Споживчий кредит та перспективи його розвитку в Україні
МІНІСТЕРСТВО ОСВІТИ І НАУКИ УКРАЇНИ
ДЕРЖАВНИЙ ВИЩИЙ НАВЧАЛЬНИЙ ЗАКЛАД
„КИЇВСЬКИЙ НАЦІОНАЛЬНИЙ ЕКОНОМІЧНИЙ УНІВЕРСИТЕТ
імені ВАДИМА ГЕТЬМАНА”
Факультет КРЕДИТНО-ЕКОНОМІЧНИЙ
Кафедра МЕНЕДЖМЕНТ БАНКІВСЬКОЇ ДІЯЛЬНОСТІ
Спеціальність „БАНКІВСЬКА СПРАВА”
Магістерська програма „Фінансова аналітика та інжиніринг у банку”
Форма навчання - заочна
МАГІСТЕРСЬКА ДИПЛОМНА РОБОТА
на тему “Споживчий кредит та перспективи його розвитку в Україні”
Студента_________________
Робота допущена до захисту в ДЕК
Завідувач кафедри
_________________(підпис)
Науковий керівник
____________________(підпис)
Рецензент
_____________________(звання, вчена ступінь)
________________(ПІБ) _________(підпис)
Київ – 2010
РЕФЕРАТ
Дипломна робота містить 70 сторінок, 8 таблиць, 6 рисунків, список літератури з 88 найменувань, 9 додатків на 21 стор..
“Споживчий кредит та перспективи його розвитку в Україні”
Об'єкт дослідження: банківські та небанківські продукти споживчого кредитування населення.
Предмет дослідження: сутність та портфельний ряд продуктів споживчого кредитування в комерційних банках банківської системи України та небанківських фінансових установах споживчого кредитування.
Мета дипломної роботи: теоретичне обгрунтування важливості впровадження банківськими та небанківськими установами України продуктів споживчого кредитування населення України, розкриттю діючої практики розвитку банківських та небанківських продуктів споживчого кредитування, а також пошуку напрямків удосконалення розвитку сегменту продуктів споживчого кредитування на основі систематизації існуючих тенденцій розвитку цього сектору в зарубіжних кредитного-фінансових установах.
Для досягнення поставленої мети в дипломній роботі вирішені такі завдання:
досліджено економічну сутність, класифікаційний розподіл та особливості процесу споживчого кредитування населення в Україні;
проведено аналіз практики споживчого кредитування в банківській системі України та аналіз послуг в кредитному портфелі споживчого кредитування ПАТ „Кредит Європа Банк” (м. Київ), який розпочав свою діяльність з 2 кварталу 2007 року;
розрахований фактичний середньозважений рівень процентних ставок споживчого кредитування та доказана більш вища дохідність кредитних операцій споживчого кредитування відносно рівня доходності кредитування юридичних осіб;
виконано оцінювання глибини падіння ринку споживчого кредитування в банківській системі України у другому півріччі 2008 року та на протязі 2009 року як наслідок впливу світової фінансової кризи 2008 - 2009 років
проведено аналіз діючої практики зниження кредитних ризиків споживчого кредитування в зарубіжних кредитно-фінансових установах;
запропоновано шляхи удосконалення процесу споживчого кредитування за рахунок оперативного використання автоматизованих банків даних нових інформаційних утворень в Україні - бюро кредитних історій юридичних та фізичних осіб;
проведено аналіз шляхів та основних тенденцій появи нових фінансових установ споживчого кредитування як складових фінансових груп і холдінгів та входження іноземного капіталу на ринок споживчого кредитування в Україні через ці установи;
запропонована оптимальна сегментація ринку споживчого кредитування між комерційними банками, фінансовими компаніями споживчого кредитування , кредитними спілками і ломбардами за обсягами кредитів та ризикованістю кредитування;
виявлена особлива місія ПАТ „Кредит Європа банк” на ринку спожичого кредитування України в кризовий період – трансформація низьковідсоткових міжбанківських валютних еврокредитів іноземного головного банку в високовідсоткові короткострокові гривневі споживчі кредити населенню на придбання нових автомобілів тільки іноземного виробництва, тобто фактично – інвестування росту виробництва автомобілей за кордоном та забезпечення їм ринку збуту на території України за рахунок „викачування” коштів з населення України з додатковим забезпеченням прибутку системі банків „Кредит Європа банк” та „перекачуванні” нарощених капіталів в головний іноземний банк, як повернення єврокредитів з відсотками.
- запропоноване введення обов’язких довідок про реальні оподатковані доходи громадян як основу процесу споживчого кредитування та законодавче обмеження сум споживчого кредитування відповідним розміром доходів за період кредитування є основним напрямком економічного підходу до розробки Закону України „Про споживче кредитування”, який повинен зупинити механізм незабезпеченого доходами громадян України споживчого кредитування, оскільки механізм застави придбаного товару має інфляційний характер та направлений на створення „кризи переспоживання” в Україні і нестабільності роботи банківської системи України.
Практична цінність отриманих результатів дипломного дослідження полягає в тому, що впровадження пропонуємих пропозицій і рекомендацій щодо шляхів розвитку банківських та небанківських продуктів споживчого кредитуван-ня дозволить оптимально розподілити сегменти ринку споживчого кредитування в банківському та небанківському секторі фінансових послуг.
Це надасть можливість організувати діяльність банківських та небанківських фінансових установ у відповідності з цілісною системою управління розвитку споживчого кредитування населення для задоволення соціальних потреб населення України.
Рік виконання магістерської дипломної роботи - 2009 - 2010
Рік захисту магістерської дипломної роботи – 2010
ЗМІСТ
Вступ
Розділ 1. Теоретичні основи споживчого кредитування
1.1 Економічна сутність споживчого кредиту
1.2 Класифікація споживчих кредитів
1.3 Правове регулювання процесу споживчого кредитування в Україні
Розділ 2. Аналіз споживчого кредитування на прикладі ПАТ КБ „Кредит Європа БанК”
2.1 Місце споживчих кредитів в кредитному портфелі банку ПАТ „Кредит Європа Банк”
2.2 Послуги споживчого кредитування населення на потреби поточного та капітального характеру в ПАТ „Кредит Європа Банк”
2.3 Аналіз впливу світової фінансової кризи 2008 - 2009 років на динаміку
розвитку споживчого кредитування в банку ПАТ „Кредит Європа Банк”
Розділ 3. Шляхи активізації споживчого кредитування в Україні
3.1 Використання зарубіжного досвіду споживчого кредитування фінансовими установами в Україні
3.2 Нові форми організації споживчого кредитування на ринку України
Висновки
Список використаних джерел
Додатки
ВСТУП
Споживче кредитування стає усе більш і більш цікавим видом бізнесу, як для банків, так і для небанківських фінансових установ. За даними експертів, станом на 01.01.2009 біля 85,7% обсягу споживчого кредитування приходиться на частку банківської системи, середня сума позики на одну людину в Україні складає приблизно 105 євро, що значно менше аналогічних показників країн Східної Європи – 790 євро в Польщі, а тим більше Західної Європи – 6058 євро в Германії та 9603 євро в Великобританії [88].
Споживче кредитування є одним з найпоширеніших видів банківських операцій у розвинутих країнах світу і є одним зі стимулюючих факторів розвитку економік цих країн. Вітчизняні комерційні банки прагнуть до збільшення обсягів кредитування за такими програмами. Разом з тим дана практика призводить до зростання кредитних ризиків. Проблеми розвитку споживчого кредитування розглядаються в працях багатьох вітчизняних і зарубіжних науковців.
У них досліджується зміст і форми проведення споживчого кредитування, визначаються напрями його розвитку в Україні. Проте у науковій літературі недостатньо розглядаються питання, пов’язані з ефективністю операцій споживчого кредитування.
Актуальність теми дипломного проекту полягає в необхідності дослідження сучасного стану, структури та обсягів споживчого кредитування населення комерційними банками України та небанківськими фінансовими установами, як нового суттєвого явища в економіці України 21 сторіччя, доцільності проведення оцінки ефективності різновидів споживчого кредитування та загального рівня порівняльної привабливості споживчого кредитування населення.
Об’єктом дипломного дослідження є – банківські та небанківські продукти споживчого кредитування населення.
Предметом дипломного дослідження є – сутність та портфельний ряд продуктів споживчого кредитування в комерційних банках банківської системи України та небанківських фінансових установах споживчого кредитування.
Мета дипломного дослідження полягає у теоретичному обгрунтуванні важливості впровадження банківськими та небанківськими установами України продуктів споживчого кредитування населення України, розкриттю діючої практики розвитку банківських та небанківських продуктів споживчого кредитування, а також пошуку напрямків удосконалення розвитку сегменту продуктів споживчого кредитування на основі систематизації існуючих тенденцій розвитку цього сектору в зарубіжних кредитного-фінансових установах.
Для досягнення поставленої мети в дипломній роботі вирішуються такі завдання:
досліджено економічну сутність, класифікаційний розподіл та особливості процесу споживчого кредитування населення в Україні;
проведено аналіз практики споживчого кредитування в банківській системі України та аналіз послуг в кредитному портфелі споживчого кредитування ЗАТ „Кредит Європа Банк” (м. Київ), який розпочав свою діяльність з 2 кварталу 2007 року;
розрахований фактичний середньозважений рівень процентних ставок споживчого кредитування та доказана більш вища дохідність кредитних операцій споживчого кредитування відносно рівня доходності кредитування юридичних осіб;
виконано оцінювання глибини падіння ринку споживчого кредитування в банківській системі України у другому півріччі 2008 року та на протязі 2009 року як наслідок впливу світової фінансової кризи 2008 - 2009 років
проведено аналіз діючої практики зниження кредитних ризиків споживчого кредитування в зарубіжних кредитно-фінансових установах;
запропоновано шляхи удосконалення процесу споживчого кредитування за рахунок оперативного використання автоматизованих банків даних нових інформаційних утворень в Україні - бюро кредитних історій юридичних та фізичних осіб;
проведено аналіз шляхів та основних тенденцій появи нових фінансових установ споживчого кредитування як складових фінансових груп і холдінгів та входження іноземного капіталу на ринок споживчого кредитування в Україні через ці установи;
запропонована оптимальна сегментація ринку споживчого кредитування між комерційними банками, фінансовими компаніями споживчого кредитування , кредитними спілками і ломбардами за обсягами кредитів та ризикованістю кредитування;
виявлена особлива місія ПАТ „Кредит Європа банк” на ринку спожичого кредитування України в кризовий період – трансформація низьковідсоткових міжбанківських валютних еврокредитів іноземного головного банку в високовідсоткові короткострокові гривневі споживчі кредити населенню на придбання нових автомобілів тільки іноземного виробництва, тобто фактично – інвестування росту виробництва автомобілей за кордоном та забезпечення їм ринку збуту на території України за рахунок „викачування” коштів з населення України з додатковим забезпеченням прибутку системі банків „Кредит Європа банк” та „перекачуванні” нарощених капіталів в головний іноземний банк, як повернення єврокредитів з відсотками.
Методами дипломного дослідження є – структурний аналіз, первинні статистичні спостереження, групування та статистичний аналіз хронологічних рядів параметрів.
Інформаційною базою дипломного дослідження були – звітні документи ЗАТ „Кредит Європа Банк”, статистичні матеріали Національного банку України, Асоціації українських банків, Держкомстату України, Держфінпослуг України за 2007 – 2009 роки.
Практична цінність отриманих результатів дипломного дослідження полягає в тому, що впровадження пропонуємих пропозицій і рекомендацій щодо шляхів розвитку банківських та небанківських продуктів споживчого кредитування дозволить:
1. Ввести обов’язковість довідок про реальні оподатковані доходи громадян як основу процесу споживчого кредитування та законодавче обмеження сум споживчого кредитування відповідним розміром доходів за період кредитування є основним напрямком економічного підходу до розробки Закону України „Про споживче кредитування”, який повинен зупинити механізм незабезпеченого доходами громадян України споживчого кредитування, оскільки механізм застави придбаного товару має інфляційний характер та направлений на створення „кризи переспоживання” в Україні і нестабільності роботи банківської системи України.
2. В банківському секторі:
зосередити увагу банківських установ на привабливість розвитку сектору банківського споживчого кредитування населення, поточний рівень якого в розрахунку на душу населення в Україні в 6 разів нижче середньоєвропейського;
- ініціювати участь банківських установ в створенні та розширенні діяльності кредитних бюро для формування кредитної історії всіх фізичних осіб, які коли-небудь звертались за кредитом у будь-яку кредитну установу країни;
- використати досвід кредитування банків для формування начальних вибірок достатніх обсягів із поділом клієнтів на “ добрих” та “ поганих” з виділенням основних вхідних параметрів моделей кредитування.
2. В небанківському секторі:
- створити систему спеціалізованих дочірніх банківських структур – фінансових компаній споживчого кредитування, в яких банк буде гарантом фінансової стабільності, джерелом вільних ресурсів для нарощування обсягів споживчого кредитування та організатором телекомунікаційних мереж автоматизованих систем мережевого обслуговування точок продажу продуктів споживчого кредитування і систем приймання платежів позичальників;
- прийняти Закон України „Про ломбарди” та регулювання їх позикових ставок згідно ризиковим розрахункам, але не в 3 раза більше, ніж для всіх інших суб’єктів ринку та видів споживчого кредитування.
Це надасть можливість організувати діяльність банківських та небанківських фінансових установ у відповідності з цілісною системою управління розвитку споживчого кредитування населення для задоволення соціальних потреб населення України.
РОЗДІЛ 1. ТЕОРЕТИЧНІ ОСНОВИ СПОЖИВЧОГО КРЕДИТУВАННЯ
1.1 Економічна сутність споживчого кредиту
Категорія “кредит” як в теоретичному, так і практичному аспекті явище без сумніву цікаве. Слово “кредит” походить від латинського “сreditum”, що означає “позика”, “борг”. Деякі лінгвісти пов'язують його із “credos”, тобто “вірю”. Отже, категорія кредиту так чи інакше розглядається економічною наукою, як відносини про надання позики однією особою іншій, що засновані на довірі та передбачають повернення наданої вартості у певний строк з сплатою ціни за користування. Таким чином, можна говорити, що кредитним відносинам притаманні такі базові ознаки:
- феномен кредитування означає передачу вартості однією особою іншій у тимчасове користування на умовах повернення та платності;
- економічною основою кредиту є тимчасово вільна від обігу мобілізована вартість, що здатна до відчуження та формування позичкового капіталу;
- кредитні відносини передбачають наявність довіри, тобто передбачають вільний рух інформації між позичальником і кредитором [17].
Таким чином, кредит – це економічні відносини, що виникають між кредитором та позичальником з приводу передачі тимчасово вільних коштів на умовах їх повернення та сплати ціни за користування. Кредит є однією з основних форм руху позичкового капіталу.
Найповніше суть категорії кредит проявляється у функціях, що він виконує. Сучасні економісти відзначають три його основні функції: перерозподільчу, емісійну та контрольну [8].
Перерозподільча функція кредиту полягає у перерозподілі за допомогою кредиту грошових капіталів між різними суб`єктами народного господарства на засадах повернення та платності. Ця функція проявляється як в процесі мобілізації тимчасово вільних грошових коштів суб`єктів господарювання, так і в процесі їх розміщення на ринку позичкового капіталу. Таким чином, за допомогою цієї функції відбувається своєрідне зосередження позичкового капіталу у найпріоритетніших сферах економічної діяльності.
Емісійна функція кредиту полягає у можливості створення за рахунок кредиту додаткових засобів платежу. Особливого значення дана функція отрима-ла при переході від використання реальних грошей до вводу кредитних засобів обігу. Будь-яка емісія грошей в обіг є результатом кредитної операції. Видача позики збільшує масу грошей в обігу, погашення кредиту її зменшує. Отже, в наслідок вмілого використання кредиту у рамках цієї функції, уряд отримує ефективний інструмент регулювання економіки.
Контрольна функція кредиту полягає в тому, що в процесі кредитування забезпечується контроль за дотриманням умов та принципів кредиту з боку суб`єктів кредитної угоди. Отже, кредит значно посилює контрольні процеси у народному господарстві, підвищує ефективність використання коштів, стимулює процес розширеного відтворення.
Загальноприйнято виділення форм кредиту за наступними функціональними ознаками: характер кредитних відносин, склад учасників кредитної операції, об'єкт і сфера кредитування та ін. Таким чином, в економічній літературі аналізуються наступні форми кредиту: товарна і грошова.
В економічній та законодавчо-нормативній літературі на даний час немає єдиного підходу до визначення сутності споживчого кредиту. Аналіз наукової літератури та нормативних документів банківської практики показує, що основними визначеннями терміну “споживчий кредит” є наступні:
1. За визначенням Г.С.Панової (Росія,1994) - споживчий кредит – це кредит, який надається фізичним особам на придбання споживчих товарів та послуг і який погашається поступово [50]. Споживчий кредит характеризує відносини, що виникають з приводу фінансування потреб кінцевого споживання. Суб`єктами споживчого кредитування у якості позичальників виступає населення, у якості кредитора – банки, кредитні спілки, підприємства виробники, торгівельні посередники. Споживчий кредит за формою надання поділяється на прямий (надається безпосередньо банківськими установами) та непрямий (надається через посередників, торгівельні організації, тощо).
Споживчі кредити надаються, як правило, на строк до десяти років, але конкретні параметри кредиту залежать від багатьох факторів: об`єкту кредитування, доходів позичальника, вартості товару тощо.
2. За визначенням С.В.Мочерного (Україна,1995) - споживчий кредит – це кредит, який надається тільки в національній грошовій одиниці фізичним особам-резидентам України на придбання споживчих товарів тривалого користування та послуг і повертається в розстрочку , якщо інше не передбачено умовами кредитного договору [45] . Суб’єктами кредитних відносин являються фізичні особи (позичальники ) , а в особі кредитора виступають банки, інші кредитні установи ( ломбарди, пункти прокату та інші підприємства та організації ). Між банком та населенням може існувати й посередник, наприклад торгівельна організація, однак при цьому зміст споживчого кредиту не змінюється.
3. За визначенням В.О.Тиркало (2000) - споживчий кредит – це кошти, які надаються комерційними банками громадянам України під процент у тимчасове користування на умовах забезпечення, повернення, строковості, платності та цільової спрямованості [16].
4. Згідно з раніше діючим „Положенням про кредитування”(№ 246 1995 рік) Національного банку України - споживчий кредит – це кредит, який надається тільки в національній грошовій одиниці фізичним особам-резидентам України на придбання споживчих товарів тривалого користування та послуг і який повертається в розстрочку, якщо інше не передбачено умовами кредитного договору.
5. В роботах Коцовської Р.Р., Ричаківської В.М. (1997) вказано, що суб’єктами споживчого кредитування є фізичні особи. У ролі кредиторів виступають комерційні банки, ощадні каси й асоціації, ломбарди, кредитні спілки, підприємства й організації [16]. Між банками і населенням може існувати посередник, наприклад торговельна організація. Об’єкти споживчого кредитування – це затрати, пов’язані із задоволенням потреб населення для купівлі товарів в особисту власність, а також затрати інвестиційного характеру на будівництво і підтримку нерухомості.
6. За визначенням А.М.Мороза та М.І.Савлука (2000 р.) - споживчий кредит – це кредит, що спрямовується на задоволення особистих потреб людей, тобто обслуговує сферу особистого споживання [7]. На перший погляд, складається враження, що тільки виробничий кредит відповідає всім закономірностям руху кредиту, оскільки в результаті його використання створюється нова вартість і передумови для повного повернення позиченої вартості кредитору. У сфері ж особистого споживання позичена вартість знищується, "проїдається" і тому тут не створюються передумови для її зворотного руху як ключової ознаки кредиту. Автори вказують, що споживчий кредит, здається, можна вважати аномалією. Проте це не так. Особисте споживання, "знищуючи" вартість предметів споживання, забезпечує підтримку та зростання вартості робочої сили, продаж якої на ринку створює джерело повернення позиченої вартості кредитору. Тому і споживчий кредит цілком відповідає усім закономірностям руху кредиту. Джерелами погашення кредитів на споживчі потреби є доходи позичальників, через що погашення кредиту здійснюється у міру їх формування.
Автори додатково вказують, що в широкому розумінні - споживчий кредит – це кредит, який надається не тільки фізичним, але і юридичним особам на споживчі цілі, коли юридичні особи опосередковано надають кошти отриманого кредиту своїм працівникам у вигляді централізованого придбання для них квартир, дач, земельних ділянок під садівництво.
Споживчий кредит може надаватись як банками, та кредитними установами небанківського типу, а також юридичними і фізичними особами. В Україні кредитними установами небанківського типу, що надають споживчий кредит, є ломбарди (надають кредит під рухоме майно - дорогоцінності, антикваріат, одяг тощо), кредитні спілки, підприємства зв'язку (телеграми і телефонні розмови в кредит), торговельні організації (продаж товарів з розстрочкою платежу). Кредити своїм працівникам можуть надавати суб'єкти господарювання за рахунок спеціальних фондів, які вони створюють у результаті розподілу прибутку, що залишається в їх розпорядженні. Фізичні особи також можуть надавати кредит на споживчі цілі одна одній.
Спірним серед економістів є питання щодо надання споживчого кредиту юридичним особам. На думку авторів, юридичні особи можуть отримувати споживчий кредит. Так у багатьох країнах з ринковою економікою підприємства забезпечують своїх працівників житлом та об'єктами соціально-культурного призначення. Навіть за умов економічної кризи в Україні деякі підприємства здійснюють будівництво таких об'єктів, особливо житлових будинків. Для їх будівництва вони можуть отримувати кредит.
Окрім забезпечення соціальних потреб населення, споживчий кредит відіграє значну роль у формуванні платоспроможного попиту населення, який, у свою чергу, впливає на розвиток економіки країни, полегшуючи процес реалізації продукції, прискорюючи отримання прибутку і доходів державного бюджету. Визначення державою умов надання споживчого кредиту допомагає регулювати грошовий обіг у країні.
До 2003 року Національним банком України споживчий кредит визначався як позичка, яка надається тільки в національній грошовій одиниці фізичним особам - резидентам України на придбання споживчих товарів тривалого користування та послуг, тобто реклама видачі споживчих кредитів в іноземній валюті порушувала Декрет Кабінету Міністрів „ Про валютне регулювання” , в якому єдиним законним платіжним засобом на території України визначена національна валюта – гривня і , відповідно, ціна на території України на всі споживчі товари тривалого користування та послуги визначається в актах купівлі-продажу тільки в гривнях [6].
Постановою Правління НБУ від 05.03.2003 р. №79 “Про внесення змін до Положення про кредитування” (нині скасована) було визначено, що споживчий кредит може бути виданий банком не лише в національній грошовій одиниці, а й в іноземній валюті. Крім того, скасовано дотримання цільового використання споживчого кредиту. Але цільовий характер використання споживчих кредитів може бути передбачений у кредитному договорі за згодою сторін. В процедурі надання кредитів скасовано колегіальність вирішення питання про надання кредиту незалежно від його розміру — банки приймають рішення щодо надання кредитів позичальникам відповідно до своїх статутів та внутрішніх положень, які регулюють кредитну діяльність.
Таким чином, проаналізувавши вищенаведене, слід відмітити, що споживчий кредит має багато специфічних рис, пов`язаних із особливостями сфери особистого споживання громадян.
По-перше, цей вид позики відображає відносини між кредитором і позичальником, сенс яких полягає у кредитуванні кінцевого споживання, на відміну від позик, які надають суб`єктам господарювання для виробничих цілей або для придбання активів, що породжують рух вартості.
По-друге, на відміну від інших видів кредиту, якими користуються переважно суб`єкти господарювання, споживчі кредити одержують, як правило, фізичні особи.
По-третє, споживчий кредит є засобом задоволення споживчих потреб населення, тобто особистих, індивідуальних потреб людей. Така позика прискорює отримання певних благ ( товарів, послуг), які вони могли б мати (придбати) лише у майбутньому, накопичивши кошти, необхідні для купівлі цих товарно-матеріальних цінностей або послуг, будівництва тощо. Надання споживчих позик населенню з одного боку, підвищує їх платоспроможний попит, життєвий рівень в цілому, а з іншого – прискорює реалізацію товарних запасів, послуг, сприяє створенню основних фондів.
По-четверте, всі види споживчого кредиту мають соціальний характер, оскільки вони сприяють вирішенню суспільних проблем – підвищенню життєвого рівня населення (передусім із низьким та середніми доходами ), утвердженню принципів соціальної справедливості. Саме із цієї причини споживче кредитування здебільшого регулюється державами особливо ретельно. У нашій країні це виражається у тому, що споживчі позики зазвичай надаються на пільгових умовах.
В процесі погашення споживчих позик у населення зменшується на відповідну суму платоспроможний попит, що необхідно враховувати при визначенні обсягу та структури товарообігу, платних послуг, динаміки доходів та витрат населення, грошової маси в обігу. Таким чином розмір кредитів тісно пов’язаний з формуванням купівельного фонду населення та його відповідності обсягу до структури товарного фонду та послуг.
Суб’єктами кредитних відносин при споживчому кредитуванні являються фізичні особи (позичальники ) , а в особі кредитора виступають банки, інші небанківські кредитні установи. Між банком та населенням може існувати й посередник, наприклад торгівельна організація, однак при цьому зміст споживчого кредиту не змінюється.
Об’єктом кредитування є витрати, пов’язані з задоволенням попиту населення поточного характеру, в тому числі придбання товарів в особисту власність, а також витрати капітального (інвестиційного) характеру на будівництво та підтримання нерухомого майна.
Враховуючи це, з моєї точки зору, найбільш економічно та організаційно обгрунтованим визначенням споживчого кредиту є його класифікація як невиробничого кредиту, тобто не призначеного для отримання додаткового прибутку, що може бути сформульовано як:
„Споживчий кредит – це грошові кошти в національній чи іноземній валютах, які надаються комерційними банками та фінансовими установами, діючими згідно Закону України «Про фінансові послуги та державне регулювання ринків фінансових послуг„ та отримавшими ліцензію Національного банку України чи Держфінпослуг України на проведення кредитних операцій банківськими та небанківськими фінансовими установами , громадянам України на невиробничі потреби під процент у тимчасове користування на умовах забезпечення, повернення, строковості, платності та цільової спрямованості”.
Тобто, на мою думку, слід в визначенні споживчого кредиту:
- повернути його цільову спрямованість, оскільки її відсутність не дає можливості ефективно контролювати повернення кредиту;
- видалити фразу про можливість надання споживчого кредиту однією фізичною особою іншій фізичній особі, оскільки така фінансова операція окремо обумовлена Цивільним Кодексом України та має свій правочин (Стаття 1054. „Кредитний договір” Цивільного Кодексу України : За кредитним договором банк або інша фінансова установа (кредитодавець) зобов'язується надати грошові кошти (кредит) позичальникові у розмірі та на умовах, встановлених договором, а позичальник зобов'язується повернути кредит та сплатити проценти) [74].
Таким чином, на основі аналізу викладених вище різних точок зору маємо можливість сформулювати економічну сутність споживчого кредиту як:
„Споживчий кредит - це невиробничий кредит, тобто не призначений для отримання додаткового прибутку, який надається для задоволення споживчих потреб населення (кредит фізичній особі) чи найманих працівників (кредит юридичній особі), під процент у тимчасове користування на умовах забезпечення, повернення, строковості, платності та цільової спрямованості та сплачується за рахунок джерел, не пов”язаних з експлуатацією наданого кредиту”.
1.2 Класифікація споживчих кредитів
Існують різні ознаки класифікації споживчих кредитів. Аналіз засвідчив, що в більшості джерел ознаки, які використовуються в класифікації споживчого кредитування співпадають з ознаками класифікації кредитів взагалі. Кількість ознак різниться у різних авторів, але найбільш розповсюдженими класифікаційними ознаками споживчих кредитів є наступні (рис.1.1) [4]:
- за об'єктами кредитування;
- за строками кредитування;
- за способом надання;
- за видами забезпечення;
- за методами погашення;
- за методом стягнення процентів;
- за характером кругообігу коштів.
- за суб’єктами кредитування (банківські та небанківські кредитно-фінансові установи)
1. За об'єктами кредитування (напрямами використання) в Україні споживчі кредити поділяються на два види:
- на споживчі цілі і нагальні потреби;
- на затрати капітального характеру.
2. За строками кредитування споживчі кредити поділяють на:
- короткострокові (строком від 1-го дня до 1-го року);
- довгострокові (строком понад 1 рік).
Строки надання споживчих кредитів різноманітні. З загальної суми споживчих кредитів значна частина приходиться на короткострокові та середньострокові кредити. Деякі з них видаються з розстрочкою платежу. Довгострокові кредити видаються на інвестиційні цілі.
3. За способом надання споживчі кредити поділяють на цільові і нецільові (на невідкладні потреби, овердрафт та ін.).
За цільовим характером
За суб’єктами кредитних відносин
За формою видачі
За способом погашення
За способом організації надення
За ступенем покриття кредитом вартості товару
За строками надання
інвестиційні
Для купівлі товарів та сплати послуг
На розвиток підсобного господарства
Цільові кредити окремим цільовим групам
На нецільові споживчі потреби
чекові
Під банківські кредитні карточки
товарні
грошові
організовані
неорганізовані
банківські
небанківські
В розстрочку (поступово)
Разовим платежем
На повну вартість
На часткову оплату
короткострокові
середньострокові
довгострокові
Рис.1.1. Класифікація споживчих кредитів [4]

Класифікація споживчих кредитів
4. За забезпеченням розрізняють позики незабезпечені (бланкові) і забезпечені (заставою, гарантіями, поручительствами, страхуванням).
5. За методом погашення розрізняють кредити, які погашаються одночасно, й кредити з розстрочкою платежу.
6. За методом стягнення процентів кредити класифікують так:
- кредити зі стягненням процентів у момент його надання;
- позики зі сплатою процентів у момент погашення кредиту;
- позики зі сплатою процентів рівними внесками протягом усього строку кредитування (щоквартально, один раз у півріччя, або за спеціально обумовленим графіком).
7. За характером кругообороту коштів кредити поділяють на разові і відновлювальні (револьверні). В групу револьверних, як правило, включають кредити, які надаються клієнтам за кредитними картками, або кредити за єдиними активно-пасивними рахунками у формі овердрафту.
8. В залежності від цільового призначення споживчі кредити поділяються на:
- інвестиційні;
- для купівлі товарів та сплати послуг;
- на розвиток підсобного господарства;
- цільові кредити окремим соціальним групам;
- на нецільові споживчі потреби;
- відстрочені кредити у вигляді кредитних карток
. Д
Цільові кредити окремим цільовим групам
На нецільові споживчі потреби
На часткову оплату
короткострокові
середньострокові
довгострокові
Рис.1.1 Класифікація споживчих кредитів
о інвестиційних відносяться позики на кооперативне житлове будівництво та придбання квартир, індивідуальних житлових будинків, садових будиночків, благоустрій садових ділянок, реконструкцію, капітальний ремонт індивідуальних житлових будинків, дач.Наступна група об’єднує позики для придбання окремих споживчих товарів або сплати послуг, розстрочку платежів за товари довгострокового користування, прокат деяких предметів споживання.
До кредитів на розвиток особистих підсобних господарств відносяться позики на купівлю сільськогосподарської техніки, транспортних засобів, купівлю посадкового матеріалу, фруктових дерев, добрив.
Нецільові споживчі кредити можуть надаватися населенню комерційними банками та ломбардами під заставу майна без зазначення мети використання кредиту. Це може бути кредит на невідкладні потреби, здійснення затрат, що виникають в зв’язку з особливими або непередбачуваними обставинами ( лікування, нещасний випадок, туризм та інше ).
Новим в споживчому кредиті є відстрочений кредит у вигляді банківських кредитних карток. При депозитній формі картки між кредитором та позичальником передбачається обумовлене завчасно автоматичне надання кредиту в момент вичерпання залишку коштів на рахунку (овердрафтні кредити). Такі позики можуть погашатися або в процесі надходження на рахунок грошових коштів ( вкладів ) або спеціальними внесками позичальника. При кредитній формі картки надання кредиту та ідентифікації клієнта базується на застосуванні спеціального карткового рахунку, який управляється за допомогою телекомунікаційних засобів віддаленого управління(банкомати, термінали, Інтернет). Кредитні картки припускають участь трьох сторін - власника картки, банку та торгівельної організації. Пластикова картка з виділеними символами, видана банком покупцеві, служить для торгівельної організації свідченням того, що банк гарантує відкриття кредиту власнику цієї картки . Картка надається клієнту, якщо стан його депозитних та позичкових операцій з банком задовільний. По кожній картці встановлюється ліміт, який може бути змінено в ту чи іншу сторону в залежності від режиму використання картки її власником. Кредитні картки застосовуються і при сплаті за послуги. Використання кредитних карток поліпшує надання споживчих кредитів. Вони служать знаряддям обігу та скорочують потреби в готівкових грошах.
9. За суб’єктами кредитування кредитори можуть бути структуровані як банківські та небанківські фінансові установи.
Банки - кредитори можуть надавати споживчі кредити безпосередньо позичальникам ( прямі кредити), що звертаються в банк за позикою, або побічні через посередників (торговельну організацію, ломбард, пункт прокату).
В зв’язку з тим, що торгівельні організації не завжди мають грошові кошти, щоб перекрити всю заборгованість по наданому ними кредиту покупцеві, вони самі звертаються в банки за позиками. Непряме кредитування дозволяє надавати кредити без значного збільшення операційних витрат банку.
Банк надає кредити фізичним особам у розмірах, що визначається виходячи з вартості товарів і послуг, які є об`єктом кредитування, в межах вартості майна, майнових прав, які можуть бути передані банку в забезпечення фізичною особою з урахуванням суми її поточних доходів.
В нашій країні (ще за часів СРСР) аж до перебудовчих процесів в економіці (до 1987 р.) переважали два основні види споживчого кредиту: кредит на купівлю товарів тривалого користування та на житлове будівництво (індивідуальне та кооперативне). Перший вид кредиту носив побічний характер, так як його надавали різні торгові організації при посередництві кредиту Держбанку, а другий вид кредиту видавався безпосередньо кредитними установами (Держбанком та Будбанком ) [6].
З початком процесу формування ринкових форм господарювання, який супроводжувався падінням виробництва, а відповідно й товарообігу, втратило своє практичне значення кредитування населення в формі придбання товарів в торгівлі з розстрочкою платежу. У кінці 90-х років 20 сторіччя разом з зупинкою падіння виробництва в Україні кредитування житлового будівництва, а також надання деяких інших видів споживчого кредитування (на будівництво і благоустрій садових ділянок, будівництво, купівлю і ремонт будівель в сільській місцевості для сезонного проживання, на купівлю молодняку худоби та господарське обзаведення, на невідкладні споживчі потреби ) поступово взяли на себе комерційні банки України (спільний проект іпотечного споживчого кредитування будівництва житла для громадян АКБ „Аркада” та „Київмісьбуд”).
Кредитування споживчих потреб населення комерційними банками України здійснюється при дотриманні таких же принципів, що й при кредитуванні юридичних осіб: терміновості, повернення, цільової спрямованості, платності, забезпеченості. Важливим критерієм є платоспроможність позичальника .
Відповідно до Закону України "Про фінансові послуги та державне регулювання ринків фінансових послуг" в Україні на сьогоднішній день надання споживчих кредитів здійснюється також наступними небанківськими фінансовими установами, які мають право надавати фінансові послуги за умови включення інформації про них до Державного реєстру фінансових установ та функціонують під контролем Державної комісії з регулювання ринків фінансових послуг (Держфінпослуг) [25]:
- кредитні спілки;
- ломбарди;
- страхові компанії по довгостроковому страхуванню життя;
- спеціалізовані фінансові компанії споживчого кредитування ;
Таким чином, аналізуючи наведені матеріали слід відзначити, що не існує єдиної класифікації споживчих кредитів. В роботі запропонована класифікація, яка є найбільш вдалою, на мій погляд, за кредитним ризиком забезпечення об”єктів споживчого кредитування:
малоризикове цільове іпотечне кредитування з заставою нерухомості та страхуванням (до 100000 доларів США);
середньоризикове цільове кредитування засобів транспорту з їх заставою та страхуванням (до 20000 доларів США);
високоризикове цільове кредитування придбання меблів та складної побутової техніки без застави (до 5000 доларів США);
- найризиковіше нецільове беззаставне кредитування придбання
споживачем товарів та послуг(до 1000 доларів США).
1.3 Правове регулювання процесу споживчого кредитування в Україні
Правове регулювання відносин між споживачами товарів, робіт і послуг та виробниками і продавцями товарів, виконавцями робіт і тими, хто надає послуги, здійснюється за допомогою законодавства про захист прав споживачів, що містить сукупність галузевих нормативних правових актів, у яких встановлюються основні права споживачів, визначається механізм реалізації та захисту цих прав, зокрема щодо гарантій, а також встановлюються юридичні наслідки порушення зазначених прав [74].
Одне з центральних місць у споживчому законодавстві України посідає саме Закон «Про захист прав споживачів», який, необхідно визнати, є комплексним нормативним правовим актом [27]. У ньому об'єднані норми цивільного та адміністративного права, представлені норми цивільного процесуального та фінансового права. 1 грудня 2005 р. ВР України прийняла Закон України «Про внесення змін до Закону України «Про захист прав споживачів», яким Закон України «Про захист прав споживачів» викладено в новій редакції. Основною новизною цих змін є те, що нормами зазначеного Закону регулюються відносини із надання споживчого кредиту.
Закон визначає споживчий кредит як кошти, що надаються кредитодавцем (банком або іншою фінансовою установою) споживачеві на придбання продукції [27]. Споживачем виступає фізична особа, яка придбаває, замовляє, використовує або має намір придбати чи замовити продукцію для особистих потреб, безпосередньо не пов’язаних з підприємницькою діяльністю або виконанням обов’язків найманого працівника. Продукцією, в розумінні Закону, є будь-які вироби (товар), робота чи послуга, що виготовляються, виконуються чи надаються для задоволення суспільних потреб. Таким чином, споживчий кредит це не тільки кредитування на придбання товару, а й на надання певних послуг.
Нормами ст. 11 Закону врегульовано права споживачів на випадок укладення ними кредитних договорів (зокрема, при здійсненні операцій з кредитування банківських рахунків споживачів), відповідно до яких кредитодавець надає кошти (споживчий кредит) або бере зобов’язання надати їх споживачеві на придбання продукції, а споживач зобов’язується повернути їх разом із нарахованими відсотками.
Права споживача в разі придбання ним продукції у кредит обумовлюються наступними документами та процесами, встановленими Законом [27]:
1. Договір про надання споживчого кредиту укладається між кредитодавцем та споживачем, відповідно до якого кредитодавець надає кошти (споживчий кредит) або бере зобов'язання надати їх споживачеві для придбання продукції у розмірі та на умовах, встановлених договором, а споживач зобов'язується повернути їх разом з нарахованими відсотками.
2. Перед укладенням договору про надання споживчого кредиту кредитодавець зобов'язаний повідомити споживача у письмовій формі про:
1) особу та місцезнаходження кредитодавця;
2) кредитні умови, зокрема:
а) мету, для якої споживчий кредит може бути витрачений;
б) форми його забезпечення;
в) наявні форми кредитування з коротким описом відмінностей між ними, в тому числі між зобов'язаннями споживача;
г) тип відсоткової ставки;
ґ) суму, на яку кредит може бути виданий;
д) орієнтовну сукупну вартість кредиту та вартість послуги з оформлення договору про надання кредиту (перелік усіх витрат, пов'язаних з одержанням кредиту, його обслуговуванням та поверненням, зокрема таких, як адміністративні витрати, витрати на страхування, юридичне оформлення тощо);
е) строк, на який кредит може бути одержаний;
є) варіанти повернення кредиту, включаючи кількість платежів, їх частоту та обсяги;
ж) можливість дострокового повернення кредиту та його умови;
з) необхідність здійснення оцінки майна та, якщо така оцінка є необхідною, ким вона здійснюється;
и) податковий режим сплати відсотків та про державні субсидії, на які споживач має право, або відомості про те, від кого споживач може одержати докладнішу інформацію;
і) переваги та недоліки пропонованих схем кредитування.
3. Кредитодавець не має права вимагати від споживача відомостей, які не стосуються визначення його платоспроможності та не є необхідними для надання споживчого кредиту.
Персональні дані, одержані від споживача або іншої особи у зв'язку з укладенням та виконанням договору про надання споживчого кредиту, можуть використовуватися виключно для оцінки фінансового стану споживача та його спроможності виконати зобов'язання за таким договором.
Не є порушенням положень абзацу другого цієї частини повідомлення кредитодавцем відомостей про споживача Бюро кредитних історій, яке займається збиранням, обробленням, зберіганням, захистом і використанням інформації відповідно до законодавства про формування і ведення кредитних історій.
4. Договір про надання споживчого кредиту укладається у письмовій формі, один з оригіналів якого передається споживачеві. Обов'язок доведення того, що один з оригіналів договору був переданий споживачеві, покладається на кредитодавця.
Споживач не зобов'язаний сплачувати кредитодавцеві будь-які збори, відсотки або інші вартісні елементи кредиту, що не були зазначені у договорі.
У договорі про надання споживчого кредиту зазначаються:
1) сума кредиту;
2) детальний розпис загальної вартості кредиту для споживача;
3) дата видачі кредиту або, якщо кредит видаватиметься частинами, дати і суми надання таких частин кредиту та інші умови надання кредиту;
4) право дострокового повернення кредиту;
5) річна відсоткова ставка за кредитом;
6) інші умови, визначені законодавством.
У договорі про надання споживчого кредиту може зазначатися, що відсоткова ставка за кредитом може змінюватися залежно від зміни облікової ставки Національного банку України або в інших випадках. Про зміну відсоткової ставки за споживчим кредитом споживач повідомляється кредитодавцем письмово протягом семи календарних днів з дати її зміни. Без такого повідомлення будь-яка зміна відсоткової ставки є недійсною.
5. До договорів із споживачами про надання споживчого кредиту застосовуються положення Закону про несправедливі умови в договорах, зокрема положення, згідно з якими [27]:
1) для надання кредиту необхідно передати як забезпечення повну суму або частину суми кредиту чи використати її повністю або частково для покладення на депозит, або викупу цінних паперів, або інших фінансових інструментів, крім випадків, коли споживач одержує за таким депозитом, такими цінними паперами чи іншими фінансовими інструментами таку ж або більшу відсоткову ставку, як і ставка за його кредитом;
2) споживач зобов'язаний під час укладення договору укласти інший договір з кредитодавцем або третьою особою, визначеною кредитодавцем, крім випадків, коли укладення такого договору вимагається законодавством та/або коли витрати за таким договором прямо передбачені у складі сукупної вартості кредиту для споживача;
3) передбачаються зміни в будь-яких витратах за договором, крім відсоткової ставки;
4) встановлюються дискримінаційні стосовно споживача правила зміни відсоткової ставки.
6. Споживач має право протягом чотирнадцяти календарних днів відкликати свою згоду на укладення договору про надання споживчого кредиту без пояснення причин. Перебіг цього строку розпочинається з моменту передачі споживачеві примірника укладеного договору.
Відкликання згоди оформлюється письмовим повідомленням, яке споживач зобов'язаний подати особисто чи через уповноваженого представника або надіслати кредитодавцю до закінчення строку, зазначеного в абзаці першому цієї частини. З відкликанням згоди на укладення договору про надання споживчого кредиту споживач повинен одночасно повернути кредитодавцю кошти або товари, одержані згідно з договором.
Споживач також сплачує відсотки за період між моментом одержання коштів та моментом їх повернення за ставкою, встановленою в договорі.
Споживач не зобов'язаний сплачувати будь-які інші збори у зв'язку з відкликанням згоди.
Кредитодавець зобов'язаний повернути споживачеві кошти, сплачені ним згідно з договором про надання споживчого кредиту, але не пізніше, ніж протягом семи днів. За кожний день затримки повернення споживачу коштів, сплачених ним згідно з договором про надання споживчого кредиту понад установлений строк (сім днів), споживачеві виплачується неустойка в розмірі одного відсотка суми, належної до повернення кредитодавцем.
7. Право відкликання згоди не застосовується щодо:
1) споживчих кредитів, забезпечених іпотекою;
2) споживчих кредитів на придбання житла;
3) споживчих кредитів, наданих на купівлю послуги, виконання якої відбулося до закінчення строку відкликання згоди.
8. Споживач має право достроково повернути споживчий кредит, у тому числі шляхом збільшення суми періодичних виплат.
Якщо споживач скористався правом повернення споживчого кредиту шляхом збільшення суми періодичних виплат, встановлених в абзаці першому цієї частини, кредитодавець зобов'язаний здійснити відповідне коригування кредитних зобов'язань споживача у бік їх зменшення.
9. У разі реалізації споживачем своїх прав, передбачених статтями 8 і 10 Закону , ці права діють і стосовно кредитодавця, що надав йому споживчий кредит для придбання продукції. Кредитодавець у такому випадку зобов'язаний повернути споживачеві суму вже здійснених ним виплат при розірванні договору купівлі-продажу (виконання роботи, надання послуги) або здійснити відповідне коригування кредитних зобов'язань споживача [27, с.12].
10. Якщо кредитодавець згідно з договором про надання споживчого кредиту одержує внаслідок порушення споживачем умов договору право на вимогу повернення споживчого кредиту, строк виплати якого ще не настав, або на вилучення продукції чи застосування іншої санкції, він може використати таке право лише у разі:
1) затримання сплати частини кредиту та/або відсотків щонайменше на один календарний місяць; або
2) перевищення сумою заборгованості суми кредиту більш як на десять відсотків; або
3) несплати споживачем більше однієї виплати, яка перевищує п'ять відсотків суми кредиту; або
4) іншого істотного порушення умов договору про надання споживчого кредиту.
Якщо кредитодавець на основі умов договору про надання споживчого кредиту вимагає здійснення внесків, строк сплати яких не настав, або повернення споживчого кредиту, такі внески або повернення споживчого кредиту можуть бути здійснені споживачем протягом тридцяти календарних днів з дати одержання повідомлення про таку вимогу від кредитодавця. Якщо протягом цього періоду споживач усуне порушення умов договору про надання споживчого кредиту, вимога кредитодавця втрачає чинність.
11. Якщо кредитодавець у позасудовому порядку або до судового провадження звертається з вимогою про повернення споживчого кредиту або погашення іншого боргового зобов'язання споживача, кредитодавець не може у будь-який спосіб вимагати будь-якої плати або винагороди від споживача за таке звернення.
При цьому кредитодавцю забороняється:
1) надавати неправдиву інформацію про наслідки несплати споживчого кредиту;
2) вилучати продукцію у споживача без його згоди або без одержання відповідного судового рішення;
3) зазначати на конвертах з поштовими повідомленнями інформацію про те, що вони стосуються несплати боргу або споживчого кредиту;
4) вимагати стягнення будь-яких сум, не зазначених у договорі про надання споживчого кредиту;
5) звертатися без згоди споживача за інформацією про його фінансовий стан до третіх осіб, які пов'язані зі споживачем родинними, особистими, діловими, професійними або іншими стосунками у соціальному бутті споживача;
6) вчиняти дії, що вважаються нечесною підприємницькою практикою;
7) вимагати повернення споживчого кредиту, строк давності якого минув.
Таким чином, нова редакція Закону «Про захист прав споживачів» врегулювала відносини, які складаються між кредитодавцем та позичальником (споживачем), що можуть мати місце під час виконання ними взятих на себе зобов'язань відповідно до укладеного кредитного договору [27].
В той же час, запровадження норм, які регулюють права споживача в разі придбання ним продукції у кредит створює можливість виникнення в діяльності банків певних ризиків під час укладення та виконання договорів про споживчий кредит із фізичними особами, які не є суб'єктами підприємницької діяльності, що обумовлені нормами ст. 11 Закону України «Про захист прав споживачів» [27].
РОЗДІЛ 2. АНАЛІЗ СПОЖИВЧОГО КРЕДИТУВАННЯ НА ПРИКЛАДІ ПАТ КБ «КРЕДИТ ЄВРОПА БАНК»
2.1 Місце споживчих кредитів в кредитному портфелі банку ПАТ „Кредит Європа Банк”
Публічне акціонерне товариство ПАТ "Кредит Європа Банк" в Україні є дочірнім банком та належить Кредит Європа Банку (Голландія) та Credit Europe Group N.V.(CEG). CEG є частиною міжнародної фінансової групи FIBA Group, одного з найбільших багатогалузевих фінансових конгломератів. Група надає різноманітні фінансові послуги, включаючи банківське обслуговування корпоративних і приватних клієнтів у 12 країнах Східної та Західної Європи та Середнього Сходу. Крім того, група вкладає значні інвестиції у мережу роздрібних магазинів і ринок нерухомості [84].
CREDIT EUROPE BANK контролюється міжнародною фінансовою групою Credit Europe Group NV, одним із найбільших багатогалузевих фінансових конгло-мератів. Група утримує 100 відсотків статутного капіталу CREDIT EUROPE BANK.
Кредит Європа Банк Н.В. (CEB NV, Банк ) був заснований у 1994 році і на сьогодні входить в топ-десятку голандських банків. В CEB NV працює більше 6,000 професіоналів у 11 країнах, які надають послуги більше ніж трьом мільйонам клієнтів по всьому світу. Як надійна фінансова група, яка повністю підпорядковується Центральному Банку Голландії, CEB NV пропонує своїм корпоративним та роздрібним клієнтам банківські продукти прості у користуванні, застосовує індивідуальний підхід до кожного клієнта.
Крім послуг для корпоративних клієнтів, прерогативою CEB NV є вибрані торгові ринки предметів торгівлі, які засновуються на досвіді роботи з мета-лами, в галузі енергетики та нафтопродуктів, добрив та харчової промисловос-ті. Це забезпечило постійне зростання бізнесу навіть в умовах складного 2008 року.
У галузі роздрібного бізнесу, планується побудувати у Європейському Союзі успішну модель, пропонуючи конкурентоспроможні та прості у вико-ристанні продукти клієнтам у Нідерландах, Бельгії, Німеччині та Мальті.
За межами Євросоюзу, метою є об’єднання позицій на обраних фінансових ринках Дубаї, Румунії, Росії, України і Швейцарії (див. табл.2.1).
Таблиця 2.1
Міжнародні представництва (засновані дочірні банки) банка CREDIT EUROPE BANK (Голандія) міжнародної фінансової групи Credit Europe Group NV [84]
-
Країна розташування
дочірнього банку
Адреса Інтернет – сайту
дочірнього банку
Бельгія
www.crediteurope.be
Швейцарія
www.crediteurope.ch
Німеччина
www.crediteurope.de
Нідерланди
www.crediteurope.nl
Румунія
www.crediteurope.ro
Росія
www.crediteurope.ru
Україна
www.crediteurope.com.ua
Туреччина
www.fibaholding.com.tr
ПАТ "Кредит Європа Банк" (МФО 380366, ЄДРПОУ 34576883) отримав банківську ліцензію в Україні 28 грудня 2006 року, й офіційно розпочав свою діяльність під новою назвою ЗАТ "Кредит Європа Банк" 6 червня 2007 року. Загальне зібрання акціонерів 4 січня 2007 року вирішило збільшити сплачену частину акційного капіталу банку до 329,088,311 гривень (понад 50 млн. доларів США).
У 2009 році згідно з вимогами Закону України „Про банки та банківську діяльність” банк змінив форму ЗАТ на форму ПАТ - Публічне акціонерне товариство «КРЕДИТ ЄВРОПА БАНК» з вільним продажем акцій [84].
ПАТ "Кредит Європа Банк" має широкорозвинену мережу валютних кореспондентських рахунків в банках – нерезидентах по всьому світу (див.табл.2.2).
Таблиця 2.2
Кореспондентські рахунки ПАТ „Кредит Європа банк” (Україна) в банках – нерезидентах [84]
-
Валюта
Банк
S.W.I.F.T.
Рахунок
CHF
Credit Europe Bank (Suisse) S.A.
Geneva, Switzerland
FSUI CH GG
8001172000100
EUR
Credit Europe Bank N.V.
Amsterdam, The Netherlands
FBHL NL 2A
0783401833
EUR
J.P. Morgan AG
Frankfurt am Main, Germany
CHAS DE FX
6231607059
GBP
HSBC Bank plc
London, United Kingdom
MIDL GB 22
68441440
JPY
The Bank of Tokyo Mitsub>ishi UFJ, Ltd.
Tokyo, Japan
BOTK JP JT
653-0467480
RUB
ПАТ “КРЕДИТ ЕВРОПА БАНК”
Москва, Росія
FMOS RU MM
30111810500000000006
SEK
Svenska Handelsbanken
Stockholm, Sweden
HAND SE SS
40329739
TRY
FINANSBANK A.S.
Istanbul, Turkey
FNNB TR IS
17191963
USD
The Bank of New York
New York, USA
IRVT US 3N
890-0676-833
Станом на 01.01.2009 року банк ПАТ „Кредит Європа банк” займав наступні рейтингові місця в банківській системі України, маючи нижченаведений рівень основних показників діяльності [77]:
1. За рівнем валюти балансу:
- 51 місце в рейтингу – 2,651 млрд.грн.;
- 0,297% частку від сумарної валюти балансу БС України.
2. За рівнем власного капіталу:
- 46 місце в рейтингу – 47,0 млн.євро (при нормативному рівні не менше 10,0 млн.євро).;
- 0,413% частку від сумарного власного капіталу БС України.
3. За рівнем кредитно – інвестиційного портфелю:
- 52 місце в рейтингу;
- 0,249% частку від сумарної валюти КІП БС України;
- кредитний портфель фізичних осіб – 291,17 млн.грн. (61 місце в рейтингу БС за обсягами портфелю).
4. За рівнем депозитів фізичних осіб в пасивах валюти балансу:
- 152 місце в рейтингу;
- 0,787% частку у власних зобов’язаннях;
- 0,008% частку від сумарної валюти депозитів фізичних осіб в БС України.
5. За рівнем депозитів юридичних осіб в пасивах валюти балансу:
- 94 місце в рейтингу;
- 10,22% частку у власних зобов’язаннях;
- 0,098% частку від сумарної валюти депозитів юридичних осіб в БС України.
6. За рівнями прибутку і рентабельності валюти балансу(ROA) та статутного капіталу(ROE):
- прибуток = 2,78 млн.грн. ( 0,037% від сумарного прибутку БС України);
- ROA – 0,105% ( нормативний рівень за вимогами НБУ не менше 1,5% у 2008 році);
- ROE – 0,55% ( нормативний рівень за вимогами НБУ не менше 10% у 2008 році);
- низкорентабельний та інвестиційно-непривабливий банк.
Станом на 01.09.2009 року банк ПАТ „Кредит Європа банк” займав наступні рейтингові місця в банківській системі України, маючи нижченаведений рівень основних показників діяльності [77]:
1. За рівнем валюти балансу:
- 54 місце в рейтингу – 2,052 млрд.грн. (зменшення на -600,0 млн.грн. за 8 місяців 2009 року);
- 0,25% частку від сумарної валюти балансу БС України.
2. За рівнем власного капіталу:
- 52 місце в рейтингу – 44,0 млн.євро (при нормативному рівні не менше 10,0 млн.євро).;
- 0,341% частку від сумарного власного капіталу БС України.
3. За рівнем сумарного кредитно – інвестиційного портфелю:
- 55 місце в рейтингу;
- 0,208% частку від сумарної валюти КІП БС України;
- кредитний портфель фізичних осіб – 263,83 млн.грн. (66 місце в рейтингу БС за обсягами портфелю).
4. За рівнем депозитів фізичних осіб в пасивах валюти балансу:
- 138 місце в рейтингу;
- 1,342% частку у власних зобов’язаннях;
- 0,011% частку від сумарної валюти депозитів фізичних осіб в БС України.
5. За рівнем депозитів юридичних осіб в пасивах валюти балансу:
- 120 місце в рейтингу;
- 3,892% частку у власних зобов’язаннях;
- 0,033% частку від сумарної валюти депозитів юридичних осіб в БС України.
6. За рівнями прибутку і рентабельності валюти балансу(ROA) та статутного капіталу(ROE):
- збитки = - 65,75 млн.грн. за результатами 8 місяців 2009 року;
- ROA – 0,0% ( нормативний рівень за вимогами НБУ не менше 1,5% у 2008 році).
- ROE – 0,0% ( нормативний рівень за вимогами НБУ не менше 10% у 2008 році).
- низкорентабельний та інвестиційно-непривабливий банк після перетворення у публічне акціонерне товариство (ПАТ) за вимогами НБУ у 2009 році та переходу до біржового лістингу і вільної торгівлі акціями банку.
В додатках А, Б та на рис.А.1 і рис. А.2 Додатку А представлена поквартальна динаміка балансів та звітів про фінансові результати діяльності ПАТ „Кредит Європа банк” за 2007 – 2009 роки.
На рис. К.1 - К.4 Додатку К наведені результати оцінки динаміки змін в структурі кредитно - інвестиційного портфелю ПАТ „Кредит Європа банк” у 2008 – 2009 роках. Як показує аналіз графіків, наведених на рис.К.1 - К.4 Додатку К структурна частка кредитів фізичним особам в кредитно-інвестиційному портфелі банку з рівня 3,95% станом на 01.01.2008 зросла до рівня 15,41% станом на 01.01.2009 та продовжила зростання до рівня 20,3% станом на 01.07.2009 року.
Це пов’язане з наслідками світової фінансової кризи та відповідною кон’юнктурною кризою в експортно-орієнтованих галузях економіки України, коли міжнародний ринок попиту на експортну продукцію України у 2008 -2009 роках різко впав, а внутрішній ринок України не може використати експортну продукцію. Це привело до звуження банківських пропозицій на кредитування платоспроможних юридичних осіб та розширення ринку банківських пропозицій на ринку споживчого кредитування населення України, який характеризується як підвищеним ризиком обслуговування багаточислених малих кредитів, так і підвищеною дохідністю кредитування.
Відповідний аналіз прибутковості банку показав (додаток Б):
1. Обсяг процентного доходу банку за 2007 рік склав 65 723 тис.грн., з яких процентний дохід кредитування фізичних осіб склав 746,3 тис.грн., тобто 1,136%;
2. Обсяг процентного доходу банку за 2008 рік склав 229 383 тис.грн., з яких процентний дохід кредитування фізичних осіб склав 26 037,3 тис.грн., тобто 11,35%;
3. Обсяг процентного доходу банку за перше півріччя 2009 рік склав 126 448 тис.грн., з яких процентний дохід кредитування фізичних осіб склав 24 035,4 тис.грн., тобто 19,0%.
Таким чином, переміщення частки кредитних ресурсів банку в сегмент кредитування фізичних осіб супроводжується відповідним зростанням частки процентних доходів банку від кредитування фізичних осіб.
Як показує аналіз кредитно-інвестиційного портфелю ПАТ КБ „Кредит Європа Банк”, наведеного графіками на рис.2.1, наслідки впливу світової фінансової кризи 2008 – 2009 рр. характеризуються наступними показниками для банку (абсолютні показники в гривнях без врахування девальвації національної валюти на протязі кризи):
- обсяг кредитів, наданих юридичним осібам, на протязі 2008 року зріс з рівня 194,557 млн.грн. станом на 01.01.2008(курс 5,05 грн./1$) до рівня 765,809 млн.грн. станом на 01.01.2009 (активний початок кризи в банківській системі України - курс 7,7 грн./1$) та знизився до рівня 655,867 млн.грн. станом на 01.10.2009 року (через 1 рік після активного початку кризи в банківській системі України - курс 8,0 грн./1$);
- обсяг кредитів, наданих фізичним особам, на протязі 2008 року зріс з рівня 30,56 млн.грн. станом на 01.01.2008(курс 5,05 грн./1$) до рівня 291,17 млн.грн. станом на 01.01.2009 (активний початок кризи в банківській системі України - курс 7,7 грн./1$) та знизився до рівня 274,193 млн.грн. станом на 01.10.2009 року (через 1 рік після активного початку кризи в банківській системі України - курс 8,0 грн./1$);

Рис.2.1. Динаміка кредитно-інвестиційного портфеля ПАТ „Кредит Європа банк” у 2008 – 2009 роках (Систематизовано та побудовано автором самостійно)
- обсяг наданих міжбанківських кредитів на протязі 2008 року зріс з рівня 306,1 млн.грн. станом на 01.01.2008 (курс 5,05 грн./1$) до рівня 584,485 млн.грн. станом на 01.01.2009 (активний початок кризи в банківській системі України-курс 7,70 грн./1$) та знизився до рівня 196,360 млн.грн. станом на 01.10.2009 року (через 1 рік після активного початку кризи в банківській системі України -курс 8,0 грн./1$);
- обсяг створених внутрішніх резервів на кредитні ризики на протязі 2008 року зріс з рівня -1,632 млн.грн. станом на 01.01.2008(курс 5,05 грн./1$) до рівня -64,641 млн.грн. станом на 01.10.2008 (активний початок кризи в банківській системі України - курс 7,70 грн./1$) та зріс до рівня -133,915 млн.грн. станом на 01.10.2009 року (через 1 рік після активного початку кризи в банківській системі України - курс 8,0 грн./1$).
Таким чином, ризик кредитного портфелю ПАТ КБ „Кредит Європа Банк” за 1 рік активного впливу світової фінансової кризи на кризу банківської системи України зріс практично в 2 рази, що потребує додаткових досліджень, проведених в наступних розділах.
2.2. Послуги споживчого кредитування населення на потреби поточного та капітального характеру в банку ПАТ „Кредит Європа Банк”
Станом на 01.09.2009 року в кредитному портфелі споживчого кредитування населення на поточні потреби в ПАТ „Кредит Європа Банк” були наявні наступні кредитні продукти [84]:
а) короткострокове (до 1 року) нецільове кредитування фізичних осіб готівкою в національній валюті (програма „Легкий кредит);
б) довгострокове (до 2 років) нецільове кредитування фізичних осіб готівкою в національній валюті (програма „Легкий кредит);
в) довгострокове (від 2 до 4 років) цільове безготівкове кредитування фізичних осіб на придбання автомобілей в національній та іноземній валютах (програма „Нові автомобілі іноземної зборки”).
Станом на 16.11.2009 року в кредитному портфелі споживчого кредитування населення на поточні потреби в ПАТ „Кредит Європа Банк” залишився тільки 1 кредитний продукт (рис.2.7) [84]:
а) довгострокове (від 1 до 4 років) цільове безготівкове кредитування фізичних осіб на придбання автомобілей в національній та іноземній валютах (програма „Нові автомобілі іноземної зборки”).
Згорнута станом на 16.11.2009 програма поточного готівкового кредитуван-ня „Легкий кредит” мала на протязі 2008 -2009 років наступні умови кредитування (табл.2.3):
- кредит без застави;
- швидкість в обслуговуванні;
- можливість сплати комісії банку за рахунок кредитних коштів;
- мінімальний пакет документів.
Таблиця 2.3
Умови кредитування по програмі „Легкий кредит”
у 2008 році – першому півріччі 2009 року [84]
-
Строк
Валюта
Сума, грн
Ставка, % місячна
Плата за юридичне оформлення кредитного договору
Мін.
Макс.
12 міс
ГРН
1 000
20 000
4.37%
3%
24 міс
6%
Програма поточного безготівкового цільового кредитування „Авто в кре-дит” має наступні умови кредитування (табл.2.4):
- автомобілі придбаються в сертифікованих автосалонах, з якими співро-бітничає банк;
перший самостійний внесок не менше 30%;
заставою є придбаний автомобіль, тому кредитується придбання тільки нових автомобілей іноземної зборки;
без нотаріального посвідчення договору застави.
Таблиця 2.4
Умови кредитування фізичних осіб по програмі „Авто в кредит” станом на 16.11.2009 [84]
-
Умови Кредитування
Валюта
долари США/ЄВРО
ГРН
Строк (міс)
12
24
36
48
12
24
36
48
Ставка % (річних)
12.55%
14.30%
14.90%
14.90%
21.10%
23.80%
24.70%
25.20%
Власний платіж
Мін 30%
Мін 30%
Плата за юридичне оформлення кре-дитного договору
0.50%
0.50%
Плата за безготівкове перерахування грошових коштів
1,50%
2,50%
Таблиця 2.5
Умови видачі споживчих кредитів на покупку нових авто іноземного складання / Кредит Європа Банк / Авто в кредит /Дата дослідження: 16.11.09
Параметри кредиту [84]
-
Програма кредитування:
Авто в кредит
Валюта:
Гривня
Сума:
будь-яка
Мінімальний строк:
від 2 років
Максимальний строк:
3 роки
Розмір первісного внеску:
від 30,00%
Вартість кредиту
-
Процентна ставка:
24,70%
Одноразова комісія:
3,00%
Щомісячна комісія:
відсутня
Страхові платежі при оформленні кредиту
-
КАСКО *:
5-8% від вартості авто в рік
ОСАГО *:
150-700 грн.
Страхування життя *:
3,00% від суми кредиту
* Оцінна вартість видатків
Платежі при оформленні кредиту й покупці авто
-
Держмито:
1% від вартості авто
Пенсійний фонд:
3% від вартості авто
Реєстрація в ДАІ *:
Від 2000 грн.
Транспортний збір *:
90 грн.
Оформлення договору застави*:
0,1% від вартості застави
Послуги нотаріуса*:
безкоштовно
* Оцінна вартість видатків
В табл.Д.1 додатку Д та на графіках рис.Л.1 – Л.4 Додатку Л представлені показники динаміки оборотно-сальдового руху коштів на балансових рахунках поточного та іпотечного кредитування фізичних осіб в ПАТ „Кредит Європа Банк” у 2007 – 2009 роках [84].
Як показує аналіз графіків, наведених на рис.Л.1 - Л.4 Додатку Л:
- 4,0% обсягу кредитного портфелю поточних споживчих кредитів фізичним особам в банку становлять прострочені довгострокові поточні кредити;
- та 4,0% обсягу кредитного портфелю становлять нараховані та прострочені і несплачені відсотки за користування цими поточними кредитами.
В той же час загальний рівень резервування кредитного портфелю банку становить 17,7%, тобто рівень ризику споживчого кредитування фізичних осіб є нижчим за ризик кредитування юридичних осіб.
Аналіз даних табл.Д.1 Додатку Д та графіків, наведених на рис. Л.5 –Л.6 Додатку Л показує, що в ПАТ „Кредит Європа банк” в умовах світової фінансової кризи 2008 – 2009 років станом на кінець 1-го півріччя 2009 року припинено іпотечне кредитування фізичних осіб, а видані іпотечні кредити погашені навіть без нарахування відсотків за користування у 2009 році.
Як показує аналіз графіків, наведених на рис.Л.3 Додатку Л, на фоні обсягів довгострокового поточного кредитування фізичних осіб у 2008 році – 285, 5 млн. грн. (98,4% кредитного портфеля фізичних осіб), іпотечна програма кредитування фізичних осіб обсягом в 3,0 млн.грн. є малозначущою і в першій половині 2009 році в банку закрита в умовах кризи в будівництві житла та масової недобудови житла в Україні у 2008 – 2009 роках (криза відсутності предмету заставної іпотеки в умовах недобудови житла).
Станом на 16.11.2009 року ПАТ «Кредит Європа банк» частково відновив споживче іпотечне кредитування придбання населенням житла, але тільки для операцій на вторинному ринку (житло вже збудоване), тільки в національній валюті та строком тільки до 5 років при розмірі первісного внеску позичальника не менше 50% від вартості житла (див.табл.2.6). При цьому, як показує аналіз даних, наведених в табл.2.4, іпотечні кредити від ПАТ «Кредит Європа банк» займають позицію «дорогих» кредитів при еквівалентній ставці 28,4% річних, що значно вище 20,2% річних, які пропонує «БТА-банк».
Таблиця 2.6
Конкурентна оцінка пропозиції іпотечного кредитування придбання житла ПАТ «Кредит Європа банк» на ринку м.Києва станом на 16.11.2009 [82]
|
№ |
Комерційний банк |
Програма |
Еф. ставка, % |
Ставка, % |
Комісія |
Перший внесок |
|
|
разова |
Що-міс. |
||||||
|
1 |
БТА Банк |
На покупку жилої нерухомості |
20,19 |
16,50 |
2,00% |
- |
від 50,00% |
|
2 |
Фольксбанк (Електрон Банк) |
Іпотека |
25,66 |
21,99 |
1,99% |
- |
від 40,00% |
|
3 |
Universal Bank |
На покупку нерухомості під заставу житла (плаваюча ставка) |
25,80 |
23,95 |
1,00% |
- |
від 30,00% |
|
4 |
Universal Bank |
На покупку нерухо-мості під заставу житла, що придбава-ється (фіксована став-ка) |
27,80 |
25,95 |
1,00% |
- |
від 30,00% |
|
5 |
ИНДЭКС-БАНК |
На покупку нерухо-мості під заставу житла, що придбава-ється |
27,85 |
26,00 |
1,00% |
- |
від 50,00% |
|
6 |
БМ Банк |
На покупку нерухомості (вторинний) |
27,85 |
26,00 |
1,00% |
- |
від 50,00% |
|
7 |
Кредит Європа Банк |
Іпотечний кредит |
28,44 |
24,75 |
2,00% |
- |
від 50,00% |
|
8 |
Кредобанк |
На покупку нерухомості |
32,02 |
26,50 |
2,99% |
- |
від 50,00% |
|
9 |
Укрсоцбанк |
на покупку нерухомості на вторинному ринку |
32,09 |
29,71 |
1,29% |
- |
від 40,00% |
|
10 |
Форум |
Іпотека |
32,19 |
28,50 |
2,00% |
- |
від 50,00% |
2.3 Аналіз впливу світової фінансової кризи 2008 - 2009 років на динаміку розвитку споживчого кредитування в банку ПАТ „Кредит Європа Банк”
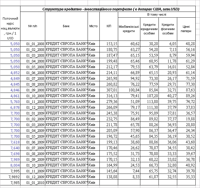
Динаміка обсягів та структури кредитно-інвестиційного портфелю банку ПАТ „Кредит Європа банк”, приведеного в аналізі до валютного (доларового) еквіваленту для ліквідування фактору впливу девальвації національної валюти у 2008 - 2009 року, показує (рис.2.2):

Рис.2.2. Динаміка валютних еквівалентів обсягів основних складових кредитно – інвестиційного портфелю ПАТ „Кредит Європа банк” у 2007 – 2009 роках (Систематизовано та побудовано автором самостійно)
1. На передкризовому інтервалі часу ( з 1 січня 2008 року до 1 жовтня 2008 року):
- обсяги валютного еквіваленту міжбанківських кредитів зросли з рівня 60,6 млн.USD до рівня 100,8 млн.USD, тобто на +66,3%;
- обсяги валютного еквіваленту кредитів юридичним особам зросли з рівня 38,2 млн.USD до рівня 113,8 млн.USD, тобто на +197,9%;
- обсяги валютного еквіваленту кредитів фізичним особам зросли з рівня 6,05 млн.USD до рівня 40,27 млн.USD, тобто на +565,5%;
- обсяги валютного еквіваленту коштів, вкладених в цінні папери, зросли з рівня 48,3 млн.USD до рівня 89,3 млн.USD, тобто на +184,9%;
Таким чином, динаміка росту споживчого кредитування фізичних осіб в банку у передкризовий період в 2,5 рази перевищувала темп росту кредитування юридичних осіб. Причина полягає в виявленому вище фактичному рівню ризику споживчого кредитування фізичних осіб на рівні 8% при загальному рівні резервування кредитного портфелю банку 17,7%, тобто рівень ризику споживчого кредитування фізичних осіб в ПАТ КБ „Кредит Європа банк” є нижчим за ризик кредитування юридичних осіб.
2. На кризовому інтервалі часу ( з 1 жовтня 2008 року до 1 вересня 2009 року) обсяг КІП зменшився з 316,1 млн. USD до 170,1 млн.USD ( на – 46,1%):
- обсяги валютного еквіваленту міжбанківських кредитів зменшились з рівня 100,8 млн.USD до рівня 32,13 млн.USD, тобто на -68,0%;
- обсяги валютного еквіваленту кредитів юридичним особам зменшились з рівня 113,8 млн.USD до рівня 68,2 млн.USD, тобто на -40,0%;
- обсяги валютного еквіваленту кредитів фізичним особам зменшились з рівня 40,27 млн.USD до рівня 33,0 млн.USD, тобто на -18,0%;
- обсяги валютного еквіваленту коштів, вкладених в цінні папери, зменшились з рівня 89,3 млн.USD до рівня 36,8 млн.USD, тобто на -58,8%;
Таким чином, динаміка падіння обсягів споживчого кредитування фізичних осіб в банку у кризовий період в 2,0 рази менше темпа падіння обсягів кредитування юридичних осіб, оскільки світова фінансова криза на Україні привела до кризи в промисловості, але потреби фізичних осіб у споживчому кредитуванні не зменшились. В той же час, ризикованість споживчого кредитування в умовах зниження обсягів джерел доходів населення при падінні ВВП України у 2009 році на – 34% значно зросла і потребує спеціальних методів ризикованого кредитування.
В Додатку Ж наведений перелік послуг споживчого кредитування в ПАТ КБ „Кредит Європа Банк” станом на 01.12.2009. Враховуючи різке зниження платоспроможності фізичних осіб в умовах розвитку кризи в банківській системі України, банк залишив тільки 2 найменш ризикованих виду споживчого кредитування:
- безготівкове іпотечно-заставне кредитування тільки в національній валюті на вторинному ринку нерухомості (тільки для об’єктів житла, які вже побудовані та експлуатуються) при власному внеску позичальника не менше 50% та на строк не більше 5 років;
- безготівкове заставне кредитування в національній валюті та доларах США придбання нових автомобілей іноземної зборки на суму не більше 75 тис.доларів при власному внеску позичальника не менше 30-50% строком не більше 4-х років.
В табл. М.1 Додатку М наведені дані по структурі та показникам ризикованості портфелю споживчих кредитів населенню в ПАТ «Кредит Європа Банк» на кінець 2008 року (передкризовий стан), на графіках рис.М.1 Додатку М наведене графічне представлення динаміки структури портфелю споживчого кредитування станом на 01.07.2007 року та станом на 01.01.2009 року.
Спільний аналіз даних, наведених в табл.М.1 та на графіках рис.М.1 Додатку М, показує, що станом на 01.01.2009 ПАТ «Кредит Европа Банк»:
- 50,7% обсягу портфелю – це автокредитування під заставу застрахованих автомобілів. В цьому сегменті низький рівень простроченості – 18,2% та середній строк повернення кредитів – 5,8 років;
- в сегменті «легкий кредит» (нецільовий, незабезпечений) обсяг виданих кредитів за стабілізувався на рівні 5,5 – 5,8 млн.грн., а рівень простроченості кредитів досяг 39,5%, що спонукало банк створити резерви на зменшення кредитного ризику в цьому сегменті на рівні 46,7%, а у листопаді 2009 зовсім згорнути програму видачі цих типів кредитів, оскільки строк їх повернення становить 2,5 роки, а тримання такого високого рівня резервів значно знижує рентабельність доходів банку у цьому сегменті.
Тимчасово всі програми беззаставного нецільового споживчого кредитування фізичних осіб в готівковій та безготівковій валютах банком згорнуті, оскільки проведений аналіз джерел кредитних коштів показав, що на 96% джерельна база сформована за рахунок надання материнським банком міжбанківського валютного кредиту на суму еквіваленту 922 млн.грн., а його переведення у національну валюту чи видача у валюті позичальникам, які не мають доходів у валюті, – на період кризи недоцільна та дуже ризикована.
Для повернення прострочених та проблемних споживчих кредитів ПАТ КБ „Кредит Європа Банк”, використовує прийнятий у 2009 році ряд законодавчих документів в зв’язку з необхідністю формування комерційними банками підвищених обсягів резервів на подолання кредитних ризиків:
1. Закон України „Про внесення змін до деяких законів України з метою подолання негативних наслідків фінансової кризи” від 23 червня 2009 року N 1533-VI [33],
2. Постанову НБУ від 22 липня 2009 року N 421 „Про окремі питання щодо діяльності банків в період фінансово-економічної кризи” [60], якими прийняті наступні заходи по корегуванню законодавчої бази:
- до складу валових витрат включається 80 відсотків (для банків на період до 1 січня 2011 року - 100 відсотків) сукупного розміру страхового резерву, сформованого банком або небанківською фінансовою установою (раніше було 25%);
- надано право комерційним банкам проводити термін до 31 грудня 2010 року реструктуризацію заборгованості за кредитами позичальників - фізосіб;
- не застосовуються до банків заходи впливу в разі наявності в банку збитків, які спричинені формуванням резервів для відшкодування можливих втрат за кредитними операціями;
При реструктуризації прострочених споживчих кредитів ПАТ „Кредит Європа банк” застосовує зовнішнє страхування позичальниками кредитних ризиків як захід зменшення внутрішніх резервів банків на кредитні ризики.
РОЗДІЛ 3. ШЛЯХИ АКТИВІЗАЦІЇ СПОЖИВЧОГО КРЕДИТУВАННЯ В УКРАЇНІ
3.1 Використання зарубіжного досвіду споживчого кредитування фінансовими установами в Україні
У більшості країн світу кредитори (банки, фінансові компанії, компанії-емітенти кредитних карт, інвестиційні компанії, торгові компанії, що надають комерційні кредити) на постійній основі обмінюються інформацією про платоспроможність позичальників через кредитне Агентство (бюро). Необхідність цього доведена в численних роботах економістів, що досліджували проблему асиметричності інформації в сфері фінансового посередництва [9].
Асиметричність інформації (asymmetric information) визначається в економічній літературі як недостатність відомостей про партнера, доступних при укладенні наприклад кредитної угоди, що призводить до неефективного розподілу кредитних ресурсів. Так, кредитор звичайно не в змозі оцінити майбутні прибутки і ризики, пов'язані з інвестиційними проектами, для здійснення яких позичальник бере позику, тому банк встановлює однакові процентні ставки по кредитах для всіх, що породжує проблему "несприятливого вибору" (adverse selection).
Крім того, кредитори можуть бути нездібними контролювати дії позичальників після отримання позики. Позичальник може зайнятися видами діяльності, що збільшують ризик неплатоспроможності або прагнути укрити прибутки від своїх інвестицій, щоб не платити по боргах. Слідством цього стає зниження обсягів і встановлення високих процентних ставок кредитування. Це явище в науковій літературі отримало назву "несумлінної поведінки" (moral hazard).
В умовах асиметричності інформації кращим позичальникам доводиться платити підвищену премію за ризик, а гірші, платять занижену. Оскільки прагнення ненадійних позичальників отримати кредит вище, ніж платоспроможних, знижується ефективність розподілу кредитних ресурсів. У результаті частина потенційно надійних і прибуткових проектів не реалізовується.
Світовий досвід показує, що вирішити ці проблеми можливо тільки за допомогою кредитного Агентства (бюро), створеного для обміну інформацією про позичальників між кредиторами. При цьому досягається троякого роду результат [18].
По-перше, кредитне Агентство (бюро) підвищує рівень відомостей банків про потенційних позичальників і дає можливість більш точного прогнозування повернення позик. Це дозволяє кредиторам ефективно визначати напрям і ціну позики, зменшуючи ризик виникнення проблеми несприятливого вибору.
По-друге, наявність кредитних Агентств (бюро) дозволяє зменшити плату за пошук інформації, яку стягували б банки зі своїх клієнтів. Це веде до вирівнювання інформаційного поля всередині кредитного ринку і примушує кредиторів встановлювати конкурентні ціни на кредитні ресурси. Більш низькі процентні ставки збільшують чистий прибуток позичальників і стимулюють їх діяльність.
По-третє, кредитне Агентство (бюро) формує свого роду дисциплінуючий механізм для позичальників. Кожний знає, що у разі невиконання зобов'язань його репутація в очах потенційних кредиторів упаде, відрізаючи його від позикових коштів або роблячи їх набагато дорожче. Цей механізм також підвищує стимул позичальника до повернення кредиту, зменшуючи ризик несумлінної поведінки.
Кредитні Агентства (бюро) виступають як інформаційні посередники, засновані самими кредиторами, або створені та діючі незалежно і одержуючі прибуток від своєї діяльності. Кредитори забезпечують Агентство (бюро) даними про своїх клієнтів. Агентства (бюро) порівнюють їх з інформацією, отриманою з інших джерел (суди, державні реєстраційні, податкові органи, тощо) і формують картотеку на кожного позичальника. Кредитори при умові регулярності і достовірності надання інформації про своїх клієнтів можуть постійно отримувати з Агентства (бюро) звіти про кредитні операції потенційних позичальників. Кредитне Агентство (бюро) надає різного роду звіти про кредитні операції в залежності від наявності інформації про потенційного позичальника, вигляду кредиту, що надається і, що найбільш важливо, від міри деталізації, необхідної кредитору. Самий простий звіт містить інформацію про минулі неповернуті та прострочені кредити - так звані "чорні" ("black") або "негативні" ("negative") дані. Самі детальні звіти - "білі" ("white") або "позитивні" ("positi-ve") містять увесь комплекс інформації про активи та пасиви позичальника, гарантії, структуру заборгованості по термінах та часу погашення, його зайнятості та історії його сім'ї.
Найбільш розвинене кредитне Агентство складає кредитні рейтинги позичальників, спираючись на їх характеристиках і кредитній історії, а також використовують дані для складання статистичних моделей, сприяючих просуванню фінансових інструментів, визначенню вартості кредиту, встановленню і регулюванню кредитних лімітів.
Сьогодні кредитні Агентства (бюро) в тій або іншій організаційній формі діють практично у всьому світі. Більшість країн прийшла до висновку, що ефективний розвиток економіки неможливий без інформаційної відвертості і прозорості. З'ясувалося, що обмін інформацією стимулює зростання банківських кредитів відносно до ВВП приблизно на 20%. Крім того, значно знижується рівень кредитного ризику і, відповідно, зменшується частка резервів на можливі втрати за кредитами у загальних обсягах кредитування. Таким чином, збільшення міри доступності інформації у сфері фінансового посередництва позитивно позначається на ефективності кредитування, і як наслідок на зростанні валового внутрішнього продукту і продуктивності праці.
Світовий досвід демонструє різноманіття форм організації кредитного Агентства (бюро). При цьому кількість та форми власності кредитних Агентств (бюро) може бути різною в кожній країні. Так, в ряді країн, таких як США, Бразілія, Аргентина більшість кредитних Агентств (бюро) є приватними підприємствами, функціонуючими з метою отримання прибутку від надання інформаційних послуг. Крім того, в цих країнах діють і декілька місцевих кредитних Агентств (бюро), створених торговими палатами і асоціаціями як некомерційні організації.
У Японії і більшості європейських країн, як правило, кредитне Агентство (бюро) створюється в формі приватних компаній, належних консорціуму кредиторів. На території Великобританії діють два кредитних Агентства (бюро) абсолютно самостійні і незалежні від кредиторів. У Фінляндії та Бельгії кредитні Агентства (бюро) управляються або ліцензуються урядовими установами.
Діюче в Німеччині кредитне Агентство (бюро) являє собою об'єднання восьми регіональних, у правовому і економічному відношенні самостійних товариств - Товариство Захисту у справах Загального забезпечення Кредитів (SCHUFA). Їх власниками і одночасно партнерами є комерційні банки, ощадні каси, кооперативні банки, фірми, що пропонують кредитні карти, будівельно-ощадні і іпотечні банки, лізингові суспільства, а також підприємства роздрібної торгівлі і будинку посилочної торгівлі, надаючі фізичним особам грошові або товарні кредити споживчого характеру.
Крім SCHUFA в Німеччині існує цілий ряд дрібних незалежних установ, що являють собою спеціалізовані довідкові Агентства (бюро).
У Канаді діє розгалужена система дрібних місцевих кредитних Агентств (бюро), що знаходяться у приватній власності та безпосередньо працюючих з споживачами послуг по перевірці кредитоспроможності (як правило, компаніями, що роблять кредитні послуги, здають у оренду житло або приміщення для офісів, тощо). Конкурентами їм є великі приватні корпорації, які працюють у сфері надання послуг по перевірці кредитоспроможності. Інформація про фінансове положення приватних осіб та організацій надходить у інформаційну мережу системи місцевих кредитних Агентств (бюро) приблизно від 250 компаній, які, в свою чергу, є її активними користувачами. У їх числі банки, кредитні союзи, телефонні, лізингові компанії, великі універсами, оптові постачальники, тощо. На місцевому рівні збирається інформація щодо заборгованості за податками, грошовими позовами та інш. Зареєстрований в місцевому кредитному Агентстві (бюро) користувач має можливість за допомогою виданих йому комп'ютерних кодів і пароля практично вмить отримати необхідну йому інформацію.
Бази даних кредитних Агентств (бюро) у найбільш розвинених країнах формуються, як правило, протягом вже декількох десятків років. А в ряді країн - США, Канаді, Фінляндії, ПАР- кредитні Агентства (бюро) почали свою діяльність ще в кінці 19 - початку 20 століття. У деяких країнах, наприклад в Італії, приватні кредитні Агентства (бюро) - досить нове явище, проте швидко розвивається та набуває все більшого значення. У ряді латиноамериканських і азіатських країн кредитне Агентство (бюро) перебуває в стадії становлення, акумулюючи невеликий обсяги в основному негативній інформації, однак це лише перші їх кроки на шляху до відкритої економіки.
Обсяги інформації, якою обмінюються кредитори за допомогою мережі кредитного Агентства (бюро), досить великий. Так в США, Бельгії, Бразилії, Великобританії, Японії, Німеччині, кількість звітів, що надаються перевищує чисельність населення.
У сфері надання інформаційних послуг, незважаючи на множинність кредитних Агентств (бюро), проте, має місце велика ступінь концентрації капіталу. Так, в США, Великобританії і Японії домінуючу роль грають дві-три великих кредитних Агентства (бюро), що надають увесь комплекс інформації. У деяких країнах функціонує тільки одне таке універсальне кредитне Агентство (бюро) (Австралія, Німеччина, Аргентина, Бразилія, Фінляндія і Ірландія), інші ж в основному займають дрібні ніші, надаючи окремі види інформації.
Це пояснюється тим, що більш велика компанія здатна сконцентрувати в своїй базі даних максимальний обсяг достовірної і повної інформації, а також використати в своїй діяльності найбільш передові інформаційні технології.
На початку 1990 років почався процес розширення поля діяльності кредитних Агентств (бюро) на міжнародний рівень. Найбільші представники цього бізнесу поставили за мету перерости в транснаціональні компанії. Першим їх кроком на цьому шляху стало встановлення контролю або придбання національних кредитних Агентств (бюро) у ряді країн Латинської Америки, Європи і Азії. Найбільшим та найстарішим у світі є кредитне агентство "Дан енд Бред-стрит" (Dan & Bradsteet) , база даних якого на сьогодні акумулює дані більш як 48 млн. компаній, 10 млн. з яких знаходяться у США. У багатьох країнах на шляху розвитку кредитних Агентств (бюро) стояла проблема захисту приватної інформації щодо потенційних позичальників. Тому на сьогоднішній день діяльність кредитного Агентства (бюро) практично у всіх країнах будується таким чином, щоб вона не порушувала особистих прав і свобод громадян. Законом визначений цілий ряд гарантій, таких як обмеження на доступ до даних, заборона на надання "білої" інформації (наприклад, в Фінляндії і Австрії), обов'язкове виключення індивідуальних даних через певний проміжок часу (7 років у США, 5 у Австралії), заборона на збір детальної особистої інформації такої як расова, релігійна приналежність, політичні погляди, тощо, право доступу, перевірки і виправлення інформації самим позичальником.
Так, у США діяльність кредитного Агентства (бюро) регулюється законом про достовірну оцінку кредитоспроможності, прийнятим в 1971 році. Згідно з цим законом, довідка про кредитоспроможність не повинна містити інформації про банкрутства, які відбулися більше як 14 років тому, про стягнення за рахунками більш ніж 7-літньої давності, про зроблені більш 7 років тому арешти майна у зв'язку з несплатою податків, про позови і судові рішення більш ніж 7-літньої давності, про випадки арешту, пред'явлення звинувачення або засудження більш ніж 7-літньої давності, іншу негативну інформацію більш ніж 7-літньої давності. Крім того, визначаються цілі надання інформації. При цьому закон дозволяє примусити Агентство (бюро) виправити будь-які невірні відомості щодо позичальника.
Діяльність німецького SCHUFA також повинна знаходитися в рамках, позначених спеціальним законом про захист даних і не порушувати банківську таємницю. У зв'язку з цим, банки перед подачею в SCHUFA інформації про фізичних осіб і їх заборгованість повинні отримати згоду зацікавлених осіб. Банки вирішують цю проблему таким чином, що при відкритті особового рахунку і наданні кредитів або гарантій вимагають від фізичних осіб підписання спеціальної угоди, яке вповноважує банк передавати інформацію про клієнтів, що мають розрахункові рахунки і що користуються споживчими кредитами. SCHUFA не збирає інформацію про дітей, прибутки, місце роботи і майновий стан фізичних осіб. При цьому позичальник володіє правом контролю над інформацією про себе.
Крім або замість приватних кредитних Агентство (бюро) у багатьох країнах існує інститут державної реєстрації кредитів - Public credit registers (PCR). Ця організація історично створювалася для реєстрації операцій іпотечного кредитування і заставних під нерухомість. Однак на сьогодні цей інститут виконує в ряді країн функції кредитного Агентства (бюро).
Основна відмінність PCR від кредитних Агентств (бюро) полягає в тому, що надання інформації в базу даних є обов'язковим і не визначаться ніякою угодою, а встановлено відповідним правилом (крім Фінляндії і Шри-Ланки, де участь є добровільною). При цьому вся інформація є стандартизованою (наприклад, кредити вище встановленого рівня, видані за визначений тимчасової інтервал) і містить в основному дані про кредит, а не про самого позичальника.
PCR в більшості країн керуються центральними банками. Так, у Франції, де немає приватного кредитного Агентства (бюро) функціонує "Центральне Агентство ризиків" при Банку Франції, куди всі кредитні організації зобов'язані надавати інформацію про позичальників і видані їм кредити понад двохсот тисяч франків. Центральне Агентство ризиків обробляє поступаючі дані і видає кожному з банків зведення про загальну суму кредитів, які отримали їх клієнти, в тому числі і в інших кредитних організаціях.
Створення в Україні надійної системи ідентифікації ділової та фінансової репутації компаній та приватних позичальників є однією з фундаментальних умов подальшого розвитку ринків кредитів та інвестицій, особливо в сфері кредитування малого та середнього бізнесу, іпотечного та споживчого кредитування.
З метою зниження кредитних ризиків, підвищення надійності роботи банківської системи НБУ в 2001 році створив “Єдину інформаційну систему обліку позичальників (боржників), які мають прострочену заборгованість за кредитами” – ЄІС “Реєстр позичальників” [69].
Створення Реєстру вирішило частину проблеми доступу до інформації щодо позичальників – банки отримали можливість ознайомитись з негативною інформацію про позичальника. Разом з тим це не надало можливості відслідковувати поведінку боржника на ринку за деякий період, і за межами Реєстру залишилась інформація щодо добросовісного позичальника.
Над вивченням міжнародного досвіду роботи кредитних бюро у 2002 – 2005 роках працювали Національний банк України, Асоціація українських банків, Центр “Економіка і право” АУБ, Українська Міжбанківська Асоціація Членів Europay International (EMA), Центр комерційного права. За підтримки Світового банку, USAID, фахівцями НБУ, Асоціацій – АУБ та ЕМА, Центру комерційного права були проведені (із залученням іноземних консультантів-представників кредитних бюро: Великобританії, США, Ісландії, Канади, Кіпру, Польщі тощо) конференції та семінари з питань перспектив впровадження в Україні Інституту кредитних бюро.
Ця робота надала можливість розробити та затвердити у 2005 році Закон України “Про організацію обігу та формування кредитних історій” [30], який вступив в дію з 1 лютого 2006 року та в якому враховується міжнародний досвід діяльності кредитних бюро, визначені правові та організаційні засади формування і ведення кредитних історій, права суб'єктів кредитних історій та користувачів бюро кредитних історій, вимоги до захисту інформації, що складає кредитну історію, порядок утворення, діяльності та ліквідації бюро кредитних історій.
Згідно зазначеного закону [30] впроваджені наступні терміни:
- бюро кредитних історій (далі - Бюро) - юридична особа, виключною діяльністю якої є збір, зберігання, використання інформації, яка складає кредитну історію;
- ведення кредитної історії - діяльність Бюро із збирання, оброблення, зберігання, захисту, використання інформації, яка складає кредитну історію;
кредитна історія - це сукупність інформації про юридичну або фізичну особу, що її ідентифікує, відомостей про виконання нею зобов'язань за кредитними правочинами, іншої відкритої інформації відповідно до Закону;
- користувач Бюро (далі - Користувач) - юридична або фізична особа - суб'єкт господарської діяльності, яка укладає кредитні правочини та відповідно до Договору надає і має право отримувати інформацію, що складає кредитну історію;
- суб'єкт кредитної історії - будь-яка юридична або фізична особа, яка уклала кредитний правочин та щодо якої формується кредитна історія;
Принципами формування та доступу до інформації, яка складає кредитну історію, є:
- забезпечення конституційних прав і свобод суб'єктів кредитних історій;
- адекватність обсягів інформації цілям, для яких вони збираються;
- значимість, всебічність, об'єктивність, повнота і достовірність інформації;
- регулярність та безперервність надходження інформації;
- цільове використання інформації;
- строковість зберігання інформації;
- конфіденційність інформації та її захист;
- збір і надання інформації, що складає кредитну історію, виключно за згодою суб'єкта цієї кредитної історії;
- незалежність Бюро.
Джерелами формування кредитних історій є:
- відомості, що надаються Користувачем до Бюро за письмовою згодою суб'єкта кредитної історії відповідно до цього Закону;
- відомості державних реєстрів, інформація з інших баз даних публічного користування, відкритих для загального користування джерел за винятком відомостей (інформації), що становлять державну таємницю.
Бюро має право отримувати відомості та інформацію на договірних засадах. Органи або уповноважені особи (держателі, адміністратори державних реєстрів тощо) зобов'язані на запит Бюро надавати відомості з державних реєстрів в електронному вигляді (у форматі бази даних) у разі наявності письмової згоди суб'єктів інформації.
Користувачами Бюро можуть бути банки, небанківські фінансові установи та інші суб'єкти господарської діяльності, які надають послуги з відстроченням платежу або надають майно в кредит.
Кредитна історія містить таку інформацію:
1) відомості, що ідентифікують особу:
а) для фізичних осіб:
- прізвище, ім'я та по батькові;
- дата народження;
- паспортні дані;
- місце проживання;
- ідентифікаційний номер згідно з Державним реєстром фізичних осіб - платників податків та інших обов'язкових платежів (у разі наявності) (далі - ідентифікаційний номер);
- відомості про поточну трудову діяльність;
- сімейний стан особи та кількість осіб, які перебувають на її утриманні;
- дата і номер державної реєстрації, відомості про орган державної реєстрації та основний предмет господарської діяльності фізичної особи - суб'єкта підприємницької діяльності;
б) для юридичних осіб:
- повне найменування;
- місцезнаходження;
- дата і номер державної реєстрації, відомості про орган державної реєстрації;
- ідентифікаційний код у Єдиному державному реєстрі підприємств та організацій України (далі - ідентифікаційний код);
- прізвище, ім'я та по батькові, паспортні дані керівника і головного бухгалтера;
- основний вид господарської діяльності;
- відомості, що ідентифікують власників, які володіють 10 і більше відсотками статутного капіталу юридичної особи:
- для фізичних осіб - власників: прізвище, ім'я та по батькові, паспортні дані, ідентифікаційний номер і місце проживання;
- для юридичних осіб - власників: повне найменування, місцезнаходження, дата і номер державної реєстрації, відомості про орган державної реєстрації, ідентифікаційний код;
2) відомості про грошове зобов'язання суб'єкта кредитної історії:
а) відомості про кредитний правочин та зміни до нього (номер і дата укладання правочину, сторони, вид правочину);
б) сума зобов'язання за укладеним кредитним правочином;
в) вид валюти зобов'язання;
г) строк і порядок виконання кредитного правочину;
ґ) відомості про розмір погашеної суми та остаточну суму зобов'язання за кредитним правочином;
д) дата виникнення прострочення зобов'язання за кредитним правочином, його розмір і стадія погашення;
е) відомості про припинення кредитного правочину та спосіб його припинення (у тому числі за згодою сторін, у судовому порядку, гарантом тощо);
є) відомості про визнання кредитного правочину недійсним і підстави такого визнання;
3) інформацію про суб'єкта кредитної історії, яка складається із сукупності документованої інформації про особу з державних реєстрів, інших баз даних публічного користування, відкритих для загального користування джерел:
а) наявність заборгованості за податками та обов'язковими платежами;
б) рішення судів, що стосуються виникнення, виконання та припинення зобов'язань за укладеним кредитним правочином;
в) рішення судів та органів виконавчої влади, що стосуються майнового стану суб'єкта кредитної історії;
г) інші відомості, що впливають на спроможність виконання суб'єктом кредитної історії власних зобов'язань;
4) відомості про операції з інформацією, яка складає кредитну історію:
а) дата оновлення кредитної історії;
б) найменування Користувача, який надав інформацію до кредитної історії, у разі його згоди на це;
в) коментар суб'єкта кредитної історії у випадках, передбачених цим Законом.
Інформація для формування кредитної історії надається Користувачем до Бюро лише в разі наявності письмової згоди юридичної або фізичної особи, яка уклала кредитний правочин з Користувачем.
Користувач у разі укладення кредитного правочину та отримання письмової згоди суб'єкта кредитної історії на збір, зберігання, використання та поширення через Бюро інформації щодо нього надає до Бюро інформацію:
1) про себе, що ідентифікує його як Користувача;
2) про суб'єкта кредитної історії.
Користувач зобов'язаний повідомити суб'єкта кредитної історії про назву та адресу Бюро, до якого передаватиме інформацію для формування його кредитної історії.
Бюро надають інформацію з кредитних історій у формі кредитних звітів. Кредитні звіти містять усю інформацію з кредитної історії, якщо інші обсяги інформації не передбачені Положенням Бюро або Договором.
Користувачі мають право звернутися до Бюро за отриманням кредитних звітів упродовж дії укладеного правочину між ним та суб'єктом кредитної історії, а також за наявності у Користувача письмової згоди суб'єкта кредитної історії на доступ до його кредитної історії.
Користувачі мають право звернутися до Бюро за отриманням кредитних звітів у разі звернення суб'єкта кредитної історії до них з метою укладення кредитного правочину, а також надання Користувачу письмової згоди на доступ до його кредитної історії.
Суб'єкт кредитної історії має право ознайомитися з інформацією, що міститься у його кредитній історії, а саме:
1) кредитним звітом;
2) інформацією з реєстру запитів.
Бюро створюється у формі господарського товариства, cтатутний капітал Бюро формується виключно за рахунок грошових коштів засновників Бюро і має бути не менше п'яти мільйонів гривень. У назві Бюро обов'язково зазначаються слова "бюро кредитних історій". Предметом діяльності Бюро є виключно ведення кредитних історій, а також здійснення іншої діяльності, що має на меті реалізацію положень цього Закону. Бюро починає здійснення своєї діяльності з моменту отримання ліцензії.
На сьогоднішній день в Україні зареєстровані та розпочали своє функціонування перших 3 бюро кредитних історій, що повинно суттєво знизити ризики технологій масового споживчого кредитування населення:
1. ТОВ “Українське бюро кредитних історій” (засновники ЗАТ КБ “ПриватБанк” і іноземна компанія BigOptima Limited). Державна реєстрація ТОВ “Українське бюро кредитних історій” датована 6 червня 2005 року [21].
На сьогоднішній день ТОВ “Українське бюро кредитних історій” є єдиним реально діючим та може надати доступ до більш ніж 10 000 000 кредитних історій як фізичних, так юридичних осіб, що складає близько 40 % усього працездатного населення України.
2. Перше всеукраїнське бюро кредитних історій (засновники Асоціація українських банків, 30 банків і дві страхові компанії) [22].
3. Національне бюро кредитних історій — вже третє кредитне бюро в Україні [22]. Його засновники — Національна асоціація кредитних спілок України, міжнародна холдингова компанія Creditinfo Group, що спеціалізується на системах та інструментах кредитного менеджменту, а також інвестиційно-фінансова група «ТАС».
Підвищення прибутковості кредитних операцій безпосередньо зв'язано з якістю оцінки кредитного ризику. У залежності від класифікації клієнта по групах ризику банк приймає рішення, чи варто видавати кредит чи ні, який ліміт кредитування і відсотки варто встановлювати.
У світовій практиці існує два основних методи оцінки ризику кредитування, що можуть застосовуватися як окремо, так і в сполученні з один одним [43]:
- суб’єктивний висновок експертів або кредитних інспекторів;
- автоматизовані системи скоринга.
Фінансовий скоринг – новий термін в практиці роботи комерційних банків України з споживчими кредитами населенню. Агресивні маркетингові проекти по залученню нових клієнтів і необхідність швидко на них реагувати привели до росту автоматизації процесу експертизи і надання кредитів і страховок.
Ключовим поняттям нової технології роботи кредитного ризик-менеджера є скоринг та скорингові таблиці [49].
Система скоринга для оцінки кредитоспроможності - це, насамперед, той або інший вид математичної моделі, що дозволяє ставити конкретному потенційному позичальникові, кожний з яких описується рядом параметрів, у відповідність деяку величину, що оцінює кредитну якість позичальника [2].
Скоринг є одним з найбільш успішних прикладів використання математичних і статистичних методів у бізнесі, що у даний час широко застосовуються у всіх економічно розвитих країнах. Скоринг використовується головним чином при кредитуванні фізичних осіб, особливо в споживчому кредиті при незабезпечених позичках, та являє собою математичну або статистичну модель, за допомогою якої на основі кредитної історії «минулих» клієнтів банк намагається визначити, наскільки велика імовірність, що конкретний потенційний позичальник поверне кредит у визначений термін.
3.2 Нові форми організації споживчого кредитування на ринку України
При дослідженні нових форм організації споживчого кредитування на ринку України в дипломній роботі досліджена діяльність наступних небанківських фінансових установ:
- ФКСК “Простофінанс” фінансової групи “Societe Generale” (Франція);
- ФКСК “VAB Express”(ТМ Швидкокредит) фінансової групи VABGROUP (Україна);
- Кредитні спілки на ринку споживчого кредитування;
- Ломбарди на ринку споживчого мікрокредитування.
Фінансова Компанія «ПростоФінанс» є дочірнім підприємством французької банківської Групи Societe Generale, однієї з найбільших фінансових груп в єврозоні, яка на сьогоднішній день є одним з провідних гравців ринку споживчого кредитування в країнах Східної Європи [83].
Компанія представлена в межах України 29 регіональними представництвами. Загальна кількість співробітників Компанії перевищує 2200 спеціалістів. Торгова мережа «ПростоФінанс» станом на 01.01.2009 нараховує більше 1100 точок продажів в магазинах та близько 200 — в автосалонах. Більш ніж 350 000 клієнтів успішно користуються послугами Компанії «ПростоФінанс».
Доступ до світових фінансових ресурсів завдяки Группі Societe Generale дозволяє Компанії «ПростоФінанс» створювати сервіс найвищої якості та надавати кредити з найбільш гнучкими та фінансово вигідними для клієнта ставками. Використання найбільш сучасних IT-технологій дозволяє Компанії «ПростоФі-нанс» підвищувати рівень та якість обслуговування клієнтів, максимально скорочувати час для найбільш швидкого прийняття рішення по кредиту.
«ПростоФінанс» надає кредити в розмірі від 250 до 30 000 гривень строком від 3 до 24 місяців. Річна відсоткова ставка по кредиту становить 5-8%, додаткова щомісячна комісія – 1,75 – 3,0%. Умови надання споживчих кредитів у 2007 році наведені у табл.Г.1 Додатку Г, умови надання кредитів станом на 01.12.2009 року після 1 року розвитку фінансової кризи в банківській системі наведені в табл.Г.2 Додатку Г [83].
ФКСК “VAB Express”(ТМ Швидкокредит) фінансової групи VABGROUP (Україна) входить до складу першої універсальної фінансової групи VAB Group, яка об'єднує активи 9 фінансових компаній, що працюють в усіх сегментах фінансового ринку [85].
Компанія спеціалізується на наданні послуг споживчого кредитування.
ТОВ VAB Експрес планує вихід у всі області і регіони України, не обмежуючись великими містами. Компанія використовує унікальні західні технології кредитування, що дає клієнтам ряд переваг: швидке рішення про видачу кредиту, єдина відсоткова ставка на весь термін кредиту, спрощена система підтвердження доходу клієнта, кредити на будь-який термін без подорожчання, прозора система нарахування відсоткової ставки, миттєве отримання товару.
Частина мережі продажів VAB Експрес складається з традиційних точок, половина з них працює за технологією «no people technologies» — кредити пропонують не співробітники компанії, а самі продавці магазинів. VAB Експрес застосовує скорингові технології, що не допустять зростання неповернених кредитів більше 9% портфелю, а VAB Банк для вирішення цього питання створить колек-торну компанію [85].
В основі роботи VAB Експрес — стратегія лідерства на ринку споживчого кредитування. Мета компанії — вже до кінця 2008 року увійти до трійки лідерів споживчого кредитування вітчизняного ринку, не дивлячись на світову фінансову кризу у 2009 році здійснена.
Таким чином, еквівалентна річна ставка з врахуванням обов’язкового страхування життя в ФКСК “VAB Express” складає (при 0% авансу) 36% річних
Тобто, при порівнянні досліджених умов споживчого кредитування в ФКСК „Простофінанс” та ФКСК „ VAB Express (Швидкокредит)” у 2009 році еквівалентна річна ставка кредиту в ФКСК „Простофінанс” на 4-5% вище (0% авансу), ніж в ФКСК „VAB Express (Швидкокредит)”, але максимальна сума кредиту в ФКСК „Простофінанс” становить 30 000 грн., проти 5 000 грн. в „Швидкокредит”.
На кінець ІІ кварталу 2009 року до Державного реєстру фінансових установ було внесено інформацію про 875 небанківських кредитних установ, у тому числі про 821 кредитну спілку, 25 інших кредитних установ та 29 юридичних осіб публічного права [53], [87].
Станом на 01.01.09 до Держреєстру внесено інформацію про 314 ломбардів. Основним видом діяльності ломбардів як учасників ринку фінансових послуг є надання миттєвих та короткострокових позик на власний ризик під заставу майна споживачів цих послуг. Надаючи короткострокові готівкові кредити, ломбарди тим самим задовольняють нагальні потреби населення в грошах на певний термін, сприяючи підвищенню платоспроможності позикоодержувачів.
Кредитні спілки та банки значно посилили конкуренцію з ломбардами, запровадивши системи швидких споживчих кредитів. Але ломбарди все ще мають переваги над кредитними спілками та банками, які полягають у швидкості надання позик та простоті процедури оформлення кредиту. Умови надання позик лом-бардами є найпростішими на фінансовому ринку. При цьому ризики мінімальні.
Ломбарди у порівнянні з банками та кредитними спілками надають маленькі за розмірами кредити. В період з 01.06.05 до 31.12.08 середній розмір кредиту змінювався від 471,45 грн. у другому кварталі 2005 року до 443,31 грн. у четвертому кварталі 2008 року [35].
Враховуючи отримані результати, в перспективі структурний розподіл ринку споживчого кредитування населення в Україні можна класифікувати в розрізі кредиторів, сум, відсоткових ставок та строків кредитування на:
а) Сегмент банківського іпотечного кредитування будівництва, придбання та ремонту житла з сумами кредитування від 20 тис.доларів США до 100 тис.доларів США на строк 10-20 років;
Станом на 01.12.2009 середня еквівалентна річна ставка кредитування в національній валюті в цьому сегменті становить 24-25% річних, але ринок з початку фінансової кризи 2008 - 2009 років працює тільки у вторинному підсегменті введенного в експлуатацію житла.
б) Сегмент банківського споживчого кредитування на придбання транспортних засобів з сумами кредитування від 5 тис.доларів США до 20 тис.доларів США на строк 3 – 5 років;
Станом на 01.12.2009 середня еквівалентна річна ставка кредитування в національній валюті в цьому сегменті становить 32,1% річних, але ринок з початку фінансової кризи 2008 - 2009 років працює тільки у первинному підсегменті для нових автомобілей іноземного складання.
в) Сегмент небанківського цільового споживчого кредитування на придбання побутової техніки та меблів до 5-30 тис.грн. на строк 1-2 роки (ФКСК та кредитні спілки).
Станом на 01.12.2009 середня еквівалентна річна ставка кредитування в національній валюті в цьому сегменті становить 42,3 – 65,1 % річних, але з початком кризи 2008 – 2009 років багато кредитних союзів припинили свою кредитну діяльність, а на ринку фінансових компаній споживчого кредитування залишилось тільки 3 компанії, які входять до фінансово-банківських холдінгів.
г) Сегмент банківського револьверного нецільового карткового кредитування (до запитання) до 1 тис.доларів США на строк від 1 місяця до 1 року.
Станом на 01.12.2009 середня еквівалентна річна ставка кредитування в національній валюті в цьому сегменті становить 39,0 – 48% річних, але з початком фінансової кризи на цьому ринку залишився практично тільки найбільший комерційний банк ПАТ КБ „Приватбанк”, який згорнув на період кризи всі програми споживчого кредитування та залишив свою присутність тільки на ринку споживчого карткового „самокредитування”, яке спирається на наявність „зарплатної картки” в ПАТ КБ „Приватбанк”, як реального джерела примусового повернення нецільового споживчого кредиту та нарахованих відсотків.
д) Сегмент небанківського заставного кредитування в ломбардах до 500-1000 грн. на строк 1-2 місяці з необов’язковим поверненням кредиту та викупом застави. Станом на 01.12.2009 середня еквівалентна річна ставка кредитування в національній валюті в цьому сегменті становить 182,35 % річних.
ВИСНОВКИ
За результатами дипломного дослідження вважаю, що найбільш економічно та організаційно обгрунтованим визначенням споживчого кредиту є його класифікація як невиробничого кредиту, тобто не призначеного для отримання додаткового прибутку, що може бути сформульовано як:
„Споживчий кредит – це грошові кошти в національній чи іноземній валютах, які надаються комерційними банками та фінансовими установами, діючими згідно Закону України «Про фінансові послуги та державне регулювання ринків фінансових послуг„ та отримавшими ліцензію Національного банку України чи Держфінпослуг України на проведення кредитних операцій банківськими та небанківськими фінансовими установами , громадянам України на невиробничі потреби під відсотки у тимчасове користування на умовах забезпечення, повернення, строковості, платності та цільової спрямованості”.
Досліджений в дипломному проекті як суб’єкт ринку споживчого кредитування комерційний банк ПАТ „Кредит Європа Банк” станом на 01.01.2009 року займав рейтингові місця п’ятого десятку (46 -53 рейтингове місце) в 3 групі банківській системі України, маючи наступний рівень основних показників діяльності:
а) кредитний портфель фізичних осіб – 291,17 млн.грн. (61 місце в рейтингу БС за обсягами портфелю).
б) частку депозитів фізичних осіб в пасивах валюти балансу - 0,787%;
в) частку депозитів юридичних осіб в пасивах валюти балансу - 10,22%;
- 0,098% частку від сумарної валюти депозитів юридичних осіб в БС України.
Станом на 01.09.2009 року банк ПАТ „Кредит Європа банк” займав наступ-ні рейтингові місця в банківській системі України:
а) кредитний портфель фізичних осіб – 263,83 млн.грн. (66 місце в рейтингу БС за обсягами портфелю).
б) частку депозитів фізичних осіб в пасивах валюти балансу - 1,34%;
в) частку депозитів юридичних осіб в пасивах валюти балансу - 3,9%;
г) збитки = - 65,75 млн.грн. за результатами 8 місяців 2009 року;
Тобто банк у 2009 році характеризується як збитковий та інвестиційно-не-привабливий банк, який не має практично клієнтської депозитної бази юридичних та фізичних осіб і конкурує в банківській системі України тільки за рахунок джерел материнського зарубіжного банку.
Дослідження кредитно-інвестиційного портфелю ПАТ „Кредит Європа банк” у 2008 – 2009 роках показало, що структурна частка кредитів фізичним особам в кредитно-інвестиційному портфелі банку з рівня 3,95% станом на 01.01.2008 зросла до рівня 15,41% станом на 01.01.2009 та продовжила зростання до рівня 20,3% станом на 01.07.2009 року.
Це пов’язане з наслідками світової фінансової кризи та відповідною кон’юнктурною кризою в експортно-орієнтованих галузях економіки України, коли міжнародний ринок попиту на експортну продукцію України у 2008 -2009 роках різко впав, а внутрішній ринок України не може використати експортну продукцію. Це привело до звуження банківських пропозицій на кредитування платоспроможних юридичних осіб та розширення ринку банківських пропозицій на ринку споживчого кредитування населення України, який характеризується як підвищеним ризиком обслуговування багаточислених малих кредитів, так і підвищеною дохідністю кредитування.
На протязі 2008 – 1 півріччя 2009 рр. в кредитному портфелі споживчого кредитування населення на поточні потреби в ПАТ „Кредит Європа Банк” були наступні кредитні продукти:
а) короткострокове (до 1 року) нецільове кредитування фізичних осіб готівкою в національній валюті (програма „Легкий кредит);
б) довгострокове (до 2 років) нецільове кредитування фізичних осіб готівкою в національній валюті (програма „Легкий кредит);
в) довгострокове (від 2 до 4 років) цільове безготівкове кредитування фізичних осіб на придбання автомобілей в національній та іноземній валютах (програма „Нові автомобілі іноземної зборки”);
г) в умовах світової фінансової кризи 2008 – 2009 років станом на початок 2009 року припинено іпотечне кредитування фізичних осіб, а видані іпотечні кредити станом на кінець 1 півріччя 2009 року погашені навіть без нарахування відсотків за користування у 2009 році, оскільки були видані під нереалізоване будівництво житла, тобто стали беззаставними.
Проведений аналіз даних показав, що станом на 01.07.2009 кредитний порт-фель споживчого кредитування в ПАТ «Кредит Европа Банк» характеризується наступними показниками:
- 50,7% обсягу портфелю – це автокредитування під заставу застрахованих автомобілів. В цьому сегменті низький рівень простроченості – 18,2% та середній строк повернення кредитів – 5,8 років;
- в сегменті «легкий кредит» (нецільовий, незабезпечений) обсяг виданих кредитів за стабілізувався на рівні 5,5 – 5,8 млн.грн., а рівень простроченості кредитів досяг 39,5%, що спонукало банк створити резерви на зменшення кредитного ризику в цьому сегменті на рівні 46,7%, а у листопаді 2009 зовсім згорнути програму видачі цих типів кредитів, оскільки строк їх повернення становить 2,5 роки, а тримання такого високого рівня резервів значно знижує рентабельність доходів банку у цьому сегменті.
Станом на 16.11.2009 року в кредитному портфелі споживчого кредитування населення на поточні потреби в ПАТ „Кредит Європа Банк” залишився тільки 1 кредитний продукт:
а) довгострокове (від 1 до 4 років) цільове безготівкове кредитування фізичних осіб на придбання автомобілей в національній та іноземній валютах (програма „Нові автомобілі іноземної зборки”);
Як показав аналіз:
- 4,0% обсягу кредитного портфелю поточних споживчих кредитів фізичним особам в банку становлять прострочені довгострокові поточні кредити;
- та 4,0% обсягу кредитного портфелю становлять нараховані та прострочені і несплачені відсотки за користування цими поточними кредитами.
В той же час загальний рівень резервування кредитного портфелю банку становить 17,7%, тобто рівень ризику споживчого кредитування фізичних осіб є нижчим за ризик кредитування юридичних осіб.
Аналіз динаміки обсягів та структури кредитно-інвестиційного портфелю банку ПАТ „Кредит Європа банк”, приведеного до валютного (доларового) еквіваленту для ліквідування фактору впливу девальвації національної валюти у 2008 - 2009 року, показав:
1. На передкризовому інтервалі часу ( з 1 січня 2008 року до 1 жовтня 2008 року):
- обсяги валютного еквіваленту міжбанківських кредитів зросли з рівня 60,6 млн.USD до рівня 100,8 млн.USD, тобто на +66,3%;
- обсяги валютного еквіваленту кредитів юридичним особам зросли з рівня 38,2 млн.USD до рівня 113,8 млн.USD, тобто на +197,9%;
- обсяги валютного еквіваленту кредитів фізичним особам зросли з рівня 6,05 млн.USD до рівня 40,27 млн.USD, тобто на +565,5%;
- обсяги валютного еквіваленту коштів, вкладених в цінні папери, зросли з рівня 48,3 млн.USD до рівня 89,3 млн.USD, тобто на +184,9%;
Таким чином, динаміка росту споживчого кредитування фізичних осіб в банку у передкризовий період в 2,5 рази перевищувала темп росту кредитування юридичних осіб. Причина полягає в виявленому вище фактичному рівню ризику споживчого кредитування фізичних осіб на рівні 8% при загальному рівні резервування кредитного портфелю банку 17,7%, тобто рівень ризику споживчого кредитування фізичних осіб в ПАТ КБ „Кредит Європа банк” є нижчим за ризик кредитування юридичних осіб.
2. На кризовому інтервалі часу ( з 1 жовтня 2008 року до 1 вересня 2009 року) обсяг КІП зменшився з 316,1 млн. USD до 170,1 млн.USD ( на – 46,1%):
- обсяги валютного еквіваленту міжбанківських кредитів зменшились з рівня 100,8 млн.USD до рівня 32,13 млн.USD, тобто на -68,0%;
- обсяги валютного еквіваленту кредитів юридичним особам зменшились з рівня 113,8 млн.USD до рівня 68,2 млн.USD, тобто на -40,0%;
- обсяги валютного еквіваленту кредитів фізичним особам зменшились з рівня 40,27 млн.USD до рівня 33,0 млн.USD, тобто на -18,0%;
- обсяги валютного еквіваленту коштів, вкладених в цінні папери, зменшились з рівня 89,3 млн.USD до рівня 36,8 млн.USD, тобто на -58,8%;
Таким чином, динаміка падіння обсягів споживчого кредитування фізичних осіб в банку у кризовий період в 2,0 рази менше темпа падіння обсягів кредит-вання юридичних осіб, оскільки світова фінансова криза на Україні привела до кризи в промисловості, але потреби фізичних осіб у споживчому кредитуванні не зменшились. В той же час, ризикованість споживчого кредитування в умовах зниження обсягів джерел доходів населення при падінні ВВП України у 2009 році на – 34% значно зросла і потребує спеціальних методів ризикованого кредитування.
При проведенні аналітичного дипломного дослідження виявлена особлива стратегічна місія ПАТ „Кредит Європа банк”, як представника транснаціонального банківського холдінгу, на ринку спожичого кредитування України в кризовий період 2009 року – трансформація низьковідсоткових міжбанківських валютних еврокредитів іноземного головного банку (практично єдине джерело банківських кредитних ресурсів при відсутності клієнтської депозитної бази) в високовідсоткові короткострокові гривневі споживчі кредити населенню на придбання нових автомобілів тільки іноземного виробництва, тобто фактично – інвестування росту виробництва автомобілей за кордоном та забезпечення їм ринку збуту на території України за рахунок „викачування” коштів з населення України з додатковим забезпеченням прибутку системі банків „Кредит Європа банк” та „перекачуванні” нарощених капіталів в головний іноземний банк, як повернення єврокредитів з відсотками.
Таким чином, сучасна роль банку ПАТ „Кредит Європа банк” в розвитку економіки власне України – різко негативна, оскільки вона орієнтована на отримання надприбутків на території України та легального вивезення інвестуємого капіталу з отриманими надприбутками в іноземні економічні системи. При цьому ПАТ „Кредит Європа банк” в сегменті споживчого кредитування, як і інші банки України, які на 55% є дочірніми банками транснаціональних банківських холдінгів, виконують стратегічну місію кредитування ринку товарів іноземного виробництва, тобто успішно працюють в Україні за кредити іноземних економічних систем на економіку іноземних держав.
Тобто, при різкому спаді виробництва в промисловості України в кризовий період та практичній відсутності національного виробництва технічно-складних сучасних побутових приладів і автомобілів, розширення споживчого кредитування в Україні є процесом створення ринку попиту на іноземну продукцію на території України за рахунок кредитування населення України іноземним капіталом через дочірні транснаціональні банки. Такий механізм споживчого кредитування в Україні і створює, згідно заявам Національного банку України, незабезпечений внутрішніми доходами населення попит на „іноземні” споживчі кредити, які практично „вимивають” національний дохід України в іноземні економічні системи, забезпечуючи розвиток їх промисловості (ефект щільності автомобілів „Мерседес” та „Лексус” на 1тис.осіб населення в Україні вищий, ніж в промислово-розвинутих країнах – виробниках).
Таким чином, введення довідок про реальні оподатковані доходи громадян як основу процесу споживчого кредитування та законодавче обмеження сум споживчого кредитування відповідним розміром доходів за період кредитування є основним напрямком економічного підходу до розробки Закону України „Про споживче кредитування”, який повинен зупинити механізм незабезпеченого доходами громадян України споживчого кредитування, оскільки механізм застави придбаного товару має інфляційний характер та направлений на створення „кризи переспоживання” в Україні і нестабільності роботи банківської системи України.
При розробці пропозицій активізації ринку споживчого кредитування в Україні в дипломному дослідженні проаналізований зарубіжний досвід організації споживчого кредитування та його впровадження в деяких великих банках України.
Так, у більшості країн світу кредитори (банки, фінансові компанії, компанії-емітенти кредитних карт, інвестиційні компанії, торгові компанії, що надають комерційні кредити) на постійній основі обмінюються інформацією про платоспроможність позичальників через кредитне Агентство (бюро).
Впровадження інформаційних систем бюро кредитних історій дозволяє на ринку споживчого кредитування фізичних осіб:
- суттєво знизити витрати банку на ідентифікацію ризику кредитування споживача на окремому місці продавця кредитних продуктів банку, особливо коли це місце розташоване безпосередньо в точці торгівлі предметами та послугами, які кредитуються банком;
- централізувати та проводити об’єктивний контроль умов кредитування в теріторіально відокремлених відділеннях та “банківських” кіосках з мінімальними вимогами до аналітичних здібностей кредитного інспектора;
- впровадити технологію “самокредитування” через банкоматні системи, тобто автоматизувати процес споживчого кредитування у відсутності банківського персоналу.
При дослідженні нових форм організації споживчого кредитування на ринку України в дипломній роботі досліджена діяльність наступних небанківських фінансових установ:
- фінансових компаній споживчого кредитування;
- кредитних спілок на ринку споживчого кредитування;
- ломбардів на ринку споживчого мікрокредитування.
Проведений в дипломній роботі аналіз структурного розподілу ринку споживчого кредитування населення в Україні показав, що його перспективну побудову можна розділити в розрізі кредиторів, сум та строків кредитування на:
а) Сегмент банківського іпотечного кредитування будівництва, придбання та ремонту житла з сумами кредитування від 20 тис.доларів США до 100 тис.доларів США на строк 10-20 років;
Станом на 01.12.2009 середня еквівалентна річна ставка кредитування в національній валюті в цьому сегменті становить 24-25% річних, але ринок з початку фінансової кризи 2008 - 2009 років працює тільки у вторинному підсегменті введенного в експлуатацію житла.
б) Сегмент банківського споживчого кредитування на придбання транспортних засобів з сумами кредитування від 5 тис.доларів США до 20 тис.доларів США на строк 3 – 5 років;
Станом на 01.12.2009 середня еквівалентна річна ставка кредитування в національній валюті в цьому сегменті становить 32,1% річних, але ринок з початку фінансової кризи 2008 - 2009 років працює тільки у первинному підсегменті для нових автомобілей іноземного складання.
в) Сегмент небанківського цільового споживчого кредитування на придбання побутової техніки та меблів до 5-30 тис.грн. на строк 1-2 роки (ФКСК та кредитні спілки).
Станом на 01.12.2009 середня еквівалентна річна ставка кредитування в національній валюті в цьому сегменті становить 42,3 – 65,1 % річних, але з початком кризи 2008 – 2009 років багато кредитних союзів припинили свою кредитну діяльність, а на ринку фінансових компаній споживчого кредитування залишилось тільки 3 компанії, які входять до фінансово-банківських холдінгів.
г) Сегмент банківського револьверного нецільового карткового кредитування (до запитання) до 1 тис.доларів США на строк від 1 місяця до 1 року.
Станом на 01.12.2009 середня еквівалентна річна ставка кредитування в національній валюті в цьому сегменті становить 39,0 – 48% річних, але з початком фінансової кризи на цьому ринку залишився практично тільки найбільший комерційний банк ПАТ КБ „Приватбанк”, який згорнув на період кризи всі програми споживчого кредитування та залишив свою присутність тільки на ринку споживчого карткового „самокредитування”, яке спирається на наявність „зарплатної картки” в ПАТ КБ „Приватбанк”, як реального джерела примусового повернення нецільового споживчого кредиту та нарахованих відсотків.
д) Сегмент небанківського заставного кредитування в ломбардах до 500-1000 грн. на строк 1-2 місяці з необов’язковим поверненням кредиту та викупом застави.
Станом на 01.12.2009 середня еквівалентна річна ставка кредитування в національній валюті в цьому сегменті становить 182,35 % річних.
Таким чином, за результатами дипломного дослідження пропонується впровадження наступних пропозицій і рекомендацій щодо шляхів розвитку банківських та небанківських продуктів споживчого кредитування, яке дозволить:
1. В банківському секторі:
зосередити увагу банківських установ на привабливість розвитку сектору банківського споживчого кредитування населення, поточний рівень якого в розрахунку на душу населення в Україні в 6 разів нижче середньоєвропейського;
- ініціювати участь банківських установ в створенні та розширенні діяльності кредитних бюро для формування кредитної історії всіх фізичних осіб, які коли-небудь звертались за кредитом у будь-яку кредитну установу країни;
- використати досвід кредитування банків для формування начальних вибірок достатніх обсягів із поділом клієнтів на “ добрих” та “ поганих” з виділенням основних вхідних параметрів моделей кредитування.
2. В небанківському секторі:
- створити систему спеціалізованих дочірніх банківських структур – фінансових компаній споживчого кредитування, в яких банк буде гарантом фінансової стабільності, джерелом вільних ресурсів для нарощування обсягів споживчого кредитування та організатором телекомунікаційних мереж автоматизованих систем мережевого обслуговування точок продажу продуктів споживчого кредитування і систем приймання платежів позичальників;
- прийняти Закон України „Про ломбарди” та регулювання їх позикових ставок згідно ризиковим розрахункам, але не в 3 раза більше, ніж для всіх інших суб’єктів ринку та видів споживчого кредитування.
Це надасть можливість організувати діяльність банківських та небанківських фінансових установ у відповідності з цілісною системою управління розвитку споживчого кредитування населення для задоволення соціальних потреб населення України.
СПИСОК ВИКОРИСТАНИХ ДЖЕРЕЛ
1. Аналіз банківської діяльності: Підручник / А.М.Герасимович та ін.; За ред. А.М.Герасимовича. — К.: КНЕУ, 2003.— 599 с.
2. Андреева Г.В. Скоринг как метод оценки кредитного риска // Журнал “Банковские технологии”, № 6, 1999 // http://www.cfin.ru
3. Арістова А.М., Шульга Н.П. Фінансовий менеджмент у банку. Опорний конспект лекцій – К: КНТЕУ, 2007.- 123 с.
4. Банківський менеджмент: Навч. посібник / За ред. О.А. Кириченка. – К.: Знання-Прес, 2002. – 438 с.
5. Банківські операції: Підручник / За ред. А. М. Мороз. — К.: КНЕУ, друге видання. — 2002. — 476 с.
6. Банківські операції : Підручник/За ред.Міщенка В.І., Слав"янської Н.Г.- Київ:Знання-Прес,2006 .-727 с.
7. Банківські операції: Підручник/ А.М.Мороз, М.І.Савлук, М.Ф.Пуховкіна та ін.; За ред.д-ра екон.наук,проф.А.М.Мороза.- К.: КНЕУ, 2000.- 384с.
8. Банки и банковские операции: Учебник для вузов / Под ред. проф. Е.Ф.Жукова.- М.: Банки и биржи, ЮНИТИ, 1997. - 471 с.
9. Беляков А.В. Банковские риски: проблемы учета, управления и регулирования - javascript:__doPostBack('_ctl7$lbtSeries','') М.:Издательская группа "БДЦ-ПРЕСС", 2003г. - 256 стр.
10. Бергер Айке Банковские операции для физических лиц - К.:Укр.Финан-сово-банковская шк. в сотрудничестве с группой европейских сберегательных банков, 1997.- 135 с.
11. Бланк И.А. Основы финансового менеджмента/ И.А. Бланк. - 2-е изд., перераб. и доп.. - К.: Эльга: Ника-ЦентрТ.1. - 2004. - 622 с
12. Бланк И.А. Основы финансового менеджмента/ И.А. Бланк. - 2-е изд., перераб. и доп.. - К.: Эльга: Ника-ЦентрТ.2. - 2004. - 618 с
13. Васюренко О.В. Економічний аналіз діяльності комерційних банків: Навчальний посібник/ О.В. Васюренко, К.О. Волохата. - К.: Знання, 2006. - 464 с. - (Вища освіта XXI століття)
14. Волков С.С. Іпотечне кредитування в Україні: передумови, ризики та перспективи // Український дiловий тижневик "Контракти" / № 35 вiд 30-08- 2004
15. Волошин І. Прогноз впливу кредитного ризику на ліквідність і процент-ні надходження банку // Вісник НБУ. – 2008. – № 8. – С. 26–29.
16. Гриджук Д.М. Забезпечення кредитних зобов"язань у діяльності банків/ Д.М.Гриджук, В.О.Олійник.- Київ: Істина, 2001.- 256с.
17. Гроші та кредит: Підручник / За ред. проф. М. І. Савлука. — К.: КНЕУ, 2002. — 578 с.
18. Грюнинг, Хенни. Анализ банковских рисков. Система оценки корпора-тивного управления и управления финансовым риском : пер. с англ. / Х. ван Грюнинг, С. Б. Братанович. - М. : Весь мир, 2007. - 290 с.
19. Донець Л.І. Економічні ризики та методи їх вимірювання: Нав-чальний посібник для студ. вищих навчальних закладів/ Л.І. Донець. - К.: Центр навчальної літератури, 2006. - 312 с
20. Дорош Г. Чи захищаються права споживачів при здійсненні банківської діяльності? // „Юридична газета”, № 6(67), 20 квітня 2006 року
21. Задерей Н. Перше всеукраїнське бюро кредитних історій// Український дiловий тижневик "Контракти" / № 24 вiд 13-06-2005, www.kontrakty.com.ua
22. Задерей Н. Група «ТАС» захопилася створенням бюро кредитних історій// Український дiловий тижневик "Контракти" / № 41 вiд 10-10-2005
23. Закон України „Про банки і банківську діяльність” від 7 грудня 2000 року N 2121-III // Із змінами і доповненнями, внесеними Законами України ста-ном від 24 липня 2009 року N 1617-VI – http://www.liga-zakon.net - Комп’ютерна законодавчо-довідкова система законодавства України “Ліга-закон”, 2009
24. Закон України “Про Національний банк України” від 20 травня 1999 року N 679-XIV // Із змінами і доповненнями, внесеними Законами України станом від 21 серпня 2009 року N 1608-VI – http://www.liga-zakon.net - Комп’ютерна законодавчо-довідкова система законодавства України “Ліга-закон”, 2009
25. Закон України „Про фінансові послуги та державне регулювання ринків фінансових послуг” від 12 липня 2001 року N 2664-III // Із змінами і доповненнями, внесеними Законами України станом від 24 липня 2009 року N 1617-VI – http://www.liga-zakon.net - Комп’ютерна законодавчо-довідкова система законодавства України “Ліга-закон”, 2009
26. Закон України „Про кредитні спілки” від 20 грудня 2001 року N 2908-III // Із змінами і доповненнями, внесеними Законами України станом від 24 липня 2009 року N 1617-VI – http://www.liga-zakon.net - Комп’ютерна законодавчо-довідкова система законодавства України “Ліга-закон”, 2009
27. Закон України „Про захист прав споживачів” від 12 травня 1991 року N 1023-XII (Законом України від 1 грудня 2005 року N 3161-IV цей Закон викладе-но у новій редакції) // Із змінами і доповненнями, внесеними Законами України станом від 24 липня 2009 року N 1617-VI – http://www.liga-zakon.net - Комп’ютер-на законодавчо-довідкова система законодавства України “Ліга-закон”, 2009
28. Закон України „Про іпотечне кредитування, операції з консолідованим іпотечним боргом та іпотечні сертифікати” від 19 червня 2003 року 979-IV // Із змінами і доповненнями, внесеними Законами України станом від 24 липня 2009 року N 1617-VI – http://www.liga-zakon.net - Комп’ютерна законодавчо-довідкова система законодавства України “Ліга-закон”, 2009
29. Закон України „Про іпотеку” від 5 червня 2003 року N 898-IV // Із змінами і доповненнями, внесеними Законами України станом від 24 липня 2009 року N 1617-VI – http://www.liga-zakon.net - Комп’ютерна законодавчо-довідкова система законодавства України “Ліга-закон”, 2009
30. Закон України N 2704-IV від 23 червня 2005 року “Про організацію формування та обігу кредитних історій” // Із змінами і доповненнями, внесеними Законами України станом від 24 липня 2009 року N 1617-VI – http://www.liga-zakon.net - Комп’ютерна законодавчо-довідкова система законодавства України “Ліга-закон”, 2009
31. Закон України „Про заставу” від 2 жовтня 1992 року N 2654-XII // Із змінами і доповненнями, внесеними Законами України станом від 24 липня 2009 року N 1617-VI – http://www.liga-zakon.net - Комп’ютерна законодавчо-довідкова система законодавства України “Ліга-закон”, 2009
32. Закон України „Про страхування” від 4 жовтня 2001 року N 2745-III
(цей Закон викладено у новій редакції) // Із змінами і доповненнями, внесеними Законами України станом від 24 липня 2009 року N 1617-VI – http://www.liga-zakon.net - Комп’ютерна законодавчо-довідкова система законодавства України “Ліга-закон”, 2009
33. Закон України „Про внесення змін до деяких законів України з метою подолання негативних наслідків фінансової кризи” від 23 червня 2009 року N 1533-VI – http://www.liga-zakon.net - Комп’ютерна законодавчо-довідкова система законодавства України “Ліга-закон”, 2009
34. Звіт про роботу Державної комісії з регулювання ринків фінансових послуг України за 2007 рік // Розпорядження Державної комісії з регулювання ринків фінансових послуг України від 26.06.2008 № 778 – http://www.dfp.gov.ua, 2009
35. Звіт про роботу Державної комісії з регулювання ринків фінансових послуг України за 2008 рік // Розпорядження Державної комісії з регулювання ринків фінансових послуг України від 25.06.2009 № 508 – http://www.dfp.gov.ua, 2009
36. Євтух О.Т. Іпотека – механізм ефективного використання ресурсів – Луцьк, «Волинська обласна друкарня», 2001, 305 с.
37. Євтух О.Т. Доходна іпотека – Луцьк, «Волинська обласна друкарня», 2000.-304 с.
38. Інструкція з бухгалтерського обліку кредитних, вкладних (депозитних) операцій та формування і використання резервів під кредитні ризики в банках України // Постанова Правління Національного банку України від 15 вересня 2004 року N 435 – http://www.liga-zakon.net - - Комп’ютерна законодавчо-довідкова система законодавства України “Ліга-закон”, 2009
39. Іпотечне кредитування: Навч. посіб. для вузів /О. С. Любунь, К. В. Пали-вода, М. П. Денисенко та ін /Ред. О. С. Любунь та ін. - К: ЦНЛ, 2005. - 392с.
40. Ілляшенко С.М. Економічний ризик: Навчальний посібник / С.М. Ілляшенко. - 2-ге вид., переробл. і допов.. - К.: Центр навчальної літератури, 2004. - 219 с
41. Ковалев В. В. Финансовый менеджмент: теория и практика : научное издание / В. В. Ковалев. - 2-е изд., перераб. и доп. - М. : Проспект, 2007.- 1024 с.
42. Коваленко К. Гарантована якість – перше кредитне товариство: лідер руху кредитних спілок // „Україна Business, №46, 2005
43. Кредитний ризик комерційного банку. Навч. посіб./ В.В.Вітлінський, О.В.Пернарівський, Я.С.Наконечний, Г.І.Великоіваненко; за ред В.В.Вітлінського.- К.: Т-во "Знання", КОО, 2000.- 251с.
44. Лагутін В.Д. Становлення та розвиток системи іпотечного кредитування //«Фінанси України», № 1, 2004, с.75 – 82
45. Лагутин В.Д. Кредитование : теория и практика. Учебное пособие.- 3 –е изд. К.: «Знание», 2002, 215 с.
46. Методичні вказівки з інспектування банків "Система оцінки ризиків" // Постанова Правління НБУ від 15.03.2004 № 104 – http://www.liga-zakon.net - - Комп’ютерна законодавчо-довідкова система законодавства України “Ліга-закон”, 2009
47. Методичні рекомендації щодо організації та функціонування систем ризик - менеджменту в банках України // Постанова Правління Національного банку України від 02.08.2004 № 361 – http://www.liga-zakon.net - - Комп’ютерна законодавчо-довідкова система законодавства України “Ліга-закон”, 2009
48. Огляд ринку іпотечного кредитування країн Європейського Союзу // Українська національна іпотечна асоціація, 2002
49. Орлов А. Скоринговая модель: возможность стать ближе к клиенту стоит недешево – 25.04.2006 // http://www.uabanker.net
50. Панова Г. Банковское обслуживание частных лиц. – М.:АО ДИС, 1994. – 352с.
51. Панова Г.С. Кредитная политика коммерческого банка .- М.: ИКЦ «Дис», 1997.- 464 с.
52. Підсумки діяльності кредитних установ за 2008 рік // Державна комісія з регулювання ринків фінансових послуг України – http://www.dfp.gov.ua, 2009
53. Підсумки діяльності кредитних установ за ІІ квартал 2009 року // Дер-жавна комісія з регулювання ринків фінансових послуг України – http://www.dfp.gov.ua, 2009
54. Положення про регулювання Національним банком України ліквід-ності банків України // Постанова Правління Національного банку України від 26 вересня 2006 року N 378 – http://www.liga-zakon.net - - Комп’ютерна законодавчо-довідкова система законодавства України “Ліга-закон”, 2009
55. Положення про порядок видачі банкам банківських ліцензій, письмових дозволів та ліцензій на виконання окремих операцій //Постанова Правління Національного банку України від 17 липня 2001 року N 275 ( Із змінами і доповненнями, внесеними постановами Правління Національного банку України станом від від 16 червня 2005 року N 223) – http://www.liga-zakon.net - - Комп’ютерна законодавчо-довідкова система законодавства України “Ліга-закон”, 2009
56. Правила бухгалтерського обліку доходів і витрат банків України // Постанова Правління Національного банку України від 18 червня 2003 року N255 – http://www.liga-zakon.net - Комп’ютерна законодавчо-довідкова система законодавства України “Ліга-закон”, 2009
57. Примостка Л.О. Аналіз банківської діяльності: сучасні концепції, методи та моделі: Монографія. — КНЕУ, 2002.— 316 с.
58. Примостка Л.О. Фінансовий менеджмент у банку: Підручник. — 2-е вид., доп. і перероб. — К.: КНЕУ. 2004. — 468 с.
59. Про затвердження Положення про порядок формування та викорис-тання резерву для відшкодування можливих втрат за кредитними операціями банків // Постанова Правління Національного банку України від 6 липня 2000 року N 279 ( Із змінами і доповненнями, внесеними постановами Правління Національного банку України станом від 1 грудня 2008 року N 406) – http://www.liga-zakon.net - - Комп’ютерна законодавчо-довідкова система законодавства України “Ліга-закон”, 2009
60. Про окремі питання щодо діяльності банків в період фінансово-економічної кризи // Постанова Правління НБУ від 22 липня 2009 року N 421 - – http://www.liga-zakon.net - - Комп’ютерна законодавчо-довідкова система законодавства України “Ліга-закон”, 2009
61. Про затвердження Плану рахунків бухгалтерського обліку банків України та Інструкції про застосування Плану рахунків бухгалтерського обліку банків України // Постанова Правління Національного банку України від 17 червня 2004 року N 280 (Із змінами і доповненнями, внесеними постановами Правління Національного банку України станом від 6 серпня 2009 року N 458) -– http://www.liga-zakon.net - - Комп’ютерна законодавчо-довідкова система законодавства України “Ліга-закон”, 2009
62. Про затвердження Інструкції про порядок складання та оприлюднення фінансової звітності банків України //Постанова Правління Національного бан-ку України від 7 грудня 2004 року N 598 (Із змінами і доповненнями, внесеними постановами Правління Національного банку України від 21 грудня 2008 року N 484) – http://www.liga-zakon.net - - Комп’ютерна законодавчо-довідкова система законодавства України “Ліга-закон”, 2009
63. Про затвердження Інструкції про порядок регулювання діяльності банків в Україні // Постанова Правління Національного банку України від 28 серпня 2001 року N 368 (Із змінами і доповненнями, внесеними постановами Правління Національного банку України станом від 10 вересня 2009 року N 541) – http://www.liga-zakon.net - - Комп’ютерна законодавчо-довідкова система законодавства України “Ліга-закон”, 2009
64. Про затвердження Правил організації статистичної звітності, що пода-ється до Національного банку України // Постанова Правління Національного банку України від 19 березня 2003 року N 124 ( Із змінами і доповненнями, внесеними постановами Правління Національного банку України станом від від 16 червня 2005 року N 223) – http://www.liga-zakon.net - - Комп’ютерна законодавчо-довідкова система законодавства України “Ліга-закон”, 2009
65. Про порядок створення і державної реєстрації банків, відк-риття їх філій, представництв, відділень // Постанова Правління Національно-го банку України від 31 серпня 2001 року N 375 ( Із змінами і доповненнями, внесеними постановами Правління Національного банку України станом від від 16 червня 2005 року N 223) – http://www.liga-zakon.net - - Комп’ютерна законодавчо-довідкова система законодавства України “Ліга-закон”, 2009
66. Про затвердження Положення про Державний реєстр фінансових установ // Розпорядження Державної комісії з регулювання ринків фінансових послуг України від 28 серпня 2003 року N 41 – http://www.liga-zakon.net - - Комп’ютерна законодавчо-довідкова система законодавства України “Ліга-закон”, 2009
67. Про затвердження Положення про порядок надання фінансових послуг ломбардами // Розпорядження Державної комісії з регулювання ринків фінансових послуг України від 26 квітня 2005 року N 3981 – http://www.liga-zakon.net - - Комп’ютерна законодавчо-довідкова система законодавства України “Ліга-закон”, 2009
68. Про затвердження Положення про порядок видачі ліцензії на здійснення окремих банківських операцій небанківським фінансовим установам // Постанова Правління Національного банку України від 16 серпня 2001 року N 344 ( Із змінами і доповненнями, внесеними постановами Правління Національного банку України станом від від 16 червня 2005 року N 223) – http://www.liga-zakon.net - - Комп’ютерна законодавчо-довідкова система законодавства України “Ліга-закон”, 2009
69. Про створення єдиної інформаційної системи обліку позичальників /боржників/ // Постанова Правління Національного банку України від 27 червня 2001 року N 245 ( Із змінами і доповненнями, внесеними постановами Правління Національного банку України станом від від 16 червня 2005 року N 223) – http://www.liga-zakon.net - - Комп’ютерна законодавчо-довідкова система законодавства України “Ліга-закон”, 2009
70. Про затвердження Ліцензійних умов провадження діяльності з надання фінансових кредитів за рахунок залучених коштів кредитними установами// Розпорядження Державної комісії з регулювання ринків фінансових послуг України від 18 жовтня 2005 року N 4802 – http://www.liga-zakon.net - - Комп’ютерна законодавчо-довідкова система законодавства України “Ліга-закон”, 2009
71. «ПростоФінанс» заявив о своєму намірі у найближчий час стати лідером споживчого кредитування в Україні // „Експерт”, український діловий журнал, № 10(61), 11.03.2006
72. Управління банківськими ризиками. Навчальний посібник - за ред. проф. Примостки Л.О. – К.:КНЕУ, 2007. – 616 с.
73. Управление деятельностью коммерческого банка (банковский менеджмент) / Под ред. доктора экон. наук, профессор О.И. Лаврушина. – М: Юристь, 2003 – 688 с.
74. Цивільний Кодекс України // від 16 січня 2003 року N 435-IV // Із змінами і доповненнями, внесеними Законами України станом від 24 липня 2009 року N 1617-VI – http://www.liga-zakon.net - Комп’ютерна законодавчо-довідкова система законодавства України “Ліга-закон”, 2009
75. Щибиволок З.І. Аналіз банківської діяльності: Навчальний посібник/ З.І. Щибиволок; Відп. за вип. С.І. Шкарабан. - К.: Знання, 2006. - 312 с
76. HTTP://www.bank.gov.ua - Офіційний сайт НБУ, 2010
77. HTTP://WWW.AUB.COM. UA - Офіційний сайт Асоціації банків Украї-ни, 2010
78. http:// www.eurokredit. com.ua - Офіційний сайт фінансової компанії „Єврокредит”, 2010
79. http://unia.com.ua - Офіційний сайт Української Національної Іпотечної Асоціації, 2010
80. http://www.ubki.com.ua - Офіційний сайт Товариства з обмеженою відпо-відальністю «Українське бюро кредитних історій», 2010
81. HTTP:// WWW.LIGA-ZAKON.COM.UA - Законодавчо-довідкова систе-ма законодавства України, 2010
82. HTTP:// WWW.PROSTOBANK.COM.UA - Офіційний сайт консалтинго-вої компанії “ПростоБанк”, 2008 -2010
83. HTTP:// WWW.PROSTOFINANCE.COM.UA - Офіційний сайт фінансо-вої компанії “ПростоФінанс”, 2008 -2010
84. http://www.crediteurope.com.ua - Офіційний Інтернет-сайт банка „Кредит Європа банк”, 2010
85. http://vabgroup.com.ua - Офіційний сайт групи фінансових компаній VABGroup, 2010
86. http://ibmgroup.com.ua - Офіційний сайт фінансового холдінгу IMB Group Public Limited, 2010
87. http://www.dfp.gov.ua - Офіційний Інтернет-сайт Державної комісії з ре-гулювання фінансових ринків України, 2010
88. http://www.eurocredit.com.ua - Ринок споживчого кредитування України // ЗАТ “Догмат Україна”, 2010
ДОДАТОК А
ПОКВАРТАЛЬНА ДИНАМІКА БАЛАНСУ ЗАТ „КРЕДИТ ЄВРОПА БАНК” ЗА 2009 РІК
Таблиця А.1

Продовження табл.А.1


Рис.А.1. Динаміка основних агрегатів пасивів балансу ПАТ „Кредит Європа банк” у 2007 – 2009 роках (Систематизовано та побудовано автором самостійно)

Рис.А.2. Динаміка основних агрегатів активів балансу ПАТ „Кредит Європа банк” у 2007 – 2009 роках (Систематизовано та побудовано автором самостійно)
ДОДАТОК Б
ПОКВАРТАЛЬНА ДИНАМІКА ПОКАЗНИКІВ ФІНАНСОВОЇ ДІЯЛЬНОСТІ ЗАТ „КРЕДИТ ЄВРОПА БАНК” ЗА 2009 РІК
Таблиця Б.1

ДОДАТОК В
РЕЙТИНГИ СПОЖИВЧИХ КРЕДИТІВ ФІЗИЧНИМ ОСОБАМ СТАНОМ НА 16.11.2009 [83]
Таблиця В.1
Рейтинги кредитів на придбання нових авто іноземного збирання
(м.Київ, валюта кредита –гривня, обсяг кредиту – 120 000 грн., строк кредитування – 2 роки)

Таблиця В.2
Рейтинги кредитів на придбання нових авто іноземного збирання
(м.Київ, валюта кредита –гривня, обсяг кредиту – 120 000 грн., строк кредитування – 3 роки)

Таблиця В.3
Рейтинги нецільових кредитів готівкою
(м.Київ, валюта кредита –гривня, обсяг кредиту – (5 000 – 20 000) грн., строк кредитування – 1 рік)

Таблиця В.4
Рейтинги нецільових кредитів готівкою
(м.Київ, валюта кредита –гривня, обсяг кредиту – (5 000 – 20 000) грн., строк кредитування – 2 роки)

ДОДАТОК Г
Таблиця Г.1
Умови споживчих кредитів “Простофінанс” у 2007 році [83]
-
Кредитний продукт
Строк кредиту, міс.
Сума кредиту, грн.
Аванс
Відсот-
кова ставка (% річних від фактич-ного залишку)
Щомі-
сячна комісія (від початкової суми кредиту)
Однора-
зова комісія (від початкової суми кредиту)
Кредити супермаркетів “Рейнфорд”
Доступний
3-24
250 -30000
0%
8%
2,69%
0%
Вигідний
3-24
250 -30000
10%
8%
1,75%
0%
Без переплати -10
10
250 -10000
0%
0,01%
1,36%
0%
Експрес-кредит
10-24
250 -10000
0%
5%
2,6%
0%
Краща ціна
10-24
250 -10000
15%
0,01%
1,99%
7%
Кредити супермаркетів “Фокстрот”
Експрес-кредит
10-24
250 -10000
0%
5%
2,5%
0%
Більший кредит-менша ціна
10-24
250 -1500
0%
5%
2,3%
0%
10-24
1500 -3000
0%
5%
2,2%
0%
10-24
3000 - 4500
0%
5%
2,1%
0%
10-24
4500 -6000
0%
5%
2,0%
0%
10-24
6000 -10000
0%
5%
1,9%
0%
10*10*10
10
250 -10000
0%
0,01%
0%
10%
0% переплати (з довідкою)
10
250 -10000
0%
0,01%
0%
0%
Мобільний
10-24
250 -10000
0%
5%
3%
0%
Кредити супермаркетів “АБВ-техніка”
Вигідний
10-24
250 -10000
0%
5%
1,99%
10%
Доступний
10-24
250 -10000
10%
5%
2,5%
0%
АБВ-мобільний та ноутбук
3-24
250 -10000
0%
5%
3%
0%
Кредити супермаркетів “Атлант”
Доступний
10-24
250 -30000
0%
8%
2,69%
0%
Вигідний
10-24
250 -30000
10%
8%
1,75%
0%
Вигідний-2
3-24
250 -10000
10%
8%
2%
0%
Кредити супермаркетів “Нова лінія”
Щаслива сімка (“Нова лінія”)
7
250 -30000
0%
7%
1%
7%
Таблиця Г.2
Умови споживчих кредитів “Простофінанс” станом на 01.12.2009 [83]
-
Кредитний продукт
Строк кредиту, міс.
Сума кредиту, грн.
Аванс
Відсот-
кова ставка (% річних від фактич-ного залишку)
Щомі-
сячна комісія (від початкової суми кредиту)
Однора-
зова комісія (від почат-кової суми кредиту)
Кредити супермаркетів “Рейнфорд”
Доступний
3-24
250 -30000
0%
8%
2,69%
0%
Вигідний
3-24
250 -30000
10%
8%
1,75%
0%
Без переплати -10
10
250 -10000
0%
0,01%
1,36%
0%
Експрес-кредит
10-24
250 -10000
0%
5%
2,6%
0%
Краща ціна
10-24
250 -10000
15%
0,01%
1,99%
7%
Кредити супермаркетів “Фокстрот”
Експрес-кредит
10-24
250 - 30 000
0%
5%
3,0%
0%
Більший кредит-менша ціна
10-24
250 -1500
0%
5%
2,8%
0%
10-24
1500 -3000
0%
5%
2,7%
0%
10-24
3000 - 4500
0%
5%
2,6%
0%
10-24
4500 -6000
0%
5%
2,5%
0%
10-24
6000 -10000
0%
5%
2,4%
0%
10*10*10
10
250 -5000
0%
0,01%
1,0%
10%
0% переплати (з довідкою)
10
250 -2500
0%
0,01%
0%
0%
Мобільний
10-24
250 -30000
0%
5%
3,3%
0%
Кредити супермаркетів “АБВ-техніка”
СуперКредит
12
250 -10000
10%
0,01%
3,0%
10%
ХітКредит
12-36
250 -10000
0%
12,0%
1,99%
10%
Простий Кредит
10
250 -10000
0%
0,01%
0%
20%
ЛідерКредит
6
250 -10000
0%
0,01%
1,0%
10,0%
Економний Кредит
12
250 -10000
0%
0,01%
2,0%
0%
Нульовий кредит
6-30
250 -10000
0%
0,01%
0%
25%
Кредити супермаркетів “Атлант”
Мобільний без довідки
10-24
250 -2000
0%
8%
4,2%
0%
Доступний
3-24
250 -30000
0%
8%
2,69%
0%
Безкоштовний-6
3-6
250 -10000
0%
0,01%
1,85%
-10%
Вигідний
3-24
250 -30000
0%
8%
1,75%
0%
Кредитний продукт
Строк кредиту, міс.
Сума кредиту, грн.
Аванс
Відсот-
кова ставка (% річних від фактич-ного залишку)
Щомі-
сячна комісія (від початкової суми кредиту)
Однора-
зова комісія (від почат-кової суми кредиту)
Кредити супермаркетів “Нова лінія”
Доступний (“Нова лінія”)
3-24
250 - 15 000
0%-90%
8%
2,4%
0%
Вигідний (“Нова лінія”)
3-24
250 -30000
0%-90%
8%
2,2%
0%
Автокредити
Богдан 4.1 (KIA, Hyundai, VAZ, sub>aru, Cherry)
12-60
10000-500000
0-80%
13,99%
0,15%
1,5%
Богдан 7.1 (KIA, Hyundai, sub>aru)
12-84
10000-500000
10-80%
13,99%
0,22%
1,5%
Автопросто4 (Renaut)
12-60
10000-180000
0-80%
14,5%
0%
1,0%
Skoda Універсал(Skoda)
12-60
10000-180000
0-80%
12,5%
0,15%
1,5%
ДОДАТОК Д
Таблиця Д.1
Оборотно-сальдова відомість в ЗАТ „Кредит Європа банк” у 2007 – 2009 роках

Продовження табл.Д.1

Продовження табл.Д.1

ДОДАТОК Е
Динаміка та структура кредитно-інвестиційного портфелю ЗАТ „Кредит Європа банк” в доларового еквіваленту КІП в умовах різкої девальвації національної валюти в 2008 – 2009 роках

ДОДАТОК Ж
Послуги споживчого кредитування в ПАТ КБ „Кредит Європа Банк” станом на 01.12.2009
Таблиця Ж.1
Умови іпотечного споживчого кредитування фізичних осіб на вторинному ринку нерухомості

ДОДАТОК К

Рис.К.1. Структура кредитно – інвестиційного портфелю ПАТ „Кредит Європа банк” станом на 01.01.2008 (Систематизовано та побудовано автором самостійно)

Рис.К.2. Структура кредитно – інвестиційного портфелю ПАТ „Кредит Європа банк” станом на 01.10.2008 (початок впливу світової фінансової кризи в БС України) (Систематизовано та побудовано автором самостійно)

Рис.К.3. Структура кредитно – інвестиційного портфелю ПАТ „Кредит Європа банк” станом на 01.01.2009 (Систематизовано та побудовано автором самостійно)

Рис.К.4. Структура кредитно – інвестиційного портфелю ПАТ „Кредит Європа банк” станом на 01.10.2009 (Систематизовано та побудовано автором самостійно)
ДОДАТОК Л

Рис.Л.1. Динаміка оборотно-сальдового обороту короткострокового кредитування на поточні потреби за активним балансовим рахунком № 2202 в ПАТ „Кредит Європа банк” у 2007 – 2009 роках (Систематизовано та побудовано автором самостійно)

Рис.Л.2. Динаміка оборотно-сальдового обороту довгострокового кредитування на поточні потреби за активним балансовим рахунком № 2203 в ПАТ „Кредит Європа банк” у 2007 – 2009 роках (Систематизовано та побудовано автором самостійно)

Рис.Л.3. Динаміка оборотно-сальдового обороту прострочених кредитів на поточні потреби за активним балансовим рахунком № 2207 в ПАТ „Кредит Європа банк” у 2007 – 2009 роках (Систематизовано та побудовано автором самостійно)

Рис.Л.4. Динаміка оборотно-сальдового обороту нарахування, прострочення та сплати доходів за кредити на поточні потреби за активними балансовими рахунками № 2208, 2209 в ПАТ „Кредит Європа банк” у 2007 – 2009 роках
(Систематизовано та побудовано автором самостійно)

Рис.Л.5. Динаміка оборотно-сальдового обороту довгострокового іпотечного кредитування за активним балансовим рахунком № 2233 в ПАТ „Кредит Європа банк” у 2007 – 2009 роках(Систематизовано та побудовано автором самостійно)

Рис.Л.6. Динаміка оборотно-сальдового обороту нарахування, прострочення та сплати доходів за кредити на поточні потреби за активними балансовими рахунками № 2238, 2239 в ПАТ „Кредит Європа банк” у 2007 – 2009 роках (Систематизовано та побудовано автором самостійно)
ДОДАТОК М
Таблиця М.1
Структура та показники ризикованості портфелю споживчих кредитів населенню в ПАТ «Кредит Європа Банк» на кінець 2008 року (передкризовий стан) [84]

(Систематизовано та побудовано автором самостійно


Рис.М.1. Динаміка структури
сум в кредитному портфелі споживчого
кредитування в ПАТ «Кредит Європа Банк»
в докризовий та на початок кризового
періоду (2007 – 2008 роки) (Систематизовано
та побудовано автором самостійно)

