Работа с полноцветными, полутоновыми и бинарными изображениями
МИНИСТЕРСТВО ОБРАЗОВАНИЯ И НАУКИ РЕСПУБЛИКИ БЕЛАРУСЬ
БЕЛОРУССКИЙ НАЦИОНАЛЬНЫЙ ТЕХНИЧЕСКИЙ УНИВЕРСИТЕТ
МЕЖДУНАРОДНЫЙ ИНСТИТУТ ДИСТАНЦИОННОГО ОБРАЗОВАНИЯ
(МИДО)
ЛАБОРАТОРНЫЕ РАБОТЫ
по дисциплине: ”Получение и обработка изображений”
Выполнили: ст. гр. 417314
Бондарев А.._________________
Журавлев А.И._________________
Приняла:
Монич Ю.И. ____________________
Минск 2008
Лабораторная работа №1
Работа с бинарными изображениями. Методы преобразования бинарных изображений в полутоновые
Задание
Открыть бинарное изображение
Получить матрицу изображения
Применить к матрице изображения преобразование с использованием двух волн.
Создание нового бинарного изображения
Сохранение изображения.
Теоретические сведения
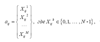
Растр - форма представления изображения в виде элементов (пикселов), упорядоченных в строки и столбцы. Название пиксел образовано как сокращение от английского picture element (элемент изображения). Пиксел - наименьший элемент из множества которых создается изображение.
Пусть
растровое изображение, представляющее
собой прямоугольную матрицу размера m
x
n,
a>ij>
- элемент
изображения (пиксель).
В случае если
и принимает только два значения, то
изображение называется бинарным и
состоит только из черных и белых пикселей.
В случае если каждый
элемент растра
и принимает N значений, то изображение
называется полутоновым и каждый пиксель
может принимать N оттенков серого
(градаций яркости).
Е
сли
то изображение называется цветным,
каждый пиксель может
иметь любое из N3
возможных значений цвета, пределяемое
соответствующими ему координатами
в цветовом пространстве.

Если же изображение
называется многоканальным. Такое
изображение состоит из совокупности М
полутоновых
изображений
.
Каждому
пикселю соответствует М-компонентный
вектор со значениями яркости,
соответствующими ему во всех М
изображениях.
Бинарные изображения
Изображение книжной страницы служит типичным примером представителя двухуровневого (черно-белого, бинарного) изображения. Подобные изображения можно представлять матрицами, затрачивая по одному биту на элемент, а также и в виде «карт», так как на этих изображениях имеются хорошо различимые области одного цвета. Именно поэтому мы объединяем в один класс изображения, представляемые в нескольких «цветах», и двухуровневые изображения, несмотря на то, что представление с затратой одного бита на элемент матрицы удачно лишь для двухуровневых изображений. Одна из проблем, возникающих в связи с использованием одного бита для представления каждого пиксела, заключается в отсутствии стандартного для различных типов ЭВМ и устройств визуального отображения способа объединения битов в байт и байтов в слово. Так, крайний слева пиксел может представляться как наименее, так и наиболее значимыми битами байта.
Пусть В и IV - два множества соответственно черных пикселей (объект) и белых пикселей (фон), составляющих бинарное изображение. Каждый пиксель изображения имеет восемь соседей, которые нумеруются в соответствии со следующей схемой:
|
А4 |
А3 |
А2 |
А4 |
А3 |
А2 |
А4 |
А3 |
А2 |
||
|
А5 |
Аij |
А1 |
А5 |
Аij |
А1 |
А5 |
Аij |
А1 |
||
|
А6 |
А7 |
А8 |
А6 |
А7 |
А8 |
А6 |
А7 |
А8 |
I. II. III.
S>8> (A>ij>) - это множество всех соседей А>ij >(кроме собственно А>ij>), называемое 8-соседями А>ij>. Соседи с нечетными номерами – прямые соседи А>ij> или 4-соседи, обозначаемые как S4 (aij); соседи с четными номерами — это непрямые соседи А>ij>, которые обозначаются как SD (А>ij>). В общем случае под понятием соседства понимается S8. Множество S8(А>ij>) называется 8-окрестностью А>ij>, а множество S4(А>ij>) называется 4-окрестностъю А>ij>. Топология на цифровой плоскости определяется с помощью отношения соседства.
Пиксель А>ij> из В, имеющий всех соседей из В, - внутренний пиксель.
Совокупность всех внутренних пикселей В называется ядром или внутренностью В. Все пиксели В, не являющиеся внутренними, называются контурными пикселями.
Преобразование бинарных изображений
Две волны:
В качестве примера рассмотрим
преобразование бинарного файла
предупреждение.bmp
Получаем матрицу изображения. Черные пиксели представлены 1, белые 0.
Для преобразования изображения методом двух волн для каждого пикселя A>ij> строим полутоновую матрицу. При этом рассматриваются окрестности пикселя размером 5х5. При этом значение соседей из S8 умножается на 0.6, а остальных на 0.3.
Пример построения матрицы для пикселя, выделенного жирной рамкой, окрестности выделены пунктиром.
Полутоновая матрица:
|
0,3 |
0,3 |
0,3 |
0,3 |
0,3 |
0 |
0 |
0 |
0 |
0 |
|||||||||
|
1 |
1 |
1 |
0,3 |
0,6 |
0,6 |
0,6 |
0,3 |
0 |
0 |
0,6 |
0,6 |
0,3 |
||||||
|
1 |
1 |
1 |
1 |
х |
0,3 |
0,6 |
1 |
0,6 |
0,3 |
= |
0 |
0,6 |
1 |
0,6 |
0,3 |
= |
6,1 |
|
|
1 |
1 |
1 |
0,3 |
0,6 |
0,6 |
0,6 |
0,3 |
0 |
0,6 |
0,6 |
0 |
0,3 |
||||||
|
1 |
1 |
0,3 |
0,3 |
0,3 |
0,3 |
0,3 |
0,3 |
0,3 |
0 |
0 |
0 |


Рис. 1 Исходная матрица Рис. 2 Итоговая матрица
Сопоставляем максимальное и минимальное значения в новой матрице с минимальным и максимальным значениями яркости (оттенками серого). Причем наименьшее значение яркости – 0 присваивается максимальному значению в матрице, и наоборот наибольшее значение яркости 255, соответствует минимальному значению в матрице.
Тут нужен график:

Результаты работы программы
Открытие изображения происходит при помощи стандартного диалога открытия файлов при выборе пункта меню Файл→Открыть. После выбора изображения, оно отображается в правой части окна на панели “Исходное изображение” в натуральную величину.

Если изображение не бинарное, его можно привести к монохромному виду выбрав в меню пункт монохромный.


После того как изображение загружено, программа автоматически выводит на экран матрицу рисунка и получившуюся полутоновую матрицу.

Выводы
Пиксели бинарных изображений могут принимать значения 1 или 0;
Пиксели полутоновых изображений принимают значения от 0 до 255;
Максимальное значение в итоговой матрице при преобразовании бинарного файла методом двух волн равно 10.6
16×0.3 + 8×0.6 + 1.0 = 10.6
|
1 |
1 |
1 |
1 |
1 |
0,3 |
0,3 |
0,3 |
0,3 |
0,3 |
0,3 |
0,3 |
0,3 |
0,3 |
0,3 |
||||
|
1 |
1 |
1 |
1 |
1 |
0,3 |
0,6 |
0,6 |
0,6 |
0,3 |
0,3 |
0,6 |
0,6 |
0,6 |
0,3 |
||||
|
1 |
1 |
1 |
1 |
1 |
х |
0,3 |
0,6 |
1 |
0,6 |
0,3 |
= |
0,3 |
0,6 |
1 |
0,6 |
0,3 |
= |
10,6 |
|
1 |
1 |
1 |
1 |
1 |
0,3 |
0,6 |
0,6 |
0,6 |
0,3 |
0,3 |
0,6 |
0,6 |
0,6 |
0,3 |
||||
|
1 |
1 |
1 |
1 |
1 |
0,3 |
0,3 |
0,3 |
0,3 |
0,3 |
0,3 |
0,3 |
0,3 |
0,3 |
0,3 |
Лабораторная работа №2
Работа с полноцветными, полутоновыми и бинарными изображениями. Построение гистограмм
Задание
1. Загрузить полноцветное полутоновое изображение.
2. Получить из него полутоновое.
3. Получить из полутонового бинарное.
4. Получить из бинарного полутоновое.
Теоретические сведения
Получение полутоновых изображений из цветных
Для получения полутонового изображения из цветного был испльзован наиболее простой метод, заключается в определении значения яркости пикселя как среднего яркостей по каналам R, G, и B.
Получение черно-белых изображений из полутоновых
Основная задача бинаризации изображений заключается в правильном выборе порога квантования, так как ошибки в его выборе приводят к различного вида помехам, которые маскируют полезные объекты и формируют ложные объекты. Порог квантования выбирается таким образом, чтобы свести к минимуму искажения структуры изображения. В одних случаях он устанавливается заранее так, чтобы минимизировать ошибки квантования, а в других - формируется автоматически в процессе обработки изображения различными локальными операторами: выбором максимального значения функции яркости изображения; разделом двух основных пиков на гистограмме яркости; усреднением функции яркости в окне, корреляционным и последовательным анализом и др. Другой подход к бинаризации изображений основан на выделении границ областей и заполнении их внутренних участков единичными элементами. Конкретный выбор той или иной операции бинаризации изображений зависит от их оптических свойств, требуемой точности и скорости аппроксимации.
Пусть {а>ij>} - полутоновое изображение, t-порог и b0, bi - два бинарных значения. Результат порогового разделения - бинарное изображение, полученное следующим образом:

Как видно, основной задачей является выбор значения t с помощью некоторого критерия. Это значение может выбираться как одинаковым для всего изображения, так и различным для различных его частей. Если значения объектов и фона режима достаточно однородны по всему изображению, то может использоваться одно пороговое значение для всего изображения. Использование единственного значения порога для всех пикселей изображения называется глобальным пороговым разделением.
Однако для многих сканированных изображений глобальное пороговое значение не может использоваться из-за неоднородностей внутри областей фона и объектов. Для этого типа изображения требуются различные пороговые значения для различных частей изображения. Использование различных пороговых значений для различных частей изображения называется адаптивным или локальным пороговым разделением.
Глобальное пороговое разделение
Существует много способов выбора порогового значения. Один из наиболее популярных и широко используемых - метод мод, в котором используется гистограмма яркостей пикселей на изображении. Для изображения с хорошо отличимыми объектами и фоновым режимом гистограмма будет иметь два различных пика (рис).

Впадина между пиками может быть найдена как минимум между двумя максимумами, а соответствующее ему значение интенсивности выбирается как порог, который лучше всего разделяет два пика.
Имеется ряд недостатков в методе глобального порогового разделения, основанном на форме распределения яркостей:
Изображение не всегда содержит хорошо различимые объект и фон из-за недостаточного контраста и шума.
В случае редко расположенных графических объектов, каковыми и являются графические изображения, пик, соответствующий объектам, будет значительно меньше пика, соответствующего фону.
Такое различие нередко затрудняет нахождение долины между двумя пиками. Кроме того, надежные модовые методы определения глобального порога сами по себе являются отдельной, проблемой.
Существует ряд методов, в которых порог не определяется непосредственно, а гистограмма преобразуется в гистограмму с более глубокими впадинами и более острыми пиками так, чтобы стало возможным определение порога. Общая особенность этих методов -то, что новая гистограмма получена с помощью весовых коэффициентов, применяемых к пикселям, в соответствии с локальными свойствами изображения. Кроме того, предполагается, что изображение состоит из фона и объектов, каждый из которых имеет унимодальное распределение яркости.

Рис. Гистограмма цветного изображения

Рис. Преобразование цветного изображения в полутоновое.

Рис. Преобразование полутонового изображения в бинарное.

Рис. Преобразование бинарного изображения в полутоновое
2