Финансовый механизм внешнеэкономической деятельности
КОНТРОЛЬНАЯ РАБОТА
по дисциплине «Финансовый механизм
внешнеэкономической деятельности»
Понятие «цена»
Особое место в системе рыночной экономики занимают цены, ценообразование, ценовая политика. Цена представляет собой экономическую категорию, означающую сумму денег, за которую продавец хочет продать, а покупатель готов купить товар.
Цена — экономическое понятие, существование и важность которого никому не надо объяснять и доказывать. С детских лет, как только человеку приходится наблюдать или самому участвовать в покупке, он на бытовом уровне воспринимает, что такое цена и какую роль она играет в его жизни и в жизни других людей.
Высокая цена означает, что вещь дорогая, и ее покупка требует больших денежных затрат, низкая цена означает дешевизну и меньшую нагрузку на карман покупателя. Однако цена, а точнее, цены, вся их совокупность представляют собой не только индивидуальную, личную, но и общественную, социальную категорию. Они регулируют как отдельные покупки и продажи товаров потребителям, так и экономические процессы в целом, включая производство, распределение товаров, обмен или потребление благ, оказание услуг. Здесь уже все цены, вместе взятые, с учетом их формирования и изменения действуют как общий, единый, целостный ценовой механизм.
Эта функция цен и их воздействие на экономику в масштабах не только личности и семьи, но и предприятия, отрасли, территории, страны гораздо меньше известны обывателю.
Далеко не все знают, что в экономике применяются десятки миллионов цен, что под единым понятием «цена» понимается множество разновидностей цен, включая оптовые, розничные, регулируемые, договорные, свободные рыночные, государственные, контрактные, прогнозные, проектные, лимитные, мировые и ряд других.
Будучи широко употребительными в экономике любого типа (централизованной, рыночной, смешанной), цены формируются и действуют в разных экономиках по-разному. В соответствии с коммунистической чисто распределительной доктриной экономика вообще может обойтись без денег, а следовательно, и без цен, тогда как рыночная экономика без цен становится бессмысленной.
Цены, несомненно, представляют собой тонкий, гибкий инструмент и в то же время довольно мощный рычаг управления экономикой, хотя их реальные возможности воздействия на экономику вообще и на уровень жизни в частности намного меньше надежд, возлагаемых на цены, на ценовой механизм людьми. В директивно управляемой экономике цены используются как внешний регулятор, инструмент воздействия со стороны правительства, тогда как в рыночной они образуют часть системы саморегулирования.
В ценовом механизме следует различать и выделять две взаимодействующие части. Это, с одной стороны, сами цены, их виды, структура, величина, динамика изменения и, с другой — ценообразование как способ, правила установления, формирования новых цен и изменения действующих. Ценообразование, с которым люди знакомы гораздо меньше, чем с ценами, выступает активной, задающей частью всего ценового механизма. Оно, собственно, и предопределяет величину цены. Но чаще всего ценообразование от нас скрыто, а цены мы видим наяву. Цены и ценообразование составляют в своем единстве ценовой механизм.
Итак, цена - многофункциональное экономическое явление, ведущая рыночная категория. Изменение цены часто влечет за собой серьезнейшие социальные, экономические, а также политические последствия. Поэтому во всесторонней и объективной информации о ценах, в глубоком анализе закономерностей и тенденций их изменения заинтересовано все общество, а не только властные структуры и маркетинговые службы.
Цена - сумма денег, уплачиваемая за единицу товара, эквивалент обмена товара на деньги.
Цены, процессы их образования и изменения представляют собой предмет статистического исследования. Статистика цен - самостоятельный блок, входящий как составная часть в статистику рынка и соответственно в социально-экономическую статистику. Известны два основных источника информации по ценам. Эта служба занимается сбором и обработкой данных о розничной торговле, объеме производства, обследованием покупок, используя данные статистики производства, налогов и торговой статистики. Вторым важным источником информации являются бюджетные обследования как одна из форм выборочного статистического исследования доходов, расходов и потребления населения. На основании этих источников рассчитывается индекс потребительских цен (ИПЦ) (который иногда называют индексом стоимости жизни) по фиксированному набору основных потребительских товаров и услуг. Методология расчета является единой для многих стран, что позволяет производить международные сопоставления ИПЦ. Сложились уже и альтернативные службы статистики цен.
Сущность цены, ее экономическая природа проявляются в двойной роли, которую играет цена на рынке. Она выступает как:
- индикатор, отражающий политику и конъюнктуру рынка (соотношение спроса и предложения, торговый и экономический риск., кредитно-финансовую ситуацию, степень конкурентности на рынке и т. д.);
- маркетинговый регулятор рынка, с помощью которого осуществляется воздействие на спрос и предложение, структуру и емкость рынка, покупательную способность рубля, оборачиваемость товарных запасов и т. д. В качестве регулятора цены позволяют ограничивать потребление ресурсов и являются мотивацией для производства.
Рыночная цена выполняет различные функции. Цена - это посредник и соизмеритель при обмене товаров на деньги. Цена - важный показатель конъюнктуры рынка, фактор уровня, структуры и соотношения спроса и предложения, территориального размещения производства. Цена - инструмент образования прибыли и управления эффективностью, фактор налогообложения. Цена - это главная составляющая инфляционных процессов, средство влияния на инвестиционную политику (повышение цен часто ведет к росту привлекательности инвестиций). Цена - мощный фактор уровня жизни населения, влияющий на рынок труда, объем и структуру потребления, уровень реальных доходов различных социальных групп. И наконец, цена - это орудие конкурентной борьбы.
Функции цены
Еще один способ проникновения в суть цен состоит в изучении их функций, характеризующих роль, которую цены играют в экономике. При этом надо иметь в виду, что функции цен и способы их реализации различаются в зависимости от природы той экономической среды, в которой действуют, используются цены. Прежде всего имеется в виду различие действия ценового механизма в экономике централизованно-государственного и рыночного типа.
Первичной функцией цены следует считать измерительную. Благодаря цене удается измерить, определить стоимость товара, иначе говоря, определить, какое количество денег покупатель должен заплатить, а продавец получить за проданный товар. Цены дают возможность деньгам как платежному средству обрести количественную определенность в акте купли-продажи. Зная цену весовой, объемной, штучной единицы товара и умножая ее на количество продаваемых продавцом и приобретаемых покупателем единиц, мы устанавливаем величину денежного платежа за товары и услуги. Исходя из цены рабочей силы, труда, измеряется заработная плата.
С измерительной функцией цены соседствует соизмерительная, заключающаяся в сопоставлении ценностей разных товаров. Сравнивая цены, мы получаем возможность различать более или менее дорогие товары, дорогие и дешевые. Если цена адекватно отражает полезность, то она может использоваться и при сопоставлении не только денежной ценности, но И полезности товаров.
Благодаря измерительной функции цена обретает учетную функцию. Переводя показатели количества и качества товаров в материально-вещественном выражении, измеренные в физических единицах, в адекватные показатели, измеренные в денежных единицах, цена становится вспомогательным инструментом учета. Одно дело, когда фиксируется наличие в имущественном комплексе предприятия 5 станков, и другое дело, когда учет свидетельствует о наличии 5 станков с ценой каждого 3 миллиона денежных единиц на общую сумму 15 миллионов денежных единиц. Учетная функция цены позволяет также учитывать затраты на производство продукции.
Наряду с учетом цена как измеритель может быть одним из важных инструментов анализа, прогнозирования, планирования, при которых используются показатели в денежном выражении.
Из перечисленных функций цен вытекает возможность их использования в качестве инструмента регулирования экономических процессов. Так, в рыночной экономике цены — это основной инструмент уравновешивания спроса и предложения, увязывающий денежный запрос производителя или продавца товаров на их оплату с ответной реакцией потребителя, покупателя. При этом характерно, что сама регулирующая цена рождается в процессе регулирования и является в этом смысле регулируемой. Поэтому точнее было бы говорить о функции саморегулирования товарно-денежных процессов с помощью равновесных, то есть самоустанавливающихся цен, уровень которых соответствует выравниванию спроса и предложения. В нерыночной экономике такие функции насильно навязываются ценам, которые сами навязываются экономике. Такая искусственность делает назначаемые государством цены малоэффективным средством балансирования доходов и расходов, а в более широком плане — регулирования экономики.
Цена может выполнять распределительную функцию, заключающуюся в возможности за счет перераспределения спроса на тот или иной продукт, связанного с его ценой, влиять на предложение товара, на расширение производства недостающего (дефицитного) товара и сокращения производства избыточного товара. В итоге инвестиции направляются преимущественно в малоразвитые отрасли и области производства за счет оттока средств из устаревших отраслей. В условиях централизованной экономики такая функция использовалась государством для воздействия на структуру производства и получаемые доходы. Повышая или понижая оптовые или розничные цены, государство тем самым перераспределяло доходы и прибыль регионов, отраслей, предприятий, социальных групп, семей, отдельных людей. Благодаря этому советская номенклатура приобретала блага для себя и своих семей по «своим», льготным ценам в специальных закрытых «распределителях». Да и вообще лучший способ искусственной государственной поддержки людей, предприятий, отраслей, территорий состоит в том, что для них как для продавцов действуют завышенные цены, а как для покупателей — заниженные. Тем самым, правда, создаются перекосы, искажаются экономические отношения между хозяйствующими субъектами, возникают конфликты и на экономической, и на социальной почве.
Цена выполняет очень важную социальную функцию. С ценами и их изменением связаны структура и объемы потребления благ и услуг, расходы, уровень жизни, прожиточный минимум, потребительский бюджет семьи. Социальная реакция людей на уровень цен и его изменение чувствительна и высока. В бытовом восприятии розничных цен на потребительские товары и услуги люди считают, что рост цен снижает уровень жизни, тогда как снижение цен заведомо улучшает жизнь. При этом обычно не принимаются во внимание другие, неценовые факторы, такие, как доходы, наличие товаров на рынке, структура потребления.
Наряду с внутренними функциями, реализуемыми в пределах народного хозяйства страны, цены выполняют внешнеэкономические функции, выступая в роли инструмента торговых сделок, внешних платежей, взаимных расчетов между странами.
Как в рыночной, так и в нерыночной экономике цены выполняют стимулирующую функцию, влияя на заинтересованность производителей в повышении объемов производства и качества продукции во имя увеличения выручки от продажи. Механизм этого влияния пролегает через желание производителя увеличивать доход и прибыль, которые непосредственно связаны с ценами на продукцию, товары и услуги.
Существенная разница между проявлением этой функции в рыночной конкурентной и неконкурентной дефицитной экономике в том, что в первом случае производитель стремится повысить и выпуск товара, и качество, и цену, а во втором — только цену. Эта особенность очень ярко показала себя после раскрепощения цен в России, что приводит к побочным проявлениям закона предложения.
Великое многообразие функций цены, которая явно перегружена обязанностями в своей государственной форме, а также противоречивость целей и задач осуществления отдельных функций приводят к тому, что успешно реализовать все функции не представляется возможным.
В этом смысле, говоря о рациональных и тем более оптимальных ценах, следует иметь в виду определяющие функции и такое их сочетание, при котором функции реализуются в необходимой степени. В рыночной экономике цены разгружены от ряда функций, например плановой, и используются в основном как чисто рыночные регуляторы и стимуляторы, подлинно воплощающие денежное содержание. Пока сохраняется стремление возложить на цену весь груз функций экономического регулирования, попытки создать эффективный ценовой механизм вряд ли окажутся плодотворными.
Цена есть объективная категория, ее величина обусловлена действием законов спроса и предложения и денежного обращения. При попытках в приказном порядке установить так называемые «правильные», «хорошие», «нужные», «справедливые» Цены, нарушая объективные экономические законы, хозяйственная ситуация отреагирует на подобные действия углублением дефицита, инфляцией, спекуляцией, социальной несправедливостью, принудительным распределением.
Переход от государственных цен к рыночным не может и не должен быть мгновенным, поэтому нельзя полностью избежать регулятивного воздействия государства на цены, ценовой механизм, ценовую политику.
Основные виды цен
Поскольку цена обслуживает оборот по реализации и приобретению товаров, то соответственно в цене, в одинаковой мере, должны быть учтены интересы и производителя, и потребителя продукции, что, в свою очередь, зависит от того, где, когда и при каких условиях совершается сделка (покупка-реализация).
Для стоимостной оценки результатов сделки и затрат используются различные виды цен. Мировой опыт показывает, что используется множество видов цен, связанных с особенностями приобретаемых и продаваемых товаров.
Несмотря на множество цен, действующих на рынке, они между собой взаимосвязаны. Стоит только внести изменения в уровень одной цены, как эти изменения обнаруживаются в уровнях других цен.
Это объясняется тем, что, во-первых, существует единый процесс формирования затрат на производство; во-вторых, все субъекты рынка взаимосвязаны, между собой; в-третьих, имеет место тесная взаимозависимость всех элементов хозяйственного рыночного механизма.
В зависимости от того, какой признак взят для классификации, все виды цен можно разделить на различные группы.
По характеру обслуживаемого оборота различают следующие виды цен:
Оптовые цены покупки и продажи. Оптовой считается цена, по которой предприятия реализуют произведенную продукцию другим предприятиям, сбытовым организациям обычно крупными партиями (оптом).
К числу оптовых цен относятся закупочные цены, по которым сельскохозяйственные производители реализуют свою продукцию предприятиям, организациям, фирмам, промышленным предприятиям для последующей переработки. Отличие закупочной цены от других видов цен заключается в том, что в ее состав не включается НДС и акцизы. НДС не включается также в стоимость приобретаемых сельским хозяйством материально-технических ресурсов.
В международной торговле сделки, за редким исключением, представляют собой оптовые операции и совершаются они по оптовым ценам.
Биржевая цена также считается оптовой. Розничные цены - это цены продажи индивидуальному или мелкооптовому потребителю, преимущественно населению. Отпускная цена на предприятиях общественного питания — особая форма розничной цены. Цены на услуги населению — также особый вид розничной цены. В сфере обращения действуют скидки-наценки. Разница между ценой реализации товара снабженческо-сбытовой организации и оптовой ценой предприятия-поставщика представляет снабженческо-сбытовую надбавку (наценку).
Разница между оптовыми ценами покупки и продажи, между оптовой и розничной ценами представляет собой торговую наценку (скидку).
2. В зависимости от государственного воздействия, регулирования, степени конкуренции на рынке различают следующие виды цен: свободные (рыночные) и регулируемые.
Свободные цены (рыночные цены) — это цены, устанавливаемые производителями продукции и услуг на основе спроса и предложения на данном рынке.
К свободным ценам относятся: цена спроса, цена предложения, цена производства.
Цена спроса — цена, которая складывается на рынке покупателя. Цена предложения — рыночная цена, указывается в официальном предложении продавца без скидок. Цена производства — цена, определяемая на основе издержек производства с добавлением средней прибыли на весь авансированный капитал.
Регулируемые цены — это цены, устанавливаемые государственными органами.
Предельные цены — это такие цены, выше которых предприятия не могут устанавливать цену своей продукции или услуг.
Фиксированные цены — это цены, устанавливаемые на определенном уровне, изменение которых возможно только по решению органа или субъекта рынка, утвердившего их.
3. По способу установления, фиксации различают: твердые, подвижные, скользящие цены. Эти виды цен устанавливаются в договоре, контракте.
Твердые цены называют еще постоянными. Это такие цены, которые устанавливаются в момент подписания договора и не меняются в течение всего срока поставки продукции по данному договору, соглашению, контракту.
Обычно в договоре делается оговорка «цена твердая, изменению не подлежит». Твердые цены применяются в сделках:
А) с немедленной поставкой;
Б) с поставкой в течение короткого срока;
В) предусматривающих длительные сроки поставки. При длительных сроках поставки указанная в договоре оговорка «цена твердая, изменению не подлежит» должна присутствовать обязательно.
Подвижная цена — такая цена, когда в договоре предусмотрено, что цена, фиксированная в момент заключения договора, может быть пересмотрена в дальнейшем, если к моменту исполнения договора рыночная цена изменится. В таком случае должна измениться цена, зафиксированная в договоре, о чем делается соответствующая оговорка. Эта оговорка называется «оговорка о повышении и понижении цены».
Скользящая цена — это цена, исчисляемая в момент исполнения договора путем пересмотра первоначальной договорной цены с учетом изменений в издержках производства, за период времени, необходимый для изготовления продукции. (Например, когда имеет место инфляция, устойчивое изменение цен на ресурсы.)
Скользящие цены устанавливаются обычно на товары с длительным сроком изготовления, например сложное промышленное оборудование, суда.
При подписании договора в этом случае фиксируется так называемая исходная, базисная цена, то есть цена, применяемая в качестве базы для расчетов, оговаривается ее структура, а именно: переменные расходы (расходы на сырье и материалы, зарплату), доля постоянных расходов (накладные расходы, амортизацию), прибыль, а также приводится метод расчета скользящей цены, которым стороны будут пользоваться.
4. По способу получения информации об уровне цены различают публикуемые и расчетные цены. На эти виды цен ориентируются поставщики продукции и покупатели при определении уровня цены в договоре или контракте.
Публикуемые цены — это цены, сообщаемые в специальных и фирменных источниках информации. К публикуемым ценам относятся: справочные и прейскурантные цены, биржевые котировки, цены аукционов, торгов.
Справочные цены — это цены, публикуемые в различных печатных изданиях. Источниками справочных цен являются экономические газеты и журналы, специальные бюллетени, фирменные каталоги, прейскуранты. Справочные цены могут быть, во-первых, номинальными, то есть не связанными с реальными коммерческими операциями.
Номинальные цены применяется в качестве базы при заключении сделок. Начисление скидок, надбавок производится с номинальной цены. Номинальную цену часто называют базовой или базисной ценой, так как она применяется в качестве исходной базы при установлении цены на аналогичные изделия. В качестве базисной цены понимают цену товара определенного качества, спецификации, в заранее установленном географическом пункте (так называемом базисном пункте). Эти цены, как правило, завышены по сравнению с ценами реальных сделок.
Номинальной ценой называют биржевую котировальную цену за товар, по которому в день котировки не было заключено сделок.
Цены фактических сделок также являются справочными. Однако эти цены регулярно не публикуются, а появляются в печати эпизодически.
Цены предложения крупных фирм также есть справочные цены, так как первоначальные цены в результате уторговывания обычно снижаются. Прейскурантные цены — это вид справочной цены, публикуемый в прейскурантах, то есть справочниках фирм-продавцов. Цены прейскурантов и каталоги обычно предоставляются фирмами-поставщиками в ответ на запросы покупателей.
В целом справочные цены играют роль отправной точки, с которой начинаются уторговывание цен при заключении сделок.
Расчетная цена применяется в договорах, контрактах на нестандартное оборудование, производимое обычно по индивидуальным заказам. Цены на такое оборудование рассчитываются и обосновываются поставщиком для каждого конкретного заказа с учетом технических и коммерческих условий данного заказа, а в некоторых случаях окончательно устанавливаются лишь после в исполнения заказа.
На уровень расчетной цены определенное влияние оказывает то обстоятельство, что специальные машины и оборудование чаще всего выпускают фирм фактически господствующие в данной сравнительно узкой области. Производимое ими оборудование связано с запатентованными изобретениями, усовершенствованной технологией, наличием высококвалифицированного персонала. Сведения о ценах на специальное оборудование встречаются в печати эпизодически, и их практически невозможно использовать для сравнения при выборе уровня цены.
Цены предыдущих сделок используются в случае относительной стабильности цен на машины и оборудование. Они практикуются при размещении заказов в условиях устойчивых связей между контрагентами.
5. Вид цены довольно часто определяется видом рынка, на котором она образуется. В зависимости от вида рынка различают: цены товарных аукционе биржевые котировки, цены торгов.
Цены товарных аукционов.
Аукцион — это торги, специализирующиеся на сбыте определенных товаров. Они проводятся, как правило, один или несколько раз в год, чаще всего в традиционной для каждого аукциона форм.
Цены аукционов — это цены публичной продажи по максимально предложенному уровню на предварительно осмотренную покупателем партию товара (лот). Цены на аукционах устанавливаются в результате изменения соотношения между спросом и предложением. Особенностью аукциона является наличие в большинстве случаев многих покупателей и одного или нескольких продавцов. На аукционах, в отличие, например, от бирж, продаются реальные товары со строго индивидуальными свойствами. Аукционная цена может существенно отличаться от рыночной цены (быть многократно выше ее), поскольку отражает уникальные и редкие свойства и признаки товаров, а также в значительной степени зависит от мастерства лица, проводящего аукцион.
Цены аукционов используются на продукцию лесного, сельского хозяйство рыболовства, в торговле пушно-меховым товаром, чаем, драгоценными камнями, предметами старины и искусства.
Биржевые котировки представляют собой цены специально организованного и, в отличие от аукционов, постоянно действующего рынка массовых, качественно однородных, взаимозаменяемых товаров. Во внешней торговле зарубежных стран в современный период на бирже распространяется более чем 50 видов сырьевых товаров, на которые приходится около 15-20% всего экспорта развитых стран.
Биржевые котировки являются ценами реальных контрактов, в то же время они служат ориентиром для установления цен по товарам, реализуемым по обычным договорам, контрактам.
Биржевые цены чутко реагируют на изменение конъюнктуры, подвержены влиянию спекуляции и других случайных факторов. Являясь разновидностью оптовой (отпускной) цены промышленности, цена биржевого товара (или биржевых сделок) формируется на базе биржевой котировки и надбавок или скидок с нее в зависимости от качества товаров, расстояния товара от места поставки, предусмотренного биржевым контрактом.
Уровни цен аукционов и биржевые котировки публикуются в специальных бюллетенях, выпускаемых биржевыми и аукционными комитетами в ежемесячных и ежегодных изданиях международных экономических организаций (ООН, МВФ и т. д.).
Цены торгов — это цены особой формы специализированной торговли, которая основана на выдаче заказов на поставку товаров или получения подрядов на производство определенных работ по заранее объявленным в специальном документе (тендере) условиям. Тендер предполагает привлечение к определенному сроку на принципах конкуренции предложений от нескольких производителей с целью обеспечения наиболее выгодных условий сделки для ее организаторов. Другими словами, цены торгов опосредуют особую форму торговли, когда несколько конкурентов предлагают заказчику свои проекты по выполнению определенных работ, из которых он впоследствии выбирает самый эффективный.
Отличительной чертой такой формы торговли является наличие нескольких продавцов и одного покупателя, который из этих предложений выбирает наиболее выгодное, в том числе и по цене, предложение. Так как на торгах складывается высокий уровень конкуренции среди продавцов, цены в этих условиях на сопоставимые виды товаров и услуг, как правило, ниже, чем цены аналогичной продукции, реализуемой по обычным коммерческим контрактам. Результаты торгов, в том числе и цены, публикуются редко, хотя о месте и сроках их проведения регулярно даются объявления в официальных (обычно правительственных) органах печати, специальных бюллетенях, экономических журналах, а также рассылаются в торговые представительства и посольства других государств (через представителей торговых палат) для распространения среди деловых кругов.
6. С учетом фактора времени различают: постоянные, сезонные, ступенчатые цены.
Постоянная цена — цена, срок действия которой заранее не определен.
Сезонная цена — цена, срок действия которой определен периодом времени.
Ступенчатая цена — ряд последовательно снижающихся цен на продукцию в заранее обусловленные моменты времени по предварительно определенной шкале.
7. Внутрифирменные цены.
Трансфертные цены — это цены, применяемые внутри фирмы при реализации продукции между подразделениями предприятия, фирмы, а также разных фирм, но входящих в одну ассоциацию. Трансфертные цены являются разновидностью оптовой цены. Трансфертные цены получили широкое распространение в хозяйственном обороте в капиталистических странах, в том числе при обмене товарами и услугами в рамках международных монополий, а также в рамках транснациональных компаний. Развитие производственной кооперации явилось объективной основой расширения сферы применения трансфертных цен.
Как правило, данные о трансфертных ценах ограничены, они составляют коммерческую тайну, а их уровень и соотношения значительно отличаются от цен при поставках продукции в качестве запчастей. Трансфертная цена может устанавливаться как на готовые изделия, полуфабрикаты, сырье, так и на услуги (работы), в том числе управленческие.
Использование трансфертных цен может существенно влиять на конкурентоспособность фирмы. Так, путем занижения цен на сырье и материалы, поставляемые дочерними предприятиями, можно заметно повысить свою конкурентоспособность.
8. По условиям поставки и продажи различают следующие виды цен: цена-нетто — цена на месте купли-продажи; цена-брутто (фактурная цена) — определяется с учетом условий купли-продажи (вида и размера по товарных налогов, наличия и уровня скидок, вида «франке» и условия страховки). Дифференциация цен в зависимости от того, кто — продавец или покупатель — берет на себя транспортные расходы, различается по виду "франко". Термин «франко» показывает, до какого пункта на пути продвижения товара продавца к покупателю поставщик возмещает транспортные расходы. Например, франко-склад продавца означает, что все расходы по доставке несет покупатель, а франко-склад потребителя — все расходы оплачиваются продавцом.
1. Фактура — счет, выписываемый продавцом на имя покупателя и удостоверяющей фактическую поставку товара или услуг и их стоимость.
2. Различают единые цены с включением расходов по доставке. Этот метод установления предполагает формирование фирмой единой цены для всех покупателей независимо от их местоположения с включением в нее одинаковой суммы транспортных расходов, которая рассчитывается как средняя стоимость всех перевозок. Транспортный фактор учитывается во внешнеторговых ценах.
9. Мировые цены — это цены, по которым проводятся крупные экспортные и импортные операции, достаточно полно характеризующие состояние международной торговли конкретными товарами. На практике мировые цены определяются по одним товарам (обычно сырьевым) уровнем цен стран-экспортеров или импортеров, по другим — ценами бирж, аукционов, по готовым изделиям — обычно ценами ведущих в мире производителей, специализирующихся изготовлении продукции данного вида. Мировыми считаются цены, если соблюдаются следующие условия:
1) Это цены крупных экспортных или импортных сделок, совершаемых на ведущих по данному товару рынках;
2) Сделок, носящих регулярный характер;
3) Сделок, предусматривающих платежи в свободно конвертируемой валюте.
Цены основных мировых товарных рынков отражают среднемировые условия производства, реализации и потребления определенного вида товара. Это предопределяет ориентацию на них при проектировании вариантов сотрудничества местных предприятий с зарубежными партнерами. Если по сырьевым товарам определение мировой цены не представляет трудностей (определяют по странам — основным поставщикам сырья), то в ношении готовых изделий для выбора цены, соответствующей мировым показателям, приходится использовать цены иногда десятков фирм, производящих аналогичную продукцию, в то время как по сырью в качестве мировой цены могут быть взяты 1-3 показателя.
Источники ценовой информации
Как известно, «ядром» рынка является соотношение спроса и предложения. Цена играет исключительно важную роль в сбалансированности спроса и предложения, но помимо цены сбалансированность спроса и предложения зависит от количества денег и покупательной способности валюты. Чем больше несоответствие между денежной и товарной массой, тем большее давление которое оказывает эта денежная масса на уровень и динамику цен. Это особенно наглядно проявляется в условиях большой несбалансированности и огромных диспропорций, которые характерны для нашей экономики.
В условиях деформирования рынка, слабой конкуренции производитель диктует цены. Его напор может сдержать только административное регулирование, но в целом оно в большей мере защищает производителя, действуя слабее, чем конкуренция.
При рыночной экономике внутренние цены тесно взаимодействуют с мировыми ценами. Прежде всего внутреннее ценообразование испытывает существенное давление ценовой информации мирового рынка. Это происходит потому, что конкуренция определяет сферы специализации товаропроизводителей на выпуске тех или иных изделий. Чтобы выдержать конкуренцию, производитель все время отслеживает свои затраты, сравнивает их с затратами конкурентов и на ходу как бы обогащает систему факторов снижения издержек производства, ищет пути обхода конкурента.
Действовавшая система цен и тарифов в нашей стране долгие годы складывалась под непосредственным воздействием административно-командной системы управления экономикой, в которой товарно-денежным отношениям отводилась роль поддержания формального хозрасчета, а стоимостным показателям — функции учета при планировании объемов производства и распределения продукции. Такой подход к системе цен в конечном счете привел к тому, что она оторвалась от экономических интересов как производителя, так и потребителя и не отвечает требованиям эффективного использования материальных ресурсов в народном хозяйстве.
Без реформы системы цен и тарифов нельзя было осуществить намеченную перестройку экономических отношений. Более того, оттяжка и переносы сроков реформы непосредственно сказывались на темпах перестройки экономики и являлись одними из причин разбалансированности рынка, ухудшения финансового положения страны.
Реформа цен - это стержень всей экономической реформы на котором базируются ее важнейшие элементы: введение единой системы налогообложения, развитие конкурентных отношений между предприятиями.
Важнейшим инструментом рыночного регулирования являются цены и система индексации доходов населения в связи с их ростом. При этом главным является не только, как устанавливаются цены, но и динамика цен, особенно цен, входящих в потребительскую корзину, поскольку с этим связан прожиточный минимум. Государство берет на себя задачу поддерживать жизненный уровень малообеспеченных слоев населения.
Содержание конъюнктурно-ценового обзора рынка черных металлов
В течение 2001 года мировые цены на продукцию черной металлургии демонстрировали умеренное снижение, в среднем на уровне 2-3 % в месяц. Аналогично этому падало и потребление в странах Североамериканского континента, в то время как в странах Азии оно, наоборот росло.
После насыщения рынка во второй половине 2000 года произошло резкое падение спроса на продукцию черной металлургии, что сопровождалось рядом политических и экономических предпосылок. Другой причиной столь резких колебаний цены является традиционная инертность металлургической отрасли, не позволяющая быстро реагировать на изменение конъюнктуры рынка и регулировать объемы производства и уровни запасов продукции. Кроме того, высокая административная зависимость рынка и способность стран-импортеров существенно ограничивать поставки импортной продукции антидемпинговыми мерами привела к разбалансировке спроса-предложения, что особенно проявилось на американском рынке.
Цены на некоторые виды проката в Европе приведены в таблице 1.

Как видно из таблицы практически все товарные позиции существенно понизились в цене, особенно в 3 – 4 квартале 2001 года. Наибольшего падения достиг горячекатаный лист, понижение цены на который превысило 1.5 значения менее чем за 6 месяцев.
График 1 ( динамики мировых цен на прокат).

Немаловажным фактором, влияющим на ценообразование внутри Украины, является уровень мировых цен, так как большая часть всей производимой украинскими металлургами продукции экспортируется. Как и в других экспортно-ориентированных отраслях повышение внутренних цен на металлопродукцию с определенным временным лагом следует за повышением мировых цен. Однако обратная динамика мировых цен (например, резкое падение во второй половине 2001 года), если и приводит к падению внутренних цен, то за счет не номинального, а реального их снижения на фоне общей инфляции.
В течение всего 2001 года наблюдается снижение реальных цен по большинству групп металлопродукции. В условиях достаточно высокой конкуренции и незначительной емкости внутреннего рынка, а также низких мировых цен, рост затрат на производство металлопродукции пока не приводит к адекватному росту внутренних цен. Основная причина увеличения затрат в металлургии - повышение цен на энергоносители и транспортные услуги. В результате в течение всего 2001 года происходило некоторое снижение рентабельности деятельности металлургических предприятий Украины.
Д
инамика
цен на прокат в СНГ
(2000-2001)
В начале 2002 года на российском и украинском рынках наблюдается некоторое оживление на рынках стали и попытки поднять цены, что является скорее психологическим ходом в начале нового года. Производители устали от постоянного снижения цен и депрессивных ожиданий, а цены достигли минимального уровня. На мировом рынке цены находятся на очень низком уровне и практически не менялись. Однако листовая сталь украинского производства еще более подешевела. Понижение цен составило около $15 на тонне. Но производители ожидают в ближайшем будущем некоторого подъема цен, что связано в основном с отменой системы лицензий на импорт стали с 1 апреля 2002 г. Китаем, который в ноябре 2001г. стал членом ВТО. Кроме того, в США появились первые признаки завершения экономического спада.
В январе 2002 г. на рынках металлопродукции наметилось оживление. Хотя цены на многие виды продукции в основном снижались из-за того, что производители и трейдеры избавлялись от прошлогодних запасов продукции, можно отметить увеличение оптимистических прогнозов. Прошлый год заставил многих производителей металлопродукции во всем мире реструктуризировать производство, выводить излишние мощности, разрабатывать программы дальнейшего уменьшения избыточного производства. Введение антидемпинговых мер на рынках США и Западной Европы, при всем негативном их влиянии на российских и украинских производителей, положительно сказалось на “расчистке” этих рынков от излишков металлопродукции. К началу 2002 г. несколько ослабевает давление излишних объемов продукции на рынки металла, и на второе полугодие 2002 г. аналитики прогнозируют начало выхода из мирового экономического кризиса.
В феврале на рынках металлопродукции наконец-то начался долгожданный подъем. Пока что оживление спроса еще не сопровождается значительным ростом цен, но, по крайней мере, можно с уверенностью сказать, что падение цен остановилось. Кризис 2001 г. заставил производителей черных металлов сокращать объемы производства, выводить избыточные и неэффективные мощности, повышать качество производимой продукции, а потребителей металла – использовать накопившиеся запасы. Так что в 2002 г. потребители вошли с «новым» спросом, а производители – с более качественным товаром и более гибкой системой ценообразования. Единственное опасение у аналитиков вызывает стремление продавцов металлопродукции слишком резко поднимать цены, к чему рынок пока еще не готов.
Условия платежа в контрактах купли – продажи
Договор купли-продажи товаров в материально-вещественной форме в международной коммерческой практике называется контрактом.
Контракт купли-продажи является основным коммерческим документом, оформляющим внешнеторговую сделку, в котором содержится письменная договоренность сторон о поставке товара: обязательство продавца-экспортера передать определенный товар в собственность покупателя-импортера и обязательство покупателя-импортера принять этот товар и уплатить за него определенную денежную сумму, или обязательства сторон выполнить условия товарообменной сделки.
Рассмотрим условия установления цены и платежа в контрактах купли-продажи.
В разделе контракта "Цена товара" указывается общая сумма контракта и цена за единицу товара. При установлении цены фиксируется единица измерения, базис цены, валюта цены, способ фиксации цены, определение уровня цены в контракте.
Базис цены устанавливает, входят ли транспортные, страховые, складские и другие расходы по доставке товара в его цену. Внешнеторговый договор предполагает перемещение товара, как правило, на значительное расстояние. При заключении договора необходимо тщательно урегулировать вопросы доставки товара от продавца к покупателю, его погрузки, страхования, оплаты таможенных пошлин и т.д. В практике международной торговли сложился ряд общепринятых обычаев, регламентирующих указанные вопросы. Данные обычаи представляют собой базисные условия внешнеторгового договора купли - продажи.
Базисные условия устанавливают, кто - продавец или покупатель - оплачивает перевозку внешнеторговых грузов, расходы по их страхованию, производит таможенную очистку товаров и т.д., а также определяют момент перехода права собственности на товар от продавца к покупателю, а значит и риска его случайной гибели. Они выражены определенными терминами, унифицированные правила толкования которых даны Международной торговой палатой в документе под названием "Инкотермс".
Цена, устанавливаемая в контракте, может быть выражена в валюте страны экспортера, импортера или в валюте третьей страны. В контракте фиксируются наименование и код валюты, в которой оценен товар.
Как правило, экспортер стремится зафиксировать цену в относительно более устойчивой валюте, а импортер, наоборот, заинтересован в том, чтобы цена была установлена в валюте, подверженной обесцениванию.
В зависимости от способа фиксации различают цены твердые, подвижные, скользящие, а также цены, фиксируемые в процессе исполнения контракта.
Твердая цена устанавливается в момент подписания контракта и не подлежит изменению в течение срока его действия. Твердая цена может фигурировать как в сделках с немедленной поставкой, так и в сделках, предусматривающих длительные сроки поставки (в последнем случае целесообразно использовать оговорку "цена твердая и изменению не подлежит").
Подвижная цена фиксируется при заключении контракта и может быть пересмотрена в дальнейшем, если рыночная цена данного товара к моменту его поставки изменится. При использовании подвижной цены в контракте делаются оговорки о повышении и понижении цены.
Допускается исчисление цены в момент исполнения контракта путем пересмотра договорной (базисной) цены с учетом изменений в издержках производства, произошедших в период исполнения контракта. Такие цены называются скользящими и применяются обычно в контрактах на поставку товаров с длительным сроком изготовления (крупное промышленное оборудование, морские суда и т.д.).
Цена может фиксироваться и в процессе исполнения договора (например, по договоренности сторон перед поставкой каждой новой партии товара и т.п.).
При определении уровня цены стороны ориентируются на публикуемые и расчетные цены. Публикуемые цены сообщаются в специальных источниках информации (справочные цены, биржевые котировки, цены аукционов, цены предложений крупных фирм и т.д.). Расчетные цены поставщика применяются, как правило, в контрактах на нестандартное оборудование, производимое чаще всего по индивидуальным заказам.
Особое значение в связи с осуществлением валютного контроля за внешнеторговыми поставками приобретает информация, содержащаяся в разделе контракта "Условия платежа". К основным условиям платежа относятся: валюта платежа, срок платежа, способ платежа и формы расчетов.
В контракте, помимо валюты цены, фиксируется и валюта платежа (валюта расчета), то есть та валюта, в которой будет произведена оплата товарной поставки (ею может быть валюта страны экспортера, валюта страны импортера или валюта третьей страны). Указываются наименование и код валюты, в которой будет производиться платеж, в соответствии с Классификатором валют, используемых для таможенных целей. Допускается возможность оплаты импортером товарной поставки в различных валютах. Валюта платежа и валюта цены - это, как правило, свободно конвертируемые валюты.
Если валюта платежа не совпадает с валютой цены, то в контракте указывается курс, по которому валюта цены будет переведена в валюту платежа. Чаще всего перевод валюты цены в валюту платежа осуществляется по курсу, действующему в стране, где производится платеж.
В контракте указываются конкретные сроки платежа и условия рассрочки в случае ее предоставления, а также обязательный перечень документов, передаваемых продавцом покупателю и подтверждающих факт отгрузки, стоимость и номенклатуру отгруженных товаров.
Если сроки платежа не установлены в контракте прямо или косвенно, то платеж обычно производится через определенное число дней после уведомления продавцом покупателя о том, что товар предоставлен в его распоряжение; при других условиях поставки - через определенное число дней после уведомления продавцом покупателя об отправке товара (в зависимости от торговых обычаев, принятых в международной практике).
Одним из ключевых условий "финансовой части" внешнеторгового контракта является способ платежа, определяющий, когда производится оплата товара по отношению к его фактической поставке. Кратко охарактеризуем основные способы платежа.
Наличный платеж производится через банк до или после передачи экспортером товарораспорядительных документов или самого товара в распоряжение покупателя. Он предусматривает оплату товара в полной стоимости в период от его готовности к экспорту до момента перехода в распоряжение покупателя. Наличный платеж может осуществляться единовременно (по получении телеграфного извещения экспортера о готовности товара к отгрузке или телеграфного извещения капитана судна об окончании погрузки товара на борт в порту отправления; после вручения импортеру комплекта товарных документов, перечисленных в контракте, и т.д.) и по частям - несколькими взносами в соответствии с условиями, предусмотренными в контракте.
Платеж с авансом предполагает выплату покупателем - импортером поставщику - экспортеру определенных в контракте сумм в счет причитающихся по контракту платежей до передачи товара в его распоряжение (чаще всего - до начала исполнения контракта). Аванс может быть предоставлен как в денежной, так и в товарной форме (путем предоставления сырья или комплектующих частей, необходимых для изготовления заказанного оборудования). С одной стороны, аванс является формой кредитования импортером экспортера, а с другой стороны, он служит средством обеспечения обязательств, принятых покупателем по контракту. При отказе покупателя принять заказанный товар поставщик имеет право обратить полученный им аванс на возмещение убытков.
Платеж в кредит предусматривает осуществление расчета по сделке на основе предоставленных экспортером импортеру фирменных (коммерческих) кредитов - краткосрочных (до одного года), среднесрочных (от 1 до 5 лет) и долгосрочных (свыше 5 лет). Фирменные кредиты также предоставляются в двух формах - товарной (путем отсрочки или рассрочки платежа и др.) и денежной.
Основными формами расчетов являются инкассовая, аккредитивная, по открытому счету, путем телеграфных и почтовых переводов, чековая и вексельная.
Инкассовая форма внешнеторговых расчетов предполагает передачу экспортером поручения своему банку на получение от импортера определенной суммы платежа против предъявления ему соответствующих товарных документов, а также векселей, чеков и других подлежащих оплате документов.
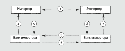
Основные
этапы осуществления инкассовой операции
приведены на следующей схеме.
1. Стороны (импортер и экспортер) заключают договор, в котором устанавливается, через какие банки будут производиться расчеты за внешнеторговые поставки.
2. После отгрузки товара и получения от перевозчика транспортных документов экспортер готовит комплект документов и представляет его с инкассовым поручением своему банку.
3. Банк экспортера, проверив по внешним признакам соответствие представленных документов, перечисленных в инкассовом поручении, отсылает их вместе с поручением банку - корреспонденту страны импортера.
4. Получив инкассовое поручение и документы, банк импортера представляет их плательщику (импортеру) для проверки с целью получения от него платежа. Банк страны импортера направляет извещение плательщику о том, что получено инкассовое поручение с документами с просьбой оплатить указанные документы. Документы выдаются плательщику взамен платежа.
5. Банк импортера получает платеж от импортера.
6. Банк импортера переводит выручку банку экспортера.
7. Получив перевод, банк экспортера зачисляет выручку экспортеру. Инкассовая форма расчета удобна экспортеру, так как дает ему гарантию в том, что товар не перейдет в распоряжение покупателя до тех пор, пока не будет произведена его оплата. При этом она имеет и некоторые недостатки - отсрочка получения платежа экспортером вследствие интервала между отгрузкой товара и предъявлением банку документов и получением валюты, а также возможность импортера отказаться от оплаты или оказаться неплатежеспособным к моменту получения банком импортера товарных документов.
Аккредитивная форма расчета представляет собой обязательство банка произвести по указанию и за счет покупателя - импортера платеж экспортеру на сумму стоимости поставленного товара взамен предъявленных экспортером документов.
Импортер за согласованное число дней до начала поставки или после получения извещения экспортера о готовности товара к отгрузке дает поручение своему банку открыть в банке экспортера или в другом согласованном банке аккредитив на определенную сумму и на оговоренный срок в пользу поставщика - экспортера. Перечень документов, по предъявлении которых экспортеру могут быть выплачены суммы с аккредитива, сообщается импортером банку в поручении об открытии аккредитива.
Банк извещает экспортера об открытии аккредитива и в случае необходимости подтверждает аккредитив. Если в течение срока действия аккредитива он не будет использован, с согласия покупателя или по условиям контракта аккредитив может быть продлен (пролонгирован) или отозван покупателем.
После отгрузки товара экспортер предъявляет банку, в котором открыт аккредитив, документы, подтверждающие поставку товара по перечню, содержащемуся в контракте, и получает взамен этих документов причитающиеся суммы денег, которые обычно перечисляются на его счет.
На последнем этапе операции с аккредитивом банк экспортера пересылает товарные документы банку импортера. Последний вручает их импортеру, который возмещает банку сумму аккредитива. На схеме представлены основные виды аккредитивов, применяемых на практике.

Основные способы платежей
Платеж наличными
Платеж наличными производится через банк до или при передаче продавцом товаросопроводительных документов или самого товара покупателю. Наличный платеж - оплата авансом или немедленно после поставки товара против предоставляемых экспортерами документов. Наличный платеж осуществляется чеками по открытому счету, переводами, аккредитивами.
Платеж в кредит
Платеж в кредит предусматривает, что покупатель оплачивает оговоренную в контракте сумму через какое-то время после поставки товара.
При предоставлении и получении кредита в контракте устанавливаются:
его вид, стоимость и срок;
валюта получения и погашения кредита;
способ погашения основного долга, средства платежа;
условия начисления и выплаты процентов;
гарантии и др.
В контракт могут быть включены также график поставки товара и график погашения основного долга и процентов.
Среднесрочный, долгосрочный, а иногда и краткосрочный кредит влечет за собой уплату покупателем процентов за пользование кредитом. В контракте оговаривается стоимость кредита, выраженная в процентах годовых, срок использования кредита, срок погашения кредита, льготный период, в течение которого по кредиту не производится погашение процентов, и другие условия.
Кредит предоставляется не на всю сумму контракта, а на 20-25 %, остальную часть покупатель выплачивает авансом, что позволит продавцу возместить свои расходы, если покупатель нарушит свои обязательства по контракту.
Широкое распространение в практике внешней торговли коммерческого кредита обуславливает использование таких специфических кредитных средств платежа, как чеки и векселя.
Наиболее распространенной формой кредита в мировой практике является кредит, возврат которого обеспечивается векселем. Такой кредит достаточно прост в оформлении и довольно надежен для экспортера. Различают переводные векселя (тратты) и простые векселя.
Валюта получения и погашения кредита является важным условием контракта. Валюта получения кредита соответствует валюте цены товара, погашение кредита чаще производится в этой же валюте, но может быть и в другой. Платежи в кредит в соответствии со сложившимися нормами и обычаями во внешней торговле, используются прежде всего при реализации машин и оборудования, что вызвано конкуренцией. При их продаже широко практикуется также и получение аванса. Обычно в этих случаях контракт вступает в силу после перевода покупателем аванса, который должен быть выплачен, как правило, в течение 30-90 дней с даты подписания контракта (аванс - до 20% суммы сделки, наличными - 10-15 %, в кредит - 70-85 %). Размер аванса зависит от его целей, характера и новизны товара, его стоимости, срока изготовления и других условий. Чаще всего аванс составляет 15-20 % от стоимости заказа, выплачивается после подписания контракта. Аванс может быть предоставлен в денежной и товарной (давальческое сырье) формах. Обычно покупатель, выплачивая, требует от продавца банковской гарантии, на случай если экспортер не выполняет условий заказа. В международной торговле авансы обычно даются солидным фирмам при поставках товаров, требующих длительного срока изготовления, выполняемых по индивидуальным спецификациям, а также при поставках дефицитных товаров или залог поставки именно этому покупателю. Платеж в кредит предусматривает осуществление расчета по сделке на основе предоставленного экспортером импортеру фирменного (коммерческого) кредита. По срокам кредиты делятся на краткосрочные (до 1 года), среднесрочные (до 5 лет) и долгосрочные (свыше 5 лет). В торговле сырьевыми товарами применяются краткосрочные кредиты.
Фирменные кредиты могут представляться в товарной или денежной формах. Кредит в товарной форме осуществляется путем отсрочки или рассрочки платежей. За отсрочку платежа импортеры выплачивают согласованные годовые проценты, величина которых обычно ниже текущих банковских ставок. Нередко при краткосрочных кредитах импортерам предоставляется беспроцентная рассрочка платежа. При расчете в кредит могут быть использованы те же формы расчетов, как и при расчетах за наличные: аккредитивы, инкассо, по открытому счету с рассрочкой платежа свыше 30 дней после предъявления документов. Срок платежа оговаривается в контракте.
С рассрочкой до одного года поставляются бытовая техника, приборы, серийное оборудование. Обычный, самый распространенный срок кредита при поставке более сложного и более дорогостоящего разрозненного оборудования в соответствии с мировой практикой ограничивается 5 годами. А вот при продаже комплектного, сложного и дорогостоящего оборудования предоставляются долгосрочные кредиты, они обычно гарантируются правительственными органами или банками страны продавца. При определении стоимости кредитов по сделке необходимо ориентироваться на уровни процентных ставок на рынке ссудного капитала. Стоимость кредита является фактором, определяющим конкурентоспособность товара, и продавцы стремятся привлечь покупателя дешевым кредитом.
В условиях конкуренции покупатель стремится получить от продавца, особенно при покупках дорогостоящих машин и оборудования, кредит более длительный.
Срок кредита исчисляется с момента завершения поставки товара до полного погашения кредита, что должно быть специально отмечено в контракте.
Валюта получения и погашения кредита является важнейшим условием кредита. Валюта получения кредита соответствует валюте цены товара. Погашение кредита чаще производится в той же валюте, но может и в другой. Тогда необходимо указать курс, по которому валюта векселя будет переводиться в валюту платежа. Если это не указано, принимается тот курс, который действует в месте и на день платежа.
Гарантии при продаже продукции в кредит используются чрезвычайно широко. Гарантии используются во внешнеторговых расчетах в связи с сопровождающими их рисками неплатежа или задержки платежа. При платежах наличными для страхования от несостоятельности импортера используются банковские гарантии, резервные аккредитивы, фирменные гарантии.
Большинство расчетов, особенно при поставках в кредит, обеспечивается путем выставления банковской гарантии. Банковская гарантия - это гарантированное письмо банка, которое обеспечивает продавцу в крайнем случае, если покупатель не выполнит свои обязательства, оплату товара банком - гарантом за его счет. (Во внешней торговле существуют "Унифицированные правила по банковским гарантиям "международной торговой палаты). Различают безусловные и условные банковские гарантии. Безусловная гарантия обеспечивает продавцу получение платежа по его обращению в связи с наступлением перечисленных в гарантии событий. По условной гарантии платежи производятся при наступлении определенных в них условий, действительность которых должна быть доказана продавцом.
Гарантию должен предоставить первоклассный солидный банк, что обеспечивает достаточную надежность банковской гарантии.
Запрашивает и предоставляет гарантию покупатель. За ее выставление банк взимает комиссию. Размер ее может колебаться в большом диапазоне, достигая трех и более процентов гарантируемой суммы. Оплачивает банковскую гарантию покупатель. Но он за ее предоставление требует от продавца уступок в цене или по другим коммерческим условиям.
В контракте фиксируется, что покупатель обязан предоставить продавцу безусловную и безотзывную банковскую гарантию, покрывающую всю сумму платежа, и что без такой гарантии продавец не будет отгружать продукцию. Также указывается, кто оплачивает гарантию.
Выставление банковской гарантии во внешней торговле является обычной практикой. Фирменные гарантии по обязательствам покупателей товаров выдают крупные, широко известные компании, особенно, если они состоят с ними в тесных деловых отношениях.
Коммерческий кредит пользуется такими специфическими средствами платежа, как чеки и векселя. При заключении сделок, исполнение которых рассчитано на длительный срок или связано с предоставлением отсрочки платежа (кредита), возникают валютные риски, связанные с изменением курса валюты, в которой назначена цена реализуемого товара или предоставляется кредит. С изменением курса валюты изменяется реальная стоимость платежа. Валютные риски условно можно разделить на курсовые риски и инфляционные риски.
Курсовые риски связаны с тем, что при уменьшении курса валюты платежа по отношению к национальной валюте экспортер получит сумму денег в национальной валюте меньшую, чем ту, на которую он рассчитывал при заключении контракта.
Инфляционные риски связаны с уменьшением покупательной способности валюты платежа, если уменьшится ее курс по отношению к другим валютам.
Наиболее распространенной формой страхования валютных рисков при кредите являются валютные оговорки. Они фиксируются внесением в контракт условия, в соответствие с которым, сумма платежа пересматривается пропорционально изменению курса валюты платежа по отношению к другой, более стабильной валюте, так называемой валюте оговорки. Защититься от валютных рисков можно несколькими способами, фиксируемыми в контракте в виде различных оговорок. Приведем некоторые из них. Первый способ - прямая валютная оговорка. Валюта цены и валюта платежа совпадают, но цена товара и стоимость платежа ставятся в зависимость от курса другой валюты.
Платежные документы
Виды платежных документов:
1) платежное поручение;
2) чек;
3) вексель;
4) платежное требование - поручение;
5) инкассовое поручение,
6) иные платежные документы, установленные нормативными правовыми актами Национального Банка.
Платежное поручение - расчетный документ, содержащий поручение предприятия обслуживающему его банку о перечислении на счет того лица, которому предприятие перечисляет деньги. Платежное поручение предъявляется в банк в порядке инкассо и должно быть подтверждено необходимыми документами.
Платежное требование – поручение - расчетный платежный документ, представленный получателем средств в обслуживающий его банк; содержит, с одной стороны, требование получателя денежных средств к их плательщику об уплате положенной суммы, с другой стороны, поручение плательщика своему банку о перечислении данной суммы получателю. Введено в оборот с 1990 г. Обычно с помощью таких документов поставщики, продавцы товаров, исполнители работ и услуг выставляют требования о перечислении денежных средств на их счет со счета тех организаций, предприятий, кому поставлены, проданы товары и для кого выполнены работы и услуги.
Чек
(амер.
cheek)
-
один
из распространенных видов ценных бумаг,
представляющих денежный документ
установленной формы. По своей сути чек
есть безусловное распоряжение, приказ
чекодателя (лица, выписавшего чек) банку
или другому кредитному учреждению о
выплате держателю чека (лицу, которому
выдан чек) указанной суммы денег. Эта
сумма снимается с чекового счета
чекодателя в банке и переводится или
непосредственно выдается банком
чекодержателю. Такая чековая операция
предварительно предусмотрена чековым
договором между банком и чекодателем.
Банк может оплатить чеки и в счет кредита
чекодателю. Чеки бывают именные
(выписанные на определенное лицо),
ордерные (выписанные в пользу какого-либо
лица) либо предъявительские (на
предъявителя). Чеки действительны в
течение определенного срока. Для расчета
между банками используются банковские
чеки.
Вексель
(от
нем. wechsel - обмен)
-
ценная
бумага в виде долгосрочного обязательства,
составленного в письменном виде по
определенной форме. Вексель дает лицу,
которому он выдан (кредитору, заимодавцу),
именуемому векселедержателем, безусловное,
поддерживаемое законом право на получение
(возврат) предоставленного им на
фиксированный срок и на определенных
условиях денежного долга. • Простой
вексель удостоверяет обязательство
заемщика, векселедателя, уплатить
заимодавцу, векселедержателю, положенный
к возврату долг в оговоренный срок. •
Переводный вексель, именуемый траттой,
выписывается векселедержателем
(трассантом) в виде письменного поручения,
приказа векселедателю (трассату)
заплатить заимствованную сумму с
процентами третьему лицу (ремитенту).
Тем самым ремитент становится новым
векселедержателем.
Инкассовое поручение - документ, играющий роль платежного требования, составляется и представляется в банк предприятиями, организациями в тех случаях, когда им предоставлено право и они имеют основания для бесспорного взыскания средств с плательщика.
Платежные документы должны содержать следующие реквизиты:
1) наименование платежного документа;
2) номер платежного документа, число, месяц, год его выписки. Число указывается цифрами, месяц - прописью, год - цифрами. На платежных документах, оформляемых с использованием компьютерной техники, допускается обозначение месяца цифрами;
3) полное наименование, включая организационно - правовую форму юридического лица либо фамилию, имя, отчество физического лица - отправителя денег, его индивидуальный идентификационный код;
4) полное наименование, включая организационно - правовую форму, банка отправителя денег, его банковский идентификационный код (рядом с наименованием может быть проставлено его фирменное обозначение);
5) полное наименование, включая организационно - правовую форму юридического лица либо фамилию, имя, отчество физического лица - бенефициара, его индивидуальный идентификационный код;
6) полное наименование, включая организационно - правовую форму, банка бенефициара, его банковский идентификационный код (рядом с наименованием может быть проставлено его фирменное обозначение);
7) назначение платежа, а также его кодовое обозначение, установленное нормативными правовыми актами Национального Банка;
8) сумму платежа, обозначенную цифрами и прописью;
9) фамилия, имя, отчество и подписи уполномоченных лиц инициатора платежа и / или перевода денег и, если имеется – оттиск его печати (для документов, составленных на бумажном носителе);
10) регистрационный номер налогоплательщика - бенефициара и отправителя денег (далее - РНН). При этом наименование отправителя денег и бенефициара, а также их индивидуальные идентификационные коды должны быть указаны в платежном документе один раз. А также допускается сокращение наименования организационно - правовой формы отправителя, бенефициара и их обслуживающих банков, не затрудняющее работу банков и клиентов.
15). Платежный документ отправителя, исполненный на бумажном носителе, должен содержать подписи уполномоченных лиц отправителя и оттиск его печати в соответствии с образцами подписей и оттиска печати. При этом если в документе с образцами подписей и оттиском печати в качестве лиц, уполномоченных распоряжаться банковским счетом, указаны лица, обладающие правом первой и второй подписи, наличие подписей данных лиц на платежном документе обязательно.
16). Платежные документы могут представляться как в электронном виде, так и на бумажном носителе. Электронные платежные документы формируются в соответствии с установленными форматами для передачи электронных платежных сообщений и направляются в банк по электронным каналам связи и телекоммуникаций.
17). Представление платежных документов и распоряжений об отзыве платежного документа или о приостановлении его исполнения на магнитном носителе допускается только при условии соблюдения порядка защитных действий от несанкционированных платежей. При этом информация на магнитном носителе должна иметь систему программно - криптографической защиты, принятую банком, если иное не установлено нормативными правовыми актами Национального Банка.
18). Для передачи платежного документа либо распоряжения об его отзыве или о приостановлении его исполнения по факсу банк обязан соблюдать разработанный им порядок защитных действий от несанкционированных платежей и / или переводов денег, включающий в себя помимо визуальной сверки подписей и оттиска печати с имеющимися образцами.
19). Платежный документ либо распоряжение об его отзыве или о приостановлении его исполнения могут быть составлены на государственном и / или русском языках. Возможность использования иных языков при их составлении устанавливается договором между банком и его клиентом.
20). Любые исправления в платежных документах и распоряжениях об их отзыве или о приостановлении их исполнения, исполненных на бумажных носителях, не допускаются. В случае обнаружения банком исправлений, помарок, а также несоответствия сумм, указанных цифрами и прописью, платежный документ банком к исполнению не принимается и возвращается его инициатору не позднее трех рабочих дней со дня получения с указанием причины возврата.
21). Банк - получатель или банк бенефициара вправе отказать в акцепте платежного документа, заполненного и представленного в форме, не соответствующей требованиям настоящих Правил и нормативных правовых актов Национального Банка, регулирующих правила и особенности применения способов осуществления платежей и переводов денег, а также в случаях несоответствия реквизитов клиента (его наименования, индивидуального идентификационного кода, РНН) реквизитам, указанным в платежном документе, валюты платежа, указанной в платежном документе, валюте банковского счета.
22). Изъятие денег отправителя денег с его банковского счета производится на основании акцептованного отправителем денег платежного документа либо платежного документа, не требующего его.
23). Количество экземпляров представляемых платежных документов и распоряжений об отзыве платежного документа или о приостановлении его исполнения, исполненных на бумажном носителе, определяется каждым банком самостоятельно и оговаривается в его правилах об общих условиях проведения операций.
24). Банк не обязан рассматривать претензии, не связанные с его обязательствами перед отправителем денег и / или отправителем указания по осуществлению платежа и/или перевода денег.
25). Не допускается проставление в платежных документах условия об их частичном исполнении.
Список использованной литературы:
Закон Украины «О Едином таможенном тарифе»
Закон Украины "Про зовнішньоекономічну діяльність"
Бахрамов Ю.М., Глухов В.В., Организация внешнеэкономической деятельности. Особенности менеджмента: Учебное пособие. – СПб.: Издательство «Лань», 2001. – 448 с. – (Учебники для ВУЗов. Специальная литература;
Герчикова И.Н. Международное коммерческое дело. М., 1996. С. 133 - 145.
Усатов И. А. Цена и ценообразование в условиях перехода к рыночной экономике. М. 1995.-248с.;
Журнал "Металл Украины" № с 10.02.01 по 10.03.02 г.
http://www.metaltorg.ru/
http://www.referat.ru/ внешнеэкономическая деятельность
3