Линейное программирование: решение задач графическим способом
Министерство Образования Российской Федерации
Тюменский Государственный Нефтегазовый Университет филиал в городе Ишиме
Курсовая работа по программированию на тему:
Линейное программирование: решение задач графическим методом
Выполнил:
студент
1 курса
АиУ-02. Афанасьев В. Ю.
Проверил:
Андреенко О.В.
Дата сдачи « » июня 2003г.
Оценка_______________
Подпись______________
Ишим 2003
Содержание:
Введение 3
Гл 1Математические основы решения задачи линейного программирования графическим способом 4
1.1 Математический аппарат 4
1.2 Геометрическая интерпретация задачи линейного программирования. 5
1.3 Этапы решения графического метода задач линейного программирования 7
Гл 2 Решение задач линейного программирования графическим способом на ЭВМ 15
2.1 Описание работы программы 15
2.1 Текст программы 20
Заключение 29
Литература 31
Рецензия 33
Введение
Линейное программирование - это наука о методах исследования и отыскания наибольших и наименьших значений линейной функции, на неизвестные которой наложены линейные ограничения. Таким образом, задачи линейного программирования относятся к задачам на условный экстремум функции. Казалось бы, что для исследования линейной функции многих переменных на условный экстремум достаточно применить хорошо разработанные методы математического анализа, однако невозможность их использования можно довольно просто проиллюстрировать.
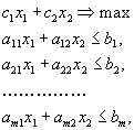
Действительно, путь необходимо исследовать на экстремум линейную функцию
Z = С>1>х>1>+С>2>х>2>+... +С>N>x>N>
при линейных ограничениях
a>11>x>1> + a>22>x>2> + ... + a>1N>Х>N> = b>1>
a>21>x>1> + a>22>x>2> + ... + a>2N>Х>N> = b>2>
. . . . . . . . . . . . . . .
a>М>>1>x>1> + a>М>>2>x>2> + ... + a>М>>N>Х>N> = b>М>
Так как Z - линейная функция, то Z = С>j>, (j = 1, 2, ..., n), то все коэффициенты линейной функции не могут быть равны нулю, следовательно, внутри области, образованной системой ограничений, экстремальные точки не существуют. Они могут быть на границе области, но исследовать точки границы невозможно, поскольку частные производные являются константами.
Для решения задач линейного программирования потребовалось создание специальных методов. Особенно широкое распространение линейное программирование получило в экономике, так как исследование зависимостей между величинами, встречающимися во многих экономических задачах, приводит к линейной функции с линейными ограничениями, наложенными на неизвестные.
Гл 1Математические основы решения задачи линейного программирования графическим способом
1.1 Математический аппарат
Для понимания всего дальнейшего полезно знать и представлять себе геометрическую интерпретацию задач линейного программирования, которую можно дать для случаев n =2 и n =3.
Наиболее
наглядна эта интерпретация для случая
n =2, т.е. для
случая двух переменных
и
.
Пусть нам задана задача линейного
программирования в стандартной форме
|
|
(1.19) |

Возьмём на
плоскости декартову систему координат
и каждой паре чисел
поставим
в соответствие точку на этой плоскости.

Обратим
прежде всего внимание на ограничения
и
.
Они из всей плоскости вырезают лишь её
первую четверть (см. рис. 1). Рассмотрим
теперь, какие области соответствуют
неравенствам вида
.
Сначала рассмотрим область, соответствующую
равенству
.
Как Вы, конечно, знаете, это прямая линия.
Строить её проще всего по двум точкам.
Пусть
.
Если взять
,
то получится
.
Если взять
,
то получится
.
Таким образом, на прямой лежат две точки
и
.
Дальше через эти две точки можно по
линейке провести прямую линию (смотри
рисунок 2).

Если
же b=0, то на прямой лежит точка (0,0). Чтобы
найти другую точку, можно взять любое
отличное от нуля значение
и
вычислить соответствующее ему значение
.
Эта построенная
прямая разбивает всю плоскость на две
полуплоскости. В одной её части
,
а в другой наоборот
.
Узнать, в какой полуплоскости какой
знак имеет место проще всего посмотрев,
какому неравенству удовлетворяет
какая-то точка плоскости, например,
начало координат, т.е. точка (0,0).
1.2 Геометрическая интерпретация задачи линейного программирования.
Рассмотрим задачу ЛП в стандартной форме записи:
max f(X) = с>1>х>1> + с>2>х>2> + ... + с>п>х>п >(*)
при ограничениях
а
(**)
>11>х>1> + а>12>х>2> + … + а>1>>n>х>n>> >≤> >b>1>а>21>х>1> + а>22>х>2> + … + а>2>>n>х>n>> >≤> >b>2>
……………………………..
а
(***)
>m>>1>х>1> + а>m>>2>х>2> + … + а>mn>х>n>> >≤> >b>m>х>j> ≥ 0, j = 1, 2, …, n.
Рассмотрим эту задачу на плоскости, т.е. при п = 2. Пусть система неравенств (**), (***) совместна (имеет хотя бы одно решение):
а>11>х>1> + а>12>х>2> ≤> >b>1>
а>21>х>1> + а>22>х>2 >≤> >b>2>
…………..
а>m>>1>х>1> + а>m>>2>х>2> ≤> >b>m>
x>1> ≥ 0; х>2> ≥ 0.
К
аждое
неравенство этой системы геометрически
определяет
полуплоскость с граничной прямой а>i>>1>х>1>
+ а>i>>2>х>2>
≤>
>b>i>
i
= 1, m.
Условия
неотрицательности определяют
полуплоскости
соответственно с граничными прямыми
x>1>
= 0;
х>2>
= 0..
Система
совместна, поэтому полуплоскости, как
выпуклые множества, пересекаясь, образуют
общую часть, которая является выпуклым
множеством и представляет собой
совокупность
точек, координаты каждой из которых
составляют решение
данной системы. Совокупность этих точек
называют многоугольником
решений. Это
может быть точка, отрезок, луч,
замкнутый многоугольник, неограниченная
многоугольная
область.
Если в системе ограничений (**) - (***) n = 3, то каждое неравенство геометрически представляет полупространство трехмерного пространства, граничная плоскость которого а>i>>1>х>1> + а>i>>2>х>2> + а>i>>3>х>1> ≤> >b>i>, а условия неотрицательности — полупространства с граничными плоскостями соответственно x>i> = 0 (i = 1, 2, 3). Если система ограничений совместна, то эти полупространства, как выпуклые множества, пересекаясь, образуют в трехмерном пространстве общую часть, которая называется многогранником решений.
П
усть
в системе (**) - (***) п
> 3, тогда
каждое неравенство
определяет полупространство n-мерного
пространства с
граничной гиперплоскостью а>i>>1>х>1>
+ а>i>>2>х>2>
+ … + а>in>х>n>
≤>
>b>i>
i
= 1, т ,
а условия неотрицательности —
полупространства с граничными
гиперплоскостями x>j>
= 0, j
= 1, n.
Если система ограничений совместна, то по аналогии с трехмерным пространством она образует общую часть n-мерного пространства, называемую многогранником решений, так как координаты каждой его точки являются решением.
Таким образом, геометрически задача линейного программирования представляет собой отыскание такой точки многогранника решений, координаты которой доставляют линейной функции минимальное значение, причем допустимыми решениями служат все точки многогранника решений.
1.3 Этапы решения графического метода задач линейного программирования
Графический метод основан на геометрической интерпретации задачи линейного программирования и применяется в основном при решении задач двумерного пространства и только некоторых задач трехмерного пространства, так как довольно трудно построить многогранник решений, который образуется в результате пересечения полупространств. Задачу пространства размерности больше трех изобразить графически вообще невозможно.
Пусть задача линейного программирования задана в двумерном пространстве, т. е. ограничения содержат две переменные.
Если в ЗЛП ограничения заданы в виде неравенств с двумя переменными, она может быть решена графически. Графический метод решения ЗЛП состоит из следующих этапов.
Этап 1.
Сначала на координатной плоскости x>1>Ox>2> строится допустимая многоугольная область (область допустимых решений, область определения), соответствующая ограничениям:
|
|
(1.31) |
Не приводя строгих доказательств, укажем те случаи, которые тут могут получится.
Основной случай - получающаяся область имеет вид ограниченного выпуклого многоугольника (рис. 3а)).
Неосновной случай получается неограниченный выпуклый многоугольник, имеющий вид, подобный изображенному на рис. 3.б. Подобная ситуация, например, получится, если в рассмотренном выше примере убрать ограничение
.
Оставшаяся часть будет неограниченным
выпуклым многоугольником.
а)
б)
Рис. 3
Наконец, возможен случай, когда неравенства (1.31) противоречат друг другу, и допустимая область вообще пуста.
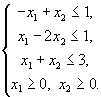
Рассмотрим теорию на конкретном примере:
Найти допустимую область задачи линейного программирования, определяемую ограничениями
|
|
(1.32) |

Решение:
Рассмотрим прямую
.
При
,
а при
.
Таким образом, эта прямая проходит
через точки (0,1) и (-1,0). Беря
получим,
что -0+0<1 и поэтому интересующая нас
полуплоскость лежит ниже прямой,
изображенной на рис. 4.а.
Рассмотрим прямую
.
При
,
а при . Таким образом, эта прямая проходит
через точки (0, -1/2) и (1,0). так как
(4.б).
Наконец, рассмотри
м
прямую
.
Она проходит через точки (0,3) и (3,0) и так
как 0+0<3, то интересующая нас полуплоскость
лежит ниже прямой, изображенной на рис.
4.в.

Сводя все
вместе и добавляя условия
получим
рисунок 5, где выделена область, в которой
выполняются одновременно все ограничения
(1.32). Обратите внимание на то, что
получившаяся область имеет вид выпуклого
многоугольника.
Этап 2.
Вернёмся
теперь к исходной задаче линейного
программирования. В ней, кроме системы
неравенств, есть еще целевая
функция
.
Рис. 6
Рассмотрим
прямую
.
Будем увеличивать L. Что будет происходить
с нашей прямой?
Легко
догадаться, что прямая будет двигаться
параллельно самой себе в том направлении,
которое дается вектором
,
так как это
вектор нормали к нашей прямой и
одновременно вектор градиента функции
.
А теперь сведем всё вместе. Итак, надо решить задачу


Oграничения
задачи вырезают на плоскости некоторый
многоугольник. Пусть при некотором L
прямая
пересекает
допустимую область. Это пересечение
дает какие-то значения переменных
,
которые являются планами.
Этап 3
Увеличивая L мы начнем двигать нашу прямую и её пересечение с допустимой областью будет изменяться (см. рис. 7). В конце концов эта прямая выйдет награницу допустимой области как правило, это будет одна из вершин многоугольника. Дальнейшее увеличение L приведёт к тому, что пересечение
Рис. 7
прямой
с
допустимой областью будет пустым.
Поэтому то положение прямой
,
при котором она вышла на граничную точку
допустимой области, и даст решение
задачи, а соответствующее значение L
и будет оптимальным
значением целевой функции.
1.4 Примеры задач, решаемых графическим методом.
Пример:
Решить задачу
|
|
(1.41) |
Решение
Допустимую область мы уже строили она изображена на рис. 5.
Повторим еще
раз этот рисунок, оставив только
допустимую область и
нарисовав
дополнительно прямые
(см. рис. 8).
Рис. 8
Пусть,
например, L=2.
Тогда прямая
проходит
через точки (2,0) и (0,1) и изображена на
рис. 8. Будем теперь увеличивать L.
Тогда прямая начнёт двигаться параллельно
самой себе в направлении, указанном
стрелкой. Легко догадаться, что
максимальное значение L
получится тогда, когда
прямая пройдет через вершину многоугольника,
указанную на рисунке, и дальнейшее
увеличение L приведет
к тому, что прямая выйдет за пределы
многоугольника и её пересечение с
допустимой областью будет пустым.
Выделенная вершина лежит на пересечении прямых

и
поэтому имеет координаты
.
Это и есть решение нашей задачи, т.е.
есть
оптимальный
план задачи
(1.41).
При этом значение целевой функции
,
что и дает её максимальное значение.
Обратите
внимание на то, что оптимальный план,
как правило, соответствует какой-то
вершине многоугольника, изображающего
допустимую область. И лишь в том случае,
когда прямая
случиться
так, что решение не будет единственным.
Но и в этом случае вершины, соответствующие
границам этой стороны, дают оптимальные
планы нашей задачи линейного
программирования. Таким образом, вершины
допустимой области играют в решении
задач линейного программирования особую
роль.
Рис. 9
Ну, а если допустимая область неограничена, то и значение целевой функции может быть неограниченным.
Подводя итог этим примерам, можно сформулировать следующие положения:
допустимая область это выпуклый многоугольник;
оптимум достигается в вершине допустимой области (если допустимая область ограничена и не пуста);
ограниченность целевой функции в допустимой области является необходимым и достаточным условием разрешимости задачи.
Гл 2 Решение задач линейного программирования графическим способом на ЭВМ
2.1 Описание работы программы
Программа написана с использованием собственных функций и процедур и трех стандартных модулей System, Crt и Graph.
При запуске программы она проверяет возможно ли использование графического интерфейса. Если это возможно то программа переходит к следующему этапу.
Далее процедурой ShowXOY Рисуется на экран координатные оси. На этом работа этой процедуры заканчивается и пользователь в следующей процедуре (EnterNerav и в частности в подпроцедуре GetNerav) предлагается ввести коэффициенты неравенства a>1>x+a>2>y=b в следующем порядке: a>1> пробел a>2> пробел b. Сразу после ввода всех коэффициентов процедурой ShowLine рисуется нужная линия. После нажатия [Esc] процедура EnterNerav заканчивается и передает управление процедуре EnterMainF в которой пользователю предлагается ввести коэффициенты целевой функции. Далее работа переходит к процедуре GetResult где идет подсчет оконцательного товета с помощбю процедуры SolveOprtel где считаетя определитель т. е. точки пересечения целевой функции с каждой линией ограничения. Далее выводится ответ, если это возможно.
Далее следует описание используемых стандартных процедур и функций.
Процедуры и функции модуля System:
Function Frac(X : Real) : Real;
Возвращает дробную часть аргумента.
Параметр X - выражение вещественного типа. Результат - дробная часть X, то есть Frac(X) = X-Int(X).
Procedure Str(X [: Width [: Decimals ]]; Var S : String);
Преобразовывает число в строку. Преобразовывает числовое значение X в строковое представление этого числа, которое можно выводить операторами типа Write и OutText.
Function Round(X : Real) : Longint;
Округляет значение вещественного типа до значения целочисленного типа. X - выражение с реальным типом. Round возвращает значение типа Longint, которое является значением X, округленного к самому близкому целому числу. Если X – ровно посередине между двумя целыми числами, то результатом будет число с самой большой абсолютной величиной.
Если округленное значение X ненаходится внутри допустимого диапазона Longint, то происходит ошибка во время выполнения программы.
Модуль Crt:
В модуле Crt находятся мощные подпрограммы, которые дают вам возможность полного управления возможностями вашего PC.
Подпрограммы модуля Crt обеспечивают контроль над текстовыми режимами экрана, расширенными кодами клавиатуры, цветами, окнами и звуком.
Crt может использоваться только в программах, предназначенных для IBM PC, AT, PS/2 и полностью совместимых.
Procedure Read( [ var F : Text; ] V1 [ , V2, …, VN ]); (текстовые файлы)
Читает одну или более величин из текстового файла в одну или более переменных. Параметры: F - необязательная переменная текстового файла, если не указана, то используется стандартная переменная Input; V1,...,VN - переменные типа Char, Integer, Real или String.
В случае переменной типа Char процедура Read считывает из файла один символ и присваивает его переменной. В случае переменной целого типа процедура Read ожидает поступления последовательности символов, образующих число со знаком, согласно принятому в Паскале синтаксису. Любые пробелы, знаки табуляции или метки конца строки, предшествующие числовой строке, пропускаются. Считывание прекращается при обнаружении первого пробела, символа табуляции или метки конца строки, которые следуют за числовой строкой, или в том случае, если функция Eof(F) принимает значение True. Если числовая строка не соответствует ожидаемому формату, то происходит ошибка ввода-вывода, в противном случае переменной присваивается считанное значение. Если Eof(F) принимала значение True перед выполнением процедуры Read, или Eof(F) приняла значение True при пропуске начальных пробелов, знаков табуляции или меток конца строки, то переменной присваивается нулевое значение. Следующая операция Read начнется с пробела, символа табуляции или метки конца строки, которыми завершилась числовая строка.
В случае переменной вещественного типа процедура Read ожидает поступления последовательности символов, которые образуют число со знаком в соответствии с принятым в Паскале синтаксисом за исключением того, что шестнадцатиричное представление не допускается. Любые пробелы, знаки табуляции или метки конца строки, предшествующие числовой строке, пропускаются. Считывание прекращается при обнаружении первого пробела, символа табуляции или метки конца строки, которые следуют за числовой строкой или в том случае, если функция Eof(F) принимает значение True. Если числовая строка не соответствует ожидаемому формату, то происходит ошибка ввода-вывода, в противном случае переменной присваивается считанное значение.
Если Eof(F) принимало значение True перед выполнением процедуры Read, или Eof(F) приняло значение True при пропуске начальных пробелов, знаков табуляции или меток конца строки, то переменной присваивается нулевое значение. Следующая операция Read начнется с пробела, символа табуляции или метки конца строки, которыми завершилась числовая строка.
Procedure Write( [ var F : Text; ] P1 [ , P2,…, PN ] ); (текстовые файлы) Записывает одну или более величин в текстовый файл. F - переменная текстового файла, если не указана, то предполагается использование стандартной файловой переменной Output, P1,...,PN - параметры записи, которые содержат выводимые выражения типов Char, Integer, Real, String, Packed String или Boolean. Параметр записи также может содержать спецификацию ширины поля и количество десятичных знаков. Параметр записи имеет следующий вид: OutExpr [ : MinWidth [ : DecPlaces ] ], где OutExpr представляет собой выводимое выражение, MinWidth - целое число, задающее минимальную ширину поля, которая должна быть больше нуля. Записывается ровно столько символов, сколько определено в MinWidth (при необходимости используются ведущие пробелы) за исключением случаев, когда OutExpr имеет значение, которое должно быть представлено большим количеством символов, чем указано в MinWidth. В этом случае записывается количество символов, достаточное для представления выводимой величины. Аналогично, если параметр MinWidth опущен, то записывается необходимое количество символов. DecPlaces задает число десятичных знаков в представлении вещественного значения с фиксированной точкой. Оно может указываться только в том случае, если OutExpr имеет тип Real, и указан параметр MinWidth. Если параметр MinWidth указан, то он должен быть больше или равен нулю.
Модуль Graph находится библиотека, состоящая из более чем 50 графических подпрограмм от побитовых до подпрограмм высокого уровня.
Procedure SetColor(Color : Word);
Устанавливает текущий цвет, используя палитру. SetColor(5) делает пятый цвет в палитре цветом текущего рисунка. Цвет может быть задан числом от 0 до 15 (для стандартных драйверов), в зависимости от текущего графического драйвера и текущего графического режима.
Procedure Line(X1, Y1, X2, Y2 : Integer);
Рисует
линию из точки с координатами (X1, Y1) в
точку с координатами (X2, Y2). Рисует линию
стилем и толщиной, определенными
SetLineStyle и
использует цвет, установленный обращением
к процедуре SetColor.
Последовательность операторов
MoveTo(100, 100); LineTo(200, 200);
является эквивалентной
Line(100, 100, 200, 200); MoveTo(200, 200);
Procedure OutTextXY(X, Y : Integer; TextString : String);
Посылает строку на устройство вывода. Отображает TextString в позиции (X, Y). Строка TextString усекается на границе области просмотра, если она слишком длинная. Если один из штриховых шрифтов активен, то строка TextString усекается на границе экрана, если она слишком длинная. Если заданный по умолчанию (растровый шрифт активен, и строка слишком длинная, чтобы поместиться на экране, то текст не отображается вообще.
Процедура OutTextXY использует набор шрифтов SetTextStyle. Чтобы поддерживать совместимость кода при использовании нескольких шрифтов, используйте TextWidth и TextHeight для определения размера строки.
Procedure SetFillStyle(Pattern : Word; Color : Word);
Устанавливает цвет и стиль закраски. Устанавливает шаблон и цвет для всех операций закраски, производимых FillPoly, Bar, Bar3D и PieSlice. Доступно несколько предопределенных шаблонов закраски. Заданный по умолчанию шаблон = Solid и заданный по умолчанию цвет - цвет с максимальным номером в палитре. Если в SetFillStyle переданы недопустимые параметры, то в переменной GraphResult возвращается значение grError, и текущие установки закраски не будут изменены.
Если Pattern равняется UserFill, то активным шаблоном закраски станет шаблон, определяемый пользователем (устанавливаемый с помощью процедуры SetFillPattern).
Procedure FloodFill(X, Y : Integer; Border : Word);
Закрашивает замкнутую область, используя текущие стиль и цвет закраски. Закрашивает замкнутую область на растровых устройствах. Точка с координатами (X, Y) - начальная точка внутри замкнутой области, с которой начнется закраска. Текущий шаблон закраски устанавливается процедурами SetFillStyle и SetFillPattern. Закрашивается область, ограниченная цветом с номером Border. Если точка (X, Y) находится внутри замкнутой области, то закраска будет происходить внутри области. Если же эта точка находится снаружи замкнутой области, то будет закрашено все пространство вне области.
Более подробное описание программы содержится в комментариях к исходному тексту.
2.1 Текст программы
{$A+,B-,D+,E+,F-,G-,I+,L+,N+,O+,P-,Q-,R-,S+,T-,V+,X+}
{$M 16384,0,655360}
program Kurs1;{Геометрическая интерпретация решения задач}
uses
CRT, Graph;{используемы модули}
{Типы}
type
TNerav = record{коэффициенты неравенств а>1>х+а>2>y<=b}
x: Real;{a1}
y: Real;{a2}
b: Real; {b}
end;
TMatrix = array[1..100] of TNerav;{Количество неравенств}
{Константы}
const
MaxX: Integer = 640-30; {максимальное значение X на экране}
MaxY = 20; {максимальное значение Y на экране}
MinX = 40; {x=0 минимальное значение X на экране}
MinY: Integer = 480-40;{y=0 минимальное значение Y на экране}
MASHT = 15; {Масштаб при 15: maxY=28, MaxX=38}
STEP = 1; {шаг изменения свободного члена целевой функчии}
{Переменные}
var
Gd, Gm: Integer; {Иниц. гафики}
Matr: TMatrix; {Матрица неравенств}
c: Real; {Свободный член целевой ф-ии}
N: TNerav; {Коэффициенты неравенств}
i: 0..100; {Счетчик кол-ва неравенств}
MainF: TNerav; {Коэффициенты целевой ф-ии}
XResult,YResult: Real; {Ответ(кординаты)}
procedure ShowXOY;{Проц. показа координатных осей}
Begin
SetColor(White);
Line(MinX, MaxY,MinX-4, MaxY+7);{стрелочки у Y}
Line(MinX, MaxY,MinX+4, MaxY+7);
OutTextXY(MinX-15, MaxY, 'У');
MoveTo(MinX, MaxY);
LineTo(MinX, MinY);{Сами оси}
LineTo(MaxX, MinY);
Line(MaxX, MinY, MaxX-7, MinY-4);{стрелочки у X}
Line(MaxX, MinY, MaxX-7, MinY+4);
OutTextXY(MaxX, MinY+5, 'X');
End;
procedure ShowLine(_iN:TNerav);
var s: String;
Begin
if _iN.b/_iN.y<0 then begin{если коэффиц. при Y меньше 0}
MoveTo(MinX+Round((_iN.b-(Round(MinY/MASHT)*_iN.y))/_iN.x*MASHT),MaxY);
SetColor(15);
LineTo(MinX+Round(_iN.b/_iN.x*MASHT),MinY);
end;
if _iN.b/_iN.x<0 then begin{если коэффиц. при X меньше 0}
MoveTo(MinX,MinY-Round(_iN.b/_iN.y*MASHT));
SetColor(15);
LineTo(MaxX,MinY-Round((_iN.b-(Round(MaxX/MASHT)*_iN.x))/_iN.y*MASHT));
end;
SetColor(LightGreen);
Str(_iN.b/_iN.x:3:1,s);
OutTextXY(MinX+Round(_iN.b/_iN.x*MASHT),MinY+5,s);{рисуем значения на оси OX}
Str(_iN.b/_iN.y:3:1,s);
OutTextXY(MinX-40,MinY-Round(_iN.b/_iN.y*MASHT),s);{рисуем значения на оси OY}
MoveTo(MinX,MinY-Round(_iN.b/_iN.y*MASHT));
SetColor(15);{Рисуем саму линию}
LineTo(MinX+Round(_iN.b/_iN.x*MASHT),MinY);
End;
procedure EnterNerav;{процедура ввода неравенств до нажатия Esc}
procedure GetNerav;{подпроцедура ввода коэф-тов одного неравенства}
var j,k: Real;
Begin
repeat
SetFillStyle(1,0); Bar(0,0,GetMaxX,MaxY-1);
OutTextXY(7,3,'Введите коэффициенты неравенств: ');
Window(34,1,80,1);
Read(N.x, N.y, N.b);{вводим коэффициенты}
j:=N.x;
k:=N.y;
repeat{далее идет сокращение коэффициентов если это возможно}
if (Frac(N.b / j) = 0) then
if (Frac(N.x / j) = 0) then Break;
j:=j-1;
until (j<=0);
if J>=0 then
repeat
if (Frac(N.b / k) = 0) then begin
if (Frac(N.y / k) = 0) then
if (j=k) then begin
N.b:=N.b / k;
N.x:=N.x / k;
N.y:=N.y / k;
Break;
end
end;
k:=k-1;
until (k<=0);
until (N.x<>0) and (N.y<>0); {Ограничение чтоб небыло нулей}
Inc(i); {Увеличиваем счетчик}
Matr[i]:=N;{Добавляем в матрицу коэффициенты}
ShowLine(N);{Вызываем процедуру рисования линии}
SetFillStyle(1,0); Bar(0,0,GetMaxX,MaxY-1);
OutTextXY(7,3,'Ввести еще? (Enter=Да/Esc=Нет)');
End;
var
Key:Char;
Begin
GetNerav;
repeat
key:=#0;
if KeyPressed then begin
key:=ReadKey;
case key of
#13: GetNerav;{ввод еще одного нер-ва}
end;
end;
Until Key in [#27];{до нажатия Esc}
End;
procedure EnterMainF;
{эта процедура предлагает выбрать пользователю выбрать выход из ОДЗ}
var key: Char;
j: 0..100;
S: String;
Begin
SetFillStyle(3,1); FloodFill(MinX+1, MinY-1, 15);
SetFillStyle(1,0); Bar(0,0,GetMaxX,MaxY-1);
SetColor(White);
OutTextXY(7,3,'Введите коэффициенты целевой функции: ');
Window(40,1,80,25); Read(MainF.x, MainF.y);
End;
procedure GetResult;
var
k,j: 0..100;
X: Real;
Y: Real;
XTmp: Real;
YTmp: Real;
cTmp: Real;
boolAnswer: Boolean;
key: Char;
STmp: String;
Result: String;{Строка для вывода на экра результата}
procedure SolveOprtel(inN, inMainF: TNerav; ic:Real; var outX, outY: Real);
{в этой подпроцедуре подностью вычисляется определитель}
var
_d: Real;{Дельта определителя}
dx: Real;{Дельта X определителя}
dy: Real;{Дельта Y определителя}
Begin
_d:=(inN.x*(inMainF.y)) - (inN.y*inMainF.x);
dx:=(inN.b*(inMainF.y)) - (inN.y*ic);
dy:=(inN.x*ic) - (inN.b*inMainF.x);
if _d <> 0 then begin{исклюсаем бесчисленное мн-во решений}
outX:=dx/_d;
outY:=dy/_d;
end;
if (_d = 0) and ((dx = 0) xor (dy = 0)) then begin{исклюсаем - нет решений}
SetColor(Red);
OutTextXY(300,230,'Нет решений!!!');
ReadKey;
CloseGraph;
Halt;
end;
End;
Begin
Bar(0,0,GetMaxX,MaxY-1);
SetColor(White);
OutTextXY(7,3,'Пожалуйста подождите... (Esc - Отмена)');
{считаем координаты выхода}
c:=0;
cTmp:=0;
repeat
if i=1 then SolveOprtel(Matr[1], MainF, c, XResult, YResult)
else
for j:=1 to i-1 do begin
SolveOprtel(Matr[j], MainF, c, XTmp, YTmp);
for k:=j+1 to i do begin
SolveOprtel(Matr[k], MainF, c, X, Y);
if X=XTmp then XResult:=X;
if Y=YTmp then YResult:=Y;
end;
end;
{далее мы находим максимум функции}
BoolAnswer:=False;
for k:=1 to i do begin
N:=Matr[k];
if (N.x*XResult+N.y*YResult<=N.b) then begin
{Если в ОДЗ}
c:=cTmp;
boolAnswer:=True;
end;
{далее проверяем вышла ли cTmp за ОДЗ}
if (N.x*XResult+N.y*YResult>N.b) then begin Exit
end;
end;
cTmp:=cTmp+STEP;{Увеличиваем cTmp на STEP}
if keyPressed then key:=ReadKey;{если Esc нажата, то прерываем}
until (key=#27) or (cTmp>=10000);
if boolAnswer then begin
{пишем ответ:}
{1. Рисуем целевую ф-ю в нужном месте}
c:=MainF.x*XResult+MainF.y*YResult;
MoveTo(MinX+1,MinY-Round(C/MainF.y*MASHT)-1);
SetColor(Red);{рисуем целевую линию на экр. красным}
LineTo(MinX+Round(C/MainF.x*MASHT)+1,MinY-1);
SetLineStyle(1,0,NormWidth);
SetColor(Yellow);
{2. Считаем max(f)}
Str(MainF.x*XResult+MainF.y*YResult:2:1,STmp);
Result:='max(f)='+Stmp;
{3. Рисуем значение на оси X}
Line(MinX+Round(XResult)*MASHT,MinY-Round(YResult)*MASHT,MinX+Round(XResult)*MASHT,MinY+3);
Str(XResult:2:1,STmp);
OutTextXY(MinX+Round(XResult)*MASHT,MinY+4,STmp);
Result:=Result+' при x='+Stmp;
{4. Рисуем значение на оси Y}
Line(MinX+Round(XResult)*MASHT,MinY-Round(YResult)*MASHT,MinX-3,MinY-Round(YResult)*MASHT);
Str(YResult:2:1,STmp);
OutTextXY(MinX-30,MinY-Round(YResult)*MASHT,STmp);
Result:=Result+' y='+Stmp;
SetColor(White);
SetLineStyle(0,0,NormWidth);
OutTextXY(300,230,Result);{Выводим строку ответа}
end
else
OutTextXY(7,3,'Вычисления не закончены!!!');
{Завешение программы}
Bar(0,0,GetMaxX,MaxY-1);
SetColor(White);
OutTextXY(7,3,'Нажмите любую клавишу для выхода');
ReadKey;
End;
BEGIN
i:=0;{Начальное значение кол-ва неравенств}
Gd:=Detect;
InitGraph(Gd, Gm, 'C:\BP\BGI'); { Путь к BGI драйверам }
if GraphResult <> grOk then Halt(1);
ShowXOY;
EnterNerav;
EnterMainF;
GetResult;
CloseGraph;
END.
Заключение
Программа решения задач линейного программирования графическим способом на IBM PC была написана на языке Borland Pascal 7.1. В ней, для удобства, рассматривается случай когда количество переменных равно двум т. е. решение задачи можно разместить на плоскости. С помощью этой программы можно наглядно продемонстрировать метод графического решения задач.
Вообще, с помощью графического метода может быть решена задача линейного программирования, система ограничений которой содержит n неизвестных и m линейно независимых уравнений, если N и M связаны соотношением N – M = 2.
Действительно, пусть поставлена задача линейного программирования.
Найти максимальное значение линейной функции
Z
= С>1>х>1>+С>2>х>2>+...
+С>N>x>N>>
>при ограничениях
a>11>x>1> + a>22>x>2> + ... + a>1N>Х>N> = b>1>
a>21>x>1> + a>22>x>2> + ... + a>2N>Х>N> = b>2>
. . . . . . . . . . . . . . .
a>М1>x>1> + a>М2>x>2> + ... + a>МN>Х>N> = b>М>
x>j> ≥ 0 (j = 1, 2, ..., N)
где все уравнения линейно независимы и выполняется cоотношение N - M = 2.
Используя метод Жордана-Гаусса, производим M исключений, в результате которых базисными неизвестными оказались, например, M первых неизвестных х>1>, х>2>, ..., х>M>, а свободными - два последних: х>М+1>, и х>N>, т. е. система ограничений приняла вид:
x>1> + a>1,М+1>x>М+1> + a>1N>Х>N> = b>1>
x>2> + a>2,М+1>x>М+1> + a>2N>Х>N> = b>2>
. . . . . . . . . . . .
x>М> + a>М, М+1>x>2> + a>МN>Х>N> = b>М>
x>j> ≥ 0 (j = 1, 2, ..., N)
С помощью уравнений преобразованной системы выражаем линейную функцию только через свободные неизвестные и, учитывая, что все базисные неизвестные - неотрицательные: х>j> ≥ 0 (j = 1, 2, ..., M), отбрасываем их, переходя к системе ограничений, выраженных в виде неравенств.
Литература
1. Абрамов Л.М., Капустин В.Ф. Математическое программирование. Л., Изд-Ленингр. ун-та, 1976. - 184 с.
2. Акулич И.Л. Математическое программирование в примерах и задачах: Учеб. пособие - 2-е изд., испр. и доп. - М.: Высш. шк. ,1993 - 336 с.
3. Ашманов С.А.Линейное программирование. - М.: Наука, 1981.
4. Баканов М.И., Шеремет А.Д. Теория экономического анализа: Учебник. -4-е изд., доп. и перераб. - М.: Финансы и статистика, 2000. - 416 с.
5. Баканов М.И., Шеремет А.Д.Экономический анализ: ситуации, тесты, примеры, задачи, выбор оптимальных решений, финансовое прогнозирование: Учеб. пособие. - М.: Финансы и статистика, 1999. -656 с.
6. Банди Б. Основы линейного программирования: Пер. с англ. - М.: Радио и связь, 1989. -176 с.
7. Габасов Р., Кириллова Ф.М. Методы линейного программирования. Ч.1. Общие задачи, Минск, Изд-во БГУ им. В.И. Ленина, 1977. - 176 с.
8. Габасов Р., Кириллова Ф.М. Методы линейного программирования. Ч.2. Транспортные задачи, Минск, Изд-во БГУ им. В.И. Ленина, 1977. - 240 с.
9. Глухов В.В., Медников М.Д., Коробко С.Б. Математические методы и модели для менеджмента - СПб.: Издательство “Лань”, 2000. -480 с.
10. Гольштейн Е.Г., Юдин Д.Б. Линейное программирование,теория, методы и приложения. - М.: Наука, 1969.
11. Гасс С.Линейное программирование. - М.: Физматгиз, 1961.
12. Заварыкин В. М. и др. Численные методы: Учеб. пособие для студентов физ.-мат. спец. пед. ин-тов / В.М. Заварыкин, В.Г. Житомирский, М.П. Лапчик. - М.: Просвещение, 1990. - 176 с
13. .Кузнецов А.В., Сакович В.А., Холод Н.И. Высшая математика. Математическое программирование. /Под общ. ред. проф. Кузнецова А.В., М., “ВЫШЭЙШАЯ ШКОЛА”, 1994. - 288 с.
14. Кузнецов Ю.Н., Кузубов В.И., Волощенко А.Б. Математическое программирование: Учеб. пособие. – 2-е изд., перераб и доп. - М.: Высш. школа, 1980. -300 с.
15. Ляшенко И.Н, Карагодова Е.А, Черникова Н.В., Шор Н.З. Линейное и нелинейное программирование. Издательское объединение “Вища школа”, 1975. - 372 с.
16. Пер. с яп. /М. Кубонива, М. Табата, С. Табата, Ю. Хасэбэ, под ред. М. Кубонива. Математическая экономика на персональном компьютере: - М.: Высш. школа, 1980.
17. Под ред и с предисл. Е.З. Демиденко – М.: Финансы и статистика, 1991. – 304 с.
18. Солодовников А.С. Введение в линейную алгебру и линейное программирование. М., Изд. “Просвещение”, 1966. - 184 с.
19. Схрейвер А. Теория линейного и целочисленного программирования: В 2-х т. Т.1: Пер с англ. - М.: Мир, 1991. -360 с.
20. Тынкевич М.А. Экономико-математические методы (исследование операций). Изд. 2, испр. и доп. - Кемерово, 2000. - 177 с.



