Лексико-семантические особенности перевода художественных произведений на основе произведения Джоан Роулинг "Гарри Поттер и Философский камень"
Негосударственное (частное) образовательное учреждение
высшего профессионального образования
«Южно-Сахалинский институт экономики, права и информатики»
Кафедра: «Английская филология»
Дипломная работа
Лексико-семантические особенности перевода художественных произведений (на основе произведения Джоан Роулинг «Гарри Поттер и Философский камень»)
Научный руководитель
Кузьмина И. В.
(ст. преподаватель)
Южно-Сахалинск 2009г.
Введение
Современная наука о переводе занимается изучением большого ряда теоретических и практических проблем; постоянно расширяются и дополняются существующие концепции, подтверждаются или опровергаются их положения. К числу центральных вопросов переводоведения принадлежат фундаментальные понятия «эквивалентность» и «адекватность перевода». Несмотря на неоднократное освещение этих переводческих терминов, в трудах известных отечественных ученых-исследователей в области переводоведения и лингвистики (В.Н. Комиссаров, Бархударов Л.С., Крупнов В.Н.), в целом, не существует четкого разграничения данных концептуальных понятий, из которых именно адекватность признается нормативной категорией, мерой качества перевода, обуславливающей передачу как формальной, так и содержательной стороны текста оригигинала. Наряду с этим особое внимание привлекает проблема моделирования перевода, то есть применение теоретических моделей для объяснения сущности переводческого процесса, а также сопоставительного анализа его результатов – реально выполненных переводов. По убеждению крупнейших лингвистов, сама разработка моделей перевода является одной из важнейших задач переводоведения.
В этой связи актуальным представляется исследование проблемы моделирования перевода и его адекватности как необходимого условия обеспечения межъязыковой коммуникации при переводе художественного текста.
Названное обстоятельство обусловливает специфику объекта исследования, в качестве которого выступают переводческие приемы и лексико-семантические особенности для достижения адекватности при переводе произведения Джоан Роулинг «Гарри Поттер и Философский камень».
Актуальность темы исследования обусловлена, прежде всего, необходимостью разработки рациональных переводческих стратегий, которые могли бы применяться при переводе текстов в жанре фэнтези. Сравнительно-сопоставительный анализ фэнтезийных произведений с их переводами на русский язык позволяет выявить структурно-типологические и лексико-семантические особенности текста, рассмотреть способы их реализации при переводе и выработать основные директивные рекомендации по способам решения ряда переводческих задач.
Объектом исследования являются различные текстообразующие единицы фэнтезийного текста, несущие важную нагрузку (смысловую, эмоциональную, символическую и др.) и варианты их перевода на русский язык. Предметом предпринятого исследования являются ресурсы реализации лексико-семантических аспектов в переводах произведений в жанре фэнтези на русский язык путем их сравнительно-сопоставительного анализа.
Материалом исследования явилась книга Дж. Роулинг «Harry Potter and the Philosopher’s Stone» и ее переводы на русский язык.
Три перевода на русский язык выполнены И.В. Оранским, М.Д. Литвиновой, М. Спивак и Ю. Мачкасовым.
Объектом данной работы являются лексико-семантические особенности.
Предметом исследования являются ресурсы реализации лексико семантических аспектов в переводах произведений в жанре фэнтэзи на русский язык путем их сравнительно-сопоставительного анализа.
Целью данной работы является исследование лексико-семантических особенностей при переводе текстов в жанре фэнтэзи на материале и рассмотрение способов их трансляции при переводе на русский язык.
В соответствии с объектом, предметом и поставленной целью в работе предполагается решение следующих задач:
1. Рассмотреть взгляды известных представителей переводоведения на проблемы эквивалентности и адекватности перевода;
2. Описать структурно-типологические характеристики анализируемого произведения в жанре фэнтези;
3. Исследовать национально-культурные и языковые особенности текста анализируемого фэнтезийного произведения;
4. Произвести сравнительно-сопоставимый анализ текстов оригинального произведения и его перевода на русский язык и выявить основные трудности, вызванные при переводе анализируемого произведения;
5. Осуществить лингвистический эксперимент по установлению ассоциативных полей вымышленных названий в переводе анализируемого произведения на русский язык;
6. Дать лингвистическую оценку переводческим решениям в соответствии с критериями адекватности;
7. Выяснить принципы применения моделей при переводе художественного текста.
Теоретической базой для написания данной работы послужили исследования отечественных и зарубежных ученых, среди которых, прежде всего, следует выделить: В.К. Комисарова, Бархударова Л.С., Н.В. Косареву, С. П. Романова, Левицкую А. и др.
В работе использован метод сплошной выборки материала с последующим дескриптивным анализом.
Научная новизна работы заключается в проведении сравнительно-сопоставительного анализа лексико-семантических средств, использованных для достижения адекватности в процессе моделирования перевода. Новым также является то, что выявленные лексико-семантические средства рассматриваются в соответствии с конкретной моделью перевода – семантической, ситуативной, коммуникативной и др.
Цель и задачи исследования обусловили использование комплексной методики анализа с применением ряда конкретных методов и приемов: метод сравнительно- сопоставительного анализа оригинала и переводов на русский язык; метод дедукции; метод индукции; метод компонентного дефиниционного анализа; метод этимологического анализа; метод интерпретации.
Теоретическая значимость: разработан комплексный подход к исследованию проблемы перевода фэнтези. Теоретические результаты выполненной дипломной работы могут служить рекомендациями к переводу произведений в жанре детского фэнтези.
Практическая значимость выполненного исследования состоит в возможности использования полученных результатов на семинарских занятиях курса по переводоведению, а также при написании студентами курсовых работ.
Структура работы. Дипломная работа состоит из введения, двух глав и заключения. В конце работы приводится библиографический список.
Глава 1.Понятие перевода. Процесс перевода. Технические способы перевода. Грамматические трансформации
Что такое «перевод» в нашем повседневном, непрофессиональном понимании. Любой случай, когда текст, созданный на одном языке, перевыражается средствами другого языка, мы называем переводом. При этом термин "текст" понимается предельно широко: имеется в виду любое устное высказывание и любое письменное произведение от инструкции к холодильнику, например, до романа.
Если полагать, что язык - это своего рода код, то есть произвольное обозначение предметов и явлений действительности с помощью условных знаков, то перевод можно назвать перекодированием, поскольку каждый из условных знаков заменяется при переводе знаком другой знаковой системы.
Перевод - одно из древнейших занятий человека. Различие языков побудило людей к этому нелегкому, но столь необходимому труду, который служил и служит целям общения и обмена духовными ценностями между народами. Слово "перевод" многозначно, и у него есть два терминологических значения, которые нас интересуют. Первое из них определяет мыслительную деятельность, процесс передачи содержания, выраженного на одном языке средствами другого языка. Второе называет результат этого процесса - текст устный или письменный. Хотя эти понятия разные, но они представляют собой диалектическое единство, одно не мыслится без другого. Уместно также заметить, что в языкознании существует более широкое, чем перевод понятие двуязычной коммуникации. Главное место в ней занимает языковое посредничество, к которому относятся и перевод, и реферирование, и пересказ, и другие адаптированные переложения.
Итак, перевод есть перевыражение или перекодирование. Однако это перекодирование не является объективным природным процессом, его осуществляет человек. Человек обладает индивидуальностью и способностью к творчеству. Именно эти два фактора позволяют ему при перекодировании выбрать из нескольких или многих возможных вариантов перевода свой нужный вариант. Поэтому иногда говорят даже об эвристическом характере процесса перевода, под которым понимается прежде всего свобода выбора.
Перевод - это сложный и многогранный вид человеческой деятельности. Хотя обычно говорят о переводе "с одного языка на другой", но, в действительности, в процессе перевода происходит не просто замена одного языка другим. В переводе сталкиваются различные культуры, разные личности, разные склады мышления, разные литературы, разные эпохи, разные уровни развития, разные традиции и установки. Переводом интересуются культурологи, этнографы, психологи, историки, литературоведы, и разные стороны переводческой деятельности могут быть объектом изучения в рамках соответствующих наук. В то же время в науке о переводе - переводоведении - могут выделяться культурологические когнитивные, психологические, литературные и прочие аспекты.
Однако, традиционное представление о том, что главную роль в переводе играют языки, получило серьезное научное обоснование, и в современном переводоведении ведущее место принадлежит лингвистическим теориям перевода. Следует заметить, что включение перевода в сферу интересов языкознания произошло сравнительно недавно и при этом пришлось преодолеть значительные трудности. До сих пор в большинстве фундаментальных работ по лингвистике отсутствует даже упоминание о переводе как о возможном объекте лингвистического исследования, хотя уже
Рассмотренные нами параметры понятия "перевод" касались преимущественно описания его как процесса, но в ходе изучения его как процесса стало очевидным, что тем же термином мы обозначаем и результат этого процесса. Таким образом, в качестве рабочего определения понятия "перевод" мы можем принять следующее:
«Перевод - это деятельность, которая заключается в вариативном перевыражении, перекодировании текста, порожденного на одном языке, в текст на другом языке, осуществляемая переводчиком, который творчески выбирает вариант в зависимости от вариативных ресурсов языка, вида перевода, задач перевода, типа текста и под воздействием собственной индивидуальности; перевод - это также и результат описанной выше деятельности».1
Но так же можно дать определение, как художественный перевод, который, все же , несколько отходит от обычного понятия перевода. «Художественный перевод, как поэтический, так и прозаический, - это, своего рода искусство. Искусство – плод творчества. А творчество несовместимо с буквализмом. Это уже отчётливо осознавала русская литература XVIII в. Она отграничивала точность буквальную, подстрочную от точности художественной. Она понимала, что только художественная точность даёт читателю войти в круг мыслей и настроений автора, наглядно представить себе его стилевую систему во всём её своеобразии, что только художественная точность не приукрашивает и не уродует мысли автора и их выражение»². Этот взгляд на перевод русский восемнадцатый век оставил в наследство девятнадцатому, девятнадцатый – двадцатому.
В статье А.С.Пушкина о Мильтоне и о Шатобриановом переводе «Потерянного рая» читаем: «…русский язык… не способен к переводу подстрочному, к переложению слово в слово…». А Б.Л.Пастернак в «замечаниях к переводам Шекспира» выразился так: «… перевод должен производить впечатление жизни, а не словесности». Но раз перевод – искусство, ничего общего не имеющее с буквалистическим ремеслом, значит, все таки переводчик должен быть наделён писательским даром. «Искусство перевода имеет свои особенности, и всё же у писателей-переводчиков гораздо больше черт сходства с писателями оригинальными, нежели черт различия. Об этом прекрасно сказано в «Юнкерах» А.И.Куприна: «…для перевода с иностранного языка мало знать, хотя бы и отлично, этот язык, а надо ещё уметь проникать в глубокое, живое, разнообразное значение каждого слова и в таинственную власть соединения тех или других слов».3:38 Следовательно, переводчикам, как и писателям, необходим многосторонний жизненный опыт, неустанно пополняемый запас впечатлений, который заключается в постоянном изучении не только языковых особенностей другого языка, а также изучение культуры, истории, страноведения и так далее.
Язык писателя-переводчика, как и язык писателя оригинального, складывается из наблюдений над языком родного народа и из наблюдений над родным литературным языком в его историческом развитии. Только те переводчики могут рассчитывать на успех, кто приступает к работе с сознанием, что язык победит любые трудности, что преград для него нет.
Национальный колорит достигается точным воспроизведением портретной его живописи, всей совокупности бытовых особенностей, уклада жизни, внутреннего убранства, трудовой обстановки, обычаев, воссозданием пейзажа данной страны или края во всей его характерности, воскрешением народных поверий и обрядов.
У всякого писателя, если только он подлинный художник, своё видение мира, а, следовательно, и свои средства изображения. Индивидуальность переводчика проявляется и в том, каких авторов и какие произведения он выбирает для воссоздания на родном языке. Ведь очень часто случается, что при переводе того или иного художественного произведения у переводчика не возникает глубоко восприятия данного произведения, в таких случаях перевод оригинала получается «сухим» и, не побоюсь этого слова, «бездушным».
Для переводчика идеал – это, своего рода, слияние с автором, единое мышление и понимание того, что они хотят передать читателю. Но слияние требует исканий, выдумки, находчивости, вживания, сопереживания, остроты зрения. Постоянная необходимость раскрывать творческую индивидуальность, но так, что она не заслоняет своеобразия автора. Ничего личного, только способность мыслить как автор, чувствовать как автор, говорить как автор.
1.1 Изучение процесса перевода
Рассмотрев понятие «перевода», а также особенности перевода художественных текстов, я полагаю, что интересно будет также изучить сам его процесс, изучение которого, поможет нам лучше понять особенности перевода художественного текста.
Процессом перевода или переводом в узком смысле этого термина называют действия переводчика по созданию текста перевода (собственно перевод). Процесс перевода включает, по меньшей мере, два этапа: уяснение переводчиком содержания оригинала и выбор варианта перевода. В результате этих этапов осуществляется переход от текста оригинала к тексту перевода. При этом действия переводчика часто интуитивны и переводчик подчас не осознает, чем он руководствуется при выборе того или иного варианта. Это, однако, не означает, что такой выбор полностью случаен или произволен. Он во многом определяется соотношением способов построения сообщений в ИЯ (исходный язык) и ПЯ (переводящий язык). Теория перевода стремится выяснить, как происходит переход от оригинала к тексту перевода, какие закономерности лежат в основе действия переводчика.
Реальный процесс перевода осуществляется в мозгу переводчика и недоступен для непосредственного наблюдения и исследования. Поэтому, изучение процесса перевода производится косвенным путем при помощи разработки различных теоретических моделей, с большей или меньшей приближенностью описывающих процесс перевода в целом или какую-либо его сторону. Моделью перевода называется условное описание ряда мыслительных операций, выполняя которые переводчик может осуществить перевод всего оригинала или некоторой его части. В лингвистической теории перевода модели перевода представляют процесс перевода в виде ряда мыслительных операций над языковыми или речевыми единицами, то есть в виде лингвистических операций, выбор которых обуславливается языковыми особенностями оригинала и соответствующими явлениями в языке перевода. Модель перевода носит условный характер, поскольку она необязательно отражает реальные действия переводчика в процессе создания текста перевода. Большинство таких моделей имеет ограниченную объяснительную силу и не претендует на то, что на их основе может быть реально осуществлен перевод любого текста с необходимой степенью эквивалентности. Задачи модели заключаются лишь в том, чтобы описать последовательность действий, с помощью которых можно решить данную переводческую задачу при заданных условиях процесса перевода. Модели перевода раскрывают отдельные стороны функционирования лингвистического механизма перевода. Хотя в своей практической работе переводчик может добиваться необходимого результата и каким-либо путем, не совпадающим ни с одной из известных нам моделей перевода, знание таких моделей может помочь ему в решении трудных переводческих задач.
Описание переводческого процесса с помощью моделей перевода включает два взаимосвязанных аспекта: 1) общую характеристику модели с указанием возможной сферы ее применения (объяснительной силы модели); 2) типы переводческих операций (трансформаций), осуществляемые в рамках модели. Модель перевода может быть преимущественно ориентирована на внеязыковую реальность или на некоторые структурно-семантические особенности языковых единиц. Примером моделей первого вида может служить ситуативная модель перевода, примером моделей второго вида – трансформационно-семантическая модель.
Ситуативная (иначе: денотативная) модель перевода исходит из того несомненного факта, что содержание всех единиц языка отражает, в конечном счете, какие-то предметы, явления, отношения реальной действительности, которые обычно называются денотатами. Создаваемые с помощью языка сообщения (отрезки речи) содержат информацию о какой-то ситуации, то есть о некоторой совокупности денотатов, поставленных и определенные отношения друг к другу.
Если отвлечься от несущественных различий, то следует признать, что окружающая нас реальная действительность едина для всего человечества. Общность окружающего мира, биологической структуры, производственных и жизненных процессов у всех людей, независимо от их языковой принадлежности, приводит к тому, что все люди обмениваются мыслями, в основном, об одних и тех же явлениях действительности. В принципе, любая мыслимая ситуация может быть с одинаковым успехом описана с помощью любого развитого языка.
Учитывая, что основное содержание любого сообщения заключается в отражении какой-то внеязыковой ситуации, ситуативная модель перевода рассматривает процесс перевода как процесс описания при помощи языка перевода той же ситуации, которая описана на языке оригинала. При этом действия переводчика представляются следующим образом.

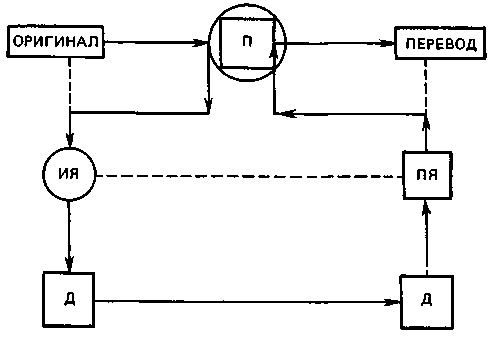
Схема № 1. Ситуативная модель перевода
Воспринимая текст оригинала, переводчик отождествляет составляющие этот текст единицы с известными ему языковыми единицами ИЯ и, интерпретируя их значение в контексте, выясняет, какую ситуацию реальной действительности описывает оригинал. После этого переводчик описывает эту ситуацию на языке перевода. Таким образом, процесс перевода осуществляется от текста оригинала к реальной действительности и от нее к тексту перевода. В ряде случаев этот же процесс идет более кратким путем, когда интерпретация текста или какой-либо его части была проведена заранее, и переводчику известно, что определенные единицы ИЯ и ПЯ указывают на одинаковые предметы, явления или отношения реальной действительности. На этом основании он может непосредственно заменять единицы оригинала соответствующими единицами перевода, и обращение к реальной действительности осуществляется вне данного акта перевода (на схеме эти два случая обозначены соответственно сплошной и пунктирной линией). Модель перевода при этом сохраняет свою основную ориентацию: объяснение процесса перевода как обращение к описываемой ситуации.
При этом речь идет не просто о необходимости интерпретировать значение языковых единиц в оригинале по отношению к реальной действительности, а также о необходимости учитывать, наряду с лингвистическим, и ситуативный контекст. Как уже отмечалось, без соотнесения с реальной действительностью невозможно понять даже самое простое речевое высказывание. Английское предложение The table is on the wall интерпретируется в данном случае как «Таблица висит на стене», в частности, потому, что знание реальной действительности подсказывает коммуникантам, что из двух значений слова table - «стол» и «таблица» - в данном случае реализовано последнее, так как обычно столы на стены не вешают.
Обращение к реальной действительности в рамках ситуативной модели перевода имеет в виду не только уяснение содержания оригинала, а сам процесс перевода, тот путь, следуя которому, переводчик может создать текст перевода. Своего рода «кусочек» реальной действительности, отраженный в совокупном содержании исходного текста, служит внеязыковой основой перевода. Предполагается, что переводчик описывает этот фрагмент реальности средствами ПЯ точно так же, как он описал бы этот фрагмент, если бы узнал его не из текста оригинала, а каким-либо иным путем, например, с помощью своих органов чувств.
Ситуативная модель перевода обладает значительной объяснительной силой. Она адекватно описывает процесс перевода, когда для создания коммуникативно-равноценного текста на ПЯ необходимо и достаточно указать в переводе на ту же самую ситуацию, которая описана в переводе. Иначе говоря, при помощи этой модели может достигаться эквивалентность на уровне идентификации ситуации.
Наиболее четко ситуативная модель «работает» в следующих трех случаях: 1) при переводе безэквивалентной лексики; 2) когда описываемая в оригинале ситуация однозначно определяет выбор варианта перевода; 3) когда понимание и перевод оригинала или какой-либо его части невозможно без выяснения тех сторон описываемой ситуации, которые не входят в значения языковых единиц, использованных в сообщении.
Поскольку у безэквивалентных единиц ИЯ нет готовых соответствий, любой способ создания окказионального соответствия для таких единиц связан с обращением к ситуации, которая описана с их помощью в оригинале. Даже если создаваемые соответствия (путем транскрибирования или калькирования) относятся непосредственно к переводимому слову или словосочетанию, они могут быть выбраны лишь на основе правильного уяснения всей ситуации:
При описании эквивалентности второго типа (на уровне указания на ситуацию) отмечались случаи, когда в ПЯ существует лишь один способ описания определенной ситуации, независимо от того, каким образом она описана в оригинале. Переводчик может установить, что в данном случае он имеет дело с ситуативной эквивалентностью подобного вида, лишь обратившись к реальной действительности. Возьмем очень простой пример, с которым каждый из нас может столкнуться в повседневной жизни: если в английском оригинале указывается на свежеокрашенный объект (Wet paint), то в русском переводе эта ситуация будет описана с помощью предупреждения «Осторожно, окрашено», а о наличии хрупких предметов в упаковке (Fragile) по-русски предупреждают «Осторожно, стекло».
Аналогичным образом ситуация в значительной мере определяет выбор варианта перевода и тогда, когда в ПЯ существует не единственный, а преобладающий, наиболее распространенный способ описания данной ситуации. Именно этот способ и будет использован в переводе в большинстве случаевa. Хотя указанные английские словосочетания и высказывания могут быть выражены по-русски и другими средствами, обращение к ситуации обычно подсказывает переводчику общепринятый способ ее описания. Для примера обратимся к нашему тексту: «Stop, I have a gun! – на русский язык мы переведем: «Стой! Я буду стрелять», все - таки не правильно в русском языке будет сказать: «Стой! У меня есть ружье».
Решающую роль играет обращение к описываемой ситуации в тех случаях, когда содержащаяся в высказывании информация недостаточна для выбора варианта перевода. Мы уже знаем, что любая ситуация описывается в высказывании не во всех деталях, а через обозначение некоторой совокупности ее признаков. В то же время выбор варианта перевода может порой зависеть от других признаков, которыми данная ситуация обладает в реальной действительности, но которые не вошли в способ ее описания, использованный в оригинале. В этом случае переводчик обращается к описываемой ситуации, ища необходимые сведения. Вновь вернемся к тексту и рассмотрим очень простой пример.В нашем произведении встречается такой пример и нам необходимо перевести следующее английское высказывание: His aunt must be made to tell him the truth about his parents. Общее содержание этого высказывания понять нетрудно, но выбор соответствия для существительного aunt и глагола made в русском переводе потребует дополнительной информации. Ведь aunt может быть и «тетя», и «тетушка», и «тетка», a must be made может означать, что ее нужно «заставить», «убедить» или «попросить» (...рассказать им об этом). Для того чтобы решить этот вопрос, необходимо будет выяснить, о каких людях реально идет речь, какие между ними существуют отношения и какие методы могут быть использованы, для того чтобы получить от упомянутой родственницы желаемые сведения. В произведении, которое мы рассматриваем это указывается, но ведь существует множество случаев, когда переводчик не может знать таких подробностей.
Необходимые сведения о реальной ситуации могут быть порой получены из различных литературных источников и всякого рода справочников. Обратимся к истории. В этом примере переводчику понадобится основательное знание истории Англии: Cromwell and Bradshaw (not the guide man, but the King Charles's head man) likewise sojourned here. (J.K. Jerome) Перевести выделенные слова можно лишь при условии, что переводчику удастся выяснить, что Дж. Бредшоу был председателем суда, приговорившего к смертной казни Карла Первого, а его однофамилец - автор известного в Англии путеводителя. В самом же тексте ни узкий, ни широкий контекст не позволяет правильно интерпретировать сочетания guide man и King Charles's head man.
Таким образом, ситуативная модель перевода правильно отражает ряд важных сторон переводческого процесса и дает возможность объяснить те особенности выбора варианта перевода, которые связаны с обращением переводчика к реальной действительности и последующим ее описанием средствами ПЯ. В то же время эта модель обладает ограниченной силой, поскольку она охватывает лишь некоторые способы реализации процесса перевода. Как известно, описываемая ситуация далеко не всегда однозначно определяет выбор варианта перевода, так как в большинстве случаев она может быть описана разными способами. И тогда самое подробное выяснение реальной ситуации, которую описывает оригинал, не дает еще переводчику указаний, какие признаки этой ситуации надо отразить при создании сообщения на ПЯ. Не дает знание ситуации достаточных оснований и для выбора лексико-синтаксической организации высказывания в переводе в рамках определенного способа описания ситуации. И способ описания ситуации, и набор языковых единиц, с помощью которых он реализуется, выражают дополнительный смысл, составляющий немаловажную часть общего содержания высказывания. Поэтому содержание высказываний, описывающих одну и ту же ситуацию, может, в целом, различаться весьма существенно. И для правильного выбора варианта перевода в этом случае переводчику недостаточно описать средствами ПЯ ту же реальную действительность, которая отражена в оригинале. Он должен еще воспроизвести и другие части содержания исходного текста, употребив эквивалентные средства описания этой действительности. А для этого необходимо учитывать, не только о какой ситуации говорится в оригинале, но и что и как о ней сказано.
Понятно, что ситуативная модель перевода не работает и в тех случаях, когда переводчику необходимо отказаться от описания той же самой ситуации, чтобы обеспечить передачу цели коммуникации оригинала. Если данная ситуация не позволяет переводчику сделать необходимые выводы или связана с иными ассоциациями, чем у автора оригинала, то описание переводчиком той же ситуации средствами ПЯ не обеспечит возможности межъязыковой коммуникации.
Из сказанного выше не следует, что ситуативная модель неправильно объясняет процесс перевода. Она адекватно воспроизводит этот процесс в тех случаях, когда для его осуществления необходимо и достаточно уяснить описываемую в оригинале ситуацию и передать ее средствами ПЯ. Однако ее объяснительная сила ограничена тем, что она не учитывает необходимости воспроизведения в переводе и той части содержания оригинала, которая создается значениями используемых в нем единиц ИЯ.
Трансформационно-семантическая модель перевода, в отличие от ситуативной, исходит из предположения, что при переводе осуществляется передача значений единиц оригинала. Она рассматривает процесс перевода как ряд преобразований, с помощью которых переводчик переходит от единиц ИЯ к единицам ПЯ, устанавливая между ними отношения эквивалентности. Таким образом, трансформационно-семантическая модель ориентирована на существование непосредственной связи между структурами и лексическими единицами оригинала и перевода. Соотнесенные единицы рассматриваются как начальное и конечное состояния переводческого процесса.
1.2 Технические способы перевода
После того как мы выяснили определение перевода и рассмотрели сам его процесс, необходимо указать технические способы, к которым прибегает переводчик в процессе перевода и которые являются самой главной основой в создании любого перевода.
Следует вспомнить, что в момент перевода переводчик сближает две лингвистические системы, одна из которых эксплицитна и устойчива, а другая потенциальна и адаптируема. У переводчика перед глазами находится пункт прибытия, как было сказано ранее, прежде всего он будет исследовать текст оригинала, оценивать дескриптивное, аффективное и интеллектуальное содержание единиц перевода, которое он вычленил; восстанавливать ситуацию, которая описана в сообщении, взвешивать и оценивать стилистический эффект. Но переводчик не может остановиться на этом: он выбирает какое-то одно решение; в некоторых случаях он достигает этого так быстро, что у него создается впечатление внезапного и одновременного решения. Чтение на исходном языке почти автоматически вызывает сообщение на языке перевода; ему остается только проконтролировать еще раз исходный текст, чтобы убедиться, что ни один из элементов исходного языка не забыт, после чего процесс перевода окончен.
В данной главе я предлагаю рассмотреть технические способы перевода, к которым переводчик прибегает во время процесса , так называемого, перевыражения. При первом приближении кажется, что его пути и способы весьма многочисленны, но по существу их можно свести к семи, расположив в порядке возрастания трудностей. Эти способы могут применяться и изолированно, и комбинированно.
Прежде всего, следует отметить, что в общих чертах можно наметить два пути перевода, по которым следует переводчик – перевод прямой или буквальный и перевод косвенный (непрямой). Действительно, может иметь случай, когда сообщение на исходном языке прекрасно переводится в сообщение на языке перевода, поскольку оно основывается либо на параллельных категориях (структурный параллелизм), либо на параллельных понятиях (металингвистический параллелизм). Но может случиться так, что переводчик констатирует наличие в языке перевода «пробела», который необходимо заполнить эквивалентными средствами, добиваясь того, чтобы общее впечатление от двух сообщений было одинаковым. Может случиться и так, что, вследствие структурных или металингвистических различий, некоторые стилистические эффекты невозможно передать на языке перевода, не изменив в той или иной степени порядок следования элементов или даже лексические единицы. Понятно, что во втором случае необходимо прибегать к более изощренным способам, которые на первый взгляд могут вызвать удивление, но ход которых можно проследить с целью строгого контроля за достижением эквивалентности. Это способы косвенного (непрямого) перевода. Способ № 1, 2 и 3, которые будут описаны далее, являются прямыми, остальные же способы относятся к косвенным.
Способ №1: Заимствование.
Самым простым способом перевода является заимствование, которое позволяет заполнить «пробел», обычно металингвистического характера (новая техника, неизвестные понятия). Заимствование даже не было бы таким способом перевода, который нас может заинтересовать, если бы переводчик не нуждался в нем порою для того, чтобы создать стилистический эффект. Например, чтобы привнести так называемый местный колорит, можно воспользоваться иностранными терминами и говорить о «верстах» и «пудах» в России, а о «долларах» и «партии» в Америке, о «текиле» и «тортилье» в Мексике и так далее.
Имеются и старые заимствования, которые по существу уже таковыми для нас не являются, поскольку они фигурируют в лексическом составе нашего языка и стали уже привычными. Переводчика прежде всего интересует новые заимствования и даже заимствования индивидуального характера. Следует отметить, что застую заимствования входят в язык через перевод, среди них фигурируют семантические заимствования, или «ложные друзья переводчика», которых следует особенно опасаться.
При заимствовании перенимается не только содержание, значение (либо одно из значений) иноязычной лексической единицы, но с той или иной степенью приближения – и ее материальный экспонент. Так слово «лазер», например, представляет собой в русском языке материальное заимствование из английского слова “laser”, но приблизительно и его звучание и написание.
Проблема местного колорита, решаемая с помощью заимствований и затрагивает прежде всего сферу стиля и, следовательно, самого сообщения.
Общим условием процессов заимствования является взаимодействия между народами, культурами, в экономической политике, культурные и бытовые контакты между людьми, говорящими на разных языках. Контакты эти могут носить массовый и длительный характер в условиях длительного сожительства народов, как говорится, бок о бок, на одной и той же территории. Либо они могут осуществляться лишь через отдельные классы и слои общества и даже через отдельных лиц, в том числе и форме только письменного контакта, литературного приобщения к культуре другого народа.
Способ № 2: Калькирование.
Калькирование является заимствованием особого рода: мы заимствуем из иностранного языка ту или иную синтагму и буквально переводим элементы, которые ее составляют. Мы получаем таким образом либо калькирование выражения, причем используем синтаксические структуры языка перевода, привнося в него новые экспрессивные элементы, например, либо калькирование структуры, причем привносим в язык новые конструкции, например, Science-fiction (букв. «наука-фантастика»).
Так же как и в отношении заимствований, существуют старые устойчивые кальки, которые можно лишь упомянуть мимоходом, поскольку они, как и заимствования, могут претерпевать семантическую эволюцию, становясь «ложными друзьями переводчика». Более интересными остаются для пер
Так же как и в отношении
заимствований, существуют старые
устойчивые кальки, которые можно лишь
упомянуть мимоходом, поскольку они, как
и заимствования, могут претерпевать
семантическую эволюцию, становясь
"ложными друзьями". Более интересными
остаются для переводчика новые кальки,
с помощью которых он избегает заимствования,
заполняя пробелы. В таких случаях,
видимо, лучше прибегать к словообразованию
на основе греко-латинского фонда или
использовать гипостазис (переход одной
части речи в другую по конверсии).
О.С
Ахманова утверждает, что калькирование
- это образование новых слов или введение
в язык новых способов синтаксического
построения путём
заимствования
лексико-семантических и лексико-синтаксических
моделей
другого языка или языков и
заполнение их морфемами данного языка¹.
В.Н Ярцева даёт следующее определение кальки: "Калька - это образование нового фразеологизма или нового значения слова путём буквального перевода соответствующей иноязычной языковой единицы"1
Способ 3: дословный перевод.
Дословный перевод, или перевод «слово в слово», обозначает переход от исходного языка к языку перевода, который приводит к созданию правильного и идиоматического текста, а переводчик при этом следит только за соблюдением обязательных норм языка. Для примера, разрешите обратиться к нашему произведению: Harry left his spectacles on the table downstairs – Гарри оставил свои очки на столе внизу; The train arrives at Hogwarts at ten – Поезд прибывает в Хогвартс в 10 часов.
В принципе дословный перевод – это единственное обратимое и полное решение вопроса. Тому очень много примеров в переводах, осуществленных с языков, входящих в одну и ту же семью (например, французский и итальянский), и в особенности между языками, входящими в одну и ту же культурную орбиту.
До способа №3 можно было осуществлять процесс перевода, не прибегая к специально стилистическим приемам. Если бы это было всегда так, то перевод, сведенный к простому переходу «исходный язык – язык перевода» не представлял бы никакого интереса. Действуя в соответствии со способом перевода № 3, переводчик все же признает дословный перевод неприемлемым, то необходимо прибегнуть к косвенному (непрямому) переводу. Под неприемлемостью имеется в виду, что сообщение, которое переведено дословно:
дает порой несколько другой смысл;
не имеет смысла;
невозможно по структурным соображениям;
не соответствует ничему в металингвистике языка перевода;
не соответствует ничему в металингвистике языка перевода;
Способ № 4 : транспозиция
Транспозиция – переход слова из одной части речи в другую или использование одной языковой формы в функции другой.1(Современный Толковый словарь русского языка Ефремовой).
Так мы называем способ, который состоит в замене одной части речи другой частью речи без изменения смысла всего сообщения. Этот способ может применяться как в пределах одного языка, так, в частности, и при переводе.
В области перевода мы должны будем различить два типа транспозиции: (1) обязательную транспозицию и (2) факультативную транспозицию.
Переводчик должен пользоваться способом транспозиции, если получаемый оборот лучше вписывается во всю фразу или позволяет восстановить стилистические нюансы. Следует отметить, что транспонированный оборот обычно имеет более литературный характер. Особо частным случаем транспозиции является «перекрещивание».
Способ №5: модуляция.
Модуляция представляет собой варьирование сообщения, чего можно достичь, изменив угол или точку зрения. К этому способу можно прибегнуть, когда видно, что дословный или даже транспонированный перевод приводит в результате к высказыванию грамматически правильному, но противоречащему духу языка перевода.
Также и при транспозиции, мы различаем свободную или факультативную модуляцию и модуляцию устойчивую или обязательную. Разница между устойчивой и свободной модуляцией – это по существу вопрос степени. Когда мы имеем дело с устойчивой модуляцией, высокая частотность употребления, полное принятие узусом, закрепленность в словарях (или в грамматике) приводит к тому, что любой человек, прекрасно владеющий двумя языками, не колеблется перед необходимостью выбора данного способа. При свободной модуляции устойчивая фиксация отсутствует, и процесс каждый раз происходит заново. Отметим, однако, что отсюда не следует, что такая модуляция является факультативной; она должна привести при правильном применении к идеальному решению для языка перевода в соответствии с ситуацией, предложенной исходным языком. В качестве сравнения можно было бы сказать, что свободная модуляция приводит к такому решению, которое заставляет читателя воскликнуть: «Да, именно так это нужно выразить на русском языке»; следовательно, свободная модуляция направлена на единственное решение. Это единственное решение покоится на привычном образе мышления, которое обязательно, а не факультативно. Итак, можно заметить, что между устойчивой и свободной модуляцией имеется только разница в степени и что свободная модуляция может в любой момент стать устойчивой, как только она получит высокую степень частотности или будет представлена в качестве единственного решения.
Превращение свободной модуляции в устойчивую происходит всегда, когда она фиксируется в словарях или в грамматиках и становится предметом преподавания. Начиная с этого момента, отказ от модуляции осуждается как нарушение узуса.
Способ №6: эквиваленция.
Как правило, существует возможность того, что два текста описывают одну и туже ситуацию, используя совершенно разные стилистические и структурные средства. В этом случае речь идет об эквиваленции. Классическим примером эквиваленции является ситуация, когда неловкий человек, забивающий гвоздь, попадает себе по пальцам – по-русски он воскликнет «Ай», по-английски он воскликнет «Ouch».
Этот пример, хотя и является грубым, подчеркивает особый характер эквиваленции: она носит чаще всего синтагматический характер и затрагивает все сообщения целиком. Отсюда следует, что большинство эквиваленций, которыми мы постоянно пользуемся, являются устойчивыми и входят в состав идиоматической фразеологии, включая клише, поговорки, фдъективные или субстантивные устойчивые сочетания.
Способ №7: адаптация.
Седьмой способ является крайним пределом в процессе перевода. Он применим к случаям, когда ситуация, о которой идет речь в исходном языке, не существует в языке перевода и должна быть передана через посредство другой ситуации, которая считается эквивалентной. Это представляет собой особый случай эквивалентности, так сказать, эквивалентность ситуаций.
Вообще, адаптация представляет собой приспособление текста к уровню компетентности реципиента, то есть создание такого текста, который читатель сможет воспринять, не прибегая к посторонней помощи. Среди наиболее частых случаев – обработка текстов разного характера для детей, обработка специальных текстов для неспециалистов, лингвоэтническая адаптация.
Адаптация прежде всего заключается в упрощении текста, как формальном, так и содержательном. В частности, специальная лексика (термины, сложная тематическая лексика) заменяется при переводе на общеязыковую, нормативную, или, по крайней мере, объясняется переводчиком внутри текста или примечаниях. Упрощаются сложные синтаксические структуры, уменьшается объем предложения. Адаптация художественного заключается также в упрощении образной системы и часто используется для начального знакомства детей со сложным литературными текстами.
Несколько иной характер имеет адаптация текста для носителей иной культуры, или лингвоэтническая адаптация. Она заключается не в упрощении грамматического и лексического состава текста, а в приемах, направленных на облегчение восприятия чужих культурных реалий и языковых явлений.
1.3 Проблемы грамматических трансформаций
1.3.1 Проблема художественного перевода
Согласно данному Комисаровым В.Н. определению, художественным переводом именуется вид переводческой деятельности, основная задача которого заключается в порождении на ПЯ речевого произведения, способного оказывать художественно-эстетического воздействия на перевод
В связи с этим некоторые литературные критики настаивают на том, что художественный перевод – это искусство, которое под силу только художникам слова, опирающимся при переводе главным образом на эстетические критерии.
Из всего вышеизложенного ясно, что художественный перевод в равной степени факт и языковой, и литературный; для такого перевода типичны отклонения от максимально возможной смысловой точности с целью обеспечения большей художественности текста перевода.
Проблема заключается в том, что в большинстве случаев ИЯ и ПЯ оказываются значительно различными по внутренней структуре. Несовпадения в строе двух языков неизменно вызывают необходимость в грамматических трансформациях. Эти несовпадения бывают либо полными, либо частичными. Полное несовпадение наблюдается в тех случаях, когда в русском языке отсутствует грамматическая форма, которая есть в английском языке. В некоторых случаях грамматическая категория одного языка является более широкой, чем грамматическая категория другого. Следует также выделить случаи частичного совпадения, когда данная грамматическая категория существует в обоих языках, но совпадает не во всех своих формах.
Достижение переводческой эквивалентности («адекватности перевода»), вопреки расхождениям в формальных семантических системах двух языков, требует от переводчика, прежде всего, умения произвести многочисленные и качественно разнообразные межъязыковые преобразования – так называемые переводческие трансформации – с тем, чтобы текст перевода с максимально возможной полнотой передавал информацию, заключенную в исходном тексте, при строгом соблюдении норм ПЯ.
Однако, термин «преобразование» нельзя понимать буквально – сам исходный текст или текст оригинала не преобразуется, в том смысле, что он не изменяется сам по себе. Этот текст, конечно, сам остается неизменным, но наряду с ним и на основе его создается другой текст на ином языке, который мы называем «переводом». Таким образом, перевод можно считать определенным видом преобразования, а именно, межъязыковой трансформацией.
Исходя из определения «грамматика», уже и можно определять виды грамматических трансформаций. Так как основными разделами грамматики являются синтаксис, морфология и словообразование, то следует выделить:
. синтаксические трансформации,
. морфологические трансформации,
. словообразовательные трансформации.
В целях удобства описания все виды преобразований или трансформаций, осуществляемых в процессе перевода можно свести к четырем элементарным типам, а именно:
1. Перестановки – это изменение расположения языковых элементов в тексте перевода по сравнению с текстом подлинника. Элементами, которые могут подвергаться перестановке, являются обычно слова, словосочетания, части сложного предложения и самостоятельные предложения в строе текста.
2. Замены – наиболее распространенный и многообразный вид переводческой трансформации. В процессе перевода замене могут подвергаться как грамматические единицы, так и лексические, в связи с чем можно говорить о грамматических и лексических заменах. К грамматическим же относятся следующие типы:
а) замена форм слова;
б) замена частей речи;
в) замена членов предложения (перестройка синтаксической структуры предложения);
г) синтаксические замены в сложном предложении:
- замена простого предложения сложным,
- замена сложного предложения простым,
- замена придаточного предложения главным,
- замена главного предложения придаточным,
- замена подчинения сочинением,
- замена сочинения подчинением,
- замена союзного типа связи бессоюзным,
- замена бессоюзного типа связи союзным.
3. Добавления. Этот тип переводческой трансформации основан на восстановлении при переводе опущенных в ИЯ так называемых «уместных слов».
4. Опущение – явление, прямо противоположное добавлению. При переводе опущению подвергаются чаще всего слова, являющиеся семантически избыточными, то есть выражающие значения, которые могут быть извлечены из текста и без их помощи. Как система языка в целом, так и конкретные речевые произведения обладают, как известно, весьма большой степенью избыточности, что дает возможность производить те или иные опущения в процессе перевода.
1.3.2 Морфологические трансформации
В результате расхождения морфологического строя английского и русского языков перед переводчиком возникают объективные трудности, преодоление которых порой осуществляется путем морфологических трансформаций.
Морфологические трансформации включают в себя замену частей речи, особенности передачи при переводе значения артикля, видовременных категорий, морфологических категорий числа и рода и др. На некоторых видах морфологических трансформаций следует остановимся подробнее.
Артикль
В английском языке определенность/неопределенность значентьсяия существительного определяется артиклем. В русском языке артикля нет, и наличие перед существительным указателя его определенности / неопределенности необязательно: по-русски можно сказать не только “Дай мне эту книгу” или “Дай мне какую-нибудь книгу”, но и просто “Дай мне книгу”, не уточняя словесно, идет ли речь о какой-либо определенной, конкретной книге или же о книге вообще, о любой книге. В английском языке такое уточнение при существительном обязательно: можно сказать либо “Give me a book”, либо ”Give me the book”; так что русское “Дай мне книгу” можно на английский язык перевести лишь с учетом широкого контекста или неязыковой ситуации.
Поэтому при переводе с английского языка на русский «следует помнить о необходимости передавать в некоторых случаях значение артиклей, когда переводчик упускает из виду эту необходимость, страдает смысл русского предложения».
Значение артиклей в подавляющем большинстве случаев передается лексическими средствами, иногда порядком слов; при этом используются следующие способы трансформации: замена и добавление (отсутствие категории артикля вызывает в русском переводе замещение его другой лексической единицей, что обуславливает добавление), опущение (если артикль не несет определенную смысловую нагрузку, его можно при переводе пропустить).
Говоря о неопределенном артикле, следует заметить, что он, в основном, выполняет классифицирующую функцию, он указывает на то, что предмет принадлежит к какому-то классу предметов безотносительно к его индивидуальным характерным свойствам или признакам. В некоторых случаях по своему значению неопределенный артикль приближается к значениям неопределенных местоимений some и any. Тогда его значение обычно приходится передавать в переводе. Например:
Ron had an unreal feeling as if he were passing through the scene in a book…
У Рона появилось какое-то нереальное чувство, точно он переживает сцену из романа… (перевод М. Спивак)
Иногда неопределенный артикль употребляется в своем первоначальном значении числительного «one». И в этом случае значение артикля должно быть передано при переводе с добавлением соответствующих лексем. Например:
Yet Harry had not an friend on earth, except his little soldiers…
Однако у Гарри не было ни единого друга на свете, кроме его солдатиков… (перевод Ю. Мачкасова)
И.В. Нешумаев отмечает, что «употребление соответствующего артикля при именном компоненте определяет необходимость в использовании других средств передачи тех смысловых компонентов, которые привносятся артиклем»² и порой артикль при именном компоненте может весьма существенно изменять семантику высказывания.
Определенный артикль выполняет ограничительную функцию. «Он выделяет ограничительную функцию. Он выделяет предмет из данного класса, изолирует его от ему подобных, конкретизирует его».³ Иногда определенный артикль выступает в своем первоначальном значении указательного местоимения, от которого он произошел.
Если переводчик забудет о подобном моменте, русское предложение будет неполным и неточным.
Несоответствия категории числа.
Категория числа существительных имеется как в английском, так и в русском языках. Однако употребление существительных в единственном и множественном числе наблюдаются довольно значительные расхождения как в отношении исчисляемых, так и неисчисляемых существительных. Данный факт приводит к грамматическим трансформациям при переводе, в частности замены множественного числа английского существительного единственным числом русского, и наоборот.
Существует немало случаев, когда форме единственного числа в русском соответствует форма множественного числа в английском языке, сравним: овес – oats , лук – onions , картофель – potatoes , окраина (города) – outskirts и др.; и наоборот, русской форме множественного числа нередко соответствует английская форма единственного числа, например: деньги – money , чернила –ink , новости – news , сведения – information и др.
Отсюда необходимость замены форм числа.¹
Исчисляемые существительные имеют формы единственного и множественного числа в обоих языках, которые совпадают, тем не менее, в ряде случаев их употребление бывает различно. Так, например, в английском языке существительные, обозначающие части тела (eye, lip, ear, cheek, hand, foot и др.) иногда употребляются в единственном числе для большей выразительности. Такое употребление вызвано стилистическими соображениями.
Например: “Her cheek blanched”. Глагол “to blanch” выражает бульшую интенсивность заключенного в нем понятия по сравнению с глаголом «to pale». Кроме того, он имеет известную стилистическую окраску, являясь словом высоколитературным. В приведенном выше примере наблюдается некоторое стилистическое соответствие: глагол “to blanch”, более выразительный, чем “to pale”, как бы требует употребления существительного “cheek” в единственном числе, что является менее обычным. И наоборот, существительное “cheek”, употребленное в единственном числе, требует выбора соответствующего глагола. Такое явление можно было бы назвать «стилистическим согласованием»² . Например:
Uncle Vernon’s eye twinkled.
В глазах дяди Вернона вспыхнул огонек. (перевод И.В. Оранского)
Таким образом, при переводе определенных словоформ в единственном или множественном числе переводчик вынужден прибегать к такому виду морфологической трансформации как замена формы слова.
Грамматический род.
В английском языке, как известно, понятие «род» носит весьма условный характер. Практически о роде в данном языке говорят только в связи с указанием на естественный биологический пол. В русском же языке, обладающем развитой системой рода, указание на род объекта обязательно, что и определяет грамматическую трансформацию – замену формы слова – при переводе с английского языка на русский.
В большинстве случаев при переводе переводчик руководствуется нормой родного языка, его традициям, согласно которым одни животные, растения, птицы оказываются женского рода (кошка, собака, сова, береза и т.д.), а другие – мужского (слон, соловей, дуб, воробей и т.д.) и легко меняет один род на другой. Например:
Why is he weeping? asked a little green Lizard, as he ran past him with his tail in the air.
Почему он плачет? – спросила маленькая зеленая ящерица, которая проползала мимо него, помахивая хвостиком.
Но есть случаи, когда такие замены влекут ощутимые потери смысла.
Расхождение в роде может оказаться серьезным препятствием, когда «соотнесенность с определенным биологическим полом и, следовательно, с присущими ему характерными чертами составляет важный элемент художественной структуры текста оригинала. Чаще всего это бывает при персонификации»¹
Можно взять для примера сказку О. Уальда «Счастливый принц», где ласточка, как и все звери и птицы в английском языке, - мужского рода, и автор, говоря о ней, употребляет местоимение he – он. Тростник, или вернее камыш, в которую влюблена ласточка, напротив, женского рода. И это противопоставление развивается и углубляется автором. В оригинале Swallow явно служит воплощением мужского начала. Ей (ему) свойственны чисто мужские черты: как настоящий мужчина, он, влюбившись, тут же признается в любви. Мужественно оставшись на почти верную гибель, которую сулит приход осенних холодов, он (что опять-таки свойственно больше мужчинам) через некоторое время, не встретив взаимности, разочаровывается в своей возлюбленной.
Таким образом, в оригинале идет явное противопоставление мужского и женского начал, каждое из которых получает определенную оценку автора. Но при переводе даже такого мастера, как Чуйковский, все это исчезло, так как переводчик выбрал в качестве соответствий “ласточку” (женский род в русском языке) и “тростник” (мужской род), что полностью перестраивает систему «мужское начало» – «женское начало» в структуре художественного произведения.
Как же поступить переводчику в подобных случаях? А.О.Иванов предлагает использовать два основных способа для преодоления подобных расхождений в роде.
Способ 1 заключается во избежание употребления местоимений того или иного рода (т.е. следует употребить такой способ грамматической трансформации, как опущение).
Способ 2: замена формы слова – эквивалента переводного языка на аналог нужного рода.
То есть, в переводе сказки «Счастливый принц» следовало бы заменить ласточку, скажем, на стрижа, а камыш на тростинку. Тем более, что ласточки и стрижи относятся к одному виду и сходны как по образу жизни, так и по внешнему виду. И тогда все стало бы на свои места.
Словообразовательные трансформации.
Вопрос о словообразовательных трансформациях в лингвистике рассматривается, в основном, применительно к переводам научных и общественно - политических текстов. Это связано, прежде всего, с тем, что вбольшей степени новообразования присущи именно перечисленным стилям (например, различного рода неологизмы). При этом особенностям словообразовательных трансформаций при художественном переводе уделено незначительное внимание.
Словообразовательные суффиксы в разных языках далеко не всегда совпадают по своему значению и по употреблению. В каждом языке имеются суффиксы чрезвычайно продуктивные, например, суффикс существительного -er.
«При помощи -er можно образовывать существительное, выражающее агент действия, фактически от любого глагола. Поэтому при переводе слов, образованных при помощи суффикса -er, часто приходится пользоваться глаголами»¹ .
Замена английского отглагольного существительного, образованного с помощью -er, на русскую личную форму глагола является «закономерной и обычной» ².Пример:
Oh, I’m no player Quidditch, but I like watching they play.
А я ведь не играю в Квиддич, я только люблю смотреть как они играют (Ю. Мачкасов).
Ввиду того, что «удельный вес аффиксальных образований в английском языке значительно выше, нежели в русском, при переводе не всегда возможно использовать русский аналог английского аффикса, а это ведет к введению дополнительных лексем в текст ( например, при переводе словоформ с суффиксом -able)»¹. Суффикс -able является очень продуктивным и образует, в основном, прилагательные от глаголов. В нем обычно присутствует модальное значение, поэтому для его перевода часто добавляются такие модальные слова, как “возможно”, “невозможно”, “нельзя” и др.:
The sea was rough and unswimmable.
Море было бурное, и плыть было невозможно.
Активно используются словообразовательные трансформации при переводе английских новообразований, свойственных, прежде всего, художественным произведениям фантастического характера, пародиям, каламбурам, перефразам и так далее. Данным жанрам особенно характерно авторское словотворчество, т.е. «изобилие окказиональной лексики и окказионально преобразованной фразеологии»² .
Изменение состава членов предложения.
Замена членов предложения приводит к перестройке его синтаксической структуры. Такого рода перестройка происходит и в ряде случаев при замене части речи.
Существенное изменение синтаксической структуры связано с заменой главных членов предложения, особенно подлежащего. В англо-русских переводах использование подобных замен в значительной степени обусловлено тем, что в «английском языке чаще, чем в русском, подлежащее выполняет иные функции, нежели обозначения субъекта действия»³ , например:
объекта действия (подлежащее заменяется дополнением), обозначения времени (подлежащее заменяется обстоятельством времени), обозначения пространства (подлежащее заменяется обстоятельством места), обозначения причины (подлежащее заменяется обстоятельством причины) и так далее.
Грамматическая трансформация также вызывается столь частым в английском языке употреблением существительных, обозначающих неодушевленные предметы или понятия, в роли «агента действия (т.е. подлежащего), что можно рассматривать как своего рода олицетворение. Такое олицетворение отнюдь не является стилистическим приемом, ибо это – явление языка, а не речи и ни в коей мере не носит индивидуального характера»*
Возьмем для примера один из частых случаев, когда подлежащее английского предложения при переводе на русский язык заменяется обстоятельством. Эта трансформация имеет место, например, когда английское подлежащее стоит в начале предложения и выражает те или иные обстоятельственные значения. В таком случае нередко в русском переводе английское подлежащее заменяется на обстоятельство места:
The room was too damn hot.
В комнате стояла страшная жара.
В данном примере имеет место также замена частей речи – трансформация прилагательного “hot” в существительное “жара”.
Следует иметь в виду, что во многих случаях замены членов предложения обуславливаются соображениями не грамматического, а стилистического порядка.
Замена простого предложения сложным.
Наибольшее число случаев данного изменения вызвано системно обусловленными причинами. Трансформация применяется обычно при переводе простых английских предложений, осложненных синтаксическими компонентами – инфинитивными, герундиальными, абсолютными конструкциями. «Английские синтаксические комплексы не имеют системного русского аналога, что делает переводческие трансформации неизбежными»¹. Как правило, при переводе данных комплексов на русский язык меняется тип предложения, при этом простое «предложение превращается в сложноподчиненное, реже в сложносочиненное»².
Преобразование может обуславливаться чисто грамматическими причинами (отсутствие в русском языке прямых соответствий), например:
… I like watching they play.
… Я люблю смотреть, как они играют (Ю. Мачкасов)
В следующем примере комплексная лексико-грамматическая трансформация также вызывается стилистическими причинами:
At that moment the door was opened by the Hermione.
Дверь отворилась, и заглянула Гермиона (М. Спивак).
Здесь исходное предложение подвергается следующим трансформациям в процессе перевод:
1 ) простое предложение заменяется сложным;
2) подчинение заменяется сочинением;
3) происходит лексико-грамматическая замена: «was opened ( отворилась»;
4) предложное дополнение с by заменяется подлежащим;
5) добавляется слово “заглянула”; 6) опускаются слова “at that moment”.
Попытка сохранить исходную конструкцию привела бы к грамматически допустимой, но стилистически малоприемлемой фразе “В это мгновение дверь была открыта Гермионой”. «В русском языке пассивная конструкция употребляется намного реже, чем в английском и имеет иную стилистическую окраску (в английском языке «пассив стилистически нейтрален; хотя и более употребителен в книжно-письменной речи; в русском же языке форма страдательного залога почти исключительно ограничена сферой книжно- письменной речи, преимущественно официального и научного жанра»¹.
Как правило, сокращение и упрощение сложной синтаксической структуры ведет и к устранению ее многозначности, установлению однозначных отношений между компонентами: «Переводчик анализирует исходное сообщение, преобразует в более простые и четкие формы, транспонирует их на этом уровне в систему исходного языка и затем реконструирует сообщения на переводной язык»².
Замена сложного предложения простым.
При художественном переводе данный тип синтаксической трансформации вызван, в основном, нормативно-стилистическими причинами. В частности, в английских художественных текстах отмечается большой удельный вес сложноподчиненных предложений по сравнению с русскими текстами.³ В результате может происходить «свертывание» придаточных предложений в причастие (причастный оборот), деепричастие (деепричастный оборот), отглагольное существительное с предлогом. Вот простой пример замены сложного предложения простым при переводе:
… Harry figured he probably wouldn’t see him again till Christmas vacation ended.
… Гарри сообразил, что до конца рождественских каникул он его не увидит.
Членение предложения
Членение предложения, при котором одно исходное предложение (чаще сложное и реже простое) преобразуется в два (и более), также актуально для художественного перевода и обуславливается нормативными причинами.
Английские предложения могут быть перегружены информацией, объединяющей несколько относительно независимых мыслей. «Сохранять в переводе структуру подобных английских предложений нецелесообразно, т.к. подобная перегруженность предложения информацией не соответствует нормам русского языка»¹. Процесс членения сложного предложения на несколько самостоятельных является наиболее ярко выраженным случаем автономизации исходных структур, например, в драматических произведениях.
Как правило, членение приводит к уменьшению длины предложения при переводе. Разбивки «громоздких» конструкций на самостоятельные элементы ведет и к упрощению структуры предложения.
Трансформацией обратной, по сравнению с членением, является объединение предложений, о которой речь пойдет дальше.
Объединение предложений.
Объединение предложений заключается в преобразовании двух (или более) самостоятельных предложений в одно предложение. Например:
That was a long time ago. It seemed like many years ago.
Это было давно – казалось, что прошло много лет.
Объединение предложений, сохраняя «информационную ценность и текстовую спаянность, приводит к компрессии высказывания».
Из примера можно увидеть, что компоненты актуального членения высказывания, несмотря на объединение внутренней структуры, остались неизменными, смысл передан без отклонений. Компрессия (свертывание) внутри компонентов актуального членения не вызвала каких-либо смысловых искажений, поскольку тема и рема при переводе сохранили свои функции.
Правда, если в полной фразе объединяется несколько сообщений и, соответственно, несколько рем, при переводе эти ремы нередко сливаются в одну.
Исходя из изложенного, можно говорить о том. Что перевода без потерь не бывает. Информационная теория перевода подтверждает это положение. «Перевод сохраняет лишь часть оригинала, в коммуникации с неиспользованием двух языков, как и в любой другой коммуникации, неизбежны потери».
2. Глава 2 Лексико-семантические особенности перевода произведения Джоан Роулинг «Гарри Поттер и Философский камень»
Для рассмотрения в работе я взяла произведение известной американской писательницы Джоан Роулинг «Гарри Поттер и Философский камень». Это замечательное произведение, которое в наше время переведено на множество языков во всем мире, написано в жанре фэнтези, который является одним из самых молодых жанров в литературе.
В современном языкознании проблемами перевода произведений в жанре фэнтези интенсивно занимаются многие зарубежные исследователи (R. Nagel, L.P. Fernandes, A. Yamazaki, Z. Shavit, A. Pym, I. Hegedus). По сравнению с западными странами фэнтези появилось в России сравнительно недавно. Развитию фэнтези в СССР препятствовал расцвет научной фантастики. В соответствии с советской идеологией, даже фантастическое обязательно должно было иметь научное обоснование. Фэнтезийные произведения рассматривались как детская, «несерьезная» литература.
Кроме того, классические образцы англо-американского фэнтези, в том числе книги профессора Джона Рональда Руэла Толкина, переводились на русский язык в виде редкого исключения. Первые переводы эпопеи Дж.Р.Р. Толкина, выполненные 3. Бобырь («Повесть о Кольце», 1990 г.) и Н. Григорьевой и В. Грушецким («Властелин Колец», 1993 г.) являются, по сути, вольным пересказом сюжета, незамысловатым переложением оригинала. Наличие большого числа переводов фэнтезийного произведения Дж.Р.Р. Толкина связано с желанием переводчиков представить читателю новую интерпретацию оригинала. Мнения переводчиков о том, как следует переводить эпопею «Властелин Колец» весьма различны. В частности, с позиций перевода рассматривались религиозно-философские вопросы романа «Властелин Колец». Вместе с тем многие аспекты перевода текстов данной категории продолжают оставаться до конца не изученными. В настоящее время недостаточно описаны трудности перевода фэнтезийных произведений, и, соответственно, не разработаны типология переводческих ошибок и переводческие стратегии на основе сравнительно-сопоставительного анализа.
Для начала мне бы хотелось рассмотреть основные особенности жанра фэнтези, его происхождение и трансформацию на протяжении столетий. «Фэнтези» рассматривается в данном исследовании как самоценный жанр, обладающий собственными, только ему присущими особенностями: смешение жанров, детально разработанный Вторичный мир, изобилие квазисобственных имен (то есть имен значимых, выдуманных автором для обозначения несуществующих реально объектов), темы борьбы добра со злом, квест (от англ. quest – поиск) как основная сюжетная линия жанра, религиозно-философские вопросы и т. д. Специфической чертой жанра «фэнтези» является и его высокая по сравнению с другими жанрами степень национально-особенного, поскольку истоки эволюции фэнтези начинаются с древних легенд, рыцарских романов средневековья, в том числе артуровских романов, древних германских саг о Нибелунгах, ирландских героических сказаний, кельтского и германского фольклора. Национальная специфика жанра фэнтези пронизывает текст на всех его уровнях и требует сохранения при переводе. Соответственно подмена английской культуры и английского менталитета русскими или немецкими в рамках фэнтезийного произведения лишает ребенка возможности постигать богатства культурного многообразия. Сохранение культурного компонента произведения «Гарри Поттер» приводит к огромному числу незнакомых или непонятных для ребенка-реципиента слов, значение которых нуждается в дополнительных объяснениях, толкованиях. Читательский интерес к подобного рода комментарию и объясняет возросшую популярность Интернет сайтов, электронных и печатных изданий, которые посвящены книгам о Гарри Потере. У читателя появляется возможность воспринять целостный художественный образ, разобраться в интересующих его чужих реалиях и малопонятных словах, обращаясь к справочному материалу. Переводчику приходится учитывать, что произведение Дж. Роулинг перешло из разряда «детской» книги во «взрослую» и имеет несколько уровней прочтения, что в значительной степени осложняет процесс перевода. В свою очередь, это означает, что именно комментарий берет на себя разъяснительную нагрузку, тем самым частично освобождая переводчика от излишних пояснений в тексте.
Произведение «Гарри Поттер» соединило в себе элементы волшебной сказки такие как: блуждание по волшебной стране, мир иной реальности, Помощник (проводник), сражения с невероятными чудовищами, мудрые старики, фантастические существа, различные волшебные предметы (плащ-невидимка, метла, волшебная палочка), награда за подвиги, ряд испытаний, многособытийность, всевозможные превращения, «кольцевая композиция», символические элементы), а также мифа: рождение героя, его детство, героическая победа злодея в раннем детстве, злые приемные родители, недостаток, нехватка чего-то жизненно необходимого, смертельная опасность для Героя и его мира, спасение мира, змееборчество, испытания, помощники, решающее испытание, награда, отказ от возвращения в реальный мир.
Картина фантастического мира, в котором герою приходится встречаться с самыми загадочными существами, обрамляется в «Гарри Поттере», как и в волшебной сказке, картиной реального мира: она, как правило, и начинается и заканчивается на реальной Земле. В этой «кольцевой картине» все реально: и обстановка, и герои и т. д. А затем начинается нереальное, фантастическое. Таким образом, как и во всех видах сказок, находим в «Гарри Поттере» своеобразное сочетание реального и нереального, обычного и необычного, жизненно правдоподобного, вполне вероятного и совершенно неправдоподобного, невероятного. Именно как результат столкновения этих двух миров (реального и нереального), двух типов сюжетных ситуаций (вероятных и невероятных) и возникает то, что делает повествование сказкой.
В целом, говоря о специфике мифотворчества Роулинг, необходимо отметить следующее: автор активно используют материал мифов различных культур, подвергая его определенному переосмыслению или переработке. Миф – это сказка максимального накала; сказка – это искусственно смягченный миф. Миф дает почти обнаженное представление эдипальной ситуации; в сказке все завуалировано позднейшими смещениями и наложениями. Сказка ориентируется в основном на инфантильные (доэдипальные) возрастные кризисы, а миф – на постэдипальные.¹ (Е.М. Мелетинский).
Фэнтезийное произведение «Гарри Поттер» содержит такие темы мифа как: рождение героя (чудесное спасение Гарри как его второе рождение), его детство (Гарри воспитывается в семье Дурслей), отказ от возвращения в реальный мир (Гарри неохотно возвращается к Дурслям). Как и в мифологии, чтобы сразиться с темными силами мироздания, героям Дж. Роулинг приходится встречаться лицом к лицу с темными силами внутри себя. Каждое новое приключение показывает им, что они достойны победы. Все эти мифические элементы, образы и сюжеты живут в подсознании каждого человека, т.е. являются «архетипами»² (К.Г. Юнг).
Учитывая синтез волшебной сказки и мифа в структуре фэнтезийного произведения, приходим к следующему выводу: при переводе детского фэнтези необходимо учитывать основные требования к переводу волшебных сказок и мифа, а именно: бережное отношение к образной системе произведения-оригинала, к средствам первичной и вторичной образности; воссоздание индивидуального стиля автора; передача определенного эстетического воздействия с учетом возможного прочтения и интерпретации произведения на нескольких уровнях.
Книги о Гарри Поттере были изданы миллиоными тиражами, переведены на шестьдесят языков мира, включая американский английский, латинский, древнегреческий и различные диалекты. В данной связи интересно будет рассмотреть анализ решений и стратегий переводчиков книг о Гарри Потере на разные языки мира. В основном переводчики стремились раскрыть значение, ассоциативные связи, дополнительные коннотации в процессе перевода «говорящих» имен и вымышленных названий; прибегали к приему транскрибирования; пользовались приемом замены реалии исходной культуры реалией культуры реципиента. Для того чтобы сделать текст книги более понятным для американского реципиента, редактор американского издания «Scholastic» внес в текст книги о Гарри Потере некоторые изменения в лексике, например, crumpets – English muffins, jelly – Jell-O, jacket potato – baked potato, treacle toffee – treacle fudge), орфографии (mum – mom) и грамматике (got fond – grown fond, he's got flu – he's got the flu, teddy – the teddy, shift the slime – get the slime off, end of term – end of the term). Кроме того, в переводах были расширены и сокращены некоторые эпизоды в пределах нескольких предложений, заменено название первой книги (в коммерческих целях) и удален курсив, которым выделены некоторые слова и выражения.
Переводчики «Гарри Поттера» на латинский и древнегреческий языки Питер Нидхэм (Peter Needham) и Эндрю Уилсон (Andrew Wilson) столкнулись с проблемами другого плана, однако также как и другие переводчики выработали собственные переводческие стратегии преодоления трудностей. Например, ввиду того, что Эндрю Уилсон определил в качестве реципиента своего перевода грека, жившего в четвертом веке до нашей эры, ему пришлось перевести все названия, т.е. прием транслитерации был исключен. Процесс перевода осложнялся еще и тем фактом, что сага о Гарри Поттере еще не завершена, что означает бережное отношение к переводу деталей, поскольку их опущение или неверная передача могут вызвать трудности в процессе перевода следующей части. Например, испанские переводчики перевели имя Professor Sinistra как Profesor Sinistra (мужской род), и вынуждены были в следующей книге исправить его на Profesora Sinistra (женский род). Путаница с именами имела место и в работе немецкого переводчика Клауса Фритца. Но, поскольку нас интересует перевод на русский язык, то можно привести пример разночтения имен, которые встречались в русских переводах издательства «Росмэн», когда у одного персонажа существует и транслитерированный вариант имени и «переведенный» (напр., Невилл Долгопупс / Невилл Лонгботтом).
В «Гарри Потере» имеется философская идея, которую при переводе необходимо было сохранить всем переводчикам. Одна из основных тем произведений Дж. Роулинг – это борьба темных и светлых сил. Однако помимо этого, существует очевидная тесная связь между словами и поступками героев книг Дж. Роулинг и учением гениального швейцарского философа Карла Густава Юнга, согласно которому целью всякой работы души является "индивидуализация" личности, обретение "самости". Человек индивидуализируется, когда он синтезирует в себе все возможные измерения психического, в этом процессе он обретает самость, становится самим собой. Обретение самости означает также интеграцию зла. Нужно воспринять зло как момент собственной судьбы, часть своей личности, а не принимать его как нечто внеположенное, принять его как часть себя¹. Другими словами, смысл книг Роулинг, не только борьба Добра и Зла, но и борьба со злом внутри себя, самопознание личности, которая синтезирует в себе все возможные измерения психического, в том числе и Зло. Философские идеи входят в движение сюжета, являются основой образной системы и смысловой наполненности стиля, играют существенную роль в определениях фантастической действительности. Христианские темы любви и самопожертвования являются основными на протяжении всех книг о Гарри Потере, и переводчику также необходимо их точно отражать, ничего от себя не дописывая.
В рамках исследования доказывается выдвинутая гипотеза о том, что фэнтезийное произведение «Гарри Поттер» относится к типу текстов, ориентированных на форму (классификация по К. Райсу)¹. Переводчику необходимо переводить его по принципам, применимым к текстам, ориентированным на форму, сохраняя при этом прагматический потенциал текста, учитывая главного реципиента – ребенка. Таким образом, текст детского фэнтези сообщает содержание, но теряет свой специфический характер, если при переводе не сохраняется внешняя и внутренняя форма, определяемая нормами поэтики, стилем или художественными устремлениями автора. Так, если при переводе, ориентированном на содержание текста, можно оставить без внимания игру слов, не снижая при этом инвариантность плана содержания, то в тексте, ориентированном на форму, необходимо найти функциональное соответствие, отвечающее художественной и эстетической функции стилистической фигуры. Если различия в структуре языков не позволяют передать игру слов в том же месте, приходится выбирать между заменой другой языковой фигурой с аналогичным эстетическим воздействием или включением игры слов там, где в исходном тексте ее не было, но в тексте перевода представляется для этого возможность.
При переводе детского фэнтези «Гарри Поттер» необходимо учитывать стиль автора, способ изложения, художественные средства языка, определенное эстетическое воздействие и способность текста оказывать необходимое воздействие. Высшей заповедью перевода детского фэнтези должно быть стремление к достижению равного эстетического воздействия. Для текстов детского фэнтези может быть характерно то, что с ними всегда связано намерение, определенный экстралингвистический эффект. Переводчик должен стремиться к тому, чтобы текст перевода мог вызывать тот же эффект, что и оригинал.
Далее, при рассмотрении лексико-семантических особенностей при переводе на русский язык анализируемого художественного произведения, в первую очередь, мне бы хотелось обратить внимание на средства языковой игры и их реализацию при переводе.
Языковая игра как доминирующий авторский прием является одной из причин необычайной привлекательности книг Дж. Роулинг о Гарри Поттере и, следовательно, нуждается в адекватной передаче на русский язык. Языковая игра призвана не только развлекать, но и развивать мышление и язык, креативные способности ребенка (а в при переводе данного произведение – это очень важно, поскольку, основными читателями данного произведения остаются дети), его представление о грамматическом значении слова, вскрывать пограничные, парадоксальные случаи функционирования языкового знака.
Одним из видов языковой игры анализируемого произведения является каламбур. Например, в названии каламбура Headless Hunt (клуб, организованный призраками людей, которым отрубили голову) просматриваются две составляющие англ. headless - не имеющий головы, безголовый; обезглавленный; и англ. hunt - 1) охота (ловля); 2) охота (группа охотников со сворой собак). Headless Hunt созвучно head hunting – "охота за головами" – понятие из сферы рынка вакансий, т.е. агрессивная политика поиска нужного работника и переманивание его с прежнего места работы, если в этом есть необходимость. Подразумевается, что наниматель больше заинтересован в работнике, чем работник в найме. Напротив, членства в этом клубе много лет безуспешно добивается привидение Почти Безголовый Ник (Nearly Headless Nick). Кроме того, возможно созвучие с кельтской Дикой Охотой (Wild Hunt), к которой могли примкнуть души умерших при определенных обстоятельствах. Данный каламбур осложнен приемом единоначатия, который был воспроизведен в переводе М.Спивак – Безголовая Братия. Переводчик Ю.Мачкасов создал каламбурное сочетание Безголовая Охота (безголовый = бесшабашный/без головы).
Анализ переводов выявил целый ряд приемов передачи каламбуров фэнтезийного произведения таких как: при передаче каламбура лексика не должна обозначать понятия, находящиеся вне реальности ребенка; стилистическая окраска каламбура должна соответствовать особенностям языка детского произведения; каламбур должен естественно входить во всю систему стилистических и образных средств перевода, подчиняться главной цели всего произведения и не искажать идейно-художественный характер подлинника, создаваться только в типичной для него ситуации; создание компенсирующего каламбура прямо противоположно процессу нейтрализации, вынужденному “сглаживанию” двуплановости каламбурных контекстов; для усиления компенсирующих или созданных на измененной семантической основе каламбуров использовать аллитерацию, рифму или графические средства: шрифтовые выделения, заглавные буквы, курсив.
Аналогичного рассмотрения в контексте анализируемых произведений заслуживает игра в слова в авторской метафоре. Метафора в фэнтезийном произведении «Гарри Поттере» заставляет обратить внимание на некоторое сходство персонажей с животными или существами волшебного мира, например: cf. англ. : Mrs. Mason screamed like a banshee… – рус. (Л): Миссис Мейсон закричала дурным голосом, не хуже ирландского привидения, приносящего весть о близкой смерти… Несмотря на то, что при передаче фразы-сравнения screamed like a banshee была сохранена ее метафоричность, перевод у М.Д. Литвиновой получился громоздким, во многом благодаря развернутому объяснению понятия banshee, в то время как цель метафоры заключается в том, чтобы лаконично и точно выразить суть предмета.
Достаточно распространенным видом языковой игры произведения «Гарри Поттер» является использование приема единоначатия, т. е. повтора первых согласных. Несмотря на то, что переводчики по-разному передавали этот стилистический прием языковой игры, прослеживаются некоторые тенденции: сохранение единоначатия путем транскрибирования имени(названия) (cf. англ.: Bathilda Bagshot – рус. (М): Батильда Бэгшот), сохранение единоначатия путем создания окказиональных слов (cf. англ.: The Chudley Cannons – рус. (Л): "Пуляющие пушки" – рус. (М): «Пушки Педдл») и передача «каламбурности» путем создания окказиональных слов (cf. англ.: Professor Vindictus Viridian – рус. (С): профессор Мститтус Вирусиан, Leg-Locker Curse – рус. (М): Сглаз-ноговяз).
Отдельным частным проявлением языковой игры произведения «Гарри Поттер», который так часто импонирует детям, является искажения отдельных слов (оговорки). Например, одной из многочисленных оговорок одного из главных героев Рональда Уизли является слово escapators (имеются в виду эскалаторы в Лондонском метро; escape (англ.) – бежать, избежать, спастись). Переводчики обыграли это слово как эскапаторы рус. (С); экскалаторы рус. (Л). Переводчики обыгрывали это слово, используя «каламбурные», «игровые» возможности русского языка, прибегая и к такому переводческому приему как компенсация. Таким образом, несмотря на неизбежные потери, наиболее полно обеспечивается эквивалентность перевода.
«Языковая игра, используемая при словообразовании, помогает переводчикам осмыслить процесс создания новых слов, усвоить основные словообразовательные модели. Благодаря языковой игре дети усваивают представление о внутренней мотивационной форме слова, что способствует обогащению словарного запаса, в некоторых случаях помогает давать определения новым, ранее неизвестным словам, позволяет создавать собственные слова, выражающие необходимый для ребенка смысл.(кто-нибудь). Способность ребенка к собственному словотворчеству позволяет ему адекватно воспринимать и интерпретировать случаи языковой игры в художественных произведениях»¹. Так, в переводах произведения «Гарри Поттер» много окказиональных слов, связанных с реалиями вымышленного, фантастического мира. Переводчиками создаются новые гибридные наименования, созданные путем контаминации (слияние, скрещивание слов или частей слов в одно неразложимое целое, например: медвеклоп, тортелики, шоколадушкa, Смертенины, Шелкокрылая муха, Мертвоморрис, Мадам З. Дослёз, Всеэссенция, вспомнивсёль, колдолентa). Среди переводческих окказионализмов есть и такие, которые близки к так называемым потенциальным словам (например, отбивной, загонщик), т. е. лексическим единицам, которых нет в словаре данного языка, но которые легко образуются по тем или иным словообразовательным моделям, заполняя пустые клетки словообразовательных парадигм.
Массачусетский Университет, после выхода первой книги о Гарри Потере, проводил лингвистический эксперимент по установлению ассоциативных полей вымышленных имен и выявлению семантики окказиональных образований, каламбуров и других видов языковой игры выявил трудность понимается окказиональных образований и каламбуров, поэтому разнообразие толкований, предложенных детьми, не случайно: 1) в данных детьми-информантами объяснениях-толкованиях преобладают дефиниции, выявляющие внутреннюю форму номинации (медвеклоп – это комар, который кусает медведя, насекомое блоха). Дети пытались найти рациональное объяснение тому или иному новообразованию. При этом им явно сложно было определить слова-прототипы, послужившие базой для окказиональной трансформы; 2) слова переосмысливались по принципу ложной этимологии, по ассоциативному созвучию с другими словами (златоглазка – зло смотрит, лупильник – всех бить через микроскоп, лупу) или рифмовались с другими словами (Гошок – горшок; Дрюзга – мелюзга, Грифук – грейпфрукт); 3) транскрибированные имена с «пустым» лексическим значением представляли для понимания детей наибольшую трудность, поскольку не вызывали у детей никаких ассоциаций или приобретали новое значение (например, Вафлинг – вафли делает; Спинет – спины нет, без спины; Моргана – моргает); 4) в описании детьми-информантами окказиональных наименований проявляется стремление ребенка "найти в звуковом образе слова буквальное отражение каких-либо свойств предмета" (Слизерин – слизь, слизняки).
Анаграмма занимает исключительно важное положение в ряду других текстовых явлений произведения «Гарри Поттер». Дж. Роулинг использует анаграммы как один из способов кодирования информации например, имя Tom Marvolo Riddle (Том Марволо Риддл) означает I am Lord Voldemort (досл. Я есть Лорд Вольдеморт). Следовательно, для того, чтобы набор букв соответствовал анаграмматически зашифрованному тексту (Я ЛОРД ВОЛЬДЕМОРТ (рус. (С)); лорд Волан-де-Морт (рус. (Л)); переводчики на русский язык перевели имя Tom Marvolo Riddle как: ТОМ ЯРВОЛО РЕДДЛЬ (рус. (С)); Том Нарволо Реддл (рус. (Л)). Читатель, прочитывая шифр, открывает анаграмму как готовую, хотя и неявную формулировку смысла текста, почти готовую интерпретацию. Соответственно, задача переводчика –сохранить и смысл анаграммы и ее игровой принцип.
Также хотелось бы упомянуть об использовании капитуляции, многоточия, тире, заглавных букв и курсива. Для текста произведения «Гарри Поттер» характерно их частое использование. Такая графика в данном случае выполняет не только функцию воссоздания живой речи, смыслового выделения слова, передачи интонации, но и своего рода инструмента воздействия на эмоциональное восприятие и сферу чувств ребенка-реципиента, поскольку помогает ему ощутить определенный спектр эмоций персонажа. Переводчики на русский и немецкий языки крайне редко прибегали к использованию курсива, которым в оригинале также отмечались, помимо отдельных слов или фраз, заклинания, названия школьных дисциплин, учебников и т. д. Скудность графики также делает перевод наименее эмоциональным.
Дж. Роулинг использует прием намеренного нарушения орфографии, например, в целях описания социального статуса персонажа Хагрида, его сомерсетский говор: cf. : англ.: "Las' time, you was ,Yeh, yer, yeh've got, fer cryin'. Переводчики на русский язык постарались передать особенности речи персонажа через разговорный стиль или просторечие (как я погляжу, субчики, на ум взбредет, допер, но раздери меня совсем, ну один в один просто, вылитый папаша, прям хоть кричи!), а так же путем введения слов, находящихся в сфере употребления малограмотных людей (ихнее).
Создание текста, не расчлененного междусловными пробелами, выполняет в произведении «Гарри Поттер» функцию передачи живой ускоренной речи, насыщенной синтаксическими шаблонами. Применение сцепления слов и словосочетаний позволяет почувствовать передачу убыстренной аффективной или нечленораздельной речи. Кроме того, в детском фэнтези «Гарри Поттер» встречается прием нерасчлененного текста, который частично расчленяется посредством дефиса, подчеркивая ироничность высказывания. Немногим переводчикам удалось совершенно точно уловить принцип передачи нерасчлененного текста, например: cf. англ.: "Whassamatter?" said Harry groggily. – рус. (С): Сстосусилоссь? – спросил Гарри неразборчиво, как пьяный. – рус. (Л): Что…что такое? – сонно пробормотал Гарри. – рус. (М): Ч-чего? – сонно пробормотал Гарри. Переводчик М. Спивак совершенно точно уловила принцип перевода нерасчлененного текста и далее удачно перевела реплику гнома, однако фраза «Сстосусилоссь?» может дать понять, что Гарри Поттер имел проблемы с дикцией, нежели он просто пробормотал что-то сквозь сон.
В детском фэнтези «Гарри Поттер» символ имеет особенно большое значение. Символом в произведении служат не только животные, явления, предметы, вторичный мир, но и игра Quidditch. Название игры состоит из некоторых букв четырех мячей: (Qu)affle + Blu(d)ger + Blu(d)ger + Sn(itch); возможно существует некоторая связь с словом "quiddity", т.е. "the essence or real nature of a thing" (англ. суть, сущность). Не случайно, что именно профессор Минерва МакГонагалл (cf. римск. мифол. Минерва, или греч. Афина, богиня мудрости и войны) привела Гарри в игру «квиддич», таким образом, помогая ему отправиться в символический квест. Предпринимая квест, герой неизбежно вступает в справедливую борьбу, войну, противодействие.
Все, что связано с игрой Quidditch (названия игроков, мячей и т.д.) символично. Например, задача Гарри как игрока состоит в том, чтобы поймать золотой снитч (the Golden Snitch), качественные характеристики которого весьма интересны. Во-первых, важен сам факт того, что он сделан из золота, так как косвенно одной из тем книги «Гарри Поттер и философский камень» является алхимия. Однако в данном случае алхимия связана не только с созданием философского камня и превращением простых металлов в чистое золото, но и с духовной трансформацией человека в символическом значении (можно сравнить этот процесс с глубинным поиском золота в недрах человеческой души).
Во-вторых, золотой снитч трудно поймать, так как он очень быстро летает, прячется. Рассмотрим, как переводчики передали значение the Golden Snitch: cf. рус. (С): Золотой Проныра – рус. (О): золотой снитч – рус. (М): Золотой Щелчок – нем. Глагол «to Snitch» в переводе с английского означает ябедничать, доносить, ловить (с помощью петли) (cf. snatch – хватание, схватывание; хватка). Переводчик М.Спивак перевела the Golden Snitch как Золотой Проныра в соответствии с его характеристикой: пронырливый, ускользающий, увиливающий, быстрый. Ю.Мачкасов перевел его как Золотой Щелчок, воспользовавшись более старым и уже утераченным значением этого слова. Вариант переводчиков издательства «Росмэн» является допустимым, поскольку обычно все спортивные термины транскрибируются.
Метод транслитерации, который доминирует при передаче системы символов произведений «Гарри Поттер», делает практически невозможным процесс извлечение означаемого из символа. Внутренняя структура символа (соотношение знака и означаемого) должна становится постоянным источником знаний об этом объекте, постепенно приближающих нас к его познанию. Проведенный анализ символа «квиддич» показал, что он обладает способностью к сложному семантическому моделированию, характеризуется высокой степенью гносеологической ценностью, обладает текстообразующей функцией в значительно большей мере, чем символы первой степени.
Введение в ткань произведения факта, репрезентирующего иную языковую систему (английский язык) уже несет в себе ту информацию, что действие разворачивается не в России, но за ее пределами, а именно в Англии, причем заклинания являются важной реалией вымышленного мира. Например, заклинание Finite Incantatem (от англ. "incantation" , т.е. колдовство, волшебство; чары, заклинание, магическая формула и лат. "finis", т.е. конечный, ограниченный, имеющий предел), отменяющее действие других заклятий, передано как Фините Инкантатем (рус. (Л); рус. (С)) и Finite Incantatem (рус. (М). Таким образом, переводчики транскрибировали заклинания без пояснений, рассчитывая, по-видимому, на контекстуальное осмысление, а также, считая их элементами колорита, атмосферы, для ощущения которых не обязательно их смысловое восприятие. Переводчик Ю.Мачкасов также использует иноязычные вкрапления, однако доводит до читателя их значение посредством сносок и ссылок.
В художественном тексте «Гарри Поттера» наблюдается смешение двух стилей повествования: фантастического (допускается нарушение законов природы) и реалистического, с преобладанием то одного, то другого. На реалистическом фоне возможны фантастические вкрапления и, наоборот, в фантастических вещах наблюдаются реалистические прослойки (даже главный персонаж Гарри является одновременно героем волшебной сказки и современником читателя). Антропонимическое пространство романа позволяет одновременно отразить и реальный, существующий мир, и фантастический, вымышленный, волшебный. В произведении «Гарри Поттер» система собственных имен образует особый мифологический пласт языка, представляя собой некоторый другой, иначе устроенный язык, который поддается переводу при помощи переводческих трансформаций и соответствующих языковых преобразований.
В тексте представлены различные именования персонажей, причем один и тот же персонаж может иметь несколько именований различного характера: некоторые из них представляются вариантами одного и того же имени, другие функционируют как параллельные имена. Voldemort (сf.: рус. (О): Волан-де-Морт; рус. (С); рус. (М): Вол(ь)деморт) – You – Know – Who (сf.: рус. (М): Сами-Знаете-Кто.
В произведении наблюдаются однословные единицы (Nott/Нот, Moon/Мун), среди которых фамилии, имена и прозвища, двучленная модель, представленная конструкциями, среди которых преобладают традиционные конструкции типа имя + фамилия, например, Bill Weasley (сf.: рус. (О): Бил Уизли) и конструкции типа имя + прозвище и трехчленные именования такие, как SIR NICHOLAS DE MIMSY-PORPINGTON (сf.: рус. (О): сэр Николас де Мимси-Дельфингтон, рус. (М): сэр Николас де Мюмзи-Порпингтон, рус. (С): сэр Николас де Мимси-Порпиньон), Nearly Headless Nick (сf.: рус. (О): Почти Безголовый Ник).
Антропонимы произведения могут классифицироваться по ономастическим разрядам: личные имена, фамилии, прозвища. Наиболее многочисленными являются личные имена. В основу таких номинаций положены следующие основные признаки: характер занятий героя, профессия – Argus Filch (рус. (О): Аргус Филч) – хогвартский сторож (Аргус, "всеглаз" – в гречеcкой мифологии стоглазое чудовище, которому ревнивая Гера, жена Зевса, поручила следить за Ио, новой фавориткой мужа); внешняя характеристика героя – привидение Nearly Headless Nick (Почти безголовый Ник); особенности характера героя, отражение его внутреннего мира: – Dudley Dursley (рус. (О): Дурсль, Дадли) – 'dud', что озачает «a boring person», т.е. скучный человек.
В рамках данного произведения имена несут на себе заметно выраженную смысловую нагрузку, имеют необычный звуковой облик, обладают скрытым ассоциативным фоном, поэтому в переводе имена собственные должны быть стилистически верными и точными, соответствовать всему духу, идее, целям произведения, нести характерный колорит, особое значение, в котором сконцентрировано и выражена авторская идея. Так, в произведении «Гарри Поттер» упоминаются фамилии Borgin и Burkes, которые несут аллюзии к известным злодеям: Borgin – Борджиа, семейству флорентийской знати, многие члены которого прославились своей жестокостью, и Burkes – ирландскому убийце Уильяму Бёрку, душившего свои жертвы с тем, чтобы продавать их тела для анатомирования (настолько знаменитому, что его фамилия перешла в разряд нарицательных – глагол to burke означает "душить" убить, задушить. Благодаря транслитерации, переводчик Ю.Мачкасов сохранил единоначатие Борджин и Беркс (рус. (М)), в то время как у других переводчиков наблюдается частичное воссоздание каламбурности – Борджин и Д'Авило (рус. (С)), Горбин и Бэркес (рус. (Л)). С точки зрения переводоведения транслитерированные варианты имеют право на существование, однако эти названия не будут нести никакой смысловой нагрузки, поскольку теряются намеки, аллюзии и ассоциации, которые важны для ребенка-реципиента.
Смысл говорящих имен выявляет только контекст, и только при таком осмыслении переводчик обязан довести до сознания своего читателя их внутреннее содержание. Переводчику необходимо найти средство, если не раскрыть внутреннюю форму такого имени, то хотя бы ненавязчиво подсказать ее наличие. Так, имя профессора Sprout (от англ. побег, росток; корешок; черенок; отросток) переводчик И.В. Оранский передал как Проф. Стебль (использована конкретизация и сужение семантики исходного слова), что не соответствует даже дословному переводу; переводчики Мачкасов Ю. и Спивак М. перевели имя как Проф. Пророст и Проф. Спаржелла. Последний вариант действительно звучит оригинально, принимая во внимание тот факт, что имя принадлежит ведьме.
Одна из задач, которая стоит перед переводчиками произведений Дж. Роулинг, является "изобретения" эквивалентов ее слов в своих родных языках. В большинстве случаев переводчики пошли по пути транслитерации, оставив попытки передать смысл значимых имен. Однако надуманность и неправдоподобие в переводе выдуманных имен, названий, вымышленных реалий привели к потерям комизма. Подобная передача имен на русский язык служит причиной неадекватного восприятия читателем перевода, особенно если это ребенок. Как известно, дети мыслят прежде всего аналогиями, и если таковые искажены или недоступны для понимания, то задача переводчика не достигнута.
Анализ имен собственных «Гарри Поттера» выявил тот факт, что в переводах произведения на русский язык отсутствует какая-либо четкая закономерность передачи английских букв или звуков. Взяв за основу типологию ономастических типов соответствий в переводе, предложенную Д. И. Ермоловичем, были выделены следующие методы формирования и типы соответствий в переводах «Гарри Поттера» на русский язык: прямой графический перенос (англ.: Alohomora – рус.: Алохомора (М), транскрипция аллофоническая, фонематическая, «практическая» (cf. англ.: Johnson, Angelina – рус. (О): Джонсон, Анджелина), транслитерация (cf. англ.: Johnson, Angelina – рус. (С): Ангелинa Джонсон), морфограмматическая модификация (cf. англ.: Brown, Lavender – рус. (С); рус. (М): Браун, Лаванда; cf. англ.: Bulstrode, Millicent – рус. (О): Булстроуд, Миллисента), семантическая экспликация (cf. англ.: Dean the West Ham fan – рус. (Л): поклонник футбольного клуба "Вест Хэм" Дин), традиционное именование (cf. англ.: Circe – рус. (С); рус. (М): Цирцея), калькирование (cf. англ.: Privet Drive – рус. (С): Бирючиновая аллея), онимическая замена (cf. англ.: Helga Hufflepuff – рус. (О): Пенелопа Пуффендуй), функционально-смысловой перевод значимых имен собственных (cf. англ.: Mortlake – рус. (Л): Прудсмерт; cf. англ.: Madam Z. Nettles – рус. (Л): Мадам З.Крапивинс; cf. англ.: Mortlake – рус. (С): Мертвоморрис).
Зоонимы, имена сказочных и аллегорических животных — сложный материал для перевода. У Дж. Роулинг они построены на игре слов, созвучиях, ассоциациях или подтекстах, например сова Гарри Hedwig носит «говорящее» имя, так как Святая Ядвига считалась покровительницей сирот (что имеет прямое отношение к главному герою). Переводчик Ю.Мачкасов использовал при передаче данного зоонима метод традиционного именования – Ядвига; в переводах издательства «Росмэн» обнаруживаются два соответствия – Букля и Хедвиг; переводчик М. Спивак создает морфологически модифицированное соответствие на базе транслитерации – Хедвига, поскольку Хедвиг, по сути женское имя, ощущается русским человеком как мужское, вследствие несоответствия окончания имени. При переводе текстов, содержащих зоонимы, переводчику необходимо стремиться к сохранению их ориентированность на определенную ситуацию, яркую мотивированность образной номинации. Если мотивация зоонимов обосновывается контекстом, она воссоздается и в переводе.
Вымышленные топонимы произведения напоминают по форме реальные географические названия в Англии. Прежде чем их переводить, переводчикам необходимо определить для себя, чем именно являются эти названия. Если переводчик расценивает их как продукт авторского словотворчества, то он вынужден придумывать окказиональные слова на основе русских словообразовательных элементов, например, вымышленное название деревни Ottery St. Catchpole (англ. otter – выдра, catchpole – судебный пристав, судебный исполнитель) по форме похоже на реальное название английской деревушки, переводчик М.Спивак передает с помощью окказионального названия (Колготтери Сент-Инспекторт). Если переводчик рассматривает их как топонимическую единицу первичного и вторичного миров произведения, то он руководствуется основным способом передачи реальных топонимов, а именно: практическая транскрипция. Единственным недостатком этого способа является утрата ассоциативных или каких-либо других дополнительных связей, которые могут возникнуть у носителей английского языка, например название улицы Privet Drive (от англ. privet – бирючина) было передано как Бирючиновая аллея (рус. (С)), Тисовая улица (рус. (О)), Оградный проезд (рус. (М)). Перевод Мачкасова Ю. в данном случае точно передает смысл понятия. Англоязычный читатель ассоциирует слово privet с подобной изгородью. Общепризнан тот факт, что понятие отражает действительность в самых общих чертах, абстрагируясь от несущественных деталей, беря лишь то общее, что является существенным для предметов и явлений. Однако переводчик может создать на базе транслитерации или транскрипции название, стилизованное под английское. Для этого переводчику необходимо знать специфику географических названий Англии.
Во Вторичном мире «Гарри Поттера» дома также имеют названия, например, The Burrow (в пер. с англ. – нора, норка, ход), дом семейства волшебников Уизли (Weasley от англ. weasel – ласка, горностай, куницеобразные), представляет собой односоставное название с определенным артиклем. Согласно словарю под редакцией Вебстера, английское слово burrow означает: «1) a hole or tunnel in the ground made by a rabbit, fox, or similar animal for habitation and refuge; 2) shelter or refuge». Переводчики издательства «Росмэн» (Литвинова М.Д., Оранский И. Д., Спивак М.) и Ю.Мачкасов посредством кальки перевели название дома как Нора. Согласно «Толковому словарю русского языка» под редакцией С.И.Ожегова, слово «нора» означает: (1) жилище животного; 2) темное, неблагоустроенное жилище. Таким образом, передано только первое значение слова burrow; переводчик М. Спивак перевела его как Пристанище (= место, которое может служить приютом), что в полной мере отражает фигуральное значение оригинального слова. Таким образом, все переводчики отказались от существующей в художественных произведениях практики передачи названий особняков, имений путем их транскрипции.
Денежные единицы волшебного мира «Гарри Поттера» – 1 galleon = 17 sickles или 493 knuts – соответствуют денежной системе, существовавшей до 1971 в Великобритании: 1 фунт стерлингов (pound) = 20 шиллингам (shilling, серебряная монета) = 240 пенсам (pence, мелкая монета из бронзы или медно-никелевого сплава). Можно предположить, что слово galleon, золотая монета, имеет значение галеон (эти испанские корабли перевозили золото в 16-18 веках). Слово sickle, серебряная монета (1 sickle = 29 knuts), переводится с английского языка на русский как серп; что-л. в форме серпа, однако установить дополнительные коннотации названия этой единицы довольно сложно. Слово knut, мелкая медная колдовская монета, вероятно, является вариантом написания nut, т.е. орех, мелкий уголь. Передача денежных единиц волшебного мира «Гарри Поттера» посредством транслитерации или транскрипции абсолютно оправданна, поскольку «расшифровать» их значение представляется затруднительным.
Наименования мер, обозначающих единицы веса, длины, площади, объема жидкостей и т. д. необходимо транслитерировать, поскольку, попадая в язык образов, меры-реалии служат не столько для передачи точной информации, сколько для создания в воображении читателя зримого представления об описываемом фрагменте действительности. Их приблизительное значение чаще, чем при других реалиях, можно вывести из узкого контекста, то есть нередко художественный образ бывает более или менее понятным и без знания точных величин соответствующих единиц. Осмысление незнакомой реалии-меры в узком контексте происходит в его сознании главным образом за счет числительного, а также и некоторых «наводящих» слов — «всего», «целых», «не больше» и т. п.; однако очень часто наблюдается как бы неосознанное приравнивание его к величине собственной меры того же ранга. С другой стороны, детьми и функциональный аналог будет восприниматься как нечто абстрактное. Переводчики детского фэнтези «Гарри Поттер» заменили английские футы метрами.
Следующую группу имен произведения «Гарри Поттер» составляют товарные знаки. В «Гарри Поттере» все товарные названия Вторичного мира также являются окказиональными словами. Как правило, при передаче названий товарных знаков используется метод прямого графического переноса или транслитерации. Переводчики «Гарри Поттера» прибегали к кальке, транслитерации, транскрипции. В итоге в переводах они стали громоздкими и менее всего звучат как названия товарных знаков, например, cf. Grow Your Own Warts kit – (рус. (Л)): набор для желающих обзавестись бородавками.
Письма в книге о юном волшебнике Гарри Потере также играют важную роль, являясь частью реалий вторичного мира. Однако перед переводчиками стояла задача не только попытаться передать их содержание (смысл), но и их форму.
При передаче выдуманных названий праздников волшебного мира переводчики «Гарри Поттера» вынуждены были создать собственные эквиваленты, поскольку метод транслитерации категорически невозможен в данном случае. Так, праздник привидений, который называется the Deathday Party (Death = смерть, day = день), создан по аналогии с birthday (англ. birth = рождение, day = день), что очень точно было передано переводчиком М.Спивак: ср. смертенины – именины.
Названия сладостей, типичной английской или нетипичной английской волшебной еды зачастую переводчиками транскрибировались без пояснений, комментарий, предоставив, таким образом, место для детской фантазии, например, название haggis (шотландское блюдо из бараньей или телячьей печени, сердца и лёгких, которое заправляется овсяной мукой, околопочечным салом, луком и перцем и варится в бараньем или телячьем рубце), было транскрибировано переводчиками М.Спивак и Ю.Мачкасовым как хаггис. Однако при передаче вымышленных названий еды переводчики создавали окказиональные образования, отказавшись от транскрипции/транслитерации, например: Cauldron Cakes – рус. (С): тортелики, котлокексы; Pumpkin pasties – рус. (С): тыквеченьки.
Таким образом, каждый переводчик, руководствуясь различными справочными пособиями, комментариями, фоновыми знаниями и индивидуальными глоссариями, подходил к проблеме передачи текста по-разному и решал проблему перевода выдуманных имен, названий, вымышленных реалий.
Заключение
Анализ лексико-семантических особенностей фэнтезийного произведения Дж. Роулинг позволил выделить переводческие стратегии, согласно которым при переводе произведений в жанре фэнтези, включая книги о Гарри Поттере, необходимо передать:
- посредством транслитерации или транскрипции: названия вымышленных денежных единиц с затемненной внутренней формой, наименования мер (единицы веса, длины, площади, объема жидкостей и т. д.), имена главных героев произведения;
- посредством калькирования, транслитерации или транскрипции: названия товарных знаков, а так же топонимов с затемненной внутренней формой;
- посредством создания окказиональных слов на основе словообразовательных элементов ПЯ: названия вымышленных топонимов, домов, праздников волшебного мира;
- с помощью функционального аналога, кальки, транслитерации или транскрипции: названия сладостей и типичной английской и нетипичной (волшебной) еды с обязательной сноской, пояснением или комментарием.
При переводе текстов в жанре детского фэнтези необходимо сохранить: 1) прием единоначатия, т. е. повтор первых согласных; 2) смысл и игровой принцип анаграммы; 3) графические игры (капитуляцию, многоточие, тире, заглавные буквы и курсив); 4) прием нерасчлененного речевого потока; 5) форму и содержание детской стихов и писем; 6) образность и лаконичность метафор; 7) искажения отдельных слов (оговорки); 8) структурно-семантические особенности каламбуров; 9) прием намеренного нарушения орфографии; 10) внутреннюю структуру символа; 11) внутреннее содержание говорящих имен; 12) яркую мотивированность зоонимов и характер их прозвищной/ образной номинации.
В переводах произведений «Гарри Поттер» на русский язык издательства «Росмэн» (234 транскрибированных названия из 487 проанализированных единиц) и Ю. Мачкасова (218 транскрибированных названия из 460 проанализированных единиц), прежде всего, доминирует прием транслитерации / транскрипции. Однако достоинством текста перевода Ю. Мачкасова являются сноски и подробный комментарий. В переводах М. Спивак, напротив, преобладает принцип создания окказиональных слов на основе словообразовательных элементов ПЯ (174 транскрибированных названия из 487 проанализированных единиц), что выгодно отличает его от других переводов. Сопоставительный анализ оригинала с переводами М. Д. Литвиновой выявил такие погрешности, как: утрата детского юмора оригинала, домысливание ситуации, искажения в названиях цветов, многочисленные добавления, немотивированные опущения слов, словосочетаний и даже предложений, скудность графики. Переводчик М. Д. Литвинова неоправданно часто прибегает к использованию приема экспрессивной конкретизации, т. е. употребления в переводе экспрессивно-оценочной русской лексики, вместо нейтральных слов подлинника, что вызывает изменения не только в интонации оригинала, но и в характеристике персонажей. Кроме того, диалоги между детьми иногда воссозданы переводчиком без учета регистра детской речи; вследствие этого, некоторые фразы в устах одиннадцатилетних детей звучат несколько неправдоподобно в переводах.
С точки зрения переводоведения транскрибированные названия имеют право на существование, однако они не несут никакой смысловой нагрузки, поскольку теряются намеки, аллюзии и ассоциации, которые важны для ребенка-реципиента. Чрезмерное транскрибирование привело к тому, что переводы фэнтезийного произведения «Гарри Поттер» на русский и немецкий языки не в полной мере отвечают критериям максимальной эквивалентности текстов, т. е. их смысловой и функциональной близости, одинаковости воздействия на реципиента, равной художественной выразительности и т. д.
Исходя из утверждения о том, что главная цель перевода – достижение адекватности, можно сформулировать одну из основных задач переводчика, стремящегося к адекватности: умелое осуществление необходимых переводческих трансформаций, направленных на то, чтобы текст перевода как можно точнее передавал информацию, заключенную в тексте оригинала, с соблюдением соответствующих норм ПЯ. Как показывает проведенный анализ, в процессе переводческой деятельности трансформации чаще всего бывают смешанного типа, то есть носят сложный, комплексный характер.
Практическое исследование и сопоставительный анализ сказки «Гарри Поттер и Философский камень» и его переводов позволяет заключить, что переводчики не всегда прибегают к помощи теоретических моделей для анализа исходного текста и построения высказывания на ПЯ. Зачастую переводческие решения не соответствуют принципам моделирования перевода, или даже прямо опровергаются ими. В целом, как показал анализ фактического материала, адекватность перевода зависит от профессионального уровня переводчика, опыта переводов художественных произведений, от полноты эстетической реакции и наличия собственной коммуникативной интенции, направленной на исчерпывающую передачу содержания оригинала в соответствии с формальными особенностями и нормами переводящего языка.
Библиографический список
Ахманов О.С. Словарь современного английского языка, Москва, 1998, 607с.
Арнольд И. В. Лексикология современного английского языка, 1986, 295с.
Бархударов Л.С. Язык и перевод , Москва 1975г., 238с.
Будагов Р. А. Что такое развитие и совершенствование языка, Москва, 1977, 264с.
Иванов А. Н. Пополнение словарного состава современного английского языка. Москва, 1971, 32с.
Иванов А.О. Камень преткновения – грамматический род// Теория и практика перевода, Краснодар, 1987г., 320с.
Калмыкова Е.И. Образность как лингвостилистическая категория в современной научной прозе. Москва, Наука, 1979, 345с.
Комиссаров В.К. Теория перевода. - Москва: Высшая школа, 1990г., 253 с.
Коршак Е.Н. Авторские новообразования и контекст, Санкт-Петербург, 1981, 32с.
Крупнов В.Н. Практикум по переводу с английского языка на русский, Москва, Высшая школа, 2005г., 279с.
Латышев Л. К. Межъязыковые трансформации как средство достижения переводческой эквивалентности. //Семантико-синтаксические проблемы теории языка и перевода. - Москва, 1936г., 197с.
Левицкая Т., Фитерман А. Почему нужны грамматические трансформации при переводе?.//Тетради переводчика. - Новосибирск, 1971г. - Вып. 8.,122с.
Левицкая Т. P., Фитерман А.М. Пособие по переводу с английского языка на русский, Москва, Высшая школа, 1973г. 235 с
Леонтьев А.А. Язык, речь, речевая деятельность, Москва, 1969, 214
Лопатин В.В. Рождение слова. Неологизмы и окказиональные образования, Москва, 1973, 152с.
Маслов Ю.С. введение в языкознание, Москва, 1975, 327с.
Миньяр-Белоручев Р.К. Общая теория перевода и устный перевод. Москва, Воениздат, 1980г., 237 с.
Моисеев М.Д. Английская лексика. Правильный выбор слова, Москва, Аквариум, 1996г., 126с.
Нешумаев И. В. Синтаксические трансформации при переводе английского текста на русский язык.//Лингвистические и методические проблемы русского языка как неродного: Текст: структура и анализ. Москва, 1991. – 278с.
Плотникова Л.И. Новое слово: порождение, функционирование, узуализация. Белгород, 2000, 206 с.
Прошина З.Г. Практикум по теории перевода: английский и русский языки: учебное пособие, Владивосток, Изд-во Дальневосточного Университета, 2000г., 114с.
Романова С.П. Пособие по переводу с английского языка на русский, Москва, КДУ, 2007, 171с.
Серебренников Б.А. Роль человеческого фактора в языке. Язык и мышление. Москва, 1988, 244 с.
Федорова Н.П. Перевод с английского языка: повышенный уровень. Ч 2, Москва, Academia, 2007г., 122с.
Царев П.В. Производные слова в английском языке, Москва, 1977, 131
Шанский Н. М. Русский язык. Лексика. Словообразование. Москва, 1975, 239с.
Электронный научно-культурологический журнал «Regla»; Вымышленные имена собственные в контексте фэнтезийного произведения, 2006, № 6 (128)/ www.regla.ru
Толковый словарь Ожегова
Толковый словарь Вебстера
1
1
1