Internal Structure of a Proton and New Method of Receiving of Energy

Вычитание сил инерции и тяготения

к.ф-м.н. Рыков А.В.

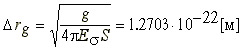
Гравитационные, инерционные, электрические и магнитные взаимодействия с космической средой приводят к ее деформациям. Ускорение силы тяжести задает деформацию:

,

(1)

где,.

В формулу (1) в целях экономии места уже подставлено значение ускорения силы тяжести для Земли - 9.82. Полученная величина деформации дает представление о реальных ее величинах. Ускорение любой массы приводит к деформации среды:

.

(2)

Таким образом, сила инерции определяется как упругое сопротивление среды любому ускорению массы тела. Среда обитания вещества задает такие фундаментальные свойства вещества как гравитация и инерция. Она позволяет, изменяя величину деформации, влиять на действующую силу тяготения; уменьшая величину инерционной деформации, можно ликвидировать инерцию или придать ей отрицательные свойства.

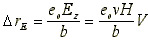
Технология воздействия на среду открывает путь к безинерционным способам движения в среде и конвертированию упругой энергии среды в энергию вещества. Средства воздействия на структуру среды хорошо известны. Например, Луна создает в области либрации деформацию среды, равную по величине и противоположную по направлению деформации от Земли. В этой области присутствует деформационный фон только от других планет и Солнца, притяжение тел Луной и Землей отсутствует. Электрическая напряженность, созданная в среде, также воздействует на ее деформацию. Электростатическая напряженность способна компенсировать силу тяжести; например, электрическая напряженность в среде, равная 1,1402T 1010 В/м, способна компенсировать силу тяготения Земли. Практически такой способ воздействия на среду нереален. Желаемый результат получен в опыте [Рощин В.В., Годин С.М., 2000] с применением переменного магнитного напряжения в среде при вращательном движении. Согласно формуле Максвелла, производная по времени для магнитной индукции дает электрическую напряженность в среде, способную компенсировать деформацию среды и управлять тяжестью опытной массы. Для простоты оценочных расчетов можно взять формулу, где V - линейная скорость вращения ротора в конверторе. Эта электрическая напряженность вызывает деформацию м.

Достаточно, чтобы данная деформация вычиталась из гравитационной деформации среды, и сила притяжения к Земле уменьшится:.

Этот эффект наблюдался при работе конвертора. Так как в роторе вращались дискретно расположенные магниты, то наблюдается средний эффект уменьшения силы тяжести величиной около 35%. На самом деле в некоторые моменты времени воздействие переменной магнитной индукции в конкретной области среды варьируется при вращении ротора от предельной, приводящей к появлению реальных электронов и позитронов, до нуля и нормальной силы тяготения Земли. В среднем получается 35% изменения силы тяготения, а аннигиляция электронов и позитронов, возникающих при разрыве диполей, порождает наблюдаемый эллипсоид излучения вокруг ротора.

Одновременно с указанными эффектами свечения и изменения силы тяжести происходит уменьшение инерции ротора. В замкнутой системе магнитной напряженности найдется компонента, действие которой компенсирует деформацию среды ускорительного происхождения. Уменьшение инерции вызовет эффект ускоренного вращения ротора подобно приему, используемому фигуристами на льду, в независимости от прилагаемого внешнего вращательного момента. Это явление наблюдалось при оборотах ротора более 550 об/мин. Экспериментаторы допускали вращение ротора и отдачу вырабатываемой электроэнергии в цепь внешнего потребителя на время до 15 минут и мощностью до 6 КВатт. Время ограничивалось умышленно по причинам техники безопасности, условия которой еще неизвестны. Запуски проводились до 80 раз и каждый раз все эффекты работы конвертора повторялись. С точки зрения пустотной физики существование подобных вечных двигателей просто нонсенс в силу закона сохранения энергии. Наличие среды обитания вещества гарантирует выполнение этого закона: упругая энергия структуры среды конвертируется в энергию вещества со строгим выполнением закона сохранения энергии.

Введение в рассмотрение среды, объективно существующей в Природе, не только способно решить проблемы познания Природы, но и предоставляет возможности для безинерционного движения, организации антигравитации и источника неограниченной энергии.

 

Литература.

    Рощин В.В., Годин С.М Экспериментальное исследование физических эффектов в динамической магнитной системе //Письма в ЖТФ"(2000, том 26, вып.24).

    Рощин В.В., Годин С.М. Экспериментальное исследование физических эффектов в динамической магнитной системе// Фундаментальные проблемы естествознания и техники, т.1, С.-П., 2000, с. 202-205.

    Золотарев В.Ф., Рощин В.В., Годин С.М. О структуре пространства-времени и некоторых взаимодействиях// Изд-во Прест, М., 2000, 309 с.