Криптологія
КРИПТОЛОГІя
1. Математична модель інформаційної системи
На рис. 1 наведена спрощена структурна схема інформаційної системи.

Рисунок 1.
Основним призначенням інформаційної системи є надання користувачам (системи, інформації) послуг в використанні різних задач (наприклад, бізнес, банк, послуги).
Причому, ставиться задача мінімізації втрат в цій системі. В системі розглядається 4 типи об’єктів:
1) джерела та одержувачі інформації;
2) інформаційно-телекомунікаційна система;
3) криптоаналітична система (сукупність порушників і/або зловмисників);
4) арбітр, задача якого полягає в розбиранні та прийнятті рішень в системі.
Зловмисник – навмисно реалізує погрози з метою нанесення втрат системі.
Погроза – потенційно існуюча небезпека нанесення втрат в системі, в результаті реалізації деяких дій порушниками та зловмисниками. Існують такі типи загроз:
- порушення конфіденційності;
- порушення цілісності;
- порушення доступності;
- порушення спостережливості.
Погрози бувають активні і пасивні.
Пасивна – погроза, у результаті реалізації якої не змінюється інформаційний стан системи, але збиток наноситься.
Активна – зміна інформаційного стану системи.
Конфіденційність інформації – захищеність інформації від неавторизованого доступу та спроб розкриття її змісту, що здійснюється порушниками та зловмисниками.
Цілісність інформації – властивість захищеності інформації від навмисної або ненавмисної зміни змісту цієї інформації (модифікування) або викривлення змісту інформації.
Доступність користувачів системи поділяється на авторизованих або порушників. При цьому, користувачі мають різні права доступу та різні повноваження.
Доступність інформації (ресурсів) – можливість доступу авторизованих користувачів до інформації або ресурсів, з необхідною якістю за деякий ∆ час та виконання операцій, які йому дозволені.
Спостережливість – властивість захищеності інформації (ресурсів) в середовищі, яка заключається в тому, що:
- всі об’єкти (суб’єкти) ідентифікуються;
- виконується розмежування повноважень по рівням доступу до інформації;
- визначаються і блокуються загрозливі дії;
елемент неспростовності і можливість доведення усіх дій, які виконувались об’єктами (суб’єктами) в процесі інформаційних відношень.
Ідентифікація – процедура присвоєння об’єктам (суб’єктам) унікальних імен, кодів тощо.
2. Математична модель захищеної інформаційної системи
В такій системі відомі апріорні ймовірності появлення повідомлень:
Р(M>i>),

і відома ентропія джерела повідомлень
(1)
(2)
Ентропія – середня кількість інформації в повідомленні.
В нашій моделі буде вважатись, щ інформація є повністю доступною криптоаналітику, тобто він може її перехоплювати з ймовірністю 1.
Для захисту від зловмисних дій в інформаційній системі повинно здійснюватись ряд криптографічних перетворень. Елементи, що забезпечують конфіденційність, цілісність, доступність та спостережливість.

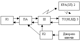
Рисунок 2 – структурна схема захищеної інформаційної системи
де СА – система автентифікації;
Ш – шифрування інформації;
КЗ – ключові засоби;
ДК – джерело ключів.
У зв’язку з тим, що інформація існує в інформаційно-телекомунікаційній системі користувач повинен здійснити ряд перетворень, з метою його захисту. Першим перетворенням є перетворення автентифікації, тобто забезпечення цілісності та справжності:
, (3)
де
-

- перетворення автентифікації;
- автентифікація ключів;
- параметри.
Для забезпечення конфіденційності здійснюється зашифровування:
(4)
де С>і> – криптограма.
Перетворення (3) та (4) здійснюються за допомогою ключів. Узгодженість використання ключів К>1> та К>2> забезпечуються ДК1 та ДК1. В інформаційно-телекомунікаційній системі криптограма С>і> може бути трансформована в С>і>*:
1) за рахунок завад;
2) за рахунок дій криптоаналітика:
- модифікування С>і>;
- створення і передавання в системі хибного повідомлення.
При
прийманні виконуються зворотні
перетворення:
.
Спочатку виконується розшифровування
повідомлення
. (5)
В системі автентифікації здійснюється перетворення:
.(6)
Після розшифровування користувач 2 одержує доступ до змісту повідомлення, а потім перевіряє його цілісність і справжність.
3. Класифікація криптоперетворень
Найбільш загальною наукою про таємницю є криптологія. Криптологія як наука вивчає закономірності забезпечення конфіденційності, цілісності і т.д. критичної інформації в умовах інтенсивної протидії (криптоаналізу).
Криптологія


Криптоаналіз
Криптографія
Криптографія – вивчає методи, алгоритми і засоби здійснення криптографічного захисту інформації.
Криптоаналіз – вивчає методи, алгоритми і засоби розкриття криптографічної системи при невідомій частині ключа.
Криптографічне перетворення інформації – здійснюється з використанням симетричних, несиметричних криптосистем. Криптографічна система називається симетричною, якщо ключ прямого перетворення збігається з ключем зворотного перетворення чи обчислюється один з іншого не вище чим з поліноміальною складністю (не більш 1 секунди).
Криптосистема (алгоритм) називається симетричною, якщо ключ прямого перетворення збігається з ключем зворотного перетворення:
(7)
Криптосистема (алгоритм) називається асиметричний, якщо ключ прямого перетворення не збігається з ключем зворотного перетворення:
(8)
або може бути обчислений один при знанні іншого не нижче ніж з субекспоненціальною складністю.
1. Для захисту інформації, як правило, використовуються криптоперетворення.
2. Стійкість перетворень забезпечується використанням ключових даних.
3. Ключові дані можна розділити на два класи відносно симетричності та асиметричності.
4. В асиметричних криптоперетвореннях один із ключів може бути відкритим.
В Європейському проекті NESSIE–2000-2003 визначено 10 видів криптоперетворень.
Симетричні – розробка блокового симетричного шифрування, потоковий шифр, автентифікація (процедура встановлення дійсності джерела, приймача повідомлень).
Несиметричні – функції гешування (обчислення криптографічних контрольних сум) односпрямованої геш (стиску з великого простору в малий), ключова геш з використанням ключа.
Направлене шифрування (виконується умова (2)).
Ідентифікація (автентифікація) - (1),(2).
Криптопротокол – рішення розподіленої задачі, багатоетапно.
4. Модель крипто аналітика
Р
исунок
3
Користувач
К1 – джерело інформаційних повідомлень
M>i>,
розмір джерела (кількість повідомлень)
.
Розмір ймовірності появлення повідомлення
Р(M>i>)
апріорна ентропія Н(M>i>)
джерела інформації. З метою забезпечення
цілісності і дійсності повідомлення
M>i>
піддається криптоперетворенню –
автентифікації, на виході формується
M>i>.
(9)
Для
забезпечення конфіденційності,
повідомлення 2 піддається зашифровуванню,
на виході формується С>j>
– криптограма.
(10)
К>j>
ключ (обраний із простору ключів,
розмірність
)
з’являється випадково, тому на виході
шифратора з’являється під його дією
криптограма.
С>j> передається К2 через ТС по відкритому каналу, чи записується на носій інформації.
Задачі, що ставить криптоаналіз:
1) визначити яке повідомлення міститься в криптограмі;
2) відновити K>j> ключ.
При криптоаналізі вважають, що криптоаналітик знає все систему (апріорну статистику, режими роботи, загальні характеристики). При імовірнісному підході криптоаналітик можде будувати модель апостеріорного ряду
,
(11)
Перший
імовірнісний підхід до криптоаналізу:
обчислюється
.
Недолік такого підходу в тому, що ряд
дуже великий і його практично розв’язати
неможливо.
На
визначеність криптоаналітиком того,
яке повідомлення М>і>
міститься в криптограмі С>і>
можна задати через умовну ентропію
.
Таку ентропію можна обчислити як:
(12)
На
початку криптоаналізу відома ентропія
Н(М), після того, як ведеться криптоаналіз
ентропія зменшується
.
Будемо вважати, що криптоаналітик отримав від джерела інформації
(13)
Граничні ситуації:
якщо
= 0,
;
якщо
,
.
Реальна ситуація:

Аналізуючи
криптоаналітик або рішає задачу
криптоаналізу, або ні.
обчислюється за допомогою (12)
В якості оцінки стійкості, як правило, використовуються:
N>k> – кількість ключів, що дозволені в системі.
H(k) – ентропія джерела ключів:
, (14)
де
- імовірність появи К>j>
ключа в системі.
t>б> – безпечний час (математичне сподівання часу розкриття криптосистеми із використанням конкретного методу):
, (15)
де N>k> – кількість групових операцій, які повинен розглянути криптоаналітик;
γ – потужність криптоаналітичної системи (вар/с)
К
– кількість секунд у році:
(с/рік)

– імовірність
розкриття.
l>0>- відстань єдності шифру.
Множина параметрів, за якою буде оцінена складність криптоаналізу:
(16)
В залежності від складності задачі криптоаналізу, шифри розподіляються на чотири класи:
1) безумовно стійкі або теоретично недешифруємі (відносно яких криптоаналітик ніколи не зможе виконати криптоаналіз);
2) обчислювально стійкі (в принципі розкрити можна, але не достатньо ресурсів для розкриття);
3) ймовірностійкі;
4) обчислювально нестійкі.
В безумовно та обчислювально стійких шифрах безпечний час набагато більше за цілісність інформації:
, (17)
а в обчислювально нестійких шифрах:
.
(18)
5. Умови реалізації безумовно стійких криптосистем
Теорема Необхідною і достатньою умовами забезпечення безумовної стійкості є:
,
(19)
тобто імовірність появи С>j> на виході шифратора не повинно залежати від того, яке М>і> повідомлення з’явилось на виході джерела повідомлення.
Інакше, ймовірність появлення криптограми повинно бути однаковою для всіх ключів і для всіх повідомлень. Фізично це означає, що будь-яке повідомлення може відображатись в будь-яку криптограму з однаковою ймовірністю.
Доведення:
визначимо імовірність
,
що може обчислити криптоаналітик:
.
(20)
Криптоаналітик не одержить ніякої інформації відносно джерела повідомлення, якщо:
, (21)
. (22)
Умову безумовної стійкості можна вважати (20) або (21).
З виразу (22):
.
Теорему доведено.