Курсовой проект по несущим конструкциям и механизмам(сопромат)
Содержание
Задание на проектирование ………………………. 2
Описание механизма ...…………………………….. 3
Выбор электродвигателя …...………………………. 4
Кинематический расчет механизма ……………….. 5
Силовой расчет механизма ………………………… 6
Выбор конструкционных материалов …………….. 7
Геометрический расчет механизма ……………….. 8
Расчет зацепления на прочность ………………….. 9
Проверочный расчет вала …………………………. 10
Расчет подшипника на долговечность …………… 12
Расчет предохранительной фрикционной муфты .. 13
Расчет шпонки на смятие ………………………….. -
Список литературы ………………………………… 14
Задание на проектирование: Р1 - 03
Тема задания: спроектировать редуктор привода азимутального вращения зеркала самолетной радиолокационной антенны по кинематической схеме:
Исходные данные:
Угол обзора град - 100
Скорость обзора , град/с - - 90
Марка электродвигателя - ДПР-42-Ф1-03
Модули зацепления Z>1>-Z>2> m=0,5мм
Z'>2>-Z>3> m=0,7мм
Z'>3>-Z>4> m=0.9мм
Z'>4>-Z>5> m=1,25мм
Расчетная наработка, час - 1400
И механическим требованиям
1.1 Режим работы привода - долговременный с реверсированием по графику
реверс двигателя
осуществляется
электронным блоком
управления
2.Описание конструкции привода
Кинематическая схема азимутального привода зеркала радиолокационной антенны с реверсом зеркала за счет изменения направления вращения выходного вала электродвигателя показана на рисунке. Привод состоит электродвигателя 1 и трехступенчатого редуктора 2 , выходная шестерня которого Z'>4 >находятся в зацеплении ни оси 3 зеркала антенны 4.
Частота вращения зеркала n>a> зависит от ширины диаграммы направленности, частоты излучения передатчика станции и других параметров. Для РЛС, устанавливаемых на пассажирских самолетах, n>a >= 10..25 об/мин. В приводах зеркала самолетных радиолокационных применяют асинхронные двигатели переменного тока ЭМ, ДКМ, и т.д. напряжением питания U=115B и частотой f=400Гц. Применяются также и двигатели постоянного тока типа Д, ДПР и другие с питанием от сети. Двигатели переменного тока ввиду меньшей инерционности якоря обладают лучшим быстродействием при их риверсирова-нни. Вместе с тем двигатели постоянного тока допускают большие перегрузки. Для получения необходимой частоты вращения вала зеркала антенны используется редуктор, число ступеней которого зависят от значения требуемого передаточного отношения. Ввиду сравнительно небольшой окружной скорости в зацеплениях зубчатые колеса выполняются с прямыми зубьями. Модули зацепления: первой пары m>1>=0,5 мм, второй m>2>=0,7 мм, третьей m>3>=0,9мм, а выходная шестерня имеет модуль m>4>=1,25мм.
Материал зубчатых колес (12ХН3А,38ХА) с закалкой и высоким отпуском, что обеспечивает при мелких модулях зацепления оптимальное соотношение твердостью поверхностей зубьев и мягкостью их сердцевины. Валы такие выполнены из конструкционной легированной стали. Т.к. опоры валов нагружены сравнительно небольшой радиальной нагрузкой, в опорах используются шариковые радиальные подшипники легкой серии. Предохранительная фрикционная муфта отрегулирована с помощью лужины на передачу крутящего момента равного 1,2 номинального момента этого вала.
Конструкция корпуса редуктора отражает стремление к минимальной массе механизма, удобству размещения на антенном блоке. Корпус изготовлен литьем в кокиль, что обеспечивает высокую производительность и качество отливки, сочетающуюся с её тонкостенкостью. Корпус имеет разъемную конструкцию с плоскостью разъема поперёк осей валов. Выходной вал редуктора имеет манжетное уплотнение, позволяющее предохранить внутрению плоскость редуктора от попадания пыли и уменьшить утечку смазки. В качестве смазки используется пластичная смазка ОКБ-122,тонкий слой которой наносится при сборке на подшипники и зубчатые колеса. Для повышения антикоррозийных свойств детали имеют антикоррозийное покрытие - оксидирование с промасливанием, а для крепёжных деталей - надлигровка. Кинематика описываемых конструкций приводов определяется типом используемого электродвигателя и требуемой частотой вращения вала антенны и может иметь 3-5 ступеней с соответствующими передаточными числами.
3.Выбор электродвигателя.
3.1 Двигатель привода - постоянного тока ДПР-42-Ф1-03. Двигатель ДПР-42-Ф1-03 имеет исполнение Ф1 - фланцевое с одним выходным концом вала.
ДПР-42-Ф1-03
Частота вращения, об/мин - 4500
Момент, Н мм - 5,0
Срок службы, ч - 2000
Мощность, Вт - 2,36
3
.2
Общее передаточное отношение привода
разбить по условию:
Передаточное отношение последней пары принять в пределах i>4'5>=8…10 .
3.3 Фрикционную предохранительную муфту рассчитать на передачу расчетной нагрузки.
3.4 Смазка зацеплений и подшипников - пластичная.
4.Кинематический расчет механизма.
4.1 Определение и разбивка по ступеням передаточного отношения.

Передаточное
отношение привода:

Частота
вращения антенны:

Передаточные
отношения ступеней:
4.2 Расчет числа зубьев
Принимаем суммарное число зубьев пары колес в пределах Z>>=80…100 при Z>min>17 тогда
4
.3
Передаточные числа ступеней:
4

.4
Частоты вращения валов:
5.Силовой расчет механизма.
5
.1
Расчет КПД:
5
.2
Моменты на валах:
6. Выбор материала.
-
Шестер- ни и валы
>В>
>Т>
>-1>
НВ
Е>К>
38ХА
930
785
420
300
2,02x105
-
Колеса
>В>
>Т>
>-1>
НВ
Е>Ш>
12ХН3А
880
685
350
260
2x105
7.Геометрический расчет.
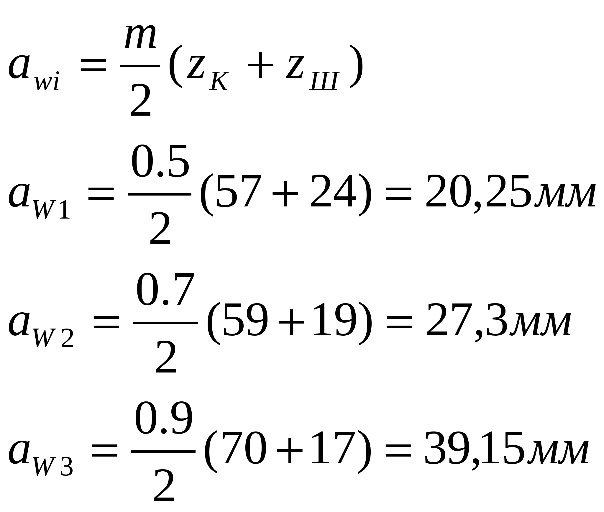
Определение межосевых расстояний и размеров зубчатых колес:

7.1
Межосевые расстояния рассчитывают по
формуле:
7.2 Определение размеров зубчатых колес:


а)
делительные диаметры d=m>i*>z>i>


б)
диаметры вершин зубьев шестерен и колес:


в)
диаметры впадин зубьев шестерен и колес:
7.3 Длина зубьев определяется по формуле b>wi>=a>wi*>>a> , где >а>=0,1
Д
лина
ступиц зубчатых колес рассчитывается
в зависимости от диаметра вала по
формуле:
Диаметр ступиц зубчатых колес рассчитывается в зависимости от диаметра вала по формуле:
8.Расчет зуба на контактную прочность.
Проверочный расчет зуба на контактную прочность выполняется по формуле:
М

инимальное
контактное предельное напряжение
выбирается из условия:
-число эквивалентных циклов нагружений для шестерни и колеса:
Для шестерни:
Д
ля
колеса:
Д
ля
шестерни:
9.Проверочный расчет вала.
Таким образом условие прочности выполняется: n=21,7>[n]=1,5..1,7
10.Расчет подшипника на долговечность.
Р
асчет
ведем по формуле:
а - коэффициент, учитывающий влияние качества метала колец и тел качения
a=0,21
c - динамическая грузоподъемность; для данного подшипника выходного вала
с=4620Н
р - Эквивалентная динамическая нагрузка
F
>r>,F>a>-
радиальная и осевая нагрузки, а т.к.
подшипник в данном случае радиальный,
то F>a>=0,
V=1, т.к. вращается внутреннее кольцо
подшипника;
K>> - коэффициент безопасности, K>>=1,3;
K>t> - температурный коэффициент, K>t>=1;
X
=1;Y=0;Y>A>=26,2Н;Z>A>=80,67Н;
n
>в
>- частота вращения
вала n>в4>=150 об/мин;
таким образом работоспособность подшипника обеспечена.
11.Расчет фрикционной предохранительной муфты.
Расчет муфты ведется по формуле:
О
ткуда
выражаем q,
для выполнение условия q
[q]
= 0,6МПа;q
- удельное давление, где M>муф>-
момент вала муфты = 31,14Н>*>мм;
Z-число рабочих поверхностей. Z=4
f - коэффициент учитывающий трение поверхностей дисков, f=0,08;
D - наружный диаметр дисков, D=18мм;
d - внутренний диаметр дисков, d=4мм;
Т
аким
образом q=0,06МПа<[q]=0,6МПа
1






2.Расчет
шпонки на смятие.
d










- диаметр вала; d=6мм
h - высота шпонки; h=2мм
L>p> - длина шпонки; L>p>=5мм
M>b >- момент вала; M>в>=371,9Н>*>мм
На котором находится шпонка.
[>см>]=150МПа
13.Список литературы
Джамай В.В., Плево И.П. Рощин Г.И., Редюк И.Б. "Курсовое проектирование механизмов РЭС" Москва 1991г.
Бонч-Осмолский Л.А., и др. "Методические указания к курсовому проектированию по деталям механизмов и машин", Москва 1991г.
Джамай В.В., Кордюкова Л.Н., "Методические указания по расчету валов авиационных механизмов", МАИ 1987 г.
Кордюкова Л.Н. "Выбор электродвигателя и силовой расчет привода бортовых Л.А." МАИ 1984г.