Статистические методы анализа результатов деятельности коммерческих банков (работа 2)
Федеральное агентство по образованию Всероссийский заочный финансово-экономический институт
Кафедра статистики
КУРСОВАЯ РАБОТА
по дисциплине «Статистика»
на тему
Статистические методы анализа результатов деятельности коммерческих банков
Вариант 20
Исполнитель: студент 3 курса
Клестова Э.Д.
Киров
2010
Оглавление
Введение
Глава 1. Статистические методы анализа результатов деятельности коммерческих банков
1.1 Банки. Сущность деятельности банков
1.2 Статистическая оценка финансовых результатов банка
1.2.1 Анализ доходов
1.2.2 Анализ прибыли
Глава 2. Расчетная часть работы
Задание 1. Исследование структуры совокупности
Задание 2. Выявление наличия корреляционной связи между признаками, установление направления связи и измерение ее тесноты
Задание 3. Ошибки выборки
Задание 4. Анализ ряда динамики
Глава 3. Аналитическая часть
3.1 Постановка задачи
3.2 Методика решения задачи
3.4 Анализ результатов статистических компьютерных расчетов
Заключение
Литература
Введение
Для управления процессами денежного обращения, кредитования и банковских расчетов в экономике необходимо располагать оперативной и достоверной информацией о состоянии и движении денежных средств по счетам банковских организаций. Разносторонняя, достоверная, оперативно получаемая и обрабатываемая информация, объективно отражающая экономический климат в стране, обстановку в регионах и различных сферах экономической деятельности, налоговую и таможенную политику государства, конъюнктуру цен, спроса и предложения на финансовых рынках, необходима для принятия управленческих решений как на государственном уровне, так и для успешной коммерческой деятельности в различных секторах экономики, в том числе и банковском секторе.
Особую актуальность приобретает анализ информации при принятии стратегически важных решений в настоящее время, когда российские банки поставлены в центр чрезвычайных обстоятельств, вызванных действием множества противоречивых, труднопрогнозируемых кризисных процессов в экономике, политике, общественной жизни. Эффект обоснованного экономического решения определяется правильностью оценки и сопоставления собственных возможностей с потребностями и условиями рынка. Это относится к деятельности коммерческих банков, возможно, даже в большей степени, чем к другим сферам бизнеса, так как ошибочная оценка и неверно принятое решение может привести к ликвидации банка или нанести серьезный материальный ущерб клиентам, в том числе и гражданам.
В условиях продолжающейся рыночной нестабильности и кризиса оценка финансовых результатов банка становится особенно актуальна. Результаты проводимого анализа позволяют кредитным учреждениям получить объективную оценку текущего и, возможно перспективного положения, так как, эффективность управления коммерческим банком определяет возможность осуществлять свою деятельность умело и в полном соответствии с нуждами и экономическими целями государства, чего невозможно добиться, не имея оперативной информации.
Актуальность данной проблемы определила тему курсовой работы «Статистические методы анализа результатов деятельности коммерческих банков».
Работа состоит из трех основных глав: теоретической части, расчетной части, аналитической части.
Цель теоретической части данной работы рассмотреть статистические методы оценки и анализа результатов деятельности коммерческого банка. Для достижения поставленных целей необходимо решить следующие задачи:
- дать оценку экономической информации, взятой из отчетности коммерческого банка;
- проанализировать динамику доходов и прибыли;
- оценить качественную и количественную структуру доходов;
- охарактеризовать состояние прибыли банка, источники их формирования;
- рассмотреть тенденцию изменения финансового состояния банка, что является дополнительной важной информацией.
В расчетной части приводиться решение следующих задач:
Задание 1. Исследование структуры совокупности.
Задание 2. Выявление наличия корреляционной связи между признаками (аналитической группировкой и корреляционной таблицей), установление направления связи и измерение ее тесноты.
Задание 3.Определение ошибок выборки средней величины и доли.
Задание 4. Анализ ряда динамики и выявление тенденции методом аналитического выравнивания.
Целью аналитической части курсовой работы является иллюстрация теоретической части на примере финансовых показателей Сбербанка России за 2006-2008 года.
При выполнении расчетной и аналитической части курсовой работы для автоматизированного статистического анализа данных использовались табличный процессор MS Excel.
Глава 1. Статистические методы анализа результатов деятельности коммерческих банков
1.1. Банки. Сущность деятельности банков
Банковская система сегодня - одна из важнейших и неотъемлемых структур рыночной экономики. Развитие банков и товарного производства и обращения исторически шло параллельно и тесно переплеталось. При этом банк, выступая посредником в перераспределении капиталов, существенно повышает общую эффективность производства.
Деятельность банковских учреждений так многообразна, что их действительная сущность оказывается действительно неопределенной. В современном обществе банки занимаются самыми разнообразными видами операций. Они не только организуют денежный оборот и кредитные отношения; через них осуществляется финансирование народного хозяйства, страховые операции, купля-продажа ценных бумаг, а в некоторых случаях посреднические сделки и управление имуществом. Кредитные учреждения выступают в качестве консультантов, участвуют в обсуждении народнохозяйственных программ, ведут статистику, имеют свои подсобные предприятия.
По своей природе банки связаны с денежными и кредитными отношениями. В основе деятельности любого банка лежит идея его функционирования как специфического предприятия. Банки могут быть при этом самыми разнообразными. Например, по характеру выполняемых операций банки:
эмиссионные
коммерческими.
В первом случае это означает, что продуктом банка является эмиссионное регулирование; подобная операция, как правило, возложена на центральные банки. Ими могут быть государственные (национальные, народные) банки, а также другие крупные банки, выполняющие по распоряжению законодательной власти операции по выпуску и изъятию денег из обращения. Главной задачей таких банков является укрепление позиций денежной единицы как внутри страны, так и за рубежом. Обычно эмиссионные банки не занимаются кредитованием народного хозяйства и населения; эта операция входит в компетенцию коммерческих банков, которые предоставляют самые разнообразные ссуды, как предприятиям, так и отдельным гражданам [1].
Банк - это организация, созданная для привлечения денежных средств и размещения их от своего имени на условиях возвратности, платности и срочности.
Основное назначение банка - посредничество в перемещении денежных средств от кредиторов к заемщикам и от продавцов к покупателям. Наряду с банками перемещение денежных средств на рынках осуществляют и другие финансовые и кредитно-финансовые учреждения: инвестиционные фонды, страховые компании, брокерские, дилерские фирмы и т.д. Но банки как субъекты финансового рынка имеют два существенных признака, отличающие их от всех других субъектов.
Во-первых, для банков характерен двойной обмен долговыми обязательствами: они размещают свои собственные долговые обязательства (депозиты, сберегательные сертификаты и пр.), а мобилизованные таким образом средства размещают в долговые обязательства и ценные бумаги, выпущенные другими. Это отличает банки от финансовых брокеров и дилеров, которые не выпускают своих собственных долговых обязательств.
Во-вторых, банки отличает принятие на себя безусловных обязательств с фиксированной суммой долга перед юридическими и физическими лицами. Этим банки отличаются от различных инвестиционных фондов, которые все риски, связанные с изменением стоимости ее активов и пассивов, распределяет среди своих акционеров.
В Российской Федерации создание и функционирование коммерческих банков основывается на Законе РФ "О банках и банковской деятельности в РФ". В соответствии с этим законом банки России действуют как универсальные кредитные учреждения, совершающие широкий круг операций на финансовом рынке: предоставление различных по видам и срокам кредитов, покупка-продажа и хранение ценных бумаг, иностранной валюты, привлечение средств во вклады, осуществление расчетов, выдача гарантий, поручительств и иных обязательств, посреднические и доверительные операции и т.п.
Основным источником конкретной информации о денежных средствах и платежеспособности клиентов банка, кредитных ресурсах и их размещении, надежности и устойчивости банка является банковский баланс, поэтому статистическому анализу банковского баланса уделяется большое внимание.
Анализ банковского баланса – это обобщенный анализ всей деятельности банка.
1.2. Статистическая оценка финансовых результатов банка
1.2.1 Анализ доходов
Финансовым результатом деятельности банка является прибыль, выступающая в виде превышения доходов над расходами. Для проведения анализа финансовых результатов используются данные счетов раздела банковского баланса «Доходы и расходы».
При анализе банковских доходов определяется удельный вес каждого вида доходов в общей их сумме или соответствующей группе доходов, рассматривается динамика доходов и их видов. (Рис 1). Например, удельный вес операционных доходов в общей сумме.
Для этого рассчитываются относительные показатели структуры и координации.
|
ОПС= |
Уровень части совокупности |
|
Суммарный уровень совокупности |
|
ОПК= |
Уровень, характеризующий i-ю часть совокупности части совокупности |
|
Уровень, характеризующий часть совокупности, выбранную в качестве базы сравнения |

Рис. 1 Удельный вес каждого вида доходов в соответствующей группе доходов.1
Динамика доходных статей анализируется по сравнению с прошлым периодом либо по сравнению с плановыми показателями. Для этого рассчитываются относительные показатели выполнения плана (рис. 2).

Рис. 2 Динамика чистых процентных доходов1.
Наиболее общим показателем доходности банка является средняя величина дохода на 1 работника банка, которая вычисляется делением общей суммы полученного за период дохода на среднесписочную численность работников банка за данный период.
Себестоимость активных операций банка определяется средней суммой расходов на обслуживание 1 клиента, равной отношению общей суммы расходов за период к количеству клиентов банка.
1.2.2 Анализ прибыли
Анализ прибыли банка строиться на определении ее структуры, расчете показателей динамики, изучении основных направлений использования и установлений факторов, влияющих на ее изменение. Все расчеты корректируются с учетом текущей инфляции.
При изучении динами прибыли рассматриваются показатели за несколько лет (желательно не менее пяти). По этим показателям рассматривается общая тенденция увеличения или уменьшения прибыли, строиться прогнозы на следующий год на основе расчета среднего абсолютного прироста или среднего темпа роста.
Для анализа ряда динамики прибыли и дохода банка можно использовать следующие формулы:
1) Средний уровень прибыли моментных рядов динамики с равноотстоящими во времени уровнями (т.к. прибыль рассматривается на конец года):

2) Абсолютный прирост:
-
базисный,
-
цепной.
3) Средний абсолютный прирост:
.
4) Темп роста:
- базисный,
-
цепной.
5) Средний темп роста отражает интенсивность изменения уровней ряда:
.
6) Темп прироста характеризует абсолютный прирост в относительных величинах:
.
7) Абсолютное значение одного
процента прироста:
.
Примеры расчетов представлены в аналитической части работы.
При изучении структуры прибыли используются относительный показатель структуры, который представляет собой отношение части и целого.
Также при анализе финансовых результатов банка рассчитываются показатели:
1) Относительный показатель интенсивности. Размер прибыли на 1 работника банка, который характеризует эффективность работы коммерческого банка.
|
П>на 1 р.> = |
Прибыль |
|
Среднесписочная численность работников банка |
2) Доходность активов, доходность капитала.
|
Д>А.> = |
Прибыль |
|
Активы банка |
|
Д>К> = |
Прибыль |
|
Капитал банка (пассив) |
3) Уровень рентабельности банка определяется долей прибыли в доходах банка и может рассчитываться по видам дохода (Рис.2).

Рис.3 Основные итоги деятельности за первый квартал 2009 года2
4) Обобщающий показатель рентабельности – соотношение прибыли и уставного фонда. Он характеризует эффективность и целесообразность вложений средств в тот или иной банк, степень отдачи уставного фонда.
5) Отношение прибыли банка к его расходам (Рис.3).
6) Отдача собственного капитала – показатель, характеризующий прибыль, приходящуюся на 1 руб. собственного капитала:
|
R>К> = |
Прибыль |
100% |
|
Собственный капитал банка |
7) Рентабельность активов характеризует величину прибыли, приходящуюся на 1 руб. доходных активных операций:
|
R>a> = |
Прибыль |
100% |
|
Активы, приносящие доходы |
Данные показатели позволяют оценить, на сколько эффективно работал банк в текущем году, каковы перспективы его дальнейшего существования и на что необходимо обратить внимание в следующем году.
Глава 2. Расчетная часть работы
Задание 1 Исследование структуры совокупности
По исходным данным:
Постройте статистический ряд распределения организаций по признаку вложения в ценные бумаги, образовав пять групп с равными интервалами.
Постройте графики полученного распределения. Графически определите значение моды и медианы.
Рассчитайте характеристики ряда распределения: среднюю арифметическую, среднее квадратическое отклонение, коэффициент вариации.
Вычислите среднюю арифметическую по исходным данным, сравните ее с аналогичным показателем, рассчитанным в п.3 для интервального ряда распределения. Объясните причину их расхождения.
Сделайте выводы по результатам выполнения задания.
Решение:
Таблица 2.1 Данные значения вложений банков в ценные бумаги, млн. руб.
|
№ банка |
вложения в ценные бумаги, млн. руб. |
прибыль, млн. руб. |
№ банка |
вложения в ценные бумаги, млн. руб. |
прибыль, млн. руб. |
|
1 |
4069 |
110 |
19 |
9087 |
439 |
|
2 |
4279 |
538 |
20 |
8016 |
441 |
|
3 |
3959 |
85 |
21 |
7324 |
237 |
|
4 |
1032 |
60 |
22 |
3445 |
282 |
|
5 |
4152 |
39 |
23 |
2079 |
191 |
|
6 |
5347 |
153 |
24 |
2058 |
201 |
|
7 |
2286 |
215 |
25 |
648 |
12 |
|
8 |
2948 |
224 |
26 |
2673 |
77 |
|
9 |
2914 |
203 |
27 |
3145 |
282 |
|
10 |
1600 |
64 |
28 |
2048 |
451 |
|
11 |
2145 |
11 |
29 |
287 |
50 |
|
12 |
3811 |
153 |
30 |
2571 |
306 |
|
13 |
889 |
121 |
31 |
2081 |
440 |
|
14 |
584 |
94 |
32 |
3787 |
204 |
|
15 |
990 |
105 |
33 |
2131 |
63 |
|
16 |
1618 |
93 |
34 |
7298 |
650 |
|
17 |
1306 |
329 |
35 |
4729 |
538 |
|
18 |
1981 |
451 |
36 |
7096 |
175 |
1) Общая сумма вложений в ценные бумаги 116413 млн. руб.
Максимальное значение x>max> = 9087
Минимальное значение x>min> = 287
Размах вариации R = x>max> – x>min> = 9087 - 287 = 8800
Число групп по условию задачи: n= 5
Тогда величина интервала: h = R/n = 8800/5 = 1760
Получаем статистический ряд распределения банков по сумме вложений в ценные бумаги (табл.2.2).
Таблица 2.2 – Распределение банков по сумме вложений в ценные бумаги
|
Группа банков по вложениям в ценные бумаги, млн. руб. |
Число банков |
Накопленные частоты |
общая сумма вложений в ценные бумаги |
||
|
всего |
в % к итогу |
Всего, млн. руб. |
в % к итогу |
||
|
287-2047 |
10 |
27,8% |
10 |
15041 |
12,9% |
|
2047-3807 |
14 |
38,9% |
24 |
32205 |
27,7% |
|
3807-5567 |
7 |
19,4% |
31 |
30346 |
26,1% |
|
5567-7327 |
3 |
8,3% |
34 |
21718 |
18,7% |
|
7327-9087 |
2 |
5,6% |
36 |
17103 |
14,7% |
|
итого |
36 |
100,0% |
116413 |
100,0% |
2) Графики полученного ряда распределения.
Гистограмма распределения

Кумулята распределения

Значение моды находится в интервале от 2047 до 3807, оно будет равно 2687.
Значение медианы находиться в интервале от 2047 до 3807, и будет равно 3053.
3) Расчет характеристик ряда распределения.
Средний размер вложений в ценные бумаги определяем по средней взвешенной:

3367
млн. руб.
Вычисление показателей вариации
- Дисперсия взвешенная
σ2 =
Таблица 2.3 – Вспомогательная таблица для расчета дисперсии
|
Группы банков по сумме вложений в ценные бумаги, млн. руб. |
Число банков в группе (частоты f>i>) |
Середина интервала (x>i>) |
(x>i >-
|
(x>i >-
|
|
287-2047 |
10 |
1167 |
4840000 |
48400000 |
|
2047-3807 |
14 |
2927 |
193600 |
2710400 |
|
3807-5567 |
7 |
4687 |
1742400 |
12196800 |
|
5567-7327 |
2 |
6447 |
9486400 |
28459200 |
|
7327-9087 |
3 |
8207 |
23425600 |
46851200 |
|
Итого |
36 |
138617600 |
3850488,889
Среднее квадратическое отклонение
1962,266
Коэффициент вариации
= 58,279%
Коэффициент вариации больше 33% совокупность считается неоднородной.
Вычисление моды и медианы.
Модальная сумма вложений в ценные бумаги зависит от значения ряда с наибольшей частотой. Наибольшая частота 14 единиц наблюдается при сумме вложений 2047-3807 млн. руб.
Мо=
Мо=
2687
Медианная сумма вложений в ценные бумаги зависит от накопительной частоты, которая должна превысить половину суммарного признака. Половина суммарного признака достигается при2047-3807, и накопленная частота равна 24.
Ме=
Ме=
3053
4) средняя арифметическая исходных данных равна: 116413/36 = 3233,694 млн. руб., значение больше чем среднее значение по группировке, это можно объяснить неоднородностью данной совокупности и
Выводы: Наиболее распространенной,
типичной для данных банков является
сумма вложений в ценные бумаги 2687 млн.
руб., более половины предприятий имеют
сумму вложений в ценные бумаги свыше
3053 млн. руб., при среднем уровне 3367 млн.
руб. Из соотношения этих показателей
(
>M>e>>
>>М>о>) следует вывод о
правосторонней асимметрии распределения
числа банков по сумме вложений в ценные
бумаги. Коэффициент вариации говорит
о том, что данная совокупность неоднородная.
Задание 2 Выявление наличия корреляционной связи между признаками, установление направления связи и измерение ее тесноты
По исходным данным
установите наличие и характер связи между признаками вложение в ценные бумаги и прибыль, образовав заданное число групп с равными интервалами по обоим признакам, методами:
а) аналитической группировки,
б) корреляционной таблицей.
Таблица 2.4 Данные
|
№ банка |
вложения в ценные бумаги, млн. руб. |
прибыль, млн. руб. |
№ банка |
вложения в ценные бумаги, млн. руб. |
прибыль, млн. руб. |
|
|
1 |
4069 |
110 |
19 |
9087 |
439 |
|
|
2 |
4279 |
538 |
20 |
8016 |
441 |
|
|
3 |
3959 |
85 |
21 |
7324 |
237 |
|
|
4 |
1032 |
60 |
22 |
3445 |
282 |
|
|
5 |
4152 |
39 |
23 |
2079 |
191 |
|
|
6 |
5347 |
153 |
24 |
2058 |
201 |
|
|
7 |
2286 |
215 |
25 |
648 |
12 |
|
|
8 |
2948 |
224 |
26 |
2673 |
77 |
|
|
9 |
2914 |
203 |
27 |
3145 |
282 |
|
|
10 |
1600 |
64 |
28 |
2048 |
451 |
|
|
11 |
2145 |
11 |
29 |
287 |
50 |
|
|
12 |
3811 |
153 |
30 |
2571 |
306 |
|
|
13 |
889 |
121 |
31 |
2081 |
440 |
|
|
14 |
584 |
94 |
32 |
3787 |
204 |
|
|
15 |
990 |
105 |
33 |
2131 |
63 |
|
|
16 |
1618 |
93 |
34 |
7298 |
650 |
|
|
17 |
1306 |
329 |
35 |
4729 |
538 |
|
|
18 |
1981 |
451 |
36 |
7096 |
175 |
|
|
Сумма |
116413 |
8087 |
Решение:
А) Группировка банков по вложениям в ценные бумаги:
Максимальное значение x>max> = 9087, Минимальное значение x>min> = 287
Размах вариации R = x>max> – x>min> = 9087 – 287 = 8800
Число групп найдем по формуле Стерджесса при N = 36:
n=1+3,322∙Lg(36) = 1+3,322∙Lg(36) ≈ 6
Тогда длина интервала: h = R/n = 8800/6 = 1466,7 , округлим до 1467.
Получаются следующие группы (таблица 2.5).
Таблица 2.5 Интервалы группировки
|
начало интервала |
конец интервала |
|
|
1 группа |
287 |
1754 |
|
2 группа |
1754 |
3221 |
|
3 группа |
3221 |
4688 |
|
4 группа |
4688 |
6155 |
|
5 группа |
6155 |
7622 |
|
6 группа |
7622 |
9087 |
Группировка банков по прибыли:
Максимальное значение x>max> = 650, минимальное значение x>min> = 11
Размах вариации
R = x>max> – x>min> = 650 – 11 = 639
Число групп найдем по формуле Стерджесса при N = 36:
n=1+3,322∙Lg(36) = 1+3,322∙Lg(36) ≈ 6
Тогда длина интервала: h = R/n = 639/6 = 106,5 , округлим до 107.
Получаются следующие группы (таблица 2.6)
Таблица 2.6 Интервалы группировки
|
начало интервала |
конец интервала |
|
|
1 группа |
11 |
118,0 |
|
2 группа |
118,0 |
225,0 |
|
3 группа |
225,0 |
332,0 |
|
4 группа |
332,0 |
439,0 |
|
5 группа |
439,0 |
546,0 |
|
6 группа |
546,0 |
650,0 |
Находим число банков в каждой группе (см. приложение 1).
Для нахождения суммы вложений в ценные бумаги и прибыли в среднем на один банк по группе разделим итог по группе, соответствующего показателя, на количество банков в группе.
Таблица 2.7 - Итоговая групповая таблица, характеризующая структура банков по вложениям в ценные бумаги
|
Группа банков по вложениям в ценные бумаги |
Число банков в группе |
Вложения в ценные бумаги, млн. руб. |
Прибыль |
Удельный вес, в % к итогу по числу банков. |
||
|
всего в группе |
в среднем на 1 банк |
всего в группе |
в среднем на 1 банк |
|||
|
I - [287 - 1754) |
9 |
8954 |
994,889 |
928 |
103,111 |
25,00% |
|
II - [1754 -3221) |
13 |
31060 |
2389,231 |
3115 |
239,615 |
36,00% |
|
III - [3221 - 4688) |
7 |
27502 |
3928,857 |
1411 |
201,571 |
19,00% |
|
IV- [4688 - 6155) |
2 |
10076 |
5038,000 |
691 |
345,500 |
6,00% |
|
V-[6155 - 7622) |
3 |
21718 |
7239,333 |
1062 |
354,000 |
8,00% |
|
VI-[7622 - 9087) |
2 |
17103 |
8551,500 |
880 |
440,000 |
6,00% |
|
Всего: |
36 |
116413 |
3233,694 |
8087 |
224,639 |
100% |
Вывод: Самая большая сумма вложений в ценные бумаги на один банк у 6 группы – 8551,5 млн. руб., хотя число предприятий в ней наименьшее - 2. Причем у этой же группы максимальная прибыль на один банк. Максимальное число банков во второй группе.
Сравнивая графы 4 и 6 таблицы 2.7, замечаем, что с увеличением вложений в ценные бумаги увеличивается и прибыль, то есть между изучаемыми признаками существует прямая зависимость.
По второму признаку – прибыль группировка:
Таблица 2.8 - Итоговая групповая таблица, характеризующая структура банков по прибыли
|
Группа банков по прибыли, млн. руб. |
Число банков в группе |
вложения в ценные бумаги, млн. руб. |
Удельный вес, в % к итогу |
прибыль, млн. руб. |
||
|
всего в группе |
в среднем на 1 банк |
всего в группе |
в среднем на 1 банк |
|||
|
I - [11 - 118) |
13 |
25888 |
1991,385 |
36,00% |
863 |
66,385 |
|
II - [118 - 225) |
10 |
33215 |
3321,500 |
28,00% |
1840 |
184,000 |
|
III - [225 - 332) |
5 |
17791 |
3558,200 |
14,00% |
1436 |
287,200 |
|
IV- [332 - 439) |
0 |
- |
- |
0,00% |
- |
- |
|
V-[439 - 546) |
7 |
32221 |
4603,000 |
19,00% |
3298 |
471,143 |
|
VI-[546 - 650) |
1 |
7298 |
7298,000 |
3,00% |
650 |
650,000 |
|
Всего: |
36 |
116413 |
3233,694 |
100% |
8087 |
224,639 |
Вывод: Наибольший удельный вес по данной группе банков 36%, составляют банки с прибылью от 11 до 118 млн. руб. Наименьший удельный вес по данной группе предприятий 3%, составляют банки с прибылью от 546 до 650 млн. руб. Банков с прибылью от 332 до 439 млн. руб. нет.
Самое большая сумма вложений в ценные бумаги на 1 банк у 6 группы – 7298 млн. руб., и число банков в ней наименьшее -1. Максимальное число банков в первой и во второй группах, составляет 64% от всех банков. Максимальная прибыль в среднем на 1 банк у 6 группы – 650 млн. руб., хотя эта группа предприятий составляет лишь 3%.
Таблица 2.9 Анализ наличия связи между признаками
|
Групп банков по факторному признаку (вложения в ценные бумаги) |
Группы банков по результативному признаку (прибыль) |
|||||||
|
I – [11 - 118) |
II – [118 - 225) |
III – [225 - 332) |
IV- [332 - 439) |
V- [439 - 546) |
VI- [546 - 650) |
итого |
||
|
группа |
№ банка |
1,3,4,5,10,11,14, 15,16,25,26,29, 33 |
6,7,8,9,12,13, 23,24,32,36 |
17,21,22,27, 30 |
- |
2,18,19,20, 28,31,35 |
34 |
|
|
I - [287 - 1754) |
4,10,13, 14,15,16, 17,25,29 |
7 |
1 |
1 |
9 |
|||
|
II - [1754 -3221) |
7,8,9,11, 18,23,24, 26,27,28, 30,31,33 |
3 |
5 |
2 |
3 |
13 |
||
|
III - [3221 - 4688) |
1,2,3,5, 12,22,32 |
3 |
2 |
1 |
1 |
7 |
||
|
IV- [4688 - 6155) |
6,35 |
1 |
1 |
2 |
||||
|
V-[6155 - 7622) |
21,34,36 |
1 |
1 |
1 |
3 |
|||
|
VI-[7622 - 9087) |
19,20 |
2 |
2 |
|||||
|
Всего: |
13 |
10 |
5 |
0 |
7 |
1 |
Вывод: Связь между факторным признаком (вложения в ценные бумаги) и результативным (прибыль) прямая, т.к. данные в таблице 2.9 располагаются вдоль диагонали направленной из левого верхнего угла в правый нижний угол.
Б) Метод Корреляционной таблицы
Связь между признаками прямая. Построив точечную диаграмму по данным, где факторным признаком будет сумма вложений в ценные бумаги, а результативным прибыль добавляем линию тренда. Получаем уравнение прямой зависимости:
Уравнение прямой имеет вид:
y = 0,0367x + 105,81

Строим таблицу для расчета коэффициента корреляции.
Таблица 2.10 Расчеты для коэффициента корреляции
|
№ банка |
вложения в ценные бумаги, млн. руб. Х |
прибыль, млн. руб. У |
Х2 |
ХУ |
У2 |
|
1 |
4069 |
110 |
16556761 |
447590 |
12100 |
|
2 |
4279 |
538 |
18309841 |
2302102 |
289444 |
|
3 |
3959 |
85 |
15673681 |
336515 |
7225 |
|
4 |
1032 |
60 |
1065024 |
61920 |
3600 |
|
5 |
4152 |
39 |
17239104 |
161928 |
1521 |
|
6 |
5347 |
153 |
28590409 |
818091 |
23409 |
|
7 |
2286 |
215 |
5225796 |
491490 |
46225 |
|
8 |
2948 |
224 |
8690704 |
660352 |
50176 |
|
9 |
2914 |
203 |
8491396 |
591542 |
41209 |
|
10 |
1600 |
64 |
2560000 |
102400 |
4096 |
|
11 |
2145 |
11 |
4601025 |
23595 |
121 |
|
12 |
3811 |
153 |
14523721 |
583083 |
23409 |
|
13 |
889 |
121 |
790321 |
107569 |
14641 |
|
14 |
584 |
94 |
341056 |
54896 |
8836 |
|
15 |
990 |
105 |
980100 |
103950 |
11025 |
|
16 |
1618 |
93 |
2617924 |
150474 |
8649 |
|
17 |
1306 |
329 |
1705636 |
429674 |
108241 |
|
18 |
1981 |
451 |
3924361 |
893431 |
203401 |
|
19 |
9087 |
439 |
82573569 |
3989193 |
192721 |
|
20 |
8016 |
441 |
64256256 |
3535056 |
194481 |
|
21 |
7324 |
237 |
53640976 |
1735788 |
56169 |
|
22 |
3445 |
282 |
11868025 |
971490 |
79524 |
|
23 |
2079 |
191 |
4322241 |
397089 |
36481 |
|
24 |
2058 |
201 |
4235364 |
413658 |
40401 |
|
25 |
648 |
12 |
419904 |
7776 |
144 |
|
26 |
2673 |
77 |
7144929 |
205821 |
5929 |
|
27 |
3145 |
282 |
9891025 |
886890 |
79524 |
|
28 |
2048 |
451 |
4194304 |
923648 |
203401 |
|
29 |
287 |
50 |
82369 |
14350 |
2500 |
|
30 |
2571 |
306 |
6610041 |
786726 |
93636 |
|
31 |
2081 |
440 |
4330561 |
915640 |
193600 |
|
32 |
3787 |
204 |
14341369 |
772548 |
41616 |
|
33 |
2131 |
63 |
4541161 |
134253 |
3969 |
|
34 |
7298 |
650 |
53260804 |
4743700 |
422500 |
|
35 |
4729 |
538 |
22363441 |
2544202 |
289444 |
|
36 |
7096 |
175 |
50353216 |
1241800 |
30625 |
|
Итого |
116413 |
8087 |
550316415 |
32540230 |
2823993 |
|
Среднее |
3233,694 |
224,639 |
15286567,08 |
903895,278 |
78444,25 |
Для проверки тесноты связи между признаками находим коэффициент корреляции:
,
где
,
,
,
,

Получаем следующие значения:
903895,278,
3233,694,
224,639
2197,678,
167,277
Коэффициент корреляции:
0,48278
Т.к. коэффициент больше 0,3 но меньше 0,5 то связь слабая, прибыль зависит от суммы вложений только на 48,3%.
Коэффициент положителен это означает, что при росте значения Х значение У также увеличивается. Связь прямая.
Коэффициент детерминации: Д= r2*100%, Д=23,3%
Полученное уравнение y = 0,0367x + 105,81, на 23,30% объясняет общий разброс результатов наблюдений.
Задание 3. Ошибки выборки
По результатам выполнения задания 1 с вероятностью 0,954 определите:
Ошибку выборки средней величины вложения средств банками в ценные бумаги и границы, в которых будет находиться средняя величина вложений в генеральной совокупности.
Ошибку выборки доли банков с вложениями средств в ценные бумаги 3811 млн. руб. и более и границы, в которых будет находиться генеральная доля.
Решение
1) Предельная ошибка выборки для средней:

Выборка механическая 3%. Значит, n=3, N=100, с вероятностью 0,954.
Для вероятности 0, 954 по интегральной функции Лапласа t=1,99.
Дисперсия -
3850488,889,
среднее значение вложений в ценные
бумаги 3367 млн. руб.
2220,426
Возможные пределы, в которых ожидается средняя величина вложений в ценные бумаги в генеральной совокупности:

3367-2220,426
3367+2220,426
1146,574
5587,426
С вероятностью 0,954 можно утверждать, что средний размер вложений в ценные бумаги для всех банков находится в пределах от 1146,574 млн. руб. до 5587,426 млн. руб.
2) Всего число банков n=36.
Число банков с вложениями средств в ценные бумаги 3811 млн. руб. и более - 12, тогда точечная оценка W=12/36=1/3=0,333.
Средняя ошибка выборки:
М>w>=
0,079
t=2 по таблице Стьюдента.
M>w>t=2*0,079=0,158
Получаем интервал от 0,333 - 0,158 до 0,333 + 0,158, т.е. от 0,175 до 0,491.
Следовательно, ошибка выборки доли банков с вложениями средств в ценные бумаги 3811 млн. руб. и более равна 7,9%. Границы, в которых будет находиться генеральная: от 17,5% до 49,1%.
Задание 4. Анализ ряда динамики
Имеются следующие данные по коммерческому банку о просроченной задолженности по кредитным ссудам:
Таблица 2.11 Данные
|
год |
задолженность по кредиту, млн. руб. |
по сравнению с предыдущим годом |
абсолютное значение 1% прироста, млн. руб. |
||
|
абсолютный прирост, млн. руб. |
темп роста, % |
темп прироста, % |
|||
|
2000 |
- |
- |
- |
- |
|
|
2001 |
106,25% |
16 |
|||
|
2002 |
100 |
||||
|
2003 |
30,00% |
||||
|
2004 |
108,50% |
Определите:
Задолженность по кредиту за каждый год.
Недостающие показатели анализа ряда динамики и внесите их в таблицу.
Основную тенденцию развития методом аналитического выравнивания.
Осуществите прогноз задолженности на следующие два года на основе найденного тренда. Постройте графики. Сделайте выводы.
Решение:
1-2) Пусть y>t> –задолженность по кредиту в период t, тогда
Абсолютный прирост: y>t> – y>t>>-1,>
Темп роста: y>t>/y>t>>-1,>
Темп прироста: y>t>/y>t>>-1> – 1.
Абсолютное значение одного процента прироста, определяется как отношение абсолютного прироста к соответствующему темпу прироста:

Тогда по абсолютному значению 1% прироста 2001 года, находим задолженность по кредиту 2000 года:
16= 0,01*у>t>>-1>,
у>t>>-1> = 1600 млн. руб.
Значение темпа прироста: 106,25% – 1 = 6,25%.,
Задолженность по кредиту за 2001г.: 1600*106,25% = 1700 млн. руб., абсолютный прирост составит: 1700-1600 = 100 млн. руб.
Далее находим показатели 2002 года:
Задолженность по кредиту: 1700 + 100 = 1800 млн. руб.
Темп роста: 1800/1700 = 105,88%, темп прироста составит 105,88% - 1 = 5,88%, абсолютное значение 1% прироста 0,01*1700 = 17 млн. руб.
Показатели по кредитной задолженности 2003 года:
Темп роста 1+30% = 130%
Задолженность по кредиту 1800 * 130% = 2340 млн. руб.
Абсолютный прирост 2340 – 1800 = 540 млн. руб.
Абсолютное значение 1% прироста: 0,01*1800 = 18 млн. руб.
Показатели по кредитной задолженности 2004 года:
Темп прироста 108,5% - 1 = 8,5%
Задолженность по кредиту 2340 * 108,5% = 2538,9 млн. руб.
Абсолютный прирост 2538,9 – 2340 = 198,9 млн. руб.
Абсолютное значение 1% прироста: 0,01*2340 = 23,4 млн. руб.
В результате манипуляций получим таблицу 2.12
Таблица 2.12 Просроченная задолженность по кредитным ссудам.
|
год |
задолженность по кредиту, млн. руб. |
по сравнению с предыдущим годом |
абсолютное значение 1% прироста, млн. руб. |
||
|
абсолютный прирост, млн. руб. |
темп роста, % |
темп прироста, % |
|||
|
2000 |
1600 |
- |
- |
- |
- |
|
2001 |
1700 |
100 |
106,25% |
6,25% |
16 |
|
2002 |
1800 |
100 |
105,88% |
5,88% |
17 |
|
2003 |
2340 |
540 |
130,00% |
30,00% |
18 |
|
2004 |
2538,9 |
198,9 |
108,50% |
8,50% |
23,4 |
Тенденция развития методом аналитического выравнивания.
Построим график задолженности по кредиту, млн. руб.

По графику модно предположить линейную зависимость задолженности по кредиту от года.
Определяем параметры линейного уравнения:
У=а>0> + а>1>Х
Для этого найдем а>1> и а>0> из системы:
,
Для нахождения коэффициентов системы оставим дополнительную таблицу.
Таблица 2.13 Расчет коэффициентов системы уравнений.
|
№ п/п |
Год (Х) |
задолженность по кредиту (У) |
Х2 |
ХУ |
У2 |
У расчетное |
|
1 |
2000 |
1600 |
4000000 |
3200000 |
2560000 |
1492,22 |
|
2 |
2001 |
1700 |
4004001 |
3401700 |
2890000 |
1744,00 |
|
3 |
2002 |
1800 |
4008004 |
3603600 |
3240000 |
1995,78 |
|
4 |
2003 |
2340 |
4012009 |
4687020 |
5475600 |
2247,56 |
|
5 |
2004 |
2538,9 |
4016016 |
5087955 |
6446013,21 |
2499,34 |
|
Итого |
10010 |
9978,9 |
20040030 |
19980275,6 |
20611613,21 |
9978,9 |
|
Среднее |
2002 |
1995,78 |
4008006 |
3996055,12 |
4122322,642 |
1995,78 |
Имеем следующую систему:

Находим решение методом Крамара:
|
Δ= |
5 |
10010 |
= 5∙20040030 – 10010∙10010 = 50 |
|
10010 |
20040030 |
||
|
Δ>0> = |
9978,9 |
10010 |
= 9978,9∙20040030 – 10010∙19980275,6 = 25103289 |
|
19980275,6 |
20040030 |
||
|
Δ>1 >= |
5 |
9978,9 |
=5∙19980275,6 – 9978,9∙10010 = 12589 |
|
10010 |
19980275,6 |
-502067,78
251,78
Уравнение регрессии имеет вид:

Расчетные значения результативного признака (выпуска продукции) представлены в таблице 2.13.
Находим остаточную сумму квадратов и среднюю ошибку аппроксимации.
Для проверки тесноты связи между признаками находим коэффициент корреляции:
,
где
,
,
,
,

Получаем следующие значения:
3996055,12,
2002,
1995,78
1,414
373,075
Коэффициент корреляции:
0,954565
Т.к. коэффициент больше 0,7 то связь сильная. Задолженность по кредиту зависит от года на 95,046%
Коэффициент положителен это означает, что при росте значения Х значение У также увеличивается. Связь прямая.
Коэффициент детерминации: Д= r2*100%, Д=91,12%

Прогноз задолженности на основе найденного тренда:
2005 год:
2751,12
млн. руб.
2006 год:
3002,9
млн. руб.
Вывод: Найденная зависимость указывает на линейный рост задолженности по кредиты с каждым последующим годом.
Используя средства Excel, построим для сравнения тренд экспоненциальный.

Полученная зависимость имеет коэффициент детерминации больше чем линейная, следовательно, она описывает тенденцию кредитной задолженности лучше.
Глава 3. Аналитическая часть
3.1 Постановка задачи
Финансовым результатом деятельности банка является прибыль, выступающая в виде превышения доходов над расходами. При анализе банковских доходов определяется удельный вес каждого вида доходов в общей их сумме или соответствующей группе доходов.
Удельный вес конкретного вида дохода в общей сумме показывает, насколько доходы зависят от данной статьи. Для анализа структуры доходов строиться таблица с абсолютными и относительными показателями.
Динамика доходных статей анализируется по сравнению с прошлым периодом либо по сравнению с плановыми показателями. Для этого рассчитываются относительные и абсолютные показатели изменения анализируемых статей.
Анализ прибыли банка строиться на расчете показателей динамики, изучении основных направлений использования прибыли.
При изучении динами прибыли рассматриваются показатели за несколько лет. По этим показателям рассматривается общая тенденция увеличения или уменьшения прибыли, строиться прогнозы на следующий год на основе расчета среднего абсолютного прироста или среднего темпа роста.
Проанализируем финансовый результат Сбербанка России за 2007-2008 год на основе банковской отчетности: баланса и отчета о прибылях и убытках (данные взяты с официального сайта Сбербанка России http://www.sbrf.ru).
3.2 Методика решения задачи
Для анализа структуры банковских доходов определяется удельный вес каждого вида доходов в общей их сумме или соответствующей группе доходов. Для этого строится таблица, отображающая абсолютное значение показателя по статье доходов, а так вклад его в общую сумму доходов банка.
В статистических исследованиях при анализе рядов динамики рассматриваются относительные и абсолютные показатели. Построим таблицу, отображающую цепные и базисные приросты и темпы роста, рассчитаем средние абсолютные и относительные темпы роста и прироста. Также выполним прогноз на 01.10.2010 на основе абсолютного ценового прироста.
3.3 Технология выполнения контрольных расчетов
Все расчеты выполнены с применением пакета прикладных программ обработки электронных таблиц MS Excel в среде Windows.
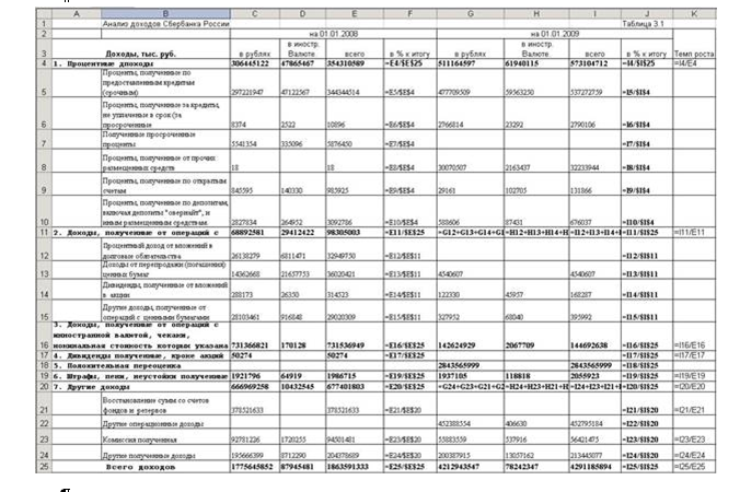
Расположение на рабочем листе Excel исходных данных (приложение 2) по доходам Сбербанка России и расчетных формул в формате Excel представлено в таблице 3.1.

Результаты расчетов приведены в таблице 3.2

Расположение на рабочем листе Excel исходных данных (ряд динамики) по прибыли Сбербанка России за 2006-2008 года и расчетных формул в формате Excel представлено в таблице 3.3.

Результаты расчетов приведены в таблице 3.4

3.4 Анализ результатов статистических компьютерных расчетов
Результаты приведенных расчетов позволяют сделать следующие выводы.
В целом динамика доходов и прибыли банка России положительна. Наибольшую долю в доходах занимают операционные доходы.
На конец 2007 года наибольшую долю доходов составляла статья «доходы, полученные от операций с иностранной валютой, чеками, номинальная стоимость которых указана в иностранной валюте», на конец 2008 года максимальная доля доходов получено от положительной переоценки активов банка. Причем на 01.01.2009 доходы банка увеличились в 2,3 раза, а прибыль уменьшилась на 10%.
Динамика прибыли положительная. Средняя прибыль составила 100,583 млрд. руб. Средний абсолютный прирост (цепной) 14,567 млрд. руб., а средний темп роста 1,188.
Прогноз, составленный на 01.01.2010 на основе абсолютного цепного прироста, 122,767 млрд. руб.
Заключение
В условиях рыночной нестабильности и кризиса оценка финансовых результатов банка становится особенно актуальна. Результаты проводимого анализа позволяют кредитным учреждениям получить объективную оценку текущего и, возможно перспективного положения.
Основным источником конкретной информации о денежных средствах и платежеспособности клиентов банка, кредитных ресурсах и их размещении, надежности и устойчивости банка является банковский баланс, поэтому статистическому анализу банковского баланса уделяется большое внимание, особенно разделу о прибылях и убытках.
Финансовым результатом деятельности банка является прибыль, выступающая в виде превышения доходов над расходами. Для проведения анализа финансовых результатов используются данные счетов раздела банковского баланса «Доходы и расходы».
При анализе банковских доходов определяется удельный вес каждого вида доходов в общей их сумме или соответствующей группе доходов, рассматривается динамика доходов и их видов.
При изучении динами прибыли рассматриваются показатели за несколько лет (желательно не менее пяти). По этим показателям рассматривается общая тенденция увеличения или уменьшения прибыли, строиться прогнозы на следующий год на основе расчета среднего абсолютного прироста или среднего темпа роста.
На основании расчетов проведенных в третьей главе данной работы можно сделать следующие выводы о финансовой деятельности Сбербанка России: в целом динамика доходов и прибыли банка положительна, даже в условиях кризиса 2008 года. Наибольшую долю в доходах занимают операционные доходы.
Доходы банка на 01.01.2009 увеличились в 2,3 раза по сравнению с 01.01.2008г., а прибыль уменьшилась на 10%, за счет увеличения расходов в 2,44 раза.
Динамика прибыли за 2006-2008 года положительная. Средняя прибыль составила 100,583 млрд. руб. Средний абсолютный прирост (цепной) 14,567 млрд. руб., а средний темп роста 1,188, что выше темпа инфляции в 2008 году.
Прогноз, на 01.01.2010 на основе абсолютного цепного прироста, составил 122,767 млрд. руб.
Литература
Банковское дело / Под ред. О.И. Лаврушина. – М.: “Роспотребрезерв”, 1992.
Гусаров В.М. Статистика: Учеб. пособие для вузов. -М.: ЮНИТИ-ДАНА, 2002
Общая теория денег и кредита: Учебник / Под ред. Е.Ф. Жукова. – М.: Банки и биржи, ЮНИТИ, 1995.
Статистика: Учебник / под ред. В.С. Мхитаряна. –М.: Экономистъ, 2006
Тимофеева Т.В., Снатенков Н.А., Мендыбаева Е. Р. Финансовая статистика. – М.: «Финансы и статистика», 2006
Финансы. Денежное обращение. Кредит: Учебник для вузов/ Л.А. Дробозина, Л.П. Окунева, Л.Д. Андросова и др.; Под ред. проф. Л.А. Дробозиной. – М.: Финансы, ЮНИТИ, 1997.
http://www.sbrf.ru
1 Итоги деятельности Группы Сбербанка России по МСФО за первый квартал 2009, http://www.sbrf.ru
2 Итоги деятельности Группы Сбербанка России по МСФО за первый квартал 2009, http://www.sbrf.ru
1
)2