Распределение ресурсов по трем отраслям
ФЕДЕРАЛЬНОЕ ГОСУДАРСТВЕННОЕ ОБРАЗОВАТЕЛЬНОЕ УЧРЕЖДЕНИЕ
ВЫСШЕГО ПРОФЕССИОНАЛЬНОГО ОБРАЗОВАНИЯ
"САРОВСКИЙ ГОСУДАРСТВЕННЫЙ ФИЗИКО-ТЕХНИЧЕСКИЙ ИНСТИТУТ"
ЭКОНОМИКО-МАТЕМАТИЧЕСКИЙ ФАКУЛЬТЕТ
ПОЯСНИТЕЛЬНАЯ ЗАПИСКА
К КУРСОВОЙ РАБОТЕ
На тему:
СТУДЕНТ (группа ИС-45Д)
РУКОВОДИТЕЛЬБеляев С.П.
г. Саров 2008 г
Оглавление
ВВЕДЕНИЕ 3
ТЕОРЕТИЧЕСКАЯ ЧАСТЬ 4
Исходные параметры 5
Искомые параметры 6
МЕТОД РЕШЕНИЯ 6
ОБОСНОВАНИЕ ВЫБОРА ПРОГРАММНЫХ СРЕДСТВ 9
ОПИСАНИЕ ИНТЕРФЕЙСА ПОЛЬЗОВАТЕЛЯ 10
СПИСОК ЛИТЕРАТУРЫ 11
ВВЕДЕНИЕ
Основная часть данной работы направлена на практическое освоение метода динамического программирования на примере решения хорошо изученных задач, а именно: простейшей задачи оптимального распределения ресурсов и задачи управления запасами продукта при случайном спросе на него.
Кроме теоретических основ и практических рекомендаций, необходимых для численного решения указанных задач, связанных с простым классом одномерных процессов распределения [1], дополнительно рассматриваются задачи оптимального распределения при наличии двух типов ресурсов и двух типов ограничений, в рамках которых возможны не только постановка и решение большого числа прикладных задач [1, 5], но также выявление существенных и качественных особенностей, связанных с применением метода динамического программирования, при переходе к задачам с многомерными процессами распределения.
Цель работы: знакомство с постановкой задачи оптимального распределения ограниченного ресурса и методом множителей Лагранжа в задачах условной оптимизации, изучение принципа оптимальности Беллмана и вычислительной схемы решения задачи оптимального распределения ограниченного ресурса методом динамического программирования, разработка программы для численного решения задачи и проведение расчетов.
ТЕОРЕТИЧЕСКАЯ ЧАСТЬ
Постановка простейшей задачи оптимального распределения
ограниченного ресурса
В различных производственно-экономических системах значительное число решаемых задач тесно связано с эффективным использованием и распределением ограниченных ресурсов, необходимых для нормального функционирования таких систем. Переходя к формулировке одной из простейшей задач такого класса, вначале опишем кратко процессы, обусловливающие возникновение этого типа задач.
Пусть некоторая производственно-экономическая система располагает заданным количеством какого-либо экономического ресурса, под которым подразумеваются материальные, трудовые, финансовые либо иные ресурсы, необходимые для функционирования системы. В случае нескольких потребителей указанного ресурса или далее соответствующих технологических процессов возникает следующая задача: разделить имеющееся количество ресурса между ними так, чтобы максимизировать их суммарную эффективность или получаемый доход от этих процессов [1].
Для математической постановки этой задачи требуется принять следующие основные предположения [1]:
1) эффективности каждого из рассматриваемых технологических процессов, например в виде соответствующих доходов, могут быть измерены общей единицей: либо в виде валового выпуска однородного продукта, либо в стоимостной форме;
2) эффективность каждого технологического процесса не зависит от
того, какие количества ресурсов были выделены для других технологических процессов;
3) общая эффективность или, что то же самое, суммарный доход от всех технологических процессов – аддитивная величина, то есть величина, равная сумме доходов, получаемых от каждого процесса в отдельности.
Тогда математическая постановка задачи оптимального распределения ограниченного ресурса формулируется следующим образом [1].
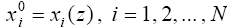
Предположим, что имеется N технологических процессов, занумерованных в определенном порядке числами 1, 2, ... , N , и каждому такому процессу поставлена в соответствие некоторая функция, оценивающая его эффективность, а именно: величина дохода в зависимости от количества выделенного ресурса для этого процесса. Пусть xi – количество выделенного ресурса i-му процессу (i = 1, 2, ... , N ), а величина дохода, получаемого в этом процессе, задается функцией gi = gi (xi ) . Отметим, что в качестве таких функций можно выбирать, например, производственные функции или функции полезности неоклассического типа [2, 3].
С учетом второго и третьего предположения – о независимости процессов и аддитивности их общей эффективности – для суммарного дохода от распределения ограниченного ресурса между указанными N технологическими процессами получим следующее выражение:

В силу ограниченности распределяемого ресурса, располагаемое количество которого здесь обозначим через z, для переменных задачи xi , i = 1, 2, ... , N , имеет место следующее ограничение:

которое вместе с условиям неотрицательности для этих же переменных

задает допустимую область определения для функции (1.1). Таким образом, задача оптимального распределения ограниченного ресурса заключается в том, чтобы определить значения переменных xi , i = 1, 2, ... , N , которые доставляют максимальное значение функции R(x1, x2 , ... , xN ) (1.1), удовлетворяя при этом ограничениям (1.2), (1.3). Задача (1.1) - (1.3) относится к классу задач условной оптимизации. Ограничения, задающие в этих задачах допустимые множества, обычно в математической экономике разделяют на две группы, а именно: ограничения вида (1.2) относят к функциональным ограничениям, а ограничения вида (1.3) – к прямым ограничениям [2]. Значения xi , i = 1, 2, ... , N , для которых доставляется максимальное значение функции (1.1) с учетом (1.2), (1.3), называют решением задачи, а соответствующие значения функции (1.1), то есть max R(x1, x2 , ... , xN ) , – значением задачи. Если ограничения задачи, заданные в виде нестрогих неравенств, для ее решения обращаются в равенства, то такие ограничения тогда называют эффективными; иначе эти ограничения являются неэффективными, и в связи с этим их можно в процессе решения задачи отбрасывать.
Исходные параметры
z – располагаемое количество ресурса,
n – мера квантования z



Искомые параметры
f>N> (z) = f>N> (nΔ ) - искомый максимум функции R
x>N> (z) – искомое оптимальное количество ресурса
МЕТОД РЕШЕНИЯ
Переходя
к изложению вычислительной схемы решения
задачи с применением основного
функционального уравнения (1.15), предположим
(а это существенно для дальнейшего
изложения), что переменные задачи N
i xi
,
... 2, 1, , = ,
а также количества распределяемого
ресурса
как
в (1.10), так и в (1.15) могут принимать только
дискретные значения с некоторым выбранным
шагом Δ
>0.
То есть имеет место:

где
nΔ
= z
.
Соответственно, функции (1.10) в рекуррентном
соотношении (1.15) будут вычисляться
только для указанных в (1.16) значений
или,
что то же самое, только для таких точек:

Указанный
подход позволяет избежать процедуры
интерполирования при вычислении значений
,
исходя из вычисленных значений fm−1(
y)
в точках y
= 0,
Δ
, 2Δ
, ... ,
z .
Действительно, для вычисления под знаком
максимума в (1.15) значения
−
интерполирования
не требуется, так как здесь с учетом
(1.16) и (1.17) имеет место:
.
Согласно
(1.15), для вычисления
вначале следует найти значения
для всех значений
из
(1.16) с помощью соотношений (1.12)
или (1.13), которые доставляют множество всех требуемых значений
.
Затем для всех
(1.16) с
учетом (1.15) вычисляются значения:

где
.Процедура
максимизации (1.18) заключается в том,
чтобы вначале для каждого z
~ последовательно
вычислить значения:
а затем выбрать
из них максимальное, то есть искомое
значение
;
при этом определяется и соответствующее
ему оптимальное значение
.
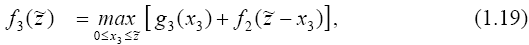
Получив
множество значений
для
,
можно приступить к вычислению функции
исходя
из (1.15) при m
=3:

и
т.д. для остальных m
= 4,
5, ... , N
.
Таким образом, в процессе решения уравнения (1.15) для m = 2, 3, ... , N
последовательно заполняется таблица, подобная табл. 1.1.
Таблица 1.1
Оптимальные доходы в зависимости от количества процессов
и выделенного ресурса

С заполнением последних двух столбцов указанной таблицы решение
задачи
фактически получено. Действительно,
поскольку функция
по
построению монотонно неубывающая по
,
постольку fN
(z)
= fN
(nΔ
) -
искомый максимум функции R
(1.1), а
xN
(z)
– искомое оптимальное количество
ресурса, выделенное для N-го
процесса. Стало быть, оставшееся
количество ресурса, равное z
− xN
(z)
, должно быть распределено оптимальным
образом между остальными процессами.
Соответствующее решение, то есть
оптимальный доход (1.10) для первых N
−1
процессов, находится в столбце с
заголовком
−
, а
именно: в строке, отвечающей значению
.
В этой же строке в столбце с заголовком
−
находится
величина оптимального количества
ресурса, который выделяется для (N
−1)-го
процесса. Таким образом, перемещаясь
по столбцам табл. 1.1 справа налево (это
т.н. обратный ход [1, 3]), можно последовательно
определить все значения
, которые
доставляют абсолютный максимум функции
R(x1,
x2
, ... ,
xN
)
(1.1) в области (1.2), (1.3) для заданного
количества распределяемого ресурса –
z,
конечно же, с учетом дополнительных
ограничений (1.16), (1.17)
ОБОСНОВАНИЕ ВЫБОРА ПРОГРАММНЫХ СРЕДСТВ
Курсовая работа выполнена с помощью программы Microsoft Office Excel, одной из наиболее передовых, мощных и современных сред разработки Windows-приложений и электронных таблиц. Встроенное средство поиска решений позволяет быстро справиться с задачей о распределения ресурсов.
ОПИСАНИЕ ИНТЕРФЕЙСА ПОЛЬЗОВАТЕЛЯ
Для начала работы с программой следует задать n и z и нажать кнопку определить

После этого программа создаст таблицы.

СПИСОК ЛИТЕРАТУРЫ
1. Беллман, Р. Прикладные задачи динамического программирования /Р. Беллман, С. Дрейфус. – М.: Наука, 1965. – 460 с.
2. Ланкастер, К. Математическая экономика / К. Ланкастер. – М.: Советское радио, 1972. – 464 с.
3. Колемаев, В.А. Математическая экономика / В.А. Колемаев. – М.:
ЮНИТИ, 1998. – 240 с.
4. Беллман, Р. Процессы регулирования с адаптацией / Р. Беллман. – М.: Наука, 1964. – 360 с.
5. Первозванский, А.А. Математические модели в управлении производством / А.А. Первозванский. – М.: Наука, 1975. – 616 с.
6. Калихман, И.Л. Динамическое программирование в примерах и задачах / И. Л. Калихман, М. А. Войтенко. – М.: Высшая школа, 1979. – 125 с.
ТЕКСТ ПРОГРАММЫ
Public Function f_g1(x As Double) As Double
f_g1 = 2.5 * Sqr(x) / (Sqr(x) + 1)
End Function
Public Function f_g2(x As Double) As Double
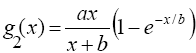
f_g2 = 6 * x * (1 - Exp(-x / 4)) / (x + 4)
End Function
Public Function f_g3(x As Double) As Double
f_g3 = 2 * x / (x + 0.5)
End Function
Private sub> CommandButton1_Click()
Dim i As Integer
Dim n As Integer
Dim z As Double
Dim d As Double
Dim m_str As String
Range("A1").Select
n = Val(TextBox1.Text)
z = Val(TextBox2.Text)
d = z / n
ActiveCell.Cells(1, 2) = n
ActiveCell.Cells(2, 2) = z
Range("A11").Select
For i = 1 To 100
For j = 1 To 10
ActiveCell.Cells(i, j) = ""
Next
Next
For i = 1 To 10
ActiveCell.Cells(0, i) = 0
Next
For i = 1 To n
ActiveCell.Cells(i, 1) = i * d
ActiveCell.Cells(i, 2) = f_g1(i + 0#)
ActiveCell.Cells(i, 3) = f_g2(i + 0#)
ActiveCell.Cells(i, 4) = f_g3(i + 0#)
ActiveCell.Cells(i, 5) = f_g1(i + 0#)
Next
For i = 1 To n
ActiveCell.Cells(i + 0, 7) = GetF2Val(i + 0, d)
ActiveCell.Cells(i + 0, 8) = Int(GetF2Pos(i + 0, d) * d)
ActiveCell.Cells(i + 0, 9) = GetF3Val(i + 0, d)
ActiveCell.Cells(i + 0, 10) = Int(GetF3Pos(i + 0, d) * d)
ActiveCell.Cells(i + 0, 6) = Abs(z - ActiveCell.Cells(i + 0, 8) - ActiveCell.Cells(i + 0, 10))
Next
ListBox1.Clear
For i = 1 To 3
m_str = Str(i) + ": X = " + Str(ActiveCell.Cells(n + 0, 4 + i * 2)) + " F = " + Str(ActiveCell.Cells(n + 0, 3 + i * 2))
ListBox1.AddItem (m_str)
Next
Range("A10:J10").Select
End sub>
Private sub> CommandButton2_Click()
Hide
End sub>
Public Function GetF2Val(n As Integer, d As Double) As Double
Dim maxs As Double
maxs = f_g2(0) + f_g1(n * d)
For i = 1 To n
If f_g2(i * d) + f_g1((n - i) * d) >= maxs Then
maxs = f_g2(i * d) + f_g1((n - i) * d)
End If
Next
GetF2Val = maxs
End Function
Public Function GetF2Pos(n As Integer, d As Double) As Integer
Dim maxs As Double
Dim maxp As Integer
Range("A11").Select
maxs = f_g2(0) + f_g1(n * d)
max_p = 0
For i = 1 To n
If f_g2(i * d) + f_g1((n - i) * d) >= maxs Then
maxs = f_g2(i * d) + f_g1((n - i) * d)
maxp = i
End If
Next
GetF2Pos = maxp
End Function
Public Function GetF3Val(n As Integer, d As Double) As Double
Dim maxs As Double
maxs = f_g3(0) + f_g2(n * d)
For i = 1 To n
If f_g3(i * d) + f_g2((n - i) * d) >= maxs Then
maxs = f_g3(i * d) + f_g2((n - i) * d)
End If
Next
GetF3Val = maxs
End Function
Public Function GetF3Pos(n As Integer, d As Double) As Integer
Dim maxs As Double
Dim maxp As Integer
Range("A11").Select
maxs = f_g3(0) + f_g2(n * d)
max_p = 0
For i = 1 To n
If f_g3(i * d) + f_g2((n - i) * d) >= maxs Then
maxs = f_g3(i * d) + f_g2((n - i) * d)
maxp = i
End If
Next
GetF3Pos = maxp
End Function
1