Моделирование преступного поведения рецидивов
Содержание
Введение
1. Понятие рецидивной преступности и ее виды
2. Причины и условия рецидивной преступности
3. Моделирование преступного поведения рецидивов
Заключение
Список используемой литературы
Введение
Структура преступности не может быть понята без выявления особенностей рецидивной преступности – тоже весьма своеобразного и специфического ее среза, делающего преступность еще более опасным для общества явлением. В науке различаются три понятия рецидивной преступности1:
а) законодательное (уголовно-правовое);
б) криминологическое;
в) пенитенциарное.
Первое – это повторное совершение преступления после осуждения за совершение преступления при условии, если судимость не погашена или не истекли давностные сроки. Второе – сам факт совершения второго или более преступлений, независимо от того, был ли виновный осужден за первое преступление. Третье – повторное пребывание преступника в местах лишения свободы.
При определении правовых последствий для лица, совершившего второе и более преступлений, определяющее значение имеет, конечно, первый вид рецидива. В то же время криминологическое определение понятия рецидива дает более точную характеристику личностных особенностей преступника, устойчивости антиобщественных взглядов, навыков, привычек и т. п. Пенитенциарное определение наиболее утилитарно, но оно важно для анализа работы исправительно-трудовых учреждений.
На практике мы встречаемся с упрощенным подходом и оценкой рецидива: если увеличился процент рецидивной преступности в общей массе преступлений – значит дело плохо. При этом, однако, упускается из виду, что оценка уровня рецидива не может быть однозначной вследствие сложности явления и его места в структуре преступности.
Статистическим и математическим методам исследования в криминологии, криминологическому прогнозированию преступности в России на протяжении последних десятилетий уделялось серьезное внимание. Примером может служить анализ преступности, проведенный в конце XX столетия российским криминологом В.В. Лунеевым. Его книги "Преступность XX века. Мировые, региональные и российские тенденции. Мировой криминологический анализ" и "Юридическая статистика", написанные с использованием статистических и математических методов служат неким образцом для проведения криминологических исследований.
1. Понятие рецидивной преступности и ее виды
Под криминологическим рецидивом преступлений понимается совершение уголовно наказуемых деяний как лицами, к которым применялось уголовное наказание либо меры, его заменяющие, независимо от снятия или погашения судимости за прежние преступления, так и лицами, к которым уголовно-правовые меры воздействия по тем или иным причинам не применялись.
Совокупность всех подпадающих под понятие рецидива преступлений, совершенных в государстве в определенный период времени, образует рецидивную преступность как составную часть всей преступности. Криминологическое понятие рецидива позволяет выделить в этой совокупности случаи совершения новых преступлений лицами: а) ранее судимыми, но у которых судимость погашена (снята); б) освобожденными от уголовной ответственности или наказания с применением мер, заменяющих наказание; в) совершивших преступление, но к которым наказание не применялось по разным причинам (например, преступление не было своевременно раскрыто).
Рецидивная преступность была и остается одним из наиболее опасных видов преступности. Ее повышенная общественная опасность обусловлена тем, что совершение преступления во второй и более раз свидетельствует об упорном стремлении лица продолжать (возобновлять) преступную деятельность, несмотря на принятые в отношении него уголовно-правовые меры. В настоящее время в определенной своей части рецидивные преступления становятся более опасными и профессиональными. Злостные, особо опасные, “привычные” преступники существенно осложняют криминогенную обстановку в стране, совершая значительную часть тяжких преступлений. Социальный вред рецидивной преступности проявляется и в том, что преступники-рецидивисты своим примером оказывают вредное влияние на неустойчивых людей, особенно из числа молодежи, вовлекая их в преступную деятельность.
Анализ структуры рецидива позволяет выявить самые существенные его стороны, закономерности, взаимосвязи и выработать реальные направления предупредительного воздействия. Структура рецидивной преступности характеризуется различными показателями: а) по видам преступлений (в зависимости от социальной направленности и характера мотивации совершенных преступлений); б) по соотношению характера предыдущих и новых преступлений (в зависимости от совершения разнородных и однородных преступлений); в) по числу судимостей (или применения заменяющих мер); г) по степени общественной опасности совершенных преступлений; д) по интенсивности рецидива преступлений (в зависимости от продолжительности времени между освобождением от наказания и совершением нового преступления); е) в зависимости от вида наказания (заменяющих мер), примененного к осужденному лицу.
По данным исследований, более чем три четверти всех преступлений, совершаемых рецидивистами, - это преступления против собственности, хулиганство, злостное уклонение от уплаты алиментов, нарушение правил административного надзора, бродяжничество и ведение иного паразитического образа жизни.
На первом месте стоят корыстные преступления. Преобладают кражи всех видов, особенно кражи из магазинов, складов, баз, квартир, карманные кражи. За ними следуют корыстно-насильственные преступления (грабежи, разбой), направленные преимущественно против личной собственности граждан. К ним примыкает незаконный угон средств механического транспорта. Таким образом, для структуры рецидивной преступности в первую очередь характерно преобладание отдельных видов корыстных, имущественных и близких к ним преступлений, что присуще и преступности в целом.
В ряду распространенных повторных преступлений следует назвать насильственные преступления. Среди них велика доля хулиганства, оно занимает больше половины преступлений этой группы. При этом рецидивисты в отличие от первичных преступников совершают преимущественно злостное хулиганство. Преступления против личности менее распространены, хотя среди них в отличие от первичной преступности стоят наиболее тяжкие: убийства, тяжкое телесное повреждение, изнасилование. Редки в структуре рецидива иные преступления против личности - нанесение легких телесных повреждений, клевета, оскорбление.
По однородности преступлений различают специальный рецидив - совершение однородных (тождественных) преступлений и общий рецидив - совершение разнородных (не тождественных) преступлений. Специальный рецидив, как правило, представляет более значительную общественную опасность и свидетельствует об определенной профессионализации рецидивистов.
Особо устойчивым является поведение рецидивистов с корыстной мотивацией. Для этой преступности характерна высокая доля специального рецидива. Не случайно, что две трет особо опасных рецидивистов относятся к корыстным преступникам. Общественная опасность рецидива корыстных преступлений проявляется не только в распространенности, но и в том, что систематическое совершение корыстных преступлений становится для многих из них основным источником паразитического существования. По данным исследования, примерно у каждого десятого рецидивиста вырабатываются черты преступника-“профессионала”, которому присущи навыки и приемы совершения определенного вида преступлений. Для таких преступников характерно наличие стойкой антисоциальной ориентации личности, которая свидетельствует о привыкании к преступному поведению.
О специализированной преступной деятельности свидетельствуют и данные последних лет многократного специального рецидива.
Таким образом, в современной рецидивной преступности обнаруживается достаточно устойчивая тенденция к преобладанию специального рецидива, отражающего высокую степень профессионализации преступников.
Хулиганы-рецидивисты - это лица, часто не занятые в общественном производстве, имеющие пониженный образовательный уровень, злоупотребляющие спиртными напитками, предпочитающие неофициальные контакты с аналогичными субъектами (участие в попойках, азартных играх и т. п.). Моральная и правовая деформация, свойственная личности этих преступников, выражается у них в привычках, навыках разрешать конфликты насильственным путем, а порой и создавать провоцирующую ситуацию. Уклонение от труда переплетается не только с собственно бездельем: возникает новая “активность” - преступная. Весьма характерны в этом плане так называемые отъявленные хулиганы. Среди насильственных преступников-рецидивистов они составляют 60%. Наличие этих статистических показателей и данных позволяет осуществить моделирование с высокой степенью достоверности.
Многочисленную группу среди преступников-рецидивистов составляют лица, совершающие преступления различной смешанной направленности (общий рецидив). Эти рецидивисты совершают как корыстные, так и насильственные преступления.
Начиная со второй судимости, показатель специального рецидива насильственных преступлений постепенно уменьшается и соответственно увеличивается рецидив краж, бродяжничества, нарушения паспортных правил. В последующих судимостях (третьей, четвертой) рецидив за насильственные посягательства снижается наполовину2.
Специализация более заметна в рецидиве, начатом с корыстного преступления. Рецидивист, начавший свою преступную деятельность с осуждения за кражи, в случае нового осуждения будет отвечать за кражу в более половины случаев. Две судимости за кражи создают вероятность третьего осуждения за кражи в 2/3 случаев. Этот показатель мало меняется в случае третьего, четвертого и последующих осуждений.
Исследования показывают, что в ряде случаев с увеличением числа судимостей специальный рецидив утрачивает свое значение, рецидив становится более разнообразным (общим). Общий рецидив, на долю которого приходится около 40% случаев, означает изменение преступной деятельности, которое обусловливается личностными (субъективными) и внешними (объективными) факторами. Разнородные преступления могут быть совершены в результате проявления одной и той же черты характера личности в ее различных социальных ролях. Например, корыстная мотивация прослеживается в основе совершения краж и бродяжничества или ведения иного паразитического образа жизни. Постоянное перемещение с места на место, проживание без прописки облегчает сокрытие похищенного и уклонение от ответственности. Отсутствие законных источников существования приводит к использованию незаконных средств, в том числе и преступных. Такие преступники часто совершают кражи.
К неоднократным преступлениям приводит и сочетание различных дефектов нравственного и правового сознания личности. Чаще отвечают за общий рецидив лица с неустойчивым характером, внушаемостью и импульсивностью поведенческих реакций. Особенно эти качества проявляются при совершении преступлений в группе. Личность в значительной степени утрачивает свойственные ей социальные позиции и роли, получая взамен “признание” и поддержку товарищей. В данном случае механизмом порождения преступного поведения становится “подражание, инструктирование, вовлечение”. Под влиянием группы рецидивисты могут участвовать в преступлениях, им не свойственных и даже внутренне осуждаемых: переходят от краж к грабежам, разбою, хулиганству. В деятельности подобных групп прослеживается влияние отдельных участников (лидеров) на остальных членов группы. Это приводит к увеличению вероятности совершения разнородных преступлений.
Существует прямая зависимость между числом имевшихся у рецидивиста судимостей и долей последних в структуре преступности. Доля рецидивистов, вторично осужденных, примерно в 2,5-3 раза больше доли осужденных в третий раз, доля последних в столько же раз больше, чем осужденных в четвертый раз, и т. д.
Большой практический интерес представляет сравнение тяжести (общественной опасности) преступлений, совершенных впервые и после каждой новой судимости. В юридической литературе прошлых лет существовала точка зрения, согласно которой по мере увеличения числа судимостей возрастает тяжесть совершенных рецидивистом преступлений. Однако исследования последних лет не подтвердили это положение. Напротив, по мере роста числа судимостей (особенно у рецидивистов старшего возраста) степень тяжести новых преступлений снижается, рецидив “мельчает”. Возрастает вероятность совершения таких преступлений, как бродяжничество, ведение иного паразитического образа жизни, нарушение паспортных правил, правил административного надзора, злостное уклонение от уплаты алиментов. Это в значительной степени связано с усиливающейся деградацией личности рецидивистов, во многом обусловленной распространением среди них алкоголизма.
В то же время для меньшей части рецидивистов, преимущественно специального рецидива, увеличение числа судимостей, связано с нарастанием тяжести содеянного или его последствий. Именно эта тенденция прослеживается в современной рецидивной преступности. Так, совокупная доля рецидивистов, совершающих тяжкие преступления, из года в год возрастает.
При этом самая высокая доля рецидивистов по-прежнему отмечается среди корыстных и корыстно-насильственных преступников. Так, среди осужденных за разбой она составляет 44%, грабеж - 36%, кражи государственного и личного имущества - соответственно 28 и 55%. Это в первую очередь злостные, особо опасные рецидивисты, для которых характерна постоянная готовность к совершению преступлений. Ориентация на правила поведения, принятые в преступной среде, стремление к лидерству, привычка к удовлетворению своих личных интересов неправомерным путем обусловливают их переход от совершения менее тяжких к тяжким преступлениям (например, от кражи к грабежу, разбою и убийству).
Для разработки эффективных мер по предупреждению рецидива структура рецидива анализируется в зависимости от интенсивности преступного поведения рецидивистов.
Анализ структуры рецидивной преступности с учетом вида и размера последовавшего за ним наказания свидетельствует, что уровень рецидива выше среди осужденных к лишению свободы, особенно на короткий (до 1 года включительно) или особо длительный (свыше 10 лет) сроки. Значительно реже совершают повторные преступления осужденные к исправительным работам и условно. Не велик рецидив и среди лиц, освобожденных от уголовного наказания с применением заменяющих его мер (меры административного и общественного воздействия)3.
2. Причины и условия рецидивной преступности
Рецидивная преступность имеет те же причины и условия, которые характерны для преступности в целом. Вместе с тем в них имеется специфика. Социальная среда, формируя у ранее судимых лиц стойкую систему антиобщественных взглядов, позиций, порождает совершение ими новых преступлений.
Причины и условия, вызывающие рецидивную преступность, можно разделить на следующие группы: обстоятельства, имеющие место до первой судимости (или применения заменяющих наказание мер), но которые продолжают существовать и возобновляются после отбытия наказания; недостатки деятельности самих правоохранительных органов при расследовании уголовных дел, назначении и исполнении наказания в отношении рецидивистов; трудности социальной адаптации лиц, освобожденных от наказания (как правило, лишения свободы).
Первая группа - это возвращение в негативную среду (в том числе и криминогенную семью), возобновление прежних связей с лицами, ведущими антиобщественный образ жизни. В то же время это установление новых контактов с лицами, совершающими преступления, отбывшими наказание и уже ставшими рецидивистами.
Вторая группа - это несвоевременное реагирование на совершенное преступление, медлительность в решении вопросов возбуждения уголовных дел, беспомощность при избрании мер пресечения, нарушения требований закона о всестороннем, полном и объективном исследовании обстоятельств совершенного преступления, низкая раскрываемость преступлений. По выборочным данным, остаток нераскрытых преступлений по сравнению с предыдущими годами постоянно увеличивается. Недостаточна и эффективность наказаний, применяемых к рецидивистам и к первичным преступникам. В прошлые годы как в теории уголовного и исправительно-трудового права, так и в законодательной и судебной практике имела место переоценка значения и роли уголовного наказания в виде лишения свободы. При этом игнорировалось применение иных видов наказаний, не связанных с лишением свободы, к лицам, исправление и перевоспитание которых возможно без изоляции от общества. Между тем широкое применение лишения свободы, как оказалось, не способствовало успешной борьбе c рецидивной преступностью. Исследования показали, что три четверти рецидива падают на лиц, ранее содержавшихся в исправительно-трудовых колониях.
Для третьей группы характерны прежде всего негативные последствия изоляции осужденного от общества. К ним относятся: выключение осужденного из условий обычной жизни общества; ослабление или разрушение социально-полезных связей; формирование антисоциальных связей; своеобразное привыкание к режиму и обстановке мест лишения свободы, связанные с этим трудности социальной адаптации после лишения свободы, вызванные длительным заключением психические нарушения; распространение и навязывание преступниками друг другу обычаев, традиций, бытующих в преступной среде.
Неблагоприятное влияние на осужденных оказывают разнообразные недостатки и просчеты в самом исправительно-трудовом процессе: неполное вовлечение осужденных в общественно-полезный труд, плохая организация их обучения и профессиональной подготовки, неудовлетворительно поставлена воспитательная работа. Нередки факты попустительства нарушителям режима, необоснованного перемещения осужденных из одного подразделения в другое, проникновение в колонии спиртных напитков, наркотиков, денег, изготовление заключенными оружия, а также распространенность токсикомании и т. д.
Совершению повторных преступлений способствует незавершенность исполнения уголовного наказания вследствие преждевременного условно-досрочного и условного освобождения лиц, фактически не доказавших свое исправление. Особенно это касается лиц, освобождаемых из мест лишения свободы4.
К существенным обстоятельствам, способствующим рецидиву преступлений, относятся недостатки деятельности не только ИТУ, но и других государственных органов по обеспечению трудового и бытого устройства лиц, освобождаемых от наказания. Государственные и общественные органы и организации трудоустройством бывших заключенных практически не занимаются. И если раньше это было одно из самых узких мест в социальной политике, то ныне (в связи с переходом на хозрасчет, самофинансирование и т. п.) трудоустройство освобожденных из мест лишения свободы выросло в огромную проблему. Жестокости рынка здесь особенно заметны.
К обстоятельствам, обусловливающим рецидивную преступность, относятся и недостатки практики административного надзора. При этом органы МВД зачастую не получают поддержки от местных органов власти, падает престиж правоохранительной системы в обществе, не дается отпора попыткам антиобщественных сил препятствовать исполнению органами уголовной юстиции своих функций. Не выполняют работу по профилактике правонарушений и преступлений трудовые коллективы, общественно-политические и самодеятельные организации. Работа эта в стране практически свернута.
3. Моделирование преступного поведения рецидивов
Моделирование – метод криминологического прогнозирования в основе которого лежит построение статистических и динамических моделей, т.е. описание состояния и вероятностного развития преступности и ее детерминант, ее отдельных видов (групп), личности преступников, а также возможного преступного поведения.
Метод моделирования преступного поведения рецидивов в прогностических целях предполагает построение соответствующих моделей на основе имеющейся информации о предыдущих преступлениях лица. Под прогностической моделью понимается модель объекта прогнозирования, исследование которой позволяет получить информацию о возможных состояниях объекта в будущем. Следовательно, этот "заменитель", построенный по принципу структурного или функционального подобия реального преступного поведения, может давать информацию о возможном поведении моделируемого объекта5.
Создание удовлетворительных гомоморфных моделей преступного введения в целях его изучения и индивидуального прогнозирования - дело перспективное. Первые шаги в моделировании генезиса преступления сделаны В.Н. Кудрявцевым (см.: Кудрявцев В.Н. Генезис преступления. Опыт криминологического моделирования М. 1998). Оно вполне может быть использовано для индивидуального криминологического прогнозирования. Моделирование преступного поведения в какой-то мере позволяет восполнить отсутствие реальных возможностей создания экспериментальных ситуаций совершения преступных посягательств. "Заместителями" преступного поведения в данном случае могут быть модели идеальные, построенные в виде схем, матриц, формул, модели логические и математические. Сравнивая мотивацию субъекта, поведение которого протезируется, с моделируемой мотивацией (генезисом) преступного поведения и устанавливая между ними совпадения и различия, можно судить о глубине антиобщественной направленности лица, кримнногенности внешних условий мотивации и их возможном взаимосвязанном развитии на ближайшее будущее.
В последнее время метод моделирования постепенно становится одним из основных инструментов познавательной деятельности, выступает в качестве существенной характеристики современного стиля мышления. Возрастание роли моделирования в научном познании можно объяснить внутренней логикой развития конкретной науки, необходимостью в большинстве случаев опосредованного познания объективной реальности.
Пожалуй, наибольшее распространение этот метод получил в сфере уголовного судопроизводства, в которой к настоящему времени уже разработаны методики мысленного, знакового и компьютерного моделирования для решения самых разнообразных задач.
Моделирование преступного поведения рецидивов производится с использованием описанных методов моделирования на базе имеющихся статистических данных о совершенных данным лицом преступлениях в предыдущем периоде времени и личностных характеристиках указанного лица. Имеющаяся информация позволяет с высокой долей определить вероятность наступления того или иного события.
Сам же термин "модель" вошел в обиход криминалистов в начале 80-х годов благодаря работам И.М. Лузгина, получив широкое распространение в дальнейшем. Однако по мере усиления интереса ученых к проблеме моделирования понятие моделирования в криминалистике стало расплывчатым, неопределенным и многосмысловым. В связи с чем появилась необходимость в определении понятия, сущности моделирования и критериев использования этого метода в уголовном судопроизводстве.
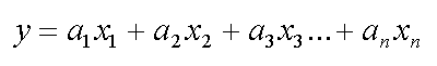
Логическую модель (например, структурную схему мотивации или механизма преступного поведения) можно использовать как необходимую ступень на пути к математическому моделированию. Она задает пределы математической модели, раскрывает ее структуру и взаимосвязи элементов и выражается известной нам формулой:

Статистические карточки на преступление, лицо (подозреваемое, обвиняемое), уголовное дело и на осужденного несут огромную информацию о субъекте, мотивации преступления, обстоятельствах его совершения, поведении лица после осуждения и т.д. В статистических базах данных регионов и в федеральном центре (взятых за один год или несколько лет) находятся сведения о миллионах лиц, преступлений и других обстоятельствах. На этой основе могут быть рассчитаны удельные веса признаков личности субъектов преступлений, многочисленных криминогенных факторов (х1,х2,х3...), а также коэффициентов корреляционной связи этих признаков и факторов с различными видами преступного поведения (а1,а2,а3...).
Величина "у" отражает сумму произведений этих показателей. Определив опытным путем ее пороговое значение, приближение к которому свидетельствует о степени криминогенности личности рецидива, условиях ее жизни и деятельности, быта и досуга, на достаточно высоком вероятностном уровне можно судить о возможно отклоняющемся поведении изучаемого лица. Полученные условные показатели нередко сводятся в таблицы, которые могут служить фактической базой для практического применения малофактических моделей.
Приведенный подход - одна из возможностей использования многофакторного математического моделирования. В криминологической литературе есть и иные предложения по использованию математических прогностических моделей. Аналогичным образом эта проблема решается и в других странах. Тем не менее, проблема индивидуального прогнозирования преступного поведения рецидиво вообще и с помощью математического моделирования в частности находится в стадии научной и практической разработки. Последующая компьютеризация учета населения, правонарушителей, преступлений, условий их совершения и других криминологически важных обстоятельств позволит решать ее более эффективно.
Используемое в криминологии моделирование - это метод, заключающийся в создании мысленной или материальной модели, а также в последующем исследовании этой модели в качестве средства получения значимой информации, необходимой для раскрытия, расследования и предупреждения преступления6.
В свою очередь, под используемой в криминологии моделью мы понимаем искусственно созданную материальную или идеальную систему, воспроизводящую и заменяющую исследуемое событие (рецидив) или отдельные ситуации и обстоятельства его совершения, а также ситуации и обстоятельства его расследования так, что ее изучение позволит получить об оригинале информацию, необходимую для успешного решения практических, научных и дидактических криминалистических задач.
Большинство экспертов единодушны в том, что первостепенным основанием классификации моделей является способ их построения. Так, разнообразные способы реализации моделирования позволяют выделить следующие его виды (а следовательно, и соответствующие классы моделей):
- материальное (предметное);
- мысленное (идеальное, умозрительное);
- логико-математическое и кибернетическое;
- информационно-компьютерное.
Выделяя разнообразные виды моделирования и классы моделей, вместе с тем подчеркнем и их тесную взаимосвязь.
Среди мысленных моделей, в свою очередь, выделяют:
1. Образные (иконические, неформализованные) модели, являющиеся по своей форме психическим образом, а в гносеологическом аспекте - одним из средств получения нового знания.
2. Образно-знаковые (символические, частично формализованные) модели, представленные разного рода условными знаками (буквенными или графическими). Многие исследователи подчеркивают, что при затруднениях мысли полезно обращаться к наглядным построениям (знаковым моделям), которые нередко становятся источником идей для новых исследователей. В криминологии к знаковым моделям можно отнести сетевые графики планирования расследования, а также выраженные средствами графических построений приложения к протоколам следственных действий.
Таким образом, моделирование позволяет существенно снизить объем проявления преступного рецидива за счет просчета вероятности наступления указанного события на основе имеющейся информации, среди которой статистические данные о предшествующих преступлениях лица и характеризующие саму личность сведения.
Заключение
Метод моделирования охватывает различные уровни познания, позволяет осуществить связь между эмпирическим и рациональным. Он органически связан с другими методами познания - наблюдением, экспериментом, описанием и т.д. Вместе с тем применение названных методов в комплексе с моделированием приобретает и определенную специфику.
Таким образом, можно сделать вывод, что при общем сокращении количества преступлений и лиц, их совершивших, рост доли рецидива не всегда является показателем плохой работы органов, ведущих борьбу с преступностью, как не всегда и свидетельствует об ухудшении состояния преступности.
Проведя анализ рецидива преступлений в своей курсовой работе, я пришел к выводу, что проблема рецидива преступлений актуальна по сей день. Она интересна уже тем, что под понятием рецидива подразумевается совершение лицом нового, повторного преступления, после осуждения и отбытия наказания. Проблема рецидива требует комплексного исследования – в криминологическом, исправительно-трудовом и уголовно-правовом аспектах, при этом последний должен служить базой для первых двух. Понятие рецидива – прежде всего уголовно-правовое понятие, так как именно в уголовном законодательстве содержатся нормы регламентирующие ответственность за рецидив преступлений, сформулированы правила назначения наказания при рецидиве и т.п.
Однако понятие рецидива должно быть единым, независимо от того, в каком аспекте – криминологическом, исправительно-трудовом или уголовно-правовом – исследуются те или иные проблемы рецидива, рецидивной преступности. Решение этого вопроса имеет большое, не только теоретическое, но и практическое значение.
Что касаемо проблемы рецидива в теоретическом плане, то до настоящего времени единства мнений нет. Разными учеными высказывались различные теории в трактовке рецидива. Каждая теория по-своему актуальна, но недостаточно полна.
Все это обуславливает необходимость дальнейшего изучения проблемы рецидива в уголовном праве и разработки предложений по совершенствованию уголовного законодательства в части регламентации ответственности рецидивистов. Решение этих и других вопросов рецидива преступлений будет способствовать совершенствованию и унификации уголовно-правовой терминологии понятийного аппарата, приведению данного института уголовного права в соответствие с потребностями правового развития, как государства, так и общества, позволит дифференцированно решить вопрос об ответственности в зависимости от вида рецидива и, следовательно, «вести решительную борьбу с преступностью».
Список используемой литературы
Криминология. Под ред. Долговой А.И. 3-е изд., перераб. и доп. - М.: Норма, 2005. — 912 с.
Курс советской криминологии. Т. 1. М., 1985. Курс советской криминологии. Т. 2. М., 1986. Криминология Учебник. М., 1988. Криминология Учебник. М., 1992. Криминология Учебник. М., 1994. Криминология Учебник. М., 1995.
Блувштейн Ю.Д. Методы моделирования и изучения преступника и преступного поведения. М., 2004.
Блувштейн Ю.Д. Криминология и математика. М., 2004.
Панкратов В.В. Психологическое изучение личности преступника. М., 1976.
Амосов Н.М. Моделирование мышления и психики. Киев, 1965.
Вицин С.Е. Моделирование в криминологии. М.,1973.
Волчецкий А.С. Моделирование преступного рецидива, Вестник МГУ. Серия 10. Право. M., 2005. № 3.
Лузгин И.М. Моделирование при расследовании преступлений. М., 1981.
1 Криминология. Под ред. Долговой А.И. 3-е изд., перераб. и доп. - М.: Норма, 2005. — с.215
2 Зелинский А.Ф. Рецидив преступлений.-Харьков, 1980.-С. 84.
3 Гуров А.И. Профессиональная преступность. - М., 1990. - С. 132.
4 Криминология. Под ред. Долговой А.И. 3-е изд., перераб. и доп. - М.: Норма, 2005. — с.252
5 Блувштейн Ю.Д. Методы моделирования и изучения преступника и преступного поведения. М., 2004. с.214
6 Лузгин И.М. Моделирование при расследовании преступлений. М., 1981. с.113