Анализ критериев эффективности аэродромных пожарно-спасательных комплексов
Содержание
Список сокращений и условных обозначений
Цели и задачи работы
Общие положения
Теоретическая часть
Расчетная часть
Исходные данные
Выполнение расчетов
Выводы и предложения
Список литературы
1. Список сокращений и условных обозначений
АП - Авиационное происшествие
АПСК - Аэродромный пожарно-спасательный комплекс
АС - аварийная ситуация
АСО - аварийно-спасательное обеспечение
АСР - аварийно-спасательные работы
АСС - аварийно-спасательная станция
АТС - авиационная транспортная система
БЖД - безопасность жизнедеятельности
БП - безопасность полетов
ВС - воздушное судно
ВТ - воздушный транспорт
ГА - гражданская авиация
ИПЛ - испытательная пожарная лаборатория
ЛС - лафетный ствол
МРД - магистральная рулежная дорожка
ОАСС - основная
АСС ПА - пожарный автомобиль
ПАСС - поисковые и аварийно-спасательные силы и средства
ПС - пожарный насос
ПО - пенообразователь
РГР - расчетно-графическая
РД Ёрулежная дорожка
САСС - стартовая АСС
УТПЗ - уровень требуемой противопожарной защиты
2. Цели и задачи работы
Цель данной работы заключается в анализе работы аэродромных пожарно-спасательных комплексов, путем расчета статических и динамических критериев АПСК.
Дать оценку АПСК на аэродроме данном варианте и привести решение задач по оптимизации АПСК.
Задачи заключаются в подготовке сил и средств, для ликвидации последствий АС.
К таким задачам относятся:
планирование мероприятий (руководство, связь, координация) на случай АС в предприятии ГА,
контроль оснащенности и поддержание в постоянной готовности ПАСС,
обеспечение подразделений службы ПАСОП постоянно действующей устойчивой связью и системой аварийного оповещения,
организацию круглосуточного дежурства ПАСС и оперативного взаимодействия с другими службами и организациями,
обеспечение ВС съемным и стационарным бортовым аварийно-спасательным оборудованием (БАС О) и контроль за его состоянием,
ознакомление пассажиров с правилами пользования БАС О ВС и выживания в АП,
обучение и контроль уровня подготовки экипажей ВС и спасателей к действиям в ожидаемых условиях.
3. Общие положения
Главными показателями эксплуатационной эффективности воздушного транспорта (ВТ) являются регулярность, экономичность и безопасность полетов (БП). Последний из них - главный, так как он напрямую влияет на два предыдущих. Человеческая жизнь бесценна, поэтому для защиты жизни и здоровья пассажиров и членов экипажа должны приниматься все возможные меры.
Обеспечение безопасности полетов ведется в двух направлениях:
предупреждение авиапроисшествий (АП);
понижение тяжести последствий АП.
Приоритетным направлением обеспечения БП является предупреждение АП. Тем не менее, на современном уровне развития авиации, АП, к сожалению, неизбежны. Для спасания пассажиров и членов экипажа ВС в нашей стране создана система ПАСОП. Основополагающим принципом построения системы авиационного поиска и спасания является принцип «Эффективности и экономичность». Затраты предприятий и авиакомпаний на обеспечение безопасности полетов не должны превышать определенные пределы, или быть ниже установленных государством. И в том, и в другом случае система ПАСОП неэффективна.
По статистике, наибольшее количество АП с транспортными самолетами происходит на этапах взлета, посадки, захода на посадку, т.е. на территории и в районе аэродрома. В соответствии с Воздушным Кодексом аварийно-спасательные работы (АСР) на аэродроме и в районе аэродрома проводятся силами собственника аэродрома или аэропорта.
В современных условия затраты на обеспечение безопасности воздушных перевозок в «экономически сильных» предприятиях ГА и авиакомпаниях составляют 25-30% от общих затрат. Это, в свою очередь привлекает потенциальных пассажиров, увеличивает объемы перевозок и§доходы предприятия. «Слабые» предприятия и авиакомпании не в состоянии в полной мере обеспечить БП. При этом и к «сильным» и к «слабым» предприятиям предъявляются одинаковые требования по обеспечению безопасности, установленные Государством в нормативных документах.
Уровень безопасности полетов определяется состоянием сил и средств, выполняющих и обеспечивающих полеты, их готовностью к действиям в ожидаемых условиях и надежностью.
В настоящее время большинство ВС РФ имеют календарный срок службы 15-22 года. Сложилась порочная практика продления ресурса ВС, что приводит к инцидентам и АП.
В системе аварийно-спасательного обеспечения полетов более 80% аэродромных пожарных автомобилей (ПА) выслужили установленные сроки и требуют немедленного списания. Практически все отечественные ПА по своим функциональным характеристикам отстают от требований ИКАО к противопожарным и аварийно-спасательным транспортным средствам.
Существующие нормативные требования к оснащению аэродромов аварийно-спасательными средствами, учитывают, в основном, количественные показатели, не связанные с дислокацией этих средств на аэродроме и их функциональными свойствами.
Учитывая вышеизложенное, можно сделать вывод о том, что в современных условиях нужна научно обоснованная методика в области аварийно-спасательного обеспечения полетов, позволяющая:
- объективно оценивать эффективность имеющихся в аэропорту аварийно-спасательных сил и средств с учетом их реальных возможностей и размещения на аэродроме;
- оптимально размещать имеющиеся силы и средства с учетом их функциональных возможностей на аэродроме. При этом время развертывания наземных аварийно-спасательных сил и средств на месте АП не должно превышать критического времени пребывания людей внутри ВС под воздействием поражающих факторов.
Применение данной методики позволит:
снизить затраты предприятий в случае проведения АСР за счет снижения тяжести последствий АП;
уменьшить страховые выплаты за погибших и травмированных пассажиров в случае АП авиакомпаниям;
• обеспечить выживаемость большего количества людей в АП. Накопленный в мировой гражданской авиации опыт проведения АСР говорит о том, что наиболее важными факторами, влияющими на эффективность аварийно-спасательных операций, при АП с выживанием людей являются уровень подготовки персонала, надежность оборудования и скорости развертывания персонала и аварийно- спасательных средств.
Однако в задачи данной работы и рассматриваемой методики оценка первых двух факторов не входит. При выполнении расчетно-графической работы буде считать, что личный состав имеет необходимую квалификацию, а все пожарно-техническое оборудование надежно работает и выдает заявленные в паспорт (формуляре) эксплуатационные характеристики.
4. Теоретическая часть
Послеаварийные пожары на ВС представляют наибольшую опасность для жизни и здоровья людей, находящихся на борту. Опасность авиационных пожаров и их скоротечность предъявляют требования к повышению эффективности как бортовых, так и наземных средств противопожарной защиты ВС, готовности расчетов АСК, в первую очередь ПСР, к быстрым и эффективным действиям по локализации и ликвидации пожара в целях проведения спасательных работ.
На территории и в районе аэродрома противопожарную защиту и тушение пожаров обеспечивает АПСК. Под аэродромным пожарно-спасательным комплексом понимается минимально необходимое количество технических средств, в данном случае, аэродромных пожарных автомобилей (ПА), оснащенных огнетушащими средствами (ОТС) и определенным образом размещенных на территории аэродрома.
Очевидно, что АПСК может считаться эффективным, если по своим тактико-техническим параметрам он обеспечивает тушение или локализацию пожара самолета, находящегося в любой точке аэродрома, не позже чем через заданный с начала возникновения пожара момент времени.
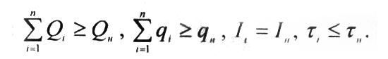
Принятая в настоящее время методика оценки эффективности АПСК заключается в проверке его соответствия:
■ Количество ОТС, с заданным огнетушащим свойством должно быть не менее требуемого:
Q>ф>>
>Q>тр>;
■ Производительность подачи указанных ОТС при тушении пожара должно быть не менее требуемой:
q>ф>>
>q>тр>;
■ Время прибытия ПА в наиболее удаленную точку аэродрома должно быть не более заданного интервала:
>
>>ф>>
>>тр>;
В
случае,
если комплекс состоит из n
ПА различных типов и при этом Q>i>,q>i>,I>i>,>
>>i>>
>-
соответственно количество ОТС,
производительность их подачи, огнетушащая
интенсивность подачи составов и время
прибытия в наиболее
удаленную
точку аэродрома для i-го
автомобиля, Q>n>,q>n>,I>n>,>
>>n>>
>->
>нормативные
значения указанных показателей для
всего комплекса, то вышеперечисленные
требования математически записываются
в виде следующей системы:

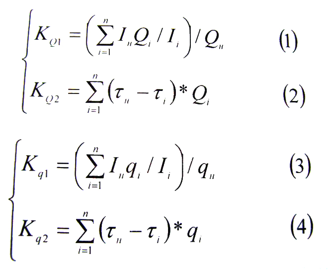
Показатели g>b> ц т, являются обобщающими, т.к. по физической сущности обобщают влияние различных параметров ПА, территориальной их на аэродроме и элементов организации службы на эффективность тушения пожаров самолетов.
В
настоящее время в результате обобщения
в системе ICAO
многолетнего опыта эксплуатации и
применении ПА установлены следующие
значения нормативных величин: >
>>н>=3мин,
I>H>=0,137кг/м*с,
a
Q>H>,
q>H>
в
зависимости от категории пожарной
защиты ВПП от 800 до 41000кг и от 6 до 226кг/с
соответственно.
На основе изложенной методики оценки эффективности АПСК определяются их количественный и качественный состав. Однако, базируясь на такой методике затруднительно оценить эффективность комплекса в конкретном аэропорту, при наличии весьма значительного разброса динамических и скоростных характеристик ПА различных типов, различном размещении ПА на АСС и т.д. Таким образом, принятая система оценки не учитывает количественно взаимосвязи различных показателей и параметров АПСК.

Для оценки эффективности АПСК вводят и нормированные показатели, которые сверяют обобщающие показатели комплекса. В качестве таких показателей можно использовать критерии эффективности комплекса ПА по запасу ОТС (Kq) и по производительности (Kq) следующего вида:
В
случае если I>i>=I>H>>
>,
а >
>>i>=>
>>H>>
>,
то K>Q>>2>=K>q>>2>=0
,
а K>Q>>1>>
>и
K
>q>>
1>>
>принимают
формулу, которая используется в
применяемой в настоящее время методике
оценки АПСК.
Критерии
эффективности показывают, что при
значениях
Kq>1>
и
K>q>>1>
>
>
1
и
при значениях
Kq>2>
и
K>q>>2>
>
>
0
аэродром
располагает АПСК достаточной эффективности,
а в случае, если эти условия, хотя бы для
одного критерия эффективности не
выполняются - не достаточной.
Анализируя систему уравнений (1)...(4) можно установить, что обеспечить приемлемый уровень эффективности АПСК, в целом, невозможно, улучшая только какой-либо один показатель при неудовлетворительном значении других.
Так,
если из уравнений (1) и (4) можно предположить,
что эффективность АПСК можно повысить
за счет простого увеличения вывозимого
запаса ОТС (увеличивая количество ПА),
то уравнения (2) и (3) показывают, что такое
предположение будет неоправданно, если
ПА будут обладать низкими скоростными
и динамическими характеристиками, или
их размещения на аэродроме не
обеспечит приемлемых значений >
>>i>
5. Расчетная часть
5.1 Исходные данные
Дано:
> Категория по УТПЗ-7:
q>н>=133 л/с;
Q>н>=24000л;
I>н>=0,137л/м2*с;
> Тип и количество ПА:
АЦ-40(131)-1 шт.:
q>i> = 40л/с;
Q>i>> >= 3900л;
Vmax = 85 км/ч.
АА-60(7310)- 1 шт.:
q>i> = 60л/с;
Q>i> = 12900л;
Vmax = 60 км/ч.
АА-15/80 (790912)- 1 шт.
q>i> = 80л/с;
Q>i>> >= 14000л;
Vmax = 75 км/ч.
> Тип пенообразователя – ПО-1:
I>i>> >= 0,14 л/м2·с
>Расстояния: М=100м;
L>1>=500м;
L>2>=1800м;
L>3>=1000м.
5.2 Выполнение расчетов
1.Определим длину маршрута от основной аварийно-спасательной станции (ОАСС) до расчетной точки (РТ):
I>общ>=I>рд>+I>ип>+I>г>=100+1800+1000=2900м.
2.Определим время развертывания каждого пожарного автомобиля:
>
>>i>=>
>>рд>+>
>>ип>+>
>>г>(-30%)+>
>>сбора>
АЦ-40:
>
>>1>
= 7+60+47+45=159сек.
АА-60:
>
>>2>
= 9+80+66,9+45=200,9сек.
АА-15/80:
>
>>3
>=
7+75+69+45=196сек..
Рассчитываем критерии эффективности по системе уравнений (1)…(4):
I>H>/I=0,137/0,14=0,98
По запасу ОТС: K>Q>>1 >=0,98*(3900+12900+8000)/24000=1,3
K>Q>>2 >= 3900(180-159)+12900(180-200,9)+14000(180-196)=-411710
По производительности: K>q>>1>=0,98*180/133=1,3
K>q>>2>=40(180-159)+60(180-200,9)+80(180-196)=-1694
После проведения расчётов видно, что
K>Q>>1>=1,3;
K>q>>1>=1,3
>
>
1
K>Q>>2>=-411710;
K>q>>2>=-1694
>
>0
Таким образом, комплекс считается неэффективным.
5. 3 Выводы и предложения
Необходимо построить САСС, при этом рассчитать эффективное его расположение.
Зная, что ф>г>=66,9с; ф>рд>=9с, то ф>ип>=180-66,9-9-45=59,1с.
Имеем I>ип>= ф>ип>·v>ип>=59,1с ·18 м/с=1063,8м
Предлагаю построить САСС в 1000 метрах от торца ВПП вместо 1063,8м., чтобы перенести на нее 2 тяжелых автомобиля АА 15/80 и АА-60. И рассчитаем критерии после построения САСС.
По запасу ОТС: K>Q>>1 >=0,98*(14000+14000)/24000=1,14
K>Q>>2 >= 14000(180-168)+12900(180-170)=157000
По производительности: K>q>>1>=0,98*140/133=1,1
K>q>>2>=80(180-168)+ 60(180-170)=720
После проведения расчётов видно, что
K>Q>>1>=1,14;
K>q>>1>=1,1
>
>
1
K>Q>>2>= 157000; K>q>>2>= 720>0
Таким образом, после построения САСС мы видим, что АПСК можно считать эффективным.
Список литературы:
1. Методики оценки соответствия нормам годности к эксплуатации в СССР гражданских аэродромов (МОС НГЭА СССР). Приложение к НГЭА СССР (3-е издание). М.: Воздушный транспорт, 1992.
2. Поисковое и аварийно-спасательное обеспечение полетов ГА: справ. Пособие для выполнения практических, контрольных, курсовых и подготовки выпускных квалификационных работ по дисциплинам "Поисковое и аварийно-спасательное обеспечение ГА" и "Спасательная техника, оборудование и снаряжение". В 2 ч. / сост. А.В Селезнев. - Ульяновск: УВАУ ГА, 2005. - Ч. 2. Оснащение подразделений поиска и спасания и норм обеспечения спасателей ГА. - 136 с.
3. Селезнев А.В. Анализ критериев эффективности аэродромных пожарно-спасательных комплексов: методические указания и справочный материал по выполнению расчетно-графической работы. - Ульяновск: УВАУ ГА, 2007 - 38с.