Способы обработки горных пород
Министерство образования и науки Российской Федерации
Федеральное агентство по образованию
Курсовая работа
по ОТКД
по теме: «Способы обработки горных пород (ручная и механическая обработка)»
Содержание
Введение
1. Исторический образ обзор первобытной обработки камня
1.1 Залегания горных пород. Внешний вид. Структура, текстура горных пород Южного Урала
2. Оборудование для механической обработки камня
2.1. Машины для резки и обработке камня
2.2 Общая характеристика камнеобрабатывающих машин и инструментов
2.3 Современные способы обработки природного камня
3. Исследования горных пород
3.1 Физико-механические свойства горных пород
3.2 Способы обработки природного камня
Заключение
Использованная литература
Введение
Земную кору слагают горные породы, т. е. природные тела, образованные отдельными минералами или их соединениями. Горные породы, состоящие из одного минерала, называются мономинеральными, а из нескольких — полиминеральными.
И тем и другим присущ двойственный характер. С одной стороны, это минералы или минеральные соединения, у которых изучают структуру, химический и минералогический составы и физические свойства, с другой — это геологические тела, образовавшие земную кору, и у них соответственно изучают формы залегания, трещиноватость, явления выветривания и др.
Известно около тысячи видов горных пород, из которых более широкое распространение имеют полиминеральные породы, например гранит, состоящий из полевого шпата, слюды и кварца. К мономинеральным породам относятся кварцит, состоящий из одного минерала кварца, и мрамор - из одного минерала кальцита. Здесь имеются в виду главные минералы с преобладающим удельным весом в общем составе горной породы. Незначительные примеси других минералов, например слюды и хлорита в кварците или доломита, магния и марганца в мраморе, при этом не учитываются.
Минералогический и химический составы, структуру, распространение, классификацию и условия образования горных. пород изучает наука петрография. Название ее происходит от греческих слов «петра» — скала, камень и «графо» — пишу, что в буквальном переводе означает — описание камня.
Согласно данным петрографов, все горные породы в зависимости от условий образования делятся на три группы: первичные, или изверженные, вторичные, или осадочные, и видоизмененные, или метаморфические. Изверженные породы называют также магматическими. Распределение указанных пород в земной коре следующее: 95% общего объема земной коры - изверженные породы, 4% — метаморфические, 1% - осадочные.
В своей основе все группы горных пород образовались из магмы, которая возникает в недрах земли в виде сложного силикатного расплава, насыщенного газами и парами воды. Магма — слово греческое и в переводе означает месиво, или тесто.
Первичные породы образуются из магмы непосредственно и в зависимости от условий ее остывания делятся на глубинные, или интрузивные, и на излившиеся, или эффузивные, горные породы. Естественно, что излившиеся породы являются аналогами глубинных. Эти названия произошли от соответствующих латинских слов «интрузио» — внедрение и эффузио» — излияние.
Глубинные породы зарождаются из расплавленной магмы, которая, прорываясь по трещинам земной коры, застывает в ее недрах в условиях высокого давления и постепенного понижения температуры, В этом случае все составные части магмы успевают выкристаллизоваться, а сами кристаллы достигают значительных размеров. В результате образуются плотные породы с полнокристаллической структурой типа гранита, залегающие крупными массивами.
Излившиеся породы формируются на поверхности земли при извержении магмы, когда она теряет газы и переходит в лаву в условиях низкого давления и резкого понижения температуры. В этом случае составные части магмы не успевают полностью кристаллизоваться. В результате образуются породы с обилием аморфного стекла, часто с большой пористостью например базальт.
В целом структура излившихся пород носит название порфировой и характеризуется вкраплением сравнительно крупных кристаллов в плотную основную массу породы. В случае, когда ни один минерал не успевает кристаллизоваться, порода целиком состоит из некристаллического стекловатого вещества и структура ее соответственно называется стекловатой. Ее имеют так называемые вулканические стекла — пемза, обсидиан, кремний и вермикулит.
Вторичные, или осадочные, породы образовались в результате разрушения первичных горных пород выветриванием, а также из продуктов жизнедеятельности растительных и животных организмов, населяющих большие водные бассейны.
Осадочные горные породы в зависимости от происхождения принято подразделять на механические, или обломочные, отложения, химические осадки и органогенные породы. Механические отложения, в свою очередь, делятся на рыхлые и сцементированные. Грубые обломки принято также разделять на угловатые и окатанные.
Обоснование выбора темы проекта
Природный камень - естественный камень - материал универсальный, большинство вещей, которые нас окружают, можно выполнить в камне. Позволю тут упомянуть о двух основных характеристиках предмета : красота и функциональность. С точки зрения красоты, природный камень конкурентоспособен во всех отношениях, и ограничения на его применение накладывает, поэтому рациональная составляющая. Но не будем о недостатках. Журнальный столик, обеденный или резной стол "босса" - это красота, статус, это "изящество в силе". Бесшовные мозаики превратят ваш пол в данный ковер, один-единственный и неповторимый, а панно оживит стену, наполнив интерьер замысловатым орнаментом, или тотемом. Еще больший интерес к камню у меня появился в течении обучения камнеобрабатывающему мастерству которое преподали мне в стенах МАГУ, поэтому я решил выбрать данную тему своего курсового проекта. Камень красив, изящен, всегда оригинален от природы а при обработке приобретает любые линии и завораживает своей красотой. и вот хотел бы поделится предлагаемой информацией о таком прекрасном природном материале как горный камень.
Цель курсовой работы: Изучение способов обработки горных пород
Предмет курсовой работы: Технология обработки горных пород
Объект изучения: Способы обработки горных пород (ручная и механическая обработка)
Практическая значимость: Использование в практических условиях учебных мастерских способов обработки горных пород
горная порода камень обработка
1. Исторический обзор первобытной обработки камня
По мере усложнения хозяйственной деятельности человек стал испытывать нужду в более совершенных инструментах с тщательно отделанными лезвиями.
Изготовление их требовало новых приемов в обработке камня. Около восьми тысяч лет назад люди освоили Первобытная кремниевая пила технику пиления, сверления и шлифовки. Эти открытия были настолько важны, что вызвали настоящую революцию в развитии общества, названную неолитической революцией.
Пилить человек научился тогда, когда заметил, что зазубренный нож режет лучше, чем гладкий. Как известно, действие пилы основано на том, что ее резцы, или зубья, при движении полосы последовательно проникают в материал и снимают в нем слой определенной глубины. Получается как бы система ножей. Древнейшая дошедшая до нас примитивная пила была целиком изготовлена из кремня.
Работа на ней требовала больших физических усилий, но позволяла успешно справляться с распилкой дерева и кости. Пиление камня отнимало еще больше времени и сил. Оно развивалось постепенно, однако только в эпоху неолита эта техника получила широкое распространение. Пилой обычно служила кремневая зубчатая пластинка, под которую подсыпали смоченный водой кварцевый песок. Пиление редко было сквозным. Обычно мастер делал только глубокий надпил, а затем рассчитанным ударом деревянной колотушки разламывал камень на две части. Благодаря пилению людям стали доступны правильные
Различные способы сверления камня (по С.А. Семенову): 1) одноручное сверло без рукоятки; 2) - 3) сверло с рукояткой;
4) двуручное сверло; 5) сверло мбовамбов (Новая Гвинея) геометрические формы изделий, что было очень существенно при изготовлении инструментов.
Одновременно с пилением развивалась техника сверления камня. Этот прием был очень важным при изготовлении составных инструментов.
Люди давно заметили, что самые удобные и прочные топоры получаются тогда, когда рукоятка плотно забивается в отверстие самого топора, а не привязывается к нему. Но как сделать правильное отверстие в твердом камне? Ответ на этот важный вопрос был многие тысячелетия скрыт от человека. Как и в случае с пилением, древние мастера освоили сначала сверление мягких материалов. В древнейшие времена, когда человеку нужно было сделать отверстие в дереве или кости, он прибегал к выбиванию.
По крайней мере, именно таким способом еще недавно делали отверстия некоторые примитивные народы. Возможно, что именно
Распиловка камня с помощью резца-скребка при этой операции, вращая в отверстии каменный пробойник, древний мастер обнаружил, что высверливание требует гораздо меньших усилий. Сверление имело еще и то важное преимущество, что позволяло делать отверстие в твердых и хрупких материалах. Первое сверло, по-видимому, представляло собой обыкновенную палку, к концу которой было приделано каменное острие. Мастер просто катал ее между ладоней.
Значительный сдвиг в сверлении произошел после того, как в неолитическую эпоху был изобретен лучковый способ, при котором вращение сверла достигалось за счет поворота лука. Одной рукой мастер покачивал лук, а другой прижимал сверло сверху. Затем каменное сверло стали заменять полой костью животного крупного диаметра. Внутрь нее засыпался кварцевый песок, игравший роль абразива. Это было принципиальное и очень важное усовершенствование, значительно расширившее возможности сверления. В ходе работы песок постепенно просыпался из полости сверла под края коронки и медленно истирал просверливаемый камень. Поскольку успех сверления во многом зависел от силы нажима, позже стали применять искусственные утяжелители. Когда же пиление и сверление было дополнено шлифовкой, древний человек полностью овладел всей технологией обработки камня. Отныне для него не было ничего невозможного - он мог придавать изделию любую желательную форму и при этом грани всегда оставались гладкими и ровными. Существенное отличие шлифовки камня от других способов обработки заключалось в том, что можно было удалять материал очень малыми и ровными слоями, причем одновременно совсей поверхности заготовки. Благодаря этому открылась возможность создавать инструменты правильных геометрических форм с гладкой поверхностью. Шлифовка позволяла обрабатывать материал любой формы, строения и твердости. На ранних этапах заготовку, видимо, просто шлифовали о шершавый камень. Затем между заготовкой и шлифовальным камнем стали подсыпать кварцевый песок. Это заметно ускорило процесс обработки. Наконец, был освоен процесс мокрой шлифовки, когда шлифовальную плиту обильно и часто поливали водой. Таким образом время шлифовки даже очень твердой заготовки сократилось до нескольких часов (так, по наблюдениям Семенова, на изготовление шлифованного топора из нефрита уходило до 25 часов непрерывной работы). Для окончательной отделки и полировки древние мастера в некоторых местах применяли очень мелкий пемзовый порошок, который наносили с помощью кусочка кожи. Искусство полировки доходило до такой высоты, что в некоторых местах практиковалось производство каменных зеркал, вполне пригодных для употребления (на Гавайях такие зеркала делали из базальта, в доколумбовской Мексике - из обсидиана).
Шлифование и полирование явились последними звеньями в длинной цепи истории обработки камня.
Новые приемы обработки позволили человеку освоить более твердые породы камня: нефрит, жадеит, яшму, базальт, диорит и т. д. Эти материалы были более удобны для изготовления инструментов, в которых использовалась сила удара (например, топоров), чем хрупкий кремень. К тому же кремень был совершенно непригоден для сверления и плохо поддавался шлифовке.
1.1 Залегания горных пород
Залегание горных пород (геологические), формы и пространственное положение горных пород в земной коре. Осадочные и метаморфические горные породы залегают обычно в виде слоев или пластов, ограниченных приблизительно параллельными поверхностями. Осадочные породы при ненарушенном первоначальном их залегании располагаются почти горизонтально, реже они имеют первичный наклон в одну сторону или изгибы, обусловленные рельефом той поверхности, на которой отлагались. Нарушения первоначального З. г. п. или их дислокации вызываются двумя причинами: эндогенными, к которым относятся тектоническим движения, и экзогенными, как, например, деятельность поверхностных и особенно грунтовых вод, вызывающих оползни, обвалы, растворение пород и др.
По условиям накопления осадочных горных пород выделяют 3 вида З. г. п.: трансгрессивное залегание, регрессивное залегание и миграционное залегание.
По характеру нарушений различают 3 главные группы З. г. п.: складчатые, или пликатявные (без разрыва сплошности пластов), разрывные, или дизъюнктивные (с разрывом), и формы нарушения, связанные с внедрением (прорывом) магматических масс или высокопластичных пород (соли, гипсы) в ранее образовавшиеся толщи горных пород.
Среди складчатых форм нарушенного З. г. п. выделяются: односторонний наклон пластов под различными углами (моноклинальное залегание), изгибы пластов с образованием складок самых разнообразных размеров и форм (антиклинальные, синклинальные, прямые, косые, опрокинутые и др.). Среди разрывных нарушений выделяются крутопадающие нарушения, вызывающие разрыв сплошности пластов с движением прилегающих блоков пород в вертикальном, горизонтальном либо наклонном направлениях (сбросы, взбросы, сдвиги, раздвиги, надвиги). Крупные, пологонаклонённые или горизонтальные разрывы со смещением на десятки км носят название покровов или шарьяжей. К прорывающим формам З. г. п. в осадочных толщах относятся диапировые складки (складки "с протыкающим пластичным ядром") и складки, возникающие при внедрении магматических расплавов. При наличии разновозрастных комплексов слоев различают 2 основных типа З. г. п.: согласное залегание и несогласное залегание. Эти термины используются для определения стратиграфических и структурных взаимоотношений. Стратиграфическое согласное залегание характеризует непрерывность накопления пород; при стратиграфическом несогласии в осадочных, вулканогенных и метаморфических толщах выпадают отдельные стратиграфические подразделения. При структурном согласном залегании комплексы пород разного возраста залегают друг на друге параллельно и комплекс верхних слоев повторяет формы залегания нижних. При структурном несогласном залегании нижний и верхний комплексы залегают различно, причём основание верхнего комплекса перекрывает различные слои нижнего комплекса, обычно имеющие более крутые углы наклона). Размещение слоев на косо срезанной эрозионными процессами поверхности более древней толщи называется прислонённым залеганием или прилеганием, а заполнение впадин в древнем комплексе пород более молодыми слоями, отложенными быстро наступающим морем, - ингрессивным залеганием.
Магматические горные породы имеют разнообразные формы залегания. Излившиеся на поверхность земли лавы застывают в виде потоков и покровов (эффузивные горные породы); при застывании магмы на небольшой глубине от поверхности земли образуются штоки, жилы, дайки, плитообразные пологие тела (силлы), лакколиты (экструзивные и гипабисальные горные породы). При остывании магмы на значительных глубинах (более 1,5-2 км) образуются штоки и батолиты (интрузивные горные породы). Положение в пространстве отдельных слоев и комплексов определяется измерением т. н. элементов залегания горных пород: направления простирания, направления падения и угла падения. Эти элементы либо замеряются с помощью горного компаса, либо вычисляются путём геометрических построений по данным структурных карт или отметок пластов, вскрытых на глубине буровыми скважинами. Совокупность вопросов, относящихся к З. г. п., изучается структурной геологией.
2. Оборудование для механической обработки камня
Технологический процесс, в результате которого камню придают требуемую форму, размер и фактуру лицевой поверхности, состоит из ряда операций, которые на предприятиях в настоящее время выполняются почти полностью механизированным способом.
Современный технический прогресс позволил камнеобрабатывающей промышленности применять для обработки камня различные методы разрушения горных пород, которые подразделяются на два вида: механические и физико-технические.
Механические методы обработки камня, такие, как скалывание, резание и ударное разрушение, до настоящего времени являются наиболее распространенными. Скалывание применяется для получения строительных изделий с фактурой "Скалы" и производится, как правило, вручную с помощью набора клиньев. При этом используются анизотропные и хрупкие свойства камня. В последнее время в практику все шире внедряются колочные станки относительно простой конструкции, имеющие два стальных ножа, армированных твердосплавным инструментом, приводимых в движение гидравлическими цилиндрами.
При обработке камня методом скалывания достигается несколько видов фактурной обработки, которые подразделяются на следующие группы: фактура рельефной и плоской "Скалы". Первая получается путем скалывания по периметру лицевой поверхности камня закольником и молотком. В процессе обкалывания камню можно придать рельеф различной глубины.
При расколе камня на колочном станке может быть получена менее рельефная фактура "плоской скалы". Рельеф фактуры "Скала" имеет высоту от 50 мм и более; бугристая фактура, характеризующаяся наличием на лицевой поверхности равномерно распределенных бугров и впадин, получаемых от обработки скалывающими инструментами. Эта фактура подразделяется на мелкобугристую с высотой рельефа 3 - 7 мм и крупнобугристую с высотой рельефа 7 - 15мм. Бугристую фактуру получают путем раскалывания камня на колочных станках или обработкой камня шпунтом и узкой скарпелью; рифленая фактура характеризуется наличием параллельных борозд с высотой рельефа от 0,5 до 3 мм и достигается путем обработки распила пород средней твердости троянкой. Рифленая фактура может быть достигнута путем обработки камня на строгальных станках с помощью гребенчатого резца.
Резание - это наиболее современный способ обработки камня. Самое широкое распространение в настоящее время получила обработка камня штрипсовой распиловкой, которая подразделяется на:
- штрипсовую распиловку с применением стальной и чугунной дроби;
- алмазно-штрипсовую распиловку.
Дисковая распиловка сейчас приобретает все более широкое распространение, применяется для распиловки пород любой прочности и подразделяется на два вида:
- алмазно-дисковая распиловка
- дисковая распиловка резцами.
Для отрезания плит используются дисковые фрезы, армированные алмазом или твердым сплавом ВК8, а для получения чистотесанной декоративной поверхности широко применяются торцевые фрезы. Камни шлифуются на станках портального, рукавного, планетарного и других типов. При этом процесс шлифовки состоит из нескольких этапов, как правило, из пяти. Это грубое шлифование, черновое шлифование, первое и второе шлифование и лощение. Шлифование производится шлифовальными шарошками на карборундовом зерне, либо шлифовальным инструментом на синтетических алмазах. Камень полируется войлочными и матерчатыми кругами с применением пасты ГОИ (оксида хрома), либо азотнокислого олова.
В последнее время в практике камнеобрабатывающих предприятий все чаще внедряется полирование алмазными инструментами. При резании камня вышеизложенными методами достигается ряд фактур обработки.
В практике такой фактурной обработки чаще всего встречаются три вида:
- шлифованная, имеющая следы инструмента;
- лощеная, в которой следы инструмента отсутствуют, а поверхность камня имеет слабый блеск;
- полированная, характеризующаяся зеркальным блеском.
2.1 Машины для резки и обработки камня
Массовое применение алмазных абразивных материалов открыло совершенно новые возможности в обработке камня, бетона, кирпичной кладки. До их появления единственным способом придать камню новую форму был способ грубо обколоть его (отбойным молотком или зубилом) и выровнять цементным раствором.
Теперь бетон (и даже гранит) режется, действительно, как масло. Специальное оборудование позволяет прорезать проемы, точно и чисто демонтировать бетон, прорезать швы, резать вплотную к стенам, потолку, полу, под углом, на большую глубину (до 4 метров). Образцы такого оборудования поставляет, например, фирма Hilti. В этой же статье внимание уделено более простому и массовому инструменту, который может найти широкое применение.
Некоторые углошлифовальные машины (имеющие высокие мощность и число оборотов, особую защиту от абразивных частиц) при установке соответствующих дисков могут использоваться для резки камня. Такие характеристики машины существенно отражаются на ее цене и поэтому специально отмечаются изготовителем. При использовании эти машины очень чувствительны к ударам, поэтому, как правило, они имеют направляющие салазки и регулировку глубины пропила. Другой отличающий их признак – наличие хорошей системы пылеотсоса.
Строительные алмазные диски обычно имеют толщину 5–6 мм и характерные прорези для улучшения охлаждения и отвода пыли. В качестве связующего в диске используется бронза или иной мягкий материал. Качество диска в первую очередь определяется размером алмазов и их процентным содержанием в связующем.
При прокладывании желобов в бетоне или кирпиче под трубы и электрическую проводку наиболее эффективен специальный инструмент, называемый бороздоделом или штроборезом. Эти машины представляют собой вариант мощных отрезных машин с двумя дисками и, как правило, возможностью регулировать глубину реза и расстояние между дисками. Их преимущества очевидны – скорость работы дольше в два раза, пазы прямолинейны и аккуратны. Машины используются в строительстве и промышленности строительных материалов.
Вариантом особо мощных отрезных машин являются бензорезы – машины с бензомоторным приводом. Их достоинство – полная автономность и повышенная мощность, недостаток – наличие выхлопных газов. Естественно, что основными производителями бензорезов стали изготовители бензопил, имеющие наработки конструкций надежных, компактных и технически совершенных бензиновых двигателей.
Бензорезы в большинстве своем многофункциональны. Они могут резать асфальт, бетон, гранит, железобетон, кирпич, металлопрокат, керамическую плитку.
GSF-100A – двуручная машина для сухой резки алмазными дисками бетона и камня или прорезания канавок и пазов. Имеет электронные системы ограничения пускового тока и защиты от перегрузок, кнопку фиксации шпинделя, защитный кожух с пылеотсосом, выключатель с возможностью фиксации, опорные салазки, регулировку глубины реза. Ротор защищен сетчатым шнуровым бандажом, защищающим от абразивных частиц, но не мешающим охлаждению. Рекомендуется использовать совместно с пылесосом типа бетоносос Bosch.
GBR-14C – применяется для шлифования поверхностей из бетона, бесшовных и мозаичных полов, мрамора и других видов природного камня, а также для удаления опалубочных швов и излишков бетона, устранения неровностей, снятия выцветшей краски. Имеет чашечный алмазный круг, электронную стабилизацию частоты вращения, систему пылезащиты двигателя, индикатор износа щеток, усиленное уплотнение выходного вала. При работе рекомендуется использовать пылесос.
W1000 и W1700 – универсальные шлифовальные машины. С различными кругами они могут фрезеровать бетонные полы (включая покрытые вечными эпоксидными составами), удалять краску, лаки, шлифовать высококачественный паркет, выполнять полировку и влажную уборку напольных покрытий. С машиной могут использоваться диски шлифовальной бумаги и сетки, металлический шлифовальный круг, металлические щетки, диски с абразивными камнями, с твердосплавными сегментами, с алмазными сегментами, с твердосплавными зубчатыми роликами, полировальные войлочные круги, щетки для уборки помещений.
Несмотря на значительный вес, работать машинами удобно: с помощью длинной регулируемой рукоятки рабочий ведет по полу машину, которая лежит на широком вращающемся диске, при этом вес машины равномерно прижимает рабочий диск к полу. В зависимости от вида работ на рукоятку подвешивается пылеотсасывающее устройство или резервуар для моющей жидкости.
FF-6540 – стеновой алмазный бороздодел (штроборез). Он имеет стандартный набор функций: ограничитель пускового тока, блокировочный предохранительный выключатель, фиксацию шпинделя, регулировку глубины паза, принудительный пылеотсос. Оставшийся материал между ребрами паза удаляется зубилом, входящим в комплект поставки. Инструмент постaвляется в транспортном кофре (контейнере).
Алмазная пила Ryobi
Алмазная пила Ryobi применяется для мокрой резки мрамора и керамической плитки. Имеет сверхчувствительный предохранитель от перегрузки.
Машины для обработки камня
DPC-7001, DPC-9501 – бензорезы. Применяются для резки изделий из металла, бетона, камня, стальных несущих конструкций. Снабжены двухтактным двигателем внутреннего сгорания. Угловая скорость диска до 80 м/с. Имеют топливный бак емкостью 0,8 л, декомпрессионный клапан для обеспечения легкого пуска.
SG-150 – бороздодел (штроборез). Отличается большой глубиной резания при малом весе. Имеет управляющую электронику с оптической индикацией, систему плавного пуска, автоматическое отключение, ограничение пускового тока. Поставляется без алмазных дисков. Максимальный крутящий момент, развиваемый моделью, – 3,3 Нм.
4110 С – специальная отрезная машина: используется в тех случаях, когда недостаточно мощности даже самой большой углошлифовальной машины. Глубина реза регулируется при помощи направляющих салазок (до 75 мм). Имеет патрубок для подключения к пылесосу и регулируемый защитный кожух.
4101 RH – алмазная пила мокрого типа. Благодаря подаче воды в зону резания даже при работе в закрытых помещениях отсутствует выброс пыли. Система наклона опорного столика позволяет резать под углом до 45°, но в этом случае глубина резания сокращается до 21 мм. Имеет бесступенчатое регулирование глубины резания в пределах 0–34 мм, предохранитель утечки тока. Гладкий, без разрезов, край диска пилы предотвращает выкрашивание кромок пропила. Отличается хорошей балансировкой массы.
4105 КВ – применяется для вскрытия швов каменной кладки, резки природного камня, керамической плитки. Имеет встроенную систему защиты от перегрузок, мешок для сбора пыли, патрубок для подключения пылесоса, бесступенчатую регулировку глубины реза.
РС 1100 – машина для шлифовки бетона с помощью алмазного круга чашеобразной формы. Применяется для зачистки и закругления кромок, устранения неровностей на лицевых бетонных поверхностях, для отделки лицевых поверхностей из облицовочного бетона. Арматура и другие металлические включения в бетоне сошлифовываются без повреждения диска. Машина надежно опирается на большие салазки и передний опорный ролик.
Бороздоделы
Бороздоделы имеют патрубок для пылеудаления 32 мм, регулировку глубины реза и зазора между дисками. Другой камнеобрабатывающий инструмент Hitachi – пила по бетону, обеспечивающая резку материалов алмазным диском 305 мм. Она имеет систему плавного пуска, дополнительную дугообразную рукоятку, как у бензопилы.
Бензорезы
Благодаря мощному бензомотору они не зависят от электрической сети и применимы практически всюду, например, в дорожном и подземном строительстве, в работе спасательных служб и в садоводстве. Применяются с ходовой тележкой, имеющей ограничитель глубины резания. Используемые абразивные круги выполнены на углеродно-волокнистой связке для обработки камня, стали и асфальта. Алмазный круг предназначен для обработки бетона, камня и асфальта.
Особенности моделей
TS-400 – компактный высокооборотный бензорез. Имеет антивибрационную систему, блокировку двигателя, электронную систему зажигания, полноценную тройную систему очистки воздуха с компенсатором засорения фильтра, полуавтоматическую систему регулировки натяжения приводного ремня, пылезащищенный стартовый механизм, облегченную систему старта Elastostаrt, декомпрессионный клапан, переходник для подачи воды. Рукоятки модели расположены близко друг к другу, что позволяет удобно работать даже в труднодоступных местах.
Бензорезы
Модели оборудованы трехступенчатой системой фильтрования воздуха (центробежная очистка, трехслойный промасленный фильтр из пенорезины, большой бумажный фильтр-дублер). Встроенная компенсация воздушного фильтра обеспечивает двигателю необходимую топливную смесь даже при засорении фильтра.
Электронный ограничитель оборотов защищает двигатель от перегрузок. Приводной ремень бензорезов – замкнутый, что снижает его износ. Все внутренние поверхности, а также подшипник муфты сцепления, автоматически смазываются под давлением маслом, находящимся в топливной смеси. Конструкция кожуха приводного ремня при сухой резке защищает его от пыли, а при мокрой – от проскальзывания.
Несмотря на большую мощность, благодаря применению декомпрессионного клапана модели запускаются очень легко. Малая масса по отношению к мощности, узкий корпус и отработанная система гашения вибраций делает эти модели очень удобными в работе.
При необходимости бензорезы размещаются на специальной тележке, которая упрощает транспортировку, обеспечивает регулировку глубины резания, может нести на себе бачок для воды (15 л) для мокрой резки. Конструкция тележки позволяет применять бензорез даже у стен и кромок.
Бороздоделы
Бороздоделы Atlas Copco имеют высокопроизводительный двигатель с защитой от перегрузки, блокировку шпинделя, ограничитель пускового тока для обеспечения плавного пуска.
DME-65 – по своим характеристикам (мощности, глубине и ширине реза, надежности конструкции) относится даже не к профессиональному, а к промышленному классу. Модель хороша для выполнения крупных пазов под установку труб и других коммуникаций. Имеет особо мощный двигатель, осевое вращение привода для удобства штробления в углах, плавную регулировку глубины и ширины реза.
Бороздодел и отрезные машины
DC SE 20 – отличается своеобразной компоновкой: почти симметричной прямоугольной формой с двумя равными рукоятками. Машина опирается на направляющие колеса. Удобные рукоятки и почти 2 киловатта мощности обеспечивают устойчивое и ровное перемещение машины. Модель имеет систему ограничения пускового тока, блокировку шпинделя при замене дисков, регулировку ширины и глубины реза, патрубок для подключения внешнего пылеотсоса.
DC-125S, DC-230 – отрезные углошлифовальные машины. Имеют систему смены диска без ключа, быстроустанавливаемый защитный кожух с ограничителем глубины резки, блокировку случайного включения, патрубок для подключения внешнего пылеотсоса.
2.2 Общая характеристика камнеобрабатывающих машин и инструментов
Для обработки декоративного камня используются различные машины и применяются разнообразные инструменты, обеспечивающие преимущественно механизированное изготовление каменных изделий.
Машиной называется сочетание механизмов или устройств, выполняющих определенные целесообразные действия для преобразования энергии или информации, а также для производства полезной работы. В соответствии с этим определением обычно выделяют три основные группы машин: машины-двигатели, вычислительные и рабочие.
Машины-двигатели преобразуют один вид энергии в другой. К ним относятся, например, двигатели внутреннего сгорания, электродвигатели и турбины. Цифровые и аналоговые вычислительные машины служат для преобразования информации. Рабочие машины преобразуют энергию в конкретную работу, в результате которой изменяются свойства, форма, положение и состояние объектов труда.
Каждая рабочая машина имеет устройства управления и состоит из трех основных механизмов (рис. 8): двигателя, передаточного механизма и исполнительного (рабочего) органа.
Исполнительный орган является главной частью любой рабочей машины. В зависимости от состава этого механизма определяются технологические возможности, степень универсальности и наименование машины (фрезерный или шлифовальный станок, станок для бучардовки и т. д.).
В любой рабочей машине процесс обработки осуществляется без непосредственного участия человека, так как рабочим орудием управляет сама машина. Машину, имеющую корпусное основание (станину), обычно называют станком.
Камнеобрабатывающие машины входят в группу рабочих машин. К ним относятся распиловочные, фрезерно-окантовочные и шлифовально-полировальные станки, соответствующие основным технологическим процессам обработки камня резкой при помощи абразивных материалов и инструментов. Кроме того, к группе рабочих машин можно отнести станки и установки для ударной и термической обработки.
Рабочим органом большинства камнеобрабатывающих станков является шпиндель с насаженным на нем инструментом. Шпиндель представляет собой вращающийся вал с устройством для закрепления инструмента. Название его произошло от немецкого слова, которое в буквальном переводе означает веретено. Элементы станка, объединенные шпинделем, образуют шпиндельную группу. Подвижную шпиндельную группу обычно называют суппортом или кареткой.
Суппорт, название которого произошло от латинского слова «суппорто» — подвожу, поддерживаю, несет закрепленный инструмент и обеспечивает его установку и передвижение относительно обрабатываемого изделия. С изобретением суппорта инструмент перешел из рук рабочего к механизму. Самоходный суппорт положил начало современным металлорежущим, а также камнеобрабатывающим станкам с развитым исполнительным механизмом.
Кроме шпинделя, в конструкцию камнеобрабатывающих станков непременно входят станина, главный привод и станочная тележка или стол.
Вращение на шпиндель передается от двигателя системой передачи, которая может состоять лишь из прямого муфтового соединения шпинделя с двигателем или же включать редукторы (механизмы, изменяющие скорость вращения), промежуточные валы, блоки шестерен и другие сравнительно сложные устройства. Взаимная связь отдельных элементов станка и его работа изображается на кинематической схеме.
Одним из основных показателей станка, характеризующих эффективность его работы, является производительность, т. е. количество готовой продукции или заготовок, изготовленных на данном станке в единицу времени. Различают производительность технологическую (за чистое время работы станка без перерывов) и эксплуатационную (фактическую), при определении которой учитываются установленные практикой перерывы в работе.
Инструменты для ударной обработки изготовляют из углеродистой инструментальной стали. Рабочая часть инструментов, предназначенных для обработки твердых пород камня, армируется твердыми сплавами, износостойкость которых в 15—50 раз выше, чем у лучших марок инструментальных сталей.
Классификация машин и инструментов
Камнеобрабатывающие машины могут быть классифицированы по многим признакам, из которых обычно выделяют характер воздействия рабочего инструмента на камень, назначение машины, условия ее работы, конструктивное выполнение и массу машины.
По характеру воздействия рабочего инструмента на камень машины могут быть подразделены на станки и механизмы для абразивной обработки (резкой, шлифовкой), ударной и термической обработки камня.
По назначению машины для абразивной обработки подразделяют на три большие группы: распиловочные, фрезерно-окантовочные и шлифовально-полировальные, каждая из которых в свою очередь может быть разделена по этому же признаку на более мелкие группы. Так, одни станки предназначены только для обработки плит, другие для производства профильных элементов, третьи — для изготовления предметов народного потребления и т. д.
По условиям работы машины подразделяются на передвижные или переносные и на стационарные. Стационарные станки по массе разделяются на легкие, средние и тяжелые. По конструктивному выполнению различаются портальные, мостовые, консольные и конвейерные станки.
Разнообразные инструменты, применяемые при ударной и термической обработке камня, могут быть разделены по принципу действия на три основных вида: ручные ударные, пневматические и термические. В зависимости от назначения они делятся на инструменты для приближенной и для точной обработки камня.
Одноименные ручные инструменты различаются по форме, массе, размерам и т. д. Так, клинья могут быть простые или составные (со щечками). Простые клинья разделяются на прямоугольные и круглые, а составные — на призматические и конические. Закольники делятся на одноручные массой до 5 кг и на двуручные массой свыше 5 кг. Ручная скарпель отличается от скарпели для рубильного молотка формой хвостовика и т. д.
Одноименные пневматические (перфораторы, рубильные и отбойные молотки) и термические (терморезаки и термоотбойники) инструменты различаются между собой по массе и размерам, по производительности, а также по расходу сжатого воздуха и горючего.
2.3 Современные способы обработки природного камня
Современная камнеобрабатывающая промышленность применяет для обработки камня различные методы разрушения горных пород, которые подразделяют на два вида: механические и физико-механические.
Механические методы обработки камня, такие как скалывание, резание и ударное разрушение, до настоящего времени являются наиболее распространенными.
При обработке камня скалыванием достигаются:
— фактура рельефной и плоской «скалы». Первую получают путем скалывания по периметру лицевой поверхности камня закольниками или молотком. В процессе обкалывания камню можно придать рельеф различной глубины. При расколе камня на колочном станке может быть получена менее рельефная фактура «плоской скалы»;
— бугристая фактура, характеризующаяся наличием на лицевой поверхности равномерно распределенных бугров и впадин, получаемых от обработки скалывающими инструментами (шпунтом или узкой скальпелыо) или путем раскалывания камня на колочных станках;
— рифленая фактура, характеризуемая наличием параллельных борозд с высотой рельефа от 0,5 до 3 мм. Она достигается путем обработки распила пород средней твердости троянкой или обработкой камня на строгальных станках с помощью гребенчатого резца.
Резание — наиболее распространенный современный способ обработки камня. Оно производится штрипсовой, дисковой или канатной распиловкой.
Штрипсовая распиловка подразделяется на распиловку с применением стальной и чугунной дроби и алмазно-штрипсовую распиловку.
Дисковая распиловка приобретает все более широкое распространение для обработки пород любой твердости и подразделяется на алмазно-дисковую распиловку и дисковую распиловку резцами.
Канатная распиловка получила распространение для резания пород разной твердости. Ее развитие идет в трех направлениях: канатная распиловка с помощью абразива, алмазно-канатная распиловка и распиловка канатами, армированными твердосплавными шайбами. При обработке мягких пород и пород средней твердости иногда используют обработку камня строганием на специальных станках с использованием твердосплавных резцов, а также точение камня на токарных станках при производстве изделий цилиндрической и других сложных поверхностей вращения.
Для отрезания плит используют дисковые фрезы, армированные алмазом или твердым сплавом, а также торцевые фрезы.
Камни шлифуются на станках портального, планетарного и других видов. Как правило, процесс шлифовки включает пять этапов: грубое шлифование, черновое шлифование, первое и второе шлифование и лощение. Шлифуют камень шлифовальными шарошками на карборундовом зерне либо шлифовальным инструментом на синтетических алмазах.
Камень полируется войлочными или матерчатыми кругами с применением различных паст или полировальным алмазным инструментом.
В практике производства тесаных изделий наиболее широко используется ударное разрушение камня, производимое в основном вручную с помощью клиньев, закольников, скарпелей, бучард, шпунтов, троянок и пневмомолотов, т.е. так называемые классические методы ударной обработки. Из вышеперечисленных наиболее распространенным является бучардирование камня, выполняемое ручными бучардами, пневмобучардами и пневмокиянками с 25, 36, 64 и 100 зубьями. Чаще всего этим методом готовят ступени, бордюры, устои мостов, основания памятников и др., где достигается точечная фактура обработки.
В промышленности достойное место начинает занимать ультразвуковая декоративная обработка камня в абразивной среде. Процесс обработки протекает медленно, но характеризуется высокой точностью.
В камнеобработке ультразвуковые колебания используют: — в целях раскрытия естественной фактуры распиленных и шлифованных плит без полировки. При этом ультразвуковое поле создается в жидкой среде;
—для интенсификации существующих технологических процессов путем наложения ультразвуковых колебаний на камнеобрабатывающий инструмент;
—для ультразвуковой размерной сложно-профильной обработки в абразивной среде.
Вибрационное, или ударно-силовое, резание (динамическое скалывание) основано на использовании колебательных движений резцового инструмента с амплитудой 1,5-2 мм и частотой 30-50 Гц. Высокоэффективным считается виброрезание при вертикальном шахматном расположении лопаточных резцов на держателях.
Среди физико-технических методов обработки камня уже нашел широкое применение метод обработки камня термореактивными газовыми горелками бензино-воздушного и керосиново-кислородного типов.
Бензино-воздушные термоотбойники применяют для изготовления архитекруно-строительных деталей и монументов из пород высокой крепости. Использование термоотбойников повышает производительность и улучшает условия труда, снижая при этом себестоимость продукции.
Обработка камня токами высокой частоты наиболее пригодна для приготовления блоков-заготовок в производстве ступеней, бордюра, парапета и др. Используют высокочастотные колебания с частотой до 20 МГц. Разрушение пород токами высокой частоты совершенствуется и имеет большую перспективу.
Оригинальное решение по камнеобработке представляет плазменное разрушение пород кристаллической структуры. Вытекающая из плазмотрона струя со скоростью до 1000 м/с и с температурой до 2400°С практически режет камень.
Обработка камня лазерами проводится в направлении полного разрушения горной породы или ее ослабления для последующего разрушения горной породы механическими способами. Квантовыми генераторами практически можно эффективно разрушать любую горную породу, придавая ей при обработке любую форму.
Перспективен способ обработки камня высокоскоростной водяной струей, подаваемой под давлением более 10 МПа через сопло диаметром в несколько миллиметров. За счет кинетической энергии струя прорезает за один проход камень на глубину до 4 см. Если сочетать водные струи с электрогидравлическим эффектом (пульсация струи до 300-3000 импульсов в минуту), то можно эффективно разрушить породу любой прочности.
3. Исследование горных пород
В настоящее время при инженерных изысканиях широкое применение получили методы статического и динамического зондирования. Это очень простые методы исследований преимущественно песчаных и глинистых пород, дающие широкую информацию об их плотности, прочности, деформационных свойствах и однородности. Кроме того, с помощью этих методов можно устанавливать изменение геологического разреза по глубине, выявлять глубину залегания и мощность слабых слоев и зон плотных, прочных и коренных пород, а также изменение степени уплотнения, и упрочнения искусственно отсыпанных или намытых пород во времени. Методы зондирования позволяют получать необходимые данные для проектирования и оценки условий строительства свайных фундаментов, шпунтовых ограждений и других видов строительных работ.
Опыты состоят в надавливании или забивании в горные породы зонда с коническим наконечником (редко грунтоноса-пробоотборника). При статическом зондировании зонд задавливается в породы, при динамическом - забивается. По тем сопротивлениям, которые оказывают горные породы проникновению в них зонда, судят об их плотности, прочности и других свойствах. Естественно, что такие исследования горных пород не являются достаточно точными, они дают предварительные, главным образом приближенные представления об их свойствах. При сочетании методов зондирования с другими видами геологических работ, результативность их, т.е. точность и достоверность, значительно повышаются.
Статическое и динамическое зондирование - это полевые экспресс - методы, для интерпретации результатов которых на предварительных стадиях изысканий их надо обязательно сочетать с разведочными работами- геофизическими и горно-буровыми, а на детальных - использовать в качестве дополнительных с целью повышения детальности изысканий в целом и решения специальных вопросов (например, при проектировании свайных фундаментов и др.).
ГОСТ 20069-74 и 19912-74 и «Указания по зондированию горных пород для строительства» (СН 448-72) рекомендуют при инженерных изысканиях для конкретных зданий и сооружений зондирование производить в пределах их контуров или не более чем в 5 м от них. Для получения сопоставимых данных часть точек зондирования рекомендуется располагать на расстояниях не более 5 м от разведочных выработок, из которых производят отбор монолитов горных пород для лабораторных исследований и выполняют другие полевые исследования. Практика показывает, что данные зондирования необходимо рассматривать совместно с данными, получаемыми при бурении скважин и проходке горных выработок. Этого требуют ГОСТ 20069-74 и 19912-74. Глубину зондирования определяют исходя из необходимости исследования определенной толщи горных пород как оснований зданий и сооружений. Предельная глубина зондирования не должна превышать 20-и. Область применения статического и динамического зондирования в зависимости от вида и физического состояния горных пород регламентируется данными, приведенными в табл.1.
Таблица 1.
Область применения статического и динамического зондирования по СН 448-72
|
Вид и физическое состояние горных пород |
Способ зондирования |
|
|
статический |
динамический |
|
|
Песчаные: крупно-, средне-, мелко- и тонкозернистые влажные и и маловлажные; крупно-, средне-, мелкозернистые водоносные; |
Допускаются |
|
|
тонкозернистые пылеватые водоносные |
Допускается |
Не допускается* |
|
Глинистые (супеси, суглинки и глины): твердой, полутвердой и тугопластичной консистенции; |
Допускаются |
|
|
мягкопластичной, текучепластичной и текучей консистенции |
Допускается |
Не допускается* |
|
Песчаные и глинистые с содержанием крупнообломочного материала |
Не допускаются |
|
|
при более 25% |
при более 40% |
|
|
Песчаные водоносные |
При определении динамической устойчивости |
|
|
Не допускается* |
Допускается |
|
|
Все виды горных пород в мерзлом состоянии |
Не допускаются |
|
|
Скальные и полускальные |
||
|
Крупнообломочные |
Допускается по специально разработанной методике при проведении экспериментальных работ.
При статическом зондировании основными показателями свойств горных пород являются:
а) общее сопротивление зондированию Rобщ, кгс;
б) сопротивление погружению конуса Rкон кгс/см2;
в) удельное сопротивление погружению конуса Rуд. кон, кгс/см2;
г) сопротивление трению по боковой поверхности зонда Rтр, кгс/см2.
Общее сопротивление горных пород — это то сопротивление, которое они оказывают проникновению зонда. Оно равно тому усилию (кгс), которое передается зонду гидравлическим домкратом или весом груза.
При использовании современных гидравлических установок оно равно
Rобщ = pFц,
где p — показание манометра, отражающее давление в цилиндре гидравлического домкрата, кгс/см2; Fц — площадь поршня гидравлического домкрата, см2.Часть усилий, расходуемых на вдавливание зонда, расходуется на преодоление сил трения между зондом и породой. Если исключить эти сопротивления, получим сопротивление горных пород, оказываемое непосредственно проникновению конуса, т. е. сопротивление погружению конуса Rкон.
Rкон = Rобщ – Rтр.
Современные установки для статического зондирования позволяют производить измерение общего сопротивления зондированию по показаниям манометра, а сопротивления проникновению конуса — по показаниям динамометра и индикаторов часового типа.
Удельное сопротивление статическому зондированию конусом равно
Rуд = Rкон / Fк ,
где Fк - площадь поперечного сечения конуса, см2.
Удельное сопротивление - это сопротивление горных пород проникновению конуса, приходящееся на единицу его поперечного сечения. Международными конгрессами по механике грунтов и фундаментостроению (IV в 1957 г. в Лондоне и V в 1961 г. в Париже) было рекомендовано использовать для статического зондирования конус диаметром 36 мм, площадью 10 см2, с углом при вершине 60°.
Сопротивление горных пород трению по боковой поверхности зонда равно
Rтр = Rобщ – Rкон
Современные конструкции установок для статического зондирования позволяют измерять либо общее сопротивление горных пород и сопротивление их погружению конуса, либо сопротивление проникновению конуса и величину трения по боковой поверхности зонда.
При динамическом зондировании горных пород основными показателями являются: а) показатель динамического зондирования N; б) глубина погружения зонда от определенного числа ударов стандартного молота S (это число ударов принято называть залогом); в) условное динамическое сопротивление горных пород Rд, кгс/см2 (по ГОСТ 19912-74 обозначается pд, т. е. не так, как оно обозначается международными индексами).
Показателем динамического зондирования принято называть число ударов молота, необходимое для погружения зонда на определенную глубину. В нашей стране эта глубина принята равной 10 см. Отсюда показатель динамического зондирования равен
N = 10n / S ,
где n — число ударов в залоге; S — глубина погружения зонда от принятого числа ударов молота в залоге.
Показатель динамического зондирования зависит не только от сопротивления, оказываемого горными породами проникновению зонда, но и от сил трения, развивающихся по боковой поверхности зонда при его погружении, и от увеличения его веса с глубиной. Поэтому при обработке результатов испытаний вводят соответствующие поправки на боковое трение пород и на увеличение веса зонда. Эти поправки приводятся в методических руководствах.
Основным показателем свойств горных пород при динамическом зондировании считается условное динамическое сопротивление горных пород Rд. Только этот показатель предлагается ГОСТ 19912—74 и «Указаниями по зондированию горных пород для строительства» (СН 448—72). Его вычисляют по формуле
Rд = KП0Фn / S ,
где K — коэффициент для учета потерь энергии при ударе, определяемый по специальной таблице; П0 — коэффициент для учета влияния применяемого оборудования, определяемый по специальной таблице; Ф — коэффициент для учета трения штанг о горные породы, определяемый по данным двух испытаний, в одном из которых зондирование производится в процессе бурения; n — число ударов в залоге; S — глубина погружения зонда от принятого числа ударов молота в залоге.
Для статического и динамического зондирования применяют разнообразные установки и станки. Наиболее часто используют установки конструкции ГПИ Фундаментпроект марки С-979, БашНИИ-промстроя марки С-832 и ВСЕГИНГЕО марки СПК. Известны установки конструкции и других организаций.
Пористость горных пород
Пористость горных пород, совокупность пустот (пор), заключённых в горных породах. Количественно П. г. п. выражается отношением объёма всех пор к общему объёму горных пород (в долях единицы или процентах). Поры в горных породах по величине принято делить на субкапиллярные (менее 0,2 мк), капиллярные (0,2—100 мк), сверхкапиллярные (более 100 мк).
По форме поры могут быть различного типа — пузырчатые, каналовидные, щелевидные, ветвистые и т.п. Форма и размер отдельных пор и их взаимная связь определяют геометрию порового пространства пород.
Различают П. г. п. общую (или абсолютную, физическую, полную) — совокупность всех пор, заключённых в горных породах; открытую (насыщения) — объём связанных (сообщающихся) между собой пор; закрытую — совокупность замкнутых, взаимно не сообщающихся пор. В нефтяной геологии выделяют также эффективную П. г. п., т. е. совокупность пор, занятых нефтью, газом, и динамическую П. г. п. — объём пор, через которые при определённых давлении и температуре происходит движение насыщающих жидкостей или газов; она всегда меньше общей П. г. п.
Наиболее высокая П. г. п. свойственна почвам и рыхлым осадкам — пескам, глинам и др. (до 60—80% и более). Осадочные и вулканогенные горные породы (песчаники, известняки, лавы, туфы и др.) характеризуются большим диапазоном значений пористости (от 50 до 10% и менее). Магматические и метаморфические породы обладают, как правило, малой пористостью (0,1—3%). С возрастанием глубины залегания пород П. г. п. обычно уменьшается (особенно осадочных) и на больших глубинах может иметь очень малые значения.
В лабораторных условиях П. г. п. определяется методами свободного, вакуумного (под вакуумом) и принудительного (под давлением) насыщения горных пород жидкостью, а также методами, основанными на расширении газа, и др. В полевых условиях для оценки величины П. г. п. используются различные виды каротажа скважин. Результаты изучения П. г. п. используются для подсчёта запасов полезных ископаемых (например, нефти и газа), выборе технологии разработки полезных ископаемых и др.
Проницаемость пород и ее распределение
Характер движения нефти или газа к забою добывающей скважины определяется двумя основными факторами: физико-химическими свойствами этих углеводородов; структурой порового пространства среды – коллектора, в которой они распространяются.
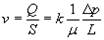
Для описания течения углеводородов с учетом этих факторов, наряду с другими характеристиками, вводится понятие проницаемости горной породы, характеризующей ее способность пропускать жидкости и газы. Для оценки проницаемости пород обычно пользуются законом фильтрации Дарси, согласно которому скорость фильтрации (просачивания) жидкости в среде пропорциональна градиенту давления и обратно пропорциональна ее динамической вязкости :

Перепишем эту формулу в скалярной форме для одномерной задачи. Для этого выделим образец породы длиной , и предположим, что ее фильтрационные свойства одинаковы по всей длине. Тогда имеем
,
(1.1)
где - скорость линейной (плоскопараллельной) фильтрации, - объемный расход жидкости в единицу времени, - площадь фильтрации, - перепад давления на выделенном участке пористой среды. Коэффициент пропорциональности в (1.1) называется коэффициентом проницаемости:
.
(1.2)
Величина имеет размерность площади, и в системе СИ измеряется в :
.
Совокупность результатов, приведенных в [1] для проницаемостей пород, приводятся в табл. 1. Здесь еще раз отметим, что данные, приведенные в этой таблице, выбраны в качестве объекта для анализа из-за важности рассматриваемой характеристики. В силу специфики представления материала, в [1] отсутствует ссылка на первоисточники этой таблицы. Не понятно также, являются ли эти результаты обобщением различных данных, полученных разными авторами, или же они относятся к конкретному месторождению. В последнем случае, общие рассуждения, которые приводятся ниже, могли бы представлять некоторый практический интерес. Перейдем теперь к описанию характеристик, приведенных в табл. 1:
i – номера интервалов, на которые разбивается весь наблюдаемый диапазон значений проницаемостей. Число таких интервалов в табл. 1 равно 10.
Ni – число пород, проницаемости которых лежат в i - том интервале. Общее число исследованных пород составляет
.
pi – относительное число пород,
проницаемости которых попадают в i- тый
интервал:
,
величина
равна
относительной доле образцов с выделенной
проницаемостью. На языке математической
статистики
есть
вероятность того, что проницаемость
одной случайно выбранной породы из
тысячи, попадет в интервал проницаемостей
шириной
.
Таблица 1
|
i |
Интервал проницаемостей (мкм2) |
Ni |
Pi |
|
1 |
0 – 0,2 |
4 |
0,004 |
|
2 |
0,2 – 0,4 |
126 |
0,126 |
|
3 |
0,4 – 0,6 |
230 |
0,230 |
|
4 |
0,6 – 0,8 |
260 |
0,260 |
|
5 |
0,8 – 1,0 |
130 |
0,130 |
|
6 |
1,0 – 1,2 |
120 |
0,120 |
|
7 |
1,2 – 1,4 |
50 |
0,050 |
|
8 |
1,4 – 1,6 |
30 |
0,030 |
|
9 |
1,6 – 1,8 |
30 |
0,030 |
|
10 |
1,8 - 2,0 |
20 |
0,020 |
3.1 Физико-механические свойства горных пород
Основные свойства горных пород можно подразделить на следующие две группы:
1. Физические свойства — плотность, пористость, влагоемкость, теплопроводность, проводимость звука, электрического тока и др.
2. Механические свойства — прочность, упругость, пластичность, крепость, твердость, контактная прочность, абразивность.
Наибольшее влияние на конструкцию бурильных и горных машин оказывают механические свойства горных пород. Прочность — одно из основных механических свойств горных пород, она характеризует их способность в определенных условиях воспринимать те или иные силовые воздействия, не разрушаясь. Критериями прочности являются временные сопротивления одноосному сжатию (ОСЖ), растяжению (0>р>), сдвигу (т). Наибольшее сопротивление горные породы оказывают сжатию, меньшее — сдвигу и наименьшее — растяжению.
Упругость - свойство горной породы восстанавливать свои первоначальные форму и объем по прекращению действия внешних сил. Упругие свойства характеризуются модулем упругости и коэффициентом Пуассона.
Пластичность в противоположность упругости - свойство породы сохранять остаточную деформацию после прекращения действия внешних сил.
Крепость - способность породы сопротивляться разрушению от действия внешних сил при различных технологических процессах разрушения (бурение, резание, взрывание и др.). Крепость зависит от прочности, твердости, вязкости, упругости, минералогического состава и структуры породы, трещиноватости и других факторов. Впервые необходимость совокупной количественной оценки сопротивляемости пород разрушению для целей ведения горных работ была обоснована проф. М.М. Протодьяконовым (старшим), создавшим известную шкалу относительной крепости горных пород. За единицу крепости (F = 1) была выбрана порода с временным сопротивлением одноосному сжатию, равным 10 МПа, при раздавливании на прессе породного кубика; а все горные породы разделены на десять категорий: с коэффициентом крепости от F = 20 для первой категории (наиболее крепкие, плотные и вязкие кварциты и базальты и др.) до F =0,3 для десятой категории (плывуны, разжиженный грунт и др.).
3.2 Способы обработки природного камня
Технологический процесс, в результате которого камню придают требуемую форму, размер и фактуру лицевой поверхности, состоит из ряда операций, которые на предприятиях в настоящее время выполняются почти полностью механизированным способом.
Современный технический прогресс позволил камнеобрабатывающей промышленности применять для обработки камня различные методы разрушения горных пород, которые подразделяются на два вида: механические и физико-технические.
Механические методы обработки камня, такие, как скалывание, резание и ударное разрушение, до настоящего времени являются наиболее распространенными. Скалывание применяется для получения строительных изделий с фактурой "Скалы" и производится, как правило, вручную с помощью набора клиньев. При этом используются анизотропные и хрупкие свойства камня. В последнее время в практику все шире внедряются колочные станки относительно простой конструкции, имеющие два стальных ножа, армированных твердосплавным инструментом, приводимых в движение гидравлическими цилиндрами.
При обработке камня методом скалывания достигается несколько видов фактурной обработки, которые подразделяются на следующие группы: фактура рельефной и плоской "Скалы". Первая получается путем скалывания по периметру лицевой поверхности камня закольником и молотком. В процессе обкалывания камню можно придать рельеф различной глубины.
При расколе камня на колочном станке может быть получена менее рельефная фактура "плоской скалы". Рельеф фактуры "Скала" имеет высоту от 50 мм и более; бугристая фактура, характеризующаяся наличием на лицевой поверхности равномерно распределенных бугров и впадин, получаемых от обработки скалывающими инструментами. Эта фактура подразделяется на мелкобугристую с высотой рельефа 3 - 7 мм и крупнобугристую с высотой рельефа 7 - 15мм. Бугристую фактуру получают путем раскалывания камня на колочных станках или обработкой камня шпунтом и узкой скарпелью; рифленая фактура характеризуется наличием параллельных борозд с высотой рельефа от 0,5 до 3 мм и достигается путем обработки распила пород средней твердости троянкой. Рифленая фактура может быть достигнута путем обработки камня на строгальных станках с помощью гребенчатого резца.
Резание - это наиболее современный способ обработки камня. Самое широкое распространение в настоящее время получила обработка камня штрипсовой распиловкой, которая подразделяется на:
- штрипсовую распиловку с применением стальной и чугунной дроби;
- алмазно-штрипсовую распиловку.
Дисковая распиловка сейчас приобретает все более широкое распространение, применяется для распиловки пород любой прочности и подразделяется на два вида:
- алмазно-дисковая распиловка
- дисковая распиловка резцами.
Для отрезания плит используются дисковые фрезы, армированные алмазом или твердым сплавом ВК8, а для получения чистотесанной декоративной поверхности широко применяются торцевые фрезы. Камни шлифуются на станках портального, рукавного, планетарного и других типов. При этом процесс шлифовки состоит из нескольких этапов, как правило, из пяти. Это грубое шлифование, черновое шлифование, первое и второе шлифование и лощение. Шлифование производится шлифовальными шарошками на карборундовом зерне, либо шлифовальным инструментом на синтетических алмазах. Камень полируется войлочными и матерчатыми кругами с применением пасты ГОИ (оксида хрома), либо азотнокислого олова.
В последнее время в практике камнеобрабатывающих предприятий все чаще внедряется полирование алмазными инструментами. При резании камня вышеизложенными методами достигается ряд фактур обработки.
В практике такой фактурной обработки чаще всего встречаются три вида:
- шлифованная, имеющая следы инструмента;
- лощеная, в которой следы инструмента отсутствуют, а поверхность камня имеет слабый блеск;
- полированная, характеризующаяся зеркальным блеском.
Заключение
Существует две технологии обработки камня - термическая и механическая.
Термическая обработка камня производится под воздействием высоких температур и давления.
Механическая обработка камня производится с использованием оборудования с абразивными инструментами.
В результате обработки фактуры получают совершенно различную поверхность.
Пиленая поверхность после обработки камня используется для садовых дорожек, а с менее шероховатой поверхностью используется для покрытия лестниц или опасных участков. Камень с лощеной поверхностью выглядит гладким и может использоваться также при отделке пола помещений или наружных работ. Но самым гладким и зеркальным считается полированный камень, который используется для декоративных украшений и внутренней отделки стен и потолка.
По сложности обработки, камни делятся на мягкие и твердые.
Те из них, которые можно отнести к мягким - обрабатываются инструментом для обработки изделий из металла. А вот для твердых камней (например, гранит) применяется специальное высокопрочное оборудование. Такая техника обработки заключается в том, что камень разрезают на части, затем придают ему форму, шлифуют и полируют.
Использованная литература
1) Романова Л.Ф. Современное ювелирное искусство. – М.: 1994
2) Шуман В. «Мир камня» Т. 1 «Горные породы и минералы».
3) Поленов, Ю.А. Художественная обработка камне-самоцветного сырья
4) Митрофанов Г.К., Шпанов И.А., Облицовочные и поделочные камни СССР, М., 1970
5) К.А. Лазебник ”Все или почти все о чароите”, “Наука и образование”, №1(5), 1997, Якутск. С.100-103.
6) К.А. Лазебник “Чароит- камень загадка”, “Наука в СССР” №5, М.1985.
7) Л.П. Путолова “Самоцветы и цветные камни” М. “Недра” 1991
8) Дж. Синкенкес “Руководство по обработке драгоценных и поделочных камней” пер. с англ. В.Л. Булгака. М. “Мир” 1989.
9) Синкенкес Дж. Руководство по обработке драгоценных и поделочных камней: Пер. с англ.-М.: Мир, 1989, стр. 409.
10) Васильев А.В. Оптимизация формы огранённого камня как путь к совершенствованию его красоты. Вестник Геммологии №2(5), 2002, стр. 33 - 41.
11) Волкова О. Мастера камня // Свердловск: Сб. — Свердловск: Свердгиз, 1946.
12) Граматчиков. Исторические и практические сведения о Екатеринбургской шлифовальной фабрике и мраморном Горнощитском заводе // Горный журнал. — 1827. — № 3.
13) Евстифеев Н. Камнерезное искусство // Уральский современник. — 1944. — № 8.
14) Жидков Г. В. Русское искусство XVIII века. — М., 1951.
История русской архитектуры: Краткий курс. — М., 1951.
15) Колыванская шлифовальная фабрика на Алтае: Краткий исторический очерк, составленный к 100-летию фабрики, 1802—1902 гг. — Барнаул, 1902.
16) Мельников М. Обработка цветных камней в Екатеринбурге: Современное состояние этого промысла и его будущее // Горный журнал. — 1885. — Т. 2.
17) Ферсман А. Е. Из истории культуры камня в России. — М., 1926.