Информационные системы менеджмента
Содержание
1. Схема движения финансовых и экономических потоков в экономике и характеристика ИС их обеспечения
2. Особенности информационных систем, их характеристики и место в ряду интеллектуальных информационных сетей
3. Особенности технологии работы систем поддержки принятия решений (их компоненты, основные понятия и особенности работы хранилищ данных)
4. Понятие витрин данных
5. Представление и основные характеристики OLAP технологии, понятие многомерного статистического анализа, характеристика систем MOLAP и ROLAP
6. Классификация ИИС. ИИС как совокупность нескольких технологий
7. Признаки и отличительные черты ИИС
8. Классификация ИИС
9. Методология разработки и реализации управленческого решения
10. Информационные ресурсы при разработке экономических решений
11. Факторы и виды проблемной ситуации
12. Стадии понимания сущности проблемной ситуации и принятия решения о способах её разрешения
13. Проблемные ситуации в экономических структурах и отражающие их технико-экономические показатели
14. Источники информационной базы ИС, виды показателей и методики для выявления проблемных ситуаций в производстве
15. Граф концептуальной модели проблемной ситуации и его толкование
16. Особенности проектирования интеллектуальной экономической информационной системы
17. Основные компоненты и существенные черты ИИС
18. Схема ИИС
19. Характеристика базы знаний и особенности её конструирования. Компоненты баз знаний
20. Определение, назначение и области применения экспертных систем
21. Структура и принцип работы экспертных систем. Схема обобщённой структуры БД
22. Характеристики базы знаний и машины вывода ЭС
23. Особенности технологии создания экспертных систем
24. Нейронные сети как один из альтернативных подходов к решению интеллектуальных задач. Структура персептрона, принципы его работы
1. Схема движения финансовых и экономических потоков в экономике и характеристика ИС их обеспечения
В течение последних 10 лет произошло значительное расширение сферы фактического применения информационных технологий и систем в области экономики. Интенсивное развитие и индустриализация информационных технологий привела к тому, что информационные потоки сопровождают все стадии цикла производство-потребление и соответствующего движения денежных средств в общественном производстве. Информационные системы (ИС) используются в настоящее время в различных сферах экономики (рис. 1.1).
На рисунке этом показаны в виде блоков:
предприятия, производящие национальный продукт;
правительство, собирающее налоги и выделяющее трансферты;
потребители, формирующие денежный поток;
финансовая система, аккумулирующая сбережения потребителей;
инвесторы, инвестирующие производство;
мировая экономическая система, связанная потоками экспорта и импорта с национальным общественным производством.
Каждый из блоков имеет в своем составе ИС и соответствующую ей базу данных, совокупность сведений которой образует экономическое информационное пространство общественного производства. Основное назначение такой информационной системы – обеспечить обработку и выдачу информации для принятия решения по руководству функционированием и развитием экономического объекта. Термин «ИС» относится к классу программных продуктов, облегчающих или «автоматизирующих» ведение бизнеса. Необходимая для выполнения этой задачи информация включает базы данных и модели анализа собственно организации (объекта управления), окружения, с которым происходит взаимодействие; внешних неконтролируемых факторов.

Рис. 1.1. Движение финансовых и информационных потоков в экономике
Современные ИС все более дифференцируются по областям применения. Нa рынке программного обеспечения появляются и широко используются (наряду с системами поиска нормативно-правовой информации) ИС бухгалтерского учета, системы поддержки принятия решений (DSS), информационные системы менеджмента (MIS), ИС управления инвестициями (Project expert), ИС риск-менеджмента (RMIS). Рассмотрим основные характеристики этих систем.
2. Особенности информационных систем, их характеристики и место в ряду интеллектуальных информационных сетей
ИС менеджмента (ИСМ) или «управленческими» системами называют комплексы бухгалтерских или торгово-складских программ. 90% всех таких программ базируются на учетной основе. Однако автоматизация бухгалтерии не может быть основой управленческой ИС. В первую очередь, надо дать инструмент службам снабжения и сбыта, производству, а затем уже накопленная ими информация должна поступать в бухгалтерию. Интегрированные системы менеджмента – наиболее полные и наиболее сложные системы. Их называют корпоративными системами, комплексными информационными системами и т.д. В таблице 1.1 приведены основные функции ИСМ.
Система «Галактика». Система «Галактика» объединяет более 40 модулей, использующих единую базу данных и предназначенных для автоматизации решения задач бухгалтерского и управленческого учета, анализа хозяйственной деятельности, планирования, технико-экономической подготовки производства и т.д.
Таблица 1.1. Основные функции информационных систем менеджмента (ИСМ)
|
Этапы |
Управление финансовыми потоками |
Управление товарными потоками |
Управление себестоимостью |
Управление персоналом |
|
Стратегическое планирование |
Финансовое планирование, бюджетирование |
Товарный план закупок, продаж |
Бизнес-планирование |
Бизнес-планирование |
|
Оперативное планирование |
Финансовое планирование по контрактам |
Товарный календарь по контрактам |
Технико-экономическое планирование |
Персонификация планирования деятельности по исполнителям |
|
Оперативный учет |
Исполнение финансовой части контрактов |
Исполнение товарной части контрактов |
Мониторинг себестоимости |
Табельный учет, наряды, учет контрактов |
|
Бухгалтерский учет |
Финансовый раздел |
Материальный учет |
Учет фактических затрат |
Учет труда и зарплаты |
Содержит следующие модули:
«Финансовое планирование»;
«Финансовый менеджмент»;
«Контроллинг» для обеспечения автоматизированного расчета затрат по разным видам продукции и принятия управленческих решений (например, закрытие каких-либо направлений);
«Управление ресурсами» для определения оптимальной конфигурации заказов по времени, месту и составу; «Производственное планирование»; «Управление договорами».
На данный момент «Галактика» практически полностью закрывает вопросы, связанные с созданием управленческого слоя на предприятии. Имеется целостная информационная система управления предприятием, развиваются компоненты, связанные с управлением финансами, ресурсами и производственным планированием.
IFS Applications. Компания ФОРС предлагает программный комплекс управления предприятием IFS Applications™, разработку шведской компании IFS – Industrial & Financial Systems. Комплекс охватывает основные сферы деятельности предприятия вне зависимости от его профиля. Комплекс является полномасштабным интегрированным продуктом класса ERP (Enterprise Resource Planning) – планирование ресурсов предприятия. В его основе лежит принцип единого хранилища данных, содержащего всю деловую информацию, накопленную компанией в процессе ведения бизнеса. ERP системы автоматизируют всю работу современной компании:
отношения с клиентами;
финансовый анализ и планирование;
бухгалтерский учет;
контроль и планирование производства;
управление бюджетом и т.д.
В состав системы входят следующие модули:
«Финансы»;
«Поставки»;
«Производство»;
«Маркетинг»;
«Персонал».
Архитектура комплекса IFS Applications. Комплекс IFS Applications построен в архитектуре трехуровневый клиент-сервер. Уровень хранения данных реализован на современной промышленной постреляционной СУБД Oracle.
Система «БААН». «БААН» поддерживает весь сектор разнообразных управленческих задач (финансового управления, оперативного управления производством, снабжением, сбытом и др.). Наиболее важная функциональная составляющая – подсистема «БААН – Финансы». Анализ данных главной книги дебиторской и кредиторской задолженностей и других данных может осуществляться на уровне отдельного подразделения и на уровне всей компании. Аналитический просмотр финансовой информации обеспечивается в соответствии с установленной структурой счетов главной книги.
3. Особенности технологии работы систем поддержки принятия решений (их компоненты, основные понятия и особенности работы хранилищ данных)
Системы поддержки принятия решений
Этот класс систем содержит в себе новые программные решения, приближающие его к ИИС. В них значительно более гибкие аналитические процедуры за счет предварительного вычисления производных показателей (агрегатов), более дружественный интерфейс, использующий элементы естественного языка; применяются специальные структуры хранения, реализующие сложные пространственно-временные и концептуальные зависимости между данными. Фактически метаданные, хранящиеся в репозитарии, – частный вид базы знаний.
СППР могут быть предназначены для выбора вариантов стратегического плана развития банка, либо выбора заявок на финансирование инвестиционных проектов на основе многокритериального анализа и экспертных оценок. В результате работы СППР вычисляются оценки степени соответствия каждого из возможных вариантов решений предъявляемым требованиям и предпочтениям, а все возможные варианты ранжируются по итоговой степени предпочтительности.
Так, банковскими аналитиками используются СППР в областях стратегического планирования и формирования портфелей привлечения и размещения кредитно-инвестиционных ресурсов, в инвестиционном анализе и расчете лимитов и рисков кредитования. Неотъемлемым компонентом СППР этого уровня являются правила принятия решений, получаемые на основе применения специальных аналитических технологий и архитектур организации и хранения данных. Современные архитектуры средств хранения данных получили название хранилище данных (ХД) (DataWarehouse)
Хранилище данных (ХД)
Термин «создание Хранилищ Данных» (data warehousing) описывает процесс сбора, очистки и просеивания данных из различных рабочих систем, а также предоставление широкой аудитории бизнес-пользователей непосредственного доступа к полученной информации.
Хранилище Данных (ХД) выполняет функции предварительной подготовки и хранения данных для лиц, принимающих решения (ЛПР) на основе информации из базы данных предприятия, а также информации из сторонних источников, которые в достаточном количестве стали доступны на рынке информации.
Концепция ХД предполагает не просто единый логический взгляд на данные организации, а действительную реализацию единого многоаспектного информационного зсурса.
В ХД поддерживается хронология: наравне с текущими хранятся исторические данные с указанием времени, к которому они относятся. В результате необходимые доступные данные об объекте управления собираются одном месте, приводятся к единому формату, согласовываются, агрегируются до минимально требуемого уровня обобщения.
ХД использует схемы данных, получившие названия «звезда», «созвездие» «снежинка». Суть технологии этих схем в выделении из общего объема информации собственно анализируемых данных (или фактов) и вспомогательных данных (называемых измерениями). Однако это приводит к дублированию данных в Хранилище, снижению гибкости структуры и увеличению времени загрузки. В процессе подготовки того или иного решения пользователь анализирует срез фактов по одному или нескольким измерениям.
Идея схемы звезды (star schema) в том, что имеются таблицы для каждого измерения, а все факты помещаются в одну таблицу, индексируемую множественным ключом, составленным из ключей отдельных измерений. Каждый луч схемы звезды задает (в терминологии Кодда) направление консолидации данных по соответствующему измерению (например, Магазин – Город/район – Регион). Рекомендуется создавать таблицы фактов не для всех возможных сочетаний измерений, а только для наиболее полных (тех, значения ячеек которых не могут быть получены с помощью последующей агрегации ячеек других таблиц фактов базы данных).
В сложных задачах с многоуровневыми измерениями используется схема созвездия (fact constellation schema) и схема снежинки (snowflake schema) В этих случаях отдельные таблицы фактов создаются для возможных сочетаний уровней обобщения различных измерений. Это позволяет добиться наилучшей производительности, но часто приводит к избыточности данных.
4. Понятие витрин данных
Витрины данных (рынки данных)
Витриной Данных (иногда говорят рынок данных) – это специализированное Хранилище, обслуживающее одно из направлений деятельности компании, например учет запасов или маркетинг.
Важно, что происходящие здесь бизнес-процессы относительно однородны, круг пользователей ограничен сотрудниками одного подразделения или департамента. Количество сотрудников, вовлеченных в конкретную деятельность, невелико (рекомендуется, чтобы Витрина обслуживала не более 10–15 чел.). При этих условиях удается с использованием современных технологий развернуть Витрину подразделения за 3–4 месяца. Успех небольшого проекта (стоимость которого невелика по сравнению со стоимостью разработки корпоративного Хранилища) способствует продвижению новой технологии и приводит к быстрой окупаемости затрат.
При построении схемы взаимодействия корпоративного Хранилища и Витрин Данных в рамках создания СППР рекомендуется определить некоторую специальную структуру для хранения исторических данных и дополнительно развернуть Витрины, заполняемые данными из этой структуры. Тем самым удается разделить два процесса: накопление исторических данных и к анализ.
Современные витрины данных должны:
хранить сотни гигабайт данных и обеспечивать сложные разновидности аналитической обработки, например, из области добычи данных (data mining);
обеспечивать удаленный доступ к витрине данных для сотен пользователей с использованием технологии Internet и Intranet;
централизованно администрировать и управлять многими витринам данных, которые могут содержать несогласованные и конфликтующие данные.
5. Представление и основные характеристики OLAP-технологии, понятие многомерного статистического анализа, характеристика систем MOLAP и ROLAP
Оперативная аналитическая обработка данных (OLAP)
С многомерными данными сталкиваются организации, работающие в любой области бизнеса, и сложность данных не обязательно напрямую зависит от размера компании. Даже самой маленькой компании хотелось бы отслеживать продажи в зависимости от продукта, торгового представителя, географии, клиента и времени. Каждая из этих описательных категорий – сдельное измерение в модели OLAP.
Организации давно искали средства, позволяющие легко и естественно получать, просматривать и анализировать многомерные данные. OLAP предоставляет организациям наиболее гибкие и производительные средства доступа, просмотра и анализа данных, связанных с бизнесом с помощью естественной интуитивной модели данных. Благодаря легкости перемещения по данным бизнес-пользователи могут более эффективно просматривать и анализировать информацию из своих хранилищ данных, что позволяет организациям лучше осознать ценность этих данных. OLAP ускоряет доставку информации пользователям, просматривающим такие многомерные структуры. С этой целью подготовка некоторых вычисляемых значений в массиве данных осуществляется заранее, а не во время выполнения. Сочетание легкости перемещения и высокой производительности помогает пользователям просматривать и анализировать данные быстрее и эффективнее, чем это было бы возможно только на основе технологии реляционных баз данных. В результате они посвящают больше времени анализу данных и меньше – анализу баз данных.
В основе OLAP лежит многомерное концептуальное представление (multi-dimensional conceptual view) – наиболее естественный взгляд управляющего персонала на объект управления; множественная перспектива из нескольких независимых измерений, вдоль которых могут быть проанализированы определенные совокупности данных. Одновременный анализ по нескольким измерениям данных определяется как многомерный анализ.
Каждое измерение включает направления консолидации данных из серии последовательных уровней обобщения, где каждый вышестоящий уровень соответствует большей степени агрегации данных по соответствующему измерению. Так, измерение Исполнитель может определяться направлением консолидации, состоящим из уровней обобщения «предприятие – подразделение – отдел – служащий». Измерение Время может даже включать два направления консолидации – «год – квартал – месяц – день» и «неделя – день», поскольку счет времени по месяцам и по неделям несовместим. В этом случае возможен произвольный выбор желаемого уровня детализации информации по каждому из измерений. Операция раскрытия или спуска (drilling down) соответствует движению от высших ступеней консолидации к низшим; напротив, операция свертки или подъема (rolling up) означает движение от низших уровней к высшим.
Концептуальное представление модели данных в продукте OLAP должно быть многомерным по своей природе, то есть позволять аналитикам выполнять интуитивные операции сечения «анализа вдоль и поперек» («slice and dice»), вращения (rotate) и размещения (pivot) направлений консолидации. Пользователь не должен знать, какие конкретные средства используются для хранения и обработки данных, как данные организованы и откуда берутся. Аналитик должен иметь возможность выполнять анализ в рамках общей концептуальной схемы. Преобразования, требующие произвольного определения, должны задаваться на функционально полном формальном языке. Переориентация направлений консолидации, детализация данных в колонках и строках, агрегация и другие манипуляции, свойственные структуре иерархии направлений консолидации, должны выполняться в максимально удобном, естественном и комфортном пользовательском интерфейсе. Настоятельно рекомендуется допущение в каждом серьезном OLAP инструменте как минимум пятнадцати, а лучше двадцати измерений в аналитической модели. Каждое из этих измерений должно допускать практически неограниченное количество определенных пользователем уровней агрегации по любому направлению консолидации.
Доступ к данным должен происходить на языке пользователя, в большинстве случаев не владеющего языками программирования. Можно разработать множество специализированных приложений, каждое из которых будет отвечать на какой-то один тип запросов, но заранее трудно предположить, какие еще запросы будут нужны пользователю. Поэтому универсальное средство должно либо позволять писать такие приложения очень быстро, либо давать возможность пользователю составлять его непредсказуемые запросы самостоятельно, а значит должно использовать язык бизнес-терминов вместо языка программирования.
Если принимается второй вариант, сразу появляется следствие – система должна скрывать от конечного пользователя физическую структуру и способы хранения данных. Знать такие подробности пользователю совсем не нужно. Такая задача решается введением семантического слоя, который ставит каждому бизнес-термину в соответствие способ получения данных.
В основе организации данных OLAP лежит понятие гиперкуба или многомерного куба данных, в ячейках которого хранятся анализируемые (числовые) данные, например объемы продаж. Измерения – это совокупности значений других данных, скажем, названий товаров и названий месяцев года. В простейшем случае двумерного куба мы получаем таблицу, показывающую значения уровней продаж по товарам и месяцам. Дальнейшее усложнение модели данных возможно по нескольким направлениям:
Увеличение числа измерений – данные о продажах не только по месяцам и товарам, но и по регионам. В этом случае куб становится трехмерным;
усложнение содержимого ячейки – например, нас может интересовать не только уровень продаж, но и чистая прибыль или остаток на складе. В этом случае в ячейке будет несколько значений;
введение иерархии в пределах одного измерения – общее понятие ВРЕМЯ естественным образом связано с иерархией значений: год состоит из кварталов, квартал из месяцев и т.д.
Благодаря многомерной модели данных пользователям очень легко формулировать сложные запросы, размещать данные в отчете, переходить от сводной информации к детальной или фильтровать данные, выделяя осмысленные подмножества. Например, в типичном кубе с информацией о продажах в качестве измерений выступали бы «Время», «География», «Продукт», «Канал», «Организация» и «Сценарий» (по бюджету и фактически). Типичными мерами могли бы стать «Продажи в долларах», «Продажи в единицах», «Запасы», «Численность персонала», «Доходы» и «Затраты».
В рамках каждого измерения модели данных OLAP могут быть организованы в виде иерархии, представляющей различные уровни их детализации. Например, в измерении «Время» можно выделить уровни «Годы», «Месяцы» и «Дни». Точно так же в рамках измерения «География» вы могли бы ввести уровни «Страна», «Регион», «Штат/провинция» и «Город». Каждая конкретная модель OLAP будет включать определенные значения для каждого уровня иерархии. При просмотре данных OLAP пользователь будет перемещаться вверх и вниз между уровнями данных, чтобы увидеть больше деталей или получить сводную информацию.
В зависимости от ответа на вопрос, существует ли гиперкуб как отдельная физическая структура или лишь как виртуальная модель данных, различают системы MOLAP (Multidimensional OLAP) и ROLAP (Relational OLAP). На заре развития технологии OLAP большинство производителей считало, что единственное возможное решение при создании OLAP приложений связано с использованием специализированной, нереляционной модели хранения. Позднее другие производители обнаружили, что применение определенных структур базы данных (схемы «звезда» и «снежинка»), индексации и хранения агрегатов позволяет использовать для OLAP реляционные системы управления базами данных. Такие производители назвали свою технологию Relational OLAP (ROLAP). Поставщики более старых систем затем приняли термин MOLAP (multidimensional OLAP – многомерная OLAP).
Недавно разработаны гибридные решения для OLAP, которые иногда называют HOLAP (hybrid OLAP). Одновременно используя архитектуры ROLAP и MOLAP, они соединяют лучшие черты обоих решений – превосходную производительность и высокую масштабируемость. Один из подходов к созданию HOLAP включает в реляционную базу данных записи с детальной информацией (занимающие наибольший объем) и в то же время помещает агрегаты в отдельное хранилище архитектуры MOLAP.
Для большинства продуктов OLAP предварительное вычисление агрегатов – это основная стратегия, обеспечивающая выигрыш в производительности. В то же время предварительная агрегация связана со значительными затратами: число агрегатов легко может превысить число исходных точек с детальной информацией, что приводит к резкому росту объема хранимых данных, причем коэффициент взрыва данных может составить около 240, так что для управления 10 Мб входных данных потребовалась бы емкость устройства хранения 2,4 Гб.
Предварительное вычисление и сохранение всех возможных комбинаций агрегатов (например, сумма всех объемов производства продуктов и уровней производства продуктов по всем периодам времени, по всем организациям, по всем каналам распространения и т.д.) в традиционных OLAP приводит к мощному взрыву данных.
6. Классификация ИИС. ИИС как совокупность нескольких технологий
Интеллектуальные информационные системы (ИИС)
Как видно из предыдущего раздела, современные базы данных включают в свой состав целый ряд механизмов и технологий, повышающих их интеллектуальные возможности. Это относится прежде всего к многомерной организации данных в хранилищах данных, организации естественно-языкового интерфейса на ограниченном фрагменте языка, реализации сценариев «что если». Все эти механизмы почерпнуты из области исследований по искусственному интеллекту.
Системы поддержки принятия решений – квазиинтеллектуальные системы, поскольку они призваны автоматизировать не сам процесс оценки предпочтительности гипотез или выбора варианта решения, а только готовят аналитические обобщенные данные для окончательного выбора решения специалистом-менеджером.
Важность этих систем для теории и практики и практики искусственного интеллекта определяется двумя обстоятельствами:
в DSS реализуется поиск аналитических зависимостей или агрегатов, при использовании которых правила принятия решений, т.е. зависимости между наблюдаемыми данными и гипотезами становятся более простыми;
в структуре специализированных процессоров или архитектур этих систем реализуются некоторые начальные этапы технологии обработки данных, характерных для технологии искусственного интеллекта. Это относится к организации хранения и обработки больших объемов данных в виде многомерных кубов с учетом семантических взаимосвязей
На начальных стадиях разработки методов искусственного интеллекта создание экспертных систем (ЭС), предназначенных для оценки предпочтительности гипотез на основе наблюдаемых данных, и документальных информационно-поисковых систем (ИПС) и систем управления базами данных (СУБД) шло параллельными путями, затем произошло объединение ИПС как компоненты полнотекстового поиска и реляционных СУБД. В настоящее время постреляционные СУБД включают в себя ряд компонентов из области искусственного интеллекта.
Экспертные системы представляли собою автономные программные комплексы не интегрированные с базами данных и системами аналитических вычислений. Понятие «экспертная система» закрепилось за такими автономными программами, ориентированными на определенную достаточно узкую сферу применения.
Затем стало ясно, что принципы логического вывода и баз знаний применимы к широкому кругу задач, экспертные системы стали использовать базы данных и оформляться как программные продукты, имеющие развитые средства ввода-вывода данных, хранения и ведения баз знаний, прикладные задачи и такую новую генерацию систем стали называть интеллектуальные информационные системы.
ИИС объединяют в себе возможности СУБД, лежащих в основе ИС, и технологию искусственного интеллекта, благодаря чему хранение в них экономической информации сочетается с ее обработкой и подготовкой для использования при принятии решений. Вначале ИИС, называемые также системами, основанными на знаниях, рассматривались как средство, позволяющее не экспертам принимать решения с таким же качеством, как один или более экспертов в конкретной области. Однако очень быстро стало ясно, что эта технология в действительности способна к достижению большего объема знаний и более быстрого реагирования, чем группа специалистов.
Первоначально ИИС использовали знания нескольких экспертов в каждой из областей инвестиций. В настоящее время базы знаний частично формируются посредством машинного обучения, используя методы индукции, генетические алгоритмы и некоторые другие методы извлечения знаний. Менеджер, используя такую схему, теоретически может принимать решения более эффективно и с меньшей стоимостью, чем это смог бы сделать любой индивидуальный эксперт в данной области. Наиболее очевидным преимуществом интеграции некоторых форм искусственного интеллекта в процессе принятия решений по сравнению с постоянным консультированием с группой экспертов обычно является более низкая стоимость и большее соответствие результатов задаче. В отличие от обычных аналитических и статистических моделей, ИИС позволяют получить решение трудно формализуемых слабо структурированных задач. Возможность ИИС работать со слабо структурированными данными подразумевает наличие следующих качеств:
решать задачи, описанные только в терминах мягких моделей, когда зависимости между основными показателями являются не вполне определенными или даже неизвестными в пределах некоторого класса;
способность к работе с неопределенными или динамичными данными, изменяющимися в процессе обработки, позволяет использовать ИИС в условиях, когда методы обработки данных могут изменяться и уточняться по мере поступления новых данных;
способность к развитию системы в плане извлечения знаний из накопленного опыта конкретных ситуаций увеличивает мобильность и гибкость системы, позволяя ей быстро осваивать новые области применения.
Возможность использования информации, которая явно не хранится, а выводится из имеющихся в базе данных, позволяет уменьшить объемы хранимой фактуальной информации при сохранении богатства доступной пользователю информации. Направленность ИИС на решение слабо структурированных, плохо формализуемых задач расширяет область применения ИИС.
Наличие развитых коммуникативных способностей у ИИС дает возможность пользователю выдавать задания системе и получать от нее обработанные данные и комментарии на языке, близком к естественному. Система естественно-языкового интерфейса (СЕЯИ) транслирует естественно-языковые структуры на внутримашинный уровень представления знаний. Включает морфологический, синтаксический, семантический анализ и соответственно в обратном порядке синтез. Программа интеллектуального интерфейса воспринимает сообщения пользователя и преобразует их в форму представления базы знаний и, наоборот, переводит внутреннее представление результата обработки в формат пользователя и выдает сообщение на требуемый носитель.
Важнейшее требование к организации диалога пользователя с ИИС – естественность, означающая формулирование потребностей пользователя с использованием профессиональных терминов конкретной области применения. Наибольшее распространение ИИС получили для экономического анализа деятельности предприятия, стратегического планирования, инвестиционного анализа, оценки рисков и формирования портфеля ценных бумаг, финансового анализа, маркетинга.
Применение ИИС совместно со стандартными методами исследования операций, динамического программирования, а также с методами нечеткой логики для планирования при комплексной автоматизации деятельности предприятия, приносит принципиальные выгоды: реально снижаются операционные издержки; повышается качество управленческих решений.
7. Признаки и отличительные черты ИИС
Детальное обоснование политики предприятия в решении задач расширения и модернизации производства, диверсификации деятельности, повышении эффективности использования производственных мощностей позволяет формировать выполнимые и хорошо контролируемые планы работ. Такое обоснование, базирующееся на текущей производственной загрузке, необходимых материальных и человеческих ресурсах, возможно лишь в хорошо структурированных средах с достаточным информационным базисом. Для ИИС характерны следующие признаки:
развитые коммуникативные способности: возможность обработки произвольных запросов в диалоге на языке максимально приближенном к естественному (система естественно-языкового интерфейса – СЕЯИ);
направленность на решение слабоструктурированных, плохо формализуемых задач (реализация мягких моделей);
способность работать с неопределенными и динамичными данными;
способность к развитию системы и извлечению знаний из накопленного опыта конкретных ситуаций;
возможность получения и использования информации, которая явно не хранится, а выводится из имеющихся в базе данных;
система имеет не только модель предметной области, но и модель самой себя, что позволяет ей определять границы своей компетентности;
способность к аддуктивным выводам, т.е. к выводам по аналогии;
способность объяснять свои действия, неудачи пользователя, предупреждать пользователя о некоторых ситуациях, приводящих к нарушению целостности данных.
Традиционно считается, что ИИС содержит базу данных, базу знаний, интерпретатор правил или машину вывода, компоненту объяснения и естественно-языкового интерфейса, обеспечивающих связный дискурс, т.е. диалог пользователя и системы с попеременным переходом инициативы.
Отличительные особенности ИИС по сравнению с обычными ИС состоят в следующем:
интерфейс с пользователем на естественном языке с использованием бизнес-понятий, характерных для предметной области пользователя;
способность объяснять свои действия и подсказывать пользователю, как правильно ввести экономические показатели и как выбрать подходящие к его задаче параметры экономической модели;
представление модели экономического объекта и его окружения в виде базы знаний и средств дедуктивных и правдоподобных выводов в сочетании с возможностью работы с неполной или неточной информацией;
способность автоматического обнаружения закономерностей бизнеса в ранее накопленных фактах и включения их в базу знаний.
ИИС особенно эффективны в применении к слабо структурированным задачам, в которых пока отсутствует строгая формализация, и для решения которых применяются эвристические процедуры, позволяющие в большинстве случаев получить решение. Отчасти этим объясняется то, что диапазон применения ИИС необычайно широк: от управления непрерывными технологическим процессами в реальном времени до оценки последствий от нарушения условий поставки товаров по импорту.
По мере совершенствования принципов логического и правдоподобного вывода, применяемых в ИИС за счет использования нечеткой, модальной, временной логики, байесовских сетей вывода, ИИС начинают проникать в высокоинтеллектуальные области, связанные с разработкой стратегических решений по совершенствованию деятельности предприятий. Этому способствуют более современные алгоритмы анализа и синтеза предложений естественного языка, облегчающие общение пользователя с системой.
Включение в состав ИИС классических экономико-математических моделей, методов линейного, квадратичного и динамического программирования позволяет сочетать анализ объекта на основе экономических показателей с учетом факторов и рисков политических и внеэкономических факторов, оценивать последствия полученных их ИИС решений.
Наличие в составе ИИС объектно-ориентированной базы данных позволяет однородными средствами обеспечить хранение и актуализацию как фактов, так и знаний.
Проектирование ИИС как крупного программного комплекса как в отношении его жизненного цикла, так и в отношении технологии проектирования незначительно отличается от технологии проектирования ИС. Основная специфика связана с разработкой базы знаний.
8. Классификация ИИС
Классификация ИИС
ИИС можно классифицировать (рис. 1.3) по разным основаниям. Мы выберем в качестве оснований классификации следующие:
предметная область в экономике,
степень автономности от корпоративной ИС или базы данных,
по способу и оперативности взаимодействия с объектом,
адаптивности, модели знаний.
На рисунке для примера приведены ИИС из областей менеджмента, риск-менеджмента и инвестиций. По степени интеграции ИИС могут быть: автономные в виде самостоятельных программных продуктов с собственной базой данных; сопрягаемые с корпоративной системой с помощью средств ODBC или OLE dB; полностью интегрированные. По операивности принято различать динамические и статические ИИС. Однако фактор времени всегда является существенным в ИИС и полностью статических систем не может быть по определению. Предлагается различать ИИС реального времени с собственными сенсорами и эффекторами и советующие, в контур которых вовлечен пользователь.
По адаптивности различаются обучаемые ИИС типа нейронных сетей, т.е. системы, параметры, а возможно структура которых могут изменяться в процессе обучения или самообучения, и ИИС, параметры которых изменяются администратором базы знаний. Наиболее часто используемые модели знаний приведены непосредственно на рис. 1.3. Приведем несколько примеров ИИС.
Intelligent Hedger: основанный на знаниях подход в задачах страхования от риска. Фирма: Information System Department, New York University. Проблема огромного количества постоянно растущих альтернатив страхования от рисков, быстрое принятие решений менеджерами по рискам в ускоряющемся потоке информации, а также недостаток соответствующей машинной поддержки на ранних стадиях процесса разработки систем страхования от рисков предполагает обширную сферу различных оптимальных решений для менеджеров по риску. В данной системе разработка страхования от риска сформулирована как многоцелевая оптимизационная задача. Данная задача оптимизации включает несколько сложностей, с которыми существующие технические решения не справляются. Краткие характеристики: система использует объектное представление, охватывающее глубокие знания по управлению риском и облегчает эмуляцию первичных рассуждений, управляющих риском, полезных для выводов и их объяснений.
Система рассуждений в прогнозировании обмена валют. Фирма: Department of Computer Science City Polytechnic University of Hong Kong. Представляет новый подход в прогнозировании обмена валют, основанный на аккумуляции и рассуждениях с поддержкой признаков, присутствующих для фокусирования на наборе гипотез о движении обменных курсов. Представленный в прогнозирующей системе набор признаков – это заданный набор экономических значений и различные наборы изменяющихся во времени параметров, используемых в модели прогнозирования.
Краткие характеристики: математическая основа примененного подхода базируется на теории Демпстера–Шейфера.
Nereid: Система поддержки принятия решений для оптимизации работы с валютными опционами. Фирма: NTT Data, The Tokai Bank, Science University of Tokyo.
Система облегчает дилерскую поддержку для оптимального ответа как один из возможных представленных вариантов; более практична и дает лучшие решения, чем обычные системы принятия решений. Краткие характеристики: система разработана с использованием фреймовой системы CLP, которая легко интегрирует финансовую область в приложение ИИ. Предложен смешанный тип оптимизации, сочетающий эвристические знания с техникой линейного программирования. Система работает на Sun станциях.
PMIDSS: Система поддержки принятия решений при управлении портфелем.
Разработчики: Финансовая группа Нью-Йоркского университета. Решаемые задачи: выбор портфеля ценных бумаг; долгосрочное планирование инвестиций. Краткие характеристики: смешанная система представления знаний, использование разнообразных механизмов вывода: логика, направленные семантические сети, фреймы, правила.
9. Методология разработки и реализации управленческого решения
Методология разработки и реализация управленческого решения
Реализация в экономической модели объекта информатизации позволяет строить классическую схему управления по следующим этапам:
планирование работ;
сбор и анализ данных о происходящих процессах;
анализ соответствия фактических результатов плановым показателям;
разработка организационных, финансовых, маркетинговых и иных процедур, снижающих влияние неблагоприятных факторов: снижение рыночного спроса или изменения стоимости комплектующих изделий;
адаптация дальнейших планов работ с учетом сложившихся условий.
При всей своей очевидности такая схема управления на практике не имеет универсальных решений. Она формируется с учетом специфики и масштаба бизнеса, существующего менеджмента, уровня детализации решаемых задач.
Выработка решений в виде стратегии функционирования и развития производится на основе миссии и целей предприятия с учетом доступных ресурсов и результатов обработки данных обратной связи от объекта управления.
Типы решений:
Миссия и цель предприятия. Требует учёта доступных ресурсов. Задача высшего руководства.
Выработка стратегии развития – Задача высшего руководства.
Формирование и совершенствование организационной структуры – Задача высшего руководства.
Оценка позиций фирмы на рынке – Задача высшего руководства.
Определение ассортимента продукции – Задача высшего руководства.
Организация деятельности аппарата управления компании – Задача высшего руководства.
Календарное планирование производства – Задача менеджеров среднего звена.
Подбор и расстановка кадров – Задача менеджеров среднего звена.
Реализация инноваций – Задача менеджеров среднего звена.
Реализация систем материального стимулирования – Задача менеджеров среднего звена.
Основой деятельности менеджера-пользователя ИС должен быть процесс обнаружения, описания и разрешения проблемных ситуаций (ПС).
Возникающие в объекте управления ПС находят свое отражение в базе данных в виде определенных значений атрибутов.
10. Информационные ресурсы при разработке экономических решений
Семантическое содержание понятий, используемых в задачах принятия решений.
Лицо, принимающее решение (ЛПР) – это субъект решения, т.е. руководитель или менеджер, наделенный надлежащими полномочиями и несущий ответственность за последствия принятого им и реализованного решения.
В своих действиях ЛПР опирается на собственные профессиональные навыки, прошлый опыт, интуицию. Однако при сложных и нечетко сформулированных задачах ЛПР не может использовать опыт, а опора на только на интуицию увеличивает риск принятия неверного или неоптимального решения. В подобных ситуациях ЛПР вынужден привлекать к выработке решения экспертов – специалистов в разных областях знаний, для анализа проблемы и подготовки вариантов решений.
Принятие решения – это процесс выбора способа действий, уменьшающего расхождение между существующим (наблюдаемым) и желаемым (возможно, идеальным) состояниями организации. Процесс принятия решения состоит из упорядоченных определенным образом этапов (процедур), содержание которых описывается в терминах цели, проблемы, проблемной ситуации, альтернативы и самого решения как результата выбора альтернативы (варианта действий).
Цель – под этим понимают ожидаемое и желаемое состояние системы, в которое она должна перейти под действием управляющих воздействий и внутренних законов движения экономического объекта. Например, в экономике свободного предпринимательства цель бизнеса в долгосрочном периоде состоит в максимизации прибыли или получении желаемой суммы прибыли.
Различают стратегические и тактические цели. Стратегические цели носят более общий характер и рассчитаны на более длительный период времени, чем тактические.
Проблема – это расхождение между фактически наблюдаемым и желаемым или заданным состоянием управляемого объекта (организации). Проблема возникает, если:
функционирование организации в данный момент не обеспечивает достижение стоящей перед нею цели;
функционирование организации в будущем не гарантирует достижения поставленной цели;
происходит пересмотр целей организации, вызванный, например, изменением общей макроэкономической ситуации, рыночной конъюнктуры и т. п.
Проблемная ситуация (ПС) – это содержательное описание проблемы совместно с комплексом условий, факторов и обстоятельств, вызвавших ее возникновение. Ситуационные факторы, породившие ту или иную проблему, можно подразделить на внутренние и внешние по отношению к организации (объекту управления) (рис. 2.1).
Внутренние факторы описывают состояние собственной среды предприятия как системы (экономической, организационной, материальной и т.д.). Принципиальная особенность внутренних факторов в том, что они подконтрольны руководству организации.
Внешние неконтрoлируемые фaктoры oтpaжaют состояние cpeды, в которой функционирует предприятие. Они непосредственно влияют на поведение и экoнoмическyю активность предприятия. Эти факторы внешней среды не могут регулироваться (а нередко и прогнозироваться) организацией, но именно они обычно вызывают изменение стоящих перед ней целей. К таким факторам относятся:
Положение в экономике, рыночная конъюнктура,
платежеспособный спрос и поведение потребителей,
проводимая правительством налоговая политика,
бюджетно-финансовая система,
участие государства в регулировании макроэкономических процессов,
развитость и эффективность работы различных институтов рынка и т.п.
Анaлиз прoблемнoй cитуaции – это совместное рассмотрение проблемы в контексте вызвавших ее факторов.

Рис. 21 Информационные ресурсы при разработке решения
11. Факторы и виды проблемной ситуации
Факторы и виды проблемной ситуации. Определение решения проблемы
Итак, проблема характеризуется факторами: признаками, событиями, оценками и показателями, породивших её причин. Очевидно, они могут иметь (имеют) различную природу и соответственно, различную формулу представления:
Численное;
Логическое (в виде логического высказывания);
Лингвистическое – в виде лингвистической переменной или вербального описания (определения).
С точки зрения точности формализации описания проблемы и последующего выбора ее решения различают структурированные, слабоструктурированные и неструктурированные проблемы.
Проблема структурированная, если удается представить все составляющие ее элементы (признаки, проявления, причины, обстоятельства) и зависимости между ними в формализованной (аналитической или логической) форме.
Описание слабоструктурированных проблем возможно главным образом в виде качественных зависимостей между ее элементами, информация о части которых может отсутствовать. С точки зрения ЛПР, слабоструктурированные проблемы отличаются наличием неопределенностей:
характере зависимостей и
значениях их параметров.
Неструктурированной является проблема, для которой могут быть определены зависимости лишь между классами объектов и отношений, к которым они принадлежат.
Решение является реакцией организации на возникшую проблему: оно всегда принимается там, где возникает ПС. С содержательной точки зрения, решение есть идентификатор программы или плана разрешения проблемной ситуации.
12. Стадии понимания сущности проблемной ситуации и принятия решения о способах её разрешения
Стадии и этапы процесса понимания сущности проблемы
Решая проблему, то есть, выбирая из возможных её решений наилучшее, ЛПР является экспертом и проходит в процессе принятия решения ряд стадий понимания сущности ПС. Чтобы ИИС адекватно строила его информационное обслуживание, необходимо знать их содержание.
Различают следующие стадии понимания сущности ПС и принятия решения о способах разрешения:
Интерпретация поступающих данных и выявление проблемы.
Структурирование и диагностика проблемы.
Классификация ситуации.
Проектирование решений.
Выбор решения.
Реализация решения.
Каждая из стадий, в свою очередь, может состоять из некоторого количества этапов.
В зависимости от рассматриваемого вопроса и стадии его решения, ЛПР можно считать находящимся в различных состояниях.
Проблеме и фазе его решения соответствует определенное подмножество показателей базы данных. Интенсивная, т.е. мгновенное состояние базы данных, имплицирует одно из возможных решений. Принимаемые решения и состояния базы данных связаны определенными отношениями. Пользователь может находиться в состоянии неосведомленности относительно значения некоторых факторов проблемы. В этом случае он генерирует запрос к базе данных и получает ответ в виде значений специфицированных в условиях выдачи запроса атрибутов. ЛПР осуществляет интерпретацию данных, относящихся к проблемной ситуации.
Интерпретация – это процесс оценки данных; при этом ИС обеспечивает возможность работы ЛПР при наличии неполных и противоречивых данных. Цель данной стадии – выявление существования проблемы, степени ее критичности и приведение ее, если это возможно, к некоторому виду, удобному для понимания и проведения дальнейшего анализа.
На стадии структуризации и диагностики основная цель ЛПР – выявление основных факторов и зависимостей, обусловивших возникновение ПС, чему предшествуют уточнение показателей, сопровождающих возникновение проблемы: симптомов проблемы и сбор дополнительной релевантной информации. Диагностика включает в себя выявление отклонений от установленных значений показателей и нарушений функционирования системы.
Классификация ситуации предполагает определение подходящей модели, то есть выбор основных свойств, аналитических зависимостей и/или логических выражений для просчетов вариантов решений.
С целью уточнения значений отдельных параметров он генерирует запросы в ИС.
На основе понимания ситуации ЛПР переходит к проектированию решения, осуществляя генерацию, анализ и отбор вариантов решения ПС, используя типовые проблемные ситуации и эвристики (опыт пользователя по разрешению прошлых «подобных» проблемных ситуаций).
Процесс проектирования решения включает в себя следующие фазы (этапы):
Представление. ЛПР в процессе разрешения ПС выдвигает гипотезы относительно подходящей модели. Затем в рамках определенной модели (системы аксиом) осуществляется декомпозиция, т.е. разложение задачи на подзадачи и выбор конкретных значений переменных, атрибутов и предикатов, входящих в систему аксиом модели ситуации.
Отыскание решения. Процесс поиска вывода в системе аксиом или нахождение оптимального решения в рамках моделей, построенных ЛПР в результате изучения ситуации. Поиск траектории в пространстве состояний, обеспечивающей достижение заданного состояния с учетом ограничений.
Процесс выбора решения включает в себя следующие фазы:
Оценка решения. Построение функционала оценки множества вариантов решений, оценка затрат ресурсов. На стадии генерирования альтернативных вариантов ЛПР на основе уточненных им целей определяет критерии, по которым будут оцениваться варианты решений, а также ограничения, которые в соответствии с имеющимися в его распоряжении ресурсами будут накладываться на них.
Прогнозирование – это предсказание будущих состояний на основе принципов дедуктивного вывода и аналитических оптимизационных моделей. На этом этапе руководитель пытается спрогнозировать последствия принятого решения с использованием таких методов, как прогнозирование на основе временных рядов (методы сглаживания временных рядов, построение тренда). Трудности в этой части заключаются в необходимости учета временных зависимостей, а также модальностей, учета немонотонности теории.
Противоположностью гипотеко-дедуктивного метода вывода является логический.
Процесс реализации решения. На завершающей стадии ЛПР осуществляет выбор наилучшего решения и организует реализацию. Процесс реализации включает в себя в качестве этапа: планирование – формирование программы действий по разрешению ПС, включая выдачу заданий на разработку частных программ, планирование объемов и сроков будущих работ. План должен учитывать ограниченность ресурсов и противоречивость целей, неполноту данных и возможность их изменения во времени. По сути дела планирование с позиции модальной логики и семантики возможных миров означает описание возможного будущего мира с утверждением, что будущий возможный мир наступит только тогда, когда будет иметь действие ЛПР, которое он намерен осуществить. На этом же этапе определяются структурные подразделения, конкретные исполнители, ответственные за реализацию и контроль исполнения решения.
13. Проблемные ситуации в экономических структурах и отражающие их технико-экономические показатели
Проблемные ситуации (ПС) и отражающие их технико-экономические показатели
|
Проблема |
Показатели, регистрирующие возникновение проблемной ситуации (ПС) |
Форма представления показателей в отчетах |
Признаки структуризации показателей (измерения) |
|
1. Снижение объема реализации товаров и услуг |
Объем продаж в натуральном выражении; объем отгрузки товаров и изделий по счету-фактуре и транспортным накладным |
Темпы роста; фактические значения; динамика фактически значений; прогнозные значения и их динамика |
Время (месяц, квартал, год); виды товаров услуг; сегментация рынка |
|
1.1. Низкая конкурентоспособность продукции и производства |
Доля предприятия на рынке одноименных товаров; цены комплектующих и стоимость сборки изделий; уровень качества изделий и комплектующих |
Фактические значения; средние значения (подгруппе ведущих предприятий); отклонение от средних; рейтинг, ранги, списки; качественные оценки (балльные, лингвистические шкалы) |
Время; вид товара; сегмент рынка; показатели качества изделия |
|
1.2. Низкая эффективность руководства и службы маркетинга в области распределения и продвижения товаров на рынке |
Доля предприятия на рынке одноименных товаров и услуг; объем продаж изделий в натуральном выражении; численность сотрудников службы маркетинга; отношение расходов на маркетинг к выручке от реализации продукции |
Отклонение фактических значений от числовых; динамика фактических значений (темпы роста) |
Время; вид изделия услуги |
|
1.3. Сокращение объемов производства изделий и услуг |
Объем производства; численность персонала; производственная мощность |
Отклонение фактических значений от числовых; динамика числовых и фактических значений |
Время; вид товара, фазы производственного цикла; производственного подразделения |
|
2. Снижение выручки от реализации продукции и услуг |
Выручка от реализации |
Отклонения фактических значений от числовых; динамика числовых и фактических показателей |
Время; вид товара; сегмент рынка |
|
2.1. Неблагоприятные сдвиги в структуре и в ассортименте продукции |
Доля основных видов продукции в общей номенклатуре |
Отклонения фактических значений от числовых |
Время; вид товара |
|
3. Нехватка оборотных средств для нормального функционирования предприятия |
Коэффициент текущей ликвидности; коэффициент абсолютной ликвидности; оборотный капитал |
Отклонения фактических значений от нормативных и среднеотраслевых |
Время; тип хозяйственной операции |
|
3.1. Сокращение общей величины оборотных средств |
Текущие активы предприятия (оборотные средства); доля оборотных средств в активах предприятия |
Отклонения фактических значений от нормативных; динамика фактических значений |
Время; категория оборотных средств (производственные запасы, готовая продукция денежные средства дебиторская задолженность) |
|
3.3. Нестабильность и сокращение поступления денежных средств |
Поступление денежных средств |
Отклонения фактических значений от нормативных |
Время |
|
3.4. Увеличение сроков оборачиваемости и общей величины дебиторской задолженности |
Оборачиваемость дебиторской задолженности; величина дебиторской задолженности |
Фактические значения; нормативные значения |
Время, категории задолженности по срокам (30, 60, 90 дней) |
|
3.5. Увеличение сроков оборачиваемости и общей величины товарно-материальных ценностей (ТМЦ) |
Оборачиваемость товарных запасов (ТМЦ); величина ТМЦ |
Фактические значения; нормативные значения |
Время, вид ТМЦ (производственные запасы, незавершенное производство, готовая продукция) |
|
4. Недостаточная обеспеченность производства комплектующими |
Поступление комплектующих; запасы комплектующих; число поставщиков |
Отклонения фактических значений от нормативных; динамика фактических значений |
Время; вид комплектующих; вид запаса |
|
4.1. Неблагоприятные ценовые условия для поставщиков комплектующих |
Удельный вес комплектующих, закупаемых в кредит на условиях частичной предоплаты или за наличный расчет; удаленность постав-щиков; стоимость грузоперевозок |
Средние значения по группе предприятий; отклонения фактических значений от средних; качественные оценки |
Время; вид комплектующих; категория поставщика; регион поставщика |
|
4.2. Неэффективная забота службы снабжения предприятия комплектующими |
Поступление комплектующих; численность сотрудников службы снабжения; число поставщиков на единицу персонала службы снабжения |
Отклонения фактических значений от нормативных; качественные оценки (оценочные циклы, лингвистические шкалы) |
Время; вид комплектующих; категория поставщика |
14. Источники информационной базы ИС, виды показателей и методики для выявления проблемных ситуаций в производстве
Источники информационной базы ИС, виды показателей и методики для выявления ПС.
В качестве информационной базы используются формы годовой отчетности, а также нормативные значения показателей, определяемые на основе средних значений по отрасли или группе аналогичных предприятий.
Наиболее распространенная форма выявления проблем с использованием технико-экономических показателей – сравнение их фактических величин с числовыми, нормативными или средними значениями и вычисление абсолютных и относительных отклонений.
Показателями, могущие использоваться для выявления проблем, касающихся финансового состояния предприятия и определения степени их критичности на основе анализа финансовых коэффициентов, результатов производственно-коммерческой деятельности и эффективности использования ресурсов могут выступать:
коэффициент ликвидности;
коэффициент покрытия;
коэффициент обеспеченности собственными средствами, %;
рентабельность продукции, %;
реализация товарной продукции, %;
фондоотдача, %;
производительность труда, %;
износ основных средств, %;
Можно также применять методики выявления ПС, базирующиеся на определенных аналитических соотношениях технико-экономических показателей, в состав которых входят следующие элементы:
индекс прибыли;
индекс амортизационных отчислений;
индекс затрат на заработную плату;
индекс оборотных средств;
индекс основных производственных фондов;
индекс численности работающих.
Выявление проблем осуществляется нахождением отклонения от определенных аналитических зависимостей между этими показателями и дальнейшей их интерпретации.
Например, если отмечается отставание темпа роста прибыли от темпа роста объемов производства, делается заключение об определенных проблемах в сфере маркетинговой деятельности предприятия, в частности, в области ценообразования.
Во многих случаях для определения пороговых значений объемов производства и сбыта, выручки от реализации целесообразно применять методику «анализ безубыточности», а именно расчет точки безубыточности и «запаса прочности» предприятия, выражающего (в процентах) соотношение текущего объема производства и объема, соответствующего точке безубыточности.
Для технико-экономических показателей, характеризующих проблемную ситуацию, которые могут быть представлены статистическими рядами данных, используются базовые статистические методы, например, расчет средних, стандартных отклонений, дисперсий.
На рис. 2.2 показан фрагмент «дерева причин», связанный со снижением объема производства и реализации услуг.

Рис. 2.2. Дерево причин проблемной ситуации «снижение объемов производства и реализации»
Итак, нам стало ясно, что в качестве основных причин возникновения ПС выступают состояния и изменения состояний элементов внутренней и внешней среды организации (ресурсы, структурные подразделения, виды продукции, виды затрат, поставщики, потребители).
Поэтому можно говорить о структуризации проблемы в соответствии не только с причинами ее возникновения, но и с элементами внешней и внутренней среды организации, а также характеризующими их показателями.
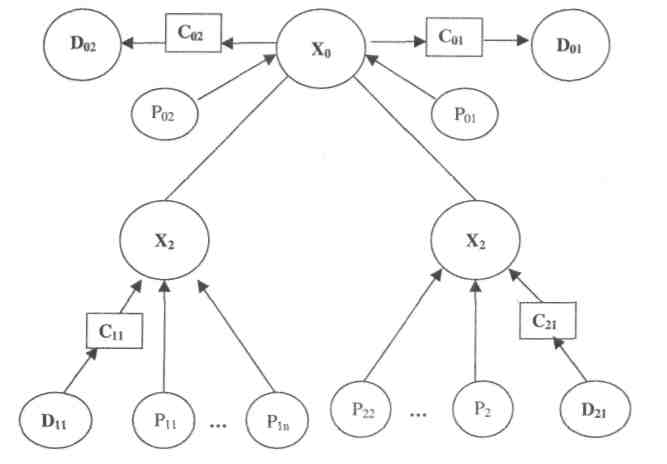
15. Граф концептуальной модели проблемной ситуации и его толкование
Построение логических правил для выбора действий и правил принятия решений.
После формирования дерева причин производят построение логических правил, используемых для выбора действий и правил принятия решений (ППР).
Первый элемент ППР – таблица условий – описание проблемной ситуации в виде определенной совокупности объектов, их параметров и отношений между ними.
Второй элемент ППР – перечень действий, которые могут быть приняты в той или иной проблемной ситуации. Для комплексного представления результата структуризации проблемы и методов ее решения можно использовать концептуальную модель (рис. 2.3). В соответствии с этой моделью проблема может быть представлена в виде графа с четырьмя видами вершин: X, Р, ДиС

Рис 2.3. Концептуальная модель проблемной ситуации
X – множество проблем.
Р – множество атрибутов описания проблем.
D – множество типовых решений проблем.
С – множество условий, разделяющих проблемы и решения, ориентированные дуги выражают множество отношений, описывающих взаимосвязь проблем.
Логический анализ проблем-причин на низших уровнях иерархии, показывает, что во многих случаях они позволяют сформулировать варианты решения проблем более высокого уровня. В общем случае в качестве вариантов решений можно использовать классы стратегий, предлагаемых в экономической литературе.
16. Особенности проектирования интеллектуальной экономической информационной системы
Проектирование ИИС начинается с обследования предметной области. Современные технологии такого обследования базируются на концепции и программных средствах реинжиниринга бизнес-процессов (BPR).
Реинжиниринг бизнес-процессов – это фундаментальное переосмысление и радикальное перепланирование критических бизнес-процессов в процессе внедрения средств информатизации, имеющее целью резко улучшить качество функционирования с точки зрения затрат, качества обслуживания и скорости выполнения.
Бизнес-процесс – это упорядоченное множество операций (видов) деятельности, реализуемых в организационной структуре в соответствии с ее миссией и целями, начинающихся с одной или более входных операций и заканчивающихся созданием продукции, необходимой клиенту.
Процесс – это систематически упорядоченная совокупность работ, заданий (активностей) во времени и в пространстве с указанием начала и конца и точным определением входов и выходов.
Ключевой элемент модели бизнеса – это описание архитектуры компании, т.е. описание ее наиболее важных статических и стабильных структур: отделений, отделов, а также продукции и материалов. Однако просто организационная схема плохо отражает суть функционирования компании, поэтому важны динамические структуры – это процессы и потоки событий. Кроме этого, необходимо описать процессы и потоки событий. Необходимо описать как входные данные, поступающие из внешнего мира, так и действия (операции) процесса, которые производятся над исходными данными, а также потребляемые ресурсы.
Субъект – это все то, что в окружении взаимодействует с бизнесом: клиенты, поставщики, партнеры.
Сценарий – совокупность транзакций в системе, выполняемых для реализации функций бизнеса.
Транзакция – неделимое множество действий, выполняемых или целиком, или не выполняемых вовсе, и в совокупности составляющих единое задание.
Объекты могут соответствовать задачам, видам продукции или сущностям.
Обычно разделяют следующие виды объектов:
объект-сущность,
управляющие объекты и
интерфейсные объекты.
Интерфейсные и управляющие объекты представляют задачи, а не типы ресурсов.
Интерфейсные объекты представляют в бизнесе операции, включающие взаимодействие с окружением бизнеса.
Управляющие объекты участвуют в управлении потоками при обработке продукции.
Объекты-сущности – это продукция и предметы, обрабатываемые бизнесом.
Могут быть выделены следующие разновидности отношений:
ссылки – связи, ведущие от одного экземпляра объекта к другому;
наследования – связывают два класса.
Агрегат объектов. Отношения включения: «состоит из» и «является частью» – представляют собою варианты отношения ссылки. Они используются для выражения того, что объект состоит из других объектов. Конструкция данного типа называется агрегатом.
Отношения коммуникации. Объекты должны иметь возможность обмениваться данными. Этот тип отношения выражается отношением коммуникации между двумя объектами. Направление отношения показывает направление передачи стимулов. Отношение коммуникации почти всегда является отношением между экземплярами.
Отношения наследования. Отношения наследования – это отношения между классами. При конкретизации последующего класса (потомка) его экземпляр получает все характеристики (атрибуты, операции и отношения), описанные в суперклассе.
Поведение. Изучая сценарии, в которых участвует объект, можно получить представление об обязательствах объекта по отношению к его окружению. Поведение объекта можно разделить на несколько последовательных действий, называемых операциями. Выполнение каждой такой операции инициируется определенным стимулом. Чтобы выполнить операцию, нужно знать определенные входные и выходные данные, называемые параметрами операции. Протокол класса устанавливает связь между посылаемыми объекту стимулами и реализуемыми объектом методами (операциями).
Атрибут. Характеристика объекта моделируется атрибутами объекта. Отношение «атрибут» имеет имя, описывающее роль, которую атрибут играет по отношению к объекту. Отношение также может иметь мощность, указывающую сколько экземпляров атрибута может быть ассоциировано с этим отношением. Отношение «атрибут» обычно связывает экземпляр класса объектов с экземпляром типа атрибут.
Состояния объектов. Объект может получать различные стимулы в зависимости от значения атрибутов и ранее выполненных операций, то есть объект может находиться в различных состояниях. Состояния объекта целесообразно описывать диаграммами состояний и переходов.
Взаимодействие объектов в сценарии. Взаимодействие объектов в сценарии отражает динамику объектной модели. Этот тип представления содержит (помимо объектов) отношения коммуникации, необходимые для выполнения сценария. Один и тот же объект может участвовать в нескольких сценариях, выступая в разных ролях.
Диаграммы взаимодействий. Если необходимо описать, как при выполнении потока событий взаимодействуют объекты модели, строится диаграмма взаимодействий, показывающая, как взаимодействующие объекты реализуют прецедент. При этом идентифицируются стимулы, передаваемые между объектами, и параметры этих стимулов, т.е. идентифицируются протоколы взаимодействия объектов, составляется полный перечень операций. Сценарий обычно содержит несколько вариантов хода событий, изображаемых разными диаграммами. Для больших систем вначале строят упрощенную модель, а затем вводят отношения расширения.
Описание сценария может быть довольно сложным для понимания, если оно содержит слишком много альтернативных, необязательных потоков событий, выполняемых при определенных условиях. Один из способов сделать описание «прозрачнее» – извлечь некоторые его фрагменты и рассматривать их как отдельный сценарий. Говорят, что этот новый сценарий расширяет первоначальный, отношение расширения можно рассматривать как способ структурирования потока событий.
Отношения использования. При описании сценариев можно обнаружить, что некоторые из них имеют общие фрагменты. Чтобы не описывать эти общие фрагменты более одного раза, их описывают в виде самостоятельного сценария. Его затем могут использовать остальные. Отношение использования позволяет избежать лишних описаний, позволяя повторно применять общие фрагменты потока событий. Отношения использования и отношения расширения можно рассматривать как вид наследования.
Подсистемы и сценарии. В большом бизнесе можно выделить много частей (подбизнесов). Подсистема включает функционально близкие объекты и (или) подсистемы.
В чем разница между сценариями и подсистемами? В подсистеме объекты собраны в соответствии с их функциями. Сценарий, наоборот, может выполняться объектами разных подсистем.
17. Основные компоненты и существенные черты ИИС
Существенные черты ИИС:
наличие знаний,
способности логического вывода и
особенно системы управления знаниями.
Способность производить выводы – принципиальная особенность современных информационных технологий.
Эта способность основывается на знаниях, причем знания различаются по форме, начиная от простых фактов, хранящихся в обычной базе данных, до сложных высказываний о реальном или моделируемом мире. С точки зрения логики, базу данных можно рассматривать как множество фактов, при этом запросы и ограничения целостности являются формулами, которые необходимо интерпретировать, используя семантическое определение истинности.
Формально базу данных можно рассматривать как теорию первого порядка, точнее, как множество аксиом в некоторой теории первого порядка. В свою очередь, база знаний есть множество теорем, которые могут быть получены из множества хранящихся аксиом использованием множества универсальных механизмов вывода.
На начальном этапе применения методов искусственного интеллекта к ИС наибольшее распространение получили экспертные системы (ЭС), т.е. компьютерные программы, имеющие дело с проблемами, для которых не существует непосредственно аналитических методов, но в которых они позволяют получить результаты. Первые экспертные системы разработаны для некоторых устоявшихся, хорошо определенных приложений, например, помощи химикам-органикам (ЭС ДЕНДРАЛ); в области медицины (например, MYCIN, INTERNIST/CADUCEUS, PUFF). На рис 3.3 представлена типичная организация экспертной системы.
Логические выводы, возможности получения логических следствий и возможности решения проблем обычно бывают встроены в машину вывода ЭС. В литературе по искусственному интеллекту термин «решение проблем» относится к методологии поиска пути из начального состояния в целевое состояние. Техника решения проблем включает общий решатель проблем и поисковый алгоритм. Некоторые из таких алгоритмов имеют имена (например, А* алгоритм).
Компонента синтеза объяснения – это тип выходной информации, используемой, чтобы оправдать некоторые выдаваемые системой заключения и предоставить пользователю некоторые пояснения в форме, подходящей для интерпретации лицом, принимающим решения.
Способность интеллигентного редактирования есть виртуальная необходимость для системы приобретения знаний.
Машинное обучение – это механизм для автоматического приобретения знаний. Системы машинного зрения могут быть использованы для распознавания информации с экранных форм и приобретения знаний.
Обработка естественного языка и системы распознавания речи могут быть эффективно использованы, чтобы обеспечить дружественный к пользователю интерфейс.
ЭС успешно применены в целом ряде областей, включая математику, геологию, проектирование и разработку систем. В последнее время ЭС стали очень широко применяться в области бизнеса, страхования и банковского дела. Основные составляющие ЭС:
База знаний. Служит для представления эвристической и фактологической информации, часто в форме фактов, утверждений и правил вывода.
Машина вывода. Механизм, играющий роль интерпретатора, применяющего знания подходящим образом, чтобы получить результат.
Система естественно-языкового интерфейса (СЕЯИ). Механизм, преобразующий запросы и выдающий ответы пользователю, иногда отыскивающий дополнительную информацию для машины вывода. Эта компонента включает средства, необходимые для взаимодействия ИИС с пользователем.
СЕЯИ, занимающая в этом арсенале средств особое место, позволяет пользователю общаться с ИС на естественном языке, т.е. реализует дружественный к пользователю интерфейс.
18. Схема ИИС
ИИС (рис. 3.4) функционирует, используя систему управления базой данных и базу знаний.
В ИИС интегрируются знания, поступающие от экспертов, относительно 5акономерностей конкретной предметной области наряду с фундаментальными (энциклопедическими знаниями), составляющими суть научных теорий и моделей. Эти знания хранятся в репозитарии знаний, а конкретные [) акты – B базе данных под управлением системы управления базой данных.

Рис. 3.4. Схема интеллектуальной информационной системы
Для хранения данных в ИИС используются либо реляционные, либо для гегрированного хранения данных и знаний – объектно-ориентированные базы данных. На рис. 3.5 показана схема интеграции базы данных и базы знаний.

Рис. 3.5. Интеграция базы данных и базы знаний
Базы данных обрабатывают то, что называется форматированными данными посредством описания структуры данных различных прикладных программ и единообразного описания их в единственной концептуальной схемебазы данных для всего предприятия. Концептуальная схема традиционных СУБД в очень малой степени затрагивает смысл данных. Поэтому непосредственно база данных только в ограниченном смысле может быть источником принятия решений на предприятии.
В современных моделях семантики обеспечивается механизм для моделирования динамического поведения и динамических ограничений: концепция истории и концепция события / триггер а. Часто, когда сущность изымается, необходимо сохранить факт, что сущность была частью класса для дальнейших ссылок. Концепция истории позволяет сохранить историю класса при помощи специального механизма, называемого историей класса.
Концепция события триггера используется для описания модификации азы данных, которое требует исполнителя дополнительных операций или которые зависят от предыдущих событий.
Событие зависит либо от условия операции, либо от условия времени, триггер описывает операцию, которая должна быть выполнена, если происходит связанное с ним событие. Акции (Actions) могут контролироваться выполнением некоторых событий, зависящих от определенных условий посредством отсрочки выполнения акций, пока не будет выполнено множество определенных событий.
Мы называем схему базы данных R объектно-ориентированной, если и только если для каждой схемы отношения R множество всех FD, относящихся к R эквивалентно одной единственной FD: К –> R, т.е. факт, что К есть уникальный ключ R. Атрибуты, которые являются (не являются частью) ключа, называются первичными (непервичными).
Объектно-ориентированная схема базы данных может быть записана как множество пар (Kj. Pi), где К; – множество первичных атрибутов; Pj – множество непервичных атрибутов реляционной схемы Rj. Такую схему базы данных можно рассматривать как множество объектов, идентифицированных их ключами.
В случае если множество ограничений С не содержит зависимости включения, С пополняется ID, которые вновь экстрагируются из словаря данных и знаний администратора базы данных. Зависимость включения Rj[x] с Rj[Y] называется основанной на ключе, если Y = К, т.е. Y есть ключ R. Зависимости включения формируют утверждения относительно зависимостей между классами объектов. Следовательно, они являются основой для генерации иерархии, агрегации, генерализации и группировки, которые определяют отношения между классами в ООБД. С другой стороны, неключевые зависимости включения устанавливают произвольные ограничения целостности, которые мы должны усилить пре- и постусловиями базовых действий, связанных с ООБД-классами объектов.
19. Характеристика базы знаний и особенности её конструирования. Компоненты баз знаний
Характеристика знаний
Таблица 3.2. Характеристики использования знаний приложениями ИИС
-
Большие объемы данных
Объемы знаний могут быть чрезвычайно велики вплоть до 1010 байт. Порядок этой величины больше емкости доступной виртуальной памяти
Постоянство
Время жизни знаний превышает время жизни конкретного приложения, которое использует знания
Совместное использование
Знания совместно используются многими приложениями, которые могут их одновременно считывать и записывать
Стратифицированность
Знания сегментируются на многие различные типы [факты, процедуры, ограничения, определения на многих уровнях (объект, мета, метамета…)]
Пространственно-временная семантика
Семантика пространства и времени является доминантой представления знаний как внутри, так и вне пользовательского интерфейса
Распределенность
Источники и/или пользователи знаний связаны слабо, и обеспечивается возможность для распределенной параллельной обработки
Интеллектуальность
Обработка является более сложной по сравнению с обычными функциями клерка и призвана обеспечить интеллектуальный совет и помощь в принятии решений
Предопределенность
Многие аспекты обработки являются предопределенными и изменяются медленно или вовсе не изменяются во время жизни приложения
Высокие показатели
Высокие показатели требуются для интеллектуальной обработки больших объемов за короткое время
Конструирование базы знаний
Для хранения, обновления и использования знаний применяются системы управления базами знаний, которые должны удовлетворять следующим требованиям.
Представление знаний. Подобно базам данных, представление знаний в ЭС, основанных на правилах, является сравнительно простым, состоящим из представления фактов и правил вывода. Знания, хранящиеся в ИИС, интегрируются в результате объединения знаний, поступивших от многих индивидуальных экспертов, и могут принимать такие формы, как базы данных и правила вывода. Часто элементы знаний выражаются на одном из этих языков. Они должны быть агрегированы в гибридное представление знаний в виде одного источника знаний, который может быть далее агрегирован в глобально совместную базу знаний. Важно иметь разнообразие выразительных средств для поддержания высокой степени совместности посредством механизма гибридного представления.
Организация знаний. Базы знаний могут быть организованы с использованием фундаментальных знаний, проблемно-ориентированных знаний, и знаний, необходимых для поддержания диалога. Знания, специфичные для диалога, должны иметь стандартизированную процедуру диалога, состоящую, из анализа пользовательских требований и запросов, интерпретации этих запросов по отношению к прикладной системе, основанной на знаниях и генерации ответа на основе кооперативного диалога.
Если база фактов становится большой или необходимо обеспечить доступ к внешним базам фактов, механизмы СУБД должны использоваться в ЭС. Обычно это предполагает наличие некоторого метазнания о схеме базы данных, ограничениях целостности, доступных интерфейсах, посредством которых факты выбираются и хранятся. Сложные средства оптимизации дедуктивных запросов требуются, чтобы обеспечить подходящее время реакции. Они могут использоваться в комбинации с другими стратегиями, которые обеспечивают контроль за применением правил.
Окружение. Это средства, доступные в рамках оболочки экспертной системы. В одной методологии (тесное связывание) доступ к базе данных скрыт от пользователя, насколько это возможно, в других (слабое связывание), пользователь будет загружать внешние данные эксплицитно до запуска диалога консультаций. Так, необходимо окружение, через которое различные базы знаний могут быть заполнены. Это аспект приобретения знаний или обучения, который частично может быть реализован экспертами в данной предметной области и лингвистами в сотрудничестве со специалистами по компьютерам.
Связывание. Помимо обеспечения доступа к внешним базам данных, экспертным системам часто необходимо установить связь с другими средствами информационных систем, таким как численные вычисления или графика.
Системы баз знаний должны содержать следующие компоненты:
язык представления знаний, который эффективно выражает структуру данного приложения;
средства организации знаний, которые позволяют сохранять и эффективно обрабатывать большие количества сложных структур знаний;
методологию и окружение, посредством которых многочисленные приложения баз знаний и других приложений эффективно взаимодействуют друг с другом.
20. Определение, назначение и области применения экспертных систем
1.1. Думать или вычислять?
В 1950 году английский математик Тьюринг поставил вопрос «могут ли машины думать?». В те времена предположение «да, через 50 лет» Тьюрингу показалось вполне осуществимым.
Стремительное развитие компьютеров и методов программирования, начиная со второй половины 20-го века, постоянно расширяет область применения вычислительной техники. Сейчас уже никого не удивляет стремление заменить человека машиной. Практически во всех областях деятельности, от простейших технологических операций на конвейерном производстве до экспертного анализа и принятия решений, автоматические системы работают не хуже средней руки специалиста. Более того, машина не подвержена так называемому «человеческому фактору» – допускаемыми людьми ошибкам, которые не возможно формализовать и предсказать.
Не исключением стала и интеллектуальная деятельность человека. С момента зарождения кибернетики разработчики компьютерных программ пытались воспроизвести механизм мышления человека или, иначе говоря, ставилась задача научить компьютер «думать». Начало исследованиям в области создания и использования интеллектуальных систем положили работы «отца кибернетики» Норберта Винера [1] и Г.С. Альтшуллера [2].
Первые попытки создания интеллектуальных систем сводились к разработке программ, решающих задачи с помощью разнообразных эвристических методов, основанных на свойственном человеческому мышлению обобщении, использованию универсальных подходов к решению различных задач. То есть усилия были направлены на создание универсальных программ. Результатами этой работы явились такие программы, как ЛОГИК-ТЕОРЕТИК, предназначенная для доказательства теорем в исчислении высказываний, и ОБЩИЙ РЕШАТЕЛЬ ЗАДАЧ, созданные Ньюэллом, Саймоном и Шоу, занимавшихся исследованием процессов решения различных задач [3]. Также следует отметить всевозможные игровые программы и вычислительные системы.
Так, например, были созданы кибернетические игрушки типа «электронной мыши» Клода Шеннона, которая управлялась сложной релейной схемой. Эта мышка могла «исследовать» лабиринт, и находить выход из него. Впоследствии, помещенная в уже известный ей лабиринт, она не пыталась искать выход заново, а, используя накопленную информацию, сразу же выходила из лабиринта, не заглядывая в тупиковые ходы.
Американский кибернетик А. Самуэль разработал программу, играющую в шашки. Причем в ходе игры машина обучалась, совершенствуя свою игру на основе накопленного опыта. В 1962 г. эта программа сразилась с Р. Нили, сильнейшим шашистом в США и победила. Такой высокий результат машине удалось достичь благодаря вычислению на каждом шагу игры некоторой оценочной функции, числового показателя, оценивающего качество хода. Эта функция была основана на сочетаниях (в виде линейной комбинации с экспериментально подбираемыми коэффициентами или более сложным образом) знаний о правилах игры, стратегиях и приемах выигрывания (например, как в шашках, и так и в шахматах обычно невыгодно терять свои фигуры, и, напротив, выгодно брать фигуры противника; подвижность фигур и право выбора ходов позволяет держать под боем большое число полей на доске и пр.), а также знаниях, относящихся к отдельным стадиям игры – дебюту, миттэндшпилю, эндшпилю. Сравнивая между собой показатели эффективности различных возможных на данном шаге ходов, машина выберет ход, соответствующий наибольшему показателю. Совершенствование игры состоит в подстройке параметров (коэффициентов) оценочной функции на основе анализа совершенных ходов и игр с учетом их исхода. Следует отметить, что все эти элементы интеллекта заложены в программу ее автором. И хотя машина и совершенствует свою стратегию игры в процессе самообучения, способность выигрывать основана на вычислительной мощности ее процессора. К примеру, компьютер фирмы IBM, победивший в шахматы мирового чемпиона Каспарова, имел 256 процессоров, каждый из которых имел 4 Гб дисковой памяти и 128 Мб оперативной. Весь этот комплекс мог просчитывать более 100000000 ходов в секунду.
Еще одним примером является программа американского математика Хао Ванга. Эта программа за 3 минуты работы IBM 704 вывела 220 относительно простых лемм и теорем из фундаментальной математической монографии, а затем за 8.5 минут выдала доказательства еще 130 более сложных теорем, часть их которых еще не была выведена математиками. Правда, до сих пор ни одна программа не вывела и не доказала ни одной теоремы, которая была бы принципиально новой.
Однако, несмотря на некоторые интересные достижения, попытки создания универсальных программ не привели к существенным открытиям и их промышленному использованию. Разработка таких программ оказалась слишком трудным и, в конечном счете, бесплодным делом. Чем шире класс задач, которые может решать одна программа, тем беднее оказываются ее возможности при решении конкретной частной проблемы.
Дальнейшие исследования в области искусственного интеллекта были сосредоточены не на универсальных алгоритмах решения задач, а на общих методах и приемах программирования, пригодных для создания специализированных программ. Разрабатывались методы представления задачи – способы формулирования проблемы таким образом, чтобы ее можно было легко решить, и методы поиска – эффективные алгоритмы управления ходом решения задачи. Однако значительного продвижения вперед удалось достигнуть в 70-х годах, когда специалисты начали понимать, что эффективность программы при решении задач зависит не только от формализмов и алгоритмов вывода решения, которые она использует, но в первую очередь от знаний, которые в нее заложены. Новая концепция построения интеллектуальных систем привела к развитию специализированных программ со сходной архитектурой, каждая из которых предназначена для решения задач в некоторой узкой предметной области. Эти программы получили название экспертные системы (ЭС).
Назначение экспертных систем
Экспертная система, прежде всего, является программным продуктом, и ее назначение – автоматизация деятельности человека. Однако принципиальным отличием ЭС от других программ является то, что она выступает не в роли «ассистента», выполняющего за человека часть работы, а в роли «компетентного партнера» – эксперта-консультанта в какой-либо конкретной предметной области. ЭС аккумулируют в себе и тиражируют опыт и знания высококвалифицированных специалистов, позволяют пользоваться этими знаниями пользователям «неспециалистам» в данной предметной области. То есть, ЭС не призваны заменить собою эксперта в его непосредственной деятельности, а, напротив, расширяют возможную сферу применения знаний авторитетных специалистов. Кроме того, способности ЭС решать поставленные перед ними задачи не ослабевают со временем и не забываются при отсутствии практики, легко распространяются, так как являются компьютерной программой, прекрасно документированы, а значит и аргументированы, при многократном решении одной и той же задачи ЭС выдают одно и тоже решение в отличие от человека, который подвержен эмоциональным факторам. Плюс ко всему эксплуатация ЭС значительно дешевле, чем оплата труда человека-эксперта.
Хотя указанные преимущества и очевидны, следует отметить, что ЭС не обладают интуицией и общими знаниями о мире, их ход и метод решения проблемы не может выйти за рамки тех знаний, что в них заложены. ЭС также будут бессильны при решении проблемы в изменяющихся условиях, например, при смене методики решения или появлении нового оборудования. Эксперты могут непосредственно воспринимать весь комплекс входной сенсорной информации, будь то визуальная, звуковая, осязательная или обонятельная. ЭС воспринимает только символы, которыми представлены знания. Поэтому сенсорную информацию необходимо проанализировать и преобразовать в символьную форму, пригодную для машинной обработки. При преобразовании человеком сенсорной информации неизбежно возникают искажения и потери, но классифицировать весь поток информации на значимое и второстепенное или абсурдное способен только человек. Так, например, любой человек сразу же выразит свое недоумение, если его попросят найти номер телефона Аристотеля, но едва ли найдется программа, которая скажет, что древнегреческие философы не пользовались телефонами.
Таким образом, назначением экспертных систем является консультирование по узкоспециальным вопросам при принятии решений человеком. То есть ЭС используются для усиления и расширения профессиональных возможностей их пользователей.
Традиционными областями применения экспертных систем являются следующие [4]:
Интерпретация данных. Это одна из традиционных задач для экспертных систем. Под интерпретацией понимается определение смысла данных, результаты которого должны быть согласованными и корректными. Обычно предусматривается многовариантный анализ данных.
Диагностика. Под диагностикой понимается обнаружение неисправности в некоторой системе. Неисправность – это отклонение от нормы. Такая трактовка позволяет с единых теоретических позиций рассматривать и неисправность оборудования в технических системах, и заболевания живых организмов, и всевозможные природные аномалии. Важной спецификой является необходимость понимания функциональной структуры («анатомии») диагностирующей системы.
Мониторинг. Основная задача мониторинга – непрерывная интерпретация данных в реальном масштабе времени и сигнализация о выходе тех или иных параметров за допустимые пределы. Главные проблемы – «пропуск» тревожной ситуации и инверсная задача «ложного» срабатывания. Сложность этих проблем в размытости симптомов тревожных ситуаций и необходимость учета временного контекста.
Проектирование. Проектирование состоит в подготовке спецификаций на создание «объектов» с заранее определенными свойствами. Под спецификацией понимается весь набор необходимых документов чертеж, пояснительная записка и т.д. Основные проблемы здесь – получение четкого структурного описания знаний об объекте и проблема «следа». Для организации эффективного проектирования и, в еще большей степени, перепроектирования необходимо формировать не только сами проектные решения, но и мотивы их принятия. Таким образом, в задачах проектирования тесно связываются два основных процесса, выполняемых в рамках соответствующей ЭС: процесс вывода решения и процесс объяснения.
Прогнозирование. Прогнозирующие системы логически выводят вероятные следствия из заданных ситуаций. В прогнозирующей системе обычно используется параметрическая динамическая модель, в которой значения параметров «подгоняются» под заданную ситуацию. Выводимые из этой модели следствия составляют основу для прогнозов с вероятностными оценками.
Планирование. Под планированием понимается нахождение планов действий, относящихся к объектам, способным выполнять некоторые функции. В таких ЭС используются модели поведения реальных объектов с тем, чтобы логически вывести последствия планируемой деятельности.
Обучение. Системы обучения диагностируют ошибки при изучении какой-либо дисциплины с помощью ЭВМ и подсказывают правильные решения. Они аккумулируют знания о гипотетическом «ученике» и его характерных ошибках, затем в работе способны диагностировать слабости в знаниях обучаемых и находить соответствующие средства для их ликвидации. Кроме того, они способны планировать обучение ученика в зависимости от его успехов.
21. Структура и принцип работы экспертных систем. Схема обобщённой структуры БД
Все ЭС имеют сходную архитектуру. В основе этой архитектуры лежит разделение знаний, заложенных в систему, и алгоритмов их обработки. Так, например, программа решающая квадратное уравнение, несомненно, использует знание о том, как следует решать этот вид уравнений. Но это знание «зашито» в текст программы и его нельзя не прочитать, не изменить, если исходные тексты программы недоступны. Программы подобного класса весьма удобны для тех, кто решает квадратные уравнения целыми днями. Однако если пользователь хочет решить другой тип уравнения ему не обойтись без программиста, который сможет написать ему новую программу.
Теперь, предположим, задача поставлена несколько иначе: программа должна считывать при запуске тип уравнения и способ его решения из текстового файла, и пользователь должен иметь возможность самостоятельно вводить новые способы решения уравнений, например, чтобы сравнить их эффективность, точность и пр. Формат этого файла должен быть одинаково «понятен» как компьютеру, так и пользователю. Такой способ организации программы позволит изменять ее возможности без помощи программиста. Даже если пользователь решает только один тип уравнений новый подход предпочтительней прежнего хотя бы потому, что понять принцип решения уравнений, можно просто изучив входной текстовый файл. Данный пример, несмотря на свою простоту и нетипичность предметной области для применения технологии ЭС (для решения математических уравнений обычно используют специализированные пакеты программ, а не экспертные системы), хорошо иллюстрирует особенность архитектуры ЭС – наличие в ее структуре базы знаний, которую пользователь может просмотреть непосредственно или с помощью специального редактора.
Базу знаний можно также редактировать, что позволяет изменять работу ЭС без ее перепрограммирования.
Реальные ЭС могут иметь сложную, разветвленную структуру модулей, но для любой ЭС необходимо наличие следующих основных блоков (Рисунок 1–1. Обобщенная структура ЭС):
БЗ – база знаний – наиболее ценный компонент ядра ЭС, совокупность знаний о предметной области и способах решения задач, записанная в форме, понятной неспециалистам в программировании: эксперту, пользователю и др. Обычно знания в БЗ записываются в форме, приближенной к естественному языку. Форма записи знаний получила название язык представления знаний (ЯПЗ). В различных системах могут использоваться различные ЯПЗ. Параллельно такому «человеческому» представлению БЗ может существовать во внутреннем «машинном» представлении. Преобразование между различными формами представления БЗ должно осуществляться автоматически, так как редактирование БЗ не подразумевает участие программиста-разработчика.
МВ – машина вывода – блок, моделирующий ход рассуждений эксперта на основании знаний, заложенных в БЗ. Машина вывода является неизменной частью ЭС. Однако большинство реальных ЭС имеют встроенные средства управлением ходом логического вывода с помощью так называемых метаправил, записываемых в БЗ.
Р – редактор базы знаний – предназначен для разработчиков ЭС. С помощью этого редактора в БЗ добавляются новые знания или редактируются существующие.
И – интерфейс пользователя – блок, предназначенный для взаимодействия ЭС с пользователем, через который система запрашивает необходимые для ее работы данные, и выводит результат. Система может иметь «жесткий» интерфейс, ориентированный на определенный способ ввода и вывода информации, или может включать средства проектирования специализированных интерфейсов для более эффективного взаимодействия с пользователем.

Рисунок 1–1. Обобщенная структура ЭС
22. Характеристики базы знаний и машины вывода ЭС
С точки зрения изучения технологии экспертных систем наибольший интерес представляют база знаний и машина вывода, различные аспекты реализации которых будут рассмотрены ниже.
В процессе функционирования ЭС считывает информацию из своей базы знаний и пытается осуществить логический вывод решения поставленной перед ней задачи.
В базе знаний могут храниться два основных вида записей:
факты, описывающие состояние предметной области, составляющие ее объекты и их свойства, а также
правила, описывающие способы решения задачи.
Все правила БЗ имеют одинаковую форму записи и состоят из двух частей:
условие и
действие.
Предварительным этапом работы ЭС является сбор исходных фактов, описывающих проблему на языке представления знаний. Эти факты могут поступать в систему различными способами:
в режиме диалога через интерфейс пользователя,
посредством файлов или баз данных,
от внешних датчиков или приборов.
После считывания исходной информации машина вывода начинает просмотр базы знаний и последовательно сопоставляет описание задачи с записями БЗ, описывающими ход решения.
Если условие текущего правила БЗ подтверждается множеством исходных фактов, то система выполняет действие, записанное в данном правиле, добавляя в БЗ новые, производные факты.
На первый взгляд процесс вывода кажется достаточно простым – выполняются однотипные операции по перебору записей БЗ и сравнении их с имеющимися фактами, пока не будет найдено решение или некий целевой факт. Однако, управление процессом вывода, независящее от контекста проблемы не практике мало эффективно. При решении реальных задач человек крайне редко прибегает к перебору данных. Вместо этого, люди пользуются эвристическими правилами, которые значительно ограничивают пространство поиска решения и позволяет быстро и эффективно решать задачи. Эвристические знания имеют эмпирическую природу, то есть формируются на базе опыта и интуиции эксперта. Ярким примером превосходства эвристического подхода перед алгоритмическим (основанным на полном или частичном переборе) является игра в шахматы [5]. В начале игры «белые» имеют возможность сделать любой из 20 допустимых ходов, в ответ на который «черные» могут также совершить один из 20 ходов. Нетрудно посчитать, что следующий ход «белых» может быть выбран уже из 400 возможных различных состояний партии. Далее, по мере развития игры возникает неуправляемый комбинаторный взрыв. Особенно остро подобная проблема стоит в эндшпиле. Имея по нескольку фигур на доске, каждый из игроков располагает более чем 50 вариантами возможных ходов. Очевидно, шахматные мастера при всем желании не смогли бы осуществлять перебор ходов, для поиска лучшего варианта. Вместо этого они используют краткосрочные и долгосрочные стратегии. Каждая конкретная стратегия выбирается в соответствии с текущей ситуацией на игровой доске.
Другим более простым примером может служить способ строительства стен «сухим» методом. На первом этапе работы имеется большое количество камней различной формы, из которых нужно сложить ровную и устойчивую стену. Более того, камни могут подвозиться по мере необходимости, и осмотр всех камней в целях перебора может быть в принципе невозможен. Строитель вначале не знает, как и какие именно камни он будет выбирать. В процессе строительства время от времени он осматривает стену, определяет, какие камни остались, и выбирает краткосрочную стратегию, в частности, включающую возврат (удаление камней из стены). Имея один и тот же набор камней, он, возможно, никогда не построит дважды стену одинаково.
Существует два основных типа логического вывода: прямой и обратный.
Прямой вывод соответствует обычному ходу решения задачи – от исходных фактов к целевым. Примером прямого вывода является задача классификации. ЭС осуществляет постепенное обобщение исходных фактов, описывающих свойства исследуемого объекта, выявляя наиболее характерные признаки того или иного класса.
Обратный вывод соответствует, как следует из названия, обратной задаче – определить какие именно факты требуются для подтверждения данной цели.
Этот тип вывода соответствует противоположному ходу решения:
сначала машина вывода рассматривает те правила БЗ, действием которых является вывод целевого факта.
Затем выбираются новые подцели из условий этих правил, и
процесс продолжается от целевых фактов к исходным.
Можно сказать, что при обратном выводе происходит конкретизация свойств исследуемого объекта. Этот вид логического вывода наделяет ЭС новым фундаментальным свойством – способностью объяснить, как было получено решение, или что требуется, для того, чтобы имел место тот или иной факт.
В реальных системах, как правило, используется комбинация из прямого и обратного вывода. А для управления всем процессом логического вывода предназначены метаправила – специальный вид правил БЗ, представляющие собой директивы машины вывода.
Используя метаправила можно упорядочить применение знаний в зависимости от конкретных значений фактов и текущего состояния БЗ.
Продемонстрировать отличие мета правил от обычных правил можно на примере «игрушечной» ЭС. Пусть задачей этой ЭС является размещение мебели (столов, стульев, парт и пр.) в аудиториях университета с учетом требований эргономики, безопасности и т.д. На основании знаний:
об оборудовании помещения в зависимости от расположения и размеров аудитории,
от вида занятий (лекции, практика или лабораторные работы) и других параметров,
В БЗ заложены правила предписывающие тот или иной способ размещения мебели. Это обычный вид правил.
Но в данной предметной области может понадобиться уточнить способ решения задачи с помощью метаправил вида:
«Если имеет место свойство X, то сначала применить группу правил N».
Таким метаправилом может быть, например, следующее: «Если аудитория предназначена для лабораторных занятий, то сначала применить правила, касающиеся компьютеров и лабораторного оборудования, а затем мебели».
Если обычные правила БЗ представляют шаги решения задачи, то метаправила описывают стратегию получения решений.
Тот факт, что фактически изменяемой компонентой в архитектуре ЭС является БЗ, наталкивает на закономерный вопрос: «Можно ли взять готовую экспертную систему из одной предметной области, заложить в нее знания из другой предметной области, и получить новую ЭС?»
Для редактирования или даже при полной замене содержимого БЗ не требуется изменение кода ЭС и привлечение программистов, поэтому такой перенос готовых программных решений в принципе возможен. Исследования в этом направлении привели к созданию так называемых оболочек экспертных систем.
Оболочки ЭС включают машину вывода и интерпретатор ЯПЗ, развитый интерфейс разработчика, а также средства проектирования интерфейса пользователя. Наполнение БЗ оболочки позволяет получить ЭС для различных задач. Повторное использование разработанных компонентов ЭС значительно сокращает время разработки новых ЭС.
Однако, как показала практика применения оболочек ЭС, перенос методов решений и средств представления знаний из одной области знаний в другую не всегда возможен. Инструментальные средства, успешно применяемые для одного вида задач, оказываются неэффективными при попытке использовать их для решения других видов задач. Структура и методы описания знаний, в задачах медицинской диагностики и поиска неисправностей в электронных схемах, существенно отличаются от тех, что используются при проектировании технологических цепочек или выборе конфигурации компьютера.
Таким образом, возникло новое направление исследований – классификация экспертных задач, таких как медицинская диагностика, планирование, интерпретация сигналов, и т.п. Были предприняты попытки эвристической классификации методов описания знаний и решения проблем в зависимости от решаемой задачи. Такая классификация стала рассматриваться в качестве этапа, предваряющего выбор методов и инструментов решения задач.
23. Особенности технологии создания экспертных систем
Как уже было отмечено выше, архитектура различных ЭС, с точки зрения входящих в нее программных модулей, идентична практически для любых задач. Детали реализации модулей, конечно, могут сильно отличаются в различных проектах, но их базовый состав и взаимодействие четко определено. Таким образом, при создании ЭС основные усилия должны быть сконцентрированы на проектировании БЗ, в рамках которого выбирается:
язык представления знаний,
способы логического вывода и пр.
То есть, несмотря на то, что по своей сути ЭС это программный продукт, разработка новой ЭС сильно отличается от написания новой программы. В случае же если в качестве инструментального средства используется оболочка ЭС, этап программирования вообще исключается из процедуры создания ЭС.
Учитывая вышесказанное, технологию разработки ЭС можно представить схемой, включающей следующие этапы (Рисунок 1–2. Этапы разработки ЭС.):
Предварительный этап – этот этап включает деятельность предшествующую решению о разработке новой ЭС. В рамках этого этапа осуществляются конкретизация задачи, подбор экспертов в данной предметной области для совместной работы, выбор подходящих инструментальных средств. Главной особенностью этого этапа является то, что может быть принято решение о нецелесообразности разработки ЭС для выбранной задачи.
Этап прототипирования – в ходе этого этапа создается прототип ЭС, предназначенный проверки правильности выбранных средств и методов разработки новой ЭС. К прототипу системы не предъявляются высокие требования. Основная его задача состоит в иллюстрации возможностей будущей системы для специалистов, непосредственно участвующих в разработке, а также для потенциальных пользователей. На этом этапе может быть осуществлена корректировка проекта, уточнены время, стоимость и необходимые ресурсы для завершения работы.
Этап доработки – это по сути основной, наиболее рутинный и продолжительный этап работы над ЭС. Все компоненты многократно тестируются и доводятся до соответствия требованиям проекта. Наибольшую сложность вызывает доработка и доказательство адекватности и эффективности БЗ, так как количество записей в ней может быть на порядок больше, чем в прототипе.
На практике граница между этапами может быть размыта, а сам процесс проектирования является достаточно неформальным, так как связан с исследованием и попыткой копирования деятельности человека. Большое количество применяемых эвристик, интуитивный подход к решению задач экспертами делают процесс создания ЭС творческим. Впрочем, формализация технологии ЭС, разработка в ее рамках математических методов и алгоритмов формирования и обработки знаний – это и есть суть современной теории ЭС. Еще одной особенностью разработки ЭС является поэтапное ее внедрение. Первые версии новой ЭС начинают эксплуатироваться в ограниченном объеме уже на этапе прототипирования.

Рисунок 1–2. Этапы разработки ЭС
24. Нейронные сети как один из альтернативных подходов к решению интеллектуальных задач. Структура персептрона, принципы его работы
Нейронные сети
Технология создания структур, подобных структуре мозга, получила название нейрокибернетика. Физиологами давно установлено, что основой человеческого мозга является большое количество связанных между собой и нервных клеток – нейронов, взаимно влияющих друг на друга посредством электрических сигналов и способных менять свои характеристики. Поэтому усилия нейрокибернетики были сосредоточены на создании элементов, аналогичных нейронам, и их объединении в функционирующие системы. Эти системы принято называть нейронными сетями, или нейросетями.
Первые нейросети были созданы в конце 50-х гг. американскими учеными Г. Розенблаттом и П. Мак-Кигюком. Это были попытки создать системы, моделирующие человеческий глаз и его взаимодействие с мозгом. Устройство, созданное ими, получило название персептрона. Оно умело различать буквы алфавита, но было чувствительно к их написанию, например, буквы А, А и А для этого устройства были тремя разными знаками. Но главной особенностью этого устройства была способность к обучению. Перед началом работы устройству демонстрировались обучающие примеры символов, а затем, после завершения обучения, персептрон мог различать различные символы, которым его обучили.

Рисунок 5.3. Структура персептрона
В наиболее простом виде персептрон (Рисунок 5–3. Структура персептрона.) состоит из совокупности чувствительных (сенсорных) элементов (S элементов), на которые поступают входные сигналы. S элементы случайным образом связаны с совокупностью ассоциативных элементов (А-элементов), выход которых отличается от нуля только тогда, когда возбуждено достаточно большое число S элементов, подающих сигналы на входы А-элемента.
А-элементы соединены с реагирующими элементами (R элементами) связями, коэффициенты усиления (v) которых переменны и изменяются в процессе обучения.
Взвешенные комбинации выходов R элементов составляют реакцию системы, которая указывает на принадлежность распознаваемого объекта определенному образу. Если распознаются только два образа, то в персептроне устанавливается только один R элемент, который обладает двумя реакциями – положительной и отрицательной. Если образов больше двух, то для каждого образа устанавливают свой R элемент, выходная реакция которого представляет линейную комбинацию связанных с ним выходов A-элементов:

где R>j>> >- реакция j го R элемента; x>i> – реакция i го A элемента; ν>ij> – вес связи от i го A элемента к j му R элементу; θ>j> – порог j го R элемента.
Что такое искусственная нейронная сеть. Как работает нейронная сеть
Искусственная нейронная сеть (ИНС, нейронная сеть) – это набор нейронов, соединенных между собой. Как правило, передаточные функции всех нейронов в нейронной сети фиксированы, а веса являются параметрами нейронной сети и могут изменяться. Некоторые входы нейронов помечены как внешние входы нейронной сети, а некоторые выходы – как внешние выходы нейронной сети. Подавая любые числа на входы нейронной сети, мы получаем какой-то набор чисел на выходах нейронной сети. Таким образом, работа нейронной сети состоит в преобразовании входного вектора в выходной вектор, причем это преобразование задается весами нейронной сети.
Практически любую задачу можно свести к задаче, решаемой нейронной сетью. В этой таблице показано, каким образом следует сформулировать в терминах нейронной сети задачу распознавания рукописных букв.
Задача распознавания рукописных букв
Дано: растровое черно-белое изображение буквы размером 30x30 пикселов
Надо: определить, какая это буква (в алфавите 33 буквы)
Формулировка для нейронной сети:
Дано: входной вектор из 900 двоичных символов (900=30x30)
Надо: построить нейронную сеть с 900 входами и 33 выходами, которые помечены буквами. Если на входе нейронной сети изображение буквы «А», то максимальное значение выходного сигнала достигается на выходе «А». Аналогично нейронная сеть работает для всех 33 букв.
Поясним, зачем требуется выбирать выход нейронной сети с максимальным уровнем сигнала. Дело в том, что уровень выходного сигнала, как правило, может принимать любые значения из какого-то отрезка. Однако, в данной задаче нас интересует не аналоговый ответ, а всего лишь номер категории (номер буквы в алфавите). Поэтому используется следующий подход – каждой категории сопоставляется свой выход, а ответом нейронной сети считается та категория, на чьем выходе уровень сигнала максимален. В определенном смысле уровень сигнала на выходе «А» – это достоверность того, что на вход нейронной сети была подана рукописная буква «A». Задачи, в которых нужно отнести входные данные к одной из известных категорий, называются задачами классификации. Изложенный подход – стандартный способ классификации с помощью нейронных сетей.
Функции