки зору максимізації рентабельності роботи банку у вигляді кореляційно-регресійної моделі.
Порівняльний аналіз ефективності управлінням часовими геп-розривами в короткострокових активах та пасивах в АТЗТ “АК Промінвестбанк” станом на 01.01.2006 року та на 01.01.2007 року показав, що для короткострокових активів та пасивів часткові (в періодах) гепи (розрив між активами та пасивами) та кумулятивний геп мають від'ємний характер, тобто управління пасивами та активами, начебто, спрямоване на прогноз зниження відсоткових ставок на пасиви та активи в короткостроковому періоді. При цьому у 2006 році величина кумулятивного від’ємного гепу для короткострокових періодів зросла практично в 10 разів за рахунок стратегії роботи в діапазоні строків активів та пасивів від 1 до 31 дня (“короткі гроші”).
Порівняльний аналіз ефективності управлінням часовими геп-розривами в довгострокових активах та пасивах в АТЗТ “АК Промінвестбанк” станом на 01.01.2006 року та на 01.01.2007 року показує, що для довгострокових активів та пасивів часткові (в періодах) гепи (розрив між активами та пасивами) та кумулятивний геп мають додатний характер, тобто управління пасивами та активами, начебто, спрямоване на прогноз підвищення відсоткових ставок на пасиви та активи в довгостроковому періоді. При цьому у 2006 році величина кумулятивного від’ємного гепу для довгострокових періодів зросла практично в 4 рази за рахунок стратегії роботи в діапазоні строків активів та пасивів більше 365 днів (“довгі гроші”).
Аналіз структури активів та пасивів в АТЗТ “АК Промінвестбанк” , в той же час показує, що довгострокові кредити (строк більше 365 днів) у 2005 – 2006 роках зросли за рахунок масового іпотечного кредитування фізичних осіб, а пасивна база залучених ресурсів має, в основному, короткостроковий характер.
Таким чином, проведений аналіз показав, що менеджменту управління активами та пасивами в АТЗТ “АК Промінвестбанк” необхідна більш досконала модель управління активами та пасивами для приведення структури залучених коштів в більш оптимальний діапазон з точки зори максимізації рентабельності статутного капіталу (дивідендна дохідність).
При розробці в дипломному проекті перспективної математичної моделі для апарату управління структурою залучених коштів в комерційному банку в якості вхідних параметрів регресійної багатовимірної моделі “Х1 – Х11” використані доступні для дослідження агломерати балансів банків, публіковані щомісячно на Інтернет-сайті Асоціації комерційних банків України.
Отримані регресійні рівняння можуть бути використані для якісного аналізу депозитної політики банку, тобто оцінки впливу структури активів та пасивів на рентабельність статутного капіталу банку ROE. При цьому найбільш цінним методологічним підходом до описаного процесу моделювання для менеджменту банка є використання інформації не тільки по власному банку, а з допомогою нормованого приведення масштабів банків – також і інформації по іншим банкам банківської системи України.
Сутністний аналіз отриманих кореляційно-регресійних моделей по дослідженому АТЗТ “АК Промінвестбанк” показує:
- найбільш ефективним в депозитній політиці банку з точки зору зростання ROE є підвищення структурної частки поточних депозитів юридичних осіб, що потребує мінімальних витрат на обслуговування операцій (особливо з використанням автоматизованих систем “Клієнт-банк”) та має найменшу ставку витрат (0,5% річних);
- в той же час підвищення структурної частки поточних депозитів фізичних осіб потребує значних витрат на обслуговування операцій з незначними сумами, що потребує значних вкладень на їх автоматизацію (банкомати, POS – термінали), хоч також має найменшу ставку витрат (0,5% річних);
- ефективним в депозитній політиці банку з точки зору зростання ROE є підвищення структурної частки строкових депозитів юридичних осіб, які мають значні одиничні суми, потребують мінімальних витрат на обслуговування операцій та має ставку депозитних витрат на 1,0 –1,5 % річних нижче у порівнянні з строковими депозитами фізичних осіб;
- в той же час підвищення структурної частки строкових депозитів фізичних осіб є нагально необхідним з точки зору переміщення значних джерел вільних коштів в Україні 2004 –2008 років до населення, що потребує значних витрат на обслуговування численних операцій з незначними сумами та потребує значних вкладень на їх автоматизацію (банкомати, POS – термінали), при цьому вартість строкових депозитів фізичних осіб є найвищою серед джерел депозитів.
Таким чином, політика екстенсивного зростання валюти балансу банку АТЗТ “АК Промінвестбанк” у 2004 – 2007 роках та розширення його інфраструктури з точки зору акціонерів, для яких єдиним значимим показником ефективності депозитної політику залучення банком коштів юридичних та фізичних осіб є рентабельність статутного капіталу ROE, тобто доходність капіталу, вкладеного в акції банку, - не є ефективною, оскільки разом з політикою впровадження переорієнтації банку з переважно юридичних клієнтів в сторону ощадного банку для фізичних осіб ROE зменшився з рівня 16,2% за 2005 рік до рівня 8,7% за 2007 рік, тобто дохідність акцій банку стала практично в 2 рази нижче ринкової доходності інвестиційного капіталу в Україні.
Практична цінність отриманих результатів дипломного дослідження полягає в наданні службі депозитного менеджменту АТЗТ “АК Промінвестбанк” нових комплексних рішень та підходів по аналізу ефективності політики застосування фінансового важеля зростання рентабельності статутного капіталу за рахунок залучених та запозичених коштів юридичних та фізичних осіб, які доцільно застосувати для корегування.
СПИСОК ВИКОРИСТАНИХ ДЖЕРЕЛ
1. ЗАКОН УКРАЇНИ „Про банки і банківську діяльність” // від 7 грудня 2000 року N 2121-III (Із змінами і доповненнями, внесеними Законами України станом від від 16 листопада 2006 року N 358-V)
2. Закон України “Про Національний банк України” // від 20 травня 1999 року N 679-XIV (станом на 10.01. 2002 року N 2922-III)
3. Закон України “Про господарські товариства”//від 19 вересня 1991 року N 1576-XII ( від 17 травня 2001 року N 2409-III)
4. ЗАКОН УКРАЇНИ “Про цінні папери та фондовий ринок” // від 23 лю-того 2006 року N 3480-IV
5. ЗАКОН УКРАЇНИ “Про Фонд гарантування вкладів фізичних осіб” від 20 вересня 2001 року 2740-III
6. Інструкція з бухгалтерського обліку кредитних, вкладних (депозитних) операцій та формування і використання резервів під кредитні ризики в банках України // Постанова Правління Національного банку України від 15 вересня 2004 року N 435
7. Методичні вказівки з інспектування банків "Система оцінки ризиків" // Постанова Правління НБУ від 15.03.2004 № 104.
8. Методичні рекомендації щодо організації та функціонування систем ризик- менеджменту в банках України // Постанова Правління Національного банку України від 02.08.2004 № 361
9. Правила бухгалтерського обліку доходів і витрат банків України // Постанова Правління Національного банку України від 18 червня 2003 року N255 // Законодавчо-довідкова система законодавства України WWW.LIGA-ZAKON.COM.UA , квітень 2006 року
10. Положення про регулювання Національним банком України ліквідності банків України // Постанова Правління Національного банку України від 26 вересня 2006 року N 378
11. Положення про порядок здійснення банками України вкладних (депозитних) операцій з юридичними і фізичними особами // Постанова Правління Національного банку України від 3 грудня 2003 року N 516 ( Із змінами і доповненнями, внесеними постановою Правління Національного банку України від 15 вересня 2004 року N 437)
12. Положення про порядок видачі банкам банківських ліцензій, письмових дозволів та ліцензій на виконання окремих операцій //Постанова Правління Національного банку України від 17 липня 2001 року N 275 (Із змінами і доповненнями, внесеними постановами Правління Національного банку України станом від 12 жовтня 2005 року N 373)
13. Про затвердження Плану рахунків бухгалтерського обліку банків України та Інструкції про застосування Плану рахунків бухгалтерського обліку банків України // Постанова Правління Національного банку України від 17 червня 2004 року N 280 (Із змінами і доповненнями, внесеними постановами Правління Національного банку України станом від 6 березня 2006 року N 76)
14. Положення про порядок формування обов'язкових резервів для банків України // Постанова Правління Національного банку України від 16 березня 2006 року N 91
15. Про затвердження Інструкції про порядок відкриття, використання і закриття рахунків у національній та іноземних валютах // Постанова Правлін-ня Національного банку України від 12 листопада 2003 року N 492 (Із змінами і доповненнями, внесеними постановами Правління Національного банку України станом від 21 грудня 2005 року N 485)
16. Про затвердження Інструкції про порядок складання та оприлюднення фінансової звітності банків України //Постанова Правління Національного банку України від 7 грудня 2004 року N 598 (Із змінами і доповненнями, внесеними постановами Правління Національного банку України від 21 грудня 2005 року N 484)
17. Про внесення змін до Методики розрахунку економічних нормативів регулювання діяльності банків в Україні // ПРАВЛІННЯ НАЦІОНАЛЬНОГО БАНКУ УКРАЇНИ ПОСТАНОВА від 11 квітня 2005 року N 125(Із змінами і доповненнями, внесеними постановою Правління Національного банку України від 22 грудня 2005 року N 493)
18. Про затвердження Інструкції про порядок регулювання діяльності банків в Україні // Постанова Правління Національного банку України від 28 серпня 2001 року N 368 (Із змінами і доповненнями, внесеними постановами Правління Національного банку України станом від 19 лютого 2007 року N 52)
19. Про розподіл банків на групи // НАЦІОНАЛЬНИЙ БАНК УКРАЇНИ
КОМІСІЯ З ПИТАНЬ НАГЛЯДУ ТА РЕГУЛЮВАННЯ ДІЯЛЬНОСТІ БАНКІВ, РІШЕННЯ від 25 грудня 2006 року N 364
20. Про встановлення мінімального розміру регулятивного капіталу банків у гривнях // ПРАВЛІННЯ НАЦІОНАЛЬНОГО БАНКУ УКРАЇНИ ПОСТА-НОВА від 15 лютого 2006 року N 50
21. Про затвердження Правил організації статистичної звітності, що подається до Національного банку України // Постанова Правління Національного банку України від 19 березня 2003 року N 124 ( Із змінами і доповненнями, внесеними постановами Правління Національного банку України станом від 16 червня 2005 року N 223)
22. Аналіз банківської діяльності: Підручник / А. М. Герасимович, М. Д. Алексеєнко,І. М. Парасій-Вергуненко та ін.; За ред. А. М. Герасимовича. — К.: КНЕУ, 2004. — 599 с.
23. Азаренкова Г.М., Дікань Л.В., Новосельцева Т.О. Сучасні комерційні банки: персонал, розвиток, організація: Монографія. – Харків: ВД “ІНЖЕК”, 2003 – 131 с.
24. Арістова А.М., Шульга Н.П. Фінансовий менеджмент у банку. Опорний конспект лекцій – К: КНТЕУ, 2007.- 123 с.
25. Банківський менеджмент: Навч. посібник / За ред. О.А. Кириченка. – К.: Знання-Прес, 2002. – 438 с.
26. Банківські операції: Підручник / За ред. А. М. Мороз. — К.: КНЕУ, друге видання. — 2002. — 476 с.
27. Банківські операції: Підручник. – 2-ге вид., випр. і доп./ А.М.Мороз, М.І.Савлук, М.Ф.Пуховкіна та ін.; За ред. д-ра екон. наук, проф. А.М.Мороза. – К.: КНЕУ, 2002. – 476 с.
28. Банки и банковские операции: Учебник для вузов / Под ред. проф. Е.Ф.Жукова.- М.: Банки и биржи, ЮНИТИ, 1997. - 471 с.
29. Банківські операції:Підручник/За ред.Міщенка В.І., Слав"янської Н.Г.- Київ:Знання-Прес,2006 .-727 с.
30. Банківський нагляд:Навчальний посібник / Міщенко В.І.;Яценюк А.П.; Коваленко В.В.;Коренєва О.Г.- К.: Знання, 2004.- 406 с.-(Вища освіта ХХI століття)
31. Банківський нагляд:Навчальний посібник / Мін-во освіти і науки України; Ун-т економіки та права "Крок";Грушко В.І.;Лаптєв С.М.; Любунь О.С.; Раєвський К.Є.- К.: ЦНЛ, 2004.- 264 с.
32. Бланк И. А. Основы финансового менеджмента/ И.А. Бланк. - 2-е изд., перераб. и доп.. - К.: Эльга: Ника-ЦентрТ.1. - 2004. - 622 с
33. Бланк И. А. Основы финансового менеджмента/ И.А. Бланк. - 2-е изд., перераб. и доп.. - К.: Эльга: Ника-ЦентрТ.2. - 2004. - 618 с
34. Васюренко О.В. Банківські операції : Навчальний посібник . – 4-те вид., перероблене і доповнене – Київ: Знання, 2004. – 324 с. – (Вища освіта ХХІ століття)
35. Васюренко О.В. Банківський менеджмент: Навчальний посібник . – Київ: Академія, 2001. – 313 с.
36. Васюренко О.В., Сердюк Л.В., Сидоренко О.М., Карасьова З.М., Каднічанська В.М., Федоренко Н.С. Облік і аудит у банках: Навчальний посібник.– К.: Знання, 2003. – 524 с.
37. Васюренко Л.В., Федосік І.М. Ресурси комерційного банку: теоретич-ний та прикладний аналіз: Монографія. – Харків: ПП Яковлєва, 2003. – 88 с.
38. Васюренко О.В., Азаренкова Г. Управління ліквідністю банку з погляду зміни швидкості його фінансових потоків // Банківська справа (укр.).- 2003.- № 1.- C.60-64
39. Васюренко О. В. Економічний аналіз діяльності комерційних банків: Навчальний посібник/ О.В. Васюренко, К.О. Волохата. - К.: Знання, 2006. - 464 с. - (Вища освіта XXI століття)
40. Волошина О. Факторные модели анализа ликвидности коммерческого банка // Банковские технологии (рус.).- 2002.- № 12.- C.27-30
41. Голубев И.А. Гэп-анализ структурной ликвидности: теория и практика // Финансы и кредит (рус.).- 2002.- № 18.- C.2-7
42. Гроші та кредит: Підручник / За ред. проф. М. І. Савлука. — К.: КНЕУ, 2002. — 578 с.
43. Деньги, кредиты, банки : Учебник/ Под ред. О.И. Лаврушина. -2-е изд. Перераб. и доп. -М.: Финансы и статистика, 2000
44. Деньги. Кредит. Банки: Учебник для вузов/ под ред. профессора Е. Ф. Жукова. - М.: Банки и биржи, ЮНИТИ, 1999. - 622 с.
45. Доугерти, Кристофер. Введение в эконометрику: Учебник/ К. Доугерти. - 2-е изд.. - М.: ИНФРА-М, 2007. - 419 с. - (Университетский учебник)
46. Збірник задач з аналізу банківської діяльності: Навчальний посібник/ І.М. Парасій-Вергуненко, Л.О. Примостка; Ред. А.М. Герасимович. - К.: КНЕУ, 2006. - 504 с. - (До 100-річчя Київського національного економічного університету)
47. Коцовська Р., Ричаківська В та інш. Операції комерційних банків – Львів : ЛБІ НБУ, 2001 – 276 с.
48. Кулинич О. І. Теорія статистики: Підручник/ О.І. Кулинич, Р.О. Кулинич. - 3-тє вид., переробл. і допов.. - К.: Знання, 2006. - 294 с. - (Вища освіта XXI століття)
49. Лютий І.О. Банківський маркетинг: Навчальний посібник/ І.О. Лютий, О.О. Солодка. - К.: Знання, 2006. - 395 с. - (Вища освіта XXI століття)
50. Лугінін О. Є. Статистика національної економіки та світового господарства: Навчальний посібник для студ. вищих навчальних закладів/ О.Є. Лугінін, С.В. Фомішин. - К.: Центр навчальної літератури, 2006. - 503 с.
51. Миллер Р.Л., Ван-Хуз Д.Д. Современные деньги и банковское дело / Пер.с англ. – М.: ИНФРА - М, 2000. – 856 с.
52. Міжнародні стандарти бухгалтерського обліку/ пер.с.англ. за ред. С.Ф.Голова - К.: Федерація професійних бухгалтерів та аудиторів України, 1998. – 736 с.
53. Молчанов О.В. Теоретичні підходи до управління ліквідністю сучасних банків // Формування ринкових відносин в Україні (укр.).- 2006.- № 10.- C.48-51
54. Надійна практика управління ліквідністю в банківських організаціях // Нормативно-рекомендаційний документ Базельського комітету з банківсь-кого нагляду (№ 69 лютий 2000 року).
55. Нікітін А. В. Маркетинг у банку: Навчальний посібник/ А.В. Нікітін, Г.П. Бортніков, А.В. Федорченко. - К.: КНЕУ, 2006. - 432 с. - (До 100-річчя Київського національного економічного університету)
56. Никонова И.А., Шамгунов Р.Н. Стратегия и стоимость коммерческого банка. – М.: Альпина Бизнес Букс, 2004. – 304 с.
57. Облік та аудит у комерційних банках / А.М. Герасимович, Т.В. Кривов'яз, О.А. Мазур та ін.; За ред. проф. А.М. Герасимовича. – Львів: Видавництво "Фенікс", 1999. – 512 с.
58. Облік і аудит у банках: Навчальний посібник/ Л.В. Сердюк, О.М. Сидоренко; Ред. О.В. Васюренко. - К.: Знання, 2006. - 596 с. - (Вища освіта XXI століття)
59. Полфреман Д. Основы банковского дела /Пер. с англ. – М.:ИНФРА-М, 1996. – 624 с.
60. Примостка Л.О. Аналіз банківської діяльності: сучасні концепції, методи та моделі: Монографія. — КНЕУ, 2002.— 316 с.
61. Примостка Л.О. Фінансовий менеджмент у банку: Підручник. — 2-е вид., доп. і перероб. — К.: КНЕУ. 2004. — 468 с.
62. Раєвський К.Є., Конопатська Л.В., Домрачев В.М. Банківський нагляд: Навчально-методичний посібник / Мін-во освіти і науки України; КНЕУ/ Раєвський К.Є., Конопатська Л.В., Домрачев В.М.- К.: КНЕУ, 2003.- 174 с.
63. Роуз П.С. Банковский менеджмент. Пер. с англ. со 2-го изд.— М.: «Дело ЛТД»,1995.— 768 с.
64. Семко Т.В. Гроші та кредит у схемах і таблицях: Навчальний посібник/ Т.В. Семко, М.В. Руденко. - К.: Центр навчальної літератури, 2006. - 158 с
65. Симановский А. Ю. Базельские принципы эффективного банковского надзора и их реализация в России // Деньги и кредит. - 2001. - N 3, с. 19-24
66. Синки, Дж. мл. Управление финансами в коммерческих банках. Пер. с англ. 4-го переработанного изд. / под ред. Р.Я.Левиты, Б.С.Пинкерса. — М.: 1994, Catallaxy.— 820 c.
67. Ситник Л.С. Фінансовий менеджмент: Навчальний посібник/ Л.С. Ситник. - К.: Центр навчальної літератури, 2006. - 352 с
68. Статистичне забезпечення управління економікою: прикладна статистика з використанням аналітичних можливостей програмного середовища Microsoft EXCEL: Навчальний посібник/ А.В. Головач, В.Б. Захожай, І.Г. Манцуров, Н.А. Головач. - К.: КНЕУ, 2006. - 322 с. - (До 100-річчя Київського національного економічного університету)
69. Суржинський М. Поняття і сутність банківського регулювання та банківського нагляду в Україні // Юридичний журнал.- 2004.- № 8.- С.83-93.
70. Ткачук В.О. Маркетинг у банку: Навчальний посібник - Тернопіль: “Синтез-Поліграф”, 2006.- 225 с.
71. Управління банківськими ризиками. Навчальний посібник - за ред. проф. Примостки Л.О. – К.:КНЕУ, 2007. – 616 с.
72. Управление деятельностью коммерческого банка (банковский менеджмент) / Под ред. доктора экон. наук, профессор О.И. Лаврушина. – М: Юристь, 2003 – 688 с.
73. Шелудько В. М. Фінансовий менеджмент: Підручник/ В.М. Шелудько. - К.: Знання, 2006. - 439 с. - (Вища освіта XXI століття)
74. Шевченко Р. І. Банківські операції : Навч.-метод. посіб. для самост. вивч. дисципліни / Київський національний економічний ун-т - К. : КНЕУ, 2003. – 276с.
75. Шиян Д.В. Фінансовий аналіз: Навчальний посібник/ Д.В. Шиян, Н.І. Строченко. - К.: А.С.К., 2005. - 240 с. - (Університетська б-ка)
76. Щетинін А.І. Гроші та кредит: Підручник для студ. вищих навчальних закладів/ А.І. Щетинін. - К.: Центр навчальної літератури, 2005. - 432 с
77. Щибиволок З.І. Аналіз банківської діяльності: Навчальний посібник/ З.І. Щибиволок; Відп. за вип. С.І. Шкарабан. - К.: Знання, 2006. - 312 с
78. Эдгар М. Управление финансами в коммерческих банках / Пер.с англ. – М.: Альпина Бизнес Букс, 2004. – 208 с.
79. Ющенко В.А., Міщенко В.І. Управління валютними ризиками.: Навчальний посібник .- Товариство “Знання”, КОО, 1998. – 444 с.
80. Яценюк А.П. Обгрунтування принципів і стандартів банківського регулювання та нагляду // Вісник Української академії банківської справи.- 2003.- № 1.- C. 3-8.
81. Офіційний Інтернет-сайт НБУ – HTTP://www.bank.gov.ua
82. Офіційний Інтернет-сайт Асоціації банків України – HTTP:// WWW.AUB.COM.UA
83. Офіційний Інтернет-сайт Державного комітета статистики України - http://www.ukrstat.gov.ua/, 2007
84. Законодавчо-довідкова система законодавства України – HTTP:// WWW.LIGA-ZAKON.COM.UA
83. Офіційний Інтернет-сайт АТЗТ АК “Промінвестбанк” – http:// www. prominvestbank.com.ua
ДОДАТОК А
Балансові звіти Промінвестбанку за 2004 -2007 роки


ДОДАТОК Б
Звіт про фінансові результати Промінвестбанку за 2004 -2007 роки

Додаток В
Динаміка темпів росту та приросту основних показників балансу Промінвестбанку за 2004 -2007 роки

ДОДАТОК Г
Динаміка виконання основних нормативів діяльності Н1 –Н13
Промінвестбанком за 2004 -2007 роки

ДОДАТОК Е
Таблиця Е.1
Багатовимірний регресійний аналіз рентабельності (11 параметрів)
(
модель
“Активи + пасиви” для помісячної
зведеної вибірки по 4-х банках за 2004 –
2007 роки (192 результати) – БАНК
“Промінвестбанк”, БАНК “Приватбанк”,
БАНК “Укрсоцбанк”, БАНК “Державний
Укрексімбанк”)
Таблиця Е.2
Багатовимірний регресійний аналіз рентабельності (6 параметрів)
(модель “Пасиви” для помісячної зведеної вибірки по 4-х банках за 2004 – 2007 роки (192 результати) – БАНК “Промінвестбанк”, БАНК “Приватбанк”, БАНК “Укрсоцбанк”, БАНК “Державний Укрексімбанк”)

Таблиця Е.3
Багатовимірний регресійний аналіз рентабельності (11 параметрів)
(модель “Активи + пасиви” для помісячної зведеної вибірки за 2004 – 2007 роки (48 результатів по БАНК “Промінвестбанк”)

Таблиця Е.4
Багатовимірний регресійний аналіз рентабельності (6 параметрів)
(модель “Пасиви” для помісячної зведеної вибірки за 2003 – 2006 роки
(48 результатів по БАНК “Промінвестбанк”)


ДОДАТОК Ж
Таблиця Ж.1

Таблиця Ж.2

Таблиця Ж.3

Таблиця Ж.4

Таблиця Ж.5

Т
аблиця
Ж.6
ДОДАТОК К
Таблиця К.1
Процентні ставки за активними і пасивними операціями Національного банку України за лютий 2008 року
-
Дата
Облікова ставка
Процентні ставки за активними і пасивними операціями НБУ
За кредитами овернайт
За тендером з розміщення депозитних сертифікатів НБУ
під забезпечення
державними цінними паперами
без забезпечення
(бланковий)
на строк,
днів
процентна ставка
(максимальна)
оголошений обсяг,
млн. грн.
мінімальний обсяг заявки,
млн. грн.
03
10.0
14.5
15.0
2
8
0.5
1.5
04
10.0
14.5
15.0
2
7
0.5
1.5
05
10.0
14.5
15.0
2
7
61
90
0.5
1.5
4.0
5.0
06
10.0
14.5
15.0
5
7
14
29
90
120
0.7
1.0
2.0
3.0
5.0
6.0
07
10.0
14.5
15.0
4
7
60
90
0.7
1.0
4.0
5.0
ДОДАТОК Л
Структурний аналіз залучених коштів в АТЗТ «АК Промінвестбанк»


Рис.Л.1. - Повалютна структура залучених коштів юридичних та фізичних осіб в АТЗТ «АК Промінвестбанк» у 2006 -2007 роках


Рис.Л.2. - Структура строковості залучених коштів юридичних та фізичних осіб в АТЗТ «АК «Промінвестбанк» у 2007 році



Рис.Л.3. - Структура строковості залучених коштів бюджетних та небанківських юридичних осіб в АТЗТ «АК «Промінвестбанк» у 2007 році
ДОДАТОК М

Рис. М.1. - Динаміка річних ставок валютних депозитів юридичних осіб в АТЗТ «АК Промінвестбанк» у 2004 -2008 роках в залежності від строку депозиту для сум більше 500 тис. доларів США / 500 тис. євро
Р
ис.
М.2. - Динаміка річних ставок валютних
депозитів юридичних осіб в АТЗТ «АК
Промінвестбанк» у 2004 -2008 роках в залежності
від строку депозиту для сум до 10 тис.
доларів США / до 10 тис. євро

Рис. М.3. - Динаміка річних ставок валютних депозитів юридичних осіб в АТЗТ «АК Промінвестбанк» у 2004 -2008 роках в залежності від строку та суми депозиту
Таблиця М.1
Динаміка ставок гривневих депозитів в АТЗТ «АК Промінвестбанк» для юридичних осіб у 2004-2008 роках

Таблиця М.2
Динаміка ставок валютних депозитів в АТЗТ «АК Промінвестбанк» для юридичних осіб у 2004-2008 роках


Рис. М.4. - Динаміка річних ставок гривневих депозитів юридичних осіб в АТЗТ «АК Промінвестбанк» у 2004 -2008 роках в залежності від строку депозиту для сум від 500 тис. грн. до 800 тис. грн.

Рис. М.5. - Динаміка річних ставок гривневих депозитів юридичних осіб в АТЗТ «АК Промінвестбанк» у 2004 -2008 роках в залежності від строку депозиту для сум від 10 тис. грн. до 50 тис. грн.
Таблиця М.3
Динаміка ставок гривневих депозитів в АТЗТ «АК Промінвестбанк» для фізичних осіб у 2004-2008 роках

Таблиця М.4
Динаміка ставок валютних депозитів в АТЗТ «АК Промінвестбанк» для фізичних осіб у 2004-2008 роках


Рис. М.7. - Динаміка річних ставок гривневих депозитів фізичних осіб в АТЗТ «АК Промінвестбанк» у 2004 -2008 роках в залежності від виду депозиту для строку від 9 до 12 місяців
Р
ис.
М.8. - Динаміка річних ставок гривневих
депозитів фізичних осіб в АТЗТ «АК
Промінвестбанк» у 2004 -2008 роках в залежності
від строку та в
иду
депозиту
Рис. М.9. - Динаміка річних ставок валютних депозитів фізичних осіб в АТЗТ «АК Промінвестбанк» у 2004 -2008 роках в залежності від виду депозиту для строку від 9 до 12 місяців

Рис. М.10. - Динаміка річних ставок валютних депозитів фізичних осіб в АТЗТ «АК Промінвестбанк» у 2004 -2008 роках в залежності від строку та виду депозиту
Д
ОДАТОК
Н
Рис.Н.1 – Конкурентне позиціонування пропозицій АТЗТ “АК Промінвестбанк”в сегменті доходних строкових депозитів фізичних осіб в гривнях (% ставка депозиту)

Рис.Н.2 – Конкурентне позиціонування пропозицій АТЗТ “АК Промінвестбанк”в сегменті доходних строкових депозитів фізичних осіб в доларах США (% ставка депозиту)

Рис.Н.3 – Конкурентне позиціонування пропозицій АТЗТ “АК Промінвестбанк”в сегменті доходних строкових депозитів фізичних осіб в євро (% ставка депозиту)
Д
ОДАТОК
О
Рис.О.1. – Аналіз часових геп-розривів в обсягах короткострокових активів та пасивів в національній та ВКВ і НКВ валютах в в АТЗТ “АК Промінвестбанк” станом на 31.12.2005 року

Рис.О.2. – Аналіз часових геп-розривів в обсягах довгострокових активів та пасивів в національній та ВКВ і НКВ валютах в в АТЗТ “АК Промінвестбанк” станом на 31.12.2005 року

Рис.О.3. – Аналіз часових геп-розривів в обсягах короткострокових активів та пасивів в національній та ВКВ і НКВ валютах в в АТЗТ “АК Промінвестбанк” станом на 31.12.2006 року

Рис.О.4. – Аналіз часових геп-розривів в обсягах довгострокових активів та пасивів в національній та ВКВ і НКВ валютах в в АТЗТ “АК Промінвестбанк” станом на 31.12.2006 року

Рис.О.5. – Аналіз стратегії управління геп-розривами в короткострокових активах та пасивах в в АТЗТ “АК Промінвестбанк” у 2005 – 2006 роках

Рис.О.6. – Аналіз стратегії управління геп-розривами в довгострокових активах та пасивах в АТЗТ “АК Промінвестбанк” у 2005 – 2006 роках
ДОДАТОК П

Рис.П.1. – Одномірна регресійна залежність рентабельності статутного капіталу ROE від структурної частки статутного капіталу в валюті пасивів банку для вибірки перших 20 банків України з рейтингу прибутку за 2008 рік


Рис.П.2. – Одномірна регресійна залежність рентабельності статутного капіталу ROE від структурної частки статутного капіталу в валюті пасивів банку для вибірки перших 40 банків України з рейтингу прибутку за 2008 рік


Рис.П.3. – Одномірна регресійна залежність рентабельності статутного капіталу ROE від структурної частки статутного капіталу в валюті пасивів банку для вибірки всіх 150 банків України з рейтингу прибутку за 2008 рік


Рис.П.4. – Одномірна регресійна залежність рентабельності статутного капіталу ROE від структурної частки власного капіталу (статутний + резерви +прибуток) в валюті пасивів банку для вибірки всіх 150 банків України з рейтингу прибутку за 2008 рік


Рис.П.5. – Одномірна регресійна залежність рентабельності активів ROА від структурної частки власного капіталу (статутний + резерви + прибуток) в валюті пасивів банку для вибірки всіх 150 банків України з рейтингу прибутку за 2008 рік

ДОДАТОК Р
Таблиця Р.1
Класифікація внутрішньої інформації з управління зобов'язаннями банку
-
Періодичність
Джерело інформації
Статистична звітність
Щоденна
Звіт про суми І процентні ставки за депозитами
Щодекадна
Звіт про структуру активів і пасивів за строками
Щомісячна
Звіт про дотримання економічних нормативів
Звіт про двадцять найбільших кредиторів банку
Звіт про зобов'язання за залученими коштами (класріфікація за секторами економіки)
Звіт про зобов'язання за залученими коштами (за класифікаціями контрагентів і рахунків)
Довідка про залучені кошти та стан перерахування коштів обов'язко-вих резервів на окремий рахунок у Національному банку України
Фінансова звітність
Щоденна
Баланс банку
Оборотно-сальдова відомість
Щомісячна
Баланс банку
Оборотно-сальдовий баланс банку
Щоквартальна
Баланс у складі квартального фінансового звіту
Звіт про фінансові результати
Щорічна
Баланс у складі річного фінансового звіту
Звіт про рух грошових коштів
Звіт про фінансові результати
Управлінська звітність
Оперативні дані про дотримання нормативів з ліквідності і валютного ризику
Щоденна.
Оперативні дані про формування обов'язкових резервів за залученими коштами
Договори із залучення/ розміщення коштів
Щоденна
Інформація депозитних договорів з великими клієнтами щодо строків і сум повернення депозитів
Інформація кредитних договорів щодо строків і сум погашення великих кредитів
Інформація договорів з банками щодо депозитних і кредитних операцій
Інформація кредитних /депозитних договорів щодо розміщення /залучення коштів з НБУ
Кредитні заявки і пропозиції клієнтів щодо розміщення в банку строкових депозитів
Щоденна
Дані кредитних заявок великих клієнтів, що виносяться на розгляд кредитних комітетів
Прогнозні дані клієнтів щодо надходжень і списань коштів з поточних рахунків
Щоденна
Інформація великих клієнтів щодо надходжень і списань коштів з поточних рахунків
Графік погашення кредитів
Щоденна
Інформація щодо виконання графіків погашення кредитів
Інформація щодо виплати дивідендів акціонерам
Один раз нарік
Інформація щодо строків і сум сплати дивідендів акціонерам
Планова
Щомісячна
Плани процентних витрат за залученими коштами функціональних підрозділів із залучення / запозичення коштів
. Річна
Бізнес-план: • план щодо залучення коштів на поточний рік; • план запозичення коштів на міжбанківсь-кому ринку; • план процентних витрат за платними пасивами банку
На декілька ооків
Стратегічний план (розділ за зобов'язаннями банку)
Рішення органів управління банку щодо змін статутного фонду і складу акціонерів
За строками емісії
Інформація щодо строків і сум надходжень коштів акціонерів до банку
За строками рішень
Інформація щодо строків і сум повернення коштів акціонерам
Рішення органів управління з інвестицій в нерухоме майно
За строками рішень
Інформація про строки і суми вкладень у рухоме майно банку
Рішення уповноважених органів із встановлення процентних ставок за депозитами
За строками перегляду
Процентні ставки за депозитами
ДОДАТОК С





ДОДАТОК Т

Рис.Т.1. Регресійна лінійна модель залежності сумарних обсягів депозитів фізичних осіб в банківській системі України від рівня середнього наявного доходу на 1 жителя України на рік

Рис.Т.2. - Регресійна нелінійна модель залежності сумарних обсягів депозитів фізичних осіб в банківській системі України від рівня середнього наявного доходу на 1 жителя України на рік

Рис.Т.3. - Регресійні моделі залежності обсягів щорічних приростів депозитів фізичних осіб в банківській системі України та кредитів, виданих фізичним особам, від рівня середнього наявного доходу на 1 жителя України на рік
АНОТАЦІЯ
Дипломна робота на тему “ Депозитні операції банків на фінансовому ринку України(за матеріалами АТЗТ „АК ПРОМІНВЕСТБАНК”)” - 115 стор., 15 табл., 30 рис., список джерел літератури з 85 найменувань, 12 додатків на 65 стор.
Об’єкт дипломного дослідження – діяльність комерційного банку по залученню депозитних коштів юридичних та фізичних осіб на прикладі діяльності АКБ «Промінвестбанк» та інших комерційних банків України першої групи рейтингу Національного банку України.
Предмет дипломного дослідження – комплекс системи управління вартістю та рентабельністю залучених депозитних коштів в АКБ «Промінвестбанк», а також в інших банківських установах банківської системи України.
Мета дипломного дослідження полягає у теоретичному обгрунтуванні важливості інтегрованого управління активами та пасивами комерційного банку для визначення алгоритму управління залученням депозитних ресурсів(пасивів) у юридичних та фізичних осіб, розкриттю діючої практики залучення депозитних коштів в АКБ «Промінвестбанк», а також пошуку напрямків удосконалення розвитку програмних моделей управління оптимальністю структури залучених депозитних коштів в комерційному банку.
Для досягнення поставленої мети в дипломній роботі вирішуються такі завдання:
досліджено сутність та класифікацію ресурсної бази комерційного банку;
досліджено структуру залучених депозитних коштів в АКБ «Промінвестбанк», її динаміку у 2004 – 2007 роках та порівняльні особливості структур залучених депозитних коштів в інших комерційних банках першої групи рейтингу НБУ;
розглянуто процес функціонування та управління залученими депозитними коштами в АКБ «Промінвестбанк»;
проведено аналіз діючої практики управління залученими депозитними коштами в комерційних банках розвинутих країн світу;
проведена розробка регресійної багатовимірної математичної моделі розрахунку впливу структури депозитних коштів (пасивів) комерційного банку на рентабельність його роботи;
на основі розрахунків побудованої моделі запропоновано шляхи удосконалення оптимальної структури залучених депозитних коштів в АКБ «Промінвестбанк» для підвищення рівня рентабельності роботи банку;
Інформаційна база дипломного дослідження – звітні документи АКБ «Промінвестбанк» за 2004 – 2007 роки, статистичні матеріали Національного банку України, Асоціації українських банків, Держкомстату України.
Досліджена політика екстенсивного зростання валюти балансу банку АТЗТ “АК Промінвестбанк” у 2004 – 2007 роках та розширення його інфра-структури, з точки зору акціонерів, - не є ефективною, оскільки разом з політикою впровадження переорієнтації банку з переважно юридичних клієнтів в сторону ощадного банку для фізичних осіб ROE зменшився з рівня 16,2% за 2005 рік до рівня 8,7% за 2007 рік, тобто дохідність акцій банку стала практично в 2 раза нижче ринкової доходності інвестиційного капіталу в Україні.
Практична цінність отриманих результатів дипломного дослідження полягає в наданні службі депозитного менеджменту АТЗТ “АК Промінвестбанк” нових комплексних рішень та підходів по аналізу ефективності політики застосування фінансового важеля зростання рентабельності статутного капіталу за рахунок залучених та запозичених коштів юридичних та фізичних осіб, які доцільно застосувати для корегування стратегічних напрямків в структурі депозитної політики банку.
ДЕПОЗИТ, ВІДСОТКОВА СТАВКА, ВІДСОТКОВА МАРЖА, ЗАЛУЧЕНІ КОШТИ, ЗАПОЗИЧЕНІ КОШТИ, ЗОБОВ’ЯЗАННЯ БАНКУ

