Микропроцессоры (работа 2)
КФ МГТУ им. Н.Э.Баумана
Реферат на тему:
«МИКРОПРОЦЕССОРЫ»
Калуга
Содержание
Введение
Закон Мура
Экспансия закона Мура
Следствия закона Мура
Заглянем в будущее
Транзисторы
Взгляд в будущее
Отладка кристаллов микросхем
Intel Silicon Debug
Анализ структур
Электрические испытания
Бесконтактная диагностика микросхем
Кремниевая нанохирургия
Заключение
Список используемых источников
Введение
Компьютерная техника лежит в основе современного прогресса. Она обеспечивает работу современных станков, контроль технологических процессов на производстве, связь на всех уровнях (от межгосударственного до бутового), с помощью нее проводятся сложные и трудоемкие расчеты, что значительно ускоряет процессы конструирования, разработки, фундаментальные исследования, то есть задает темпы прогресса.
Основой современной компьютерной техники являются микропроцессоры. Увеличение их быстродействия позволяет ставить перед техникой новые задачи, такие как моделирование сложных процессов, обработка больших объемов информации (наблюдение за космосом), обеспечение автономной работы устройств, машин и целых комплексов.
Закон Мура
Экспансия закона Мура
Когда заходит речь о полупроводниковых технологиях и современных интегральных микросхемах, часто упоминают закон Мура, который в настоящее время является своеобразным хронометром полупроводниковой технологии.
Все началось в 1965 году, то есть всего через шесть лет после изобретения первой интегральной схемы (ИС) и за три года до того, как Гордон Мур (Gordon E. Moore) стал одним из основателей корпорации Intel. В то далекое время технология производства интегральных микросхем позволяла интегрировать в одной микросхеме порядка трех десятков транзисторов, а группа ученых, возглавляемая Гордоном Муром, директором исследовательской лаборатории полупроводников корпорации Fairchild Camera and Instrument Corp (Research and Development Laboratories, Fairchild Semiconductor division of Fairchild Camera and Instrument Corp), завершала разработку новых микросхем, объединяющих е себе уже 60 транзисторов. Конечно, по сегодняшним меркам, когда в одной микросхеме насчитывается несколько десятков миллионов транзисторов, 60 транзисторов кажется ничтожно малой величиной, но не будем забывать, что речь идет о становлении интегральной электроники.
По просьбе журнала Electronics Гордон Мур написал статью, приуроченную к 35-й годовщине издания (Electronics, Vol. 38, № 8, Apr. 19, 1965). В этой статье Мура попросили сделать прогноз относительно того, как будут совершенствоваться полупроводниковые устройства в течение ближайших десяти лет. Проанализировав темпы развития полупроводниковых устройств и экономические факторы за прошедшие шесть лет, то есть начиная с 1959 года, Гордон Мур предположил, что к 1975 году количество транзисторов в одной интегральной микросхеме составит 65 тыс. Именно этот прогноз на ближайшие десять лет стал преамбулой ко всей статье.
Фактически по прогнозу Мура количество транзисторов в одной микросхеме за десять лет должно было увеличиться более чем в 1000 раз. А это означало, что каждый год количество транзисторов в одной микросхеме должно удваиваться.
Кроме предсказания экспоненциального роста плотности размещения транзисторов, Мур сделал и другой важный и на первый взгляд парадоксальный вывод. Сокращение размеров транзисторов должно неизбежно привести к тому, что интегральные микросхемы на их основе будут все дешевле, мощнее и доступнее. Из этого следовало, что изменится электронная отрасль в целом.
Конечно, в 1965 году ни сам Гордон Мур, ни кто-либо Другой не мог предположить, что опубликованный прогноз на ближайшие десять лет не только в точности сбудется, но и послужит основой для Формулирования эмпирического правила развития всей полупроводниковой технологии на много лет вперед. Впрочем. с предсказанием Мура было не все гладко. К 1975 году рост количества элементов в одной микросхеме стал немного отставать от прогноза. Тогда Гордон Мур скорректировал период обновления до 24 месяцев, чтобы компенсировать ожидаемое увеличение сложности полупроводниковых компонентов. В конце 1930-х годов одним из руководителей корпорации Intel была внесена еще одна поправка, и прогноз Мура стал означать удвоение вычислительной производительности каждые 18 месяцев (вычислительная производительность, измеряемая в миллионах команд в секунду iMiPS, увеличивается благодаря росту количества транзисторов).
Дз сих пор мы преднамеренно употребляли слова «прогноз» или «предсказание» Мура, однако в литературе чаще встречается выражение «закон Мура». Дело в том, что после опубликования упомянутой статьи в журнале Electronics профессор Карвер Мид, коллега Мура из Калифорнийского технологического института, дал этому прогнозу название «закон Мура», и оно прижилось.
Конечно, в буквальном смысле предсказание Мура законом не является хотя бы потому, что оно не отражает природных закономерностей и не является следствием фундаментальных законов физики. Фундаментальные законы природы, такие как закон гравитации, который выражается формулой Ньютона, или законы электромагнитного поля, описываемые уравнениями Максвелла, объективны по своей природе и существуют независимо от наших знаний о них. Поэтому, говоря о законе Мура, следует еще раз подчеркнуть, что речь идет лишь об эмпирическом правиле или предсказании.
В настоящее время термин «закон Мура» применяется также для описания следствий экспоненциального возрастания плотности размещения транзисторов в пределах одной микросхемы. О каких же следствиях закона Мура идет речь?
Следствия закона Мура
Хотя в законе Мура говорится лишь об экспоненциальном возрастании числа транзисторов на одной микросхеме, сводить все к одному этому утверждению было бы неверно. Точнее, сам факт увеличения плотности размещения транзисторов за счет сокращения их размеров сопровождается важными последствиями. Действительно, если говорить просто о количестве транзисторов в одной микросхеме, то со времени 30-транзисторных компонентов 1965 года это количество возросло на много порядков. В 1975 году количество компонентов достигло 65 тыс. К 1989 году процессор Intel i486 содержал 1,4 млн. транзисторов. А в 2002 году корпорация Intel анонсировала процессор Intel Pentium 4 на основе 0,13 - микронной технологии, вмещающий 55 млн. транзисторов в одном кристалле. Скоро технология производства интегральных микросхем позволит увеличивать количество транзисторов на сотни миллионов ежегодно. Однако сколь впечатляющим ни был бы рост количества элементов — это только частность. Мощь и уникальность полупроводниковых компонентов состоит в том, что одновременно с увеличением количества транзисторов улучшаются почти все параметры микропроцессорной технологии, главные из которых — скорость и производительность. Так, процессор i486 работал на тактовой частоте 25 МГц. Современные процессоры Pentium 4 имеют тактовые частоты уже более 3 ГГц. Будущий процессор с миллиардом транзисторов, как ожидается, будет работать на частоте, приближающейся к 20 ГГц. Посмотрим на этот вопрос с другой стороны: в начале 1990-х годов для того, чтобы увеличить тактовую частоту i486 с 25 МГц до 50 МГц, понадобилось три года. Сегодня разработчики Intel наращивают тактовую частоту со скоростью 25 МГц в неделю. Главный директор Intel по технологиям Патрик Гелсингер заявил, что уже через несколько лет Intel планирует наращивать частоту процессоров со скоростью 25 МГц в день. Среди других характеристик, которые улучшаются благодаря закону Мура, — уровень интеграции, размеры, функциональные возможности, эффективность энергопотребления и надежность. Еще одним немаловажным следствием закона Мура являются экспоненциальное падение цен в расчете на один транзистор и соответственно непрерывный рост покупательной способности. Когда Гордон Мур впервые сформулировал свой закон, себестоимость одного транзистора составляла около 5 долл. Сегодня за 1 долл. можно приобрести 1 млн. транзисторов. Тот факт, что это стало возможным, является прямым следствием закона Мура: быстрое снижение себестоимости приводит к экспоненциальному росту экономической эффективности.
Заглянем в будущее
Нa Форуме Intel для разработчиков, прошедшем весной прошлого года, главный технический директор корпорации Intel Гелсингер заявил: «Наша задача состоит сегодня не только в том, чтобы продлить жизнь закона Мура, но и в том, чтобы максимально расширить сферу его действия, распространив его и на другие области».
Первоначально прогноз Мура был просто наблюдением за тем, как развивается индустрия микропроцессоров, этаким эмпирическим постулатом. Однако через несколько лет он стал руководящим принципом развития для всей отрасли, а теперь иначе как законом его никто и не называет. Однако, несмотря на то, что закон Мура оправдывает себя вот уже в течение почти что сорока лет, многие довольно скептически относятся к тому, что он будет действовать и в дальнейшем.
С приводимыми ими доводами трудно не согласиться. Действительно, уже сейчас микросхемы производятся по 0,13 - микронному технологическому процессу, а толщина затвора транзистора составляет всего 60 нм. Но ведь не может же уменьшение размеров транзисторов происходить до бесконечности, хотя бы в силу дискретности самой природы! Вопрос ставится так: а что будет, когда размеры затворов транзисторов достигнут атомарных слоев? Вопрос, конечно, интересный, но ответить на него в ближайшее десятилетие вряд ли кто-нибудь сможет. Впрочем, до атомарных размеров транзисторов еще далеко. Если же говорить о перспективе дальнейшего совершенствования полупроводниковой электроники в соответствии с законом Мура на ближайшие лет тридцать, то можно утверждать, что предсказанное экспоненциальное возрастание числа транзисторов на одной микросхеме сохранится.
На весеннем Форуме Intel для разработчиков главный технический директор корпорации Intel Патрик Гелсингер поделился своими соображениями в отношении закона Мура: «Честно говоря, я часто спрашивал себя, когда же закончится действие закона Мура? Сколько мы еще сможем пользоваться его плодами? В 1980 году, когда я пришел в Intel, мы ломали головы над тем, как достичь технологической нормы производства микропроцессоров в один микрон. В 90-е годы перед нами уже стояла задача внедрить технологическую норму в одну десятую микрона, и опять она казалась нам недостижимой. А сегодня мы думаем о том, как преодолеть барьер в одну сотую микрона. Могу пообещать вам, что до моей пенсии (то есть в течение последующей четверти века) закон Мура будет действовать. Я уверен, что еще не одно десятилетие он будет руководящим принципом развития отрасли».
Итак, в корпорации Intel считают, что в обозримой перспективе закон Мура продолжит действовать. Впрочем, чтобы сохранить экспоненциальный рост числа транзисторов на одной микросхеме завтра, необходимо уже сегодня задумываться о новых технологиях.
Соблюдение закона Мура и реализация его предсказаний требует снижения проектной нормы — уменьшения номинального размера элементов, из которых состоит интегральная схема. За последнее десятилетие корпорация Intel уменьшила проектную норму на порядок — с одного микрона (примерно одной сотой толщины человеческого волоса) до менее чем 100 нанометров (нм), то есть до уровня, отвечающего нанотехнологиям. В предстоящее десятилетие проектная норма технологических процессов вплотную подойдет к физическим пределам, обусловленным атомной структурой, что приведет к новым проблемам, связанным с энергопотреблением, тепловыделением и поведением атомных частиц. Компания Intel уже продемонстрировала транзисторы, содержащие элементы толщиной всего в три атома.
Чтобы продолжить действие закона Мура, исследователи Intel активно занимаются поиском и устранением различных барьеров, препятствующих дальнейшему уменьшению размеров элементов. Так, если сегодня для нанесения сложнейших рисунков, формирующих электронные схемы на полупроводниковой пластине, используется 130-нм литографическая технология, позволяющая получать транзисторы с длиной затвора 60 нм и шесть слоев медных соединений, то уже в этом году в массовое производство будет внедрен новый 90-нанометровый технологический процесс. Новый технологический процесс, представленный корпорацией Intel в августе минувшего года, предусматривает использование семи слоев медных соединений и включает целый ряд уникальных технологий. Во-первых, в нем применяются самые маленькие в мире серийно производимые КМОП - транзисторы с длиной затвора всего 50 нм. Во-вторых, это самый тонкий оксидный слой затвора среди всех когда-либо применявшихся в производстве — его толщина составляет 1,2 нм (менее пяти атомных слоев).
Несколько позже будет внедрена в массовое производство революционная литографическая технология, находящаяся сегодня на стадии разработки. Известно, что возможности сегодняшней литографии уже практически исчерпали себя. Действительно, литография — это процесс, при котором лазер световым пучком выжигает на пластине проводники для будущего процессора, при этом луч надо очень точно сфокусировать. Проводники в процессорах становятся все тоньше, и, чтобы точно вырезать тонкие проводники, длина волны луча света должна быть в несколько раз меньше ширины проводника. Стало быть, длина волны света постепенно уходит из видимого диапазона и перемещается в диапазон более коротких ультрафиолетовых волн. Новая технология литографии, получившая название EUV-литографии (Extreme Ultraviolet — сверхжесткое ультрафиолетовое излучение), основана на использовании ультрафиолетового излучения, что позволяет формировать рисунки с толщиной линий менее 50 нм. Здесь главная сложность заключается в том, что ультрафиолетовый свет поглощается стеклом, и никакие линзы и призмы для его точной фокусировки уже не годятся — необходимы совершенно новая техника и технология.
В 2001 году компания Intel представила первые фотомаски стандартного отраслевого формата для EUV-литографии. С помощью разработанного ею процесса формирования рисунка удалось получить линии шириной на 30% меньше, чем для самых совершенных масок, применяемых сегодня в производстве. Корпорация Intel планирует выпустить первые процессоры с использованием EUV-технологии во второй половине нынешнего десятилетия.
Описанные новые технологии относятся к ближайшему будущему, однако уже сейчас разрабатываются технологии, рассчитанные и на более далекую перспективу. Так, в июне 2001 года корпорация Intel объявила, что ее специалисты разработали транзисторы, содержащие структуры размером всего 20 нм. Эти новые транзисторы имеют на 30% меньшие размеры и на 25% большее быстродействие, чем созданные всего годом ранее. К концу того же года Intel преодолела еще один рубеж, изготовив самые маленькие в мире транзисторы с длиной затвора 15 нм. Именно такие крошечные транзисторы потребуются для серийных процессоров к концу текущего десятилетия.
По мере уменьшения размеров транзисторов, увеличения плотности их размещения на подложке и повышения быстродействия компонентов потенциальными ограничительными факторами для реализации закона Мура могут стать энергопотребление и тепловыделение. Чтобы решить проблему тепловыделения, специалисты Intel исследуют как новые структуры, например транзисторы с тремя затворами, так и новые материалы, в частности напряженный кремний, позволяющие увеличить производительность при одновременном повышении эффективности использования энергии. Возможно, лучший пример — это представленный Intel в ноябре 2001 года транзистор с рабочей частотой 1 терагерц.
Этот ключевой проект корпорации направлен на создание микроскопических «переключателей», которые меньше и быстрее существующих. В основе терагерцевого транзистора лежит несколько совершенно новых технологий. Первая — это новый диэлектрический материал с гораздо более высокими изолирующими свойствами (с более высокой диэлектрической проницаемостью); вторая — затворы, с помощью которых снижается ток утечки. Разработанные для этого нового транзистора элементы конструкции планируется использовать в серийной продукции Intel во второй половине текущего десятилетия.
Еще одной перспективной технологией, позволяющей устранить ограничения по росту тактовой частоты современных микросхем, является новая технология изготовления корпусов. В современных микросхемах полупроводниковые кристаллы соединяют с корпусом с помощью крошечных шариков припоя, обеспечивающих механическое крепление и электрическое соединение кристалла с корпусом. В результате экспоненциального роста частоты будущих процессоров эффективность шариковых соединений, толщина корпуса и количество точек соединения превращаются в серьезную проблему. В октябре 2001 года корпорация Intel представила новаторскую технологию изготовления корпусов, получившую название Bumpless Build-up Layer (BBUL), которая позволяет избавиться от шариковых соединений, наращивая корпус вокруг полупроводникового кристалла. Новая технология не только в несколько раз уменьшает размеры «упакованного» микропроцессора, но и существенно улучшает его индуктивные свойства. Этот метод позволяет уменьшить толщину корпуса и снизить рабочее напряжение процессора. Технология начнет активно применяться во второй половине этого десятилетия.
Еще одна серьезная проблема, препятствующая экспоненциальному росту тактовой частоты процессоров и соответственно закону Мура, — это проблема тепловыделения. Ее решению уделяется немало внимания уже сейчас. Действительно, давайте посмотрим, к чему приводит перспектива экспоненциального роста тактовой частоты.
В соответствии с законом Мура в 2010 году следует ожидать появления микропроцессора с тактовой частотой 30 ГГц и размером проводников 10 нм или меньше. Но, как следует из законов физики, чем больше транзисторов в процессоре и чем больше его тактовая частота, тем больший ток он потребляет. А с ростом потребляемого тока увеличивается и тепловыделение. С 1970-го по 1990 год плотность выделяемой мощности, измеряемая в ваттах на квадратный сантиметр, оставалась в пределах нескольких единиц, а к 2000 году достигла 10. Если выстроить прогнозируемую кривую до 2010 года, то в 2003-2004 годах этот показатель должен достичь 100 (что соответствует энерговыделению в ядерном реакторе), к 2008 году — 1000 (примерно как в соплах ракеты), а после 2010 года — 10 000 (лишь немного холоднее, чем на поверхности Солнца). Итак, совершенно очевидно, что без решения проблемы снижения энергопотребления дальнейший рост тактовой частоты процессоров просто невозможен.
Транзисторы
Как известно, транзисторы — это микроскопические кремниевые «переключатели», которые являются основным структурным элементом всех современных микросхем
Начиная с 60-х годов, то есть со времени создания первой микросхемы, и по сегодняшний день в микросхемах использовались так называемые планарные (плоские) полевые транзисторы (рисунок 1). Принцип действия такого транзистора достаточно прост. В подложке кремния формируются две легированные области с электронной (л-тип) или дырочной (p-тип) проводимостью. Эти области называются стоком и истоком. В обычном состоянии электроны (для n-типа) или дырки (для p-типа) хотя и диффундируют в область кремния за счет избыточной концентрации, но не способны перемещаться между стоком и истоком, поскольку неизбежны процессы рекомбинации в области кремния. Кроме того, за счет такой диффузии на границах контактов между легированными областями стока и истока и кремния возникают локальные электрические поля, препятствующие дальнейшей диффузии и приводящие к образованию обедненного носителями слоя. Поэтому в обычном состоянии прохождение тока между истоком и стоком невозможно. Для того чтобы иметь возможность переносить заряд между истоком и стоком, используется третий электрод, называемый затвором. Затвор отделен от кремниевой подложки слоем диэлектрика, в качестве которого выступает диоксид кремния (SiO>2>). При подаче потенциала на затвор создаваемое им электрическое поле вытесняет вглубь кремниевой подложки основные носители заряда кремния, а в образующуюся обедненную носителями область втягиваются основные носители заряда стока и истока (мы говорим об основных носителях заряда, а не конкретно о дырках или электронах, поскольку возможен и тот и другой вариант). В результате между истоком и стоком в подзатворной области образуется своеобразный канал, насыщенный основными носителями заряда. Если теперь между истоком и стоком приложить напряжение, то по каналу пойдет ток. При этом принято говорить, что транзистор находится в открытом состоянии. При исчезновении потенциала на затворе канал разрушается и ток не проходит, то есть транзистор запирается (рисунок 1)

Рисунок - 1 Схема традиционного планарного транзистора
Описанная схема верой и правдой служила на протяжении многих лет, и все усилия электронной промышленности были направлены на то, чтобы уменьшить размеры самого транзистора. Так, в 1965 году в микросхемах интегрировалось всего три десятка транзисторов, а современный процессор Intel Pentium 4 насчитывает уже 55 млн. транзисторов на кристалле. Конечно, в процессе эволюции планарных транзисторов менялись не только их размеры. Существенные изменения претерпели и используемые материалы, и даже геометрия самих транзисторов. Ну что ж, все логично. Для того чтобы выдержать диктуемые законом Мура экспоненциальные темпы увеличения числа транзисторов в одной микросхеме, необходимо разрабатывать новые технологии производства. Из ближайших планов корпорации Intel по выпуску процессоров (табл. 1) видно, например, что сегодня в производство внедряется 90-нанометровый технологический процесс изготовления микросхем, при котором длина затвора транзистора составляет 50 нм, а в 2009 году планируется освоить промышленный выпуск транзисторов с длиной затвора уже 15 нм (32-нанометровый технологический процесс). Всего же за последние 5 лет длина затвора транзистора уменьшилась в 4 раза
Таблица 1 - Темпы сокращения длины затвора транзистора

Таблица 2 - Изменение характеристик транзистора при уменьшении его геометрических размеров
|
Длинна затвора |
1/М |
|
Толщина слоя диэлектрика |
1/М |
|
Ширина затвора |
1/М |
|
Напряжение |
1/М |
|
Плотность размещения |
М2 |
|
Скорость |
М |
|
Рассеиваемая мощность |
1/М2 |
Естественно, что уменьшение размеров транзистора сказывается и на других его характеристиках. Так, если считать, что длина затвора транзистора уменьшается в М раз, то в такое же количество раз уменьшаются и толщина слоя диэлектрика, отделяющего область затвора от кремниевой подложки, и ширина затвора, и рабочее напряжение затвора. Кроме того, в М раз возрастает скорость работы транзистора и квадратично увеличивается плотность размещения транзисторов на кристалле, а рассеиваемая мощность уменьшается в М2 раз (табл. 2).
Таким образом, очевидно, что уменьшение размеров транзисторов положительно сказывается на их характеристиках.
Основная проблема, связанная с уменьшением размеров транзистора, упирается даже не в технологические сложности литографического процесса, который требует использования новых коротковолновых источников излучения, а в то, что экспоненциальное увеличение числа транзисторов на кристалле приводит к экспоненциальному росту потребляемой мощности и, как следствие, к перегреву микросхемы. Причин тому несколько, но все они имеют один и тот же корень: уменьшение размеров транзистора приводит к возникновению токов утечки. Токи утечки возникают через слой диэлектрика, отделяющего область затвора от кремниевой подложки, а также между истоком и стоком при «выключенном» состоянии транзистора.
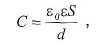
Расскажем о причинах возникновения токов утечки в области затвора более подробно. Слой диэлектрика между затвором и кремнием можно рассматривать как плоский конденсатор (рисунок 2), емкость которого зависит от диэлектрической проницаемости вещества, толщины слоя диэлектрика и площади затвора по формуле:

г
де
S — площадь затвора, d — толщина слоя
диэлектрика, ε — диэлектрическая
проницаемость слоя диэлектрика.
Понятие емкости затвора очень важно, так как в том числе и от нее зависит величина тока, проходящего между истоком и стоком. Действительно, поскольку емкость определяет способность накапливать заряд (Q=CU), то при одном и том же напряжении в случае большей емкости
можно накопить больший заряд в канале проводимости, а следовательно, и создать больший ток. Таким образом, большая емкость позволяет снижать напряжение на затворе, что немаловажно при уменьшении размеров транзисторов. Кроме того, на ток в канале проводимости оказывает непосредственное влияние и длина самого канала: чем она меньше, тем больший ток можно получить. По мере уменьшения размеров транзистора уменьшалась и толщина слоя диэлектрика. При этом между длиной канала и толщиной слоя диэлектрика соблюдается простое соотношение:
то есть толщина слоя диэлектрика приблизительно в 45 раз меньше длины канала.
В качестве диэлектрического слоя традиционно используется диоксид кремния (SiO>2>), диэлектрическая проницаемость которого составляет 3,9. Однако уменьшение толщины слоя диэлектрика, которое приводит к возрастанию емкости затвора, то есть положительно сказывается на характеристиках транзистора, имеет свои негативные последствия. Дело в том, что при достижении величины в несколько нанометров начинают сказываться эффекты туннелирования зарядов через слой диэлектрика, что приводит к возникновению токов утечки.

Рисунок 2 - Формирование емкости на затворе
Эта проблема решается путем применения вместо диоксида кремния иных диэлектрических материалов, позволяющих использовать более толстые слои диэлектрика, но, обеспечивающих, тем не менее, увеличение емкости затворного конденсатора.
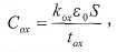
Такие материалы должны иметь более высокую диэлектрическую проницаемость и потому получили название High-k-диэлектрики (коэффициент к [к1] также обозначает диэлектрическую проницаемость). Пусть, к примеру, емкость конденсатора, образованного диоксидом кремния, равна:

где С>ох> — диэлектрическая проницаемость диоксида кремния, tm— толщина слоя диоксида кремния.
Емкость конденсатора, образованного диэлектриком с высоким значением, составляет:

где C>High-K> — диэлектрическая проницаемость High-K-диэлектрика, U>High-K> — толщина слоя High-K-диэлектрика.
Для того чтобы емкости затворов с использованием диоксида кремния и диэлектрика с High-K были равными, необходимо, чтобы выполнялось условие:

то есть чтобы толщина слоя High-K-диэлектрика была равна:

Таким образом, использование альтернативных материалов с более высокой диэлектрической проницаемостью позволяет во столько раз повысить толщину слоя диэлектрика по сравнению с толщиной диоксида кремния, во сколько раз диэлектрическая проницаемость вещества больше диэлектрической проницаемости диоксида кремния. Увеличение же слоя диэлектрика позволяет, в свою очередь, уменьшить токи утечки.
В качестве High-K-материалов могут использоваться различные соединения, и в настоящее время компанией Intel уже реализован так называемый терагерцевый транзистор, в котором в качестве диэлектрика используется диоксисид стронция (ZrO>2>). Диэлектрическая проницаемость диоксида стронция равна 25, что в 6,4 раза больше, чем диэлектрическая проницаемость диоксида кремния. Соответственно для обеспечения той же самой емкости конденсатора при использовании диоксида стронция можно использовать в шесть с лишним раз более толстый слой диэлектрика. Это, в свою очередь, позволяет снизить ток утечки примерно в 10 тыс. раз.

Рисунок 3 - Получение диоксида стронция
Для получения диоксида стронция первоначально на поверхность кремния осаждают хлорид кремния (ZrCI>4>), после чего под воздействием пара он превращается в диоксид стронция, а побочный продукт реакции (соляная кислота) улетучивается (рисунок 3);
ZrC>4> + 2Н>2>О → ZrO>2> + 4HCI ↑.
Таким образом, использование новых диэлектрических материалов позволяет решить проблему возникновения тока утечки через затвор транзистора. Вторая проблема, как уже отмечалось, связана с возникновением тока утечки между истоком и стоком (рисунок 4).
Рисунок
4 - Возникновение тока утечки между
истоком и стоком транзистора
Проблема заключается в том, что транзистор, накапливающий заряд, обладает определенной емкостью. Эта емкость является паразитной и влияет на скорость переключения транзистора, то есть делает его более инертным.
Заряд, накапливаемый n-канальным транзистором в то время, когда он «открыт» (то есть когда на затвор подается положительный потенциал), не может «рассосаться» мгновенно после того, как транзистор запирается. В результате возникает ток утечки, ограничивающий скорость переключения транзистора, поэтому емкость транзистора желательно сделать как можно меньше. Для этого в новом поколении транзисторов применяется структура кремния на изоляторе (silicon on insulator, SOI), при которой (рисунок 5) на кремниевую подложку наносится слой диэлектрика и на нем размещается сам транзистор, то есть легированные области стока и истока, а также область затвора. Паразитный заряд накапливается преимущественно в областях под стоком и затвором, поэтому, чтобы исключить накопление этого заряда, необходимо разместить диэлектрик непосредственно под стоком и истоком. Вследствие этого сокращается толщина транзистора и уменьшается его емкость.
Рисунок.
5 - Структура SOI-транзистора
Использование SOI-транзисторов позволяет без существенного изменения технологии их изготовления (нет необходимости в ином литографическом процессе) повысить скорость работы транзисторов в среднем на 25%.
Уменьшение емкости транзистора путем добавления слоя диэлектрика вглубь кремния влечет за собой одно негативное последствие: поскольку при этом увеличивается сопротивление между истоком и стоком, приходится повышать напряжение, что, конечно, негативно отражается на характеристиках транзистора и всей микросхемы в целом.
Для того чтобы снизить сопротивление между истоком и стоком, увеличивают высоты этих областей (рисунок 6).

Рисунок 6 - Уменьшение сопротивления истока и стока в SOI-транзисторах
Все усовершенствования пленарных МОП-транзисторов были реализованы в новом поколении разработанных корпорацией Intel транзисторов, которые получили название терагерцевых транзисторов (рисунок 7) - они способны переключаться 1012 раз в секунду.

Рисунок 7 - Структура терагерцевого транзистора
Взгляд в будущее
Разработанные технологии терагерцевого транзистора позволяют значительно улучшить характеристики планарных транзисторов и продолжить предсказанное Гордоном Муром сокращение их размеров, но от разработки транзистора до его практического использования в производстве микросхем проходит немало времени. Так, еще в декабре 2000 года корпорация Intel объявила о создании МОП-транзистора с длиной канала 30 нм, в июне 2001 года был создан транзистор с длиной затвора 20 нм, а в декабре того же года уже было объявлено о создании терагерцевого транзистора с длиной канала 15 нм (рисунок 8).

Рисунок 8 - Планарные транзисторы с различной длиной канала
Однако ни один из разработанных транзисторов пока еще не используется в серийных микросхемах - это своего рода задел на будущее. Так, терагерцевый транзистор начнут использовать в микросхемах лишь к 2005 году.
Корпорация Intel уделяет огромное внимание разработке новых, перспективных транзисторов. В сентябре 2002 года было объявлено, например, о трехмерной конструкции транзистора с тройным затвором, которая обеспечивает более эффективный расход энергии по сравнению с традиционными пленарными транзисторами. Эта разработка знаменует собой начало эпохи неплоских трехмерных конструкций транзисторов, которые корпорация Intel планирует принять на вооружение для поддержания темпов развития, согласующихся с законом Мура, по окончании текущего десятилетия.
«Наши исследования показали, что по преодолении рубежа в 30 нм физическая основа плоских пленарных транзисторов с одинарным затвором начинает давать утечку слишком большого количества энергии, что не позволит нам достичь желаемых целей в плане производительности, - говорит доктор Джеральд Марчик (Gerald Marcyk), директор лаборатории изучения компонентов Intel. - Конструкция транзистора с тройным затвором позволит Intel создавать сверхмалые транзисторы, которые обеспечат еще более высокую производительность при низком энергопотреблении и сделают возможным дальнейшее практическое воплощение закона Мура».
Структура тройного затвора многообещающая разработка для дальнейшего развития архитектуры терагерцевого транзистора. В основе транзистора корпорации Intel с тройным затвором лежит новаторская трехмерная структура, похожая на приподнятую горизонтальную плоскость с вертикальными стенками (рисунок 9).

Рисунок 10 - Трехмерный транзистор напоминает катонную упаковку для яиц

Рисунок 11 - Структура многоканального трехзатворного транзистора
структура позволяет посылать электрические сигналы как по «крыше» транзистора, так и по обеим его «стенам». За счет подобной схемы распределения тока эффективно увеличивается площадь, доступная для прохождения тока, следовательно, снижается его плотность, а вместе с ней уменьшается и утечка. Тройной затвор строится на ультратонком слое полностью обедненного кремния, что обеспечивает еще большее снижение тока утечки и позволяет транзистору быстрее включаться и выключаться при значительном снижении энергопотребления.
Особенностью этой конструкции также являются поднятые исток и сток - в результате снижается сопротивление, что позволяет транзистору работать при токе меньшей мощности. Транзистор с тройным затвором в миллимикронных геометрических конструкциях работает не только более эффективно, но и более быстро, проводя на 20% больше тока по сравнению с традиционной планарной конструкцией, имеющей аналогичный размер затвора. Одним из важнейших преимуществ транзисторов с тройным затвором является возможность их производства с помощью существующего ныне литографического процесса.
«Наш транзистор с тройным затвором внешне напоминает картонную упаковку для яиц» (рисунок 10), —такой неожиданный образ для сделанного открытия нашел Роберт Чау (Robert Chau), почетный сотрудник Intel и директор лаборатории по исследованию транзисторов. Интересно, что, когда он выступал с рассказом о новом транзисторе перед учеными всего мира на одной из крупнейших технологических конференций, в кулуарах то и дело звучал риторический вопрос: «Почему же нам это не пришло в голову?!»
Использование трехмерной архитектуры транзистора позволяет производить многоканальные трехзатворные транзисторы (Multi-Channel Tri-Gate Devices).
В таких устройствах (рисунок 11) используется один трехмерный затвор, который сразу управляет прохождением тока между несколькими парами истоков и стоков, то есть одновременно образует множество каналов. Такая архитектура в еще большей степени позволяет повысить плотность размещения транзисторов на кристалле и, кроме того, повысить силу тока в транзисторе, поскольку суммарный ток, проходящий через транзистор, пропорционален количеству пар истоков-стоков в транзисторе.
Отладка кристаллов микросхем
Одно из важнейших условий стабильности работы системы — надежность и качество ее комплектующих. И в первую очередь это касается микропроцессоров и других современных микросхем. Еще на стадии проектирования проводится моделирование распространения сигналов и синхронизации, а также моделирование на уровне компонентов, микросхемы и системы в целом.
Например, только на стадии разработки процессоры Intel проходят 176 квадриллионов (1015) циклов проверки (Вообще, по ряду оценок, корпорация Intel реализует самую полную в отрасли программу испытаний процессоров и платформ, и совместно с производителями и разработчиками программного обеспечения работает над оптимизацией производительности и совместимости платформ. Intel тратит на проверку своей продукции более 300 миллионов долларов в год, этой работой занято более 2500 сотрудников корпорации по всему миру). А после выпуска образцов проводится строгое тестирование на уровне системы и проверка электрических параметров, а также всестороннее испытание на совместимость, охватывающее более двадцати операционных систем, полутора сотен периферийных устройств и четыреста приложений. Проверка включает более 250 тысяч отдельных тестов с использованием более чем шестисот программных приложений и длится примерно 6–8 недель круглые сутки. Мобильные эталонные платформы проходят примерно 26 тысяч часов дополнительного тестирования и испытаний — в частности, средствами управления энергопотреблением, в более широком диапазоне условий среды и пр.
Серьезнее всего проверяется «сердце» компьютера — процессор. Скажем, процессор Pentium 4 проходит 1 триллион случайных проверок инструкций в неделю, 2 тысячи тестов на совместимость с предыдущими архитектурами, 2450 тестов функций процессора, нагрузочное тестирование системы ввода/вывода с миллионами вариантов функций набора микросхем, расширенное тестирование случайных команд для конвейера процессора. Это гарантирует совместимость и оптимальную производительность для широчайшего спектра операционных систем и приложений, сетевых устройств и аппаратных компонентов.
Между тем процесс тестирования и отладки современных микросхем постоянно усложняется — ведь растет функциональная насыщенность кристаллов, уменьшается размер транзисторов, увеличивается их число. Но следствием того же закона Мура является и рост вероятности появления багов (ошибок) в кристаллах! Именно по причине огромного количества интегрированных в микросхему транзисторов и их крошечного размера вопросы надежности и качества их работы выходят на первый план. Для их решения и упрощения отладки сложнейших кристаллов в опытном и серийном производстве ведущие производители полупроводниковой продукции разрабатывают и широко используют различные методы контроля, анализа и коррекции. В их основу положены самые современные научные достижения в области физики твердого тела, оптики и других дисциплин. А в последнее время широко стали применяться и нанотехнологии. В этой статье мы попробуем взглянуть на некоторые из таких методов (их полный обзор занял бы не одну толстую книжку). И помогут нам в этом визиты в святая святых корпораций Intel и AMD — их фабричные и исследовательские лаборатории.
Intel Silicon Debug
В структуре деятельности Intel есть такое понятие — Silicon Debug. Это отладка — обнаружение и устранение ошибок и неудачных мест в кремниевых кристаллах микросхем (для краткости далее мы будем использовать английский термин, а не его перевод). Методы Silicon Debug позволяют исправлять как блоки, так и отдельные транзисторы на поверхности кристалла. А учитывая наномасштабы элементов современных микросхем, такие действия превращаются в подлинное искусство, и их всё возрастающую важность на современном этапе развития полупроводниковой промышленности трудно переоценить. Существует даже глобальная инженерная организация — Corporate Quality Network или CQN, которая занимается разработкой и поставкой инновационных, патентованных продуктов для решения подобных вопросов.
Методы Silicon Debug должны, во-первых, давать возможность обнаруживать проблемы в кристаллах, работающих на высоких частотах, — причем неразрушающим способом и в микромасштабах, а во-вторых, по возможности устранять их. И делать все это надо быстро, экономя время разработки и отладки кристаллов, — например, проверить в работе скорректированный кристалл до создания новых, исправленных фотолитографических масок. Сейчас эти методы тесно интегрированы в производственный процесс.
Традиционные способы диагностики
В дрезденских лабораториях AMD нам показали, как испытываются некоторые важные параметры микропроцессоров последнего поколения (90-нм Athlon 64). Этим занимаются так называемые Quality Lab и Material Analysis Lab. Во-первых, очень широко применяется так называемый «разрушающий» анализ. Дело в том, что многие важные параметры производимых на фабриках микроструктур могут быть измерены только разрушающим способом. Для этого в готовых или полуготовых (при контроле на стадии производства) кристаллах делаются поперечные сечения или разрезы.
А далее применяются широко известные в физике методы — оптическая микроскопия, сканирующая электронная микроскопия (SEM), просвечивающая электронная микроскопия высокого разрешения (TEM), рентгеновская дифракция (XRD), атомно-силовая микроскопия (AFM) и другие.
Анализ структур
Например, SEM является очень распространенным, оперативным и удобным методом контроля геометрических размеров создаваемых структур — транзисторов, металлических слоев и омических контактов между ними (а в современных 130-нм и 90-нм процессорах AMD — 9 слоев межсоединений и аж пять миллиардов контактов, и в их качестве и соответствии размеров проектным нормам надо быть уверенным). На современных технологических установках такой электронный микроскоп дополнен ионной пушкой. При помощи сфокусированного ионного луча (используются тяжелые ионы галлия) в нужном месте кристалла делается небольшой надрез и «вытравливается» неглубокая и аккуратная вертикальная канавка — чтобы под углом в электронный микроскоп было видно сечение верхних слоев микросхемы и можно было определить характерные размеры различных компонентов структуры. При помощи этой же аппаратуры можно определять и некоторые электронные свойства структур, а также контролировать количество дефектов на поверхности пластины.
Аналогичным образом (ионной пушкой) делаются сечения и для более тонкого метода визуального контроля — TEM. Этот метод чаще применяется для анализа сечений современных нанотранзисторов, поскольку некоторые их размеры настолько малы (например, в области затвора, см. фото выше), что разрешения SEM просто не хватает. Тут же можно сделать и элементный (химический) анализ атомарных слоев — например, измерить распределение азота в слое.
При помощи различных традиционных методов поверхностного анализа измеряется профиль легирования слоев кремния атомами примеси (B, P, As) — концентрацию легирующих примесей в процессе производства микросхем нужно уверенно контролировать, чтобы получить p-n-переходы с заданными свойствами. Для анализа дефектов в поверхностном слое монокристалла кремния служит SIMS (Secondary Ion Mass Spectrometer). Фотоэлектронный микроскоп измеряет концентрацию азота в диэлектрике затвора. Все эти установки используют ультравысокий вакуум. Атомно-силовой микроскоп определяет шероховатость (неровность) поверхностей и размер зерен осаждаемых в производстве материалов.
Электрические испытания
Помимо этого, в лабораториях по контролю качества делаются различные электрические тесты готовых структур. Например, тесты на электромиграцию и диэлектрический пробой.
Полные тесты электромиграции в омических контактах и межсоединениях необходимы для того, чтобы определить качество омических контактов в межсоединениях микропроцессора и оценить время жизни всей структуры. Напомним, что межсоединения в современных процессорах делают из меди, однако в местах омических контактов наносят тонкий проводящий подслой (обычно его состав является ноу-хау компании). На электромиграцию тестируются как новые технологии при их разработке, так и текущие — квалифицируются продукты перед их выпуском на рынок и образцы серийной продукции. Для вычисления времени жизни контактов поводятся тесты на повышенной температуре — при 350–360 градусах Цельсия. О времени жизни судят по степени омической деградации контактов в течение определенного времени (не принимая во внимание неомические нарушения) — при такой высокой температуре деградация контактов становится заметной уже через несколько дней или недель работы. Далее процесс экстраполируют на штатные рабочие температуры процессора (до 100 градусов). Если получается более 100 тысяч часов (около десяти лет), продукт считается годным, если нет — партию кристаллов бракуют. Тестировать кристаллы можно прямо на неразрезанных пластинах.
Диэлектрический пробой подзатворного диоксида кремния — бич современных транзисторов. Поскольку подзатворный диэлектрик сейчас предельно тонок (1,4 нм или шесть атомарных слоев в последних процессорах AMD; у Intel еще тоньше — 1,2 нм), то его изолирующие свойства со временем ухудшаются. Особенно под действием достаточно высокого напряжения (около 1,4 В у современных настольных микропроцессоров [Что соответствует гигантскому электрическому полю — около миллиона вольт на миллиметровый промежуток. Например, виниловая изоляция бытовых электропроводов рассчитана на поля примерно в тысячу раз меньше. Физические механизмы зависящего от времени диэлектрического пробоя подзатворного диэлектрика весьма сложны и неоднозначны, поэтому тут используют комплексную эмпирику. Время жизни процессоров «по диэлектрику» определяют при помощи трех параметров экстраполяции — делаются стресс-тесты при повышенном напряжении (2,0–2,9 В), при повышенной температуре и на транзисторах большей площади. Полученные результаты экстраполируются на реальные размеры и условия работы транзисторов (например, температуру 90 градусов и напряжение 1,4 В) и по спецификациям допустимого тока утечки вычисляется среднее время жизни. По словам одного из сотрудников лаборатории AMD, для процессоров Opteron последнего поколения (90 нм) среднее время жизни оценивается (по этой характеристике) примерно в три года, но такое, казалось бы, малое время оправдывается требованиями нынешних пользователей — им, дескать, уже не нужны процессоры, живущие десять лет, поскольку апгрейд, как правило, требует их замены чаще.
Бесконтактная диагностика микросхем
Идеальным тестовым прибором для проверки кристаллов является тот, который бы мог измерять каждое напряжение, ток и температуру при определенных условиях. Методы контактных микрозондов здесь непригодны в силу очень многих причин (В первую очередь хотя бы потому, что такой зонд не сможет «приконтачиться» непосредственно к транзисторам на пластине — ведь они находятся под несколькими слоями металлизации и толстым слоем пассивирующего диэлектрика). Поэтому используются бесконтактные — оптоэлектронные и тепловые.
Современная оптическая диагностика кристаллов микросхем использует микрозонд с импульсным лазером ближнего инфракрасного диапазона (Laser Probe). Луч лазера проходит сквозь подложку кристалла микросхемы с обратной стороны (то есть там, где нет слоев металлизации) и фокусируется на слое стоков-истоков и каналов работающих в реальном масштабе времени транзисторов. Слабый отраженный оптический сигнал модулируется исследуемым транзистором в соответствии с изменениями зарядов и напряжений в его канале и, таким образом, содержит информацию о его динамической работе. Обработанные аппаратурой сигналы с оптического датчика представляют собой осциллограммы с пикосекундным разрешением, амплитуда которых пропорциональна напряжению на каждом из транзисторов (рисунок 12), что позволяет детально анализировать любой транзистор прямо во время реальной работы микропроцессора! Кстати, все это проводится в специальных прецизионных термостатах, где можно испытывать кристаллы на пониженных и повышенных температурах.

Рисунок 12 - Отражение оптического сигнала от работающего транзистора
Сканирующий лазерный луч может дать контрастную (в градациях серого) карту транзисторов на выбранном участке микросхемы с неплохим разрешением. Поскольку сейчас для этого используется ближний ИК-диапазон с длиной волны в районе 1 мкм (в области оптической прозрачности кремния, иначе подложку насквозь не просветишь), то и разрешение этого метода — не лучше долей микрона (на виденных мной в лабораториях Intel «живых» картинках можно было различить детали размером около 0,15 мкм). Однако для целей отладки и обнаружения слабых мест этого вполне хватает, поскольку даже в самых современных микропроцессорах, производимых по 90-нм технологии, продольный (то есть от истока к стоку) размер транзистора (Так называемый pitch (шаг), определяемый как расстояние между серединами контактов стока и истока транзистора. Pitch фактически является минимальным шагом размещения транзисторов на кристалле. Тогда как реальная полная «длина» транзистора может быть и больше) составляет более 300 нм (А транзистор в данном анализе нужен только целиком, то есть различать области его затвора, стока и истока, имеющие, разумеется, меньше размеры, попросту не нужно). Более того, данная аппаратура применима и для будущих техпроцессов с нормами 65 и 45 нм, где размер транзистора (точнее, pitch) равен 220 и примерно 150 нм соответственно.
Другим современным бесконтактным методом анализа полупроводниковых структур является Time-Resolved Emission (спектроскопия с временным разрешением). Дело в том, что современные КМОП-структуры являются к тому же и активными оптоэлектронными приборами. Переключающиеся транзисторы излучают вспышки света, хотя этот свет и очень слаб — один инфракрасный фотон испускается примерно за 10 тысяч переключений транзисторов. Тем не менее, подсчет этих фотонов во времени делает возможным получение осциллограмм работы транзисторов, используя полностью пассивный («неагрессивный») режим (Напомним, что в предыдущем случае использовался облучающий лазер, который мог определенным паразитным образом воздействовать на объект исследования). Здесь также возможно достижение пикосекундного разрешения во времени и субмикронного в пространстве, причем для двумерных карт фрагментов микросхем (на экране можно видеть переключающиеся блоки и транзисторы, см. фото). Кроме того, снимаются и своеобразные электрокардиограммы (Электрокардиограммы — медицинское понятие, осциллограммы электрических импульсов животного организма во времени, снятые в разных его точках) сигналов time-resolved emission для отдельных транзисторов.

Рисунок 13 - «Электрокардиограмма» кристалла
Третьим интересным современным диагностическим методом Silicon Debug является активное воздействие на приборы при помощи лазера (Laser-Assisted Device Alteration). Основная идея метода — лазер сканирует по поверхности кристалла работающей в режиме обычного (электронного) теста микросхемы, и когда луч попадает на элемент (транзистор), работающий в критическом режиме (с малым запасом надежности), тест дает сбой. Тем самым определяются наиболее «слабые» участки чипа, работа которых с наибольшей вероятностью приведет к сбою всей микросхемы. Этот тест можно разнообразить, меняя рабочие напряжения и частоты функционирования микросхемы во время лазерного сканирования.
Методы Laser Probe и Time-Resolved Emission широко применяются для обнаружения единичных отказов логики, сбоев из-за паразитных емкостных, индуктивных и резистивных перекрестных связей и из-за шума источника питания. Третий метод более эффективен при дефектах типа всплесков dI/dt, низковольтных колебаний и нестабильности питания (то есть там, где КМОП-ячейка недостаточно надежно фиксирует уровни логических 0 или 1). Разумеется, в дополнение к этим новейшим методам применяются и более традиционные, разрушающие способы диагностики структур — см. врезку.
Кремниевая нанохирургия
Для устранения обнаруженных дефектов на предварительном этапе отладки кристаллов в Intel широко используется так называемая кремниевая нанохирургия (nanosurgery). Дело в том, что на чипах микросхем предусматривается некоторое место (в различных областях по всей площади кристалла) для размещения «свободных», то есть незадействованных в основной схеме транзисторов. Точнее даже не транзисторов, а функциональных КМОП элементов — вентилей, линий задержки, триггеров и пр. Если, например, в процессе диагностики обнаружился дефект и моделирование на компьютере показывает, что этот дефект можно устранить, внедрив дополнительный элемент в схему (скажем, простейшую линию задержки, состоящую из двух логических инверторов), то далее для проверки этого предположения «в железе» применяется нанохирургия, которая позволяет «вставить» резервный элемент прямо в основную схему на кристалле, разрезав соединения, где это потребуется. Это подобно тому, как при лабораторной отладке радиоэлектронных схем (материнских плат, видеокарт и пр.) нужные радиоэлементы (транзисторы, резисторы и даже микросхемы) впаиваются в нужные участки — порой, «в навал» на уже готовую плату, если заранее места для них не предусмотрено. Но в кремниевой нанохирургии эти операции, разумеется, имеют многократно большую сложность и до недавнего времени были практически невозможны — для исправления каждого бага (или группы багов) приходилось изготавливать новую партию дорогостоящих фотомасок, выпускать пробную партию кристаллов (а это занимает несколько недель) и повторять все это снова и снова, если проблемы оставались.

Рисунок 14 - Операция исправления багов
Итак, для проведения «нанохирургии» с обратной стороны кремниевого кристалла (в подложке) ступенчато вытравливаются углубления в форме квадратных обратных пирамид (рисунок 14). Для селективного травления используется сфокусированный ионный пучок и специальный газ-реагент. Точное место травления — прямо «под» нужным элементом — определяется оптическими методами, описанными выше, причем в процессе травления положение ямки постоянно уточняется и корректируется с тем, чтобы на финальной стадии небольшое (диаметром в единицы микрон и даже меньше) углубление попало точно в нужный металлический контакт (с обратной его стороны). После того как ямка «прорыта» до контакта со схемой, в нее «заливается» металл (например, вольфрам) — до образования надежного электрического контакта со схемой. После этого полученные металлические контакты к разным участкам схемы можно соединить между собой в нужной последовательности, осаждая (напыляя) перемычки с тыльной стороны кремниевой пластины (см. фото) — прямо как напайка дополнительных проводков на печатную плату.
Модифицированная таким способом электронная схема кристалла тщательно проверяется заново (включая оперативную бесконтактную диагностику), и если исправление дефектов первоначального проекта прошло успешно, разрабатываются новые фотошаблоны, учитывающие опробованные изменения. Если же процедура исправления не дала удовлетворительных результатов, «нанохирургическую» операцию можно повторять снова и снова (и занимает она, кстати, всего несколько часов) — до тех пор, пока не найдется надежный путь исправления дефекта. Таким образом, экономится уйма времени и средств, которые бы ушли на исправление, если действовать традиционными методами (через новые фотомаски и кристаллы). Более того, этим способом можно быстро исправлять целую последовательность проблем, каждая из которых может быть обнаружена только после исправления предыдущей. И экономия тут будет просто колоссальная.
Кстати, для проведения подобных процедур прямо на готовых, помещенных в корпус кристаллах очень удобна именно та упаковка, которая применяется микропроцессорной индустрией последние несколько лет — Flip-Chip (FC-BGA). В ней кристалл расположен подложкой кверху и все операции с обратной стороны чипа легко проводить даже при включенной в тестовый стенд микросхеме (а порой — тут же установить исправленный кристалл в материнскую плату и запустить Windows — это не шутка).
Описанный способ широко применяется при устранении проблем трех уровней:
ошибки функционирования
недостаточная производительность
проблемы с энергопотреблением
В частности, удается достаточно оперативно повысить рабочие частоты кристаллов (после чего выпускается, например, новый степпинг процессора по новым фотошаблонам), снизить потребляемую мощность, увеличить выход годных кристаллов с заданными параметрами. Например, для анализа и устранения проблем энергопотребления применяется так называемый инфракрасный микроскоп IREM (InfraRed Emission Microscope), который позволяет наблюдать участки повышенного нагрева кристалла в работе (вплоть до отдельных транзисторов или логических блоков).
Полученные термомикрограммы используются для поиска мест повышенных утечек в кристалле, наиболее разогревающихся элементов при высокой частоте работы, и для выработки нужных решений по улучшению кристаллов.
Заключение
В работе были рассмотрены некоторые аспекты, связанные с развитием микропроцессорной техники.
Специалисты компании Intel оценивают возможность дальнейшей миниатюризации весьма оптимистично. Дальнейшее совершенствование технологий ИС связано с большими трудностями и финансовыми затратами, но разработки в этой области активно ведутся и, скорее всего. Это процесс будет продолжаться еще несколько десятков лет.
Список используемых источников
Сергей Пахомов. Экспансия закона Мура//Компьютер пресс. - 2003. - №1. - С.16-22.
Сергей Пахомов. Эра трехмерных транзисторов//Компьютер пресс. - 2003. - №1. - С.34-38.
Александр Карабуто. Отладка кристаллов микросхем//Компьютера. - №37. - 2004.