Решение линейных интегральных уравнений
Федеральное агентство по образованию
Тульский Государственный педагогический университет
имени Л. Н. Толстого
Кафедра информационных технологий
Курсовая работа
Решение линейных интегральных уравнений
студента 4 курса группы В
специальности 351500 – МОиАИС
Селиванова Сергея Валериевича
Тула – 2008
Оглавление
Введение
1. Теоретическая часть по решению линейных интегральных уравнений
2. Практическая часть по решению линейных интегральных уравнений
Заключение
Используемые источники
Введение
В данной курсовой работе рассмотрена проблема решения линейных интегральных уравнений. Целью курсовой работы было написание функции, которая по введенным данным (ядру интегрирования, правой части уравнения и отрезку интегрирования) могла бы находить решения линейного интегрального уравнения. Проблема разработки алгоритма решения и написании на его основе функции является практически актуальной, так как решение линейных интегральных уравнений без привлечения ЭВМ является достаточно трудоемким.
Данная курсовая работа состоит двух частей.
В первой части приведена теоретическая часть по решению линейных интегральных уравнений, включающая основные леммы и теоремы по теме данной курсовой, дающие научную основу для разработки алгоритма решения линейных интегральных уравнений и написании на его основе функции.
Во второй главе приводится алгоритм решения линейного интегрального уравнения и, написанной на его основе, функции.
1. Теоретическая часть по решению линейных интегральных уравнений
Существует множество методов решений линейных интегральных уравнений. Рассмотрим один из них – метод итераций.
Рассмотрим краткое уравнение Фредгольма второго рода:
(1)
Будем предполагать, что свободный
член и ядро этого уравнения принадлежат
соответствующим классам
и
.
Уравнение (1) будем
также записывать кратко в виде
,
(2)
где интегрирование распространенно на единичный r-мерный куб G>r>.
Лемма 1. Если

и
(3)
то при
решение
уравнения (2) удовлетворяет соотношению
,
где функция определена равенством
(4)
Принадлежит классу
.
Доказательство.
Известно, что при достаточно
малом
λ
решение уравнения (2) можно представить
в виде ряда

где G>rv>-единичный rv-мерный куб. пусть величина R>n> определена равенством
.
Тогда пользуясь определением функции F(P,Q>1>,…,Q>n>) получим
(5)
Обозначим через С(m>1>,…,m>r>)
коэффициенты Фурье функции f(P).
Так как, по условию, f(P)
,
то

Аналогичная оценка справедлива,
очевидно, и для ядра K(P,Q)
уравнения (2)
.
Но тогда

и, следовательно,


получим
,
.
Отсюда в силу (5) следует первое из утверждений леммы:
.
Перейдем теперь к доказательству
второго утверждения. Так как f(P)
и K(P,Q)
,то,
аналогично рассуждениям леммы 12 (1, с.61)
легко показать, что
(6)
Где,

В отличие от остальных сомножителей, первый сомножитель в соотношении (6) рассматривается как функция r переменных, соответствующих величине Q>1>, а не как функция всех своих переменных.
Д
алее,
рассматривая каждую из функций (v=1,2,…,n)
К
ак
функцию всех rn
переменных, соответствующих n
величинам Q>1>,…,Q>n>,
согласно первому утверждению леммы 12
(1, с.61) получим, что функция принадлежит
классу
,
где
.
Но в силу (6)


и, следовательно,
.
Чем лемма 1 доказана полностью.
Пусть, как и выше f(P)
и K(P,Q)
,
(7)
и величина γ>0> определена равенством (3)
Покажем, что для приближённого решения уравнения (7) можно использовать квадратные формулы с неравномерными сетками.
Теорема 1. Пусть p-
простое число, N=p,
и величина n
определена равенством

Тогда при произвольно малом ε для решения уравнения (7) выполняется асимптотическое равенство

где

Доказательство.
Пусть функция Φ принадлежит
классу
и σ-сумма модулей её коэффициентов
Фурье. Тогда согласно теореме 15 (1, с.94)
справедлива квадратурная формула
,
(8)
где
(9)
Выберем в лемме 1
.
Тогда при
для
решения уравнения получим
(10)
где согласно (4)функция F(P,Q>1>,…,Q>n>)
определена равенством F(P,Q>1>,…,Q>n>)=
и
принадлежит классу
.
Пусть при k=1,2,…,N и v=1,2,…,n точки M>k>>,>>v> определены равенством
.
Выберем p настолько большим, чтобы выполнялись неравенства n≥1 и N≥rn
Тогда применяя квадратичную формулу (8) получим

(11)
где в силу (9)
(12)
Пользуясь определением n
и
,
получим
.
.
Следовательно,
,
,
.
В силу (12)

Но тогда из (10) и (11) следует, что

Отсюда, пользуясь оценкой
,
получаем утверждение теоремы.
Результат, полученный в теореме 1, можно усилить, если воспользоваться методом оптимальных коэффициентов.
Лемма 2. Для всякого простого p
существуют оптимальные коэффициенты
a>1>,…,a>s>
такие, что каково бы ни было a>1+ε>1>,
при любом ε>1>
(0;1)
выполняется оценка

Доказательство.
Пусть z-произвольное целое из интервала Определим функцию Т>s>(z) равенством


Пусть при z=a достигается минимум этой функции. Тогда, очевидно,
(13)
Так согласно лемме 1(1, с.21)
,
то при произвольном ε > 0 получим из (13),

Отсюда следует, что
(14)
Введём обозначения

Так из (14) в силу определения величины T>s>(a) следует оценка
(15)
то пользуясь неравенством, получим
(16)
Чтобы оценить сумму Σ>2>, заметим, что для нетривиальных решений сравнения
(17)
Выполняется неравенство
(18)
Действительно, согласно определению величины δ>p>(m) в левой части неравенства (14) отличны от нуля только такие слагаемые, для которых m>1>,…,m>s> является нетривиальным решением сравнения (5.43). так как любое из этих слагаемых не превосходит всей суммы, то для каждого нетривиального решения сравнения получим
,
Чем неравенство (5.44) доказано.
Пусть функция φ(m>1>,…,m>s>) определена равенствами

Тогда пользуясь леммой 18 (1, c.101), получим

.
(19)
Обозначим через q
минимальное значение произведения
,
где m>1>,…,m>s>
–произвольное нетривиальное решение
сравнения (17).
Тогда, выбирая в лемме 26 (1, с.151)
,
получим, что при любых натуральных
m>1>,…,m>s>>,
>удовлетворяющих условию
m>1>,…,m>s>
p,
выполняется оценка
.
Пользуясь этой оценкой и замечая, что в силу (18)

при любом ε ≤ a-1 положительном получим из (19)
(20)
Выберем a>v>=av-1 (v=1,2,…,s) (21)
тогда, пользуясь оценками (16) и
(20), при
получим неравенство, указанное в лемме:

Для завершения доказательства
леммы остается убедиться, что величины
,
определенные равенством (21), являются
оптимальными коэффициентами.
Действительно, из (5.39), пользуясь леммой 1(1, c.21) получим

Переписывая эту оценку в виде

убеждаемся, что целые a>v>=av-1 будут оптимальными коэффициентами, чем лемма 2 доказана полностью.
Следствие. Если Ф
,
то, каково бы ни было
для погрешности квадратурной формулы

построенной при N=p с помощью оптимальных коэффициентов, указанных в лемме 2, справедлива оценка
,
Действительно, пользуясь леммами 19 (1, с.106) и 2, получим утверждение следствия

Пусть α>0,
,
p -
простое, N=p,
a>1>,…a>s>
– оптимальные коэффициенты по модулю
p,
удовлетворяющие условию леммы 2, и
величины γ>0>,
n
определены равенствами
(22)
Теорема 2 Если
,
то при произвольно малом для решения
уравнения

(23)
выполняется равенство

где
(24)
Доказательство.
Выберем в лемме 1
, где γ>0>
определено первым из равенств (22). Тогда
для решения уравнения (23) получим
(25)
где функция F(P,Q>1>,…,Q>n>) определена равенством

И принадлежит классу

Пусть при k=1,2,…,N
и v=1,2,…,n
точки M>k>>,>>v>
определены равенством (24).
Тогда согласно квадратурной
формуле, указанной в следствии леммы
2, при s=rn
и
справедливо равенство

(26)
(27)
Пользуясь равенствами (22), получим


Но тогда

и, следовательно

Пользуясь этой оценкой, из (25) и (26) получим

Отсюда, так как в силу выбора n выполняется оценка

Следует утверждение теоремы.
2. Практическая часть по решению линейных интегральных уравнений
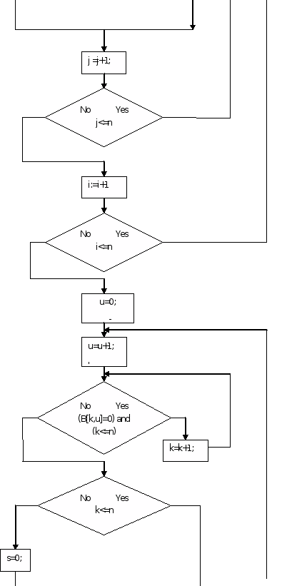
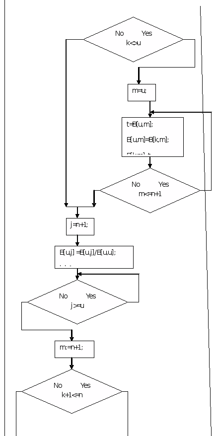
Для написания функции, находящей решение линейного интегрального уравнения составим алгоритм. Представим алгоритм в виде блок-схемы.





y[i]=B[i,m];
Используя данную блок-схему, напишем соответствующую функцию.
Функция решения линейных интегральных уравнений будет реализована на С++.
bool solvefredholm2(const double& a,
const double& b,
const int& n,
ap::real_1d_array& y,
const double& epsilon)
{
bool result;
double h;
double t;
double m1;
double x;
ap::real_2d_array smat;
int i;
int j;
int u;
int k1;
int m;
smat.setbounds(1, n, 1, n+1);
y.setbounds(1, n);
h = (b-a)/(n-1);
i = 1;
do
{
x = a+(i-1)*h;
smat(i,n+1) = f(x);
j = 1;
do
{
smat(i,j) = -h*k(x, a+(j-1)*h);
if( j==1||j==n )
{
smat(i,j) = smat(i,j)/2;
}
if( j==i )
{
smat(i,j) = 1+smat(i,j);
}
j = j+1;
}
while(j<=n);
i = i+1;
}
while(i<=n);
y.setbounds(1, n);
result = true;
for(i = 1; i <= n; i++)
{
k1 = i;
m1 = fabs(smat(i,i));
for(j = i+1; j <= n; j++)
{
if( m1<fabs(smat(j,i)) )
{
m1 = fabs(smat(j,i));
k1 = j;
}
}
if( fabs(m1)>=epsilon )
{
for(j = i; j <= n+1; j++)
{
t = smat(i,j);
smat(i,j) = smat(k1,j);
smat(k1,j) = t;
}
for(k1 = i+1; k1 <= n; k1++)
{
t = smat(k1,i)/smat(i,i);
smat(k1,i) = 0;
for(j = i+1; j <= n+1; j++)
{
smat(k1,j) = smat(k1,j)-t*smat(i,j);
}
}
}
else
{
result = false;
break;
}
}
if( result )
{
i = n;
do
{
y(i) = smat(i,n+1);
j = i+1;
while(j<=n)
{
y(i) = y(i)-smat(i,j)*y(j);
j = j+1;
}
y(i) = y(i)/smat(i,i);
i = i-1;
}
while(i>=1);
}
return result;
}
Данная функция решает интегральное уравнение Фредгольма второго рода, заданное ядром интегрирования K(X,S) и правой частью F(X), на отрезке [A, B] методом итераций.
Результат помещается в массив Y с номерами элементов от 1 до N, где 1 соответствует A, N соответствует B.
Epsilon - малое число, передаваемое для сравнения с нолем в ходе решения получаемой системы уравнений.
Для работы этой функции необходима библиотека ap.h
Заключение
В заключение данной курсовой хотелось бы отметить, что был составлен алгоритм, и на его основе написана функция для решения линейных интегральных уравнений методом итераций. Эта функция может стать основой для написания целой системы, которая будет решать задачи нахождения решения линейных интегралов.
Список использованных источников и литературы
Коробов, Н. М. Теоретико-числовые методы в приближенном анализе/ Н. М. Коробов. –М.: 2003. - 316 с.
Коробов, Н. М. О приближенном решении интегральных уравнений/
Н. М. Коробов. –ДАН СССР, 1959.
3. http://alglib.sources.ru