Механика грунтов (работа 1)
Строительная площадка №16
План М 1:1000

Таблица результатов определения физических характеристик грунта
|
Образец грунта |
Глубина взятия образца |
Гранулометрический состав |
Граница пластичности |
Уд. вес γs част. кН/м3 |
Уд. вес γ. кН/м3 |
Влажность, W, % |
Коэф. фильтрации К, см/сек |
Угол внут. трения γ, град |
Коэф. сжим. m, кПа |
Уд. сила сцеп. С, кПа |
|||||
|
>2,0 |
2,0 0,5 |
0,5 0,25 |
0,25 0,10 |
<0,1 |
W>L> |
Wр |
|||||||||
|
1 |
2,0 |
0 |
0 |
10,0 |
40,0 |
44,0 |
32 |
25 |
26,4 |
18,5 |
30,8 |
1,1· 10-5 |
14 |
5,1· 10-4 |
5,0 |
|
2 |
5,0 |
4,0 |
5,0 |
8,0 |
18,0 |
35,0 |
22 |
14 |
27,0 |
22,0 |
14,1 |
1,1· 10-5 |
21 |
0,8· 10-4 |
7,0 |
|
3 |
10,0 |
2,0 |
22,0 |
32,0 |
24,0 |
20,0 |
- |
- |
26,4 |
20,1 |
16,3 |
2,0· 10-5 |
36 |
0,6· 10-4 |
1,0 |
|
4 |
12,5 |
Скальный грунт R>сж> = 25 МПа |
Геологические разрезы по данным полевых визуальных наблюдений
Скважина №1 (104,50) Скважина №2 (103,50)
|
1 |
2 |
3 |
4 |
5 |
6 |
1 |
2 |
3 |
4 |
5 |
6 |
|
104,0 |
0,6 |
0,5 |
Почв. слой |
103,0 |
0,5 |
0,6 |
Почв. слой |
||||
|
102,0 100,6 |
2,5 4,0 |
3,5 |
У.Г.В. Супесь пластич. |
100,6 99,0 |
2,9 4,5 |
4,0 |
У.Г.В. Супесь пластич. |
||||
|
95,0 |
8,6 |
4,6 |
Сугл. тугопл. |
94,2 |
9,3 |
4,8 |
Сугл. тугопл. |
||||
|
92,4 |
12,1 |
3,5 |
Песок сред. крупн. |
91,4 |
12,1 |
2,8 |
Песок сред. крупн. |
||||
|
86,4 |
18,1 |
6,0 |
Скальн. грунт |
86,4 |
17,1 |
5,0 |
Скальн. грунт |
Абсолютн. отм. подошвы слоя 4. Скважина
Глубина подошвы слоя /в м/ 5.Условные обозначения грунта
Мощность слоя грунта /в м/ 6. Литологическое описание грунта
Построить геологический разрез по двум скважинам в масштабе 1:100

Определить плотность ρ, ρ>s>, ρ>d> всех слоев грунта
ρ=γ/10; т/м3
ρ>s>=γ>s>/10; т/м3
ρ>d>=γ>d>/10=ρ/(1+0,01∙W); т/м3,
где γ – удельный вес грунта; кН/м3
γ>s> – удельный вес частиц грунта; кН/м3
ρ>s> – плотность частиц грунта; т/м3
ρ>d> – плотность сухого грунта; т/м3
W – влажность грунта в %.
1 слой ρ=γ/10=18,5/10=1,85 т/м3 – (супесь)
ρ>s>=γ>s>/10=26,4/10=2,64 т/м3
ρ>d>=γ>d>/10=ρ/(1+0,01∙W)=1,85/1+0,01∙30,8=1,85/1,308=1,41 т/м3
2 слой ρ=γ/10=22/10=2,2 т/м3 – (суглинок)
ρ>s>=γ>s>/10=27,0/10=2,7 т/м3
ρ>d>=γ>d>/10=ρ/(1+0,01∙W)=2,2/1+0,01∙14,0=2,2/1,14=1,93 т/м3
3 слой ρ=γ/10=20,1/10=2,01 т/м3 - (песок)
ρ>s>=γ>s>/10=26,4/10=2,64 т/м3
ρ>d>=γ>d>/10=ρ/(1+0,01∙W)=2,01/1+0,01∙16,3=2,01/1,163=1,73 т/м3.
Определить вид всех слоев песчаного грунта по размерам минеральных частиц
Гранулометрический состав грунта, %
|
Размер частиц d,мм |
>2 |
2÷0,5 |
0,5÷0,25 |
0,25÷0,1 |
>0,1 |
|
Частные остатки |
2,0 |
22,0 |
32,0 |
24,0 |
20,0 |
|
Полные остатки |
2,0 |
24,0 |
56,0 |
80,0 |
100,0 |
|
Услов. |
>25 |
>50 |
>50 |
≥75 |
<75 |
|
Виды песч-ых грунтов |
гравистые |
крупные |
срнезернистые |
мелкие |
пылеватые |
Вывод: так как вес частиц 0,5÷0,25 больше 50, значить пески средней крупности. (Прил. табл.2)
Определить коэффициент пористости (e) песчаных слоев грунта
e = [ρ>s>> >∙ (1 + 0,01 ∙ W) / ρ] - 1;
3 слой e = [2,64 ∙ (1 + 0,01 ∙ 16,3) / 2,01] – 1 = 0,53
По коэффициенту пористости и виду грунта по крупности частиц определить категорию по плотности сложения песчаного грунта.
e = 0,53– песок плотный, так как e <0,55.(Приложение, табл.1)
Определить коэффициент водонасыщения и вид песчаного грунта по влажности
I>w>> >= ρ>s>∙0.01∙W/ e ∙ ρ>w>, где ρ>w> – плотность воды 1 т/м3;
I>w>> >= ρ>s>∙0.01∙W/ e ∙ ρ>w> = 2,64∙0,01∙16,3/0,53∙1=0,430/0,53=0,81

Вывод: т.к. коэффициент водонасыщения < 0.8, значит песок насыщенный водой.
Определить по таблице расчетное сопротивление R>0> песчаных грунтов
Вывод: пески средней крупности, плотные (Прил. табл.6) R>0 >= 500 кПа
На геологическом разрезе построить эпюры R>0 >в масштабе в 1см–100кПа.
Определить коэффициент пористости (e) для всех слоев глинистого грунта
e = [ρ>s>> >∙ (1 + 0,01 ∙ W) / ρ] - 1;
1 слой e>1> = [ρ>s>> >∙ (1 + 0,01 ∙ W) / ρ] – 1=[2,64∙(1+0,01∙30,8)/1,85]-1=0,87
2 слой e>2> = [ρ>s>> >∙ (1 + 0,01 ∙ W) / ρ] – 1=[2,70∙(1+0,01∙14,0)/2,20]-1=0,40
Опред. число пластичности (I>D>) и по нём опред. вид глинистого грунта
I>p> = (W>L> – W>p>)∙0,01;
I>p>>1> = (W>L> – W>p>)∙0,01= (32-25)0,01=0,07 – супесь (Прил.табл.4)
I>p>>2> = (W>L> – W>p>)∙0,01= (22-14)0,01=0,08 – суглинок (Прил.табл.4).
Определить показатель консистенции (индекс текучести) I>L> и по его значению опред. вид грунта по консистенции
I>L> = (W-W>р>)/(W>L>-W>p>);
1 слой I>L>>1> = (W-W>р>)/(W>L>-W>p>)= (30,8-25)/(32-25)=5,8/7=0,83 – супесь пластичная;
2 слой I>L>>2> = (W-W>р>)/(W>L>-W>p>)=(14,1-14)/(22-14)=0,1/8=0,01 – суглинок полутвердый.
(Прил. табл.3)
По табл. опред. расчетное сопротивление глинистых грунтов R>0> кПа.
1 слой - R>01> = 249 кПа;
2 слой - R>02> = 240 кПа (Прил. табл.5).
На геологическом разрезе построить эпюру R>0> для глинистых гр. в масштабе в 1 см – 100 кПа.
Опред. значение коэф. (e>i>) для каждого слоя, при условии, что образец грунта высотой h=40мм при увеличении давления в одометре от 100кПа до 300кПа деформация составила Δh=1мм.
е>i
>=
где
e>0>-
коэффициент пористости (п.4 и п.9)
1
слой: е>1>
=
;
2
слой: е>2>
=
;
3
слой: е>3>
=
Определить коэф. относительной сжимаемости (m>v>) каждого слоя, используя данные задания. (а – коэф. сжимаемости, Р>1>=100кПа, Р>2>=300кПа)
m>v
>=
где
=


m>v1>=

m>v2>=

m>v3>=
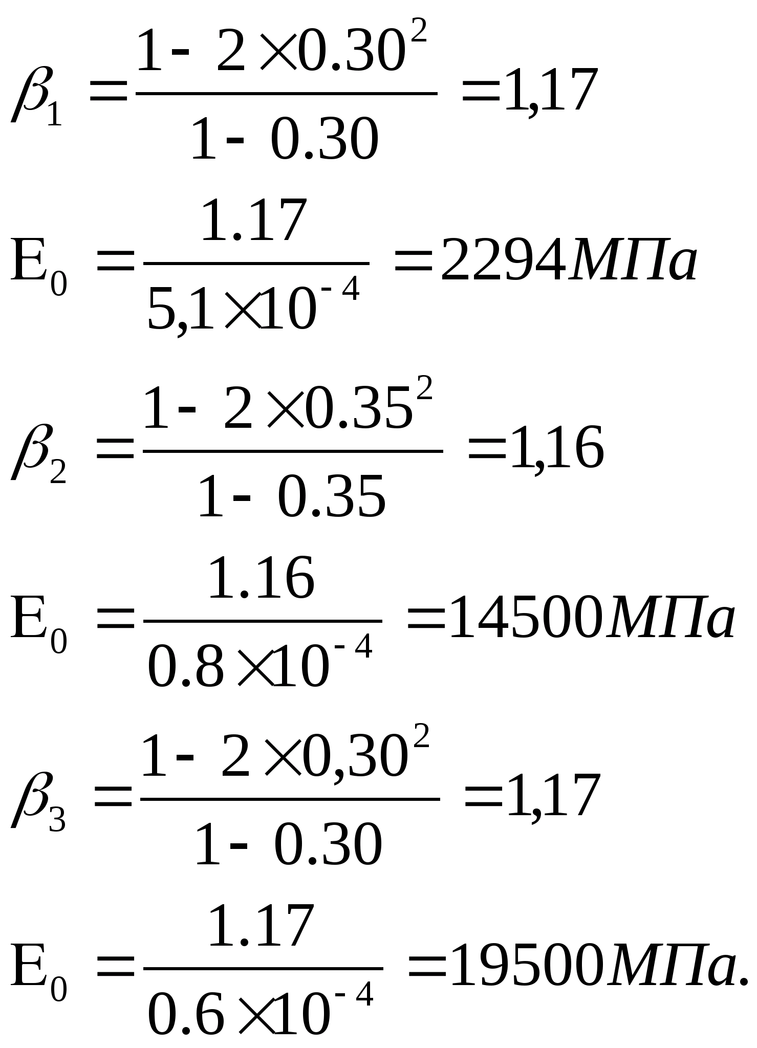
Определить модуль деформации (Е>0>), (песок, супесь=0.3, суглинок =0.35; глина =0.42).
Е>0>=
;
β=


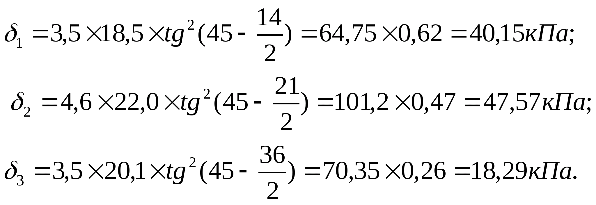
Опред. сопротивление сдвигу по каждому слою при значении σ>z>> >= 100кПа, 200 кПа и 300 кПа.

где γ>i> – угол внутреннего трения и c>i> - удельного сцепления грунта из задания.
τ>1>=100∙tg14+5=30;
τ>1>=200∙tg14+5=55;
τ>1>=300∙tg14+5=77;
τ>2>=100∙tg21+7=45;
τ>2>=200∙tg21+7=84;
τ>2>=300∙tg21+7=122;
τ>3>=100∙tg36+1=74;
τ>3>=200∙tg36+1=146;
τ>3>=300∙tg36+1=219.
Построить графики зависимости сопротивления сдвигу по каждому слою, используя данные задания и расчетов.


геологический разрез грунт давление

Опред. приток
воды (
)
по каждому слою, используя данные
задания при условии, что Н равно мощности
слоя, h=1.5м,
R=0,4Н,
r=1,2м.
к – коэф. фильтрации и равен 1,1х10-5 (скв№1).

Опред. напряжение в грунтовом массиве по каждому слою от действия сосредоточенной силы Р=500кН, при условии, что Z=0,6h (h- мощность слоя), r=0.1Z.
Z>1>= 0.6·h>1>=0,6·3,5=2,1
Z>2>=h>1>+0.6·h>2>=3,5+2,76=6,26
Z>3>=h>1>+h>2>+0.6·h>3>=3,5+4,6+2,1=10,2


Построить график зависимости изменения напряжения σ>z> при условии: Р=600 к Н, Z=2м, r=1м, r=2м, r=3м.
r>0>
=
;

r>1>
;

r>2>
;

r>3>
;


Определить расчетное сопротивление грунта по каждому слою, при условии: γ>I>> >>I>> >= γ>I>1, γ>n>>1>=1.1, γ>n>>2>=1.2, d=1,5м, b=1,8м.


R=
,
где k>z> – коэффициент, учитывающий ширину подушки фундамента при b <10м
k>z>=1
γ>n>>1> - удельный вес грунта, лежащего ниже подошвы фундамента, кН/м3;
γ>n>>2>- удельный вес грунта, лежащего выше подошвы фундамента, кН/м3;
d>1>= d= 1,5 м
Табл.4(СНиП 2.02.01-83*)
-
Коэф.
1 слой
2 слой
3 слой
Mg
0,29
0,56
1,81
Мq
2,17
3,24
8,24
Mc
4,69
5,84
9,97
R>1>=
R>2>=
R>3>=
По скв. №1 построить эпюру природного давления грунтов

где
-
удельный вес i-того слоя;
h>i> - мощность слоя грунта, м.
е>1>=0,87; е>2>=0,40; е>3>=0,53; γ>1 >=18,5кН/м3;> >γ>2 >=22,0 кН/м3; γ>3>=20,1 кН/м3;
=(18.5-10)/1.87=4.5кН/м3
\
=(22-10)/1.40=8.57кН/м3
\
=(20.1-10)/1.53=6.60кН/м3
σ>1>=γ>1>·0=18.5·0=0
σ>2>=γ>1>·(h>1+>h>в>)=18.5·(3.5-2)=27.75 кПа
σ>3>=
σ>2>+
·(h>1>-h>в>)=27.75+4.5·1.5=34.50
кПа
σ>4>=
σ>3>+
·h>2>=
34.5+8.57·4.6=73.92 кПа
σ>5>=
σ>4>+
·h>3>=73.92+3.5·6.60=97.02
кПа
σ>6>= σ>5>+ γ>3>· h>3>=97.02+70,35=167.37 кПа.

Опред. осадку по каждому слою, при условии h=2м, σ>z>>р>>i> = 350 кПа

где
a>0>
=
коэффициент относительной сжимаемости;
е>0> – начальный коэффициент пористости;
m - коэффициент сжимаемости, берется из задания для каждого слоя.


Опред. величину активного давления на подпорную стенку и равнодействующую активного давления по каждому слою при условии: Н равно мощности слоя
;

Равнодействующая активного давления


Определить глубину расположения точки h>0>, где активное давление равно нулю
В



где с – сцепление;
-
угол внутреннего трения грунта;
-
удельный вес грунта, кН/м3.
h>0>=2·5·cos14/18.5·(1-sin14)=9.7/14.02=0.69м;
Список литературы
ГОСТ 5180-84. Грунты. Методы лабораторного определения физических характеристик.–М.: Госстандарт,1986.
СНиП 2.02.01-83. Основания зданий и сооружений. –М: Стройиздат,1985.
Механика грунтов, основания и фундаменты: учебник/ С.Б.Ухов–М.: издательство АСВ, 1994.- стр.527.
Проектирование оснований и фундаментов. В. А. Веселов–М.: Стройиздат, 1990.
Механика грунтов. Н. А. Цытович–М.: Высшая школа, 1983. –288 с.

