Расчет структурной надежности системы (работа 3)
Федеральное агентство по образованию РФ
ГОУ ВПО «Российский химико-технологический университет имени Д.И. Менделеева»
Новомосковский институт (филиал)
Кафедра «ВТИТ»
Предмет «Надежность, эргономика, качество АСОИУ»
«РАСЧЕТ СТРУКТУРНОЙ НАДЕЖНОСТИ СИСТЕМЫ»
Новомосковск, 2009 год
Исходные данные
По структурной схеме
надежности технической системы в
соответствии с вариантом задания,
требуемому значению вероятности
безотказной работы системы
и значениям интенсивностей отказов ее
элементов
(табл. 6.1) требуется:
1. Построить график изменения вероятности безотказной работы системы от времени наработки в диапазоне снижения вероятности до уровня 0.1 – 0.2.
2. Определить
– процентную наработку технической
системы.
3. Обеспечить увеличение
– процентной наработки не менее чем в
1.5 раза за счет:
а) повышения надежности элементов;
б) структурного резервирования элементов системы.
Все элементы системы работают в режиме нормальной эксплуатации (простейший поток отказов). Резервирование отдельных элементов или групп элементов осуществляется идентичными по надежности резервными элементами или группами элементов. Переключатели при резервировании считаются идеальными.
На схемах обведенные пунктиром m элементов являются функционально необходимыми из n параллельных ветвей.

|
№ |
, |
Интенсивности отказов элементов, >>, x10-6 1/ч |
||||||||||||||
|
вар. |
% |
1 |
2 |
3 |
4 |
5 |
6 |
7 |
8 |
9 |
10 |
11 |
12 |
13 |
14 |
15 |
|
4 |
50 |
0.1 |
0,5 |
1 |
0,5 |
1 |
0,1 |
- |
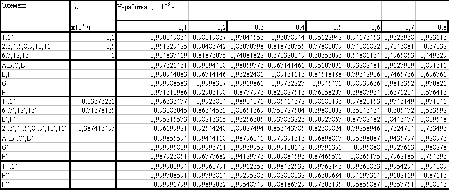
1. Элементы 2 и 3, 4 и
5, 8 и 9, 10 и 11 попарно образуют параллельное
соединение, заменяем их соответственно
элементами A,
B,
C,
D.
Т.к. элементы равны, то для них используется
одна формула.


2. Элементы 6 и 7, 12 и
13 попарно образуют параллельное
соединение, заменяем их соответственно
элементами E,
F.
Т.к. элементы равны, то для них используется
одна формула.


3. Элементы A, B, C, D и E образуют мостиковую систему, которую можно заменить квазиэлементом G. Для расчета вероятности безотказной работы воспользуемся методом разложения относительно особого элемента, в качестве которого выберем элемент E. Тогда


4. Полученные элементы образуют последовательное соединение, которое заменим на элемент E.

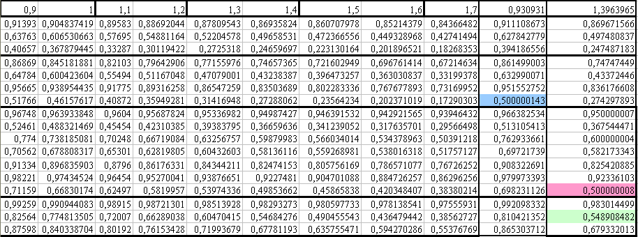
5. Таблица 1.


6. График 1

P вероятность безотказной работы исходной системы
P` – вероятность безотказной работы системы с повышенной надежностью
P`` – вероятность безотказной работы системы со структурным резервированием
По графику находим время, где вероятность безотказной работы исходной системы равна 50%, это 93093,1 ч.
7. Увеличение надежности элементов
Для того чтобы система
при
ч система в целом имела вероятность
безотказной работы
,
необходимо увеличить надежность слабых
элементов.
Увеличим надежность элементов 1 и 14 до 0,95

Соответственно

Далее увеличим надежность элементов F и E до 0,6


Далее методом подбора в Excel, используя известные даные о значениях элементов G и E, найдем значение элементов A, B, C, D и из них – 2,3,4,5,8,9,10,11.
Также в Excel найдем новые значения элементов 6,7,12,13 используя информацию о элементах E и F.
Т.к. по условию все элементы работают в периоде нормальной эксплуатации и подчиняются экспотенциальному закону, то
|
Элемент |
l i, x10–6 ч 1 |
|
1`, 14` |
0,03673261 |
|
6`, 7`, 12`, 13` |
0,71678135 |
|
2`, 3`, 4`, 5`, 8`, 9`, 10`, 11` |
0,387416497 |
8. Резервирование
Вначале зарезирвируем элементы 1 и 14

1=15=14=16
При таком резервировании надежность системы в момент времени 93093,1 ч, будет равна 35%
Зарезирвируем элементы 12 и 13

12=13=17=18
Резервирование этих элементов привело к к увеличению надежности системы в момент времени 93093,1 ч до 54%, что достаточно.
Выводы
По графику видно, что оба метода увеличения времени наработки системы до 50% позволили добиться нужного результата. Однако у метода резервирования надежность выше, к тому же с точки зрения технической реализации системы этот метод предпочтительнее, т. к. не всегда технически возможно увеличить надежность элемента.