Определение огнезащитной эффективности вспучивающихся покрытий для стальных конструкций с учетом термогазодинамики
Определение огнезащитной эффективности вспучивающихся покрытий для стальных конструкций с учетом термогазодинамики реального пожара.
С.В. Пузач.
Приведена математическая модель расчета прогрева металлических строительных конструкций с нанесенным слоем огнезащитного вспучивающегося покрытия с учетом термогазодинамики реального пожара. Проведено тестирование модели по экспериментальным данным сертификационных испытаний огнезащитных вспучивающихся покрытий «Терма», Nullifire, Renitherm PMS-R, «Совер» и Interchar 963. Представлены и обсуждены результаты оптимизации толщин сухого слоя краски Renitherm PMS-R, наносимой на стальные строительные конструкции многофункционального центра, на основе численного эксперимента по предложенному методу расчета.
При анализе пожарной опасности в соответствии с нормативными документами (СНИП 21-01-97* «Пожарная безопасность зданий и сооруже ний») могут использоваться расчетные сценарии, основанные на соотношении временных параметров развития и распространения опасных факторов пожара и позволяющие определить риск для людей и конструкций здания и выбрать наиболее эффективные системы проти вопожарной защиты.
При определении огнестойкости строительных конструкций вопрос точности и надежности метода расчета тепломассообмена при пожаре является ключевым. Сложность разработки такого метода за ключается в многофакторности и нелинейности задачи.
В действующих нормах пожарной безопасности фактические пределы огнестойкости устанавливаются на основе определения эквивалентной продолжительности пожаров и коэффициента огнестойкости (ГОСТ Р 12.3.047-98 «Пожарная безопасность технологических процессов. Общие требования. Методы контроля или по экспериментальным данным по поведению конкретной конструкции в условиях «стандартного» пожара. Однако такой подход не учитывает реальные условия пожара на конкретном объекте, такие как, например, реальный термогазодинамический режим пожара, теплофизические и химические свойства находящейся в помещении горючей нагрузки, геометрические размеры помещения, размеры и расположение проемов и т.д.
В условиях реального пожара прогрев строительных конструкций может существенно отличаться от нагрева в режиме «стандартного» пожара. Поэтому толщины сухого слоя огнезащитных покрытий при реальном пожаре для обеспечения той же величины огнезащитной эффективности могут не совпадать с соответствующими значениями, приведенными в сертификатах пожарной безопасности. Это позволяет проводить оптимизацию вышеуказанных толщин для конкретного объекта со своей индивидуальной геометрией и пожарной нагрузкой с целью минимизации затрат на огнезащиту.
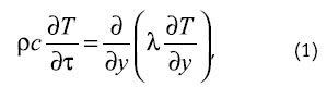
Математическая модель расчета огнестойкости металлических строительных конструкций. Для определения температур внутри стенки металлических конструкций с нанесенным огнезащитным вспучивающимся покрытием решается уравнение теплопроводности:

где ρ – плотность материала конс трукции; с – удельная теплоемкость материала конструкции; Т – температура; λ – коэффициент теплопроводности материала конструкции; у – координата, направленная по толщине материала; τ – время
Уравнение (1) решается численным методом контрольных объемов.
Граничные условия к уравнению (1) имеют вид:
– наружная (нагреваемая) поверхность огнезащитного покрытия:
граничные условия 3-го рода:
а) «стандартный» пожар:
температура среды (Tm) изменяется в соответствии с кривой «стандартного» пожара:

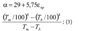
коэффициент теплоотдачи (α) от газовой среды к поверхности конструкции равен:

б) реальный пожар:
для стен и колонн: qw1 = α*w (Tm – Tw1);
α*w = 15,9 Ψг1
0,222; (4)
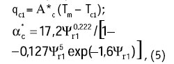
для перекрытия:

где qw1 и qc1 – локальные удельные тепловые потоки в стены и перекрытие; Tw1 и Tc1 – локальные температуры внутренних поверхностей стен (колонн) и балок перекрытий; α*w и α*c – приведенные ко эффициенты теплоотдачи стен (колонн) и перекрытия; Ψг1 = Mo/Fw; Mo – началь ная масса пожарной нагрузки; Fw – сум марная площадь внутренней поверхнос ти стен и перекрытия; εпр – приведенная степень черноты газовой среды помеще ния и облучаемой поверхности;
– внутренняя поверхность стальной конструкции колонны: коэффициент теплоотдачи α =0 Вт/(м2 К) (адиабатная стенка);

Рис. 1. Зависимости толщины сухого слоя краски «Терма» от приведенной толщины стальных
профилей при различных величинах фактических пределов огнестойкости R30: 1 – расчет;
– эксперимент; R45: 2 – расчет; – эксперимент; R60: 3 – расчет; – эксперимент

Рис. 2. Зависимости толщины сухого слоя краски «Нуллифаер» от приведенной толщины
стальных профилей при различных величинах фактических пределов огнестойкости 1 – R30;
2 – R45; 3 – R60; 4 – R90
– ось симметрии стальной конструк ции перекрытия: ∂T/∂у = 0,
где To – начальная температура; Tb – температура наружной (нагреваемой) поверхности огнезащитного покрытия.
Температура на поверхности слоя ог незащитной краски из-за низкой вели чины коэффициента теплопроводности быстро достигает значения, при которой заканчивается вспучивание огнезащит ного покрытия и его стабилизация. Выше указанное критическое значение темпе ратуры составляет, например, для состава «Терма» 177°С и 230°С в случае крас ки Renitherm PMS-R. Поэтому при расче те нагрева стенки стальной конструкции с нанесенным огнезащитным вспучиваю щимся покрытием принимаем, что огнеза щитное покрытие имеет толщину, равную ее величине во вспученном состоянии.
Принятое допущение об отсутствии теплоотвода от внутренней поверхности стальной конструкции колонны являет ся наиболее опасным вариантом с точки зрения нагрева конструкции.
Предполагаем идеальный тепло вой контакт между слоями вспученного покрытия и стальной конструкции, что также является наиболее опасным ва риантом с точки зрения нагрева конструкции.
Потеря несущей способности стро ительной конструкции определяется по достижению локальной температурой ее критического значения.
Для расчета термогазодинами ки пожара в помещении, необходимой для определения граничных условий к уравнению (1), используются модифици рованные интегральный и зонный мето ды расчета.
Тестирование математической мо дели.
Тестирование модели проводилось на данных по сертификационным испыта ниям в условиях «стандартного» пожара огнезащитных вспучивающихся красок «Терма», «Нуллифаер», Renitherm PMS-R и Interchar 963, а также огнезащитного покрытия «Совер».
Теплофизические свойства стальных конструкций помещений определялись по:
– плотности: ρ = 7 800 кг/куб. м;
– удельной теплоемкости: с = 470 + 0,21t + 5,0∙10-4 t2 Дж/(кг∙К);
– коэффициенту теплопроводности: λ = 58 – 0,042∙t Вт/(м∙К), где t – темпера тура в градусах Цельсия.
Теплофизические свойства вспу ченного покрытия определялись из со поставления результатов расчета по предложенной методике (рис. 1–4) с сертификационными испытаниями огне защитных красок.
Обозначения на рис. 1–4 следующие: δск – толщина сухого слоя огнезащитной краски; δпр – приведенная толщина стальных конструкций.
Полученные значения теплофизичес ких свойств вспученных покрытий прак тически совпадают с экспериментально измеренными величинами, например:
краска «Терма»: плотность ρ = 0,8 кг/ куб. м; эффективный коэффициент теп лопроводности λэф = 0,05–0,32 Вт/(м∙К);
краска Interchar 963: ρ = 0,8 кг/куб. м; λэф = 0,2–0,4 Вт/(м∙К);
огнезащитное покрытие «Совер»: ρ = 250 кг/куб. м; λэф = 0,06–0,12 Вт/(м∙К).
Для определения теплофизических свойств огнезащитной вспучивающейся краски Renitherm PMS-R при использова нии предложенной математической мо дели использовались следующие исход ные данные:
– коэффициент вспучивания kв = 40;
– фактический предел огнестойкости R45: толщина сухого слоя δск = 1,0 мм; приведенная толщина стальной конс трукции δпр = 3,4 мм;
– R60: δск = 1,2 мм; δпр = 4,2 мм;
– R90: δск = 1,7 мм; δпр = 5,8 мм.
Анализ рис. 1–4 показывает, что результаты расчета толщин сухого слоя огнезащитной краски с использованием предложенной методики расчета отличаются от экспериментально значений в ус ловиях «стандартного» пожара не более 5 %
.
Рис. 3. Зависимости толщины огнезащитного покрытия «Совер» от приведенной толщины
стальных профилей при различных величинах фактических пределов огнестойкости 1 – R30; 2
– R45; 3 – R60; 4 – R90

Рис. 4. Зависимости толщины сухого слоя огнезащитной вспучивающейся краски Interchar 963
от приведенной толщины стальных профилей при различных величинах фактических пределов
огнестойкости 1 – R45; 2 – R90
Пример оптимизации толщин су хого слоя краски Renitherm PMS-R.
Рассмотрена модельная задача опти мизации толщин огнезащитного покры тия, наносимого на несущие стальные строительные конструкции многофунк ционального торгового центра и обес печивающего требуемый предел огне стойкости R90.
Площадь торгового зала центра равна 3 888 кв. м, высота зала составляет 6,9 м.
Свойства типовой пожарной нагрузки в рассматриваемом помещении принима лись по типовой базе пожарной нагруз ки: здание I–II степени огнестойкости (мебель + бытовые изделия) и промтова ры с текстильными изделиями.
Принимаем, что системы пожароту шения, механической вентиляции и ды моудаления отключены (свободное раз витие пожара в соответствии с ГОСТ 12.1.004-91 «ССБТ. Пожарная безопас ность. Общие требования»).
Начальные условия задавались сле дующими параметрами: температура в помещении Tо = 293 К; давление в по мещении (равно атмосферному) р = 101 300 Па.
В качестве условия потери стальной конструкцией ее несущей способности принимаем момент достижения темпе ратурой наружной поверхности стенки конструкции ее критического значения Ткр = 500°С.
Расчет проводится до 90 мин от нача ла горения или до прекращения горения из-за недостатка кислорода или горючего материала в помещении.
На рис. 5 представлены зависимости температур от времени с начала пожара в торговом зале, выполненные с исполь зованием модифицированных интеграль ной (кривые 2 и 3) и зонной (кривые 4 и 5) моделей.
Из рис. 5 видно, что наиболее опас ный температурный режим пожара яв ляется менее «жестким», чем «стандарт ный» режим пожара. Результаты расчета толщин сухого слоя краски Renitherm PMS-R, наноси мого на стальные конструкции торгового зала в условиях реального пожара (рис. 5), представлены в таблице.
В случае балок перекрытий учитыва ется установка подвесных потолков типа «Армстронг» с фактическим пределом ог нестойкости по их металлическим конс трукциям, равным R15.
Из таблицы видно, что толщина сухо го слоя краски, наносимого на стальные несущие конструкции перекрытия, более чем в 2 раза меньше соответствующей толщины, определяемой в зависимости от приведенной толщины конструкции по сертификату пожарной безопасности («стандартный» пожар).
Таким образом, получена сущест венная экономия расхода огнезащитной краски без снижения величины огне стойкости стальных конструкций.
Вывод. Оптимизация толщин сухого слоя вспучивающейся краски, наносимой на стальные конструкции помещений зда ния, может быть выполнена по предложен ной математической модели с учетом ре альной термогазодинамической картины пожара, теплофизических и химических свойств находящихся в помещениях го рючих веществ и материалов, а также гео метрических размеров помещений с целью минимизации затрат на огнезащиту. П А

Рис. 5. Зависимости температур от времени 1 – среднеобъемная температура при
«стандартном» пожаре; среднеобъемная температура при реальном пожаре: 2 – здание I–II ст.
огнестойкости; 3 – промтовары; текстильные изделия; температура на уровне перекрытия: 4
– здание I–II ст. огнестойкости; 5 – промтовары; текстильные изделия
Таблица. Толщина сухого слоя краски в зависимости от приведенной толщины несущих стальных профилей перекрытий и колонн при величине фактического предела огнестойкости R 90 Приведенная толщина стали, δпр, мм Толщина сухого слоя краски*, δск, мм
|
4,0 |
2,37 (1,19; 0,95**) |
|
5,0 |
1,96 (0,98; 0,80**) |
|
5,5 |
1,8 (0,9; 0,73**) |
|
6,0 |
1,62 (0,81; 0,67**) |
|
6,5 |
1,53 (0,77; 0,63**) |
|
7,0 |
1,43 (0,72; 0,59**) |
|
7,5 |
1,34 (0,67; 0,55**) |
|
8,0 |
1,27 (0,64; 0,52**) |
|
9,0 |
1,25 (0,63; 0,50**) |
|
10,0 |
1,24 (0,62; 0,49**) |
|
11,0 |
1,23 (0,61; 0,48**) |
|
12,0 |
1,22 (0,6; 0,47**) |
Список литературы
Для подготовки данной работы были использованы материалы с сайта http://www.securpress.ru/