Основы геодезии (работа 1)
Министерство образования и науки Самарской области
Министерство имущественных отношений Самарской области
Государственное образовательное учреждение
среднего профессионального образования
Тольяттинский индустриально-педагогический колледж (ГОУ СПО ТИПК)
ПРАКТИЧЕСКИЕ РАБОТЫ
Дисциплина: Основы геодезии
Принял: преподаватель____
____________ Гусарова С.А.
подпись Ф.И, О.
«_______»
Выполнил:
студент группы С-271
_____________
«_______» 2008 г.
2008
ПРЕДИСЛОВИЕ
Для закрепления теоретических знаний и для приобретения необходимых практических умений учебной программой дисциплины «Основы геодезии» предусматриваются лабораторные и практические работы, которые проводятся после изучения соответствующей темы на лекционных занятиях.
Следует обратить внимание студента на то, что перед началом решения задач по каждой из тем Вы должны изучить соответствующие разделы из рекомендованного Вам учебника (учебного пособия) и/или материалы лекций.
Если работа сдана позже установленного срока, то она должна быть защищена на консультациях.
К данному пособию прилагается лист контроля, который заполняется преподавателем после выполнения каждой практической работы.
Работы должны выполняться аккуратно. За небрежность оценка может быть снижена.
В результате изучения дисциплины и выполнения данных лабораторных, практических работ студент должен
знать:
суть основных геодезических понятий,
типы и устройство основных геодезических приборов
уметь:
читать карту, определять по карте длины и ориентирные углы проектных линий;
Использовать мерный комплект для измерения длин линий, теодолит для измерения горизонтальных и вертикальных углов, нивелир для измерения превышений; по известным координатам определять положение проектной точки на местности в плане и по высоте инструментальными методами


ПРАКТИЧЕСКИЕ РАБОТЫ
Практическая работа №1. Решение задач на масштабы
Масштаб - это отношение длины линии на карте, плане (чертеже) Sp к длине горизонтального приложения соответствующей линии в натуре (на местности) Sm.
Численный масштаб - 1/ М, правильная дробь, у которой числитель равен 1, а знаменатель М показывает во сколько раз уменьшены линии местности по сравнению с планом.
Например, масштаб 1:10000 означает, что все линии местности уменьшены в 10000 раз, т.е. 1 см плана соответствует 10000 см на местности
или 1 см плана = 100 м на местности,
или 1 мм плана = 10 м на местности.
Следовательно, зная длину отрезка Sp плана по формуле Sm=Sp*M можно вычислить длину линии на местности или по формуле Sp= Sm:M определить длину отрезка на плане.
Например, длина линии на местности 252 м; масштаб плана 1:10000. Тогда длина линии на плане Бр=252м : 10000=0,0252м = 25,2мм.
И обратно, длина отрезка на плане равна 8,5 мм; масштаб плана 1:5000. Требуется определить длину линии местности. Она будет 8,5 мм * 5000 = 42,5м.
Задача №1 Вычислите длину линии на местности Sm, для данных, приведенных в таблице 1. Результаты запишите в соответствующую графу таблицы 1.
Таблица 1
|
Масштаб карты |
Длина отрезка на карте, мм |
Длина линии на местности Sm,M |
Масштаб карты |
Длина отрезка на плане, мм |
Длина линии на местности, м |
|
1:10000 |
62,5 |
1:1000 |
|||
|
1:25000 |
20,2 |
1:500 |
|||
|
1:5000 |
12,5 |
1:2000 |
|||
|
1:50000 |
6,2 |
1:5000 |
Таблица 2
|
Масштаб карты |
Длина отрезка на карте, мм |
Длина линии на местности Sm,M |
Масштаб карты |
Длина отрезка на плане, мм |
Длина линии на местности, м |
|
1:2000 |
80,4 |
1:50000 |
|||
|
1:5000 |
380,5 |
1:1000 |
|||
|
1:10000 |
536 |
1:500 |
|||
|
1:25000 |
625 |
1:2000 |
Часто в геодезической практике приходится определять масштабы аэроснимков. Для этого измеряют длину отрезка на аэроснимке и длину горизонтального проложения этой линии на местности. Затем, используя определение масштаба, вычисляют масштаб.
Например: длина отрезка на аэроснимке 2.21 см.; длина горизонтального проложения этой линии на местности 428,6 м.
Тогда, согласно определению:

Задача №2 Определите масштабы аэроснимков, по данным приведенным в таблице 3. результаты записать в соответствующую графу таблицы 3
Таблица 3
|
№п/п |
Длина горизонтального приложения на местности м |
Длина отрезка на аэроснимке |
Отношение в соответствующих единицах |
Масштаб аэроснимка |
|
1 |
625 м |
62,5 мм |
62,5 мм /625000мм |
1:10000 |
|
2 |
525 м |
5,25 см |
||
|
3 |
125,5 м |
2,51 см |
||
|
4 |
62,2 м |
31,1 см |
Точность масштаба
Длины линий на местности, соответствующие 0,1 мм карты (плана) называется точностью масштаба - tm. Это величина, характеризующая точность определения длин линий по карте (плану). Например: точность масштаба 1:25000 равна 2,5 м.
Расчет можно вести следующим образом:
в 1 см - 250м;
в 1 мм - 25 м;
в 0,1 мм-2,5 м
или to =0,1мм* 25000=2,5 м.
Задача №3
а) Определите точность масштабов:
1:10000 tm=
1:50000 tm=
1:1000 tm=
1:500 tm=
б) Точность масштаба карты (плана) равна:
tm1=0,5м; t2=0,05M; t3= ___; t4=_______;
Определите масштаб карты (плана).
1/М1=______; 1/М2=_______; 1 /МЗ=_______; 1/М4=_______;
Задача №4 На карте масштаба 1:10000 (рис. 1) показан раствор измерителя, равный расстоянию между двумя точками карты KL. Используя приведенный ниже график линейного масштаба (рис.2), определите длины горизонтальных приложений линий местности для всех вариантов.

Рисунок 2
Задача №5 На графике поперечного масштаба (рис.3) с основанием равным 2 см., утолщенными линиями с номерами, обозначен раствор измерителя, равный расстоянию между двумя точками карты

Рисунок 3
Определите длины горизонтальных проложений линий местности для следующих вариантов:
|
I вариант, масштаб 1:10000 |
II вариант, масштаб 1:5000 |
|
S>1>= |
S>1>= |
|
S>2>= |
S>2>= |
|
S>5>= |
S>5>= |
|
S= |
S= |
|
Ш вариант, масштаб 1:2000 S>1>= |
IV вариант, масштаб 1: S>1>= |
|
S>2>= |
S>2> = |
|
S>5>= |
S>5> = |
|
S= |
S= |
Указание: в начале определите расстояния на местности (в соответствующем масштабе) для отрезков 0-2; а1в1; а2в2; аЗвЗ.
Задача №6 Постройте диаграмму масштаба 1:2000 на чертежной бумаге с основанием 2,5 см; число делений по основанию и по высоте принять равным 10 (n=m=10). Подпишите деления по основанию и высоте (через одно). Диаграмму приклеить, на оставленное ниже место.
Масштаб 1:2000
Практическая работа №2. Чтение топографического плана
Задача №1 Изучите условные знаки, имеющиеся на выданной Вам топографической карте, пользуясь таблицей условных знаков, в соответствии с их подразделением на 4-е группы: 1-я - контурныеусловные знаки;
2-я - внемасштабные условные знаки;
3-я - линейные условные знаки;
4-я - поясняющие условные знаки и надписи.

Выберите по 3 условных знака из каждой группы, скопируйте их, в отведенных для этого прямоугольниках, и подпишите рядом с прямоугольником названного условного знака.
Практическая работа №3. Чтение рельефа по плану (карте)
Задача №1 Изучите рельеф, представленный на Вашей карте горизонталями.
Найдите на карте пять основных форм рельефа. Скопируйте по каждой форме одну наиболее характерную. Подпишите в соответствии с правилами высоты горизонталей, поставьте скат штрихи. Проведите характерные линии рельефа (линии водотока и водораздела).
Основные формы рельефа.
Практическая работа №4. Определение ориентирных углов линий по плану
Задача №1 На учебной топографической карте преподавателем кружками с наколами обозначены вершины замкнутой фигуры, называемой в геодезии полигон. Прочертить карандашом (по линейке) прямыми линиями стороны полигона. Составить, схематический чертеж полигона.
Пример составления схемы показан на рисунке 4

Рисунок 4
Задача №2 Измерить геодезическим транспортиром внутренние углы полигона, округляя отчеты до 5*.
Выписать результаты измерения углов на составленную Вами схему полигона, расположив надписи как указано на образце.
Вычислить практическую сумму измеренных углов:
∑β>1>=β>1>+……+β>4>
и теоретическую сумму углов по формуле ∑β>0>= 180(n-2), где n-число углов в полигоне.
В
ычислить
разность ∑β>1>-β>0>=f>β>>
>называемую
в геодезии невязкой.
Сравнить полученную невязку с допустимой f>βа>>i>> >определяемую по формуле: f>βа>>i> = l5√ n
Схема полигона.
Задача №3 С помощью геодезического транспортира измерить на учебной карте географический азимут и дирекционный угол стороны полигона 1-2. Вычислить азимут магнитный. Величину склонения магнитной стрелки рассчитать по данным карты.
Все измеренные и вычисленные величины показать на схематическом чертеже (образец составления схематического чертежа дан на рисунке 5

Рисунок 5
Указания к выполнению. Для измерения географического азимута надо через точку 1 провести географический меридиан. Если лист карты неполный, то надо параллельно перенести в т. 1 линию рамки (это истинный, географический меридиан). Точно так же перенести в т. 1 линию, параллельную координатной сетке.
Схематический чертеж.
Задача №4 Используя измеренные внутренние углы полигона и принимая дирекционный угол стороны 1-2 за исходный, вычислить последовательно дирекционные углы всех сторон полигона по формуле передачи дирекционного угла.
Li>+1> =Li+l80-Вi., где В>;> - правый по ходу угол.
Вычисление дирекционных углов сторон полигона вести по ходу часовой стрелки. По значениям дирекционных углов вычислить румбы сторон полигона и выписать их значения на схематический чертеж полигона (см. образец, рис.6). Пример.
Первым дирекционным углом, подлежащим вычислению будет L>2-3 >.Тогда L>2-3 >= L>1>->2>+180-B>2> . Дирекционный угол линии 1-2 (см. рис.6) получили равный L>1-2>= 930 00', горизонтальный угол на т.2 (см. рис.5) получили равным В>2>= 110° 30', и графическая иллюстрация задачи имеет вид:

Следовательно,
L>2-3>=L>l-2>+1800-B2=93000' + 180° - 110°30'= 162°30', а румб линии 2-3 – r >2-3>=180°-162°30'=ЮВ: 17°30'

Замечание. Значение дирекционного угла линии 1-2, вычисленное последовательной передачей дирекционных углов, должно отличатся от значения измеренного дирекционного угла на величину, равную невязке углов в полигоне, т.е.
L>1-2 >выч. - L>1-2 >изм.= f>B>
Практическая работа №5. Определение прямоугольных координат точек
Задание №.1 Определить прямоугольные координаты всех вершин полигона, заданных на учебной топографической карте масштаба 1:10000 (1:25000).
Указания к выполнению.
Прямоугольные координаты точек определяют относительно километровой координатной сетки, представляющих собой систему линий, параллельных координатным осям зоны, образующих систему квадратов. Выходы линий координатной сетки (сторон квадратов) подписаны в рамке карты в километрах.
Порядок определения координат точки рассмотрим на конкретном примере. В данном случае это точка 1 (см. рис.7).

Рисунок 7
Координаты точки 1 (xi.yi) могут быть определены по формуле
х>1>= х>o>+ Δх
y>1>= у>0 >+Δу, где хо,уо координаты вершины квадрата, которые определяются по подписям выходов координатной сетки (в данном случае хо=6062км; у>0> ==4310км)
или по формуле:
х>1>= х 'o+ Δх';
y>1>= у'о+ Δу'.
В данном примере прямоугольные координаты т. 1 равны
х>1>=6062km+720m=6065720m;
y>1>=4310км+501 м=4310501м.
или
х>1>=6063км-280м=6065720м;
yi=4311км-499м=4310501м.
При определении Вами координат точек, делайте схематический чертеж, иллюстрирующий положение точки относительно координатных осей.
Таблица 4
-
Схематический чертеж
Т.№1
х>0 >=
y>0>=
Δх =
Δy=
х>1>=
y>1>=
т.№2
х>0 >=
y>0>=
Δх =
Δy=
х>2>=
y>2>=
т.№3
х>0 >=
y>0>=
Δх =
Δy=
х>3>=
y>3>=
т.№4.
х>0 >=
y>0>=
Δх =
Δy=
х>4>=
y>4>=
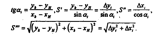
Обратная геодезическая задача
Задание №2 По координатам вершин определить длины и дирекционные углы сторон полигона. Указания к выполнению: формулы для вычисления

Вычисления вести в схеме для решения обратной геодезической задачи (таблица 5).
Схема для вычислений
Таблица 23
-
Порядок решения
Обозначение величины
Значения величин
линия 1-2
линия 2-3
линия 3-4
линия 4-1
1
y>k>
2
y>H>
3
Δy
4
х>k>
5
х>H>
6
Δх
7
tga
8
знаки Δх
Δy
9
r
10
α
11
sin r
12
S'
13
cos r
14
S"
15
Δx2
16
Δy2
17
Δх2+Δу2
18
S"'
Практическая работа №6. Обработка линейных измерений
Измерение линий шагами, определение длины шага и составление таблицы перевода шагов в метры
Пример. На местности измерена лентой линия d=100 м. Эта же линия измерена шагами три раза: d>1> = 140 шагов, d>2> =144 шага и d>3> =146 шагов.
Требуется: Определить длину I шага в метрах.
Решение 1. Определяем среднее арифметическое из количества шагов, равного 100 м; для этого
(140 + 144 + 146) / 3 = 143, 3 шага
2. Определяем длину шага /==100 м /143,3 шага = 0,70 м. Таблица примет следующий вид:
Задача №1 Определить длину / шага в метрах по приводимым ниже данным.
Таблица 6
-
№ задач
Дано
Решение
d
d>1>
d>2>
d>3>
среднее арифметическое из количества шагов
длина шага
1
150
202
208
207
2
175
307
315
310
3
200
390
397
400
4
100
188
186
186
5
100
191
193
192
Определение горизонтальной проекции линии по отметкам концов линии
Пример. Определить горизонтальную проекцию d линии АВ, если длина наклонной линии D= 100,00 м и отметки точек: Н>А> = 120 ми Н>В> = 123 м (рис. 2).
Решение Вычисляем превышение к точки В над точкой А (рисунок 8 ). Как видно из рисунка h = 123 м -120 м = +3 м.

Рисунок 8
Определим поправку за наклон линии по формуле
∆h = h2 / 2D
где h - превышение;
D - длина наклонной линии.
Тогда
∆h = 32 / 2×100 = 0,045
Введя поправку в наклонную линию со знаком минус, получим горизонтальную проекцию 100,000 м - 0,045 м = 99,955 м.
Задача №2 Определить горизонтальную проекцию, а по следующим данным:
Таблица 7
|
№ задач |
Дано |
Решение |
||||
|
Н>А> |
Н>В> |
D |
превышение h |
поправка за наклон, ∆h |
горизонтальная проекция, d |
|
|
1 |
202,00 |
200,00 |
50,00 |
|||
|
2 |
102,50 |
100,00 |
50,00 |
|||
|
3 |
177,00 |
170,00 |
80,00 |
|||
|
4 |
208,00 |
216,00 |
80,00 |
|||
|
5 |
210,45 |
208,45 |
100,50 |
Определение наклонного расстояния по заданной горизонтальной проекции линии, если известны отметки концов линии
Пример. Определить наклонное расстояние D если горизонтальная проекция d = 100,00 м (рисунок 9), а разность отметок концов линии h=12 м.
tg ν = h / d = 12 / 100 = 0,12; ν = 6о 51'
D = h / sin ν = 12 / 0, 1193 = 100,6

Рисунок 9
или вводим поправку со знаком плюс к d по формуле
D = d + ∆h; ∆h = h2 / 2d
Задача №3 Определить наклонную длину D по следующим данным:
Таблица 8
-
№
задач
Дано
Решение
h, м
d, м
tg ν
ν
D>1>
∆h
D>2>
1
5,00
60,00
2
6,45
81,50
3
8,00
200,00
4
3,00
100,00
5
10,00
150,00
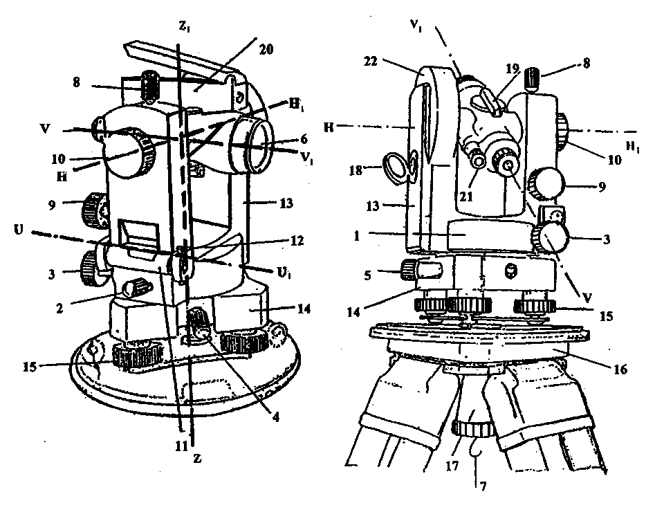
Л абораторная работа №1. Изучение теодолита
Теодолит — геодезический прибор, предназначенный для __________
Задача №1 Изучите основные части, детали и оси теодолита. Напишите названия пронумерованных на рисунке 10 основных частей, деталей и осей теодолита.

Рисунок 10
|
1 |
14 |
|
|
2 |
15 |
|
|
3 |
16 |
|
|
4 |
17 |
|
|
5 |
18 |
|
|
6 |
19 |
|
|
7 |
20 |
|
|
8 |
21 |
|
|
9 |
22 |
|
|
10 |
W W>1> |
|
|
11 |
Z Z>1> |
|
|
12 |
HH>1> |
|
|
13 |
U U>1> |
Задача № 2 Изучите устройство цилиндрического уровня и его свойства

Рисунок 11
Напишите названия пронумерованных на рисунке 11 основных частей цилиндрического уровня.
1
2
3
4
Какое положение всегда стремится занять пузырек цилиндрического 'уровня?
Сформулируйте основное свойство осицилиндрического уровня.

Рисунок12
Задача № 3 Изучите устройство зрительной трубы теодолита. На рисунке 12 дан схематический чертеж устройства зрительной трубы с внутренней фокусировкой в разрезе. Напишите названия пронумерованных частей.
|
1 |
4 |
|
2 |
5 |
|
3 |
6 |
Задача № 4 Напишите названия штрихов сетки нитей зрительной трубы в соответствии с номерами, указанными на рисунке13

Рисунок13
|
1 |
|
2 |
|
3 |
Задача № 5. Изучите принцип работы отсчетного устройства теодолитов ТЗО; 2Т30.

Рисунок 14 а
На рис. 14а показано поле зрения отсчетного микроскопа теодолита ТЗО. Выполните отсчеты по рисунку.
|
Отсчет по: |
|
Горизонтальному кругу |
|
Вертикальному кругу |
|
Отсчет по: горизонтальному кругу вертикальному кругу |
На рисунке 14 б дайте изображение штрихов лимбов для отсчета, наблюдаемого Вами в поле зрения штрихового микроскопа теодолита ТЗО. Запишите значения изображенных Вами отсчетов.

Рисунок 14 б
На рис. 15а, 156 показано поле зрения шкалового микроскопа теодолита 2Т30 при положительном (рис. 13,а) и отрицательном (рис. 13,6) углах наклона зрительной трубы.
|
Отсчет по: |
|
горизонтальному кругу |
|
вертикальному кругу ___________ |
|
горизонтальному кругу |
|
вертикальному кругу |
Выполните отсчеты по рисунку.

Рисунок 15
5.4 На рисунке16 а и 16 б дайте изображение штрихов лимбов для отсчета, наблюдаемого Вами в поле зрения шкалового микроскопа теодолита 2Т30. Запишите значения изображенных Вами отсчетов.

Рисунок 16
Отсчет по:
горизонтальному кругу горизонтальному кругу
вертикальному кругу вертикальному кругу
Начальные навыки работы с теодолитом
Задача № 6 Приведите теодолит в рабочее положение. В краткой форме изложите порядок действий при приведении теодолита в рабочее положение.
6.1 _________________
6.2. _________________
Задача № 7 Выполните пробные наведения зрительной трубы на цель. Изобразите на свободном поле (рисунок 17) правильное положение визирной цели в поле зрения трубы перед отсчетом.
Дайте названия винтов, которыми производили окончательное наведение зрительной трубы на цель.
а.
б.
в.
Поверки и юстировки теодолита
Задача № 8 Выполните поверки теодолита ТЗО (2Т30). Условия поверок и полученные результаты запишите в соответствующие графы тетради.
Первая поверка.
Условие: ________________
Результат:
Вторая поверка.
Условие:
Результат:
Третья поверка.
Условие:
Результат:
Четвертая поверка.
Условие:
Результат:
Лабораторная работа №2. Измерение горизонтальных углов

Рисунок 18
Задача № 1 Основываясь на принципе измерения горизонтального угла, покажите на рис.18 измеряемый угол и напишите формулу для его вычисления. Дайте определения величин а>1>, а>2>:
= --------------------------------------------------
а>1>= --------------------------------------------------
а>2>= --------------------------------------------------
Задача № 2 Измерьте заданный преподавателем горизонтальный угол полным приемом и запишите результаты измерений в журнал.
Журнал измерений горизонтальных углов
Теодолит № Дата
Наблюдал Погода
Записывал
|
№ точек стояния |
№ точек наблюдений |
Отсчет по лимбу горизонтального круга |
Значение углов из полуприемов |
Среднее значение углов |
|||
|
о |
, |
о |
, |
о |
, |
||
|
2 |
184 |
25 |
79 |
48 |
|||
|
3 |
104 |
37 |
|||||
|
1 |
КП |
79 48,5 |
Образец записи |
||||
|
1 л |
275 |
49 |
79 |
49 |
|||
|
3 |
196 |
00 |
|||||
Лабораторная работа №3 Измерение вертикальных углов
Задача 1 Дайте определения следующим величинам.
Угол наклона:
Место нуля вертикального круга:
Задача 12. Выполните измерения углов наклона по двум направлениям, заданным преподавателем. Результат запишите в журнал, используя формулы.
Теодолит ТЗО:
МО-= 1/>2 >(КП+КЛ-180°.);
۷ =КЛ- МО; ۷ =МО-КП+!80°.
Теодолит 2Т30:
МО=1/>2 >(КЛ+КП); ۷ =КЛ-МО; ۷ =МО-КП.
Вычислите по каждому направлению значения места нуля ж угла наклона.
Журнал измерений углов наклона
Теодолит______ № Дата
Наблюдал Погода
Записывал
-
№ точек стояния
№ точек наблюдения
Отсчеты по вертикальному кругу
Место нуля
Угол наклона
КЛ
КП
о
,
о
о
,
о
,
1
Ферма
I
26
178
14
359
50
+ 1
36
Лабораторная работа №4 Изучение нивелира
Геометрическое нивелирование является фактически основным методом определения превышений, которые используются при вычислении высот точек. Для выполнения геометрического нивелирования используется комплект приборов, в который входят нивелир, штатив и рейки с сантиметровыми делениями.
В результате выполнения данного задания Вы должны получить начальные навыки работы с нивелиром.
При выполнении задания Вы должны пользоваться рекомендованными преподавателем учебными пособиями и конспектом лекций.
Задача № 1 Дополните чертеж (рисунок19), показав:

Рисунок19
1 Где определяемая величина
2 Какие величины необходимо определить, чтобы вычислить превышение
3. Напишите формулу для определения превышения h =Задача № 2 Закончите определение. Нивелир — геодезический прибор.
Сформулируйте основное геометрическое условие нивелира с цилиндрическим уровнем.
Задача № 3 Подпишите начало и конец в оцифровке черной и красной сторон, используемых Вами реек (рисунок 20).

Рисунок 20
Задача № 4 Изучите основные части, детали и оси нивелира НЗ

Рисунок 21
Напишите названия основных частей и деталей, пронумерованных на рисунке 21
|
1 |
7 |
|
2 |
8 |
|
3 |
9 |
|
4 |
10 |
|
5 |
11 |
|
6 |
12 |
Задача № 5 Укажите на рисунке 22 правильное положение пузырька контактного уровня перед отсчетом по рейке. Укажите, каким винтом надо действовать.

Рисунок 22

Рисунок 23
Задача № 6 На рисунке 23 показано поле зрения трубы нивелира. Произвести отсчет по нити для определения превышения.
Тема 2. Поверки и юстировки нивелира НЗ
Задача №7. Выполните поверки нивелира НЗ.
Нивелир НЗ № ______ , год выпуска
Первая поверка
Условие:
Результат:
Вторая поверка
Условие:
Результат:
Третья поверка (порядок выполнения условия проиллюстрируйте чертежом).
Условие:
Схематический чертеж
а.
6.
Результат:
Порядок исправления (юстировки):
Практическая работа №7 Обработка результатов нивелирования
Определение превышений на станции способом «из середины»
Задача № 8. Повторите порядок работы на станции при техническом нивелировании и определите превышения между точками, на которых установлены рейки. Результаты наблюдений запишите в журнал.
Журнал технического нивелирования
Нивелир № Дата
Наблюдал Погода
Записывал
|
станций |
№ нивелирных точек |
Отсчеты по рейкам |
Превышения |
Средние значения превышений |
Высоты |
||
|
задней |
передней |
+ |
-' |
||||
|
1 |
П.П. 21 |
Образец записи |
|||||
|
1460 (1)* |
1562 (2) |
-102 (7) |
-103 (9) |
||||
|
xl |
6144 (4) |
6248 (3) |
-104 (8) |
||||
|
4684 (5) |
4686 (6) |
||||||
|
* Номера в скобках указывают порядок действий |
Задача № 9 Покажите на рисунке 22 цифрами порядок Ваших действий при проложении хода технического нивелирования для определения высот точек теодолитного хода

Рисунок 24
Задача N° 10 Выполните обработку страницы журнала технического нивелирования.
Журнал технического нивелирования
Нивелир № Дата
Наблюдал Погода
Записывал
|
№ станций |
№ нивелирных точек |
Отсчеты по рейкам |
Превышения |
Средние значения превышений |
||
|
задней |
передней |
+ |
- |
|||
|
1 |
Rpl |
1040 |
0666 |
0374 |
0372 |
|
|
1 |
5820 |
5450 |
0370 |
|||
|
4780 |
4784 |
|||||
|
2 |
1 |
1660 |
1090 |
|||
|
2 |
6445 |
5875 |
||||
|
4785 |
4785 |
|||||
|
3 |
2 |
|||||
|
3 |
||||||
|
4 |
3 |
1360 |
1140 |
|||
|
4 |
6145 |
5928 |
||||
|
4785 |
4788 |
|||||
|
5 |
4 |
0550 |
1555 |
|||
|
5 |
5338 |
6338 |
||||
|
4788 |
4783 |
|||||
|
6 |
5 |
1980 |
1115 |
|||
|
Rp10 |
6765 |
5895 |
||||
|
4785 |
4780 |
Практическая работа №8 Вычислительная обработка теодолитного хода
Обработку полевых материалов начинают с проверки “Журнала измерения горизонтальных углов”, обработки линейных измерений и выписки данных в “Ведомость вычисления координат”. При этом значения углов округляют до десятых долей минут.

Рисунок 25
В ведомости последовательно выполняют описываемые ниже действия.
Вычисление угловой невязки
а). Подсчитывается сумма измеренных углов:
>изм >= 899 58 1;
б). Определяется теоретическая сумма углов для замкнутого полигона по формуле
>теор> = 180 (п - 2),
где п - число углов.
Если п = 7, то
>теор> = 180 (7 - 2) = 900 00 0;
в). Полученная угловая невязка определяется по формуле
>> = >изм> - >теор>
Например: >> =899 58 1 - 900 00 0 = -19;
г). Допустимая угловая невязка определяется по формуле
>>> доп> = 45 20 ;
д). Сравнивается полученная и допустимая угловые невязки; если >> >>> доп>, то производится повторное измерение углов ;
если >> >>> доп>, например 19 20, или равны, то полученная невязка распределяется с обратным знаком поровну на все углы, образованные короткими сторонами.
Сумма поправок должна равняться величине полученной угловой невязки и быть противоположной ей по знаку.
Сумма исправленных углов должна равняться их теоретической сумме. Эти положения используются для контроля увязки углов.
Ориентирование полигона.
Величина дирекционного угла стороны - определяется по величине дирекционного угла исходной стороны А - и величине примычного угла по формуле
>>>- >>> = >А->>> + 180 - ,
Например, дирекционный угол исходной стороны >>>- >>> = 295 13 0;
примычный угол = 234 13 0.
Следовательно, дирекционный угол стороны хода - будет
>>>- >>> = 295 13 0 + 180 - 234 13 0 = 241 00 0.
Вычисление дирекционных углов сторон полигона
Дирекционные углы других сторон полигона вычисляются по аналогичной формуле
>п> = >п- >>> + 180 - >п>,
где >п> - дирекционный угол последующей стороны;
>п- >>> - дирекционный угол предыдущей стороны;
>п> - исправленный, вправо по ходу лежащий угол между этими сторонами.
Это положение иллюстрируется схемой (Рисунок 26). Вычисления рекомендуется производить в следующем порядке:
2 41 00 0 . . . . . . . >>>- >>>
+180
421 00 0
- 44 45 0
376 15 0
- 360
16 15 0 . . . . >>>- >>>
+180
196 15 0
+360
556 15 0
- 277 16 0

278
59
0 . . . .
>>>-
>>>>V
>

Рисунок 26
Если величина дирекционного угла оказывается более 360, то следует 360 отбросить (376150 - 360 = 16150). Если же сумма дирекционного угла предыдущего и 180 окажется меньше внутреннего угла, вычитаемого из этой суммы, то следует к сумме прибавить 360 (196150 + 360 - 277160 = 278590).
Контроль вычисления дирекционных углов производится так. Если к дирекционному углу последней стороны прибавить 180 и вычесть величину внутреннего угла, расположенного между последней и первой стороной, то должен получиться дирекционный угол первой стороны:
210470 . . . . . . . . . . . >V>>>
+180
390470
- 149470
241000 . . . . . . . . . . . >>
Перевод дирекционных углов в румбы.
Дирекционные углы переводят в румбы, пользуясь зависимостью между дирекционными углами и румбами
Зависимость между дирекционными углами и румбами
-
Величина дирекционного
угла
Наименование
румба
Величина
румба
0 - 90
СВ
90 -180
ЮВ
180-
180 - 270
ЮЗ
- 180
270 - 360
СЗ
360 -
Например: = 241000, т.е. сторона направлена между 180 и 270; следовательно, румб будет назван - ЮЗ; а градусная величина его будет
241 - 180 = 61
Горизонтальные проложения сторон выписываются в ведомость из абриса или соответствующего журнала с учетом поправок за компарирование и температуру .
Например, выписывают значения:
D >I>>->>II>=102,50 м ;
D>II>>->>III>=109,65 м и т.д.
Под итоговой чертой вычисляется сумма всех горизонтальных проложений – периметр полигона.
Например: ΣD=846,12 м.

Рисунок 27
Вычисление приращений координат.
Знак приращения зависит от названия координатной четверти, в которой направлена данная сторона хода, и определяется по схеме (Рисунок 27.).
Например, для направления ЮЗ
х имеет знак минус (-)
у « « « (-)
Величины приращений находятся по “Таблицам приращений координат”, составленным на основе формул:
х = D cos ;
у = D sin ;
что видно из рисунка 28

Рисунок 28
Приращения рекомендуется вычислять, пользуясь “Пятизначными таблицами натуральных значений sin и cos”, и калькулятором. В этом случае выбранные из таблиц значение sin и cos надо лишь перемножить на длину стороны.
Вычисленные приращения округляются до сантиметров и вписываются в графу “Приращения вычисленные”.
Например:
X = - 49, 69;
Y = - 89, 65.
Определение линейной невязки.
Для этого сначала составляют суммы всех вычисленных приращений X положительных (X+) и отрицательных (X-), а затем их алгебраическую сумму, которая для случая замкнутого полигона и будет величиной невязки по оси абсцисс.
>х> = X .
-
Например:
+105,26
+20, 23
-49,69
+93,83
-135,58
+59, 71
-93,73
X+ = +279,03
X- = -279,00
>х> = (+279,03) + (-279,00) = +0,03
Аналогично действуют, вычисляя невязку по оси ординат
п
>y> = Y ;
>y> = (+279,03) + (-273,50) = -0,27.
Абсолютная линейная невязка в периметре полигона определяется по формуле:
ƒ>D> = √ (ƒ>х>)2 + (ƒ>y>)2
Например:
>D >= √ (0,03 )2 + (0,27)2 = 0, 28.
Относительная линейная невязка определяется отношением абсолютной невязки к периметру полигона.
>D> / D = 0,28 / 846,12 1 / 3000,
где D - периметр полигона.
Если полученная относительная линейная невязка не превышает 1/2000, то результаты считаются благополучными, и можно распределять невязки, полученные по осям координат.
Если >D> / D 1 / 2000 , то необходимо тщательно проверить вычисления и при необходимости произвести повторные измерения.
Если >D> / D 1 / 2000 , то производится распределение невязки х и y путем введения поправок в вычисленные приращения и Y пропорционально длинам сторон:
(x / D)D>n> и (y / D)D>n>
где D>n> - длина горизонтального проложения соответствующей стороны.
Поправка вводится со знаком, обратным знаку невязки. Так как при этом поправка может выражаться лишь долями сантиметра, то надо ее округлить до целого сантиметра и вводить только в приращения, соответствующие наибольшим сторонам.
Если x = 0,03, то поправки по 1 см. вводятся только в приращения, соответствующие лишь большим сторонам III - IV, V - VI, VI - VII.
Во всех случаях сумма поправок должна равняться величине полученной невязки, но с обратным знаком.
Исправленные (увязанные) приращения вычисляются как алгебраическая сумма вычисленных приращений и соответствующих поправок.
Например:
(Y>>) >испр> = (-89,65) + (+0,03) = - 89,62
Контроль увязки приращений: в замкнутом полигоне алгебраическая сумма исправленных приращений по каждой оси должна равняться нулю.
Вычисление координат вершин полигона.
Координаты точки заданы
Х>> = 0,00; Y>> = 0,00.
Координаты последующих точек вычисляются по формулам:
Х>n> = Х >n>>-1> + () >испр>; Y>n> = Y >n>>-1>+ (Y) >испр>,
где
-
Х>n> и Y>n>> >-
координаты последующих точек;
Х >n-1> и Y >n-1>> >-
координаты предыдущих точек;
() >испр> и (Y) >испр >-
исправленные приращения сторон между соответствующими точками
Например:
Х>III> = (-49,69) + (+105,26) = +55,57;
Y>III >= (-89,62) + (+ 30,71) = -58,91.
Если к координатам последней точки прибавить приращения по последней замыкающей стороне, то должны получиться координаты первой точки, что и будет контролем правильности вычисления координат вершин замкнутого теодолитного хода.
Например:
(+ 93,73) + (- 93,73) = 0,00;
(+ 55,80) + (- 55,80) = 0,00.
Ведомость вычисления координат вершин теодолитного хода
|
№ точек |
Внутренние углы |
Дирекционные углы |
Румбы |
Горизонтальные проложения сторон |
Приращения |
Координаты |
|||||||||||||
|
измеренные |
поправка |
исправленные |
название |
вычисленные |
поправка |
исправленные |
x |
y |
|||||||||||
|
|
' |
' |
|
' |
|
' |
∆ x |
∆ y |
∆ x |
∆ y |
∆ x |
∆ y |
|||||||
|
β>изм >= |
D = |
||||||||||||||||||
|
|
|||||||||||||||||||
|
β>теор >= 180 ( n – 2 ) = |
Абсолютная линейная невязка >D>> >= (>x>)2 + (>y>)2 = |
||||||||||||||||||
|
|
|||||||||||||||||||
|
Угловая невязка >β >= |
Относительная невязка |
Относительная невязка допустимая = 1 / 2000 |
|||||||||||||||||
|
>D>> >/ D = |
|||||||||||||||||||
|
Угловая невязка допустимая (>β >)>доп >= 1,5 t n = |
Практическая работа №9 Нанесение точек теодолитного хода на план
Пользуясь значениями вычисленных координат, следует нанести плановые точки на план масштаба 1:500. Для этого необходимо на чертежной или миллиметровой бумаге вычертить координатную сетку со сторонами квадратов 5 см и произвести соответствующую оцифровку координат на осях Х и У.Полученные на плане точки необходимо соединить прямыми линиями и надписать значения румбов и горизонтальных проложений сторон полигона.
Примечание 1. Координатную сетку нанести в тонких линиях зеленой или синей тушью. Точки соединить линиями толщиной 1—2 мм черной тушью или в карандаше. Диаметр точек теодолитного хода для М: 1:500 - 1,5 мм.
На план теодолитного хода М 1:500 накладываем контур здания 36×12 м (произвольно), два угла которого привязываем к плановым точкам ближайшей стороны полигона полярным способом.
Пользуясь поперечным масштабом, определяем координаты углов здания графическим способом.
Пример: координаты точек:
Х>А>=1,40м, У>А> =20,20 м.
Хд = 1,40м, Уд = 56,20 м.
Значения координат точек теодолитного хода т. 1 и т. 4 надо взять из ведомости вычисления координат:
Х>1 >= 0,00 м Х>4> =—36,70 м.
У>1> = 0,00 м У>4> = 49,59 м.
Для определения длины стороны S>1>, решаем обратную геодезическую задачу, используя дирекционные углы направлений 1-А, 4-Д
,tg γ>1> = ∆Х>1> / ∆У>1 >S>1 >= ∆Х>1> / cos γ>1>
Вычисляем приращения
∆Х>1> = Х>А> —Х>1> = 1.40—0,00= 1.40 м
∆У>1 >= У >А>—У>1> = 20.20—0.00 = 20.20 м,
∆Х>2> = Х>д>—Х>4>= 1,40—(—36.70) =38.10 м,
∆У>2 >= У>д >—У>4> = 56.20—49,59 = 6.61 «,
Дирекционные углы направлений 1-А и 4-Д соответственно равны
tg γ>1-А >= 20,20 /1,40 = 14,428 tg γ>1-А >=86º 02´
tg γ>4-Д> = 6,61 / 38,10 = 0,1735 tg γ>4-Д >= 9º 50´
Длины сторон 1,40
S>1 >= 1,40 / 0,06917 = 20,24 м
S>2 >= 38,10 / 0,98530 = 38,67
Вычисляем значения углов β >1 >и β >2>
угол β >1 >= 90°- г>4-1> – α >1>
угол β >2 >= г>4-1> + α >2 >, где α >1> и α >2 >углы треугольников
α >1> = 90° - γ>1-А >= 3°58'
α >2 >= γ>4-Д> = 9°50'
β >1 >= 90° - 53°30' + 3°58' = 40°28'
β >2 >= 53°30' + 9°50' - 63°20'
Вычисленные значения расстояний и углов используем для составления разбивочного чертежа.
5! = 20,24 м; β >1 >= 40°28';
52 = 38,67 м; β >2 >= 63°20'.
МАСШТАБ 1:500

Рисунок 29 План теодолитного хода
Ведомость вычисления координат

План теодолитного хода
Практическая работа №10 Подготовка топографической основы
Сущность работы состоит в следующем. Клиент заказал Вашей фирме выполнить вертикальную планировку части участка перед коттеджем в целях строительства теннисного корта и декоративного благоустройства участка. Площадь участка примерно равна 0,6 га.
Для разработки проекта вертикальной планировки требуется составить топографический план участка в масштабе 1:1000 (1:500) с высотой сечения рельефа 0,25 м (0,1 м).
Для этого Вашими коллегами при помощи теодолита и рулетки на местности была построена сетка квадратов со сторонами 20 м (рис. 30).
Аm>a>>->>d> = 330°30'

Рисунок 30
В вершинах квадратов забиты колышки вровень с землей и сторожки, на которых подписаны обозначения вершин по принципу обозначения клеток шахматной доски. Одновременно с разбивкой выполнялась и съемка элементов ситуации методом перпендикуляров. Для ориентирования линий плана был измерен магнитный азимут стороны а — d. Его значение Аm>a>>->>d> = 330°30'.
Затем произведено техническое нивелирование вершин квадратов с двух станций. Порядок нивелирования показан на рисунке 30. Все отсчеты записаны на полевой схеме (рис. 2) около вершин квадратов. На связующие точки, обведенные на рис. 2, 3 кружком, сделаны для контроля отсчеты с двух станций. Граница станций указана пунктиром (а1, а2, в1, в2). Контроль правильности связи (работ) станций выполняется по формуле: а>1>+в>2>=а>2>+в>1>, в общем случае суммы накрест лежащих отсчетов могут отличаться одна от другой не более чем на 5 мм. Передача высоты была выполнена на связующую точку d>4>.
Задача №1 Произвести обработку исполнительной полевой схемы нивелирования поверхности по квадратам (см. рис. 31), составить план участка в масштабе 1:1000. Выполнить интерполирование горизонталей при высоте сечения рельефа 0,25 м. Выполнить рисовку рельефа и вычертить план. H>d4> =
Исходная высота связующей точки d4 задается преподавателем (по усмотрению преподавателя может быть принят вариант передачи высоты на точку d4 нивелирным ходом от нивелирного репера).
Исполнительная полевая схема нивелирования поверхности

Рисунок 32
Контроль Съемку выполнил:
а>1 >+ в>2 >- а>2> + в>1> = техник Медведев СМ.
а>2 >+ в>3 >- а>3> + в>2> = Вычисления выполнил:
Вычисление горизонтов прибора.
ГП>I> =
ГПI>II> =
ГПII>II> =
ГПIII>II> = ГПср>II> =
Пояснения к выполнению работ
Сделайте контроль нивелирования по связующим точкам.
Связующими точками являются точки в>4>, с>4>, d>4> (см. рис. 32). В качестве примера сделайте контроль по связующим точкам в>4> и d>4>. Отсчеты со станции I на связующие точки соответственно равны: а>4>=0833, а>3>=1239, а со станций II: в>1>=1057, в>3>=1462.
Тогда а>1>+в>3>=а>3>+в>1>. Имеем: 1462+083-1239+1057 = 1 мм, что допустимо. Результаты ваших контрольных вычислений запишите под рисунком 32.
Вычислите горизонт прибора и высоты вершин квадратов для станции I.
Горизонт прибора (ГП) вычисляется по формуле
ГП1 = Н>изв>+ а>0>,
где Н>изв>> >— известная высота точки, в Вашем случае — это высота связующей точки d>4>
а>0> — отсчет по рейке на этой точке (в данном случае надо брать отсчет а>1>=0,833 м, полученный с первой станции, так как горизонт прибора определяется для станции I). Полученное значение горизонта прибора впишите на полевую схему в соответствующем месте. Затем по формуле
H>i> = ГП1- аi
где Hi — высота вершин, определяемых для станции I;
ai — отсчет по рейке на этих вершинах (по черной стороне) вычислите высоты всех вершин в границах, определенных для станции I.
Последовательно получаемые значения высот запишите на полевую схему рядом с соответствующей вершиной квадрата.
3.Вычислите горизонт прибора и высоты остальных вершин для станции II.
Для контроля горизонта прибора вычислите его три раза (так как высоты трех связующих точек нами уже вычислены).
ГП>II> = H>d4> +в>4>; ГП′>II>= Н>с4>+в>2>; ГП′′>II> = Н>в4>+в>3>
Если расхождения между значениями ГП не превысят 5 мм, то вычисляют среднее значение и оно выписывается на полевую схему.
Высоты вершин в границе станции II вычисляются аналогично по формуле
Hi = ГП>II>-в>i>
и записываются у соответствующих вершин.
Составьте топографический план по результатам нивелирования по квадратам.
На листе чертежной бумаги в масштабе 1:1000 постройте сетку квадратов со сторонами 20 м и нанесите по промерам элементы ситуации. На план выпишите высоты всех точек (вершин), округляя значения до 0,01 м.
Путем интерполирования по сторонам квадратов найдите положение точек с высотами, кратными высоте сечения рельефа 0,25 м (используя как графический метод, так и интерполирование «на глаз»).
Точки с одинаковыми высотами соедините плавными кривыми-горизонталями.
Произведите «укладку» горизонталей и подпишите высоты горизонта лей, кратные 0,5 м.
Напоминаем! Высоты подписывают в разрывах горизонталей так, чтобы основание цифр было обращено вниз по скату.
Работу в карандаше предъявите преподавателю.
6 Вычертите план тушью.
Все элементы плана: надписи, условные знаки (за исключением горизонталей) вычертите черной тушью; горизонтали и их высоты вычертите коричневым цветом. Вершины квадратов на плане покажите точками.
На рамке плана сделайте надпись: «Топографический план участка № ».
Внизу напишите (по центру) «1:1000» и «Сплошные горизонтали проведены через 0,25 м». Справа — «Составлен по материалам нивелирования поверхности» (фамилия студента, факультет и дата выполнения работы).
Практическая работа №11. Геодезические расчеты при вертикальной планировке участка
Задача №1 Одним из вариантов формы вертикальной планировки рельефа участка проекта предусмотрена горизонтальная площадка.
Вам следует, используя ранее полученные результаты:
произвести расчет проектной высоты горизонтальной площадки при условии минимального объема земляных работ, т.е. при соблюдении баланса земляных работ, когда объем выемки грунта равен объему насыпи;
составить картограмму земляных работ и вычислить объемы перемещаемого грунта.
Для дальнейших расчетов необходимо составить копию схемы сетки квадратов с выписанными на ней высотами вершин квадратов (с точностью до 0,01 м). Значения высот получены Вами в первой части задания.
Последовательность выполнения геодезических расчетов
Выполните копию схемы сетки квадратов на отведенном в рабочей тетради для этой цели месте и выпишите на нее высоту точек (рис. 33).
Замечание 1. Исключительно в учебных целях для уменьшения нагрузки на чертеж Вам предлагается использовать две схемы сетки квадратов. Одну как исходную для вычисления проектной высоты горизонтальной площадки; вторую — для составления картограммы земляных работ (образцы их заполнения показаны на рис. 33 и 34; сами схемы выполните в соответствующем месте рабочей тетради).

Рисунок 33
Найдите наименьшую из высот вершин квадратов Н0 и вычислите условные высоты Δhj всех вершин квадратов по формуле
Δh>j> = Н>1> - Н>0>
Полученные условные высоты выпишите на схему рядом с высотой вершины (см. образец — рис. 33).
Замечание 2. Так как величины Δh, вычисляются без контроля, то ошибка, допущенная при вычислении Δh>i>, выявится только в самом конце работы при подсчете объемов земляных работ. Поэтому вычисления проводятся дважды.
Вычислите проектную высоту Н>пр> горизонтальной площадки при условии соблюдения баланса земляных работ
Н>пр >= Н>0> + ( ∑∆h>1> +∑ 2h>2> + 3∆h>3> + 4∑∆h>4> ) / 4n
где ∆h>1> - условная высота вершины, входящая только в один квадрат (на рис. 33 это вершина а>2>);
∆h>2 >- условная высота вершины, входящая в два квадрата (на рис. 33 — это вершины в>1> и а> 2>);
∆h>3> - условная высота вершин, входящих в три квадрата (в нашем случае таких условных высот нет);
∆h>4> - условная высота, входящая в четыре квадрата (на рис. 33 — это вершина в>2>).
Вычислите рабочие высоты для всех вершин квадратов, как
а> i>= Н>i>> >- Н>пр>
и впишите их на картограмму земляных работ красным цветом (см. образец — рис. 34).

Рисунок 34
Определите положение точек нулевых работ. По сторонам квадратов, где рабочие высоты меняют знак на противоположный, найдите расстояния до точек нулевых работ.
Копия схемы сетки квадратов
Н>0 >=
Н>пр >=
Картограмма земляных работ
Вычислите расстояния до точки нулевых работ
L>1> = L =
L>2> = L =
L>1> = | а> і>| / ( | а>і-1>| + | а>і> | ) × d или L>2> = | а> і-1>| / ( | а>і-1>| + | а>і> | ) × d
где а> i-1 >и а> i> - соответственно рабочие высоты предшествующих и последующих вершин;
d — горизонтальное расстояние между этими вершинами.
Например, см. рис. 4.
Для стороны в1 - с1 имеем
L>1> = 0,22 / ( 0,65 + 0,22 ) × 20 =5,06
для контроля вычисляем L>2>:
L>2> = 0,65 / ( 0,65 + 0,22 ) × 20 = 14,94
Контроль: 14,94+5,06=20,0. Значения L>1>, L>2>,…….., L>n> , выписывают на картограмму синим цветом, округляя до 0,1м.
Для получения линии нулевых работ точки нулевых работ последовательно соедините прямыми линиями и штриховкой разделите зоны выемки и насыпи.
Вычислите объемы земляных работ. Вычисления выполните в ведомости таблицы.
Перед началом вычислений разбейте участок на геометрические фигуры (квадраты и треугольники). Пронумеруйте фигуры на картограмме и впишите номера фигур в графу 1 таблицы «Объемы земляных работ» вычислите по формуле
V>i> =, S>i >×> >аi>cph>
где S>i >- площадь основания і-той фигуры;
аi>cph> - средняя рабочая высота из рабочих высот вершин i-той фигуры.
Вычисления ведите в следующем порядке:
вычислите площади фигур и запишите их в графу 2 таблицы;
вычислите средние рабочие отметки;
вычислите объемы фигур.
Для контроля по графе. 2 в таблице подсчитайте сумму площадей всех фигур. С точностью до 1 % она должна совпадать с общей площадью участка.
Замечание 3. Значения аi>cph> могут иметь знак + (плюс) или — (минус),
поэтому и значения объемов будут иметь знак. Знак плюс перед значением объема грунта будет соответствовать срезке, а знак минус — насыпи.
Общий контроль.
По условию проектирования — это равенство объемов выемок и насыпей.
Для вывода общего баланса земляных работ суммируйте значения объемов по графам 4 и 5 таблицы.
Расхождение V=(+V)+(—V) не должно превышать 2 % общего объема земляных работ.
Ведомость вычисления объемов земляных работ
-
№ фигур
Площадь фигуры, м
Средняя рабочая высота,
Объем земляных работ, м
срезка (+)
насыпь (—)
1
2
3
4
5
1
2
3
4
5
6
7
8
9
10
11
12
13
14
15
16
17
18
19
20
V=
∆ V / V=
Практическая работа №12 Обработка журнала нивелирного хода
Пример. Обработать журнал замкнутого нивелирного хода, в котором промежуточные (плюсовые) точки наблюдались по черной стороне рейки
Таблица
|
№ станции |
№ пикета |
Отсчеты по рейке |
Превышения |
Превышения |
Горизонт инструмента |
Отметки, м |
||||
|
задние |
проме-жуточные |
передние |
по черной |
по красной |
вычислен- ные |
исправ- ленные |
||||
|
1 |
2 |
3 |
4 |
5 |
6 |
7 |
8 |
9 |
10 |
11 |
|
0 |
827 5610 |
+ 200 |
+1 |
77,000 |
||||||
|
I |
1+45 1 |
1455 |
627 5410 |
+200 |
+200 |
+201 |
77,827 |
76,372 |
||
|
1 |
1344 6127 |
+900 |
+1 +899 |
+900 |
78,545 |
77,201 |
||||
|
11 |
1+30 1+60 2 |
40 342 |
444 5229 |
+898 |
78,505 78,203 |
|||||
|
2 |
89 4871 |
-1101 |
+0,5 -1101,5 |
-1101 |
78,190 |
78,101 |
||||
|
III |
2+15 2+42 2+77 0 |
683 1245 1111 |
1190 5973 |
-1102 |
77,507 76,945 77,079 |
∑3 = 18868 ∑П = 18873 +1099,0
-1101,5
-2,5
Решение Подсчитываем сумму отсчетов читанных задних (колонка 3), равную 18868.
Подсчитываем сумму отсчетов читанных передних (колонка 5), равную 18873.
Вычисляем превышения из отсчетов по черной стороне рейки (колонка 6) между ПК 1 и ПК 0: 827—627=+200 и т. д.
Вычисляем превышения из отсчетов по красной стороне рейки (колонка 7) между ПК 1 и ПК 0: 5610—5410=+200 и т. д.
Вычисляем превышения средние (колонка 8)
Подсчитываем алгебраически сумму вычисленных превышений (колонка 8) и определяем величину невязки +1099,0-1101,5
∆h = -2,5
Контроль: Разность сумм граф 3 и 5 должна быть в два раза больше суммы превышений
18873 – 18868 = 5 1101,5 – (+1099) = - 2,5
5 > 2,5
Определим допустимость невязки ∆h = -2,5мм по формуле:
∆h = ± ( 20 √ 4L + 2L мм) = 10,5 мм
Невязка допустима. Распределяем ее с обратным знаком пропорционально количеству вычисленных превышений (колонка 8). (Распределять невязку на все превышения из-за ее ничтожности не следует.)
Вычисляем исправленные превышения к и записываем в колонку 9: 200+1 = 201, 899 +1 = 900 – 1101,5 + 0,5 = -1101,0
Подсчитываем алгебраически сумму исправленных превышений
1101 + (-1101) = 0
Вычисляем отметки пикетов:
|
77, 000 + 201 |
…………………………………………………………… …………………………………………………………… |
отметка ПК0 между ПК0 и ПК1 |
|
77,201 +900 |
…………………………………………………………… …………………………………………………………… |
отметка ПК1 между ПК1 и ПК2 |
|
78,101 -1101 |
…………………………………………………………… …………………………………………………………… |
отметка ПК2 между ПК2 и ПК0 |
77, 000 (контроль)
Для вычисления отметок промежуточных точек определяем горизонт инструмента, а принимая во внимание, что промежуточные точки наблюдались при втором горизонте, получим:
Для I станции горизонта инструмента 77,000 + 827 = 77,827
II ………………………………77,201 + 1344 = 78,545
III ………………………………78,101 + 89 = 78,190
Вычисляем отметки промежуточных точек
Для ПК 1+45 77,827 -1455 = 76, 372
ПК 1+30 78,545 - 40 = 78, 505
ПК 1+60 78,545 – 342 = 78,203
ПК 2+15 78,190 – 683 = 77,507
ПК 2+42 78,190 -1245 = 76,945
ПК 2+77 78,190 – 1111 = 77,079
Задача № Обработать журнал замкнутых нивелирных ходов, в которых нивелировка производилась с последнего пикета.
Вариант 1 Отметка ПК 0 = 111,111 м
-
№ станций
№ пикета
Отсчеты по рейке,
Задние
Промежуточные
Передние
I
0
0+27
1
929
5614
2344
544
5230
II
1
1+44
1+67
2
862
5549
167
745
302
4988
III
2
2+17
2+45
2+85
0
47
4734
892
452
127
909
5596
Вариант 2 Отметка ПК 0 =222,222 м
-
№ станций
№ пикет»
Отсчеты по рейке, читанные
Задние
Промежуточные
Передние
1
0
0+331
864
5550
140
304
4990
II
1
1+45
2
242
4928
1242
907
5594
III
2
2+10
2+43
2+80
0
124
4811
674
1242
1415
19
4706
Журнал замкнутого нивелирного хода
|
№ станции |
№ пикета |
Отсчеты по рейке |
Превышения |
Превышения |
Горизонт инструмента |
Отметки, м |
||||
|
задние |
проме-жуточные |
передние |
по черной |
по красной |
вычислен- ные |
исправ- ленные |
||||
|
1 |
2 |
3 |
4 |
5 |
6 |
7 |
8 |
9 |
10 |
11 |
Практическая работа №13 Построение профиля
На листе миллиметровой бумаги постройте профиль по линии 1-2 полигона, сохранив для горизонтальных расстояний масштаб плана; для построения высот масштаб принять в 10 раз крупнее. Профиль оформить согласно образцу (рис.36).
Указания к выполнению:
- Построение профиля начать с построения сетки профиля (размеры граф сетки и их содержание дано на рис.36).

Рисунок 35 Образец карты с линией 1-2

Рисунок 36 Образец построения профиля
-в качестве характерных точек, по которым строится профиль, принять точки пересечения линии 1-2 с горизонталями и характерными линиями рельефа (см. рис.35, точки a,B,c,d,e,f,j);
определите высоты точек пересечения линии профиля с горизонталями;
высоты характерных точек определить интерполированием между соседними горизонталями;
с помощью измерителя перенести в соответствующие графы сетки (горизонтальные проложения, уклоны) расстояния между смежными точками: 1-а, а-в и т.д.);
используя поперечный масштаб определить длины этих отрезков в метрах и выписать их в графу горизонтальные проложения. Против полученных на сетке точек (в графе высоты) выписать соответствующие им высоты;
для того чтобы вертикальные отрезки не были слишком высокими для начальной линии профиля выбирают условную высоту (на образце рис.36 Н = 220м);
для построения собственного профиля по перпендикулярам из зафиксированных точек откладывают в масштабе разности между высотами точек и условной высотой. Соединив концы отложенных отрезков прямыми, получают линию профиля местности;
уклоны отрезков вычисляют с двумя знаками и записывают в целых тысячных (см. рис.36);
в графе "План местности" показывают ситуацию, имеющуюся в прямоугольнике, границы которого намечаются на расстоянии 1 см по обе стороны линии 1-2 (контуры переносятся с помощью измерителя).
Профиль по линии 1-2
ЛИСТ КОНТРОЛЯ
|
№ и тема практической работы |
Дата проведения контроля |
Оценка |
|
|
Первая защита |
Вторая защита |
||
|
Практическая работа № 1 Решение задач на масштабы |
|||
|
Практическая работа № 2 Чтение топографического плана |
|||
|
Практическая работа №3 Чтение рельефа по плану (карте). |
|||
|
Практическая работа №4 Определение ориентирных углов линий по плану |
|||
|
Практическая работа №5 Определение прямоугольных координат точек |
|||
|
Практическая работа №6 Обработка линейных измерений |
|||
|
Лабораторная работа №1 Изучение теодолита |
|||
|
Лабораторная работа №2 Измерение горизонтальных углов |
|||
|
Лабораторная работа №3 Измерение вертикальных углов |
|||
|
Лабораторная работа №4 Изучение нивелира |
|||
|
Практическая работа №7 Обработка результатов нивелирования |
|||
|
Практическая работа №8 Вычислительная обработка теодолитного хода |
|||
|
Практическая работа №9 Нанесение точек теодолитного хода на план |
|||
|
Практическая работа №10 Подготовка топографической основы |
|||
|
Практическая работа №11 Геодезические расчеты при вертикальной планировке участка |
|||
|
Практическая работа №12 Обработка журнала нивелирного хода |
|||
|
Практическая работа №13 Построение профиля |
Студент группы С-271
Преподавтель: Гусарова Светлана Александровна