Перетворення координат, операції масштабування в бібліотеці Opengl
МІНІСТЕРСТВО ОСВІТИ УКРАЇНИ
Бердичівський політехнічний коледж
КОНТРОЛЬНА РОБОТА
з предмета “Комп’ютерна графіка”
(варіант №8)
Перетворення координат, операції масштабування
в бібліотеці Opengl
м. Бердичів 2007 р.
1. Перетворення координат: афінне перетворення на площині, тривідерне афінне перетворення
Спочатку розглянемо загальні питання перетворення координат. Нехай задана n-вимірна система координат у базисі (k1 ,k2, ..., kn), яка описує положення точки у просторі за допомог гою числових значень kі. У КГ найчастіше використовуються двовимірна (п = 2) та тривимірна (п = 3) системи координат.
Якщо задати іншу, N-вимірну, систему координат у базисі (т1, т2, ..., mN), і поставити задачу визначення координат у новій системі, знаючи координати в старій, то рішення (якщо воно існує) можна записати у такому вигляді:

де fi— функція перерахування i-ї координати, аргументами є координати у системі ki. Можна поставити й обернену задачу: по відомих координатах (m1 ,т2, .... mN), визначити координати (к1 ,к2, ..., кn). Рішення оберненої задачі запишемо так:

де Fi — функції оберненого перетворення.
У випадку, коли розмірності систем координат не збігаються (п N), здійснити однозначне перетворення координат найчастіше не вдається. Наприклад, за двовимірними екранними координатами не можна без додаткових умов однозначно визначити тривимірні координати об'єктів, що відображаються.
Якщо розмірності систем збігаються (n = N), то також можливі випадки, коли не можна однозначно вирішити пряму або обернену задачі. Перетворення координат класифікують:
• за системами координат — наприклад, перетворення з полярної системи у прямокутну;
• за видом функції перетворення .
За видом функцій перетворення розрізняють лінійні та нелінійні перетворення. Якщо
при усіх i= і, 2, ..., N функції fi — лінійні відносно аргументів (k1 ,k2, ..., kn), тобто

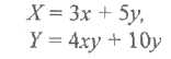
де aij — константи, то такі перетворення називаються лінійними, а при n = N— афінними. Якщо хоча б для одного i функція fi є нелінійною відносно (k1 ,k2, ..., kn), тоді перетворення координат у цілому є нелінійним. Наприклад, перетворення

нелінійне, оскільки є добуток ху у виразі для Y. Тим, хто цікавиться математичними аспектами, що відносяться до систем координат і перетворення систем координат, можна порекомендувати такі книги, як [15, 23].
Лінійні перетворення наглядно записуються в матричній формі:

Тут матриця коефіцієнтів (аіj) множиться на матрицю-стовпець (ki), й у результаті матимемо матрицю-стовпець (mi).
Ми й далі часто будемо використовувати множення матриць, тому зробимо невеличкий екскурс у матричну алгебру. Для двох матриць — матриці А розмірами (т*п) та В — (п*р):

матричним добутком є матриця С = АВ розмірами (т*р)

для якої елементи cij обраховуються за
формулою
.
Правило обчислення елементів матриці С можна легко запам'ятати за назвою "рядок на стовпець". І дійсно, для обчислення будь-якого елемента cij необхідно помножити елементи і-го рядка матриці А на елементи j -го стовпця матриці В.

Добуток матриць визначається тільки для випадку, коли кількість стовпців матриці А дорівнює кількості рядків матриці В. Більш докладно з матрицями ви можете ознайомитися в математичній літературі, наприклад, у [5]. Тепер повернемося знову до перетворень координат. Розглянемо більш докладно деякі окремі типи перетворень.
Афінне перетворення на площині
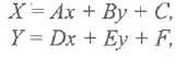
Задамо якусь двовимірну систему координат (х, у). Афінне перетворення на площині описується формулами

де А, В, ..., F — константи. Значення (X, Y) можна розглядати як координати в новій системі координат.
Обернене перетворення (X, Y) у (х, у) також є афінним:

Афінне перетворення зручно записувати в матричному вигляді. Константи А, В, .... F утворюють матрицю перетворення, котра, будучи помножена на матрицю-стовпець координат (х, у) дає матрицю-стовпець (X, У). Однак щоб урахувати константи С та F, необхідно перейти до так званих однорідних координат — додамо ще один рядок у матрицях координат:

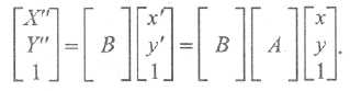
Матричний запис дає можливість наочно описувати декілька перетворень, що йдуть одні за одними. Наприклад, якщо необхідно спочатку виконати перетворення

а потім — інше перетворення

то це можна описати як

Однак замість двох перетворень можна виконати тільки одне

де матриця С дорівнює добутку ВА.
Тепер розглянемо окремі випадки афінного перетворення.
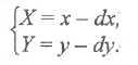
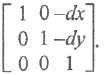
Паралельний зсув координат (рис. 2.1).


У матричній формі:

Обернене перетворення:

Розтягнення-стискання осей координат (рис. 2.2).



Обернене перетворення:
Коефіцієнти кх і кy можуть бути від'ємними. Наприклад, кх = -1 відповідає дзеркальному відбиттю відносно осі у.
Поворот (рис. 2.3).

Обернене перетворення відповідає
повороту системи (X, Y) на кут (-
).

Властивості афінного перетворення
• Будь-яке афінне перетворення може бути представлене як послідовність операцій з числа вказаних найпростіших: зсув, розтягнення/стискання та поворот.
• Зберігаються прямизна лінії, паралельність прямих, відношення довжин відрізків, які лежать на одній прямій, та співвідношення площ фігур.
2. Операції масштабування, переносу, повороту в бібліотеці Opengl
Ми вже знаємо, що межі області висновку лежать в межах від -1 до 1 Це може привести до незручності при підготовці зображень На щастя, OpenGL надає зручний засіб на цей випадок – масштабування. Розберемо його на прикладі програми побудови фігури, показаної на рис 2. 8.Для зміни масштабу використовується команда glScalef із трьома аргументами, що є масштабними множниками для кожної з осей. Наприклад, якщо перед командними дужками вставимо рядок glScalef (0. 5, 0. 5, 1. 0); то буде намальована зменшена в два рази фігура (готовий проект розташовується в підкаталозі Ex50) .После команд малювання необхідно відновити нормальний масштаб, т. e в даному випадку додати рядок:
glScalef (2. 0, 2. 0, 1. 0);.
Є і інший спосіб запам'ятовування/відновлення поточного масштабу, але | про нього ми поговоримо пізніше. Відновлювати масштаб необхідно для того, щоб кожне подальше звернення до обробника перемальовування екрану не приводило, наводило б до послідовного зменшення/збільшення зображення У принципі, можна для того, щоб звернутися до рядка єдиний раз в ході роботи застосування.
Масштабні множники можуть мати негативні значення, при цьому зображення перевертається по відповідній осі. Ілюструючи цю властивість проект перебуває в підкаталозі Ex51.
При двовимірних побудовах значення коефіцієнта по осі Z байдуже, одиниця узята без особливих міркувань.
Для повороту використовується команда glRotatef із чотирма аргументами: кут повороту, в градусах, і вектор повороту, три дійсні числа.
Для двовимірних побудов найбільш наочний поворот по осі Z, чим я і користуюся в прикладах, що наводяться. У попередньому прикладі перед командними дужками вставте рядок:
glRotatef (5, 0. 0, 0. 0, 1. 0);
і створіть обробник події Keypress з єдиною командою Refresh. Тепер при натисненні будь-якої клавіші вікно перемальовувалося, при цьому кожного разу фігура обертається на п'ять градусів по осі Z (проект із підкаталогу Ex52). Тут треба звернути увагу на дві речі: на те, що при позитивному значенні компоненти вектора поворот здійснюється проти годинникової стрілки і те, що важливо не саме значення компоненти, а її знак і нерівність її нулю. Хоча ми поки обмежуємося площинними побудовами поворот по будь-якій з осей позначається на відтворній картинці. Перевірте: при повороті по осях X і Y ми одержуємо правильну картинку в проекції з урахуванням повороту по осях.
Поворот часто використовується при побудовах тому важливо розібратися в ньому досконально. Точно так, як і було з масштабом, поворот діє на все наступні команди відтворення, так що при необхідності поточний стан відновлюється зворотним поворотом. Наприклад, якщо треба намалювати повернений на 45 градусів квадрат, т e. ромб, то код повинен виглядати так (готовий проект можете узяти в підкаталозі Ex53):
glRotatef (45, 0. 0, 0. 0, 1. 0);
glBegin (GL_POLYGON);
glVertex2f (-0. 6 -0. 1);
glVertex2f (-0. 6, 0. 4);
glVertex2f (-0. 1, 0. 4);
glVertex2f (-0. 1 -0. 1);
glEnd; lRotatef (-45, 0. 0, 0. 0, 1. 0);
Цей приклад дуже цікавий і ось чому. Видалимо відновлення кута повороту і запустимо додаток. Побачимо не ромб, а квадрат. При уважному розгляді виявимо, що квадрат був повернений двічі Відбулося це тому, що відразу після появи вікна на екрані (функція API showWindow) відбувається його перемальовування (функція API updateWindow). Якщо ви були уважні, то могли відмітити, що такий же ефект спостерігався і в попередньому прикладі. При виконанні операції повороту можна запитати: повертається зображення або точка зору? Ми будемо для ясності вважати, що повертається саме зображення. Наступний приклад пояснить це.
Точна відповідь такої всі об'єкти в OpenGL малюються в точці відліку системи координат, а команда glRotate здійснює поворот системи координат.
Намалюємо дві фігури: квадрат і ромб, причому ромб отримаємо шляхом повороту квадрата. Текст програми буде таким (проект з|із| підкаталогу Ex54):
glRotatef (45, 0. 0, 0. 0, 1. 0); glBegin (GL_POLYGON);
glVertex2f (-0. 6 -0. 1);
glVertex2f (-0. 6, 0. 4);
glVertex2f (-0. 1, 0. 4);
glVertex2f (-0. 1 -0. 1);
glEnd;
glRotatef (-45, 0. 0, 0. 0, 1. 0);
glBegin (GL_POLYGON);
glVertex2f (0. 1 -0. 1);
glVertex2f (0. 1, 0. 4);
glVertex2f (0. 6, 0. 4);
glVertex2f (0. 6 -0. 1);
glEnd;
Так само нам доведеться поступати завжди, коли на екрані присутні декілька об'єктів, повернених щодо один одного: перед малюванням чергового об'єкту здійснювати поворот, а після малювання - повертати точку зору або здійснювати наступний поворот з урахуванням поточного положення точки зору. Будь ласка, будьте уважні! Користувачі OpenGL, що починають, постійно ставлять питання, як повернути примітив, не повертаючи решту примітивів. Ще один раз перечитайте попередній абзац На закінчення розмови про поворот розглянете проект (підкаталог Ex55) заснований на прикладі диском. При натиснутій кнопці або русі курей, сміття відбувається перемальовування вікна і поворот диска на 60 градусів. Щоб ви могли оцінити переваги використання "низькорівневих" прийомів, вікно перемальовувалося в цих випадках по-різному:
procedure TfrmGL. FormKeyPress(Sender: TObject; var Key: Char);
begin
Refresh
end;
procedure TfrmGL. FormMouseMove(Sender: TObject; Shift: TShiftState; X, Y: Integer);
begin
InvalidateRect(Handle, nil, False);
end;
При натисненні кнопки добре видно мерехтіння на поверхні вікна, якого не з'являється при русі покажчика миші по його поверхні. Перенесення точки зору (системи координат) здійснюється командою glTranslatef з трьома аргументами - величинами переносу для кожної з осей. Все сказане з приводу відновлення точки зору справедливо і відносно переносу. Розгляньте приклад з підкаталогу Ex56, що ілюструє використання перенесення системи координат, використання повороту і перенесення - це найчастіше і використовується при побудовах.
Варто розібрати цей приклад докладніше. У циклі шість разів відбувається перенесення і поворот системи координат:
glTranslatef (-0. 3, 0. 3, 0. 0);
glRotatef (60, 0, 0, 1);
Кружечки малюються в поточній точці відліку системи координат, щодо якої відбуваються кожного разу перетворення. Після закінчення циклу точка зору повертається точно в початкове положення, тому додаткових маніпуляцій із системою координат не вимагається. Перед циклом робимо перенесення для вирівнювання картинки на екрані:
glTranslatef (0. 4, 0. 1, 0. 0);
Після циклу, звичайно, потрібно відновити первинне положення системи координат:
glTranslatef (-0. 4 -0. 1, 0. 0);.
Засобами бібліотеки Opengl активізувати джерело світла на формі

(рис. 1)
unit frmMain;
interface
uses
Windows, Messages, Classes, Graphics, Forms, ExtCtrls, Menus,
Controls, Dialogs, SysUtils,
OpenGL;
type
TfrmGL = class(TForm)
procedure FormCreate(Sender: TObject);
procedure FormResize(Sender: TObject);
procedure FormDestroy(Sender: TObject);
procedure FormPaint(Sender: TObject);
procedure FormKeyDown(Sender: TObject; var Key: Word;
Shift: TShiftState);
private
DC : HDC;
hrc : HGLRC;
Angle : GLfloat;
uTimerId : uint;
MaterialColor: Array[0..3] of GLfloat;
procedure Init;
procedure SetDCPixelFormat;
end;
const
GLF_START_LIST = 1000;
var
frmGL: TfrmGL;
implementation
uses mmSystem;
{$R *.DFM}
const
stripeImageWidth = 32;
var
stripeImage : Array [0..3*stripeImageWidth-1] of GLubyte;
procedure makeStripeImage;
var
j : GLint;
begin
For j := 0 to stripeImageWidth - 1 do begin
If j <= 4
then stripeImage[3*j] := 255
else stripeImage[3*j] := 0;
If j > 4
then stripeImage[3*j + 1] := 255
else stripeImage[3*j + 1] := 0;
stripeImage[3*j+2] := 0;
end;
end;
procedure OutText (Litera : PChar);
begin
glListBase(GLF_START_LIST);
glCallLists(Length (Litera), GL_UNSIGNED_BYTE, Litera);
end;
procedure TfrmGL.Init;
const
sgenparams : Array [0..3] of GLfloat = (1.0, 1.0, 1.0, 0.0);
begin
glEnable(GL_DEPTH_TEST);// разрешаем тест глубины
glEnable(GL_LIGHTING); // разрешаем работу с освещенностью
glEnable(GL_LIGHT0); // включаем источник света
makeStripeImage();
glPixelStorei(GL_UNPACK_ALIGNMENT, 1);
glTexParameterf(GL_TEXTURE_1D, GL_TEXTURE_MAG_FILTER, GL_LINEAR);
glTexParameterf(GL_TEXTURE_1D, GL_TEXTURE_MIN_FILTER, GL_LINEAR);
glTexImage1D(GL_TEXTURE_1D, 0, 3, stripeImageWidth, 0,
GL_RGB, GL_UNSIGNED_BYTE, @stripeImage);
glTexGeni(GL_S, GL_TEXTURE_GEN_MODE, GL_OBJECT_LINEAR);
glTexGenfv(GL_S, GL_OBJECT_PLANE, @sgenparams);
glEnable(GL_TEXTURE_GEN_S);
glEnable(GL_TEXTURE_1D);
end;
procedure TfrmGL.FormPaint(Sender: TObject);
begin
glClear(GL_COLOR_BUFFER_BIT or GL_DEPTH_BUFFER_BIT);
glPushMatrix;
glRotatef(Angle, 0.0, 1.0, 0.0); // поворот на угол
glMaterialfv(GL_FRONT, GL_AMBIENT_AND_DIFFUSE, @MaterialColor);
OutText ('Включення світла');
glPopMatrix;
SwapBuffers(DC);
end;
procedure FNTimeCallBack(uTimerID, uMessage: UINT;dwUser, dw1, dw2: DWORD) stdcall;
begin
With frmGL do begin
Angle := Angle + 0.2;
If (Angle >= 720.0) then Angle := 0.0;
MaterialColor [0] := (720.0 - Angle) / 720.0;
MaterialColor [1] := Angle / 720.0;
MaterialColor [2] := Angle / 720.0;
InvalidateRect(Handle, nil, False);
end;
end;
procedure TfrmGL.FormCreate(Sender: TObject);
begin
Angle := 0;
DC := GetDC(Handle);
SetDCPixelFormat;
hrc := wglCreateContext(DC);
wglMakeCurrent(DC, hrc);
wglUseFontOutlines(Canvas.Handle, 0, 255, GLF_START_LIST, 0.0, 0.15,
WGL_FONT_POLYGONS, nil);
Init;
uTimerID := timeSetEvent (1, 0, @FNTimeCallBack, 0, TIME_PERIODIC);
end;
procedure TfrmGL.FormResize(Sender: TObject);
begin
glViewport(0, 0, ClientWidth, ClientHeight);
glMatrixMode(GL_PROJECTION);
glLoadIdentity;
gluPerspective(40.0, ClientWidth / ClientHeight, 1.0, 20.0);
glMatrixMode(GL_MODELVIEW);
glLoadIdentity;
glTranslatef(0.0, 0.0, -8.0);
glRotatef(30.0, 1.0, 0.0, 0.0);
InvalidateRect(Handle, nil, False);
end;
procedure TfrmGL.FormDestroy(Sender: TObject);
begin
timeKillEvent(uTimerID);
glDeleteLists (GLF_START_LIST, 256);
wglMakeCurrent(0, 0);
wglDeleteContext(hrc);
ReleaseDC(Handle, DC);
DeleteDC (DC);
end;
procedure TfrmGL.FormKeyDown(Sender: TObject; var Key: Word;
Shift: TShiftState);
begin
If Key = VK_ESCAPE then Close
end;
procedure TfrmGL.SetDCPixelFormat;
var
nPixelFormat: Integer;
pfd: TPixelFormatDescriptor;
begin
FillChar(pfd, SizeOf(pfd), 0);
with pfd do begin
nSize := sizeof(pfd);
nVersion := 1;
dwFlags := PFD_DRAW_TO_WINDOW or
PFD_SUPPORT_OPENGL or
PFD_DOUBLEBUFFER;
iPixelType:= PFD_TYPE_RGBA;
cColorBits:= 24;
cDepthBits:= 32;
iLayerType:= PFD_MAIN_PLANE;
end;
nPixelFormat := ChoosePixelFormat(DC, @pfd);
SetPixelFormat(DC, nPixelFormat, @pfd);
end;
end.
Завдання №4 (11)
procedure TfrmGL.FormKeyPress(Sender: TObject; var Key: Char);
begin
if key = '-' then mx:=mx+1;
if key = '+' then mx:=mx-1;
InvalidateRect(Handle, nil, False);
end;
end.
Список використаної літератури
Блінова Т.О., Порєв В.М. Комп’ютерна графіка / За ред. В.М. Горєва. – К.: Видавництво “Юніор”, 2004. – 456с., іл.
С.В. Глушаков, Г.А. Крабе Компютерная графика, Харьков 2002
OpenGl, технология ставшая символов, Учебник в примерах.
Конспект лекцій.
1