Исследование системы автоматического управления (работа 1)
Муниципальное образовательное учреждение
Южно-Уральский профессиональный институт
Кафедра информатики и вычислительной техники
КУРСОВАЯ РАБОТА
По дисциплине «Теория автоматического управления»
Студент гр. ВМ-01-06,
Факультет информационных технологий и дизайна
_______________________.
«__»_______________2008
Руководитель
Преподаватель __________________Калистратова Н.С. «__»_______________2008
Рецензент _________________ Калистратова Н.С
«__»_______________2008
Челябинск 2008
ЗАДАНИЕ НА КУРСОВУЮ РАБОТУ
Исследовать систему автоматического управления, структурная схема которого представлена на рисунке [1].












|
№ варианта |
Регулятор |
Параметры звеньев системы |
ω |
A>0> |
||||
|
K>0> |
T>1> |
T>2> |
T>3> |
T>4> |
||||
|
19 |
|
75 |
0.23 |
0.72 |
0.012 |
- |
1.7 |
15 |
ВВЕДЕНИЕ
Теория автоматического управления – это совокупность целесообразных действий, направленных на достижение заранее поставленных целей.
Объект управления – это техническое устройство, в котором протекает управляемый процесс.
В данной курсовой работе цели исследование – это изучение основных понятий ознакомится с классификацией систем автоматического регулирования.
Изучить основные понятия и определения устойчивости автоматических систем; алгебраические критерии устойчивости Гурвица; Михайлова, частотныеpкритерии устойчивости Найквиста и их различные формулировки; понятиеyобласти устойчивости в пространстве параметров, получить понятие о корнях характеристического уравнения.
Изучить и сформировать представление о математической модели системы, о переходных процессах CAУ, о передаточной функции CАУ.
УСТОЙЧИВОСТЬ СИСТЕМЫ.
ИССЛЕДОВАТЬ УСТОЙЧИВОСТЬ СИСТЕМЫ
Исследование устойчивости замкнутой системы по корням характеристического уравнения системы.
Для того чтоб исследовать систему на устойчивость по корням характеристического уравнения необходимо записать передаточную функцию системы:



Получим характеристическое уравнение замкнутой системы – знаменатель ЗС приравнивается к нулю:

Система имеет 4 корня:
P>1> =-31.952, 148.622; P>2> =-148.622, 31.952; P>3> =-21.42; P>4>=-5.158
Уравнение имеет четыре корня, и они - корни отрицательные или «левые», отсюда следует, что замкнутая система устойчива.
Исследование устойчивости замкнутой системы по критерию Гурвица.
Система замкнутая, значит, запишем передаточную функцию замкнутой системы с последовательным соединением всех звеньев.

Достаточное условие по критерию Гурвица:
Для того чтобы все корни характеристического уравнения замкнутой системы имели отрицательные вещественные части, достаточно, чтобы при a>0>>0 все n-определителей Гурвица были больше нуля. Порядок n = 4, значит, главный определитель Гурвица будет четвертого порядка. Определим коэффициенты Гурвица в уравнении при неизвестных.
а>0> = 0,000029, а>1> = 0,0026, а>2> = 0.732, а>3> = 17.25, a>4>=75
Запишем матрицу Гурвица.


=0.0013

Вывод: все определители Гурвица больше нуля, следовательно, заданная система является устойчивой.
1.1.3 Исследование системы на устойчивость по критерию Михайловa.
Для исследования системы на устойчивость по критерию Михайлова необходимо построить годограф Михайлова.
Запишем характеристическое уравнение замкнутой системы.

Подставляем в формулу:


Полученноеpвыражение необходимоpразбить на действительную и мнимуюpчасти:
Re =
- это действительная часть.
Im =
- это мнимая часть.
Записываем в сводную таблицу значения для построения Годографа Михайлова:
-

Re
Im
0
75
0
10,143
0
182,335
157,529
-7,519*103
5.361*10^-4
75
0
∞
∞
-∞

Рисунок 1- Годограф Михайлова.
Годограф Михайлова начинается на внешней положительной полуоси и при увеличении частоты от 0 до бесконечности последовательном в положительном направлении, (n=4 - порядок) проходит через 4 квадрата.
1.1.4 Исследование системы на устойчивость по критерию Найквиста.
Для определения устойчивости по критерию Найквиста, необходимо записать характеристическоеgуравнениеgразомкнутой системы.
Этот критерий позволяет судить об устойчивости замкнутой системы по АФЧХ разомкнутой цепи.
Определить устойчивость разомкнутой системы.
Находим: записываем передаточную функцию разомкнутой системы,

Характеристическое уравнение разомкнутой системы представляет собой знаменатель передаточной функции разомкнутой системы приравненный к нулю.
Запишем его:

Произведение равно нулю тогда, когда один из множителей равен нулю.
P=0 или
(1+0,72p) = 0 или
(1+0,012p) = 0 или
(1+0,0034p) = 0 или
Тогда уравнение имеет четыре корня.
P>1>=0; P>2>=-1.38; P>3>=-83.33; P>4>=-294.11
Разомкнутая система находится на границе устойчивости, так как имеется один корень, значение которого равно нулю.
Для устойчивости замкнутой
системы необходимо и достаточно, чтобы
АФЧХ разомкнутой системы при изменении
от 0 до
,
дополненной на разрыве дугой бесконечного
радиуса, не охватывала особую точку с
координатами (-1;j0).
Передаточная функция разомкнутой цепи.

Сделаем замену:
,
получим:


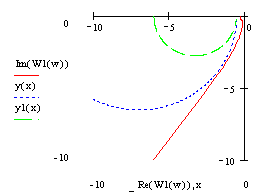
Рисунок 2 - Годограф Найквиста.
Годограф Найквиста, дополненный дугой бесконечно большого радиуса, не охватывает особую точку (-1; j0). Значит, замкнутая система устойчивая.
1.2. Построение области устойчивости системы в области параметрoв T1 и Kp
Посторенние области устойчивости с использованием критерия Гурвица затруднено т.к. это система 4 порядка, поэтому применяем критерий Михайлова. Запишем передаточную функцию замкнутой системы где Т>1> и К>р> оставим в буквенной форме.

Запишем характеристическое уравнение замкнутой системы (это знаменатель приведенной передаточной функции замкнутой системы):

Заменим p на jω, получим:

Запишем уравнения определяющие границу устойчивости:

Решаем их совместно относительно параметров T>1> и K>p>





Построение ЛЧХ системы, определение запаса устойчивости

Находим частоты сопряжения всех динамических звеньев








Находим точку 20lg75=37.501

ОЦЕНКА ПРЯМЫХ ПОКАЗАТЕЛЕЙ КАЧЕСТВА
2.1.
Определение прямых показателей качества
по переходной характеристике (время
регулирования t>p>>
>и
перерегулирование
)
Характеристики переходного процесса определяются параметрами системы, видом задающего и возмущающего воздействий начальными условиями. Истинные значения прямых показателей качества получают по переходной характеристике. Получим график переходной характеристике при помощи программы VisSim.

Рисунок 3- График переходной характеристике.

Рисунок 4 -Т max

Рисунок 5- График пересечения.
Время регулирования – это
промежуток времени по истечению, которого
отклонения регулируемой величины от
установившегося значения становится
меньше некоторой заранее заданной
величины,
то
есть время регулирования характеризует
время затухания переходного процесса
t>p>=0,217
секунд.
Перерегулирование - это
выраженное в процентах
отношение максимального отклонения
управляемой величины от установившегося
значения к установившемуся значению
=>
(значение не должно превышать 30%).
2.2. Оценка прямых показателей качества системы
2.2.1 Оценка прямых показателей качества по расположению нулей и полюсов замкнутой системы.
Характеристическое уравнение замкнутой системы.

Уравнение имеет четыре корня, и они равны:
P>1> =-31.952, 148.622; P>2> =-148.622, 31.952; P>3> =-21.42; P>4>=-5.158

Рисунок 6 - Оценка прямых показателей качества.
Из расположения корней видно то что перерегулирования и время регулирования имеют большие значения, все корни расположены на отрицательной части вещественной оси следовательно система апериодически устойчива.
2.2.2 Оценка прямых показателей качества системы по ВЧХ.

Рисунок 7- Оценка прямых показателей качества системы по ВЧХ.
Определение показателя колебательности системы (по АЧХ замкнутой системы и АФЧХ разомкнутой системы).

Рисунок 8 - АЧХ.

Рисунок 9 - АФЧХ разомкнутой системы
Определение ошибки системы.
3.1. Определить ошибку системы в установившемся режиме. Получение расчетного и экспериментального графика ошибки системы при отработки входного сигнала с постоянной скоростью.



E=C0 *(ax + b)= 15x+1.7

Рисунок 10 – расчетно эксперементальный график ошибки системы
3.2. Расчет и посторенние графика реакции системы при подаче на вход гармонического входного сигнала с заданной амплитудой и частотой
A>0>=15; ω=1.7



Рисунок 11 – График реакции системы.
Заключение
В результатеgвыполненной работыgследует сделать вывод о том, что система имеет хороший запас устойчивости. Исследуя систему по корням характеристического уравнения, можноgсказать что, разомкнутая система находится на границе устойчивости, так как имеется oдин нулевой корень. Полученные показатели качества позволяют сделать заключение o тoм, что система плавноgи последовательно возвращается в установившееся значение. Из графика видно, что переходный процесс колебательный.
По критериям Гурвица, Михайлова и Найквиста система является устойчивой.
Система работоспособна, с довольно значительной колебательностью и малой полосойgпропускания.
Список использованной литературы
Бесекерский В. А., Попов Е. П. Теория система автоматического регулирования. – М.: Наука, 1975.
Макаров И.М., Менский Б.М. Линейные автоматические системы (элементы теории, методы расчета и справочный материал). - 2-е изд., перераб. и доп. - М.: Машиностроение, 1982.
Cборник задач по теoрии автоматического регулирования и управления / Под ред. В.А. Бесекерского. - М.: Наука, 1978.
Теория автоматическогоoуправления.: Учебник. В 2-х частях/ Под ред. А. А. Воронова. – М.: Высшая школа, 1986.

