Споживче кредитування та його розвиток в Україні
МІНІСТЕРСТВО ОСВІТИ ТА НАУКИ УКРАЇНИ
КИЇВСЬКИЙ НАЦІОНАЛЬНИЙ ЕКОНОМІЧНИЙ УНІВЕРСИТЕТ ім. ВАДИМА ГЕТЬМАНА
Кредитно-економічний факультет
Кафедра банківської справи
МАГІСТЕРСЬКА ДИПЛОМНА РОБОТА
на тему :
„ СПОЖИВЧЕ КРЕДИТУВАННЯ ТА ЙОГО РОЗВИТОК В УКРАЇНІ”
Київ 2006
РЕФЕРАТ
Магістерська дипломна робота студента :
на тему: “Споживче кредитування та його розвиток в Україні” складається із вступу, 3 розділів та висновків. Робота викладена на 115 сторінках, містить 28 таблиць, 23 рисунки, додатки на 41 сторінках. Список використаних джерел літератури містить 93 найменування.
Об’єктом дипломного дослідження є – банківські та небанківські продукти споживчого кредитування населення.
Предметом дипломного дослідження є – сутність та портфельний ряд продуктів споживчого кредитування в комерційних банках банківської системи України та небанківських фінансових установах споживчого кредитування.
Мета дипломного дослідження полягає у теоретичному обгрунтуванні важливості впровадження банківськими та небанківськими установами України продуктів споживчого кредитування населення України, розкриттю діючої практики розвитку банківських та небанківських продуктів споживчого кредитування, а також пошуку напрямків їх удосконалення.
Завданнями дипломного проекту були:
дослідження економічної сутності, класифікаційного розподілу та особливостей процесу споживчого кредитування населення в Україні;
проведення аналізу практики споживчого кредитування в банківській системі України та аналіз послуг в кредитному портфелі споживчого кредитування АКБ “Приватбанк”(м. Дніпропетровськ), який є найбільшою банківською установою України в сегменті споживчого кредитування;
розрахувати фактичний середньозважений рівень процентних ставок споживчого кредитування та доказати більш вищу дохідність кредитних операцій споживчого кредитування відносно рівня доходності кредитування юридичних осіб;
провести аналіз діючої практики зниження кредитних ризиків споживчого кредитування в зарубіжних кредитно-фінансових установах;
запропонувати шляхи удосконалення процесу споживчого кредитування за рахунок впровадження нових технологій скоринг-кредитування та оперативного використання автоматизованих банків даних нових інформаційних утворень в Україні бюро кредитних історій юридичних та фізичних осіб, засновником і активним учасником яких є АКБ “Приватбанк”.
провести аналіз шляхів та основних тенденцій появи нових фінансових установ споживчого кредитування як дочірніх підприємств комерційних банків та входження іноземного капіталу на ринок споживчого кредитування в Україні через ці установи.
За результатами дослідження сформульовані наступні результати, які мають практичну цінність:
на прикладі АКБ “Приватбанк” обґрунтовано більш високий рівень прибутковості споживчого кредитування населення та більш низький рівень кредитного ризику диверсифікованих за малими сумами масових кредитів по відношенню до прибутковості та ризику кредитування юридичних осіб;
запропоновано шляхи розширення бази та вдосконалення інструментів споживчого кредитування на базі скоринг-систем та бюро кредитних історій на прикладі діяльності АКБ “Приватбанк”;
проведено оцінку тенденцій появи нових спеціалізованих фінансових компаній споживчого кредитування як дочірніх підприємств банків та виявлений оптимальний сегмент їх роботи на ринку споживчого кредитування – масове кредитування придбання населенням побутових товарів в мережах магазинів при “швидких” формах оформлення кредитів за місцем покупок;
Одержані результати можуть бути використані при стратегічному плануванні розширення бази та вдосконалення інструментів споживчого кредитування населення України банківськими та небанківськими фінансово-кредитними установами.
Рік виконання дипломної роботи 2006
Рік захисту роботи 2006
ЗМІСТ
ВСТУП
РОЗДІЛ 1. ТЕОРЕТИЧНІ ОСНОВИ СПОЖИВЧОГО КРЕДИТУВАННЯ
1.1 Економічна сутність споживчого кредиту
1.2 Класифікація споживчих кредитів
1.3 Особливості процесу споживчого кредитування
РОЗДІЛ 2. АНАЛІЗ ПРАКТИКИ СПОЖИВЧОГО КРЕДИТУВАННЯ
2.1 Місце споживчих кредитів в кредитному портфелі банківської системи України
2.2 Кредитування населення на потреби поточного характеру
2.3 Кредитування населення на потреби капітального характеру
2.4 Аналіз дохідності споживчого кредитування
РОЗДІЛ 3. ШЛЯХИ ПОДАЛЬШОГО УДОСКОНАЛЕННЯ СПОЖИВЧОГО КРЕДИТУВАННЯ НАСЕЛЕННЯ
3.1 Використання зарубіжного досвіду споживчого кредитування в практиці фінансових установ в Україні
3.2 Нові види споживчого кредитування
3.3 Нові форми організації споживчого кредитування на ринку України (дочірні фінансові компанії споживчого кредитування комерційних банків)
ВИСНОВКИ
СПИСОК ВИКОРИСТАНОЇ ЛІТЕРАТУРИ
ДОДАТКИ
ВСТУП
Споживче кредитування стає усе більш і більш цікавим видом бізнесу, як для банків, так і для небанківських фінансових установ. За даними експертів у 2005 році обсяг виданих споживчих кредитів населенню в Україні склав близько 7 млрд. грн. на поточні потреби та біля 10 млрд.грн. інвестиційного іпотечного кредитування, що складає близько 2,8% ВВП. Біля 85,7% обсягу споживчого кредитування приходиться на частку банківської системи. Середня сума позики на одну людину в Україні складає приблизно $136, що значно менше аналогічних показників країн Східної Європи $980.
Споживче кредитування є одним з найпоширеніших видів банківських операцій у розвинутих країнах світу і є одним зі стимулюючих факторів розвитку економік цих країн. Вітчизняні комерційні банки прагнуть до збільшення обсягів кредитування за такими програмами. Разом з тим дана практика призводить до зростання кредитних ризиків. Проблеми розвитку споживчого кредитування розглядаються в працях багатьох вітчизняних і зарубіжних науковців.
У них досліджується зміст і форми проведення споживчого кредитування, визначаються напрями його розвитку в Україні. Проте у науковій літературі недостатньо розглядаються питання, пов’язані з ефективністю операцій споживчого кредитування.
Актуальність теми дипломного проекту полягає в необхідності дослідження сучасного стану, структури та обсягів споживчого кредитування населення комерційними банками України та небанківськими фінансовими установами, як нового суттєвого явища в економіці України 21 сторіччя, доцільності проведення оцінки ефективності різновидів споживчого кредитування та загального рівня порівняльної привабливості споживчого кредитування населення.
Об’єктом дипломного дослідження є – банківські та небанківські продукти споживчого кредитування населення.
Предметом дипломного дослідження є – сутність та портфельний ряд продуктів споживчого кредитування в комерційних банках банківської системи України та небанківських фінансових установах споживчого кредитування.
Мета дипломного дослідження полягає у теоретичному обґрунтуванні важливості впровадження банківськими та небанківськими установами України продуктів споживчого кредитування населення України, розкриттю діючої практики розвитку банківських та небанківських продуктів споживчого кредитування, а також пошуку напрямків удосконалення розвитку сегменту продуктів споживчого кредитування на основі систематизації існуючих тенденцій розвитку цього сектору в зарубіжних кредитного-фінансових установах.
Для досягнення поставленої мети в дипломній роботі вирішуються такі завдання:
досліджено економічну сутність, класифікаційний розподіл та особливості процесу споживчого кредитування населення в Україні;
проведено аналіз практики споживчого кредитування в банківській системі України та аналіз послуг в кредитному портфелі споживчого кредитування АКБ “Приватбанк”(м. Дніпропетровськ), який є найбільшою банківською установою України;
розрахований фактичний середньозважений рівень процентних ставок споживчого кредитування та доказана більш вища дохідність кредитних операцій споживчого кредитування відносно рівня доходності кредитування юридичних осіб;
проведено аналіз діючої практики зниження кредитних ризиків споживчого кредитування в зарубіжних кредитно-фінансових установах;
запропоновано шляхи удосконалення процесу споживчого кредитування за рахунок впровадження нових технологій скоринг-кредитування та оперативного використання автоматизованих банків даних нових інформаційних утворень в Україні бюро кредитних історій юридичних та фізичних осіб, засновником і активним учасником яких є АКБ “Приватбанк”.
проведено аналіз шляхів та основних тенденцій появи нових фінансових установ споживчого кредитування як дочірніх підприємств комерційних банків та входження іноземного капіталу на ринок споживчого кредитування в Україні через ці установи.
Впровадження пропозицій і рекомендацій щодо шляхів розвитку банківських продуктів споживчого кредитування, наданих в магістерській роботі, дозволить:
зосередити увагу банківських установ на привабливість розвитку сектору банківського споживчого кредитування населення, поточний рівень якого в розрахунку на душу населення в Україні в 6 разів нижче середньоєвропейського;
ініціювати участь банківських установ в створенні та розширенні діяльності кредитних бюро для формування кредитної історії всіх фізичних осіб, які колинебудь звертались за кредитом у будьяку кредитну установу країни;
зосередити зусилля кредитних ризик-менеджерів на розробці та удосконалення скорингових систем, які являють собою математичну або статистичну модель, за допомогою якої на основі кредитної історії «минулих» клієнтів банк намагається визначити, наскільки велика імовірність, що конкретний потенційний позичальник поверне кредит у визначений термін;
використати досвід кредитування банків для формування начальних вибірок достатніх обсягів із поділом клієнтів на “ добрих” та “ поганих” з виділом основних вхідних параметрів скорингових моделей;
створити систему спеціалізованих дочірніх банківських структур – фінансових компаній споживчого кредитування, в яких банк буде гарантом фінансової стабільності, джерелом вільних ресурсів для нарощування обсягів споживчого кредитування та організатором телекомунікаційних мереж автоматизованих систем мережевого обслуговування точок продажу продуктів споживчого кредитування і систем приймання платежів позичальників.
Це надасть можливість організувати діяльність банківських та небанківських установ у відповідності з цілісною системою управління розвитку споживчого кредитування населення для задоволення соціальних потреб населення України.
Методами дипломного дослідження є – структурний аналіз, первинні статистичні спостереження, групування та статистистичний аналіз хронологічних рядів параметрів.
Інформаційною базою дипломного дослідження були – звітні документи АКБ “Приватбанк”, статистичні матеріали Національного банку України, Асоціації українських банків, Держкомстату України, Держфінпослуг України за 2000 – 2006 роки., публікації в економічній літературі.
РОЗДІЛ 1. ТЕОРЕТИЧНІ ОСНОВИ СПОЖИВЧОГО КРЕДИТУВАННЯ
1.1 Економічна сутність споживчого кредиту
Категорія “кредит” як в теоретичному, так і практичному аспекті явище без сумніву цікаве. Слово “кредит” походить від латинського “сreditum”, що означає “позика”, “борг”. Деякі лінгвісти пов'язують його із “credos”, тобто “вірю”. Отже, категорія кредиту так чи інакше розглядається економічною наукою, як відносини про надання позики однією особою іншій, що засновані на довірі та передбачають повернення наданої вартості у певний строк з сплатою ціни за користування. Таким чином, можна говорити, що кредитним відносинам притаманні такі базові ознаки [41, с.212]:
феномен кредитування означає передачу вартості однією особою іншій у тимчасове користування на умовах повернення та платності;
економічною основою кредиту є тимчасово вільна від обігу мобілізована вартість, що здатна до відчуження та формування позичкового капіталу;
кредитні відносини передбачають наявність довіри, тобто передбачають вільний рух інформації між позичальником і кредитором.
Таким чином, кредит – це економічні відносини, що виникають між кредитором та позичальником з приводу передачі тимчасово вільних коштів на умовах їх повернення та сплати ціни за користування. Кредит є однією з основних форм руху позичкового капіталу.
Найповніше суть категорії кредит проявляється у функціях, що він виконує. Сучасні економісти відзначають три його основні функції: перерозподільчу, емісійну та контрольну [42, с.79].
Перерозподільча функція кредиту полягає у перерозподілі за допомогою кредиту грошових капіталів між різними суб`єктами народного господарства на засадах повернення та платності. Ця функція проявляється як в процесі мобілізації тимчасово вільних грошових коштів суб`єктів господарювання, так і в процесі їх розміщення на ринку позичкового капіталу. Таким чином, за допомогою цієї функції відбувається своєрідне зосередження позичкового капіталу у найпріоритетніших сферах економічної діяльності.
Емісійна функція кредиту полягає у можливості створення за рахунок кредиту додаткових засобів платежу. Особливого значення дана функція отримала при переході від використання реальних грошей до вводу кредитних засобів обігу. Будь-яка емісія грошей в обіг є результатом кредитної операції. Видача позики збільшує масу грошей в обігу, погашення кредиту її зменшує. Отже, в наслідок вмілого використання кредиту у рамках цієї функції, уряд отримує ефективний інструмент регулювання економіки.
Контрольна функція кредиту полягає в тому, що в процесі кредитування забезпечується контроль за дотриманням умов та принципів кредиту з боку суб`єктів кредитної угоди. Отже, кредит значно посилює контрольні процеси у народному господарстві, підвищує ефективність використання коштів, стимулює процес розширеного відтворення.
Загальноприйнято виділення форм кредиту за наступними функціональними ознаками: характер кредитних відносин, склад учасників кредитної операції, об'єкт і сфера кредитування та ін. Таким чином, в економічній літературі аналізуються наступні форми кредиту: товарна і грошова.
В економічній та законодавчо-нормативній літературі на даний час немає єдиного підходу до визначення сутності споживчого кредиту. Аналіз наукової літератури та нормативних документів банківської практики показує, що основними визначеннями терміну “споживчий кредит” є наступні:
1. За визначенням Г.С.Панової (Росія,1994) [69, с.112] споживчий кредит – це кредит, який надається фізичним особам на придбання споживчих товарів та послуг і який погашається поступово. Споживчий кредит характеризує відносини, що виникають з приводу фінансування потреб кінцевого споживання. Суб`єктами споживчого кредитування у якості позичальників виступає населення, у якості кредитора – банки, кредитні спілки, підприємства виробники, торгівельні посередники. Споживчий кредит за формою надання поділяється на прямий (надається безпосередньо банківськими установами) та непрямий (надається через посередників, т.б. торгівельні організації, тощо).
Споживчі кредити надаються, як правило, на строк до десяти років, але конкретні параметри кредиту залежать від багатьох факторів: об`єкту кредитування, доходів позичальника, вартості товару тощо.
2. За визначенням С.В.Мочерного (Україна,1995) [44, с.176] споживчий кредит – це кредит, який надається тільки в національній грошовій одиниці фізичним особам-резидентам України на придбання споживчих товарів тривалого користування та послуг і повертається в розстрочку , якщо інше не передбачено умовами кредитного договору. Суб’єктами кредитних відносин являються фізичні особи (позичальники) , а в особі кредитора виступають банки, інші кредитні установи (ломбарди, пункти прокату та інші підприємства та організації). Між банком та населенням може існувати й посередник, наприклад торгівельна організація, однак при цьому зміст споживчого кредиту не змінюється.
3. За визначенням В.О.Тиркало (2000) [83, с.45] споживчий кредит – це кошти, які надаються комерційними банками громадянам України під процент у тимчасове користування на умовах забезпечення, повернення, строковості, платності та цільової спрямованості.
4. Згідно з раніше діючим „Положенням про кредитування”(№ 246 1995 рік) Національного банку України споживчий кредит – це кредит, який надається тільки в національній грошовій одиниці фізичним особам-резидентам України на придбання споживчих товарів тривалого користування та послуг і який повертається в розстрочку, якщо інше не передбачено умовами кредитного договору.
5. В роботах Коцовської Р.Р., Ричаківської В.М. (1997) [58, с. 62] вказано, що суб’єктами споживчого кредитування є фізичні особи. У ролі кредиторів виступають комерційні банки, ощадні каси й асоціації, ломбарди, кредитні спілки, підприємства й організації. Між банками і населенням може існувати посередник, наприклад торговельна організація. Об’єкти споживчого кредитування – це затрати, пов’язані із задоволенням потреб населення для купівлі товарів в особисту власність, а також затрати інвестиційного характеру на будівництво і підтримку нерухомості.
6. За визначенням А.М.Мороза та М.І.Савлука (2000 р.) [34, с.113] споживчий кредит – це кредит, що спрямовується на задоволення особистих потреб людей, тобто обслуговує сферу особистого споживання. На перший погляд, складається враження, що тільки виробничий кредит відповідає всім закономірностям руху кредиту, оскільки в результаті його використання створюється нова вартість і передумови для повного повернення позиченої вартості кредитору. У сфері ж особистого споживання позичена вартість знищується, "проїдається" і тому тут не створюються передумови для її зворотного руху як ключової ознаки кредиту. Автори вказують, що споживчий кредит, здається, можна вважати аномалією. Проте це не так. Особисте споживання, "знищуючи" вартість предметів споживання, забезпечує підтримку та зростання вартості робочої сили, продаж якої на ринку створює джерело повернення позиченої вартості кредитору. Тому і споживчий кредит цілком відповідає усім закономірностям руху кредиту. Джерелами погашення кредитів на споживчі потреби є доходи позичальників, через що погашення кредиту здійснюється у міру їх формування.
Автори додатково вказують, що в широкому розумінні споживчий кредит – це кредит, який надається не тільки фізичним, але і юридичним особам на споживчі цілі, коли юридичні особи опосередковано надають кошти отриманого кредиту своїм працівникам у вигляді централізованого придбання для них квартир, дач, земельних ділянок під садівництво.
Споживчий кредит може надаватись як банками, та кредитними установами небанківського типу, а також юридичними і фізичними особами. В Україні кредитними установами небанківського типу, що надають споживчий кредит, є ломбарди (надають кредит під рухоме майно дорогоцінності, антикваріат, одяг тощо), кредитні спілки, підприємства зв'язку (телеграми і телефонні розмови в кредит), торговельні організації (продаж товарів з розстрочкою платежу). Кредити своїм працівникам можуть надавати суб'єкти господарювання за рахунок спеціальних фондів, які вони створюють у результаті розподілу прибутку, що залишається в їх розпорядженні. Фізичні особи також можуть надавати кредит на споживчі цілі одна одній.
Спірним серед економістів є питання щодо надання споживчого кредиту юридичним особам. На думку авторів, юридичні особи можуть отримувати споживчий кредит. Так у багатьох країнах з ринковою економікою підприємства забезпечують своїх працівників житлом та об'єктами соціально-культурного призначення. Навіть за умов економічної кризи в Україні деякі підприємства здійснюють будівництво таких об'єктів, особливо житлових будинків. Для їх будівництва вони можуть отримувати кредит.
Окрім забезпечення соціальних потреб населення, споживчий кредит відіграє значну роль у формуванні платоспроможного попиту населення, який, у свою чергу, впливає на розвиток економіки країни, полегшуючи процес реалізації продукції, прискорюючи отримання прибутку і доходів державного бюджету. Визначення державою умов надання споживчого кредиту допомагає регулювати грошовий обіг у країні.
До 2003 року Національним банком України споживчий кредит визначався як позичка, яка надається тільки в національній грошовій одиниці фізичним особам резидентам України на придбання споживчих товарів тривалого користування та послуг, тобто реклама видачі споживчих кредитів в іноземній валюті порушувала Декрет Кабінету Міністрів „ Про валютне регулювання” [12, с.4], в якому єдиним законним платіжним засобом на території України визначена національна валюта – гривня і , відповідно, ціна на території України на всі споживчі товари тривалого користування та послуги визначається в актах купівлі-продажу тільки в гривнях.
Постановою Правління НБУ від 05.03.2003 р. №79 “Про внесення змін до Положення про кредитування” було визначено, що споживчий кредит може бути виданий банком не лише в національній грошовій одиниці, а й в іноземній валюті. Крім того, скасовано дотримання цільового використання споживчого кредиту. Але цільовий характер використання споживчих кредитів може бути передбачений у кредитному договорі за згодою сторін. В процедурі надання кредитів скасовано колегіальність вирішення питання про надання кредиту незалежно від його розміру — банки приймають рішення щодо надання кредитів позичальникам відповідно до своїх статутів та внутрішніх положень, які регулюють кредитну діяльність.
Таким чином, проаналізувавши вищенаведене, слід відмітити, що споживчий кредит має багато специфічних рис, пов`язаних із особливостями сфери особистого споживання громадян.
По-перше, цей вид позики відображає відносини між кредитором і позичальником, сенс яких полягає у кредитуванні кінцевого споживання, на відміну від позик, які надають суб`єктам господарювання для виробничих цілей або для придбання активів, що породжують рух вартості.
По-друге, на відміну від інших видів кредиту, якими користуються переважно суб`єкти господарювання, споживчі кредити одержують, як правило, фізичні особи.
По-третє, споживчий кредит є засобом задоволення споживчих потреб населення, тобто особистих, індивідуальних потреб людей. Така позика прискорює отримання певних благ ( товарів, послуг), які вони могли б мати (придбати) лише у майбутньому, накопичивши кошти, необхідні для купівлі цих товарно-матеріальних цінностей або послуг, будівництва тощо. Надання споживчих позик населенню з одного боку, підвищує їх платоспроможний попит, життєвий рівень в цілому, а з іншого – прискорює реалізацію товарних запасів, послуг, сприяє створенню основних фондів.
По-четверте, всі види споживчого кредиту мають соціальний характер, оскільки вони сприяють вирішенню суспільних проблем – підвищенню життєвого рівня населення (передусім із низьким та середніми доходами ), утвердженню принципів соціальної справедливості. Саме із цієї причини споживче кредитування здебільшого регулюється державами особливо ретельно. У нашій країні це виражається у тому, що споживчі позики зазвичай надаються на пільгових умовах.
В процесі погашення споживчих позик у населення зменшується на відповідну суму платоспроможний попит, що необхідно враховувати при визначенні обсягу та структури товарообігу, платних послуг, динаміки доходів та витрат населення, грошової маси в обігу. Таким чином розмір кредитів тісно пов’язаний з формуванням купівельного фонду населення та його відповідності обсягу до структури товарного фонду та послуг.
Суб’єктами кредитних відносин при споживчому кредитуванні являються фізичні особи (позичальники ) , а в особі кредитора виступають банки, інші небанківські кредитні установи. Між банком та населенням може існувати й посередник, наприклад торгівельна організація, однак при цьому зміст споживчого кредиту не змінюється.
Об’єктом кредитування є витрати, пов’язані з задоволенням попиту населення поточного характеру, в тому числі придбання товарів в особисту власність, а також витрати капітального (інвестиційного) характеру на будівництво та підтримання нерухомого майна.
Враховуючи це, з нашої точки зору, найбільш економічно та організаційно обґрунтованим визначенням споживчого кредиту є його класифікація як невиробничого кредиту, тобто не призначеного для отримання додаткового прибутку, що може бути сформульовано як:
„Споживчий кредит – це грошові кошти в національній чи іноземній валютах, які надаються комерційними банками та фінансовими установами, діючими згідно Закону України «Про фінансові послуги та державне регулювання ринків фінансових послуг„ [1, с.3] та отримавшими ліцензію Національного банку України чи Держфінпослуг України на проведення кредитних операцій банківськими [15, с.2] та небанківськими фінансовими установами [25, с.3], громадянам України на невиробничі потреби під процент у тимчасове користування на умовах забезпечення, повернення, строковості, платності та цільової спрямованості”.
Тобто, на нашу думку, слід в визначенні споживчого кредиту:
повернути його цільову спрямованість, оскільки її відсутність не дає можливості ефективно контролювати повернення кредиту;
видалити фразу про можливість надання споживчого кредиту однією фізичною особою іншій фізичній особі, оскільки така фінансова операція окремо обумовлена Цивільним Кодексом України та має свій правочин (Стаття 1054. „Кредитний договір” Цивільного Кодексу України [13, с.627]: За кредитним договором банк або інша фінансова установа (кредитодавець) зобов'язується надати грошові кошти (кредит) позичальникові у розмірі та на умовах, встановлених договором, а позичальник зобов'язується повернути кредит та сплатити проценти);
видалити фразу про можливість надання товарного споживчого кредиту нефінансовими торгівельними установами, оскільки процес товарного кредитування з відстрочкою сплати суми покупки не має основних елементів кругооберту позикового капіталу і словосполучення для юридичних осіб „товарний кредит” повинно бути замінено для споживачів на „торгівлю товарами в розстрочку”(Стаття 694. „Продаж товару в кредит”, Стаття 695. „Особливості оплати товару з розстроченням платежу” Цивільного Кодексу України [13, с.743]).
Таким чином, на основі аналізу викладених вище різних точок зору маємо можливість сформулювати економічну сутність споживчого кредиту як:
„Споживчий кредит це невиробничий кредит, тобто не призначений для отримання додаткового прибутку, який надається для задоволення споживчих потреб населення (кредит фізичній особі) чи найманих працівників (кредит юридичній особі), під процент у тимчасове користування на умовах забезпечення, повернення, строковості, платності та цільової спрямованості та сплачується за рахунок джерел, не пов”язаних з експлуатацією наданого кредиту”.
1.2 Класифікація споживчих кредитів
Існують різні ознаки класифікації споживчих кредитів. Аналіз засвідчив, що в більшості джерел ознаки, які використовуються в класифікації споживчого кредитування співпадають з ознаками класифікації кредитів взагалі. Кількість ознак різниться у різних авторів [33, с. 212], [34, с.75], [35, с.302], але найбільш розповсюдженими класифікаційними ознаками споживчих кредитів є наступні (рис.1.1):
за об'єктами кредитування;
за строками кредитування;
за способом надання;
за видами забезпечення;
за методами погашення;
за методом стягнення процентів;
за характером кругообороту коштів.
за суб’єктами кредитування (банківські та небанківські кредитно-фінансові установи)
1. За об'єктами кредитування (напрямами використання) в Україні споживчі кредити поділяються на два види:
на споживчі цілі і нагальні потреби;
на затрати капітального характеру.
2. За строками кредитування споживчі кредити поділяють на:
короткострокові (строком від 1го дня до 1го року);
довгострокові (строком понад 1 рік).
Строки надання споживчих кредитів різноманітні. З загальної суми споживчих кредитів значна частина приходиться на короткострокові та середньострокові кредити. Деякі з них видаються з розстрочкою платежу. Довгострокові кредити видаються на інвестиційні цілі.
3. За способом надання споживчі кредити поділяють на цільові і нецільові (на невідкладні потреби, овердрафт та ін.).
4
середньострокові
Рис.1.1. Класифікація споживчих кредитів [34]
. За забезпеченням розрізняють позики незабезпечені (бланкові) і забезпечені (заставою, гарантіями, поручительствами, страхуванням).5. За методом погашення розрізняють кредити, які погашаються одночасно, й кредити з розстрочкою платежу.
6. За методом стягнення процентів кредити класифікують так:
кредити зі стягненням процентів у момент його надання;
позики зі сплатою процентів у момент погашення кредиту;
позики зі сплатою процентів рівними внесками протягом усього строку кредитування (щоквартально, один раз у півріччя, або за спеціально обумовленим графіком).
7. За характером кругообороту коштів кредити поділяють на разові і відновлювальні (револьверні). В групу револьверних, як правило, включають кредити, які надаються клієнтам за кредитними картками, або кредити за єдиними активно-пасивними рахунками у формі овердрафту.
8. В залежності від цільового призначення споживчі кредити поділяються на:
інвестиційні;
для купівлі товарів та сплати послуг;
на розвиток підсобного господарства;
цільові кредити окремим соціальним групам;
на нецільові споживчі потреби;
відстрочені кредити у вигляді кредитних карток
До інвестиційних відносяться позики на кооперативне житлове будівництво та придбання квартир, індивідуальних житлових будинків, садових будиночків, благоустрій садових ділянок, реконструкцію, капітальний ремонт індивідуальних житлових будинків, дач.
Наступна група об’єднує позики для придбання окремих споживчих товарів або сплати послуг, розстрочку платежів за товари довгострокового користування, прокат деяких предметів споживання.
До кредитів на розвиток особистих підсобних господарств відносяться позики на купівлю сільськогосподарської техніки, транспортних засобів, купівлю посадкового матеріалу, фруктових дерев, добрив.
Нецільові споживчі кредити можуть надаватися населенню комерційними банками та ломбардами під заставу майна без зазначення мети використання кредиту. Це може бути кредит на невідкладні потреби, здійснення затрат, що виникають в зв’язку з особливими або непередбачуваними обставинами (лікування, нещасний випадок, туризм та інше ).
Новим в споживчому кредиті є відстрочений кредит у вигляді банківських кредитних карток. При депозитній формі картки між кредитором та позичальником передбачається обумовлене завчасно автоматичне надання кредиту в момент вичерпання залишку коштів на рахунку (овердрафтні кредити). Такі позики можуть погашатися або в процесі надходження на рахунок грошових коштів (вкладів) або спеціальними внесками позичальника. При кредитній формі картки надання кредиту та ідентифікації клієнта базується на застосуванні спеціального карткового рахунку, який управляється за допомогою телекомунікаційних засобів віддаленого управління(банкомати, термінали, Інтернет). Кредитні картки припускають участь трьох сторін власника картки, банку та торгівельної організації. Пластикова картка з виділеними символами, видана банком покупцеві, служить для торгівельної організації свідченням того, що банк гарантує відкриття кредиту власнику цієї картки . Картка надається клієнту, якщо стан його депозитних та позичкових операцій з банком задовільний. По кожній картці встановлюється ліміт, який може бути змінено в ту чи іншу сторону в залежності від режиму використання картки її власником. Кредитні картки застосовуються і при сплаті за послуги. Використання кредитних карток поліпшує надання споживчих кредитів. Вони служать знаряддям обігу та скорочують потреби в готівкових грошах.
9. За суб’єктами кредитування кредитори можуть бути структуровані як банківські та небанківські фінансові установи.
Банки кредитори можуть надавати споживчі кредити безпосередньо позичальникам ( прямі кредити), що звертаються в банк за позикою, або побічні через посередників (торговельну організацію, ломбард, пункт прокату).
В зв’язку з тим, що торгівельні організації не завжди мають грошові кошти, щоб перекрити всю заборгованість по наданому ними кредиту покупцеві, вони самі звертаються в банки за позиками. Непряме кредитування дозволяє надавати кредити без значного збільшення операційних витрат банку.
Банк надає кредити фізичним особам у розмірах, що визначається виходячи з вартості товарів і послуг, які є об`єктом кредитування, в межах вартості майна, майнових прав, які можуть бути передані банку в забезпечення фізичною особою з урахуванням суми її поточних доходів.
В нашій країні (ще за часів СРСР) аж до перебудовчих процесів в економіці (до 1987 р.) переважали два основні види споживчого кредиту: кредит на купівлю товарів тривалого користування та на житлове будівництво (індивідуальне та кооперативне). Перший вид кредиту носив побічний характер, так як його надавали різні торгові організації при посередництві кредиту Держбанку, а другий вид кредиту видавався безпосередньо кредитними установами (Держбанком та Будбанком ) [41, с.162].
З початком процесу формування ринкових форм господарювання, який супроводжувався падінням виробництва, а відповідно й товарообігу, втратило своє практичне значення кредитування населення в формі придбання товарів в торгівлі з розстрочкою платежу. У кінці 90х років 20 сторіччя разом з зупинкою падіння виробництва в Україні кредитування житлового будівництва, а також надання деяких інших видів споживчого кредитування (на будівництво і благоустрій садових ділянок, будівництво, купівлю і ремонт будівель в сільській місцевості для сезонного проживання, на купівлю молодняку худоби та господарське обзаведення, на невідкладні споживчі потреби ) поступово взяли на себе комерційні банки України (спільний проект іпотечного споживчого кредитування будівництва житла для громадян АКБ „Аркада” та „Київмісьбуд”).
Кредитування споживчих потреб населення комерційними банками України здійснюється при дотриманні таких же принципів, що й при кредитуванні юридичних осіб: терміновості, повернення, цільової спрямованості, платності, забезпеченості. Важливим критерієм є платоспроможність позичальника .
Відповідно до Закону України "Про фінансові послуги та державне регулювання ринків фінансових послуг" [1, с.6] в Україні на сьогоднішній день надання споживчих кредитів здійснюється також наступними небанківськими фінансовими установами, які мають право надавати фінансові послуги за умови включення інформації про них до Державного реєстру фінансових установ [18, с.3] та функціонують під контролем Державної комісії з регулювання ринків фінансових послуг (Держфінпослуг) [1, с.3]:
кредитні спілки;
ломбарди;
страхові компанії по довгостроковому страхуванню життя;
спеціалізовані фінансові компанії споживчого кредитування ;
Таким чином, аналізуючи наведені матеріали слід відзначити, що не існує єдиної класифікації споживчих кредитів. В роботі запропонована класифікація, яка є найбільш вдалою, на мій погляд, за кредитним ризиком забезпечення об”єктів споживчого кредитування:
малоризикове цільове іпотечне кредитування з заставою нерухомості та страхуванням (до 100000 доларів США);
середньоризикове цільове кредитування засобів транспорту з їх заставою та страхуванням (до 20000 доларів США);
високоризикове цільове кредитування придбання меблів та складної побутової техніки без застави (до 5000 доларів США);
найризиковіше нецільове беззаставне кредитування придбання
споживачем товарів та послуг(до 1000 доларів США).
1.3 Особливості процесу споживчого кредитування
Правове регулювання відносин між споживачами товарів, робіт і послуг та виробниками і продавцями товарів, виконавцями робіт і тими, хто надає послуги, здійснюється за допомогою законодавства про захист прав споживачів, що містить сукупність галузевих нормативних правових актів, у яких встановлюються основні права споживачів, визначається механізм реалізації та захисту цих прав, зокрема щодо гарантій, а також встановлюються юридичні наслідки порушення зазначених прав [13, с.602].
Одне з центральних місць у споживчому законодавстві України посідає саме Закон «Про захист прав споживачів» [3, с.3], який, необхідно визнати, є комплексним нормативним правовим актом. У ньому об'єднані норми цивільного та адміністративного права, представлені норми цивільного процесуального та фінансового права. 1 грудня 2005 р. ВР України прийняла Закон України «Про внесення змін до Закону України «Про захист прав споживачів», яким Закон України «Про захист прав споживачів» викладено в новій редакції. Основною новизною цих змін є те, що нормами зазначеного Закону регулюються відносини із надання споживчого кредиту.
Закон [3, с.4] визначає споживчий кредит як кошти, що надаються кредитодавцем (банком або іншою фінансовою установою) споживачеві на придбання продукції. Споживачем виступає фізична особа, яка придбаває, замовляє, використовує або має намір придбати чи замовити продукцію для особистих потреб, безпосередньо не пов’язаних з підприємницькою діяльністю або виконанням обов’язків найманого працівника. Продукцією, в розумінні Закону, є будь-які вироби (товар), робота чи послуга, що виготовляються, виконуються чи надаються для задоволення суспільних потреб. Таким чином, споживчий кредит це не тільки кредитування на придбання товару, а й на надання певних послуг.
Нормами ст. 11 Закону врегульовано права споживачів на випадок укладення ними кредитних договорів (зокрема, при здійсненні операцій з кредитування банківських рахунків споживачів), відповідно до яких кредитодавець надає кошти (споживчий кредит) або бере зобов’язання надати їх споживачеві на придбання продукції, а споживач зобов’язується повернути їх разом із нарахованими відсотками.
Права споживача в разі придбання ним продукції у кредит обумовлюються наступними документами та процесами, встановленими Законом [3, с.6]:
1. Договір про надання споживчого кредиту укладається між кредитодавцем та споживачем, відповідно до якого кредитодавець надає кошти (споживчий кредит) або бере зобов'язання надати їх споживачеві для придбання продукції у розмірі та на умовах, встановлених договором, а споживач зобов'язується повернути їх разом з нарахованими відсотками.
2. Перед укладенням договору про надання споживчого кредиту кредитодавець зобов'язаний повідомити споживача у письмовій формі про:
1) особу та місцезнаходження кредитодавця;
2) кредитні умови, зокрема:
а) мету, для якої споживчий кредит може бути витрачений;
б) форми його забезпечення;
в) наявні форми кредитування з коротким описом відмінностей між ними, в тому числі між зобов'язаннями споживача;
г) тип відсоткової ставки;
ґ) суму, на яку кредит може бути виданий;
д) орієнтовну сукупну вартість кредиту та вартість послуги з оформлення договору про надання кредиту (перелік усіх витрат, пов'язаних з одержанням кредиту, його обслуговуванням та поверненням, зокрема таких, як адміністративні витрати, витрати на страхування, юридичне оформлення тощо);
е) строк, на який кредит може бути одержаний;
є) варіанти повернення кредиту, включаючи кількість платежів, їх частоту та обсяги;
ж) можливість дострокового повернення кредиту та його умови;
з) необхідність здійснення оцінки майна та, якщо така оцінка є необхідною, ким вона здійснюється;
и) податковий режим сплати відсотків та про державні субсидії, на які споживач має право, або відомості про те, від кого споживач може одержати докладнішу інформацію;
і) переваги та недоліки пропонованих схем кредитування.
3. Кредитодавець не має права вимагати від споживача відомостей, які не стосуються визначення його платоспроможності та не є необхідними для надання споживчого кредиту.
Персональні дані, одержані від споживача або іншої особи у зв'язку з укладенням та виконанням договору про надання споживчого кредиту, можуть використовуватися виключно для оцінки фінансового стану споживача та його спроможності виконати зобов'язання за таким договором.
Не є порушенням положень абзацу другого цієї частини повідомлення кредитодавцем відомостей про споживача Бюро кредитних історій, яке займається збиранням, обробленням, зберіганням, захистом і використанням інформації відповідно до законодавства про формування і ведення кредитних історій.
4. Договір про надання споживчого кредиту укладається у письмовій формі, один з оригіналів якого передається споживачеві. Обов'язок доведення того, що один з оригіналів договору був переданий споживачеві, покладається на кредитодавця.
Споживач не зобов'язаний сплачувати кредитодавцеві будь-які збори, відсотки або інші вартісні елементи кредиту, що не були зазначені у договорі.
У договорі про надання споживчого кредиту зазначаються:
1) сума кредиту;
2) детальний розпис загальної вартості кредиту для споживача;
3) дата видачі кредиту або, якщо кредит видаватиметься частинами, дати і суми надання таких частин кредиту та інші умови надання кредиту;
4) право дострокового повернення кредиту;
5) річна відсоткова ставка за кредитом;
6) інші умови, визначені законодавством.
У договорі про надання споживчого кредиту може зазначатися, що відсоткова ставка за кредитом може змінюватися залежно від зміни облікової ставки Національного банку України або в інших випадках. Про зміну відсоткової ставки за споживчим кредитом споживач повідомляється кредитодавцем письмово протягом семи календарних днів з дати її зміни. Без такого повідомлення будь-яка зміна відсоткової ставки є недійсною.
5. До договорів із споживачами про надання споживчого кредиту застосовуються положення Закону [3, c.12] про несправедливі умови в договорах, зокрема положення, згідно з якими:
1) для надання кредиту необхідно передати як забезпечення повну суму або частину суми кредиту чи використати її повністю або частково для покладення на депозит, або викупу цінних паперів, або інших фінансових інструментів, крім випадків, коли споживач одержує за таким депозитом, такими цінними паперами чи іншими фінансовими інструментами таку ж або більшу відсоткову ставку, як і ставка за його кредитом;
2) споживач зобов'язаний під час укладення договору укласти інший договір з кредитодавцем або третьою особою, визначеною кредитодавцем, крім випадків, коли укладення такого договору вимагається законодавством та/або коли витрати за таким договором прямо передбачені у складі сукупної вартості кредиту для споживача;
3) передбачаються зміни в будь-яких витратах за договором, крім відсоткової ставки;
4) встановлюються дискримінаційні стосовно споживача правила зміни відсоткової ставки.
6. Споживач має право протягом чотирнадцяти календарних днів відкликати свою згоду на укладення договору про надання споживчого кредиту без пояснення причин. Перебіг цього строку розпочинається з моменту передачі споживачеві примірника укладеного договору.
Відкликання згоди оформлюється письмовим повідомленням, яке споживач зобов'язаний подати особисто чи через уповноваженого представника або надіслати кредитодавцю до закінчення строку, зазначеного в абзаці першому цієї частини. З відкликанням згоди на укладення договору про надання споживчого кредиту споживач повинен одночасно повернути кредитодавцю кошти або товари, одержані згідно з договором.
Споживач також сплачує відсотки за період між моментом одержання коштів та моментом їх повернення за ставкою, встановленою в договорі.
Споживач не зобов'язаний сплачувати будь-які інші збори у зв'язку з відкликанням згоди.
Кредитодавець зобов'язаний повернути споживачеві кошти, сплачені ним згідно з договором про надання споживчого кредиту, але не пізніше, ніж протягом семи днів. За кожний день затримки повернення споживачу коштів, сплачених ним згідно з договором про надання споживчого кредиту понад установлений строк (сім днів), споживачеві виплачується неустойка в розмірі одного відсотка суми, належної до повернення кредитодавцем.
7. Право відкликання згоди не застосовується щодо:
1) споживчих кредитів, забезпечених іпотекою;
2) споживчих кредитів на придбання житла;
3) споживчих кредитів, наданих на купівлю послуги, виконання якої відбулося до закінчення строку відкликання згоди.
8. Споживач має право достроково повернути споживчий кредит, у тому числі шляхом збільшення суми періодичних виплат.
Якщо споживач скористався правом повернення споживчого кредиту шляхом збільшення суми періодичних виплат, встановлених в абзаці першому цієї частини, кредитодавець зобов'язаний здійснити відповідне коригування кредитних зобов'язань споживача у бік їх зменшення.
9. У разі реалізації споживачем своїх прав, передбачених статтями 8 і 10 Закону [3, с.12], ці права діють і стосовно кредитодавця, що надав йому споживчий кредит для придбання продукції. Кредитодавець у такому випадку зобов'язаний повернути споживачеві суму вже здійснених ним виплат при розірванні договору купівліпродажу (виконання роботи, надання послуги) або здійснити відповідне коригування кредитних зобов'язань споживача.
10. Якщо кредитодавець згідно з договором про надання споживчого кредиту одержує внаслідок порушення споживачем умов договору право на вимогу повернення споживчого кредиту, строк виплати якого ще не настав, або на вилучення продукції чи застосування іншої санкції, він може використати таке право лише у разі:
1) затримання сплати частини кредиту та/або відсотків щонайменше на один календарний місяць; або
2) перевищення сумою заборгованості суми кредиту більш як на десять відсотків; або
3) несплати споживачем більше однієї виплати, яка перевищує п'ять відсотків суми кредиту; або
4) іншого істотного порушення умов договору про надання споживчого кредиту.
Якщо кредитодавець на основі умов договору про надання споживчого кредиту вимагає здійснення внесків, строк сплати яких не настав, або повернення споживчого кредиту, такі внески або повернення споживчого кредиту можуть бути здійснені споживачем протягом тридцяти календарних днів з дати одержання повідомлення про таку вимогу від кредитодавця. Якщо протягом цього періоду споживач усуне порушення умов договору про надання споживчого кредиту, вимога кредитодавця втрачає чинність.
11. Якщо кредитодавець у позасудовому порядку або до судового провадження звертається з вимогою про повернення споживчого кредиту або погашення іншого боргового зобов'язання споживача, кредитодавець не може у будьякий спосіб вимагати будь-якої плати або винагороди від споживача за таке звернення.
При цьому кредитодавцю забороняється:
1) надавати неправдиву інформацію про наслідки несплати споживчого кредиту;
2) вилучати продукцію у споживача без його згоди або без одержання відповідного судового рішення;
3) зазначати на конвертах з поштовими повідомленнями інформацію про те, що вони стосуються несплати боргу або споживчого кредиту;
4) вимагати стягнення будь-яких сум, не зазначених у договорі про надання споживчого кредиту;
5) звертатися без згоди споживача за інформацією про його фінансовий стан до третіх осіб, які пов'язані зі споживачем родинними, особистими, діловими, професійними або іншими стосунками у соціальному бутті споживача;
6) вчиняти дії, що вважаються нечесною підприємницькою практикою;
7) вимагати повернення споживчого кредиту, строк давності якого минув.
Таким чином, нова редакція Закону «Про захист прав споживачів»[3, с.2] врегулювала відносини, які складаються між кредитодавцем та позичальником (споживачем), що можуть мати місце під час виконання ними взятих на себе зобов'язань відповідно до укладеного кредитного договору .
В той же час, запровадження норм, які регулюють права споживача в разі придбання ним продукції у кредит створює можливість виникнення в діяльності банків певних ризиків під час укладення та виконання договорів про споживчий кредит із фізичними особами, які не є суб'єктами підприємницької діяльності, що обумовлені нормами ст. 11 Закону України «Про захист прав споживачів» [3, с.13].
РОЗДІЛ 2. АНАЛІЗ ПРАКТИКИ СПОЖИВЧОГО КРЕДИТУВАННЯ
2.1 Місце споживчих кредитів в кредитному портфелі банківської системи України
Основне досягнення банків минулого (2005) року — більш ніж двократне зростання обсягів роздрібних кредитів. Асоціація українських банків оприлюднила фінансові результати діяльності банків за 2005 рік [86, табл. А.2А.7 Додатку А]. Один із чинників зростання банківського сектору — розширення співпраці з населенням. Якщо великі компанії або взагалі не кредитувалися, або віддавали перевагу співпраці із західними банками, то попит громадян та банківські послуги різко зріс.
Порівняно з 2004 роком вклади українців збільшилися на 76%, кредити фізичним особам — у 2,3 рази. Рекордні темпи зростання роздрібних кредитів передусім є наслідком іпотечного буму. Лідерами за темпами нарощування кредитів громадянам стали Райффайзенбанк (278%) та УкрСиббанк (235%) — найактивніші на ринку житлового та автокредитування (табл.2.1)
Частка споживчих кредитів у загальному кредитному портфелі банків країн Західної Європи сягає 50 %, у східноєвропейських країнах близько 19 %, в українських банках на початок 2006 року вона склала 12 %. Процентні ставки по споживчих кредитах складають у Японії — 1,9 %, Великобританії — 3,7 %, у США — 4,2 %, Франції — 6,6 %.
Базові умови споживчих кредитів в банках України на придбання товарів тривалого користування: кредити видаються в гривнях, доларах і євро; сума кредиту — від 5 тис. грн. до 20 тис. дол.; термін кредиту — від 1 до 5 років; мінімальний внесок позичальника за рахунок власних коштів — 1030 % суми, зазначеної в рахунку-фактурі; процентна ставка — 1925 % річних; забезпечення — застава майна; обов’язкове страхування: страхування застави, страхування титулу власності, особисте страхування від нещасного випадку; погашення основної суми і відсотків — щомісяця (можливе дострокове погашення).
Споживче кредитування в Україні під “товари на виплат” є беззаставним і виконується простіше. Базові умови такого кредитування: термін кредиту — від 1 до 24 місяців; сума кредиту — до 5 тис. грн.; валюта — гривня; процентна ставка — 1,83 % на місяць; погашення основної суми і відсотків — щомісяця (можливо дострокове погашення кредиту).
Таблиця 2.1 Найбільші банки споживчого кредитування населення України [86]
|
№ п/п |
Найбільші роздрібні банки України |
Кредити фізособам на кінець 2005 року, млн грн |
Приріст за рік, % |
Депозити фізосіб на кінець 2005 року, млн грн |
Приріст за рік, % |
|
1 |
ПриватБанк |
6 351 |
105 |
9 966 |
79 |
|
2 |
Аваль |
4 365 |
126 |
9 165 |
83 |
|
3 |
Укрсиббанк |
3 174 |
235 |
2 614 |
85 |
|
4 |
Укрсоцбанк |
2 976 |
194 |
3 514 |
73 |
|
5 |
Райффайзенбанк |
1 691 |
278 |
1 152 |
110 |
|
6 |
Надра |
1 677 |
177 |
2 491 |
78 |
|
7 |
Ощадбанк |
1 303 |
76 |
5 862 |
69 |
|
8 |
ПравексБанк |
1 143 |
65 |
1 350 |
46 |
|
9 |
Брокбiзнесбанк |
741 |
18 |
1 406 |
101 |
|
10 |
Фінанси та Кредит |
676 |
160 |
1 766 |
112 |
|
За данними АУБ [86] |
З 1 кварталу 2005 року по 1 квартал 2006 року (тобто за рік) обсяг виданих кредитів фізичним особам по банківській системі збільшився з 15 млрд.грн. до 38 млрд.грн. ( на + 23 млрд.грн.), при цьому обсяг залучених строкових депозитів фізичних осіб зріс з рівня 35 млрд.грн. до рівня 52 млрд.грн. ( на +17 млрд.грн.), а обсяг залучених поточних депозитів фізичних осіб зріс з рівня 10 млрд.грн. до рівня 16 млрд.грн. ( на +6 млрд.грн.). Таким чином, основним ресурсним джерелом для зростання обсягів кредитування фізичних осіб у банківській системі України за 2005 –2006 року є залучені строкові і поточні депозити фізичних осіб [86].
Слід зазначити, що зазначена ресурсна база може бути використана для короткострокового споживчого кредитування і ,тільки в дуже обмеженому обсязі, для іпотечного кредитування, оскільки максимальний термін депозитів фізичних осіб складає від 1 до 2 років, а іпотечні кредити видаються на термін 10 – 15 років. При цьому відносно дешеві поточні депозити фізичних осіб є нестабільною ресурсною базою і не можуть бути використані для іпотечного кредитування. Таким чином, вартість іпотечних кредитів визначається ставкою строкових депозитів фізичних осіб, що при ринковій економіці не може бути нижче індексу зменшення вартості грошей (дисконтна ставка Національного банку України чи рівень інфляції).
Оскільки облікова ставка НБУ в 2005 –2006 році складає 9,5%, а офіційна інфляція не перевищує 10% у рік, то природною ринковою реакцією комерційних банків є встановлення процентної ставки на строкові депозити фізичних осіб на рівні від 10,5% (3 місяці) до 12,0% (12 місяців) у національній валюті. Отже, природної є і ставка іпотечних кредитів у національній валюті, що не знижується нижче рівня 16 – 17% річних, тобто на 5,0 – 5,5% вище вартості ресурсів.
Одночасно, оскільки більш 72% іпотечних кредитів видано в іноземній валюті, то на іпотечному ринку в банківської систем України, в основному, працює інша система ціноутворення. Штучно, ставка строкових депозитів в іноземній валюті для фізичних осіб у банківській системі встановлена на 4 – 5 % нижче ставки строкових депозитів у національній валюті, тобто на рівні 7,0%(3 місяці) і 8,0%(12 місяців), при цьому ставка депозитів у євро встановлюється штучно на 0,5 – 0,7% нижче, ніж ставка в доларах США. Природно, що при такій ціні ресурсів в іноземній валюті, яка сформована за рахунок внесків населення в іноземній валюті, процентна ставка по іпотечних кредитах в іноземній валюті на сьогоднішній день у банківській системі складає від 11,5% до 12% річних, тобто на 4% вище вартості ресурсів.
Оскільки тільки 40% строкових вкладів у валюті мають термін більш 12 місяців, ресурсна база споживчих іпотечних кредитів у банківській системі України може бути оцінена як 57,22 млрд.грн.*0,44*0,4 = 10 млрд.грн., що відповідає реальному обсягові виданих споживчих іпотечних кредитів у банківській системі України в 2006 році.
Таким чином, як показав аналіз, у банківській системі України з урахуванням відсутності ресурсних джерел з терміном залучення більш 1 року для видачі іпотечних кредитів на 1020 років використовуються тільки довгострокові вклади населення в іноземній валюті (12 місяців), як найбільш стійка частина залучених пасивів. Отже, розширення обсягів іпотечного кредитування буде стримуватися розширенням цього виду ресурсної бази банків України до моменту впровадження нових механізмів залучення довгострокових ресурсів для іпотечного кредитування.
Після оцінки стану споживчого кредитування на макрорівні банківської системи України, проведемо оцінку стану споживчого кредитування на мікрорівні одного з найбільших в Україні комерційного банку – АКБ “Приватбанк” [85].
За станом на 31.12.2002 року в банку працювало 15 826 співробітників у порівнянні з 10 342 співробітниками станом на 31.12.2001 року. На сьогоднішній день у банку працює понад 28 тисяч співробітників, з них 3 650 у головному офісі банку.
Приватбанк є лідером серед українських банківських установ по кількості клієнтів, його послугами користуються понад 16% населення України, тому основні тенденції банківського сегменту споживчого кредитування яскраво висвітлює аналіз діяльності цього окремого банку.
Технологічна інфраструктура АКБ «Приватбанк» , як соціальнозначимого банку України, за станом на 01.05.2006 року характеризується як [85]:
кількість філій і відділень по Україні – 2 010;
кількість автоматів самообслуговування (банкоматів) по Україні – 3153 ( в 1,5 рази більше ніж банкоматів у всіх банків банківської системи України разом);
кількість платіжних POSтерміналів у мережі торгівлі і послуг України – 16 626 (48 % від загальної кількості терміналів всіх банків банківської системи України в торгівельній мережі разом);
кількість емітованих пластикових карток для безготівкових розрахунків і роботи з автоматами самообслуговування – 9 566 600 (49% від загальної кількості емітованих пластикових карток всіма банками банківської системи України);
У табл. Б.1 Б.3 Додатку Б приведені звітні баланси і звіти про фінансові результати АКБ “Приватбанк” за 2000 2005 роки [84 86]. У табл.Б.4 – Б.5 Додатку Б приведені звітний баланс та звіт про окремі показники діяльності АКБ «Приватбанк» за 2 квартал 2006 року [85].
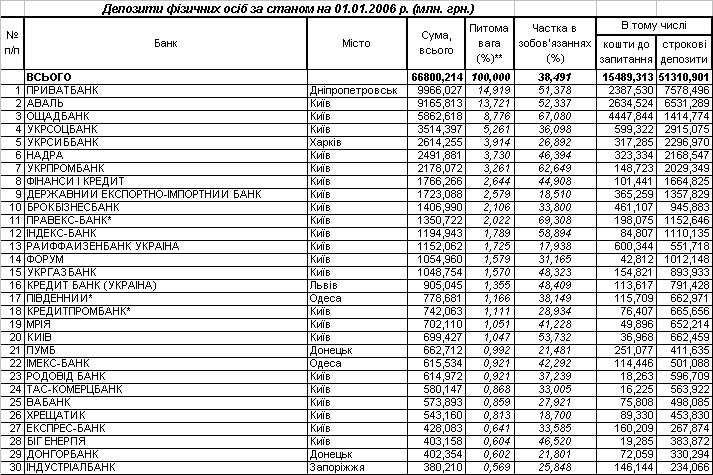
Станом на 01.01.2006 року (за результатами 2005 року) АКБ „Приватбанк” згідно з даними табл. А.1 – А.7 Додатка А є лідером і займає наступні рейтингові місця в банківській системі України [86]:
Обсяг валюти активів балансу – 21 664,360 млн.грн.( 1 місце);
Обсяг власного капіталу – 2 307,466 млн.грн.( 1 місце);
Обсяг статутного капіталу – 1 130,000 млн.грн. ( 2 місце);
Обсяг кредитно-інвестиційного портфеля
– 16 763,230 млн.грн.( 1 місце);
Обсяг поточних і строкових депозитів фізичних осіб
– 9 966,027 млн.грн.( 1 місце);
Обсяг поточних і строкових депозитів юридичних осіб
– 4 016,333 млн.грн.( 3 місце);
Обсяг балансового прибутку – 472,042 млн.грн.( 1 місце);
Прибутковість статутного капіталу – 41,774 % ( 11 місце);
Прибутковість активів балансу – 2,179 % ( 6 місце);
На графіках рис.2.1 наведена динаміка росту обсягів інвестиційно-кредитного портфелю АКБ “Приватбанк” у 2001 – 2006 роках [86]. Як показують графіки – кредитування юридичних осіб є найбільш вагомою часткою активних операцій банка. Але з 3 кварталу 2004 року (системна криза депозитної бази банків за рахунок політичних ризиків виборів Президента України) – АКБ “Приватбанк” почав пріоритетно нарощувати частку кредитування фізичних осіб, що особливо виражено у 1 кварталі 2006 року(рис.2.2), коли обсяги кредитів юридичним особам зменшились на 2 млрд.грн., а водночас обсяги кредитів фізичним особам зросли на 1,2 млрд.грн. і обсяги міжбанківських кредитів зросли на 0,9 млрд.грн. Таким чином, АКБ “Приватбанк” виконує диверсифікацію кредитів по зменшенню обсягів, наданим одному позичальнику, що суттєво зменшує ризик одночасного неповернення кредитів багатьма позичальниками.
Наведена на рис.2.2 динаміка структури інвестиційнокредитного портфелю АКБ “Приватбанк” показує, що зміни у структурі характеризуються наступним:
вагова частка кредитів, наданих юридичним особам, зменшилась з рівня 67,3%(4 квартал 2003 року) до 41,55% (1 квартал 2006 року);
вагова частка кредитів, наданих фізичним особам, підвищилась з рівня 28,18%(4 квартал 2003 року) до 39,48% (1 квартал 2006 року);
вагова частка наданих міжбанківських кредитів підвищилась з рівня 1,88%(4 квартал 2003 року) до 13,17% (1 квартал 2006 року);
вагова частка активів, вкладених в цінні папери, підвищилась з рівня 2,63%(4 квартал 2003 року) до 5,81% (1 квартал 2006 року);
Не зважаючи на те, що збільшилась доля кредитів, наданих фізичним особам, зменшилась доля АКБ “Приватбанк” на ринку споживчого кредитування в зв’язку з появою більш сильних конкурентів.
Р
ис.2.1.
Динаміка обсягів та структура
кредитно-інвестиційного портфелю АКБ
“Приватбанк” у 2001 –2006 роках [85]
Р
ис.2.2.
Порівняльна динаміка структури
кредитно-інвестиційного портфелю АКБ
“Приватбанк” у 2003 – 2006 pоках
[85]
На рис.2.3 наведена динаміка обсягів створених резервів під ризики кредитних операцій у 2001 – 2006 роках. Як показує аналіз наведених характеристик, відносна процентна частка резервів до загальної суми кредитів зросла від рівня 10,18% у 2001 році до рівня 12,9% у 2004 році та зменшилась до рівня 10,31% у 2006 році, тобто незбалансований заставою кредитний ризик становить не менше 10%.
Рис.2.3. Динаміка обсягів виданих кредитів та створених резервів під кредитні ризики в АКБ “Приватбанк” у 2001 –2006 роках [85]

На рис.2.4 – 2.8 наведені результати аналізу динаміки структури споживчого кредитування в кредитному портфелі АКБ “Приватбанк” у 2001 – 2006 роках. Споживче кредитування фізичних осіб представлене у двох сегментах [85]:
а) Кредитування населення на потреби поточного характеру:
нецільове споживче кредитування (кредитні картки, овердрафт депозитних карток, кредитування “до зарплати” по зарплатним карткам);
споживче кредитування придбання побутової техніки для дому;
споживче кредитування на навчання, лікування, туризм, окремі життєві події;
споживче "Автомобильне кредитування";
б) Кредитування населення на потреби капітального характеру:
інвестиційне іпотечне кредитування будівництва нерухомості (квартири, котеджі з земельними ділянками, сільські будинки з земельними ділянками, гаражі, дачі);
інвестиційне іпотечне кредитування придбання нерухомості на вторинному ринку та капітальний ремонт нерухомості (квартири, котеджі з земельними ділянками, сільські будинки з земельними ділянками, гаражі, дачі);
Як показує аналіз графіків рис.2.4 2.8, динаміка структури споживчого кредитування в АКБ “Приватбанк” з 2002 по 2006 рік характеризується:
зменшенням частки кредитування на потреби капітального характеру з 45% (2002 рік) до 32% (2006 рік);
підвищенням частки кредитування на потреби поточного характеру з 55%(2002 рік) до 68% (2006 рік);
зростанням частки кредитів на придбання автомобілів(поточне кредитування) з 20%(2002 рік) до 41% (2006 рік);
зростанням частки нецільового споживчого кредитування(поточне кредитування) з 2%(2002 рік) до 8% (2006 рік).
Т
аким
чином, з ростом обсягів споживчого
кредитування банк все більше орієнтується
на попит населення у короткострокових
кредитах на задоволення потреб поточного
характеру.
Р
ис.2.4.
Динаміка обсягів та структури кредитування
фізичних осіб
в АКБ «Приватбанк» [85]
Рис.2.5. Структура споживчого кредитування фізичних осіб в АКБ «Приватбанк» станом на кінець 4 кварталу 2002 року [85]
Р
ис.2.6.
Структура споживчого кредитування
фізичних осіб в АКБ «Приватбанк» станом
на кінець 1 кварталу 2004 року [85]

Рис.2.7. Структура споживчого кредитування фізичних осіб в АКБ «Приватбанк» станом на кінець 1 кварталу 2005 року [85]

Рис.2.8. Структура споживчого кредитування фізичних осіб в АКБ «Приватбанк» станом на кінець 1 кварталу 2006 року [85]
2.2 Кредитування населення на потреби поточного характеру
Короткострокові споживчі кредити надаються громадянам на потреби поточного характеру (придбання товарів широкого вжитку і тривалого користування, транспортних засобів) та на нагальні потреби (лікування, навчання, весілля, народження дитини, непередбачені обставини тощо) строком до 1го року, а для кредитування покупки автомобілів – до 35 років [64, c. 58].
В портфелі банківських послуг споживчого кредитування на поточні потреби фізичних осіб АКБ «Приватбанк” пропонує наступний комплекс банківських продуктів [85]:
автомобіль в кредит;
авторозстрочка;
товари в розстрочку;
подійове кредитування;
кредити на навчання;
кредитні ліміти на пластикові кредитні картки;
кредитна картка „Товари в розстрочку”;
кредитна картка „Універсальна”
Придбати автомобіль в кредит в АКБ “Приватбанк” можливо лише за 30 хвилин. Забезпеченням по кредиту виступає автомобіль, що купується та знаходиться у користуванні позичальника, але залишається в заставі в банку до моменту повної виплати кредиту. Первинний внесок позичальника становить від 10% до 20% в залежності від віку та марки автомобіля.
Кредити для придбання особистого автотранспорту надаються приватним громадянам України на наступних умовах( табл.2.2):
Таблиця 2.2 Умови кредитування придбання автомобілів в АКБ “Приватбанк” [85]
|
Відсоткова ставка по кредиту (% річних): |
||
|
Вaлюта (USD/EUR) |
**) |
*) |
|
до 5 років |
до 11,52 % |
до 11,52 % |
|
Від 5 до 7років ***) |
до 11,52 % |
|
|
Національна валюта (гривня) |
||
|
до 5 років |
до 15,84 % |
до 15,84 % |
|
від 5 до 7 років ***) |
до 15,84 % |
* за умови, що вік автомобіля на дату видачі кредиту не повинен перевищувати 10 років.
** за умови, що вік автомобіля на дату видачі кредиту не повинен перевищувати 5 років.
*** тільки для нових автомобілів
Погашення покупцем заборгованості за кредитом здійснюється наступним чином: відсотки за користування кредитом щомісяця (відсотки нараховуються прості на залишок заборгованості за кредитом); сума кредиту – щомісяця відповідно до графіка.
При первинному зверненні за кредитом до ПриватБанку приватні клієнти надають паспорт; копію довідки про присвоєння ідентифікаційного коду; довідку про отримані доходи за останні 6 місяців і договір купівлі-продажу автомобіля.
При наявності позитивної кредитної історії в ПриватБанку, або наявності зарплатної картки ПриватБанку, процедура придбання автомобіля в кредит значно спрощується й здешевлюється.
Новий кредитний продукт "Авторозстрочка" дозволяє значно скоротити час і зусилля клієнта при придбанні автомобіля в кредит за рахунок відсутності попередніх погоджень та сплати авансу, а також без додаткових витрат, передбачені стандартними схемами Автокредитування (оплата первинного внеску й комісії за оформлення кредиту).
Умови кредитування:
Процентні ставки по кредиту 1,59 % на місяць в UAH й 1,25 % на місяць в USD\EUR.
Строк кредитування 5 років незалежно від марки автомобіля.
В табл.В.1 – В.8 Додатку В наведені рейтинги умов кредитування населення на покупку автомобілів в основних комерційних банках України [92]. В якості рейтингового коефіцієнту вибраний показник сумарного подорожчання товару для споживача.
Проведений рейтинг привабливості банківських кредитів населенню на придбання нових автомобілів по по еквівалентній процентній річній ставці сплати кредиту(відсотки, одноразова сплату, періодичні комісії, страхування) показав:
1. Для кредитів в гривнях на 3 роки еквівалентна річна ставка лежить в діапазоні 8,4% (АКБ “Аваль”) – 10,0% (АКБ “ТАСКомерцбанк”) від початкової суми кредиту, загальна сума сплачених процентів за період користування кредитом 25%(min) – 30%(max) від початкової суми кредиту.
2. Для кредитів в гривнях на 5 років еквівалентна річна ставка лежить в діапазоні 8,2% (АКБ “Укрсиббанк”) – 10,2% (АКБ “ТАСКомерцбанк”) від початкової суми кредиту, загальна сума сплачених процентів за період користування кредитом 41%(min) – 51%(max) від початкової суми кредиту.
3. Для кредитів в доларах США на 3 роки еквівалентна річна ставка лежить в діапазоні 6,3% (АКБ “Аваль”) – 7,0 % (АКБ “Укрсиббанк”) від початкової суми кредиту, загальна сума сплачених процентів за період користування кредитом 19%(min) – 21%(max) від початкової суми кредиту.
4. Для кредитів в доларах США на 5 років еквівалентна річна ставка лежить в діапазоні 6,0% (АКБ “Форум”) – 7,0 % (АКБ “Фінанси та кредит”) від початкової суми кредиту, загальна сума сплачених процентів за період користування кредитом 30%(min) – 35%(max) від початкової суми кредиту.
Таким чином, вартість гривневих автомобільних кредитів на 9,2 – 11,6% дорожче вартості автомобільних кредитів в іноземних валютах.
Звертає на себе увагу запропонований механізм оцінювання привабливості кредиту за еквівалентною річною процентною ставкою, яка розраховується як загальна сплачена сума споживачем (проценти, комісії, страховка) за період кредитування, віднесена до початкової суми кредиту.
При такому розрахунку, процентна ставка гривневих кредитів АКБ “Приватбанк” – 15,84% на залишкову суму кредиту (без додаткових комісій) перетворюється у еквіваленту річну ставку за період кредитування – 8,5% від початкової суми кредиту, а таким чином виявляється, що вартість автокредитів в АКБ “Приватбанк” знаходиться близькою до нижнього діапазону витрат споживача і брати автокредит в АКБ “Приватбанк” – вигідно.
Програма "Товари в розстрочку" це можливість одержати товар вже сьогодні, оформивши кредит прямо в магазині аванс складає 0%.
Забезпеченням по кредиту виступає товар, який купується та знаходиться в користуванні позичальника, але залишається в заставі в банку до моменту повної виплати кредиту.
Кредит надається на наступних умовах:
Максимальний термін надання кредиту 36 місяців
Кредити видаються у національній валюті
Розмір кредиту дорівнює вартості товару, який купується
Відсотки за користування кредитом нараховуються прості на залишок заборгованості за кредитом
Погашення заборгованості за кредитом здійснюється щомісяця рівними платежами
Для отримання кредиту необхідні наступні документи: паспорт; копія довідки про присвоєння ідентифікаційного коду, довідка про отримані доходи за останні 3 місяці.
З 20.01.2006 р. по 20.07.2006 р. у всіх відділеннях ПриватБанку проводиться акція "Кредит Зоряний" на всі види техніки за наступними умовами:
Процентна ставка 0,01 % на місяць (0,12% річних)
Щомісячна комісія за кредитування 1,8 –1,9% на місяць;
Аванс – 0%.
Термін кредитування – від 6 до 12 місяців
Відстрочка платежу 2 місяці
Надання кредитів, за виключенням акції кредит "Зоряний", здійснюється на стандартних умовах.
Мережа магазинів Vicotec разом с ПриватБанком с 03.12.2005 р. по 15.12.2006 р. проводить акції "Новорічне диво" . Акція "Новорiчне диво" розповсюджується на весь модельний ряд пральних машин, пилососів, мікрохвильових пічей ТМ Samsung, на всі моделі холодильників ТМ LG та по закінченню акції серед покупців, які придбали техніку ТМ LG буде розігруватися мотороллер.
Умови проведення акції:
Процентна ставка 0,01% на місяць (0,12% річних)
Щомісячна комісія за кредитування 1,8 –1,9% на місяць;
Аванс от 0% до 60%
Терміни кредитування 4, 5, 6, 7, 9, 12 місяців
З 17.12.2005 р. по 15.12.2006 р. в мережі магазинів Фокстрот проводиться акція "Безвідсотковий кредит на монітори Samsung + системний блок Intel " на наступних умовах:
Процентна ставка 0,01% на місяць (0,12% річних)
Щомісячна комісія за кредитування 1,8 –1,9% на місяць;
Аванс 0%
Термін кредитування 10 місяців
В табл.Г.1 – Г.2 Додатку Г наведені рейтинги умов кредитування населення на покупку побутових товарів в кредит по програмі “Розстрочка” в основних комерційних банках України [92]. В якості рейтингового коефіцієнту вибраний показник сумарного подорожчання товару для споживача.
Проведений рейтинг привабливості споживчих кредитів населенню на поточні потреби (придбання побутової техніки, послуг, нецільове кредитування) по коефіцієнту подорожчання суми кредиту(відсотки, одноразова сплату, періодичні комісії, страхування) показав:
1. Для кредитів у 2500 гривен на 12 місяців еквівалентна річна ставка лежить в діапазоні 14,0% (АКБ “Надра”) – 27,0 % (АКБ “Правенксбанк”) від початкової суми кредиту, загальна сума сплачених процентів за період користування кредитом 14%(min) – 27%(max) від початкової суми кредиту.
2. Для кредитів у 5000 гривен на 24 місяці еквівалентна річна ставка лежить в діапазоні 14,0% (АКБ “Надра”) – 26,0 % (АКБ “Правексбанк”) від початкової суми кредиту, загальна сума сплачених процентів за період користування кредитом 28%(min) – 52%(max) від початкової суми кредиту.
3. Еквівалентна річна ставка для споживчих кредитів на поточні потреби в АКБ “Приватбанк” знаходиться в діапазоні 23,6 – 24,2% річних, тобто ближче до верхньої межі вартості в банківській системі України.
Кредитна картка "Подійове кредитування" призначена для фінансування різних подій житті позичальника (весілля, народження дитини, ремонт, проведення комунікацій, будівництво надвірних будівель, придбання тварин тощо)
Кредити надаються фізичним особам громадянам України терміном до 36 місяців.
Забезпеченням по кредиту може виступати застава особистого майна, застава великої рогатої худоби, живності, птахів, застава майнових прав на депозитний вклад, застава рухомого майна; застава нерухомого майна, застава майна третіх осіб, фінансова запорука підприємстваклієнта Банку, фінансова запорука двох фізичних осіб та більше.
Кредити до 3 000 грн. включно видаються без забезпечення на термін до 12ти місяців. Погашення позичальником заборгованості за кредитом здійснюється щомісяця рівними платежами.
Є можливість встановлення гнучкого графіка погашення заборгованості за кредитом з урахуванням сезонності отримання доходів
Таблиця 2.3 Процентна ставка за кредитом “Подійове кредитування” в АКБ “Приватбанк” [85]
|
Сума кредиту |
Відсоткова ставка |
|
До 3 000,00 грн. |
2,5% на місяць |
|
Від 3 001,00 грн. до 15 000,00 грн. |
2,00% на місяць |
Сума кредиту до 15 000,00 грн.
Кредитна картка "Кредит на навчання" – це пропозиція від ПриватБанку для всіх бажаючих одержати освіту, реалізована на базі VISA Classic. Цей продукт дозволить клієнту одержати бажану освіту, не здійснюючи щорічно великих фінансових витрат.
При кредитуванні на навчання Банк дає кошти на одержання освіти, а кредит надалі оплачується клієнтом чи його батьками протягом тривалого терміну 15 років. Причому в період навчання (до 5 років) оплачуються тільки відсотки за кредитом. Оскільки кредит видається на тривалий термін, щомісячні витрати з оплати кредиту будуть незначними і доступними для найбільш скромного бюджету.
Переваги картки "Кредит на навчання " полягають в довгостроковому кредитуванні 15 років при низькій процентній ставці (1,67 % на місяць), поетапному фінансуванні в період навчання, як самої вартості навчання, так і поточних витрат студента, можливості сплати тільки відсотків протягом періоду навчання (період до 5 років). Крім того, батьки (поручитель) бере участь у виплаті кредиту тільки в період навчання, а далі виплати здійснюються самостійно позичальником. Банк кредитує всі види платного навчання. Також студент користується пластиковою карткою, як зручним інструментом для обслуговування фінансових потоків: витрати (студент) погашення (батьки / студент / поручителі).
Таблиця 2.4 Умови обслуговування кредитної картки “На навчання” в АКБ “Приватбанк” [85]
|
Розмір кредиту |
· Первісний розмір кредиту: Для очного денного навчання кредит умовно поділяється на 2 частини для оплати навчання (до 100 % від обумовленої вартості навчання) і кредит тому, хто навчається, призначений для поліпшення соціальних умов студента, тобто гроші на особисте користування (до 30 % на утримання позичальника сума встановлюється за узгодженням з батьками). Для вечірнього або заочного навчання до 70 % від обумовленої вартості навчання на оплату її частини. · Після закінчення навчання розмір кредитної лінії може бути збільшений · Максимальна сума (без дод. забезпечення) – 50 000 грн. |
|
Термін Кредитування |
15 років (180 місяців) |
|
Платність |
· Ставка UAH 1,67% на місяць · За прострочення подвійна ставка |
|
Тарифи за пластиковою карткою |
· Оформлення картки 100 грн. · Зняття готівки та поповнення стандартні для картки VISA Classic |
Кредитна картка “Кредитний ліміт” сума, в межах якої банк зобов‘язується проводити операції з картковим рахунком клієнта у випадку відсутності коштів на ньому.
Сумою можна користуватись частинами, але не більше розміру встановленого кредитного ліміту. При цьому плата стягується банком за тільки за дійсний час користування реально отриманою сумою. Установлення кредитних лімітів можливе на зарплатну, пенсійну і особисту картку.
Кредитний ліміт надається у валюті картки. ПриватБанк надає такі типи кредитних лімітів:
Торговий кредитний ліміт кредитний ліміт тільки для здійснення купівель й сплати послуг у торговельно-сервісній мережі пластиковою карткою. Отримати готівку по цій картці неможливо.
Фінансовий кредитний ліміт кредитний ліміт тільки для здійснення купівель й сплати послуг у торговельно-сервісній мережі пластиковою карткою і отримання готівки.
В якості забезпечення по кредитному ліміту банк приймає:
Кошти на депозитному вкладу у ПриватБанку
Кошти у ПриватБанку на депозитному рахунку особи, що виступає поручителем
Гарантії й поруки платоспроможних підприємств
Заставу нерухомості, транспортних засобів
Є можливість встановлення кредитного ліміту без забезпечення (наприклад, на зарплатні і пенсійні картки, або на особисті картки з урахуванням позитивної кредитної історії клієнта).
При первинному звертанні за кредитним лімітом у ПриватБанк: клієнт має надати паспорт і копію довідки про присвоєння ідентифікаційного коду.
В Додатку К представлені ставки по кредитним лімітам на пластикові картки та по кредитним карткам в АКБ “Приватбанк”[85].
Перевагами технології кредитна картка “Товари в розстрочку” є відсутність обмежень по цільовому використанню кредиту і часу здійснення покупки, простота одержання кредиту кредитна картка може бути оформлена усім власникам зарплатних карток ПриватБанку без застави, авансу, збору повного пакету документів, зручність користування за допомогою кредитної картки можна відразу оплатити покупку, а потім поступово повертати борг і оплачувати відсотки тільки за фактично використані кредитні кошти. Погашення заборгованості може здійснюватися шляхом автоматичного списання з зарплатної карти. Крім того, карткою можна користуватися багаторазово погашена частина кредиту знову стає доступною для витрачання.
Таблиця 2.5 Умови обслуговування кредитної картки “Товари в розстрочку” в АКБ “Приватбанк” [85]
|
Сума кредиту |
Встановлюються Банком виходячи з рівня надходжень на Вашу зарплатну карту. мінімальна сума кредиту 500 грн., максимальна 5000 грн. |
|
Термін дії |
Картка випускається на термін 3 роки, по закінченню дії перевипускається |
|
Погашення заборгованості |
Погашення заборгованості здійснюється щомісячними платежами в розмірі 7 % від загальної суми придбаних за допомогою картки покупок. Банк самостійно здійснює платежі з зарплатної картки. Також Ви можете проводити погашення самостійно шляхом готівкового (безготівкового) поповнення картки. Сума внесена понад обов'язковий платіж направляється на погашення основного боргу. |
|
Платність |
Картка оформлюється безкоштовно. Відсотки за користування кредитом 4 % на місяць від залишку заборгованості. |
Своїм постійним клієнтам ПриватБанк пропонує продукт міжнародного класу кредитну картку "Універсальна", реалізовану на базі VІSA Classіc.
Маючи у своєму розпорядженні кредитну картку, не потрібно турбуватись про те, де позичити гроші у випадку тимчасової відсутності власних – клієнт просто знімає готівку або оплачує товари і послуги в торговосервісній мережі в межах встановленого кредитного ліміту. Для погашення боргу досить щомісяця вносити на картковий рахунок суму в розмірі 7% від поточної заборгованості (відсотки включені в платіж). Оскільки картка працює в режимі "поновлюваної лінії", повернувши на карту частину коштів, можна скористатися ними знову. Банк також може самостійно робити платежі на погашення заборгованості, автоматично списуючи кошти з зарплатної картки клієнта.
Протягом перших 30 днів з моменту виникнення заборгованості відсотки за користування кредитними коштами нараховуються виходячи зі ставки 0,01% річних, що робить користування кредитом практично безкоштовним.
В табл. М.1 Додатку М наведені умови обслуговування кредитної картки „Універсальна” в АКБ “Приватбанк” [85]
Таким чином, конкурентне положення АКБ «Приватбанк» на ринку банківських продуктів споживчого кредитування на потреби поточного характеру, яке оцінюється як привабливістю мінімальних ставок кредитування для споживача, так і необхідним, з точки зору банку, рівнем ставки кредитування, яка забезпечує прибутковість діяльності банку, може бути охарактеризоване як:
1) Рівень еквівалентної річної ставки по автокредитуванню за період кредитування становить 8,5% від початкової суми кредиту, а таким чином виявляється, що вартість автокредитів в АКБ “Приватбанк” знаходиться близькою до нижнього діапазону витрат споживача і брати автокредит в АКБ “Приватбанк” – вигідно (застрахований заставний споживчий кредит низького рівня ризику неповернення).
2) Еквівалентна річна ставка для споживчих кредитів на поточні цільові потреби в АКБ “Приватбанк” знаходиться в діапазоні 23,6 – 24,2% річних, тобто ближче до верхньої межі вартості цих видів споживчих кредитів в банківській системі України (незастрахований заставний споживчий кредит середнього рівня ризику неповернення).
3) Еквівалентна річна ставка для револьверних ліній беззаставного нецільового споживчого кредитування з використанням технології пластикових карток та автоматів банківського самообслуговування в АКБ “Приватбанк” становить 36 – 48% річних від поточного залишку кредиту, що є найвищою ставкою споживчого кредитування в банківській системі України (незастрахований беззаставний споживчий кредит вищого діапазону ризику неповернення).
2.3 Кредитування населення на потреби капітального характеру
Довгострокові споживчі кредити громадянам на потреби капітального характеру надаються на такі цілі [63, с.76]:
будівництво індивідуальних житлових будинків із надвірним будівлями;
будівництво будинків у сільській місцевості, що не є основним житлом, і будинків дачного типу, для благоустрою садових ділянок;
будівництво надвірних будівель для утримання худоби та зберігання сільгосппродуктів, літньої кухні, теплиці, майстерні, навісу тощо;
будівництво гаражів;
купівля індивідуальних житлових будинків із надвірними будівлями;
купівля квартир у житлових будинках;
купівля будинків дачного типу та будинків у сільській місцевості, що не є основним житлом;
купівля гаражів;
реконструкція та капітальний ремонт індивідуальних житлових будинків, приєднання їх до інженерних мереж, придбання обладнання для інженерного благоустрою будинку;
реконструкція та ремонт квартир;
реконструкція та капітальний ремонт будинків дачного типу будинків у сільській місцевості, що не є основним житлом;
Термін користування інвестиційним довгостроковим кредитом встановлюється залежно від об'єкта кредитування, розміру кредиту та фінансового стану позичальника. При цьому строк користування кредитом, одержаним на будівництво та купівлю житла, не повинен перевищувати 10ти років, а за іншими видами кредитів 5ти років.
Відсоткова ставка за кредит визначається на загальних підставах. Обов'язковою умовою надання довгострокового кредиту є страхування об'єктів кредитування на користь банку протягом усього періоду користування кредитом.
Таблиця 2.7 Порівняння основних умов іпотечного кредитування в банках України за даними Національної іпотечної асоціації України [88]
|
№ п/п |
Найменування показника |
Одиниця виміру |
ЗАТ КБ "ПриватБанк" |
АК Промислово – інвестиційний банк (ЗАТ) |
АКІБ "УкрСиббанк" |
|
1. |
Розмір відсоткової ставки, під яку надаються кредити: |
||||
|
1.1. |
На будівництво житла (гривня) |
% |
16 |
20 |
18 |
|
1.2. |
На будівництво житла (валюта) |
% |
13 |
14 |
12,5 |
|
1.3. |
На придбання житла (гривня) |
% |
16 |
20 |
18 |
|
1.4. |
На придбання житла (валюта) |
% |
13 |
14 |
12,5 |
|
2. |
Розмір першого внеску позичальника, при наданні кредиту: |
||||
|
2.1. |
На будівництво житла |
% |
20 (0) |
30 |
25 |
|
2.2. |
На придбання житла |
% |
20 (0) |
30 |
25 |
|
3. |
Максимальний термін надання кредитів: |
||||
|
3.1. |
На будівництво житла |
роки |
20 |
15 |
21 |
|
3.2. |
На придбання житла |
роки |
20 |
15 |
21 |
|
4. |
Пільговий період по сплаті основної суми боргу за кредитами, отриманими на будівництво або придбання житла |
місяців |
18 |
12 |
12 |
|
5. |
Разова комісійна винагорода банку при оформленні кредиту |
% |
6 |
0 |
0 |
У кредитному портфелі АКБ „Приватбанк” для фізичних осіб в сегменті довгострокового інвестиційного іпотечного кредитування пропонується „ключове рішення” квартирного питання [85]:
Банківський продукт припускає:
мінімальну кількість часу на оформлення угоди
комплексне рішення свого "квартирного питання"
безпека і законність угоди по придбанню нерухомості
одержання комплексного обслуговування в Іпотечних центрах Приватбанку в будь-якому регіоні України
оформлення протягом 30 хвилин "Іпотечного сертифіката", що гарантує надання кредиту
ліквідацію необхідності збирати грошові кошти на первинний внесок
Умови програми по банківському продукту:
термін надання кредиту до 20 років
сума кредиту 100 % від вартості квартири
первинний внесок 0%
забезпечення кредиту застава нерухомості, що здобувається
мінімальний пакет документів для оформлення кредиту
Процентні ставки по іпотечних споживчих кредитах і витрати на оформлення іпотечного кредиту в АКБ “Приватбанк” представлені в табл. Ж.1 Ж.2 Додатку Ж.
В табл. Д.1 – Д.4 Додатку Д наведені результати аналізу умов іпотечного кредитування придбання житла в основних банках України [92].
Проведений рейтинг привабливості споживчих кредитів населенню на придбання житла по еквівалентній процентній річній ставці сплати кредиту (відсотки, одноразова сплату, періодичні комісії, страхування) показав:
1. Для кредитів на 10 років в гривнях еквівалентна річна ставка лежить в діапазоні 8,6% (АКБ “Укрсиббанк”) – 12,5% (АКБ “Приватбанк”) від початкової суми кредиту, загальна сума сплачених процентів за період користування кредитом 86%(min) – 125%(max) від початкової суми кредиту.
2. Для кредитів на 20 років в гривнях еквівалентна річна ставка лежить в діапазоні 8,5% (АКБ “Укрсиббанк”) – 13,7% (АКБ “Приватбанк”) від початкової суми кредиту, загальна сума сплачених процентів за період користування кредитом 170%(min) – 273%(max) від початкової суми кредиту.
3. Для кредитів на 10 років в доларах США еквівалентна річна ставка лежить в діапазоні 6,4% (АКБ “Міжнародний іпотечний банк”) – 13,7% (АКБ “Приватбанк”) від початкової суми кредиту, загальна сума сплачених процентів за період користування кредитом 64%(min) – 95%(max) від початкової суми кредиту.
4. Для кредитів на 20 років в доларах США еквівалентна річна ставка лежить в діапазоні 6,8% (АКБ “Укрсиббанк”) – 8,7% (АКБ “Приватбанк”) від початкової суми кредиту, загальна сума сплачених процентів за період користування кредитом 133%(min) – 174%(max) від початкової суми кредиту.
Таким чином, сумарна вартість гривневих іпотечних кредитів за весь строк кредитування на 15,9 –36,1% дорожче вартості іпотечних кредитів в іноземних валютах.
На сьогоднішній день найдорожчі іпотечні кредити видаються в АКБ “Приватбанк”, найдешевші – в АКБ “Укрсиббанк”.
Поряд з іншими банківським продуктами іпотечного кредитування АКБ “Приватбанк” пропонує спеціальну пропозицію „Молодіжне іпотечне кредитування” [85]. Пільговий кредит надається клієнтам у віці до 35 років у рамках спільної програми з Державним фондом сприяння молодіжному житловому будівництву за наступними умовами:
а) термін надання кредиту до 20 років
б) сума кредиту 100 % від вартості квартири
в) первинний внесок 0%
г) забезпечення кредиту застава нерухомості, що здобувається
д) мінімальний пакет документів для оформлення кредиту
Державний фонд сприяння молодіжному житловому будівництву є державною спеціалізованою фінансовою установою, підлеглою Кабінетові Міністрів України і створений з метою сприяння проведенню державної житлової політики [89] для видачі компенсації по пільговим кредитам.
Пільговий кредит може одержати молода родина або самотній молодий громадянин (громадянка), що одержують у банку кредит на будівництво (реконструкцію) або покупку житла, а саме:
родина, у якій чоловік і дружина мають вік до 35 років включно;
неповна родина, у якій мати (батько) має вік до 35 років включно і має неповнолітніх дітей (дитини);
самотні молоді громадяни у віці до 35 років включно.
Максимальний розмір кредиту, по якому може бути надана часткова компенсація, визначається шляхом множення нормативної площі на розрахункову вартість 1 кв.м. нерухомості, що дорівнює середньої вартості будівництва 1 кв.м житла, яка склалася в регіоні згідно даних Держбуду на день погодження кредитного договору. Нормативна площа визначається виходячи з норми 21 кв.м. загальної площі житла на одного члена родини і додатково 20 кв. м на родину.
Якщо дана родина бажає одержати кредит у більшій сумі, то компенсація здійснюється тільки виходячи з вищевказаної суми, а по іншій частині кредиту родина оплачує відсотки самостійно в повному обсязі.
Максимальна сума кредиту, що може бути фактично видана конкретному позичальникові, визначається банком у залежності від фінансового стану конкретного позичальника і може бути нижче максимальної суми пільгового кредиту.
Часткова компенсація визначається в розмірі:
однієї дисконтної ставки НБУ для кандидата, що не має дітей або має 1 дитини,
півтори дисконтної ставки НБУ для кандидата, що має 2 дітей;
подвійної дисконтної ставки НБУ для кандидата, що має 3 і більше дітей;
додатково в розмірі половини дисконтної ставки для кандидата, що має потребу в поліпшенні житлових умов.
Розмір часткової компенсації визначається на день погодження кредитного договору і не може бути більше, ніж процентна ставка по кредиту.
Компенсація здійснюється тільки у випадку своєчасного виконання позичальником зобов'язань за кредитним договором.
Для одержання права на часткову компенсацію кандидат подає в регіональне відділення Фонду наступні документи:
заява про надання часткової компенсації;
довідку про склад родини;
копію свідчення про шлюб, паспортних даних;
копію свідоцтва про народження дитини (дітей);
копію довідки про присвоєння ідентифікаційного номера
довідку про перебування на квартирному обліку (у разі потреби).
Кандидати, щодо яких прийняте рішення про надання часткової компенсації, подають у регіональне відділення Фонду наступні документи:
копію кредитного договору, завірену комерційним банком;
копію інвестиційної угоди з забудовником (підрядчиком) на будівництво (реконструкцію) житла;
звіт проведення експертної оцінки (у випадку придбання житла);
довідка-розрахунок комерційного банку про розмір зобов'язань по кредиту і прогнозований розмір відсотків за користування кредитом.
Таблиця 2.8 Процентні ставки за кредити на покупку житла в АКБ «Приватбанк» по програмі молодіжного іпотечного кредитування (первинний і вторинний ринок) [85]
|
Термін, років |
Ставка, річних |
||
|
UAH |
USD |
EUR |
|
|
до 20 років ( перший внесок 0%) |
12,00 % |
12,00 % |
12,00 % |
2.4 Аналіз дохідності споживчого кредитування
Як показують результати проведеного аналізу, наведені на рис.2.9, річні процентні ставки незабезпеченого високо-ризикового споживчого кредитування на поточні потреби значно перевищують процентні ставки забезпеченого нерухомістю споживчого кредитування на інвестиційні капітальні потреби, що при дослідженій тенденції значного росту в АКБ “Приватбанк” частки споживчого кредитування на поточні потреби значно підвищує ризик кредитування та потребує нових підходів до оперативної оцінки кредитоспроможності позичальників – фізичних осіб при масовому нецільовому кредитуванні. Як показано на графіках рис.2.10, 2.11 – диверсифікація портфелю споживчих кредитів в АКБ „Приватбанк” привела до підвищення середньозваженої процентної ставки споживчих кредитів в нацвалюті з рівня 19,4%(2004) до рівня 21,8%(2006), в інвалюті з рівня 12,8%(2004) до рівня 14,0%(2006).юросіб.
Таким чином, споживче кредитування в АКБ “Приватбанк” розвивається в напрямку пріоритетів високо-ризикованих, але й більш високодохідних видів споживчого кредитування, що потребує нових підходів до оцінки ризиків споживчого кредитування та впровадженню нових інструментів по зменшенню ризиків кредитування на всіх стадіях процесу кредитування. Одночасно, масове споживче кредитування потребує впровадження конкурентоспроможних технологій “швидкого” кредитування споживачів і “швидкої” оцінки ризиків.

Рис.2.9. Річні процентні ставки споживчого кредитування в АКБ “Приватбанк”

Рис.2.10. Динаміка середньозваженої процентної ставки портфеля споживчого кредитування АКБ „Приватбанк” (поточне та інвестиційне кредитування) та порівняння з динамікою середньозважених ставок кредитування юридичних осіб (національна валюта кредитів) [85]

Рис.2.11. Динаміка середньозваженої процентної ставки портфеля споживчого кредитування АКБ „Приватбанк” (поточне та інвестиційне кредитування) та порівняння з динамікою середньозважених ставок кредитування юридичних осіб (іноземна валюта кредитів) [85]
РОЗДІЛ 3. ШЛЯХИ ПОДАЛЬШОГО УДОСКОНАЛЕННЯ СПОЖИВЧОГО КРЕДИТУВАННЯ НАСЕЛЕННЯ
3.1 Використання зарубіжного досвіду споживчого кредитування в практиці фінансових установ в Україні
У більшості країн світу кредитори (банки, фінансові компанії, компанії-емітенти кредитних карт, інвестиційні компанії, торгові компанії, що надають комерційні кредити) на постійній основі обмінюються інформацією про платоспроможність позичальників через кредитне Агентство (бюро). Необхідність цього доведена в численних роботах економістів, що досліджували проблему асиметричності інформації в сфері фінансового посередництва [59, с.24].
Асиметричність інформації (asymmetric information) визначається в економічній літературі як недостатність відомостей про партнера, доступних при укладенні наприклад кредитної угоди, що призводить до неефективного розподілу кредитних ресурсів. Так, кредитор звичайно не в змозі оцінити майбутні прибутки і ризики, пов'язані з інвестиційними проектами, для здійснення яких позичальник бере позику, тому банк встановлює однакові процентні ставки по кредитах для всіх, що породжує проблему "несприятливого вибору" (adverse selection).
Крім того, кредитори можуть бути нездібними контролювати дії позичальників після отримання позики. Позичальник може зайнятися видами діяльності, що збільшують ризик неплатоспроможності або прагнути укрити прибутки від своїх інвестицій, щоб не платити по боргах. Слідством цього стає зниження обсягів і встановлення високих процентних ставок кредитування. Це явище в науковій літературі отримало назву "несумлінної поведінки" (moral hazard).
В умовах асиметричності інформації кращим позичальникам доводиться платити підвищену премію за ризик, а гірші, платять занижену. Оскільки прагнення ненадійних позичальників отримати кредит вище, ніж платоспроможних, знижується ефективність розподілу кредитних ресурсів. У результаті частина потенційно надійних і прибуткових проектів не реалізовується.
Світовий досвід показує, що вирішити ці проблеми можливо тільки за допомогою кредитного Агентства (бюро), створеного для обміну інформацією про позичальників між кредиторами. При цьому досягається троякого роду результат [48].
По-перше, кредитне Агентство (бюро) підвищує рівень відомостей банків про потенційних позичальників і дає можливість більш точного прогнозування повернення позик. Це дозволяє кредиторам ефективно визначати напрям і ціну позики, зменшуючи ризик виникнення проблеми несприятливого вибору.
По-друге, наявність кредитних Агентств (бюро) дозволяє зменшити плату за пошук інформації, яку стягували б банки зі своїх клієнтів. Це веде до вирівнювання інформаційного поля всередині кредитного ринку і примушує кредиторів встановлювати конкурентні ціни на кредитні ресурси. Більш низькі процентні ставки збільшують чистий прибуток позичальників і стимулюють їх діяльність.
По-третє, кредитне Агентство (бюро) формує свого роду дисциплінуючий механізм для позичальників. Кожний знає, що у разі невиконання зобов'язань його репутація в очах потенційних кредиторів упаде, відрізаючи його від позикових коштів або роблячи їх набагато дорожче. Цей механізм також підвищує стимул позичальника до повернення кредиту, зменшуючи ризик несумлінної поведінки.
Кредитні Агентства (бюро) виступають як інформаційні посередники, засновані самими кредиторами, або створені та діючі незалежно і одержуючи прибуток від своєї діяльності. Кредитори забезпечують Агентство (бюро) даними про своїх клієнтів. Агентства (бюро) порівнюють їх з інформацією, отриманою з інших джерел (суди, державні реєстраційні, податкові органи, тощо) і формують картотеку на кожного позичальника. Кредитори при умові регулярності і достовірності надання інформації про своїх клієнтів можуть постійно отримувати з Агентства (бюро) звіти про кредитні операції потенційних позичальників. Кредитне Агентство (бюро) надає різного роду звіти про кредитні операції в залежності від наявності інформації про потенційного позичальника, вигляду кредиту, що надається і, що найбільш важливо, від міри деталізації, необхідної кредитору. Самий простий звіт містить інформацію про минулі неповернуті та прострочені кредити так звані "чорні" ("black") або "негативні" ("negative") дані. Самі детальні звіти "білі" ("white") або "позитивні" ("positive") містять увесь комплекс інформації про активи та пасиви позичальника, гарантії, структуру заборгованості по термінах та часу погашення, його зайнятості та історії його сім'ї.
Найбільш розвинене кредитне Агентство складає кредитні рейтинги позичальників, спираючись на їх характеристиках і кредитній історії, а також використовують дані для складання статистичних моделей, сприяючих просуванню фінансових інструментів, визначенню вартості кредиту, встановленню і регулюванню кредитних лімітів.
Перше кредитне Агентство (бюро) з'явилося на ринку споживчого кредитування. Цей ринок, як і ринок кредитування малого бізнесу, характеризується великою кількістю потенційних позичальників, прагнучих отримати невеликі за обсягами кредити. Тому індивідуальна оцінка кожного з них вимагає додаткових витрат і невигідна кредиторам, особливо враховуючи те, що аналіз, заснований на характеристиках позичальника і його кредитній історії, повинен бути достовірним і об'єктивним. Таким чином, кредитне Агентство (бюро), що акумулює інформацію, отриману від багатьох кредиторів протягом декількох років, володіє базою даних для формування широкого інформаційного поля і побудови статистичних моделей оцінки ризику.
Сьогодні кредитні Агентства (бюро) в тій або іншій організаційній формі діють практично у всьому світі. Більшість країн прийшла до висновку, що ефективний розвиток економіки неможливий без інформаційної відвертості і прозорості. Підтвердженням цьому можуть служити дані, опубліковані в роботі "Information Sharing, Lending and Defaults: CrossCountry Evidence" Центра досліджень в області економіки і фінансів (Centre for Studies in Economics and Finance (CSEF) в травні 1999 року. Виділивши ряд показників, що характеризують ефективність і обсяги кредитування, і згрупувавши дані по 40 країнах, фахівці Центра отримали цікаві результати (табл.3.1).
Таблиця 3.1 Взаємозв'язок кредитування і обміну інформацією [36]
|
Показник обміну інформацією |
Банківські кредити / ВВП (%) |
Резерви на втрати за кредитами / Загальний обсяг кредитів (%) |
Кредитний ризик (050) |
|
Ні |
31,10 |
1,31 |
15,2 |
|
Тільки "чорна" |
67,57 |
0,86 |
5,11 |
|
"чорна" і "біла" |
66,42 |
0,81 |
7,14 |
З'ясувалося, що обмін інформацією стимулює зростання банківських кредитів відносно до ВВП приблизно на 20%. Крім того, значно знижується рівень кредитного ризику і, відповідно, зменшується частка резервів на можливі втрати за кредитами у загальних обсягах кредитування. Таким чином, збільшення міри доступності інформації у сфері фінансового посередництва позитивно позначається на ефективності кредитування, і як наслідок на зростанні валового внутрішнього продукту і продуктивності праці.
Світовий досвід демонструє різноманіття форм організації кредитного Агентства (бюро). При цьому кількість та форми власності кредитних Агентств (бюро) може бути різною в кожній країні. Так, в ряді країн, таких як США, Бразилія, Аргентина більшість кредитних Агентств (бюро) є приватними підприємствами, функціонуючими з метою отримання прибутку від надання інформаційних послуг. Крім того, в цих країнах діють і декілька місцевих кредитних Агентств (бюро), створених торговими палатами і асоціаціями як некомерційні організації.
У Японії і більшості європейських країн, як правило, кредитне Агентство (бюро) створюється в формі приватних компаній, належних консорціуму кредиторів. На території Великобританії діють два кредитних Агентства (бюро) абсолютно самостійні і незалежні від кредиторів. У Фінляндії та Бельгії кредитні Агентства (бюро) управляються або ліцензуються урядовими установами.
Діюче в Німеччині кредитне Агентство (бюро) являє собою об'єднання восьми регіональних, у правовому і економічному відношенні самостійних товариств Товариство Захисту у справах Загального забезпечення Кредитів (SCHUFA). Їх власниками і одночасно партнерами є комерційні банки, ощадні каси, кооперативні банки, фірми, що пропонують кредитні карти, будівельно-ощадні і іпотечні банки, лізингові суспільства, а також підприємства роздрібної торгівлі і будинку посилочної торгівлі, надаючи фізичним особам грошові або товарні кредити споживчого характеру.
Крім SCHUFA в Німеччині існує цілий ряд дрібних незалежних установ, що являють собою спеціалізовані довідкові Агентства (бюро).
У Канаді діє розгалужена система дрібних місцевих кредитних Агентств (бюро), що знаходяться у приватній власності та безпосередньо працюючих з споживачами послуг по перевірці кредитоспроможності (як правило, компаніями, що роблять кредитні послуги, здають у оренду житло або приміщення для офісів, тощо). Конкурентами їм є великі приватні корпорації, які працюють у сфері надання послуг по перевірці кредитоспроможності. Інформація про фінансове положення приватних осіб та організацій надходить у інформаційну мережу системи місцевих кредитних Агентств (бюро) приблизно від 250 компаній, які, в свою чергу, є її активними користувачами. У їх числі банки, кредитні союзи, телефонні, лізингові компанії, великі універсами, оптові постачальники, тощо. На місцевому рівні збирається інформація щодо заборгованості за податками, грошовими позовами та інш. Зареєстрований в місцевому кредитному Агентстві (бюро) користувач має можливість за допомогою виданих йому комп'ютерних кодів і пароля практично вмить отримати необхідну йому інформацію.
Бази даних кредитних Агентств (бюро) у найбільш розвинених країнах формуються, як правило, протягом вже декількох десятків років. А в ряді країн США, Канаді, Фінляндії, ПАР кредитні Агентства (бюро) почали свою діяльність ще в кінці 19 початку 20 століття. У деяких країнах, наприклад в Італії, приватні кредитні Агентства (бюро) досить нове явище, проте швидко розвивається та набуває все більшого значення. У ряді латиноамериканських і азіатських країн кредитне Агентство (бюро) перебуває в стадії становлення, акумулюючи невеликий обсяги в основному негативній інформації, однак це лише перші їх кроки на шляху до відкритої економіки.
Обсяги інформації, якою обмінюються кредитори за допомогою мережі кредитного Агентства (бюро), досить великий. Так в США, Бельгії, Бразилії, Великобританії, Японії, Німеччині, кількість звітів, що надаються перевищує чисельність населення.
У сфері надання інформаційних послуг, незважаючи на множинність кредитних Агентств (бюро), проте, має місце велика ступінь концентрації капіталу. Так, в США, Великобританії і Японії домінуючу роль грають двітри великих кредитних Агентства (бюро), що надають увесь комплекс інформації. У деяких країнах функціонує тільки одне таке універсальне кредитне Агентство (бюро) (Австралія, Німеччина, Аргентина, Бразилія, Фінляндія і Ірландія), інші ж в основному займають дрібні ніші, надаючи окремі види інформації.
Це пояснюється тим, що більш велика компанія здатна сконцентрувати в своїй базі даних максимальний обсяг достовірної і повної інформації, а також використати в своїй діяльності найбільш передові інформаційні технології.
На початку 1990 років почався процес розширення поля діяльності кредитних Агентств (бюро) на міжнародний рівень. Найбільші представники цього бізнесу поставили за мету перерости в транснаціональні компанії. Першим їх кроком на цьому шляху стало встановлення контролю або придбання національних кредитних Агентств (бюро) у ряді країн Латинської Америки, Європи і Азії. Найбільшим та найстарішим у світі є кредитне агентство "Дан енд Бредстрит" (Dan & Bradsteet) , база даних якого на сьогодні акумулює дані більш як 48 млн. компаній, 10 млн. з яких знаходяться у США. У багатьох країнах на шляху розвитку кредитних Агентств (бюро) стояла проблема захисту приватної інформації щодо потенційних позичальників. Тому на сьогоднішній день діяльність кредитного Агентства (бюро) практично у всіх країнах будується таким чином, щоб вона не порушувала особистих прав і свобод громадян. Законом визначений цілий ряд гарантій, таких як обмеження на доступ до даних, заборона на надання "білої" інформації (наприклад, в Фінляндії і Австрії), обов'язкове виключення індивідуальних даних через певний проміжок часу (7 років у США, 5 у Австралії), заборона на збір детальної особистої інформації такої як расова, релігійна приналежність, політичні погляди, тощо, право доступу, перевірки і виправлення інформації самим позичальником.
Так, у США діяльність кредитного Агентства (бюро) регулюється законом про достовірну оцінку кредитоспроможності, прийнятим в 1971 році. Згідно з цим законом, довідка про кредитоспроможність не повинна містити інформації про банкрутства, які відбулися більше як 14 років тому, про стягнення за рахунками більш ніж 7літньої давності, про зроблені більш 7 років тому арешти майна у зв'язку з несплатою податків, про позови і судові рішення більш ніж 7літньої давності, про випадки арешту, пред'явлення звинувачення або засудження більш ніж 7літньої давності, іншу негативну інформацію більш ніж 7літньої давності. Крім того, визначаються цілі надання інформації. При цьому закон дозволяє примусити Агентство (бюро) виправити будь-які невірні відомості щодо позичальника.
Діяльність німецького SCHUFA також повинна знаходитися в рамках, позначених спеціальним законом про захист даних і не порушувати банківську таємницю. У зв'язку з цим, банки перед подачею в SCHUFA інформації про фізичних осіб і їх заборгованість повинні отримати згоду зацікавлених осіб. Банки вирішують цю проблему таким чином, що при відкритті особового рахунку і наданні кредитів або гарантій вимагають від фізичних осіб підписання спеціальної угоди, яке вповноважує банк передавати інформацію про клієнтів, що мають розрахункові рахунки і що користуються споживчими кредитами. SCHUFA не збирає інформацію про дітей, прибутки, місце роботи і майновий стан фізичних осіб. При цьому позичальник володіє правом контролю над інформацією про себе.
Крім або замість приватних кредитних Агентство (бюро) у багатьох країнах існує інститут державної реєстрації кредитів Public credit registers (PCR). Ця організація історично створювалася для реєстрації операцій іпотечного кредитування і заставних під нерухомість. Однак на сьогодні цей інститут виконує в ряді країн функції кредитного Агентства (бюро).
Основна відмінність PCR від кредитних Агентств (бюро) полягає в тому, що надання інформації в базу даних є обов'язковим і не визначаться ніякою угодою, а встановлено відповідним правилом (крім Фінляндії і ШриЛанки, де участь є добровільною). При цьому вся інформація є стандартизованою (наприклад, кредити вище встановленого рівня, видані за визначений тимчасової інтервал) і містить в основному дані про кредит, а не про самого позичальника.
PCR в більшості країн керуються центральними банками. Так, у Франції, де немає приватного кредитного Агентства (бюро) функціонує "Центральне Агентство ризиків" при Банку Франції, куди всі кредитні організації зобов'язані надавати інформацію про позичальників і видані їм кредити понад двохсот тисяч франків. Центральне Агентство ризиків обробляє поступаючи дані і видає кожному з банків зведення про загальну суму кредитів, які отримали їх клієнти, в тому числі і в інших кредитних організаціях.
Створення в Україні надійної системи ідентифікації ділової та фінансової репутації компаній та приватних позичальників є однією з фундаментальних умов подальшого розвитку ринків кредитів та інвестицій, особливо в сфері кредитування малого та середнього бізнесу, іпотечного та споживчого кредитування.
З метою зниження кредитних ризиків, підвищення надійності роботи банківської системи НБУ в 2001 році створив “Єдину інформаційну систему обліку позичальників (боржників), які мають прострочену заборгованість за кредитами” – ЄІС “Реєстр позичальників” [22].
Створення Реєстру вирішило частину проблеми доступу до інформації щодо позичальників – банки отримали можливість ознайомитись з негативною інформацію про позичальника. Разом з тим це не надало можливості відслідковувати поведінку боржника на ринку за деякий період, і за межами Реєстру залишилась інформація щодо добросовісного позичальника.
Над вивченням міжнародного досвіду роботи кредитних бюро у 2002 – 2005 роках працювали Національний банк України, Асоціація українських банків, Центр “Економіка і право” АУБ, Українська Міжбанківська Асоціація Членів Europay International (EMA), Центр комерційного права. За підтримки Світового банку, USAID, фахівцями НБУ, Асоціацій – АУБ та ЕМА, Центру комерційного права були проведені (із залученням іноземних консультантів-представників кредитних бюро: Великобританії, США, Ісландії, Канади, Кіпру, Польщі тощо) конференції та семінари з питань перспектив впровадження в Україні Інституту кредитних бюро.
Ця робота надала можливість розробити та затвердити у 2005 році Закон України “Про організацію обігу та формування кредитних історій” [9], який вступив в дію з 1 лютого 2006 року та в якому враховується міжнародний досвід діяльності кредитних бюро.
Закон [9, с.2] визначає правові та організаційні засади формування і ведення кредитних історій, права суб'єктів кредитних історій та користувачів бюро кредитних історій, вимоги до захисту інформації, що складає кредитну історію, порядок утворення, діяльності та ліквідації бюро кредитних історій.
Метою цього Закону є врегулювання суспільних відносин, що виникають у сфері збору, оброблення, зберігання, захисту та використання інформації про виконання особами грошових зобов'язань, функціонування інституцій, пов'язаних з обміном інформацією про грошові зобов'язання та забезпеченням прав та інтересів суб'єктів кредитної історії.
Згідно Закону впроваджені наступні терміни:
бюро кредитних історій (далі Бюро) юридична особа, виключною діяльністю якої є збір, зберігання, використання інформації, яка складає кредитну історію;
ведення кредитної історії діяльність Бюро із збирання, оброблення, зберігання, захисту, використання інформації, яка складає кредитну історію;
кредитна історія це сукупність інформації про юридичну або фізичну особу, що її ідентифікує, відомостей про виконання нею зобов'язань за кредитними правочинами, іншої відкритої інформації відповідно до Закону;
користувач Бюро (далі Користувач) юридична або фізична особа суб'єкт господарської діяльності, яка укладає кредитні правочини та відповідно до Договору надає і має право отримувати інформацію, що складає кредитну історію;
суб'єкт кредитної історії будь-яка юридична або фізична особа, яка уклала кредитний правочин та щодо якої формується кредитна історія;
Принципами формування та доступу до інформації, яка складає кредитну історію, є:
забезпечення конституційних прав і свобод суб'єктів кредитних історій;
адекватність обсягів інформації цілям, для яких вони збираються;
значимість, всебічність, об'єктивність, повнота і достовірність інформації;
регулярність та безперервність надходження інформації;
цільове використання інформації;
строковість зберігання інформації;
конфіденційність інформації та її захист;
збір і надання інформації, що складає кредитну історію, виключно за згодою суб'єкта цієї кредитної історії;
незалежність Бюро.
Джерелами формування кредитних історій є:
відомості, що надаються Користувачем до Бюро за письмовою згодою суб'єкта кредитної історії відповідно до цього Закону;
відомості державних реєстрів, інформація з інших баз даних публічного користування, відкритих для загального користування джерел за винятком відомостей (інформації), що становлять державну таємницю.
Бюро має право отримувати відомості та інформацію на договірних засадах. Органи або уповноважені особи (держателі, адміністратори державних реєстрів тощо) зобов'язані на запит Бюро надавати відомості з державних реєстрів в електронному вигляді (у форматі бази даних) у разі наявності письмової згоди суб'єктів інформації.
Користувачами Бюро можуть бути банки, небанківські фінансові установи та інші суб'єкти господарської діяльності, які надають послуги з відстроченням платежу або надають майно в кредит.
Кредитна історія містить таку інформацію:
1) відомості, що ідентифікують особу:
а) для фізичних осіб:
прізвище, ім'я та по батькові;
дата народження;
паспортні дані;
місце проживання;
ідентифікаційний номер згідно з Державним реєстром фізичних осіб платників податків та інших обов'язкових платежів (у разі наявності) (далі ідентифікаційний номер);
відомості про поточну трудову діяльність;
сімейний стан особи та кількість осіб, які перебувають на її утриманні;
дата і номер державної реєстрації, відомості про орган державної реєстрації та основний предмет господарської діяльності фізичної особи суб'єкта підприємницької діяльності;
б) для юридичних осіб:
повне найменування;
місцезнаходження;
дата і номер державної реєстрації, відомості про орган державної реєстрації;
ідентифікаційний код у Єдиному державному реєстрі підприємств та організацій України (далі ідентифікаційний код);
прізвище, ім'я та по батькові, паспортні дані керівника і головного бухгалтера;
основний вид господарської діяльності;
відомості, що ідентифікують власників, які володіють 10 і більше відсотками статутного капіталу юридичної особи:
для фізичних осіб власників: прізвище, ім'я та по батькові, паспортні дані, ідентифікаційний номер і місце проживання;
для юридичних осіб власників: повне найменування, місцезнаходження, дата і номер державної реєстрації, відомості про орган державної реєстрації, ідентифікаційний код;
2) відомості про грошове зобов'язання суб'єкта кредитної історії:
а) відомості про кредитний правочин та зміни до нього (номер і дата укладання правочину, сторони, вид правочину);
б) сума зобов'язання за укладеним кредитним правочином;
в) вид валюти зобов'язання;
г) строк і порядок виконання кредитного правочину;
ґ) відомості про розмір погашеної суми та остаточну суму зобов'язання за кредитним правочином;
д) дата виникнення прострочення зобов'язання за кредитним правочином, його розмір і стадія погашення;
е) відомості про припинення кредитного правочину та спосіб його припинення (у тому числі за згодою сторін, у судовому порядку, гарантом тощо);
є) відомості про визнання кредитного правочину недійсним і підстави такого визнання;
3) інформацію про суб'єкта кредитної історії, яка складається із сукупності документованої інформації про особу з державних реєстрів, інших баз даних публічного користування, відкритих для загального користування джерел:
а) наявність заборгованості за податками та обов'язковими платежами;
б) рішення судів, що стосуються виникнення, виконання та припинення зобов'язань за укладеним кредитним правочином;
в) рішення судів та органів виконавчої влади, що стосуються майнового стану суб'єкта кредитної історії;
г) інші відомості, що впливають на спроможність виконання суб'єктом кредитної історії власних зобов'язань;
4) відомості про операції з інформацією, яка складає кредитну історію:
а) дата оновлення кредитної історії;
б) найменування Користувача, який надав інформацію до кредитної історії, у разі його згоди на це;
в) коментар суб'єкта кредитної історії у випадках, передбачених цим Законом.
Інформація для формування кредитної історії надається Користувачем до Бюро лише в разі наявності письмової згоди юридичної або фізичної особи, яка уклала кредитний правочин з Користувачем.
Користувач у разі укладення кредитного правочину та отримання письмової згоди суб'єкта кредитної історії на збір, зберігання, використання та поширення через Бюро інформації щодо нього надає до Бюро інформацію:
1) про себе, що ідентифікує його як Користувача;
2) про суб'єкта кредитної історії.
Користувач зобов'язаний повідомити суб'єкта кредитної історії про назву та адресу Бюро, до якого передаватиме інформацію для формування його кредитної історії.
Бюро надають інформацію з кредитних історій у формі кредитних звітів. Кредитні звіти містять усю інформацію з кредитної історії, якщо інші обсяги інформації не передбачені Положенням Бюро або Договором.
Користувачі мають право звернутися до Бюро за отриманням кредитних звітів упродовж дії укладеного правочину між ним та суб'єктом кредитної історії, а також за наявності у Користувача письмової згоди суб'єкта кредитної історії на доступ до його кредитної історії.
Користувачі мають право звернутися до Бюро за отриманням кредитних звітів у разі звернення суб'єкта кредитної історії до них з метою укладення кредитного правочину, а також надання Користувачу письмової згоди на доступ до його кредитної історії.
Суб'єкт кредитної історії має право ознайомитися з інформацією, що міститься у його кредитній історії, а саме:
1) кредитним звітом;
2) інформацією з реєстру запитів.
Бюро створюється у формі господарського товариства, cтатутний капітал Бюро формується виключно за рахунок грошових коштів засновників Бюро і має бути не менше п'яти мільйонів гривень. У назві Бюро обов'язково зазначаються слова "бюро кредитних історій". Предметом діяльності Бюро є виключно ведення кредитних історій, а також здійснення іншої діяльності, що має на меті реалізацію положень цього Закону. Бюро починає здійснення своєї діяльності з моменту отримання ліцензії.
На сьогоднішній день в Україні зареєстровані та розпочали своє функціонування перших 3 бюро кредитних історій, що повинно суттєво знизити ризики технологій масового споживчого кредитування населення:
1. ТОВ “Українське бюро кредитних історій” (засновники ЗАТ КБ “ПриватБанк” і іноземна компанія BigOptima Limited). Державна реєстрація ТОВ “Українське бюро кредитних історій” датована 6 червня 2005 року [48].
На сьогоднішній день ТОВ “Українське бюро кредитних історій” є єдиним реально діючим та може надати доступ до більш ніж 10 000 000 кредитних історій як фізичних, так юридичних осіб, що складає близько 40 % усього працездатного населення України.
2. Перше всеукраїнське бюро кредитних історій (засновники Асоціація українських банків, 30 банків і дві страхові компанії) [49].
3. Національне бюро кредитних історій — вже третє кредитне бюро в Україні [49]. Його засновники — Національна асоціація кредитних спілок України, міжнародна холдингова компанія Creditinfo Group, що спеціалізується на системах та інструментах кредитного менеджменту, а також інвестиційно-фінансова група «ТАС».
3.2 Нові види споживчого кредитування
Підвищення прибутковості кредитних операцій безпосередньо зв'язано з якістю оцінки кредитного ризику. У залежності від класифікації клієнта по групах ризику банк приймає рішення, чи варто видавати кредит чи ні, який ліміт кредитування і відсотки варто встановлювати.
У світовій практиці існує два основних методи оцінки ризику кредитування, що можуть застосовуватися як окремо, так і в сполученні з один одним [31, с.25]:
суб’єктивний висновок експертів або кредитних інспекторів;
автоматизовані системи скоринга.
Фінансовий скоринг – новий термін в практиці роботи комерційних банків України з споживчими кредитами населенню.
Через підвищення конкуренції і росту стимулів для кращих результатів кредитні й інші фінансові установи змушені шукати більш ефективні шляхи контролю над витратами. Агресивні маркетингові проекти по залученню нових клієнтів і необхідність швидко на них реагувати привели до росту автоматизації процесу експертизи і надання кредитів і страховок. Іншими словами, виникає приваблива перспектива поставити видачу кредитів на потік, використовуючи деякий математичний формалізм і накопичені статистичні дані.
У сфері роздрібного кредитування ризик-менеджерові тепер приходиться приймати такі рішення по наданню кредиту, за допомогою яких можна не тільки адекватно оцінити кредитоспроможність клієнта, але і зберегти витрати на низькому рівні, зменшуючи час, затрачуваний на один клієнта. Також для ідеального обслуговування клієнтів потрібно, щоб це автоматизоване рішення відмовляло в кредиті як можна меншому числу кредитоспроможних клієнтів і в той же час відсівало якнайбільше потенційних порушників
Ризик-менеджери залучаються для допомоги у виборі для привілейованого обслуговування "правильних" клієнтів, тобто клієнтів, що несуть найменший ризик. Навпроти, у відношенні до клієнтів, що демонструють негативне поводження (неплатежі, шахрайство), ризик-менеджери повинні застосовувати стратегії, що дозволяють не тільки ідентифікувати їх, але й ефективно вживати заходів, щоб мінімізувати подальші втрати.
Ключовим поняттям нової технології роботи кредитного ризик-менеджера є скоринг та скорингові таблиці.
Система скоринга для оцінки кредитоспроможності це, насамперед, той або інший вид математичної моделі, що дозволяє ставити конкретному потенційному позичальникові, кожний з яких описується рядом параметрів, у відповідність деяку величину, що оцінює кредитну якість позичальника.
Здебільшого, які б математичні розуміння не закладалися в підставу скорингової моделі, скоринг являє собою зважену суму факторів ризику кредитної якості позичальників:
S = a1 * X1 + a2 * X2 + ... + ak * Xk (3.1)
де S значення скоринга,
X1,X2...Xk параметри клієнта, що входять в оцінку його кредитної якості,
a1,a2...ak ваги, що характеризують значимість відповідних параметрів клієнта (фактори ризику його кредитоспроможності) для формування його кредитного скоринга.
Для зниження витрат і збільшення пропускної здатності системи скоринга, крім математичної моделі, необхідна її програмна реалізація. Необхідно також мати систему регламентів і процедур, що задають правила експлуатації системи скоринга.
Скоринг є одним з найбільш успішних прикладів використання математичних і статистичних методів у бізнесі, що у даний час широко застосовуються у всіх економічно розвитих країнах. Скоринг використовується головним чином при кредитуванні фізичних осіб, особливо в споживчому кредиті при незабезпечених позичках, та являє собою математичну або статистичну модель, за допомогою якої на основі кредитної історії «минулих» клієнтів банк намагається визначити, наскільки велика імовірність, що конкретний потенційний позичальник поверне кредит у визначений термін.
У західній банківській системі, коли людина звертається за кредитом, банк може мати наступну інформацію для аналізу [79, с.14]:
анкета, яку заповнює позичальник;
інформація на даного позичальника з кредитного бюро організації, у якій зберігається кредитна історія всього дорослого населення країни;
дані рухів по рахунках, якщо мова йде про вже діючого клієнта банку.
У самому спрощеному виді скорингова модель являє собою зважену суму визначених характеристик. У результаті виходить інтегральний показник (score); чим він вище, тим вище надійність клієнта, і банк може упорядкувати своїх клієнтів по ступеню зростання кредитоспроможності.
Інтегральний показник кожного клієнта порівнюється з якимсь числовим порогом, або лінією розділу, що, власне кажучи, є лінією беззбитковості і розраховується з відношення, скільки в середньому потрібно клієнтів, що платять у термін, для того, щоб компенсувати збитки від одного боржника. Клієнтам з інтегральним показником вище цієї лінії видається кредит, клієнтам з інтегральним показником нижче цієї лінії – не видається.
Усе це виглядає дуже просто, однак складність полягає у визначенні, які характеристики варто включати в модель і які вагові коефіцієнти повинні їм відповідати. Скоринг виділяє ті характеристики, що найбільш тісно зв'язані з ненадійністю або, навпаки, з надійністю клієнта. Скорингова модель не знає, чи поверне даний позичальник кредит, але знає, що в минулому люди цього віку, цієї ж професії, з таким же рівнем освіти і з таким же числом утриманців кредит не повертали. Тому скорингова система давати кредит цій людині не рекомендуватиме.
У цьому полягає дискримінаційний (не в статистичному, а в соціальному значенні цього слова) характер скоринга, тобто якщо людина по формальних ознаках близька до групи з поганою кредитною історією, то йому кредит не дадуть. Тому навіть при дуже високому ступені використання автоматизованих систем скоринга здійснюється суб'єктивне втручання у випадку, коли кредитний інспектор має додаткову інформацію, що доводить, що людина, класифікована як ненадійна, насправді «гарна», і навпаки.
У Великобританії найбільше часто використовуються наступні характеристики для оцінки кредитного ризику [75, с.32]:
Вік
Кількість дітей/утриманців
Професія
Професія чоловіка(і)
Доход
Доход чоловіка(і)
Район проживання
Вартість житла
Наявність телефону
Скільки років живе по даній адресі
Скільки років працює на даній роботі
Скільки років є клієнтом даного банку
Наявність кредитної картки/чекової книжки
В інших країнах набір характеристик, що найбільше тісно зв'язані з імовірністю дефолта імовірністю, що позичальник не поверне кредит або затримається з виплатою, буде відрізнятися в силу національних економічних і соціально-культурних особливостей. Чим більш однорідна популяція клієнтів, на якій розробляється модель, тим точніше прогнозування дефолта. Тому очевидно, що не можна автоматично перенести модель з однієї країни в іншу або з одного банку в іншій. Навіть усередині одного банку існують різні моделі для різних груп клієнтів і різних видів кредиту.
З метою побудови моделі спочатку виділяється вибірка клієнтів кредитної організації, про яких уже відомо, гарними позичальниками вони себе зарекомендували чи ні, іноді така вибірка називається «навчальною». Вона може варіюватися від декількох тисяч до сотні тисяч, що не є проблемою на Заході, де кредитний портфель банку може складатися з десятків мільйонів клієнтів. Вибірка підрозділяється на дві групи: «гарні» і «погані» ризики. Це виправдано в тім змісті, що банк при ухваленні рішення про кредитування на першому етапі вибирає з двох варіантів: давати кредит або не давати. При всій «дитячості» визначень «гарний»/«поганий», це саме ті терміни, що використовуються кредитними аналітиками.
Визначення «поганого» ризику може бути різним у залежності від політики банку, у Західній Європі «поганим» ризиком звичайно вважається клієнт, що затримується з черговою виплатою на три місяці. Іноді до «поганого» ризику відносяться клієнти, що занадто рано повертають кредит, і банк не встигає нічого на них заробити.
Таким чином, скоринг являє собою класифікаційну задачу, де виходячи з наявної інформації необхідно одержати функцію, що найбільше точно розділяє вибірку клієнтів на «поганих» і «гарних».
Методи власне класифікації досить різноманітні і містять у собі [68]:
статистичні методи, засновані на дискримінантному аналізі (лінійна регресія, логістична регресія);
різні варіанти лінійного програмування;
дерево класифікації або рекурсійно-партиційний алгоритм (РПА);
нейронні мережі;
генетичний алгоритм;
метод найближчих сусідів.
Традиційними і найбільш розповсюдженими є регресійні методи, насамперед лінійна багатофакторна регресія :
р = w>o> + w>1>x>1> + w>2>x>2> + … + w>n>x>n> , (3.2)
де р імовірність дефолта, w вагові коефіцієнти, x – характеристики клієнта.
Недолік даної моделі полягає в тім, що в лівій частині рівняння знаходиться імовірність, що приймає значення від 0 до 1, а перемінні в правій частині можуть приймати будьяк значення від – до + .
Логістична регресія дозволяє перебороти цей недолік:
log (p/(1p)) = w>o> + w>1>x>1> + w>2>x>2> + … + w>n>x>n>... (3.3)
Для застосування логістичної регресії необхідні набагато більш складні розрахунки для одержання вагових коефіцієнтів і, отже, більш могутня комп'ютерна база й удосконалене комп'ютерне забезпечення. Але при сучасному рівні розвитку комп'ютерної техніки це не є проблемою, і в даний час логістична регресія є лідером скорингових систем.
Перевага логістичної регресії ще й у тім, що вона може підрозділяти клієнтів як на дві групи (0 поганий, 1 гарний), так і на кілька груп (1, 2, 3, 4 групи ризику).
Усі регресійні методи чуттєві до кореляції між характеристиками, тому в моделі не повинні бути сильно корельовані незалежні перемінні.
Лінійне програмування також приводить до лінійної скорингової моделі. Провести абсолютно точну класифікацію на поганих і гарних клієнтів неможливо, але бажано звести помилку до мінімуму. Задачу можна сформулювати як пошук вагових коефіцієнтів, для яких помилка і буде мінімальною.
Дерево класифікації і нейронні мережі являють собою системи, що розділяють клієнтів на групи, усередині яких рівень ризику однаковий і максимально відрізняється від рівня ризику інших груп. Нейронні мережі використовуються головним чином при визначенні кредитоспроможності юридичних осіб, де аналізуються вибірки меншого розміру, ніж у споживчому кредиті. Але найбільш успішною областю їх застосування стало виявлення шахрайства з кредитними картками завдяки їх здатності виявляти нестандартні ситуації.
Генетичний алгоритм заснований на аналогії з біологічним процесом природного добору. У сфері кредитування це виглядає в такий спосіб: мається набір класифікаційних моделей, які піддаються «мутації», «схрещуються», і в результаті відбирається «найсильніший», тобто модель, що дає найбільш точну класифікацію.
При використанні методу найближчих сусідів вибирається одиниця виміру для визначення відстані між клієнтами. Усі клієнти у вибірці одержують визначене просторове положення. Кожен новий клієнт класифікується виходячи з того, яких клієнтів поганих або гарних більше довкола нього.
На практиці використовується комбінація декількох методів, і компанії зберігають свої скорингові моделі в найсуворішому секреті, тому складно сказати, який метод краще.
Ціль процесу розробки скоринг карт побудувати найбільш повний профіль ризику для кожного клієнта. Такий широкий підхід робить скорингкарти не тільки більш ефективними, але і менш сприйнятливими до змін в одній окремій області. Такий профіль ризику повинний містити в собі характеристики, що відбивають стільки незалежних типів інформації, скільки можливо.
Так, кредитна скорингкарта користувача повинна містити в собі:
демографічну інформацію про клієнта (вік, місце проживання, регіон і стаж роботи);
розділ кредитних характеристик, що відбивають володіння нерухомістю, професію, платоспроможність,деяку фінансову інформацію;
ступінь довіри клієнтові у відношенні погашення боргів (загальний коефіцієнт неповернення боргу);
а також іншу значиму для розгляду інформацію про існуючих позичальників.
Профіль позичальника також допомагає при наступному моніторингу скорингкарт по релевантності. Більшість аналітиків, що займаються вивченням ризиків, використовують щомісячні звіти типу "стабільність системи" або "стабільність чисельності клієнтів" для підтвердження ефективності застосування карт при поточній чисельності клієнтів. Ці звіти показують міри ефективності, виходячи лише з характеристик, використовуваних у скорингкарті. Загальний же профіль ризику більш реалістично відбиває поточні зміни чисельності, ніж при використанні обмеженої кількості перемінних зі скорингкарти. У найпростішій формі, ризикова таблиця складається з групи характеристик, що згідно статистики є прогнозуючими при поділі облікових записів на гарні і погані (табл.3.2).
Таблиця 3.2 Приклад ризикових таблиць скоринг-кредитування [31]
|
Назва характеристики |
Атрибут |
Збільшення рейтингу |
|
ВІК |
До 23 |
63 |
|
ВІК |
23 – 25 |
76 |
|
ВІК |
25 – 28 |
79 |
|
ВІК |
28 – 34 |
85 |
|
ВІК |
34 – 46 |
94 |
|
ВІК |
46 – 51 |
103 |
|
ВІК |
Від 51 |
105 |
|
КАРТКИ |
“AMERICAN EXPRESS”, “VISA OTHERS”, “VISA MYBANK”, “NO CREDIT CARDS” |
80 |
|
КАРТКИ |
“CHEQUE CARD”, “MASTERCARD/EUROC”, “OTHER CREDIT CARD” |
99 |
|
КАРТА EC |
0 |
86 |
|
КАРТА EC |
1 |
83 |
|
ДОХОД |
До 500 |
93 |
|
ДОХОД |
500 – 1550 |
81 |
|
ДОХОД |
1550 – 1850 |
75 |
|
ДОХОД |
1850 – 2550 |
80 |
|
ДОХОД |
Від 2550 |
88 |
|
СТАТУС |
“E”, “I”, “U” |
79 |
Кожному атрибутові ("Вік" це характеристика, "2325" атрибут) привласнюється рейтинг на основі статистичного аналізу з урахуванням різних факторів, таких як прогнозна сила характеристик, кореляція між характеристиками і вага характеристик. Загальний рейтинг кандидата це сума рейтингів усіх його атрибутів, що присутні у таблиці.
Нижченаведена табл. 3.3 являє приклад звіту, отриманого при скоринговому аналізі.
Таблиця 3.3 Результати скорингового аналізу [31]
|
Рейтинг |
Кількість |
Сумарна кількість |
Число «гарних» |
Сумарне число «гарних» |
Число «поганих» |
Сумарне число «поганих» |
Гранична частка «поганих», % |
Сумарна частка «поганих»,% |
Процент вибірки, в якій кандидати мають рейтинг рівний чи вище, % |
|
273 – 279 |
842 |
842 |
840 |
840 |
2 |
2 |
0,24 |
0,24 |
1,81 |
|
267 – 273 |
511 |
1353 |
510 |
1350 |
1 |
3 |
0,2 |
0,22 |
2,91 |
|
262 – 267 |
574 |
1927 |
570 |
1920 |
4 |
7 |
0,7 |
0,36 |
4,14 |
|
256 – 262 |
2087 |
4014 |
2070 |
3990 |
17 |
24 |
0,81 |
0,6 |
8,63 |
|
250 – 256 |
1756 |
5770 |
1740 |
5730 |
16 |
40 |
0,91 |
0,69 |
12,41 |
|
245 – 250 |
2338 |
8108 |
2310 |
8040 |
28 |
68 |
1,2 |
0,84 |
17,44 |
|
239 – 245 |
2917 |
11025 |
2880 |
10920 |
37 |
105 |
1,27 |
0,95 |
23,71 |
|
233 – 239 |
3774 |
14799 |
3720 |
14640 |
54 |
159 |
1,43 |
1,07 |
31,83 |
|
228 – 233 |
2766 |
17565 |
2700 |
17340 |
66 |
225 |
2,39 |
1,28 |
37,77 |
|
222 – 228 |
3366 |
20931 |
3300 |
20640 |
66 |
291 |
1,96 |
1,39 |
45,01 |
|
216 – 222 |
4492 |
25423 |
4380 |
25020 |
112 |
403 |
2,49 |
1,59 |
54,67 |
|
211 – 216 |
4210 |
29633 |
4080 |
29100 |
130 |
533 |
3,09 |
1,8 |
63,73 |
|
205 – 211 |
3455 |
33088 |
3360 |
32460 |
95 |
628 |
2,75 |
1,9 |
71,16 |
|
199 – 205 |
4419 |
37507 |
4260 |
36720 |
159 |
787 |
3,6 |
2,1 |
80,66 |
|
194 – 100 |
1549 |
39056 |
1440 |
38160 |
109 |
896 |
7,04 |
2,29 |
83,99 |
|
188 – 194 |
2006 |
41062 |
1890 |
40050 |
116 |
1012 |
5,78 |
2,46 |
88,31 |
Виділений рядок у таблиці 3.3 повідомляє наступне:
Для діапазону рейтингів 245250 очікувана частка "поганих" дорівнює 1,2%. Це значить, що 1,2% кандидатів з рейтингом від 245 до 250 швидше за все будуть "поганими".
Сумарна частка "поганих", тобто частка "поганих" серед усіх кандидатів з рейтингом вище 245, дорівнює 0,84%.
Acceptance rate для 245 дорівнює 17,44%, тобто 17,44% усіх кандидатів мають рейтинг вище 245.
На основі факторів, описаних вище, банк може вирішити, наприклад, відмовляти всім кандидатам з рейтингом нижче 200, або призначати їм велику ціну через те, що вони представляють більший ризик. Поняття "поганого" клієнта визначається головним чином за допомогою таких негативних показників, як банкрутство, шахрайство, правопорушення, відмовлення від виконання зобов'язань і негативна чиста приведена вартість (NPV).
Інформація про ризиковий рейтинг у сполученні з іншими факторами, такими як середній ступінь схвалення [approval rate] і потенціал доходу/прибутку для кожного рівня ризику, можуть використовуватися для розробки нових стратегій добору заяв, що будуть максимізувати доход і мінімізувати неповернений борг. Прикладами стратегій для кандидатів з високим рівнем ризику є:
відмовлення в наданні кредиту або послуги, якщо рівень ризику занадто високий,
менший стартовий кредитний ліміт або максимальне значення кредиту на кредитній картці,
збільшена ціна при оплаті на виплат або вимогу застави при іпотеці або позичках на автомобіль,
збільшена процентна ставка по позичці,
збільшений страховий внесок по страхових полісах,
вимога надати застава при комунальних послугах [utilities services],
вимога заплатити вперед при оплаті стільникового зв'язку,
заборона на міжнародний зв'язок від телекомунікаційних компаній,
приміщення під спостереження через потенційні шахрайські дії.
Навпроти, кандидатам з високим рейтингом можуть бути видані великі кредити по більш вигідних процентних ставках, можуть бути надані послуги більш високого розряду, наприклад, золоті або платинові картки, або додаткові продукти, пропоновані компанією.
Рейтинги заяв можна також використовувати для мінімізації витрат на етапі кредитної експертизи due diligence policies. Наприклад, кандидат з дуже високим або дуже низьким рейтингом може бути прийнятий або відкинутий відразу ж без одержання подальшої інформації про нерухомість, підтвердження доходів або перевірки базового активу.
З огляду на конкуренцію, що загострюється, на ринку, кредитним організаціям приходиться йти на усі великі поступки позичальникам. Це і відсутність первинного внеску, і розміщення кредитних менеджерів банку прямо в торговельному приміщенні магазинів, і експресоформлення кредиту. Можливість одержати кредит у лічені хвилини, "не відходячи від прилавка", от головний козир нинішніх кредиторів. Вони обіцяють видати готове рішення про можливості видачі вам кредиту в плині 530 хвилин. Та й довідка з місця роботи про заробітну плату виявляється зайвим папірцем. Це змушує відвідувача, уже тримаючи в руках заповітний товар, підписувати будь-які документи.
В цих умовах саме використання скорингової моделі як одного з головних інструментів ризик-менеджменту кредитних операцій визнано в усім світі як одне з найбільш ефективних.
Успіх скорингової моделі обумовлюється декількома ключовими факторами:
неупередженість оцінки (скоринг геть чисто відмітає суб'єктивність оцінок, традиційно зв'язану з кредитними рішеннями);
стандартизація кредитних оцінок;
можливість автоматизації (тому що скоринг припускає роботу лише з деякою кількістю цифр, вона легко автоматизується);
контроль (у силу стандартизації кредитних операцій банкам не представляється складним контролювати і відслідковувати ефективність кредитних рішень);
збільшення прибутковості (автоматизація процесу означає зниження витрат на ручну обробку заявок на кредит до мінімуму).
Для ефективного використання кредитного скоринга необхідно враховувати, що існує два види інформації: та, котру установа мала при споконвічному прогнозуванні поводження потенційного позичальника (оцінні дані), і та, котру організація одержує в результаті використання клієнтом кредитних продуктів (робочі дані).
Результати, отримані після статистичного аналізу, і формують скорингову карту. Приміром, вона може виглядати в такий спосіб (табл.3.4).
Це далеко не повний набір можливих критеріїв оцінки кредитних ризиків потенційних позичальників.
Наступним логічним кроком буде визначення граничного значення результату скорингової моделі або рівня відсікання, що і розділить усіх позичальників на "поганих" і "гарних". Такою межою повинний стати рівень, при якому доходи від гарних позичальників є достатніми для покриття збитків по потенційно поганим. Для цього можна вдатися до комплексного аналізу і співвідношення прибутковості кредитного портфеля і рівня списань боргів, віднесених до безнадійних й інших витрат. Припустимо, що в середньому збитки по одному поганому рахунку покриваються доходами по десятьох гарним. У даному випадку таким рівнем буде значення скорингової карти відповідному такому співвідношенню (у нашому прикладі це 10/1). Саме таке значення і буде, свого роду, крапкою беззбитковості кредитних операцій банку (табл.3.5).
Таблиця 3.4 Приклад скорингової карти в АКБ „Приватбанк”
|
Вік |
до 25 5 |
25 40 10 |
40 50 15 |
50 і більше 10 |
|
Власність |
власник 20 |
співвласник 15 |
наймач 10 |
інше 5 |
|
Робота |
керівник 15 |
менеджер середньої ланки 10 |
службовець 5 |
інше 0 |
|
Стаж |
1/безробітний 0 |
1 3 5 |
3 10 10 |
10 і більше 15 |
|
Робота чоловіка/дружини |
немає/домогосподарка 0 |
керівник 10 |
менеджер середньої ланки 5 |
службовець 1 |
Таблиця 3.5 Приклад оцінки рівня беззбитковості кредитних операцій (рівень відсікання)
-
Значення скорингової карти
Кількість гарних рахунків на один поганий
Рішення про кредитування
65 і більше
40/1
Позитивне
50 65
25/1
РІВЕНЬ БЕЗЗБИТКОВОСТІ КРЕДИТНИХ ОПЕРАЦІЙ
40 50
10/1
Додатковий (ручний) аналіз заявки
менш 40
5/1
Відмовити
Саме описаний вище алгоритм є одним з базових для побудови скорингової системи.
Як свідчить досвід Західних країн, після введення в роботу скорингових моделей рівень поганих боргів скоротився на 15% 20% у порівнянні з ручною (суб'єктивною) обробкою кредитних заявок. Утім, досвід російських фінансистів не такий вражаючий. За різними оцінками, відсоток "неповернень" складає, за різними оцінками, від 10 до 20%.
В останні роки скорингсистеми набули поширення і в діяльності вітчизняних банків. Зокрема, Приватбанком та банком „Надра” були розроблені власні скорингсистеми. Методика Приватбанку включає такі характеристики [85]:
соціальну стабільність (фізична особа працездатного віку – 10 балів,
наявність шлюбного контракту – 10 балів,
забезпеченість роботою – 10 балів),
питому вагу річних виплат за кредитом (відсотків та погашення основної частини боргу) у сукупному річному доході позичальника: менше 25 % – 20 балів, від 25 % до 50 % – 10 балів, більше 50 % – 0 балів;
користування кредитами раніше і їх своєчасне погашення – 20 балів;
має зв’язки і підтримку в ділових колах (рекомендаційний лист) – 10 балів.
Залежно від суми набраних балів позичальники поділяються на 5 класів:
А – більше 70 балів,
Б – 60–70 балів,
В – 50–59 балів,
Г – 40–49 балів,
Д – менше 40 балів.
Скорингсистема банку “ Надра” включає такі характеристики [40, с.79]:
1. Вік позичальника. Якщо вік клієнта від 25 до 50 років, він отримує 8 балів; якщо менше 25 років або більше 50 років – 2 бали.
2. Наявність власної нерухомості. При наявності власної нерухомості клієнт отримує 8 балів; якщо нерухомість знаходиться у власності іншого члена сім’ї – 4 бали; якщо не має власної нерухомості – 0 балів.
3. Постійна робота. При стажі роботи на даному місці понад 3 роки клієнт отримує 8 балів; при стажі роботи на постійному місці від 1 до 3 років – 4 бали; при стажі роботи менше 1 року – 2 бали.
4. Безперервний стаж роботи. При безперервному стажі роботи понад 5 років – 6 балів; при безперервному стажі роботи від 3 до 5 років – 4 бали; при безперервному стажі роботи менше 3 років – 2 бали.
5. Погашення кредитів у минулому. Якщо отримані клієнтом кредити сплачувались своєчасно та в повному обсязі, він отримує 6 балів; якщо кредити, які отримувались клієнтом у минулому, сплачувались із порушенням строків платежу або клієнт взагалі не користувався кредитами – 4 бали; якщо кредити прострочені або якщо клієнт ухиляється від відповідальності – 0 балів.
6. Забезпечення кредиту. Характеризує забезпеченість повернення кредиту та відсотків за ним заставою або порукою. Розраховується як відношення вартості застави (суми поруки) до суми основного боргу за кредитом із урахуванням нарахованих відсотків. Якщо вартість запропонованого майна в заставу (сума поруки) на 50 % перевищує суму основного боргу з урахуванням відсотків, клієнт отримує 30 балів; якщо від 25 до 50 % – 25 балів; до 25 % – 20 балів; а якщо сума основного боргу з урахуванням нарахованих відсотків перевищує вартість запропонованого майна в заставу (суму поруки) клієнт отримує 15 балів.
7. Платоспроможність клієнта. Якщо місячні доходи позичальника на 30 % перевищують його витрати з урахуванням щомісячної сплати основного боргу за кредитом та нарахованих відсотків за користування ним, він отримує 20 балів; якщо менше 30 % – 15 балів; якщо ж місячні доходи клієнта не перевищують загальних місячних витрат, він отримує 5 балів.
8. Платоспроможність сім’ї. Якщо місячні доходи сім’ї клієнта на 50 % перевищують їх витрати з урахуванням щомісячної сплати основного боргу за кредитом та нарахованих відсотків за користування ним, він отримує 20 балів; якщо від 20 до 50 % – 15 балів; менше 20 % – 5 балів.
Якщо позичальник набрав більше 55 балів, то банк задовольняє прохання позичальника про надання кредиту; при 40–54 балах проводиться додаткове вивчення умов (суми, строку кредиту, гарантій); якщо сума балів менше 40, банк відмовляє клієнту у наданні кредиту.
Аналізуючи наведені вітчизняні скоринг-системи, необхідно зазначити, що основним їх недоліком є достатньо висока шкала, яка для переважної більшості населення є недосяжною.
Зважаючи на прогнозований подальший розвиток банківського споживчого кредитування в Україні і потребу в автоматизації процесу прийняття рішень щодо видачі кредиту, в Україні доцільно розвивати наступні напрямки вдосконалення скоринг-систем.
1. Створення кредитних бюро для формування кредитної історії всіх фізичних осіб, які коли-небудь звертались за кредитом у будь-яку кредитну установу країни.
2. Формування початкових вибірок достатніх обсягів із поділом клієнтів на “ добрих” та “ поганих”.
3. Здійснення вибору найбільш адекватних методів для побудови класифікаційної функції: дискримінантний аналіз, класифікаційне дерево (рекурсивне розбиття), нейронні мережі, генетичний алгоритм, метод найближчих сусідів.
Разом з тим завжди потрібно пам’ятати про обмеження, пов’язані із застосуванням кредитного скорингу. П-оперше, класифікація вибірки здійснюється лише на клієнтах, яким надали кредит; по-друге, із плином часу змінюються як соціально-економічні умови, що впливають на поведінку людей, так і самі люди, тому будь-яка скорингова модель потребує періодичного поновлення (модифікації).
Для оцінки впливу впровадження скорингових систем на якість кредитного портфелю банку проведемо аналіз структури кредитного портфелю та оцінених кредитних ризиків для створення кредитних резервів в АКБ “Приватбанк” за методологією [24].
Згідно “Звіту про класифіковані кредитні операції за формами власності
та розрахунку резерву на відшкодування можливих втрат за кредитними операціями АКБ “Приватбанк” [85], на рис. Л.1 Л.8 Додатку Л побудована графічна структура кредитного портфелю АКБ “Приватбанк” станом на 31.12.2005 року
Як показує аналіз графіків рис.Л.1 – Л.8 Додатку Л найбільш вразливішим місцем в кредитному менеджменті АКБ “Приватбанк” з точки зору забезпечення мінімізації кредитного ризику є адміністрування споживчих кредитів населенню:
а) Кредити, надані фізособам в інвестиційну діяльність:
вагова частка в “безнадійних” кредитах – 42,39%;
вагова частка в “сумнівних” кредитах – 23,25%;
вагова частка в “субстандартних” кредитах – 12,91%;
б) Кредити, надані фізособам в поточну діяльність:
вагова частка в “безнадійних” кредитах – 33,12%;
вагова частка в “сумнівних” кредитах – 18,16%;
вагова частка в “субстандартних” кредитах – 10,09%;
В той же час, як показують графіки на рис.Л.7 Л.8 Додатку Л, впровадження у 2005 році скоринг-систем кредитного менеджменту споживчого кредитування фізичних осіб зменшило обсяг „сумнівних” та „безнадійних” кредитів фізичних осіб в портфелі АКБ “Приватбанк” з 2,8% до 2,15%.
Таким чином, розвиток скоринг-систем кредитного менеджменту споживчого кредитування фізичних осіб дозволяє:
суттєво знизити витрати банку на ідентифікацію ризику кредитування споживача на окремому місці продавця кредитних продуктів банку, особливо коли це місце розташоване безпосередньо в точці торгівлі предметами та послугами, які кредитуються банком;
централізувати та проводити об’єктивний контроль умов кредитування в теріторіально відокремлених відділеннях та “банківських” кіосках з мінімальними вимогами до аналітичних здібностей кредитного інспектора;
впровадити технологію “самокредитування” через банкоматні системи, тобто автоматизувати процес споживчого кредитування у відсутності банківського персоналу.
3.3 Нові форми організації споживчого кредитування на ринку України (дочірні фінансові компанії споживчого кредитування комерційних банків)
При дослідженні нових форм організації споживчого кредитування на ринку України в дипломній роботі досліджена діяльність наступних фінансових компаній споживчого кредитування :
Дочірня ФКСК “Єврокредит” банка “Надра”(Україна);
Дочірня ФКСК “Простофінанс” нового банка “Простофінанс” групи “Societe Generale” (Франція);
Дочірня ФКСК “Простокредит2” нового банка “Простокредит” групи PPF(Чехія);
Реорганізована ФК “ПриватФінанс” (“Простокредит1”) в дочірню
ФКСК “Новий кредит” банка “Приватбанк”(Україна);
ломбарди;
Торговельна марка „Єврокредит”, яка належить компанії „Догмат Україна”, працює на фінансовому ринку України з листопада 2003 року [87]. Під цією маркою населення України отримує сучасну послугу споживчого кредитування, яка вирізняється серед інших пропозицій своєю простотою та доступністю для широких верств населення. Послуги «Єврокредиту» розраховані на придбання в кредит аудіо, відео та побутової техніки, комп’ютерів, будівельних матеріалів, меблів, та інших товарів тривалого використання. Протягом трьох років торговельна марка «Єврокредит» побудувала потужну мережу пунктів обслуговування клієнтів по всій території України, яка сьогодні нараховує близько 1 000 одиниць в усіх великих містах, обласних та багатьох районних центрах України.
Партнерами «Єврокредиту» стали майже всі великі торгові мережі побутової техніки, меблів, будівельних матеріалів та інших товарів. Послугами «Єврокредиту» за час існування торговельної марки скористалися близько 500 000 громадян України. Загальна сума виданих кредитів перевищує 1 млрд. грн. [87]
Темпи росту продажу за підсумками 2005 р. вивели «Єврокредит» на лідируючі позиції ринку споживчого кредитування України.
Cвою історію закрите акціонерне товариство "Догмат Україна" починає з 2002 року. Саме тоді невелика команда активних молодих менеджерів ухвалила стратегічне рішення про входження на український ринок фінансових послуг для населення. Тоді ж були вивчені національні особливості споживчого кредитування, його специфіка і визначені ключові сегменти для подальшого розвитку компанії.
Менше ніж через рік, в 2003, була створена торгова марка "Єврокредит" і в м. Києві виданий перший кредит у рамках цієї системи споживчого кредитування. Паралельно розпочата активна робота по побудові мережі точок продажів у Києві і Київській області. А до кінця року в Києві вже була відкрита перша власна точка продажу "Європункт", не пов'язана з магазинами партнерів.
2004 рік для компанії "Догмат Україна" ознаменувався партнерством з АКБ „Надра” та інтенсивним зростанням. Остаточно створена регіональна мережа продажу в Києві і області. Тоді ж було відкрито перше регіональне представництво, яке розмістилося в м. Харкові. Через деякий час такі ж представництва відкриваються в великих містах Дніпропетровську, Львові, Донецьку, Одесі, Сімферополі.
Система споживчого кредитування "Єврокредит" вже працює в крупних мережах побутової техніки "Ельдорадо" і "Домотехника". До кінця 2004 року клієнти могли оформити кредит вже в більше ніж 150 місцях продажу по всій Україні. У 2005 році відкрито ще 25 представництв у містах обласного значення і інших крупних містах. Система споживчого кредитування "Єврокредит" вже працює в магазинах таких крупних мереж як "МКС", "Фокстрот", "Мегамакс", "КРЕЗ", "Вікотек", "ВІКО", "Епіцентр", "Тритон", в сотнях крупних, середніх і малих магазинах, на базі яких створено ще більше 550 точок продажів.
До середини 2005 року торгова марка "Єврокредит" стала лідером українського ринку споживчого кредитування по динаміці зростання кредитного портфеля. Компанія "Догмат Україна" це молода українська компанія, яка динамічно розвивається та впевнено закріпилася на лідируючій позиції національного ринку споживацького кредитування.
Сьогодні під прапором торговельної марки "Єврокредит" працює понад 1700 працівників. Клієнти мають змогу оформити кредит в майже 800 місцях продажу на території всієї України. Партнерами "Єврокредиту" на сьогодні є понад 13 000 юридичних та фізичних осіб. На кінець 2005 року послугами "Єврокредиту" скористалися понад чверть мільйона українців.
З 5 квітня 2006 року торговельна марка «Єврокредит» для зручності споживачів змінила умови споживчого кредитування. Віднині в рамках стандартного кредитного продукту мінімальний авансовий внесок постійно становитиме від 0 % для позичальників від 18 до 70 років. Сума кредиту становить від 300 до 20 000 грн. на термін до 3 років.
В рамках кредитного продукту «Без довідки про доходи» мінімальний авансовий внесок становитиме від 20 % для позичальників від 23 до 70 років. Сума кредиту становить від 300 до 5 000 грн. на термін до 3 років.
Також на численні запити клієнтів торговельна марка «Єврокредит» з 5 квітня 2006 року впровадила нові кредитні продукти:
1. Без довідки про доходи з авансовим внеском 0%. Для позичальників віком від 23 до 70 років на суму 300 – 5 000 грн., терміном кредитування до 3 років.
2. Мобільні телефони. Для позичальників віком від 18 до 70 років на суму 300 – 3 000 грн., терміном кредитування від 3 до 24 місяців. В рамках даного кредитного продукту можна придбати максимум 2 мобільні телефони на 1 кредит.
Разом із введенням нових умов кредитування торговельна марка «Єврокредит» вводить в дію прогресивну форму обслуговування клієнтів – відтак всі заявки на оформлення кредиту на суму до 5 000 гривень розглядатимуться протягом 20 хвилин. Документи, необхідні громадянам України від 18 до 70 років для отримання кредиту в мережі торговельної марки «Єврокредит»:
1. Паспорт (оригінал і копія);
2. Довідка про присвоєння ідентифікаційного номеру в ДРФО (оригінал і копія);
3. Довідка про доходи за останні 6 місяців (для оформлення кредиту в рамках продуктів «Без довідки про доходи» не потрібна). Пенсіонери подають довідку про розмір пенсії, з органу який призначив пенсію.
Розрахунок кредитним калькулятором умов кредиту “Єврокредит 0%” показує основні умови кредитного договору споживчого кредитування ФКСК “Єврокредит” [87]:
Вартість кредитуємого товару – 5000 грн.
Сума початкового внеску за товар 1000 грн.
Сума наданого кредиту – 4000 грн.
Термін кредитування – 12 місяців
Розрахункова сума щомісячної сплати за кредит – 463,01 грн.
Аналіз показує, що фактичний рівень переплати вартості купленого товару для споживача буде дорівнювати :

Тобто еквівалентна річна ставка споживчого кредиту “Єврокредит 0%” становитиме 38,9% річних.
Розрахунок кредитним калькулятором умов кредиту “Єврокредит мобільний телефон” показує основні умови кредитного договору споживчого кредитування ФКСК “Єврокредит” [87]:
Вартість кредитуємого товару – 2000 грн.
Сума початкового внеску за товар 500 грн.
Сума наданого кредиту – 1500 грн.
Термін кредитування – 24 місяців
Розрахункова сума щомісячної сплати за кредит – 103,74 грн.
Аналіз показує, що фактичний рівень переплати вартості купленого товару для споживача буде дорівнювати :

Тобто еквівалентна річна ставка споживчого кредиту “Єврокредит мобільний телефон” становитиме 32,99% річних.
Розрахунок кредитним калькулятором умов кредиту “Єврокредит мобільний телефон 0% аванс” показує основні умови кредитного договору споживчого кредитування ФКСК “Єврокредит”:
Вартість кредитуємого товару – 2000 грн.
Сума початкового внеску за товар 0 грн.
Сума наданого кредиту – 2000 грн.
Термін кредитування – 24 місяців
Розрахункова сума щомісячної сплати за кредит – 138,32 грн.
Аналіз показує, що фактичний рівень переплати вартості купленого товару для споживача буде дорівнювати :

Тобто еквівалентна річна ставка споживчого кредиту “Єврокредит мобільний телефон 0% аванс” становитиме 32,99% річних.
Розрахунок кредитним калькулятором умов кредиту “Єврокредит без довідки про доходи 0% ” показує основні умови кредитного договору споживчого кредитування ФКСК “Єврокредит” [87]:
Вартість кредитуємого товару – 4000 грн.
Сума початкового внеску за товар 1000 грн.
Сума наданого кредиту – 3000 грн.
Термін кредитування – 24 місяців
Розрахункова сума щомісячної сплати за кредит – 207,48 грн.
Аналіз показує, що фактичний рівень переплати вартості купленого товару для споживача буде дорівнювати :

Тобто еквівалентна річна ставка споживчого кредиту “Єврокредит без довідки про доходи 0%” становитиме 32,99% річних.
На український фінансовий ринок вийшов ще один найбільший міжнародний гравець французька банківська група Societe Generale. Її новий проект називається "ПростоФінанс" і орієнтований на ринок роздрібного кредитування [75]. Компанія заявляє про намір протягом двох років стати лідером ринку українського споживчого кредитування.
Компанія буде розвиватися за принципом, аналогічному російському проектові "Русфинанс", організація експрес-кредитування в торговельних точках.
Societe Generale Group одна з ведучих фінансових груп у зоні євро. По власним даним компанії, вона обслуговує більш 16 млн клієнтів в усім світі. Sосіеtе Gеnеrаlе один з лідируючих банків у зоні євро по керуванню активами (1,115 трлн євро) і капіталами (315 млрд євро за даними на грудень 2004 року).
Місія «ПростоФінанс» полягає в привнесенні на ринок України найкращих стандартів надання фінансових послуг і постійному удосконаленню продуктів компанії для реалізації бажань та потреб клієнтів.
Державний Ощадбанк уклав вигідний для себе контракт із компанією «ПростоФинанс». Недавно почала роботу в Україні компанія «ПростоФинанс» буде завоювати ринок споживчого кредитування за допомогою державного Ощадбанка. Саме він буде приймати платежі від фізичних осіб по виданих кредитах, тобто стане платіжним агентом «ПростоФінанс».
На сьогоднішній день Ощадбанк має саму розгалужену мережу філій в Україні — вона поєднує більш 6700 установ у всіх регіонах України. Засновником цієї компанії (вона була створена в грудні минулого року) є один з найбільших французьких і європейських банків Societe Generale. «ПростоФінанс» буде надавати споживчі кредити фізичним особам на суму від 250 грн. до 30 тис. грн. на термін від 3 до 12 місяців під 12% річних (додатково з позичальника буде стягуватися ще 2% комісійних, котрі сплачуються щомісяця). Точки видачі позик, як говорять у компанії, будуть знаходитися в найбільших магазинних мережах — таких, як «Фокстрот», «МегаМаркет», «Ельдорадо» і ін.
У свою
чергу, Ощадбанк також, безумовно, виграє
від угоди з «ПростоФінанс».
По-перше, він зможе користуватися
залишками на рахунках компанії, що
через той обсяг фінансування, що
«ПростоФінанс» планує надавати своїм
клієнтам, обіцяють бути чималими. Крім
того, Ощадбанк буде одержувати комісійні
за оплату позик клієнтами «ПростоФінанс»
тариф складе 1,5% від суми платежу.
Але самі головне, як відзначають, учасники ринку, банк може домовитися з «ПростоФинанс» про переуступку йому права вимоги по кредитах компанії.
«ПростоФінанс» позиціонує свій продукт як одну з найбільш прийнятних та чесних пропозицій на ринку споживчих кредитів України. Даний продукт може бути легко та швидко змінений відповідно до потреб та побажань партнера та клієнтів.
«ПростоФінанс» надає кредити в розмірі від 250 до 30 000 гривень строком від 3 до 24 місяців. Річна відсоткова ставка по кредиту становить 8%.
Процедура отримання кредитові надзвичайно проста та швидка. Клієнт може отримати кредит протягом 15 хвилин після надання відповідей на спеціальну анкету, якові заповнює наш консультант безпосередньо в магазині.
Документи, необхідні для надання кредиту:
1.Паспорт громадянина України та ідентифікаційний код.
2. Якщо сума кредиту перевищує 5 000 гривень, клієнт повинен надати
довідку про доходи з місця роботи за останні 6 місяців.
Основні умови Кредиту «Доступний»:
Перший внесок — від 0%
Термін кредитування: від 3 до 24 місяців
Процентна ставка — 8% річних
Сума кредиту від 250 до 30 000 гривень
Комісія за надання та обслуговування кредиту — 2,69% щомісяця
Еквівалентна сумарна річна процентна ставка кредитування – 40,28%.
Основні умови Кредиту «Вигідний»:
Перший внесок — від 10%
Термін кредитування: від 3 до 24 місяців
Процентна ставка — 8% річних
Сума кредиту від 250 до 30 000 гривень
Комісія за надання та обслуговування кредиту — 1,75% щомісяця
Еквівалентна сумарна річна процентна ставка кредитування – 32,22%.
З 25 квітня 2006 долі компанії «Простофінанс» та «Рено Україна» представляють на українському ринку нову кредитну програму «Автопросто» з кредитування покупки автомобілів всього модельного рядові «Рено».
Програма «АвтоПросто» є однією з найбільш конкурентоспроможних програм на українському ринку, що пропонує низькі кредитні ставки в гривні, мінімальний термін оформлення заявки і демократичні умови кредитування.
Залежно від суми кредиту, умови кредитування від «Простофінанс» на період акції (25 квітня — 31 травня) передбачають:
кредитна ставка від 9,9% річних у гривні
перший мінімальний внесок від 0%
термін кредитування — до 5 років
термін оформлення кредитові — один час у салоні дилера
витрати на страхування авто включені в щомісячні платежі (за бажанням
клієнта)
погашення кредиту — безкоштовно, у будьякому відділенні Ощадбанку
Розрахунок кредитним калькулятором умов кредиту “Автокредит РЕНО” показує основні умови кредитного договору споживчого кредитування ФКСК “ПростоФінанс” [93]:
Вартість кредитуємого товару – 50000 грн.
Процент попередньої оплати – 0%
Початковий страховий платіж КАСКО – 500 грн.
Початковий страховий платіж ОСАГО – 500 грн.
Витрати на реєстрацію – 2000 грн.
Термін кредитування – 60 місяців
Розрахункова сума щомісячної сплати за кредит – 1298 грн.
Аналіз показує, що фактичний рівень переплати вартості купленого товару для споживача буде дорівнювати :

Тобто еквівалентна річна ставка споживчого кредиту становитиме 9,39% річних (без врахування щорічних страхових платежів на протязі 5 років).
Розрахунок кредитним калькулятором умов кредиту “Вигідний” показує основні умови кредитного договору споживчого кредитування ФКСК “ПростоФінанс” [93]:
Вартість кредитуємого товару – 10000 грн.
Процент попередньої оплати – 0%
Термін кредитування – 24 місяці
Розрахункова сума щомісячної сплати за кредит – 627 грн.
Аналіз показує, що фактичний рівень переплати вартості купленого товару для споживача буде дорівнювати :

Тобто еквівалентна річна ставка споживчого кредиту становитиме 25,24% річних.
„Простофінанс” дочірня компанія групи Societe Generale пообіцяла принести на український ринок, крім „швидких кредитів”, зовсім нову послугу надання позик поштою за допомогою технологій „прямого маркетинга” [93]. Тим самим клієнт зможе відправити поштою заповнений пакет документів на одержання кредиту. При позитивному рішенні гроші будуть перераховані на зазначений клієнтом рахунок.
Финансовая група PPF Group, що належить чеському мільярдерові Петеру Келлнеру, продовжує свою експансію на ринки східноєвропейських держав. Після Росії і Казахстану вона рішуче вторглась на український ринок.
28.07.2006 Чеська PPF Group купила АКБ "Агробанк" і кредитний союз "ПриватКредит", обидві компанії знаходяться в Дніпропетровську. Завершення угоди і переказ коштів відбудеться після її твердження Комісією з фінансових ринків Чехії, Національним банком України й антимонопольних органів обох країн [81].
Куплений АКБ "Агробанк" заснований у грудні 2002 року. На 1 липня 2006 року активи банку склали 644 млн. 720 тис. грн., кредитноінвестиційний портфель 543 млн. 300 тис. грн., капітал 67 млн. 40 тис. грн. За 1 півріччя чистий прибуток досяг 1 млн. 520 тис. грн. [86]
Куплене ТОВ "Кредитний союз "ПриватКредит" аффілійований із групою "Приватбанку" і спеціалізується на наданні споживчих кредитів.
PPF Group (Home Credit Group, підрозділ міжнародної фінансової групи PPF) міжнародна фінансова група, на кінець 2004 року керувала активами на суму близько 200 млрд. чеських крон (більш 8 млрд. дол.). Власником групи є PPFGroup.V. (Нідерланди), Група працює в Чехії, Словаччині, Росії і Казахстані, активно вивчає інші ринки в Східній Європі й Азії.
Куплена у КБ „Приватбанк” регіональна мережа точок продажу споживчих кредитів ТОВ „ПриватКредит” під торговою маркою „Простокредит” становить біля 800 одиниць, приєднання до неї АКБ „Агробанка” (планується перейменування в АКБ „Простокредит”), який має всі банківські ліцензії дозволяє оперативно розпочати впровадження програми споживчого кредитування.
З АКБ „Агробанк” в найближчому майбутньому планується зробити одну з ведучих фінансових установ України, що спеціалізуються на споживчому фінансуванні. Після завершення угоди Агробанк залишиться багатофункціональним банком. Але в рамках окремого проекту Home Credit планує відкрити близько 30003500 точок продажів споживчих кредитів по всій Україні.
Український ринок чеські банкіри називають другим по значимості після Росії серед країн СНД. Додатковим же стимулом для них є те, що темпи росту кредитування фізосіб в Україні зараз набагато випереджають відносні показники російського ринку. Так, при тім що обсяг ВВП України в десять разів менше російського (відповідно, 80 млрд доларів і 800 млрд доларів у 2005 році), відносні обсяги і темпи росту кредитів фізичним особам в Україні набагато вище.
За даними Банку Росії, за перші чотири місяці поточного року обсяг кредитування російського населення в рублях і валюті виріс на 172 млрд руб. (близько 7 млрд доларів), або на 15%. Тим часом в Україні зростання цього показника за перші п'ять місяців 2006 року склав 2,4 млрд доларів, або 36% [86].
В АКБ “Приватбанк” вже є окрема фінансова компанія «ПриватФинанс», що працює 2 роки під торговельною маркою «ПростоКредит». Її основні конкуренти – Правексбанк і дочірня структура банку «Надра» компанія «Еврокредит», спеціалізовані підрозділи банків «Аваль», «Дельта», «Ренесанс Капітал» і створена французьким Societe Generale компанія «ПростоФінанс».
29.06.2006 стало відомо, що Приватбанк почав ребрендинг свого роздрібного підрозділу споживчого кредитування в дочірню ФКСК, яка тепер буде називатися «Новий кредит» [85]. Уже до середини серпня 2006 року під новим брендом почнуть працювати 500 точок продажів банківських продуктів споживчого кредитування. Закріпивши на ринку ФКСК «Новий кредит», Приватбанк продає чеській групі PPF свою дочірню компанію «ПриватФінанс», що є одним з лідерів роздрібного кредитування на Україні під торговою маркою “Простокредит”.
Таким чином, КБ “Приватбанк” змінює своє позиціонування на ринку споживчого кредитування. З огляду на широку мережу філій та безбалансових відділень Приватбанку, логічно створити на її базі окремий підрозділ, а окрему компанію продати.
ФКСК «Новий кредит» буде видавати кредити під 36% річних з обліком комісійних [85].
Ломбард у наших співвітчизників асоціюється як місце, де можна швидко одержати гроші, здавши при цьому якусь річ. При цьому кредитна складова не є в нашому розумінні основною. Головною є реалізація закладеного майна. Ломбард же з погляду регулювальних органів є, насамперед, кредитною установою. Установою, що не тільки займається продажем виробів з дорогоцінних металів, але і має можливість надавати досить великі по обсягах кредити.
Ломбарди, будучи кредитними організаціями, працюють під пильним контролем Державної комісії з регулювання ринків фінансових послуг України (Дерфінпослуг). Незважаючи на схожість ситуацій банків і ломбардів, ступінь "пресингу" з боку контролюючих органів значно відрізняється. Якщо до банків застосовується твердий, по суті, щоденний контроль, то ломбарди мають можливість дозволяти собі визначені вільності. Вимог, як таких, просто не існує. А тим часом в Україні нараховується вже більш трьохсот ломбардів [71].
У ломбарди звертаються аж ніяк не за кредитами на житло або автомобіль. Середня сума кредиту не перевищує декількох сотень гривень.
Банки в силу вимог НБУ зацікавлені в поверненні кредиту, у високій оцінці кредитоспроможності позичальника. У відмінності від них ломбардам цікавий як можна більший розрив між реальною вартістю заставленого майна і сумою кредиту. Якщо банки повинні завжди бути готові до неповернення і мати в наявності відповідні служби, то ломбардові, здебільшого, лише на руку така ситуація. Тут не застосовується робота з простроченою заборгованістю. Не ведуться і судові розгляди. Ломбардам не страшні нормативи Нацбанку. Порозумівається ця диспропорція просто. Ломбарди з банками не конкуренти. Вони працюють у різних сегментах споживчого кредитування. До того ж, настільки популярних останнім часом, бланкових або інших слів беззаставних кредитів ломбард видавати не має права.
На сьогоднішній день ломбардом є фінансова установа, винятковим видом діяльності якого є надання на власний ризик фінансових кредитів фізичним особам. При цьому такі кредити можуть видаватися як за рахунок власних, так і залучених коштів. Обов'язкова вимога усі кредитні операції повинні здійснюватися під заставу майна на певний строк і під відсоток. Крім цього, ломбардам державою дароване право займатися наданням супутніх послуг.
Законодавець виділяє три подібні послуги. По-перше, це оцінка заставного майна. По-друге, надання посередницьких послуг по страхуванню предмета застави на підставі агентського договору зі страховою компанією (СК). Умовною вершиною супутніх послуг є реалізація закладеного майна. До всього зазначеного варто також додати збереження заставного майна, а також його реалізацію, у випадку, якщо воно з якихось причин не було викуплено у встановлений законом і/або договором термін.
Ломбардні ставки знаходяться в діапазоні від 0,4 до 0,7% на день, тобто еквівалентна річна ставка споживчого кредиту в ломбардах становить від 140% до 250%, що на порядок перевищує ставки споживчого кредитування в банківських та небанківських фінансових установах. При таких ставках фактично позичальник не бере ссуду в ломбарді, а просто продає свої коштовності по дуже зниженим цінам.
Основною діяльності ломбардів є скупка золотого лому та коштовностей Державною скарбницею України для створення валютних запасів, тому ризик ломбардів виникає тільки відносно різниці ціни лому та виданої суми ссуди.
ВИСНОВКИ
Споживче кредитування є одним з найпоширеніших видів банківських операцій у розвинутих країнах світу і є одним зі стимулюючих факторів розвитку економік цих країн. В Україні дана банківська послуга теж поступово набирає популярності. На даний час основну частку ринку споживчих кредитів (більш 50 % ) займають системні банки: Приватбанк (близько 25 %), Аваль (15 %), Укрсоцбанк (6,5 %), Правексбанк (6 %). Починають активно працювати на ринку споживчих кредитів в сегменті кредитування покупок у торговій мережі кредитні союзи («ПриватКредит”, “Перше кредитне товариство”) та дочірні фінансові компанії споживчого кредитування комерційних банків (ФКСК ”Єврокредит» банку «Надра», ФКСК «Простокредит» банку «Приватбанк»). В сегменті від 100 до 500 грн. активно працює система миттєвого заставного короткострокового споживчого кредитування населення ломбардами
За даними експертів обсяг виданих споживчих кредитів населенню в Україні складає близько 7 млрд. грн. на поточні потреби та біля 10 млрд.грн. інвестиційного іпотечного кредитування, що складає близько 2,8% ВВП. Біля 85,7% обсягу споживчого кредитування приходиться на частку банківської системи. Середня сума позики на одну людину в Україні складає приблизно $136, що значно менше аналогічних показників країн Східної Європи $980.
Згідно з поставленими завданнями дипломного дослідження в структурі роботі виділені основні 3 групи проблемних питань споживчого кредитування:
становлення теоретичних основ економічного та законодавчого статусу споживчого кредитування в Україні;
аналіз практики споживчого кредитування, класифікація продуктів споживчого кредитування та сегментація ринку споживчого кредитування;
розробка пропозицій по шляхам розвитку та удосконалення ринку споживчого кредитування в Україні.
Дослідження в дипломному проекті сутності та сучасної економічної термінології споживчого кредитування населення показало, що в економічній та методологічній літературі не існує єдиного і чіткого поняття “споживчий кредит”. Аналіз різних точок зору на це поняття, дозволив мені запропонувати,
з моєї точки зору, найбільш економічно та організаційно обґрунтованим визначення споживчого кредиту через його основний класифікаційний признак як невиробничий кредит, тобто не призначений для отримання додаткового прибутку, що може бути сформульовано як:
„Споживчий кредит – це грошові кошти в національній чи іноземній валютах, які надаються комерційними банками та фінансовими установами, діючими згідно Закону України «Про фінансові послуги та державне регулювання ринків фінансових послуг, та отримавшими ліцензію Національного банку України чи Держфінпослуг України на проведення кредитних операцій банківськими та небанківськими фінансовими установами , громадянам України на невиробничі потреби на умовах обов’язковості повернення, строковості, платності та необов’язковості заставності і цільової спрямованості”.
Таким чином, на мою думку, слід в визначенні споживчого кредиту:
впровадити розподіл споживчого кредиту на 3 основні класи:
1) поточний короткостроковий беззаставний нецільовий споживчий кредит;
2) поточний короткостроковий цільовий заставний споживчий кредит;
3) інвестиційний довгостроковий заставний цільовий споживчий кредит;
повернути заставному споживчому кредиту його цільову спрямованість, оскільки її відсутність не дає можливості ефективно контролювати повернення кредиту;
видалити фразу про можливість надання споживчого кредиту однією фізичною особою іншій фізичній особі, оскільки така фінансова операція окремо обумовлена Цивільним Кодексом України та має свій правочин (Стаття 1054. „Кредитний договір” Цивільного Кодексу України;
видалити фразу про можливість надання товарного споживчого кредиту нефінансовими торгівельними установами, оскільки процес товарного кредитування з відстрочкою сплати суми покупки не має основних елементів кругооберту позикового капіталу і словосполучення для юридичних осіб „товарний кредит” повинно бути замінено для споживачів на „торгівлю товарами в розстрочку”(Стаття 694. „Продаж товару в кредит”, Стаття 695. „Особливості оплати товару з розстроченням платежу” Цивільного Кодексу України ).
Вирішенням вищеозначених проблем економічного та законодавчого становлення споживчого кредитування в Україні може бути розробка та прийняття відповідних положень в перспективному законі України “Про кредитування”, оскільки на сьогоднішній день основним законодавчим документом в сфері споживчого кредитування є тільки закон України “Про захист прав споживачів”.
Проведений аналіз практики споживчого кредитування в банківській системі України у порівнянні з практикою споживчого кредитування за кордоном показав, що:
частка споживчих кредитів у загальному кредитному портфелі банків країн Західної Європи сягає 50 %, у східноєвропейських країнах близько 19 %, в українських банках на початок 2006 року вона склала 12 %;
процентні ставки по споживчих кредитах складають у Японії — 1,9 %, Великобританії — 3,7 %, у США — 4,2 %, Франції — 6,6 %, в українських банках процентні ставки знаходяться в значно вищому діапазоні 10% 48% річних.
з 1 кварталу 2005 року по 1 квартал 2006 року (тобто за рік) обсяг виданих кредитів фізичним особам по банківській системі України збільшився з 15 млрд.грн. до 38 млрд.грн. ( на + 23 млрд.грн.), при цьому обсяг залучених строкових депозитів фізичних осіб зріс з рівня 35 млрд.грн. до рівня 52 млрд.грн. ( на +17 млрд.грн.), а обсяг залучених поточних депозитів фізичних осіб зріс з рівня 10 млрд.грн. до рівня 16 млрд.грн. ( на +6 млрд.грн.). Таким чином, основним ресурсним джерелом для зростання обсягів кредитування фізичних осіб у банківській системі України за 2005 –2006 року є залучені строкові і поточні депозити фізичних осіб. Слід зазначити, що зазначена ресурсна база може бути використана для короткострокового споживчого кредитування і ,тільки в дуже обмеженому обсязі, для іпотечного кредитування, оскільки максимальний термін депозитів фізичних осіб складає від 1 до 2 років, а іпотечні кредити видаються на термін 10 – 15 років. Таким чином, вартість іпотечних кредитів визначається ставкою строкових депозитів фізичних осіб, що при ринковій економіці не може бути нижче індексу зменшення вартості грошей (дисконтна ставка Національного банку України чи рівень інфляції).
оскільки облікова ставка НБУ в 2005 –2006 році складає 9,5%, а офіційна інфляція не перевищує 10% у рік, то природною ринковою реакцією комерційних банків є встановлення процентної ставки на строкові депозити фізичних осіб на рівні від 10,5% (3 місяці) до 12,0% (12 місяців) у національній валюті. Отже, природної є і ставка іпотечних кредитів у національній валюті, що не знижується нижче рівня 16 – 17% річних, тобто на 5,0 – 5,5% вище вартості ресурсів.
одночасно, оскільки більш 72% іпотечних кредитів видано в іноземній валюті, то на довгостроковому іпотечному кредитному ринку в банківської систем України, в основному, працює інша система ціноутворення. Штучно, ставка строкових депозитів в іноземній валюті для фізичних осіб у банківській системі встановлена на 4 – 5 % нижче ставки строкових депозитів у національній валюті, тобто на рівні 7,0%(3 місяці) і 8,0%(12 місяців), при цьому ставка депозитів у євро встановлюється штучно на 0,5 – 0,7% нижче, ніж ставка в доларах США. Природно, що при такій ціні ресурсів в іноземній валюті, яка сформована за рахунок внесків населення в іноземній валюті, процентна ставка по іпотечних кредитах в іноземній валюті на сьогоднішній день у банківській системі складає від 11,5% до 12% річних, тобто на 4% вище вартості ресурсів.
оскільки тільки 40% строкових вкладів у валюті мають термін більш 12 місяців, ресурсна база споживчих іпотечних кредитів у банківській системі України може бути оцінена як 57,22 млрд.грн.*0,44*0,4 = 10 млрд.грн., що відповідає реальному обсягові виданих споживчих іпотечних кредитів у банківській системі України в 2006 році. Отже, розширення обсягів довгострокового іпотечного кредитування буде стримуватися розширенням цього виду ресурсної бази банків України до моменту впровадження нових механізмів залучення довгострокових ресурсів для іпотечного кредитування.
Проведений аналіз послуг в кредитному портфелі споживчого кредитування АКБ “Приватбанк” (м.Дніпропетровськ), який є однією з найбільших банківських установ України показав, що:
– кредитування юридичних осіб є найбільш вагомою часткою активних операцій банка. Але з 3 кварталу 2004 року (системна криза депозитної бази банків за рахунок політичних ризиків виборів Президента України) – АКБ “Приватбанк” почав пріоритетно нарощувати частку кредитування фізичних осіб, що особливо виражено у 1 кварталі 2006 року, коли обсяги кредитів юридичним особам зменшились на 2 млрд.грн., а водночас обсяги кредитів фізичним особам зросли на 1,2 млрд.грн. і обсяги міжбанківських кредитів зросли на 0,9 млрд.грн. Таким чином, АКБ “Приватбанк” виконує диверсифікацію кредитів по зменшенню обсягів, наданим одному позичальнику, що суттєво зменшує ризик одночасного неповернення кредитів багатьма позичальниками.
аналіз динаміки структури інвестиційно-кредитного портфелю АКБ “Приватбанк” у 2003 – 2006 роках показав, що зміни у структурі характеризуються наступними зрушеннями:
а) вагова частка кредитів, наданих юридичним особам, зменшилась з
рівня 67,3%(4 квартал 2003 року) до 41,55% (1 квартал 2006 року);
б) вагова частка кредитів, наданих фізичним особам, підвищилась з рівня
28,18%(4 квартал 2003 року) до 39,48% (1 квартал 2006 року);
в) вагова частка наданих міжбанківських кредитів підвищилась з рівня
1,88%(4 квартал 2003 року) до 13,17% (1 квартал 2006 року);
г) вагова частка активів, вкладених в цінні папери, підвищилась з рівня 2,63%(4 квартал 2003 року) до 5,81% (1 квартал 2006 року);
не зважаючи на те, що збільшилась частка кредитів, наданих фізичним особам, одночасно за 2003 –2006 роки зменшилась доля АКБ “Приватбанк” на ринку споживчого кредитування України в зв’язку з появою великої кількості сильних конкурентів.
Проведений аналізу динаміки структури споживчого кредитування в кредитному портфелі АКБ “Приватбанк” у 2001 – 2006 роках показав, що. споживче кредитування фізичних осіб представлене у двох сегментах:
а) Кредитування населення на потреби поточного характеру:
нецільове споживче кредитування (кредитні картки, овердрафт депозитних карток, кредитування “до зарплати” по зарплатним карткам);
споживче кредитування придбання побутової техніки для дому;
споживче кредитування на навчання, лікування, туризм, окремі життєві події;
споживче "Автомобильне кредитування";
б) Кредитування населення на потреби капітального характеру:
інвестиційне іпотечне кредитування будівництва нерухомості (квартири, котеджі з земельними ділянками, сільські будинки з земельними ділянками, гаражі, дачі);
інвестиційне іпотечне кредитування придбання нерухомості на вторинному ринку та капітальний ремонт нерухомості (квартири, котеджі з земельними ділянками, сільські будинки з земельними ділянками, гаражі, дачі);
Динаміка структури споживчого кредитування в АКБ “Приватбанк” з 2002 по 2006 рік характеризується:
зменшенням частки кредитування на потреби капітального характеру з 45% (2002 рік) до 32% (2006 рік);
підвищенням частки кредитування на потреби поточного характеру з 55%(2002 рік) до 68% (2006 рік);
зростанням частки кредитів на придбання автомобілів(поточне кредитування) з 20%(2002 рік) до 41% (2006 рік);
зростанням частки нецільового споживчого кредитування(поточне кредитування) з 2%(2002 рік) до 8% (2006 рік).
Таким чином, з ростом обсягів споживчого кредитування АКБ “Приватбанк” все більше орієнтується на попит населення у короткострокових кредитах на задоволення потреб поточного характеру.
Проведений рейтинг привабливості споживчих кредитів населенню на придбання житла по еквівалентній процентній річній ставці сплати кредиту (відсотки, одноразова сплату, періодичні комісії, страхування) показав:
1. Для кредитів на 10 років в гривнях еквівалентна річна ставка лежить в діапазоні 8,6% (АКБ “Укрсиббанк”) – 12,5% (АКБ “Приватбанк”) від початкової суми кредиту, загальна сума сплачених процентів за період користування кредитом 86%(min) – 125%(max) від початкової суми кредиту.
2. Для кредитів на 20 років в гривнях еквівалентна річна ставка лежить в діапазоні 8,5% (АКБ “Укрсиббанк”) – 13,7% (АКБ “Приватбанк”) від початкової суми кредиту, загальна сума сплачених процентів за період користування кредитом 170%(min) – 273%(max) від початкової суми кредиту.
3. Для кредитів на 10 років в доларах США еквівалентна річна ставка лежить в діапазоні 6,4% (АКБ “Міжнародний іпотечний банк”) – 13,7% (АКБ “Приватбанк”) від початкової суми кредиту, загальна сума сплачених процентів за період користування кредитом 64%(min) – 95%(max) від початкової суми кредиту.
4. Для кредитів на 20 років в доларах США еквівалентна річна ставка лежить в діапазоні 6,8% (АКБ “Укрсиббанк”) – 8,7% (АКБ “Приватбанк”) від початкової суми кредиту, загальна сума сплачених процентів за період користування кредитом 133%(min) – 174%(max) від початкової суми кредиту.
Таким чином, вартість гривневих іпотечних кредитів на 15,9 –36,1% дорожче вартості іпотечних кредитів в іноземних валютах.
Проведений рейтинг привабливості банківських кредитів населенню на придбання нових автомобілів по по еквівалентній процентній річній ставці сплати кредиту(відсотки, одноразова сплату, періодичні комісії, страхування) показав:
1. Для кредитів в гривнях на 3 роки еквівалентна річна ставка лежить в діапазоні 8,4% (АКБ “Аваль”) – 10,0% (АКБ “ТАСКомерцбанк”) від початкової суми кредиту, загальна сума сплачених процентів за період користування кредитом 25%(min) – 30%(max) від початкової суми кредиту.
2. Для кредитів в гривнях на 5 років еквівалентна річна ставка лежить в діапазоні 8,2% (АКБ “Укрсиббанк”) – 10,2% (АКБ “ТАСКомерцбанк”) від початкової суми кредиту, загальна сума сплачених процентів за період користування кредитом 41%(min) – 51%(max) від початкової суми кредиту.
3. Для кредитів в доларах США на 3 роки еквівалентна річна ставка лежить в діапазоні 6,3% (АКБ “Аваль”) – 7,0 % (АКБ “Укрсиббанк”) від початкової суми кредиту, загальна сума сплачених процентів за період користування кредитом 19%(min) – 21%(max) від початкової суми кредиту.
4. Для кредитів в доларах США на 5 років еквівалентна річна ставка лежить в діапазоні 6,0% (АКБ “Форум”) – 7,0 % (АКБ “Фінанси та кредит”) від початкової суми кредиту, загальна сума сплачених процентів за період користування кредитом 30%(min) – 35%(max) від початкової суми кредиту.
Таким чином, вартість гривневих автомобільних кредитів на 9,2 – 11,6% дорожче вартості автомобільних кредитів в іноземних валютах.
Проведений рейтинг привабливості споживчих кредитів населенню на поточні потреби (придбання побутової техніки, послуг, нецільове кредитування) по коефіцієнту подорожчання суми кредиту(відсотки, одноразова сплату, періодичні комісії, страхування) показав:
1. Для кредитів у 2500 гривен на 12 місяців еквівалентна річна ставка лежить в діапазоні 14,0% (АКБ “Надра”) – 32,99 % (ФКСК “Єврокредит”) від початкової суми кредиту, загальна сума сплачених процентів за період користування кредитом 14%(min) – 33%(max) від початкової суми кредиту.
2. Для кредитів у 5000 гривен на 24 місяці еквівалентна річна ставка лежить в діапазоні 14,0% (АКБ “Надра”) – 32,99 % (ФКСК “Єврокредит”) від початкової суми кредиту, загальна сума сплачених процентів за період користування кредитом 28%(min) – 66%(max) від початкової суми кредиту.
Ставка цільового споживчого кредитування в фінансових компаніях споживчого кредитування становить від 25,2% річних (ФКСК “ПростоФінанс”) до 38,9% річних(ФКСК “Єврокредит”), що вище в 1,5 раза ставок цільового споживчого кредитування в комерційних банках та практично дорівнює ставкам нецільового карткового кредитування в комерційних банках 30% 48% річних.
Як показав аналіз, у банківській системі України з урахуванням відсутності ресурсних джерел з терміном залучення більш 1 року для видачі споживчих іпотечних кредитів на 1020 років використовуються тільки довгострокові вклади населення в іноземній валюті (12 місяців), як найбільш стійка частина залучених пасивів. Отже, розширення обсягів споживчого іпотечного кредитування буде стримуватися розширенням цього виду ресурсної бази банків України до моменту впровадження нових механізмів залучення довгострокових ресурсів для іпотечного кредитування.
Як показали результати аналізу динаміки росту обсягів інвестиційно-кредитного портфелю найбільшого в Україні АКБ “Приватбанк” у 2001 – 2006 роках та змін у його структурі, з 3 кварталу 2004 року АКБ “Приватбанк” почав пріоритетно нарощувати частку кредитування фізичних осіб, що особливо виражено у 1 кварталі 2006 року, коли обсяги кредитів юридичним особам зменшились на 2 млрд.грн., а водночас обсяги кредитів фізичним особам зросли на 1,2 млрд.грн. і обсяги міжбанківських кредитів зросли на 0,9 млрд.грн. Таким чином, з 2004 року АКБ “Приватбанк” виконує диверсифікацію кредитів по зменшенню обсягів, наданих одному позичальнику, що суттєво зменшує ризик одночасного неповернення кредитів багатьма позичальниками.
Споживче кредитування фізичних осіб в кредитному портфелі АКБ “Приватбанк” у 2001 – 2006 роках представлене у двох сегментах :
а) Кредитування населення на потреби поточного характеру:
нецільове споживче кредитування (кредитні картки, овердрафт депозитних карток, кредитування “до зарплати” по зарплатним карткам);
споживче кредитування придбання побутової техніки для дому;
споживче кредитування на навчання, лікування, туризм, окремі життєві події;
споживче "Автомобильне кредитування";
б) Кредитування населення на потреби капітального характеру:
інвестиційне іпотечне кредитування будівництва нерухомості (квартири, котеджі з земельними ділянками, сільські будинки з земельними ділянками, гаражі, дачі);
інвестиційне іпотечне кредитування придбання нерухомості на вторинному ринку та капітальний ремонт нерухомості (квартири, котеджі з земельними ділянками, сільські будинки з земельними ділянками, гаражі, дачі);
Як показав аналіз динаміка структури споживчого кредитування в АКБ “Приватбанк” з 2002 по 2006 рік характеризується:
зменшенням частки кредитування на потреби капітального характеру з 45% (2002 рік) до 32% (2006 рік);
підвищенням частки кредитування на потреби поточного характеру з 55%(2002 рік) до 68% (2006 рік);
зростанням частки кредитів на придбання автомобілів в сегменті поточного кредитування з 20% (2002 рік) до 41%(2006 рік);
зростанням частки нецільового споживчого кредитування в сегменті поточного кредитування з 2% (2002 рік) до 8% (2006 рік).
Таким чином, з ростом обсягів споживчого кредитування АКБ „Приватбанк” все більше орієнтується на попит населення у короткострокових кредитах на задоволення потреб поточного характеру.
Диверсифікація портфелю споживчих кредитів та варіація комбінацією „ підвищений ризик – підвищена ставка доходності” в АКБ „Приватбанк” привела до підвищення середньозваженої процентної ставки споживчих кредитів в національній валюті з рівня 19,4% (2004 рік) до рівня 21,8%(2006 рік), в іноземній валюті з рівня 12,8% (2004 рік) до рівня 14,0% (2006 рік). При цьому процентні ставки споживчих кредитів у національній валюті на 5 6% вище ніж ставок кредитування юросіб.
Як показують результати проведеного аналізу річні процентні ставки незабезпеченого високо-ризикового споживчого кредитування на поточні потреби на 10 – 35 % перевищують процентні ставки забезпеченого нерухомістю споживчого кредитування на інвестиційні капітальні потреби, що при дослідженій тенденції значного росту в АКБ “Приватбанк” частки споживчого кредитування на поточні потреби значно підвищує ризик кредитування та потребує нових підходів до оперативної оцінки кредитоспроможності позичальників – фізичних осіб при масовому нецільовому кредитуванні.
При дослідженні напрямків та перспектив удосконалення ринку споживчого кредитування в Україні в дипломній роботі:
проведено аналіз діючої практики зниження кредитних ризиків споживчого кредитування в зарубіжних кредитно-фінансових установах;
запропоновано шляхи удосконалення процесу споживчого кредитування за рахунок впровадження нових технологій скоринг-кредитування та оперативного використання автоматизованих банків даних нових інформаційних утворень в Україні бюро кредитних історій юридичних та фізичних осіб.
Одним із перспективних напрямків вирішення проблеми адміністрування ризикових споживчих кредитів, запропонованим у дипломному проекті є скоринг один з найбільш успішних прикладів використання математичних і статистичних методів у бізнесі, що у даний час широко застосовуються у всіх економічно розвитих країнах. Скоринг використовується головним чином при кредитуванні фізичних осіб, особливо в споживчому кредиті при незабезпечених позичках, та являє собою математичну або статистичну модель, за допомогою якої на основі кредитної історії «минулих» клієнтів банк намагається визначити, наскільки велика імовірність, що конкретний потенційний позичальник поверне кредит у визначений термін.
Аналіз результатів впровадження у 2005 році перших скорингсистем кредитного менеджменту споживчого кредитування фізичних осіб зменшило обсяг „сумнівних” та „безнадійних” кредитів фізичних осіб в портфелі АКБ „Приватбанк” з 2,8% до 2,15%.
Проведений в дипломній роботі аналіз структурного розподілу ринку споживчого кредитування населення в Україні показав, що його перспективну побудову можна розділити в розрізі кредиторів, сум та строків кредитування на:
а) Сегмент банківського іпотечного кредитування будівництва, придбання та ремонту житла з сумами кредитування від 20 тис.доларів США до 100 тис.доларів США на строк 1020 років;
б) Сегмент банківського споживчого кредитування на придбання транспортних засобів з сумами кредитування від 5 тис.доларів США до 20 тис.доларів США на строк 3 – 5 років;
в) Сегмент небанківського цільового споживчого кредитування на придбання побутової техніки та меблів до 5 тис.грн. на строк 12 роки;
г) Сегмент банківського револьверного нецільового карткового кредитування (до запитання) до 1 тис.доларів США на строк від 1 місяця до 1 року;
д) Сегмент небанківського заставного кредитування в ломбардах до 500 грн. на строк 12 місяці з необов’язковим поверненням кредиту та викупу застави;
Таким чином, впровадження пропозицій і рекомендацій щодо шляхів розвитку банківських та небанківських продуктів споживчого кредитування, наданих в дипломній роботі, дозволить:
1. В банківському секторі:
зосередити увагу банківських установ на привабливість розвитку сектору банківського споживчого кредитування населення, поточний рівень якого в розрахунку на душу населення в Україні в 6 разів нижче середньоєвропейського;
ініціювати участь банківських установ в створенні та розширенні діяльності кредитних бюро для формування кредитної історії всіх фізичних осіб, які коли-небудь звертались за кредитом у будь-яку кредитну установу країни;
зосередити зусилля кредитних ризик-менеджерів на розробці та удосконалення скорингових систем, які являють собою математичну або статистичну модель, за допомогою якої на основі кредитної історії «минулих» клієнтів банк намагається визначити, наскільки велика імовірність, що конкретний потенційний позичальник поверне кредит у визначений термін.
використати досвід кредитування банків для формування начальних вибірок достатніх обсягів із поділом клієнтів на “ добрих” та “ поганих” з виділом основних вхідних параметрів скорингових моделей.
здійснити вибір найбільш адекватних методів для побудови класифікаційної функції скорингової моделі: дискримінантний аналіз, класифікаційне дерево (рекурсивне розбиття), нейронні мережі, генетичний алгоритм, метод найближчих сусідів.
2. В небанківському секторі:
створити систему спеціалізованих дочірніх банківських структур – фінансових компаній споживчого кредитування, в яких банк буде гарантом фінансової стабільності, джерелом вільних ресурсів для нарощування обсягів споживчого кредитування та організатором телекомунікаційних мереж автоматизованих систем мережевого обслуговування точок продажу продуктів споживчого кредитування і систем приймання платежів позичальників;
Це надасть можливість організувати діяльність банківських та небанківських фінансових установ у відповідності з цілісною системою управління розвитку споживчого кредитування населення для задоволення соціальних потреб населення України.
СПИСОК ВИКОРИСТАНОЇ ЛІТЕРАТУРИ
1. ЗАКОН УКРАЇНИ „Про фінансові послуги та державне регулювання ринків фінансових послуг” // від 12 липня 2001 року N 2664III.
2. ЗАКОН УКРАЇНИ „Про кредитні спілки” // від 20 грудня 2001 року N 2908III
3. ЗАКОН УКРАЇНИ „Про захист прав споживачів” // від 12 травня 1991 року N 1023XII (Законом України від 1 грудня 2005 року N 3161IV цей Закон викладено у новій редакції)
4. ЗАКОН УКРАЇНИ „Про банки і банківську діяльність” // від 7 грудня 2000 року N 2121III .
5. Закон України “Про Національний банк України” // від 20 травня 1999 року N 679XIV (станом на 10.01. 2002 року N 2922III)
6. Закон України “Про господарські товариства”//від 19 вересня 1991 року N 1576XII ( станом від 17 травня 2001 року N 2409III)
7. ЗАКОН УКРАЇНИ „Про іпотечне кредитування, операції з консолідованим іпотечним боргом та іпотечні сертифікати” // від 19 червня 2003 року 979IV.
8. ЗАКОН УКРАЇНИ „Про іпотеку” // від 5 червня 2003 року N 898IV.
9. Закон України N 2704IV від 23 червня 2005 року “Про організацію формування та обігу кредитних історій”
10. ЗАКОН УКРАЇНИ „Про страхування” // від 7 березня 1996 року N 85/96ВР(Законом України від 4 жовтня 2001 року N 2745III цей Закон викладено у новій редакції), із змінами і доповненнями, внесеними Законами України станом від 15 грудня 2005 року N 3201IV)
11. ЗАКОН УКРАЇНИ „Про заставу” // від 2 жовтня 1992 року N 2654XII .
12. ДЕКРЕТ КАБІНЕТУ МІНІСТРІВ УКРАЇНИ „Про систему валютного регулювання і валютного контролю” // від 19 лютого 1993 року N 1593 .
13. Цивільний Кодекс України // від 16 січня 2003 року N 435IV.
14. Інструкція з бухгалтерського обліку кредитних, вкладних (депозитних) операцій та формування і використання резервів під кредитні ризики в банках України // Постанова Правління Національного банку України від 15 вересня 2004 року N 435
15. Положення про порядок видачі банкам банківських ліцензій, письмових дозволів та ліцензій на виконання окремих операцій //Постанова Правління Національного банку України від 17 липня 2001 року N 275.
16. Положення “Про порядок створення і державної реєстрації банків, відкриття їх філій, представництв, відділень” // Постанова Правління Національного банку України від 31 серпня 2001 року N 375.
17. Про затвердження Положення про порядок внесення інформації про ломбарди до Державного реєстру фінансових установ // Розпорядження Державної комісії з регулювання ринків фінансових послуг України від 18 грудня 2003 року N 170.
18. Про затвердження Положення про Державний реєстр фінансових установ // Розпорядження Державної комісії з регулювання ринків фінансових послуг України від 28 серпня 2003 року N 41 .
19. Про затвердження Порядку складання та подання звітності ломбардами до Державної комісії з регулювання ринків фінансових послуг України // Розпорядження Державної комісії з регулювання ринків фінансових послуг України від 4 листопада 2004 року N 2740 .
20. Про затвердження Положення про порядок надання фінансових послуг ломбардами // Розпорядження Державної комісії з регулювання ринків фінансових послуг України від 26 квітня 2005 року N 3981
21. Про затвердження Плану рахунків бухгалтерського обліку банків України та Інструкції про застосування Плану рахунків бухгалтерського обліку банків України // Постанова Правління Національного банку України від 17 червня 2004 року N 280.
22. Про затвердження Інструкції про порядок регулювання діяльності банків в Україні // Постанова Правління Національного банку України від 28 серпня 2001 року N 368.
23. Про затвердження Інструкції про порядок складання та оприлюднення фінансової звітності банків України //Постанова Правління Національного банку України від 7 грудня 2004 року N 598.
24. Про затвердження Положення про порядок формування та використання резерву для відшкодування можливих втрат за кредитними операціями банків //Постанова Правління Національного банку України від 6 липня 2000 року N 279.
25. Про затвердження Положення про порядок видачі ліцензії на здійснення окремих банківських операцій небанківським фінансовим установам // Постанова Правління Національного банку України від 16 серпня 2001 року N 344.
26. Про створення єдиної інформаційної системи обліку позичальників /боржників/ // Постанова Правління Національного банку України від 27 червня 2001 року N 245.
27. Правила торгівлі іноземною валютою // Постанова Правління Національного банку України від 10 серпня 2005 року N 281
28. Про підсумки роботи Держфінпослуг та стан справ у небанківському фінансовому секторі України за 9 місяців 2005 року // ДЕРЖАВНА КОМІСІЯ З РЕГУЛЮВАННЯ РИНКІВ ФІНАНСОВИХ ПОСЛУГ УКРАЇНИ РОЗПОРЯДЖЕННЯ від 20.10.2005 р. N 4806
29. Про затвердження Ліцензійних умов провадження діяльності з надання фінансових кредитів за рахунок залучених коштів кредитними установами// Розпорядження Державної комісії з регулювання ринків фінансових послуг України від 18 жовтня 2005 року N 4802
30. Аналіз банківської діяльності: Підручник / А.М.Герасимович та ін.; За ред. А.М.Герасимовича. — К.: КНЕУ, 2003.— 599 с.
31. Андреева Г.В. Скоринг как метод оценки кредитного риска // Журнал “Банковские технологии”, № 6, 1999 // http://www.cfin.ru
32. Банківські операції: Підручник / За ред. А. М. Мороз. — К.: КНЕУ, друге видання. — 2002. — 476 с.
33. Банковское дело: Учебник /Под ред. О.И.Лаврушина – Москва, «Финансы и статистика», 1998 – 576 с.
34. Банківські операції: Підручник/ А.М.Мороз, М.І.Савлук, М.Ф.Пуховкіна та ін.; За ред.дра екон.наук,проф.А.М.Мороза. К.: КНЕУ, 2000. 384с.
35. Банки и банковские операции: Учебник для вузов / Под ред. проф. Е.Ф.Жукова. М.: Банки и биржи, ЮНИТИ, 1997. 471 с.
36. Бергер Айке, Банковские операции для физических лиц, К.:Укр.Финансовобанковская шк. в сотрудничестве с группой европейских сберегательных банков, 1997. 135 с.
37. Близьнюк Н. Кредити: життя в розстрочку // Тижневик„Україна і світ” від 20.01.2006, WWW.UWTODAY.COM.UA
38. Волков С.С. Іпотечне кредитування в Україні: передумови, ризики та перспективи // Український дiловий тижневик "Контракти" / № 35 вiд 3008 2004
39. Галега В. Весна фінансова // Газета „Хрещатик” №17 (2812), вівторок, 7 лютого 2006 року
40. Гриджук Д.М. Забезпечення кредитних зобов"язань у діяльності банків/ Д.М.Гриджук, В.О.Олійник. Київ: Істина, 2001. 256с.
41. Гроші та кредит: Підручник / За ред. проф. М. І. Савлука. — К.: КНЕУ, 2002. — 578 с.
42. Деньги, кредиты, банки : Учебник/ Под ред. О.И. Лаврушина. 2е изд. Перераб. и доп. М.: Финансы и статистика, 2000
43. Деньги, кредит, банки: Справочное пособие / Г.И. Кравцова, Б.С. Войтешенко, Е.И. Кравцов и др. ;под общ. ред. Г.И. Кравцовой , Мн.: Меркаванне, 1994. 270 с.
44. Деньги. Кредит. Банки: Учебник для вузов/ под ред. Профессора Е. Ф. Жукова. М.: Банки и биржи, ЮНИТИ, 1999. 622 с.
45. Дорош Г. Чи захищаються права споживачів при здійсненні банківської діяльності? // „Юридична газета”, № 6(67), 20 квітня 2006 року
46. Задерей Н. Гроші на швидкість // Діловий тижневик „КОНТРАКТИ” № 01 від 09.01.2006, www.kontrakty.com.ua
47. Задерей Н. Чий кредит простіший // Діловий тижневик „КОНТРАКТИ” № 48 від 28.11.2005, www.kontrakty.com.ua
48. Задерей Н. Перше всеукраїнське бюро кредитних історій// Український дiловий тижневик "Контракти" / № 24 вiд 13062005, www.kontrakty.com.ua
49. Задерей Н. Група «ТАС» захопилася створенням бюро кредитних історій// Український дiловий тижневик "Контракти" / № 41 вiд 10102005
50. Економічний словникдовідник: За ред. док. екон. наук, проф. С.В. Мочерного К.: Феміна, 1995. 368 с.
51. Євтух О.Т. Іпотека – механізм ефективного використання ресурсів – Луцьк, «Волинська обласна друкарня», 2001, 305 с.
52. Євтух О.Т. Доходна іпотека – Луцьк, «Волинська обласна друкарня», 2000,304 с.
53. Іванова Т. Мізерні відсотки на кредитування житла (аналітичний огляд 2005) // http://www.mnemosoft.com
54. Ипотека 2005 (рейтинг жилищных кредитов) // Журнал «Деловой журнал»,октябрь 2005, стр. 31 55
55. Іпотечне кредитування: Навч. посіб. для вузів /О. С. Любунь, К. В. Паливода, М. П. Денисенко та ін /Ред. О. С. Любунь та ін. К: ЦНЛ, 2005. 392с.
56. Ширинская Е.Б. Операции коммерческих банков : российский и зарубежный опыт. М.: Финансы и статистика 1995. 450 с.
57. Коваленко К. Гарантована якість – перше кредитне товариство: лідер руху кредитних спілок // „Україна Business, №46, 2005
58. Коцовська Р., Ричаківська В та інш. Операції комерційних банків – Львів : ЛБІ НБУ, 2001 – 276 с.
59. Кредитний ризик комерційного банку. Навч. посіб./ В.В.Вітлінський, О.В.Пернарівський, Я.С.Наконечний, Г.І.Великоіваненко; за ред В.В.Вітлінського. К.: Тво "Знання", КОО, 2000. 251с.
60. Кредитование / Пер. с англ. Под. ред. М. А. Гольцберга К.:Торгово издательское бюро BHV , 1994. 384 с. (INKO)
61. Кудрявцев В.А., Кудрявцева Е.В. Основы организации ипотечного кредитования – М.: «Высшая школа», 1998 64 с.
62. Куринкіна Ю. Життя в борг // "Львівська Газета" 08.02.2006 http://www.gazeta.lviv.ua/articles/2006/02/09/12907/
63. Лагутін В.Д. Становлення та розвиток системи іпотечного кредитування //«Фінанси України», № 1, 2004, с.75 – 82
64. Лагутин В.Д. Кредитование : теория и практика. Учебное пособие. 3 –е изд. К.: «Знание», 2002, 215 с.
65. Наумець І. Іпотека на ремонті // Діловий тижневик „КОНТРАКТИ” № 47 від 21.11.2005, www.kontrakty.com.ua
66. Наумець І. Траст, який ще не лопнув // Діловий тижневик „КОНТРАКТИ” № 06 від 06.02.2006, www.kontrakty.com.ua
67. Огляд ринку іпотечного кредитування країн Європейського Союзу // Українська національна іпотечна асоціація, 2002
68. Орлов А. Скоринговая модель: возможность стать ближе к клиенту стоит недешево – 25.04.2006 // http://www.uabanker.net
69. Панова Г. Банковское обслуживание частных лиц. – М.:АО ДИС, 1994. – 352с.
70. Панова Г.С. Кредитная политика коммерческого банка . М.: ИКЦ «Дис», 1997. 464 с.
71. Перевозняк А.., Лихоманенко С. Ставка на зниження // Діловий тижневик „Галицькі контракти” № 42 жовтень 2002 року, www.kontrakty.com.ua
72. Полфреман Д. Основы банковского дела /Пер. с англ. – М.:ИНФРАМ, 1996. – 624 с.
73. Примостка Л.О. Аналіз банківської діяльності: сучасні концепції, методи та моделі: Монографія. — КНЕУ, 2002.— 316 с.
74. Примостка Л.О. Фінансовий менеджмент у банку: Підручник. — 2е вид., доп. і перероб. — К.: КНЕУ. 2004. — 468 с.
75. «ПростоФінанс» заявив о своєму намірі у найближчий час стати лідером споживчого кредитування в Україні // „Експерт”, український діловий журнал, № 10(61), 11.03.2006
76. Роуз П.С. Банковский менеджмент. Пер. с англ. со 2го изд.— М.: «Дело ЛТД»,1995.— 768 с.
77. Руководство по кредитному менеджменту / Пер. с англ. Под ред. Б.Эдвардса 3е изд. – М.:ИНФРАМ ,1996. – 464 с.
78. Семенюта О.Г. Деньги, кредит, банки в Российской Федерации: учебное пособие. М.: «Контур», 1998. 304 с.
79. Слинько Д. Споживчі кредити стануть дешевшими // Діловий тижневик „Галицькі контракти” № 9 березень 2003 року, www.kontrakty.com.ua
80. Сусіденко В.Т. Стратегія управління кредитною діяльністю комерційного банку –К.,1998. – 345 с.
81. Чеська PPF Group купила "ПриватКредит" і "Агробанк"//
Економічна Правда, 28.07.2006, http://www.pravda.com.ua
82. Шевченко Р. І. Банківські операції : Навч.метод. посіб. для самост. вивч.дисципліни / Київський національний економічний унт К. : КНЕУ, 2003. – 276с.
83. Шевченко Р. І. Кредитування і контроль : Навч.метод. посібник для самостійного вивчення дисципліни / Київський національний економічний унт. К. : КНЕУ, 2002. 183с.
84. Офіційний сайт НБУ – HTTP://www.bank.gov.ua
85. Офіційний сайт АКБ “Приватбанк” –HTTP://WWW.PRIVATBANK.DP. UA
86. Офіційний сайт Асоціації банків України – HTTP://WWW.AUB.COM. UA
87. Офіційний сайт фінансової компанії „Єврокредит” // www.eurokredit. com.ua
88. Офіційний сайт Української Національної Іпотечної Асоціації http://unia.com.ua
89. Державний фонд сприяння молодіжному житловому будівництву http:// www.molod_kredit.kiev.ua
90. Офіційний сайт Товариства з обмеженою відповідальністю «Українсь
ке бюро кредитних історій» http://www.ubki.com.ua
Законодавчо-довідкова система законодавства України – HTTP://
WWW.LIGAZAKON.COM.UA
92. Офіційний сайт консалтингової компанії “ПростоБанк” – HTTP:// WWW.PROSTOBANK.COM.UA
93. Офіційний сайт фінансової компанії “ПростоФінанс” – HTTP:// WWW.PROSTOFINANCE.COM.UA
ДОДАТКИ
Додаток А
Таблиця А.1 Основні показники діяльності банківської системи України за 2000 – 2006 роки (млн.грн.) [84]
|
№ з/п |
Показники |
Дата |
||||||||
|
01.01. 2001 |
01.01. 2002 |
01.01. 2003 |
01.01. 2004 |
01.01. 2005 |
2006 |
|||||
|
01.01 |
01.02 |
01.03 |
01.04 |
|||||||
|
1. |
Кількість зареєстрованих банків |
195 |
189 |
182 |
179 |
181 |
186 |
188 |
189 |
188 |
|
2. |
Виключено з Державного реєстру банків |
9 |
9 |
12 |
8 |
4 |
1 |
0 |
1 |
2 |
|
3. |
Кількість банків, що знаходиться у стадії ліквідації |
38 |
35 |
24 |
20 |
20 |
20 |
20 |
20 |
20 |
|
4. |
Кількість діючих банків |
153 |
152 |
157 |
158 |
160 |
165 |
164 |
165 |
165 |
|
4.1 |
з них: з іноземним капіталом |
22 |
21 |
20 |
19 |
19 |
23 |
23 |
23 |
27* |
|
4.1.1 |
у т.ч. зі 100% іноземним капіталом |
7 |
6 |
7 |
7 |
7 |
9 |
9 |
9 |
11 |
|
5. |
Частка іноземного капіталу у статутному капіталі банків, % |
13.3 |
12.5 |
13.7 |
11.3 |
9.6 |
19.5 |
19.2 |
18.8 |
21.3* |
|
АКТИВИ |
||||||||||
|
1. |
Загальні активи (не скориговані на резерви під активні операції) |
39866 |
50785 |
67774 |
105539 |
141497 |
223024 |
221189 |
231273 |
237294 |
|
1.1 |
Чисті активи (скориговані на резерви за активними операціями) |
37129 |
47 591 |
63896 |
100234 |
134348 |
213878 |
211811 |
221803 |
227710 |
|
2. |
Високоліквідні активи |
8270 |
7744 |
9043 |
16043 |
23595 |
36482 |
34045 |
36361 |
32863 |
|
3. |
Кредитний портфель |
23637 |
32097 |
46736 |
73442 |
97197 |
156385 |
156728 |
165033 |
174236 |
|
3.1 |
з нього: кредити надані суб'єктам господарської діяльності |
18216 |
26564 |
38189 |
57957 |
72875 |
109020 |
108777 |
113030 |
118121 |
|
3.2 |
кредити надані фізичним особам |
941 |
1373 |
3255 |
8879 |
14599 |
33156 |
33772 |
35540 |
38570 |
|
4. |
Довгострокові кредити |
3309 |
5683 |
10690 |
28136 |
45531 |
86227 |
87037 |
90239 |
95060 |
|
4.1 |
з них: довгострокові кредити суб'єктам господарської діяльності |
2761 |
5125 |
9698 |
23239 |
34693 |
58528 |
58814 |
60642 |
63179 |
|
5. |
Проблемні кредити (прострочені та сумнівні) |
2679 |
1863 |
2113 |
2500 |
3145 |
3379 |
3661 |
3709 |
3798 |
|
6. |
Вкладення в цінні папери |
2175 |
4390 |
4402 |
6534 |
8157 |
14338 |
13985 |
13403 |
13793 |
|
7. |
Резерви під активні операції банків |
2737 |
3194 |
3905 |
5355 |
7250 |
9370 |
9582 |
9662 |
10069 |
|
% виконання формування резерву |
61.5 |
85.4 |
93.3 |
98.2 |
99.7 |
100.05 |
100.04 |
100.03 |
99.96 |
|
|
7.1 |
з них: резерв на відшкодування можливих втрат за кредитними операціями |
2 336 |
2963 |
3575 |
4631 |
6367 |
8328 |
8494 |
8657 |
9033 |
|
ПАСИВИ |
||||||||||
|
1. |
Пасиви, усього |
37129 |
47591 |
63896 |
100234 |
134348 |
213878 |
211811 |
221803 |
227710 |
|
2. |
Балансовий капітал |
6507 |
7915 |
9983 |
12882 |
18421 |
25451 |
25931 |
26683 |
27263 |
|
2.1 |
з нього: статутний капітал |
3671 |
4573 |
5998 |
8116 |
11605 |
16111 |
16346 |
16723 |
17536 |
|
2.2 |
Частка капіталу у пасивах |
17.5 |
16.6 |
15.6 |
12.9 |
13.7 |
11.9 |
12.2 |
12.0 |
12.0 |
|
3. |
Зобов'язання банків |
30622 |
39 676 |
53 913 |
87352 |
115927 |
188427 |
185880 |
195120 |
200447 |
|
3.1 |
з них: кошти суб'єктів господарської діяльності |
13071 |
15653 |
19 703 |
27987 |
40128 |
61214 |
58977 |
58813 |
59925 |
|
3.1.1 |
з них: строкові кошти суб'єктів господарської діяльності |
2867 |
4698 |
6161 |
10391 |
15377 |
26807 |
25610 |
25127 |
25561 |
|
3.2 |
вклади фізичних осіб |
6649 |
11165 |
19092 |
32113 |
41207 |
72542 |
73332 |
75168 |
76891 |
|
3.2.1 |
з них: строкові вклади фізичних осіб |
4569 |
8060 |
14128 |
24861 |
33204 |
55257 |
57222 |
58345 |
59158 |
|
Довідково: |
||||||||||
|
1. |
Регулятивний капітал |
5148 |
8025 |
10099 |
13274 |
18188 |
26373 |
26489 |
27899 |
28895 |
|
2. |
Адекватність регулятивного капіталу (Н2) |
15.53 |
20.69 |
18.01 |
15.11 |
16.81 |
14.95 |
15.08 |
15.23 |
14.92 |
|
3. |
Доходи |
7446 |
8583 |
10470 |
13949 |
20072 |
27537 |
2668 |
5237 |
8383 |
|
4. |
Витрати |
7476 |
8051 |
9785 |
13122 |
18809 |
25367 |
2398 |
4761 |
7615 |
|
5. |
Результат діяльності |
30 |
532 |
685 |
827 |
1263 |
2170 |
270 |
476 |
768 |
|
6. |
Рентабельність активів, % |
0.09 |
1.27 |
1.27 |
1.04 |
1.07 |
1.31 |
… |
… |
1.43 |
|
7. |
Рентабельність капіталу, % |
0.45 |
7.50 |
7.97 |
7.61 |
8.43 |
10.39 |
… |
… |
11.84 |
|
8. |
Чиста процентна маржа, % |
6.31 |
6.94 |
6.00 |
5.78 |
4.90 |
4.90 |
… |
… |
4.81 |
|
9. |
Чистий спред, % |
7.10 |
8.45 |
7.20 |
6.97 |
5.72 |
5.78 |
… |
… |
5.59 |
* дані будуть уточнюватися.
Таблиця А.2 Активи и зобов’язання перших 30 банківських установ України станом на 01.01.2006 року [86]

Таблиця А.3 Кредитно-інвестиційний портфель перших 30 банківських установ України станом на 01.01.2006 року [86]

Таблиця А.4 Власний капітал перших 30 банківських установ України станом на 01.01.2006 року [86]

Таблиця А.5 Депозити фізичних осіб в перших 30 комерційних банках України станом на 01.01.2006 року [86]

Таблиця А.6 Депозити юридичних осіб в перших 30 комерційних банках України станом на 01.01.2006 року [86]

Таблиця А.7 Фінансовий результат в перших 30 комерційних банках України станом на 01.01.2006 року (за 2005 рік) [86]

Додаток Б
Таблиця Б.1 Баланс АКБ „Приватбанк” за 2000 – 2004 роки(щорічний розріз) [85]

Таблиця Б.2 Баланс АКБ „Приватбанк” за 2003 – 2005 року(поквартальний розріз) [85]

Таблиця Б.3 Формування прибутку в АКБ „Приватбанк” у 2003 2005 роках [85]

Таблиця Б.4 Баланс АКБ «Приватбанк» за 2 квартал 2006 року [85]
|
Рядок |
Найменування статті |
На звітну дату поточного кварталу, тис.грн. |
На кінець попереднього фінансового року, тис.грн. |
|
АКТИВИ |
|||
|
1 |
Кошти в НБУ та готiвковi кошти банку |
2 775 261 |
2 885 676 |
|
2 |
Цiннi папери, що рефiнансуються НБУ |
29 278 |
50 672 |
|
2.1 |
Резерви пiд знецiнення боргових ЦП, що рефiнансуються НБУ |
0 |
0 |
|
2.2 |
Резерви у вiдсотках до активу |
0 |
0 |
|
3 |
Кошти в iнших банках |
3 582 180 |
2 113 878 |
|
3.1 |
Резерви пiд заборгованiсть iнших банкiв |
(47 135) |
(10 448) |
|
3.2 |
Резерви у вiдсотках до активу |
1 |
0 |
|
4 |
Цiннi папери в торговому портфелi банку |
871 591 |
0 |
|
5 |
Цiннi папери в портфелi банку на продаж |
51 604 |
1 017 354 |
|
5.1 |
Резерви пiд знецiнення ЦП у портфелi банку на продаж |
(50 281) |
(776) |
|
5.2 |
Резерви у вiдсотках до активу |
97 |
0 |
|
6 |
Кредити, що наданi: |
19 568 868 |
16 095 856 |
|
6.1 |
Юридичним особам |
10 709 108 |
9 739 235 |
|
6.2 |
Фiзичним особам |
8 859 760 |
6 356 621 |
|
6.3 |
Резерви пiд заборгованiсть за кредитами |
(2 040 004) |
(1 814 614) |
|
6.4 |
Резерви у вiдсотках до активу |
10 |
11 |
|
7 |
Цiннi папери, що утримуються до погашення |
2 |
2 |
|
7.1 |
Резерви пiд знецiнення ЦП, що утримуються до погашення |
(2) |
(2) |
|
7.2 |
Резерви у вiдсотках до активу |
100 |
100 |
|
8 |
Iнвестицiї в асоцiйованi й дочiрнi компанiї |
118 424 |
116 998 |
|
9 |
Основнi засоби |
1 181 844 |
1 080 861 |
|
10 |
Нематерiальнi активи |
3 213 |
2 025 |
|
11 |
Нарахованi доходи до отримання |
375 181 |
292 218 |
|
11.1 |
У тому числi простроченi нарахованi доходи |
51 324 |
36 349 |
|
11.2 |
У тому числi сумнiвнi нарахованi доходи |
57 536 |
47 162 |
|
11.3 |
Резерви пiд заборгованiсть за нарахованими доходами |
(83 850) |
(66 908) |
|
11.4 |
Резерви у вiдсотках до активу |
77 |
80 |
|
12 |
Вiдстрочений податковий актив |
48 775 |
39 357 |
|
13 |
Iншi активи |
484 080 |
280 708 |
|
13.1 |
Резерви пiд iншi активи |
(27 795) |
(24 762) |
|
13.2 |
Резерви у вiдсотках до активу |
23 |
23 |
|
14 |
Довгостроковi активи, призначенi для продажу |
0 |
0 |
|
14.1 |
Резерви пiд зменшення корисностi iнвестицiй в АК та ДК, що утримуються з метою продажу |
0 |
0 |
|
14.2 |
Резерви у вiдсотках до активу |
0 |
0 |
|
15 |
Усього активiв |
26 841 234 |
22 058 095 |
|
ЗОБОВ'ЯЗАННЯ |
|||
|
16 |
Кошти банкiв |
2 410 639 |
1 852 826 |
|
17 |
Кошти юридичних осiб |
7 323 019 |
6 541 408 |
|
18 |
Кошти фiзичних осiб |
12 636 501 |
10 440 316 |
|
19 |
Ощаднi (депозитнi) сертифiкати, емiтованi банком |
1 460 |
3 653 |
|
20 |
Борговi цiннi папери, емiтованi банком |
310 602 |
310 601 |
|
21 |
Нарахованi витрати, що мають бути сплаченi |
312 871 |
223 573 |
|
22 |
Вiдстроченi податковi зобов'язання |
111 611 |
120 490 |
|
23 |
Iншi зобов'язання |
1 351 017 |
292 884 |
|
24 |
Усього зобов'язань |
24 457 720 |
19 785 751 |
|
ВЛАСНИЙ КАПIТАЛ |
|||
|
25 |
Статутний капiтал |
1 582 000 |
1 130 000 |
|
26 |
Акцiї, що викупленi в акцiонерiв |
0 |
0 |
|
27 |
Емiсiйнi рiзницi |
0 |
0 |
|
28 |
Резерви,капiталiзованi дивiденди та iншi фонди банку |
308 155 |
284 000 |
|
29 |
Резерви переоцiнки основних засобiв, у тому числi: |
354 122 |
354 301 |
|
29.1 |
Резерви переоцiнки нерухомостi |
123 612 |
123 720 |
|
29.2 |
Резерви переоцiнки нематерiальних активiв |
0 |
0 |
|
30 |
Резерви переоцiнки ЦП |
0 |
0 |
|
31 |
Прибуток/збиток минулих рокiв |
37 770 |
28 388 |
|
32 |
Прибуток/збиток поточного року |
101 467 |
475 655 |
|
33 |
Усього власного капiталу |
2 383 514 |
2 272 344 |
|
34 |
Усього пасивiв |
26 841 234 |
22 058 095 |
Таблиця Б.5 Довідкова інформація «Окремі показники діяльності банку» за II квартал 2006 року [85]
|
Рядок |
Найменування рядка |
На звітну дату |
Нормативні показники |
|
1 |
Адекватність регулятивного капіталу (%) |
11,53 |
не менше 10 |
|
2 |
Поточна ліквідність (%) |
72,54 |
не менше 40 |
|
3 |
Рентабельність активів (%) |
0,85 |
х |
|
4 |
Негативно класифіковані кредити (тис. грн) |
3 331 155 |
х |
|
4.1 |
У відсотках до заборгованості за кредитними операціями (%) |
13,18 |
х |
|
5 |
Чистий прибуток на одну просту акцію (грн) |
х |
|
|
6 |
Сума сплачених дивідендів за 2005 рік на одну: |
х |
|
|
6.1 |
Просту акцію |
х |
|
|
6.2 |
Привілейовану акцію |
х |
|
|
7 |
Перелік учасників (акціонерів) банку, які прямо та опосередковано володіють 10% і більше відсотками статутного капіталу банку: |
Країна |
Відсоток у статутному капіталі |
|
пряма участь |
опосередкована участь |
||
|
Боголюбов Геннадій Борисович |
Україна |
38,76 |
16,36 |
|
Коломойський Ігор Валерійович |
Україна |
38,76 |
16,36 |
Додаток В
Таблиця В.1 Рейтинг банківських кредитів на придбання нових вітчизняних автомобілів / гривна (Строк кредиту 3 роки) станом на 19.06.2006 [92]
|
Валюта кредиту – гривна Сума кредиту 100 000 гривен |
||||||||||
|
Місце в рейтингу |
Банк |
Умови кредитування |
Витрати по займу |
Усього витрат по кредиту, грн. |
Коеф. подорожчання кредиту |
Початковий внесок, % |
||||
|
Проц. ставка |
Однораз. комісія |
Щомісячна комісія |
Відсотки |
Однораз. комісія |
Щоміс. комісія |
|||||
|
1 |
Аваль |
16,5% |
25 438 |
25 438 |
1,25 |
15 |
||||
|
2 |
УкрСиббанк |
15,5% |
2% (від суми кредиту) |
23 896 |
2 000 |
25 896 |
1,26 |
10 |
||
|
3 |
Форум |
16,5% |
0,9% (від суми кредиту) |
25 438 |
900 |
0 |
26 338 |
1,26 |
20 |
|
|
4 |
Фінанси та кредит |
13,00% |
0,1% (від суми кредиту) |
0,2% (від суми кредиту) |
20 042 |
100 |
7 200 |
27 342 |
1,27 |
15 |
|
5 |
Укргазбанк |
17,5% |
1% (від суми кредиту) |
26 979 |
1 000 |
0 |
27 979 |
1,28 |
15 |
|
|
6 |
Райффайзенбанк Україна |
18,00% |
500 грн. |
27 750 |
500 |
28 250 |
1,28 |
15 |
||
|
7 |
Кредитпромбанк |
17,3% |
2% (від суми кредиту) |
26 671 |
2 000 |
28 671 |
1,29 |
20 |
||
|
8 |
ВАБанк |
15,00% |
0,9% (від суми кредиту) |
0,13% (від суми кредиту) |
23 125 |
900 |
4 680 |
28 705 |
1,29 |
15 |
|
9 |
Укрсоцбанк |
18,00% |
1,3% (від суми кредиту) |
27 750 |
1 300 |
29 050 |
1,29 |
15 |
||
|
10 |
ТАСКомерцбанк |
18,5% |
1% (від суми кредиту) |
28 521 |
1 000 |
0 |
29 521 |
1,30 |
15 |
Таблиця В.2 Рейтинг банківських кредитів на придбання нових іноземних автомобілів/ гривна (Строк кредиту 3 года) станом на 19.06.2006 [92]
|
Місце в рейтингу |
Банк |
Умови кредитування |
Витрати по займу |
Усього витрат по кредиту, грн. |
Коеф. подорожчання кредиту |
Початковий внесок, % |
||||
|
Проц. ставка |
Однораз. комісія |
Щомісячна комісія |
Відсотки |
Однораз. комісія |
Щоміс. комісія |
|||||
|
1 |
Аваль |
16,5% |
25 438 |
25 438 |
1,25 |
10 |
||||
|
2 |
УкрСиббанк |
15,5% |
2% (від суми кредиту) |
23 896 |
2 000 |
25 896 |
1,26 |
10 |
||
|
3 |
Форум |
16,5% |
0,9% (від суми кредиту) |
25 438 |
900 |
0 |
26 338 |
1,26 |
10 |
|
|
4 |
Фінанси та кредит |
13,00% |
0,1% (від суми кредиту) |
0,2% (від суми кредиту) |
20 042 |
100 |
7 200 |
27 342 |
1,27 |
10 |
|
5 |
Укргазбанк |
17,5% |
1% (від суми кредиту) |
26 979 |
1 000 |
0 |
27 979 |
1,28 |
10 |
|
|
6 |
Райффайзенбанк Україна |
18,00% |
500 грн. |
27 750 |
500 |
28 250 |
1,28 |
15 |
||
|
7 |
Кредитпромбанк |
17,3% |
2% (від суми кредиту) |
26 671 |
2 000 |
28 671 |
1,29 |
10 |
||
|
8 |
ВАБанк |
15,00% |
0,9% (від суми кредиту) |
0,13% (від суми кредиту) |
23 125 |
900 |
4 680 |
28 705 |
1,29 |
15 |
|
9 |
Укрсоцбанк |
18,00% |
1,3% (від суми кредиту) |
27 750 |
1 300 |
29 050 |
1,29 |
10 |
||
|
10 |
ТАСКомерцбанк |
18,5% |
1% (від суми кредиту) |
28 521 |
1 000 |
0 |
29 521 |
1,30 |
10 |
Таблиця В.3 Рейтинг банківських кредитів на придбання нових вітчизняних автомобілів / гривна (Строк кредиту 5 лет) станом на 19.06.2006 [92]
|
Валюта кредиту – гривна Сума кредиту 100 000 гривен |
||||||||||
|
Місце в рейтингу |
Банк |
Умови кредитування |
Витрати по займу |
Усього витрат по кредиту, грн. |
Коеф. подорожчання кредиту |
Початковий внесок, % |
||||
|
Проц. ставка |
Однораз. комісія |
Щомісячна комісія |
Відсотки |
Однораз. комісія |
Щоміс. комісія |
|||||
|
1 |
УкрСиббанк |
15,5% |
2% (від суми кредиту) |
39 396 |
2 000 |
41 396 |
1,41 |
10 |
||
|
2 |
Аваль |
16,5% |
41 938 |
41 938 |
1,42 |
15 |
||||
|
3 |
Форум |
16,5% |
0,9% (від суми кредиту) |
41 938 |
900 |
0 |
42 838 |
1,43 |
20 |
|
|
4 |
Укргазбанк |
17,5% |
1% (від суми кредиту) |
44 479 |
1 000 |
0 |
45 479 |
1,45 |
15 |
|
|
5 |
Фінанси та кредит |
13,00% |
0,6% (від суми кредиту) |
0,2% (від суми кредиту) |
33 042 |
600 |
12 000 |
45 642 |
1,46 |
15 |
|
6 |
Райффайзенбанк Україна |
18,00% |
500 грн. |
45 750 |
500 |
46 250 |
1,46 |
15 |
||
|
7 |
Укрсоцбанк |
18,00% |
1,3% (від суми кредиту) |
45 750 |
1 300 |
47 050 |
1,47 |
15 |
||
|
8 |
Кредитпромбанк |
17,8% |
2% (від суми кредиту) |
45 242 |
2 000 |
47 242 |
1,47 |
20 |
||
|
9 |
ТАСКомерцбанк |
18,5% |
1% (від суми кредиту) |
47 021 |
1 000 |
0 |
48 021 |
1,48 |
15 |
|
|
10 |
Укргазбанк |
15,00% |
1% (від суми кредиту) |
0,2% (від суми кредиту) |
38 125 |
1 000 |
12 000 |
51 125 |
1,51 |
15 |
Таблиця В.4 Рейтинг банківських кредитів на придбання нових іноземних автомобілів/ гривна (Строк кредиту 5 лет) станом на 19.06.2006 [92]
|
Місце в рейтингу |
Банк |
Умови кредитування |
Витрати по займу |
Усього витрат по кредиту, грн. |
Коеф. подорожчання кредиту |
Початковий внесок, % |
||||
|
Проц. ставка |
Однораз. комісія |
Щомісячна комісія |
Відсотки |
Однораз. комісія |
Щоміс. комісія |
|||||
|
1 |
УкрСиббанк |
15,5% |
2% (від суми кредиту) |
39 396 |
2 000 |
41 396 |
1,41 |
10 |
||
|
2 |
Аваль |
16,5% |
41 938 |
41 938 |
1,42 |
10 |
||||
|
3 |
Форум |
16,5% |
0,9% (від суми кредиту) |
41 938 |
900 |
0 |
42 838 |
1,43 |
10 |
|
|
4 |
Укргазбанк |
17,5% |
1% (від суми кредиту) |
44 479 |
1 000 |
0 |
45 479 |
1,45 |
10 |
|
|
5 |
Фінанси та кредит |
13,00% |
0,6% (від суми кредиту) |
0,2% (від суми кредиту) |
33 042 |
600 |
12 000 |
45 642 |
1,46 |
10 |
|
6 |
Райффайзенбанк Україна |
18% |
500 грн. |
45 750 |
500 |
46 250 |
1,46 |
15 |
||
|
7 |
ВАБанк |
15,00% |
0,9% (від суми кредиту) |
0,13% (від суми кредиту) |
38 125 |
900 |
7 800 |
46 825 |
1,47 |
15 |
|
8 |
Укрсоцбанк |
18,00% |
1,3% (від суми кредиту) |
45 750 |
1 300 |
47 050 |
1,47 |
10 |
||
|
9 |
Кредитпромбанк |
17,8% |
2% (від суми кредиту) |
45 242 |
2 000 |
47 242 |
1,47 |
10 |
||
|
10 |
ТАСКомерцбанк |
18,5% |
1% (від суми кредиту) |
47 021 |
1 000 |
0 |
48 021 |
1,48 |
10 |
Додаток Г
Таблиця Г.1 Рейтинг кредитів по програмі «Розстрочка» (Строк кредиту 1 роки) [92]
|
Вартість товару = Сумі кредита = 2500 грн. Строк кредиту = 12 міс. |
||||||||
|
Місце |
Банк |
Назва програми кредитування |
Витрати по кредиту |
Усього витрат |
Подорожчання товара |
|||
|
Сумарні відсотки |
Однораз. Комісія |
Щоміс. комісія |
Страховка |
|||||
|
1 |
Надра |
"Товари в кредит" |
243,75 |
25,00 |
81,25 |
0,00 |
350,00 |
14% |
|
2 |
ВАБанк |
"Товари в кредит" |
270,83 |
125,00 |
17,50 |
413,33 |
17% |
|
|
3 |
Фінанси та кредит |
"Розстрочка" |
243,75 |
125,00 |
75,00 |
12,50 |
456,25 |
18% |
|
4 |
ТАСКомерцбанк |
"Товари в кредит" |
0,14 |
475,00 |
0,00 |
475,14 |
19% |
|
|
5 |
Укрсоцбанк |
"Товари в кредит" |
365,63 |
112,50 |
0,00 |
478,13 |
19% |
|
|
6 |
Укргазбанк |
"Товари в кредит" |
0,01 |
500,00 |
0,00 |
500,01 |
20% |
|
|
7 |
Укргазбанк |
"Товари в кредит" |
135,42 |
375,00 |
0,00 |
510,42 |
20% |
|
|
8 |
Аваль |
"Товари в рассрочку" |
0,01 |
512,50 |
0,00 |
512,51 |
21% |
|
|
9 |
ПриватБанк |
"Товари в кредит" |
162,50 |
417,00 |
0,00 |
579,50 |
23% |
|
|
10 |
ПравексБанк |
"Товари в кредит" |
270,83 |
351,00 |
50,00 |
671,83 |
27% |
Таблиця Г.2 Рейтинг кредитів по програмі «Розстрочка» (Строк кредиту 2 роки) [92]
|
Вартість товару = Сумі кредита = 5000 грн. Строк кредиту = 24 міс. |
||||||||
|
Місце |
Банк |
Назва програми кредитування |
Витрати по кредиту |
Усього витрат |
Подорожчання товара |
|||
|
Сумарні відсотки |
Однораз. комісія |
Щоміс. комісія |
Страховка |
|||||
|
1 |
Надра |
"Товари в кредит" |
1 041,67 |
50,00 |
312,50 |
0,00 |
1 404,17 |
28% |
|
2 |
Фінанси та кредит |
"Розстрочка" |
1 145,83 |
250,00 |
300,00 |
25,00 |
1 720,83 |
34% |
|
3 |
Укрсоцбанк |
"Товари в кредит" |
1 406,25 |
350,00 |
0,00 |
1 756,25 |
35% |
|
|
4 |
ТАСКомерцбанк |
"Правильний кредит" |
0,05 |
1 800,00 |
0,00 |
1 800,05 |
36% |
|
|
5 |
ТАСКомерцбанк |
"Товари в кредит" |
0,52 |
0,00 |
1 920,00 |
0,00 |
1 920,52 |
38% |
|
6 |
ПриватБанк |
"Товари в кредит" |
625,00 |
1 728,00 |
0,00 |
2 353,00 |
47% |
|
|
7 |
ПравексБанк |
"Товари в кредит" |
1 041,67 |
1 452,00 |
100,00 |
2 593,67 |
52% |
Додаток Д
Таблиця Д.1 Рейтинг банківських кредитів на придбання житла на вторинному ринку/ гривна (Строк кредиту 10 років) [92]
|
Валюта кредиту – гривна |
Оцінна вартість крвартири – 250000 гривен |
|||||||||
|
Строк кредиту 10 лет |
Сума кредиту – 200000 гривен |
|||||||||
|
Місце в рейтингу |
Банк |
Витрати позичальника по кредиту за весь Строк користування ссудою |
Усього витрат по кредиту, грн. |
Коефіцієнт подорожчання суми кредиту |
Мінімальний первинний внесок , % |
|||||
|
Сумарні відсотки |
Комісія |
Страхування |
||||||||
|
Одноразова |
Щомісячна |
Майна |
Життя |
Титул |
||||||
|
1 |
УкрСиббанк |
156 292 |
4 000 |
0 |
12 500 |
0 |
0 |
172 792 |
1,86 |
20 |
|
2 |
Форум |
170 408 |
3 000 |
7 500 |
0 |
0 |
180 908 |
1,90 |
20 |
|
|
3 |
Аваль |
166 375 |
7 500 |
11 000 |
0 |
184 875 |
1,92 |
20 |
||
|
4 |
Фінанси та кредит |
146 208 |
2 000 |
22 990 |
7 500 |
9 600 |
0 |
188 298 |
1,94 |
10 |
|
5 |
Райффайзенбанк |
176 458 |
500 |
10 000 |
6 000 |
1 800 |
194 758 |
1,97 |
15 |
|
|
6 |
Укрсоцбанк |
181 500 |
2 000 |
12 500 |
0 |
0 |
196 000 |
1,98 |
15 |
|
|
7 |
Укргазбанк |
170 408 |
2 000 |
10 000 |
20 000 |
0 |
202 408 |
2,01 |
15 |
|
|
8 |
Кредитпромбанк |
176 458 |
450 |
17 500 |
6 000 |
4 000 |
204 408 |
2,02 |
15 |
|
|
9 |
Надра |
156 292 |
2 000 |
42 350 |
10 000 |
0 |
0 |
210 642 |
2,05 |
20 |
|
10 |
Кредит Банк (Україна ) |
186542 |
2000 |
7200 |
7500 |
10000 |
0 |
213242 |
2,07 |
15 |
|
11 |
Проминвестбанк |
191 583 |
4 000 |
7 500 |
16 000 |
0 |
219 083 |
2,10 |
10 |
|
|
12 |
Укргазбанк |
140 158 |
2 000 |
48 000 |
10 000 |
20 000 |
0 |
220 158 |
2,10 |
15 |
|
13 |
ПриватБанк |
121 000 |
108 000 |
10 000 |
10 000 |
0 |
249 000 |
2,25 |
20 |
Таблиця Д.2 Рейтинг банківських кредитів на придбання житла на вторинному ринку/ гривна (Строк кредиту 20 років) станом на 26.06.2006 [92]
|
Валюта кредиту – гривна |
Оцінна вартість крвартири – 250000 гривен |
|||||||||
|
Строк кредиту 20 лет |
Сума кредиту – 200000 гривен |
|||||||||
|
Місце в рейтингу |
Банк |
Витрати позичальника по кредиту за весь Строк користування ссудою |
Усього витрат по кредиту, грн. |
Коефіцієнт подорожчання суми кредиту |
Мінімальний первинний внесок , % |
|||||
|
Сумарні відсотки |
Комісія |
Страхування |
||||||||
|
Одноразова |
Щомісячна |
Майна |
Життя |
Титул |
||||||
|
1 |
УкрСиббанк |
311 292 |
4 000 |
0 |
25 000 |
0 |
0 |
340 292 |
2,70 |
20 |
|
2 |
Фінанси та кредит |
301 250 |
2 000 |
45 790 |
15 000 |
19 200 |
0 |
383 240 |
2,92 |
10 |
|
3 |
Райффайзенбанк Україна |
351 458 |
500 |
20 000 |
12 000 |
1 800 |
385 758 |
2,93 |
15 |
|
|
4 |
Укрсоцбанк |
361 500 |
2 000 |
25 000 |
0 |
0 |
388 500 |
2,94 |
15 |
|
|
5 |
Укргазбанк |
339 408 |
2 000 |
20 000 |
40 000 |
0 |
401 408 |
3,01 |
15 |
|
|
6 |
Кредитпромбанк |
351 458 |
450 |
35 000 |
12 000 |
4 000 |
402 908 |
3,01 |
15 |
|
|
7 |
Надра |
311 292 |
2 000 |
84 350 |
20 000 |
0 |
0 |
417 642 |
3,09 |
20 |
|
8 |
Укргазбанк |
279 158 |
2 000 |
96 000 |
20 000 |
40 000 |
0 |
437 158 |
3,19 |
15 |
|
9 |
ПриватБанк |
241 000 |
264 000 |
20 000 |
20 000 |
0 |
545 000 |
3,73 |
20 |
Таблиця Д.3 Рейтинг банківських кредитів на придбання житла на вторинному ринку/ Долар США (Строк кредиту 10 років) станом на 26.06.2006 [92]
|
Валюта кредиту долар |
Оцінна вартість крвартири 250000 гривен(50 000 доларов США) |
|||||||||
|
Строк кредиту 10 лет |
Сума кредиту 200000 гривен(40 000 доларов США) |
|||||||||
|
Місце в рейтингу |
Банк |
Витрати позичальника по кредиту за весь Строк користування ссудою |
Усього витрат по кредиту, долл. США |
Коефіцієнт подорожчання суми кредиту |
Мінімальний первинний внесок , % |
|||||
|
Сумарні відсотки |
Комісія |
Страхування |
||||||||
|
Одноразова |
Щомісячна |
Майна |
Життя |
Титул |
||||||
|
1 |
Міжнародний іпотечний банк |
23 192 |
400 |
1 000 |
1 200 |
0 |
25 792 |
1,64 |
25 |
|
|
2 |
Райффайзенбанк Україна |
22 183 |
100 |
2 000 |
1 200 |
360 |
25 843 |
1,65 |
15 |
|
|
3 |
Форум |
24 200 |
600 |
1 500 |
0 |
0 |
26 300 |
1,66 |
20 |
|
|
4 |
УкрСиббанк |
23 797 |
800 |
0 |
2 500 |
0 |
0 |
27 097 |
1,68 |
20 |
|
5 |
Аваль |
24 200 |
1 500 |
2 200 |
0 |
27 900 |
1,70 |
20 |
||
|
6 |
Укрсоцбанк |
25 208 |
400 |
2 500 |
0 |
0 |
28 108 |
1,70 |
15 |
|
|
7 |
ПравексБанк |
24 200 |
600 |
3 350 |
0 |
0 |
28 150 |
1,70 |
0 |
|
|
8 |
Надра |
19 158 |
400 |
8 470 |
2 000 |
0 |
0 |
30 028 |
1,75 |
20 |
|
9 |
Кредитпромбанк |
25188 |
90 |
3500 |
1200 |
800 |
30778 |
1,77 |
15 |
|
|
10 |
Фінанси та кредит |
22 788 |
400 |
4 598 |
1 500 |
1 920 |
0 |
31 206 |
1,78 |
10 |
|
11 |
Укргазбанк |
25 208 |
400 |
2 000 |
4 000 |
0 |
31 608 |
1,79 |
15 |
|
|
12 |
Проминвестбанк |
26 217 |
800 |
1 500 |
3 200 |
0 |
31 717 |
1,79 |
10 |
|
|
13 |
Кредит Банк (Україна ) |
28 233 |
400 |
1 440 |
1 500 |
2 000 |
0 |
33 573 |
1,84 |
15 |
|
14 |
Укргазбанк |
19 158 |
400 |
9 600 |
2 000 |
4 000 |
0 |
35 158 |
1,88 |
15 |
|
15 |
ПриватБанк |
24 200 |
9 600 |
2 000 |
2 000 |
0 |
37 800 |
1,95 |
20 |
Таблиця Д.4 Рейтинг банківських кредитів на придбання житла на вторинному ринку/ долар США (Строк кредиту 20 років) станом на 26.06.2006 [92]
|
Валюта кредиту долар |
Оцінна вартість крвартири 250000 гривен(50 000 доларов США) |
|||||||||
|
Строк кредиту 20 лет |
Сума кредиту 200000 гривен(40 000 доларов США) |
|||||||||
|
Місце в рейтингу |
Банк |
Витрати позичальника по кредиту за весь Строк користування ссудою |
Усього витрат по кредиту, долл. США |
Коефіцієнт подорожчання суми кредиту |
Мінімальний первинний внесок , % |
|||||
|
Сумарні відсотки |
Комісія |
Страхування |
||||||||
|
Одноразова |
Щомісячна |
Майна |
Життя |
Титул |
||||||
|
1 |
УкрСиббанк |
47 397 |
800 |
0 |
5 000 |
0 |
0 |
53 197 |
2,33 |
20 |
|
2 |
Райффайзенбанк Україна |
48 200 |
100 |
4 000 |
2 400 |
360 |
55 060 |
2,38 |
15 |
|
|
3 |
ПравексБанк |
48 200 |
600 |
6 700 |
0 |
0 |
55 500 |
2,39 |
0 |
|
|
4 |
Аваль |
48 200 |
3 000 |
4 400 |
0 |
55 600 |
2,39 |
20 |
||
|
5 |
Укрсоцбанк |
51 012 |
400 |
5 000 |
0 |
0 |
56 412 |
2,41 |
15 |
|
|
6 |
Надра |
38 158 |
400 |
16 870 |
4 000 |
0 |
0 |
59 428 |
2,49 |
20 |
|
7 |
Кредитпромбанк |
50 168 |
90 |
7 000 |
2 400 |
800 |
60 458 |
2,51 |
15 |
|
|
8 |
Укргазбанк |
50 208 |
400 |
4 000 |
8 000 |
0 |
62 608 |
2,57 |
15 |
|
|
9 |
Фінанси та кредит |
48 200 |
400 |
9 158 |
3 000 |
3 840 |
0 |
64 598 |
2,61 |
10 |
|
10 |
Укргазбанк |
38158 |
400 |
19200 |
4000 |
8000 |
0 |
69 758 |
2,74 |
15 |
Додаток Е
Динаміка середньозважених ставок кредитування юридичних та фізичних осіб в комерційних банках України
Таблиця Е.1 Січень 2004 року

Таблиця Е.2 Січень 2005 року

Таблиця Е.3 Січень 2006 року

Додаток Ж
Таблиця Ж.1 Процентні ставки по іпотечних кредитах на покупку житла в АКБ «Приватбанк» (первинний і вторинний ринок) [85]
|
Термін кредитування, років |
Ставка, рік. |
||
|
UAH |
USD |
EUR |
|
|
до 10 років (внесок 0% 20%) |
21.00% |
15.96% |
15.96% |
Таблиця Ж.2 Типові витрати Позичальника при оформленні житлового кредиту в АКБ «Приватбанк» [85]
|
Послуги банку: |
|||
|
Комісія за обслуговування |
одноразово |
З одночасним оформленням кредитного договору і договору іпотеки |
С відстрочкою оформлення договору іпотеки |
|
500 грн. |
А)від 1% від суми рефінансування (min 850 грн.) при сумі рефінансування від 5 000 до 20 000 діл. США г)до 0,5% від суми рефінансування (min 2800 грн.)при сумі рефінансування більш 100 000 дол. США |
||
|
Послуги страхової компанії: |
|||
|
Страхування предмета іпотеки |
щорічно |
0,4% від оцінної вартості нерухомості |
|
|
Страхування від нещасного випадку |
щорічно |
0,3 % від суми кредиту |
|
|
Страхування титулу * |
щорічно |
0,3% від суми кредиту |
|
|
Послуги нотаріуса: |
|||
|
Держмито |
одноразово |
1% від суми договору закупівліпродажу |
|
|
Пенсійний фонд |
одноразово |
1% від суми договору закупівліпродажу |
|
|
Оформлення договору застави |
одноразово |
0,1% від суми договору іпотеки |
|
|
Послуги нотаріуса ** |
одноразово |
до 400 грн. |
|
|
Послуги оцінювача: |
|||
|
Експертна оцінка об'єкта нерухомості |
одноразово |
250 – 550 грн. |
Додаток К
Таблиця К.1 Ставки по кредитним лімітам на пластикові картки та по кредитним карткам в АКБ “Приватбанк”[85]
|
Тип карки |
Фінансовий ліміт |
Торговий ліміт, UAH |
|
|
UAH |
USD, EUR |
||
|
Базова ставка ліміта по карткам |
2.50% |
1.10% |
2.00% |
|
Зарплатна картка співробітника банка |
1.30% |
1.20% |
|
|
Зарплатна картка співробітника бюджетної організації, пенсійна |
1.50% |
1.00% |
|
|
Пластикова картка типа Gold/Classic |
1.40% |
1.10% |
1.30% |
|
Пластикова картка типа Platinum |
1.20% |
1.00% |
|
|
Кредитна картка "Товари у розстрочку" |
3.00% |
||
|
Кредитна картка "Універсальна"* |
3.0% |
1,83% |
|
|
Кредитна картка "Універсальна Gold"* |
2.5% |
1,6% |
|
|
Кредитна картка "АвтоРозстрочка" |
UAH 1,59 % USD 1,25 % EUR 1,25 % |
||
|
Кредитна картка "ПриватАванс" |
3% |
||
|
Кредитна картка "Кредит на навчання" |
2% |
||
|
Кредитна картка "Подія" |
4,00% |
Додаток Л
С
труктура
кредитного портфеля АКБ “Приватбанк”
Р
ис.Л.1.
Загальна структура кредитів та кредитних
зобов’язань в АКБ “Приватбанк” станом
на 31.12.2005 року
Рис.Л.2. Структура “стандартних” кредитів та кредитних зобов’язань в АКБ “Приватбанк” станом на 31.12.2005 року
Р
ис.Л.3.
Структура кредитів та кредитних
зобов’язань “під контролем” в АКБ
“Приватбанк” станом на 31.12.2005 року

Рис.Л.4. Структура “субстандартних” кредитів в АКБ “Приватбанк” станом на 31.12.2005 року
Рис.Л.5. Структура
“сумнівних” кредитів в АКБ “Приватбанк”
станом н
а
31.12.2005 року

Рис.Л.6. Структура “безнадійних” кредитів в АКБ “Приватбанк” станом на 31.12.2005 року
Р
ис.Л.7.
Структура кредитів та створених резервів
під кредитні ризики в АКБ “Приватбанк”
станом на 31.12.2004 року
Додаток М
Таблиця М.1 Умови обслуговування кредитної картки „Універсальна” в АКБ “Приватбанк” [85]
|
Кредитний ліміт |
Встановлюється у вигляді поновлюваної лінії. |
|
Термін дії кредитного ліміту |
Відповідає терміну дії картки 2 роки. Після закінчення терміну проводиться перевипуск картки |
|
Валюта картки |
гривня або долари США |
|
Погашення |
Необхідно щомісяця робити платіж у розмірі 7% від залишку заборгованості (відсотки включені в платіж). Банк може самостійно здійснювати платежі, списуючи кошти з зарплатної або іншої картки |
|
Платність |
Нарахування процентів здійснюється за кожен день користування лімітом виходячи з місячної ставки (3 % на місяць для UAH і 1,83 % на місяць для USD). За перші 30 днів користування кредитними коштами (по кожній операції) нараховується знижена ставка з розрахунку 0,01 % річних. |
|
Цільове використання коштів |
Оплата товарів і послуг у торговосервисній мережі, одержання готівки. |
1