Расчетно-графическая работа (работа 1)
§1. ЧИСЛЕННОЕ РЕШЕНИЕ НЕЛИНЕЙНЫХ УРАВНЕНИЙ.
1п. Общий вид нелинейного уравнения
F(x)=0
Нелинейные уравнения могут быть двух видов:
Алгебраические
a>n>xn
+ a>n-1>xn-1
+… + a>0 >=
0
Трансцендентные-
это уравнения в которых х является
аргументом тригонометрической,
логарифмической или показательной
функции.
Значение х>0> при котором существует равенство f(x>0>)=0 называется корнем уравнения.
В общем случае для произвольной F(x) не существует аналитических формул определения корней уравнения. Поэтому большое значение имеют методы, которые позволяют определить значение корня с заданной точностью. Процесс отыскания корней делиться на два этапа:
Отделение корней, т.е. определение отрезка содержащего один корень.
Уточнение корня с заданной точностью.
Для первого этапа нет формальных методов, отрезки определяются или табуляцией или исходя из физического смысла или аналитическими методами.
Второй этап, уточнение корня выполняется различными итерационными методами, суть которых в том, что строится числовая последовательность x>i> сходящихся к корню x>0>
Выходом из итерационного процесса являются условия:
│f(x>n>)│≤ε
│x>n>-x>n-1>│≤ε
рассмотрим наиболее употребляемые на практике методы: дихотомии, итерации и касательных.
2 п. Метод половинного деления.
Дана монотонная, непрерывная функция f(x), которая содержит корень на отрезке [a,b], где b>a. Определить корень с точностью ε, если известно, что f(a)*f(b)<0
Суть метода
Данный отрезок [a,b] делится пополам, т.е. определяется x>0>=(a+b)/2, получается два отрезка [a,x>0>] и [x>0>,b], далее выполняется проверка знака на концах, полученных отрезков для отрезка, имеющего условия f(a)*f(x>0>)≤0 или f(x>0>)*f(b)≤0 снова проводится деление пополам координатой х, снова выделение нового отрезка и так продолжается процесс до тех пор пока │x>n>-x>n-1>│≤ε
Приведем ГСА для данного метода
3п.
Метод итерации.
Дана непрерывная функция f(x), которая содержит единственный корень на отрезке [a,b], где b>a. Определить корень с точностью ε.
Суть метода
Дано f(x)=0 (1)
Заменим уравнение (1) равносильным уравнением x=φ(x) (2). Выберем грубое, приближенное значение x>0> , принадлежащее[a,b], подставим его в правую часть уравнения (2), получим:
x>1>=
φ(x>0>)
(3) ,
далее подставим х>1
>в> >правую
часть уравнения (3) получим:
x>2>=
φ(x>1>)
(4)
x>3>=
φ(x>2>)
(5)
Проделаем данный процесс n раз получим x>n>=φ(x>n-1>)
Если эта последовательность является сходящейся т.е. существует предел
x* =lim x>n> , то данный алгоритм позволяет определить искомый корень.
Выражение
(5) запишем как x*=
φ(x*)
(6)
Выражение (6)
является решением выражения (2), теперь
необходимо рассмотреть в каких случаях
последовательность х>1>…х>n>
является
сходящейся.
Условием сходимости
является если во всех токах x
принадлежит
[a,b]
выполняется условие:
Приведем ГСА для метода итерации:
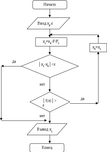
4 п. Метод касательных (Ньютона).
Дана непрерывная функция f(x), которая содержит единственный корень на отрезке [a,b], где b>a при чем определены непрерывны и сохраняют знак f`(x) f``(x). Определить корень с точностью ε.
Суть метода
Выбираем грубое приближение корня х>0> (либо точку a, либо b)
Наити значение функции точке х>0> и провести касательную до пересечения с осью абсцисс, получим значение х>1>
О
пределить
значение функции в точке х>1>,
через эту точку провести касательную
получим точку х>2>
П
овторим
процесс n раз
Е
сли
процесс сходящийся то x>n>
можно принять за искомое
значение корня
Условиями сходимости
являются:
│f(x>n>)│≤ε
│x>n>-x>n-1>│≤ε
Приведем ГСА метода касательных:
5п. Задание для РГР
Вычислить корень уравнения
На отрезке [2,3] с точностью ε=10-4 методами половинного деления, итерации, касательных.
6 п. Сравнение методов
Эффективность численных методов определяется их универсальностью, простотой вычислительного процесса, скоростью сходимости.
Наиболее универсальным является метод половинного деления, он гарантирует определение корня с заданной точностью для любой функции f(x), которая меняет знак на [a,b]. Метод итерации и метод Ньютона предъявляют к функциям более жесткие требования, но они обладают высокой скоростью сходимости.
Метод
итерации имеет очень простой алгоритм
вычисления, он применим для пологих
функций.
Метод касательных применим
для функций с большой крутизной, а его
недостатком является определение
производной на каждом шаге.
ГСА головной программы, методы оформлены подпрограммами.
Программа по методам половинного деления, итерации и метода Ньютона.
CLS
a = 2: b = 3: E = .0001
DEF FNZ (l) = 3 * SIN(SQR(l)) + .35 * l - 3.8
F1 = FNZ(a): F2 = FNZ(b)
IF F1 * F2 > 0 THEN PRINT "УТОЧНИТЬ КОРНИ": END
GOsub> 1
x0 = a
IF ABS((-3 * COS(SQR(x))) / (.7 * SQR(x))) > 1 THEN PRINT "НЕ СХОДИТСЯ"
DEF FNF (K) = -(3 * SIN(SQR(x)) - 3.8) / .35
GOsub> 2
x0 = b
F = FNZ(x0)
DEF
FND (N) = (3 * COS(SQR(N)) / (2 * SQR(N))) + .35
_
IF F * (-4.285 * (-SQR(x0) * SIN(SQR(x)) - COS(SQR(x))) / (2
* x * SQR(x))) < then
print “не сходится”:end
GOsub> 3
END
'=========Метод половинного деления========
1 x = (a + b) / 2: T = T + 1
F3 = FNZ(x)
IF ABS(F3) < E THEN 5
IF F1 * F3 < 0 THEN b = x ELSE a = x
IF ABS(b - a) > E THEN 1
5 PRINT "X="; x, "T="; T
RETURN
'=========Метод итерации==========
2 x0 = a
12 X2 = FNF(x0): S = S + 1
IF ABS(X2 - x0) > E THEN x0 = X2: GOTO 12
PRINT "X="; X2, "S="; S
RETURN
'========Метод касательных=======
3 x0 = b
23 D = D +
1
F
= FNZ(x0): F1 = FND(x0)
X3 = x0 - F / F1
IF ABS(X3 - x0) < E THEN 100
IF ABS(F) > E THEN x0 = X3: GOTO 23
100 PRINT "X="; X3, "D="; D
RETURN
Ответ
x=
2,29834 T=11
x=2,29566 S=2
x=2,29754 D=2
где
T,S,D-число
итерации для метода половинного деления,
итерации, касательных соответственно.