Робота з пакетом MathCAD 2000 Pro
Міністерство освіти і науки України
Черкаський національний університет ім. Б. Хмельницького
Кафедра теоретичної фізики
Лабораторна робота №4
За курсом «Інструментальні засоби комп’ютерного моделювання»
«Робота з пакетом MathCAD 2000 Pro (варіант№8)»
Виконав студент 3-Б курсу
Cліпокоєнко Юрій Олегович
Перевірив доцент,
кандидат фізико-математичних наук
Луценко Григорій Васильович
Черкаси 2006
Зміст
1.Мета роботи
2. Завдання
3. Теоретична частина
4. Практична (розрахункова) частина
5. Висновки за результатами виконання роботи
6. Бібліографічний список
1.Мета роботи
Освоїти методи аналітичних обрахунків, графічного відображення даних та результатів, навчитися використовувати їх в майбутньому для розв’язку фізичних задач.
2.Завдання до роботи
1. Освоїти інтегрування та диференціюванні за допомогою засобів MathCAD.
2. Навчитися застосовувати графічні методи розв’язку рівнянь та нерівностей.
3. Навчитися змінювати вигляд графіків.
3.Теоретичні відомості
Середовище MathCAD дозволяє: - записувати математичні вирази в їх загальноприйнятій формі (наприклад: чисельник знаходиться вгорі, знаменник-знизу; у інтегралі межі інтегрування теж розташовані на своїх «звичних» місцях), що дає можливість простого аналізу запису не тільки з боку комп’ютера але й з боку людини. Дивлячись на роздрукований документ, який Ви створили у середовищі MathCAD, можливо простіше проаналізувати фізичну модель, слідкуючи за впливом якоїсь величини на зміну виразу, також порівнюючи одиниці вимірювання відповіді та початкових умов, можливо зробити певні висновки про справедливість результатів обчислення;
- у ході створення «програми», її поточне корегування та відлагодження; користувач, вводячи новий вираз, може не тільки одразу отримати його значення при певних значеннях змінних, але й побудувати графік чи поверхню, що може одразу допомогти знайти помилки при створенні самої фізичної моделі;
- користуючись потужним інтегрованим математичним апаратом, вирішувати математичні задачі без виклику зовнішніх процедур.
Ось неповний список обчислювальних інструментів, які доступні у середовищі MathCAD:
- розв’язування алгебраїчних рівнянь та систем (лінійних та нелінійних);
- розв’язування звичайних диференціальних рівнянь та систем (задача Коші та краєві задачі);
- розв’язування диференціальних рівнянь у частинних похідних;
- статистична обробка даних (інтерполяція, екстраполяція, апроксимація та багато іншого);
- робота з векторами та матрицями (лінійна алгебра та ін.);
- пошук мінімумів та максимумів функціональних залежностей;
- пакет MathCAD доповнений довідником по основним математичним та фізико-хімічним формулам та константам, які можливо автоматично переносити у документ без небезпеки внести в них спотворення;
- інтегровані засоби символьної математики, що дозволяє розв’язувати поставлену задачу аналітично.
- до пакету MathCAD можна придбати ті чи інші електронні підручники по різноманітним дисциплінам: розв’язування звичайних диференціальних рівнянь, статистика, термодинаміка, теорія управління, опір матеріалів та ін. Розв’язуючи поставлену задачу, користувач може вводити не тільки числові значення змінних, але й їх розмірності. Система MathCAD «наділена» можливостями анімації, що дозволяє реалізувати створені моделі не тільки у статичній картинці (числа, таблиці, графіки), але й у динаміці (анімаційні кліпи, наприклад, для спостереження за рухом тіла та ін.);
Перші кроки у середовищі MathCAD.
На рис. 1 зображено MathCAD-документ на якому за допомогою клавіатури або миші Ви можете писати математичні вирази у вигляді, прийнятому ще до того, як з’явилися комп’ютери та чотири основних панелі, які необхідні для формування та запису математичних виразів:

Рис. 1. Стандартне вікно MathCAD-документа, та основні панелі інструментів а) арифметичні дії; б) операції присвоєння та визначення; в) графічне меню; г) операції диференціального та інтегрального.
а) панель калькулятора яка містить найбільш уживані арифметичні дії, функції-оператори;
б) інструментарій для запису нерівностей, тотожностей та для оформлення у певному вигляді функцій від одної чи декілька змінних ;
в) панель побудови графіків та дій над ними
г) група інструментів-вбудованих операторів для інтегрування, диференціювання та ін.
Деякі функції, оператори
чи арифметичні дії можливо вводити
безпосередньо з клавіатури, використовуючи
зарезервовані клавіші - це значно
підвищує темпи роботи. Нехай вимагається
обчислити інтеграл:

Для цього спочатку треба вивести панель операторів математичного аналізу; її піктограма в рядку інструментів має знаки інтегралу і похідної. Після цього слідує встановити візир (червоний хрестик) в те місце екрану, куди виводиться шаблон, і на панелі зробити активною піктограму з зображенням знаку певного інтегралу (рис. 1 г)). В складі складних шаблонів часто зустрічаються шаблони для введення окремих даних. Вони мають вид невеликих чорних квадратиків. В шаблоні інтегралу їх чотири: для введення верхньої і нижньої меж інтегрування, для задання підінтегральної функції і для вказівки імені змінної, по якій іде інтегрування. Для введення даних можна вказати курсором миші на потрібний шаблон даних і натиснути ліву її клавішу для фіксації місця введення, ввести дані. Для введення підінтегральної функції в наведеному прикладі вимагається вчинити наступні дії: встановивши курсор миші в стороні від місця введення, вивести панель набору арифметичних операторів; підвести курсор миші під шаблон введення функції і натиснути ліву клавішу для фіксації початку введення; активізувати (мишею) кнопку зі знаком квадратного кореня на палітрі математичних символів; провести введення виразу під знаком квадратного кореня (при цьому можливо редагування даних за допомогою стандартних операцій редагування). Після цього таким же засобом треба заповнити інші шаблони, тобто ввести межі інтегрування і ім’я змінної, по якій відбувається інтегрування. Встановивши знак рівності після отриманого виразу, можна відразу побачити результат обчислення інтегралу.
Набір математичних символів в MathCAD став нагадувати цю операцію в текстовому редакторі Word з пакету Microsoft Office. Більша частина процесів редагування виробляється безпосередньо з відображенням об’єктів в поточному вікні редактора. Зрозуміло, редагування можливо тільки після введення в поточне вікно редактора одного або ряду шаблонів об'єктів. В іншому випадку частина операцій редагування здійснити буде не можливо і в меню редагування Edit (Правка) такі операції будуть вказані затіненим шрифтом. Введення об’єктів (математичних виразів, текстових коментарів, графіків і ін.) в поточне вікно редактора виконується по-різному. Це буде неодноразово описано по мірі викладення наступного матеріалу. Обмежимося парою простих прикладів. Так, для завдання змінної х=1 і обчислення значення функції sin (x) можна скористуватися введенням з клавіатури.

Навіть на цьому простому прикладі видні деякі особливості вхідної мови спілкування з системою. Так, символ привласнення := відрізнений від звичайного в математиці знаку рівності =. Ця обставина зв’язана з тим, що знак рівності інтерпретується в математичних виразах по контексту. Наприклад, x= y означає або привласнення змінної х значення раніше певної змінної у, або просто факт логічної рівності значення х значенню у. Така подвійність неприпустима в машинних програмах. Тому в системах MathCAD довгий час знак = використовувався тільки як знак висновку результатів обчислень, а для привласнення змінним значень застосовується знак :=. Нарешті, для позначки відношення величини х і у як рівності використовується жирний знак рівності. В останній версії MathCAD знак = допустимо застосовувати і як знак привласнення. Система автоматично замінює його на знак := при першій операції привласнення. Це відбувається завдяки тому, що система “знає”, що перед першим привласненням змінна не визначена і, отже, знак = в якості знаку висновку значення змінної не може використовуватися. Так що його можна застосовувати для привласнення. Наприклад, якщо ви введете в перший раз x = 2 , то система уявить це у вигляді x := 2 . Однак при другому привласненні треба писати 3 := x (якщо задати = x , те система тут же видасть x = 2 , тобто знак = буде вже означати висновок). Цікаво відзначити, що для введення знаку := потрібно натиснути клавішу двокрапку (:). Можна впасти у розпач, коли дізнаєшся, що таких правил введення десятки. Пояснюється це тим, що багатьох математичних спецсимволів немає у виді надписів на клавіатурі. Клавіатура ПК пристосована для введення простих текстів, а зовсім не для введення складних математичних формул і стосовних до них математичних знаків, наприклад квадратного кореня, знаків суми, інтегралу і т. д.
Для заповнення шаблонів операндів потрібно спочатку намітити потрібний шаблон з допомогою клавіш переміщення курсору. Ще зручніше зробити це за допомогою миші, вказавши курсором миші на потрібний шаблон і натиснути її ліву клавішу. Тепер можна вводити операнд. Це повторюється для інших шаблонів введення операндів.
Також потрібно відмітити, що для отримання:
- циклу по m від 1 до 5 з кроком 1, потрібно натиснути таку комбінацію клавіш “m:1; 5”;
- циклу по x від 1 до 5 з кроком 0.1—“x:1, 1.1; 5”(після коми вказується не крок, а наступне значення після виконання одного кроку).
У режимі Auto, який встановлений з самого початку, обрахування відбуваються одразу після того, як ми приберемо курсор від написаного нами блока(функції чи константи, та ін.). Для виведення результату обчислення чи якоїсь величини, наприклад y, то необхідно набрати на клавіатурі “y=Enter”.
Як зазначалося вище система MathCAD передбачає можливості оперування з масивами та векторами. При чому, під вектором розуміється одновимірний масив чисел, а під матрицею-таблиця чисел. При вводі даних потрібно дуже уважно віднестись до відмінностей між цими типами величин.
На екрані можна виводити як увесь масив чи вектор, так і його елементи, вказавши при цьому у полях індексів потрібні Вам елементи. Система MathCAD може працювати з комплексними величинами числами. Наприклад, при розрахунках ланцюгів змінного струму зручний метод комплексних амплітуд.
Нижче наведений приклад вигляду деяких обрахунків у середовищі MathCAD (рис. 2) (набір відповідних математичних символів відбувається за допомогою панелей, що зображено на (рис. 1):

Рис. 2. Приклад виконання обрахунків та вигляд робочого листа документа MathCAD.
Лінії та поверхні.
Розглянемо можливості середовища MathCAD при побудові графіків.
Середовище MathCAD містить у собі засоби для побудови семи видів графіків, які використовуються для візуального відображення різноманітних залежностей (рис. 1в).
Натиснувши
цю кнопку ми можемо створити графік у
декартових координатах, який має змогу
показати зв'язки між двома, або більше,
величинами.
Декартів графік, як правило, будується у три кроки:
- Задання виду функції однієї змінної;
- Формування вектора значеннь аргумента;
- Сама побудова графіка після відповідного заповнення полів: значення аргументу (-тів) та значення функції (-цій). Аргументи, в свою чергу, можуть бути функцією іншого аргумента.
Ця
кнопка дозволяє побудувати графіки у
полярних координатах.
Якщо аргумент являє собою кут, який змінюється в межах від 0 до 360, а значення функції має період, то краще використовувати саме цей вид графіків.
За
допомогою цієї кнопки ми маємо змогу
створити графік поверхні, тобто,
відобразити функцію двох змінних.
На відміну від декартового графіка графіки цього виду будуються у сім кроків:
- Задання виду функції двох змінних;
- Нумерація вузлів сітки-поверхні по першому аргументу;
- Формування вектора першого аргументу;
- Нумерація вузлів сітки-поверхні по другому аргументу;
- Формування вектора другого аргументу;
- Заповнення матриці значеннями функції у вузлах сітки;
- Побудова і формування графіка поверхні.
Дуже
часто корисно подивитися не графік
поверхні а карту ліній рівня, котрі
подібні лініям на фізичній географічній
карті, оточують гори та впадини (максимуми
та мінімуми). Саме ця кнопка може вам
допомогти реалізувати. Якщо області
графіка залити кольором, то схожість з
картою буде повна.
Замість
ліній графіка можна поставити маленькі
стрілочки, котрі відмічають напрям
зміни функції двох змінних. Тоді отримаємо
векторне поле.
Своєрідним
гібридом декартового графіка та графіка
поверхні є, так званий, тривимірний
точковий графік. Його головна відмінність
від графіків, котрі відображають
прямокутні матриці, полягає в тому, що
з його допомогою можна зобразити
взаємозв’язки трьох векторів. За
допомогою тривимірного точкового
графіка можливо візуалізувати матрицю.
Елементи
матриці (або вектора) можна уподобити
стовпчикам, розставити їх на плоскій
поверхні двох аргументів, цим самим
отримати тривимірну стовпчикову
діаграму.
Навівши курсор миші на область декартового графіка і натиснувши два рази ліву кнопку миші, перед вами з’явиться панель настройок (рис. 3). На ній існують такі закладки:
X-Y Axes (X-Y вісі) – управління опціями вісей;
Traces- управлінння лініями графіка;
Labels (Надписи) - управління мітками (надписами) на осях;
Defaults (По замовчуванню) – установка опцій “по умолчанию”.
Форматування осей графіка
У панелі X-Y Axes існують наступні основні опції, які відносяться до вісей Х та Y:

Рис. 3. Панель настройок декартового графіка.
- Log Scale (Лог. масштаб) - установка логарифмічного масштабу;
- Crid Lines (Лінії сітки) - установка ліній масштабної сітки;
- Numbered (Занумеровати) - установка цифрових даних по вісям;
- Autoscale (Автомасштаб) - автоматичне масштабування графіка;
- Show Markers (Нанести риски) - установка поділок на осях;
- Auto Grid (Автосітка) - автоматична установка масштабних ліній;
- No. of Grids (Число інтервалів) - установка заданого числа масштабних ліній.
Всі ці опції досить очевидні. Відмітимо лише те, що якщо опція Grid Lines відключена, то масштабна сітка графіку не будується, хоча на вісях розташовуються короткі поділки. Опція Numbered забезпечує редагування цифрових даних (вказівок на масштаб).
Наприклад, вона корисна для округлення нижньої та верхньої межі зміни значень абсцис та ординат, які при автоматичному виборі масштабу можуть бути десятковими числами з дробовою частиною.
Можлива також установка наступних опцій координатних осей (Axes Style):
- Boxed (Рамка) - осі у вигляді прямокутника;
- Crossed (Репер) - осі у вигляді хреста;
- None (Нічого) - відсутність осей;
- Equal Scales (Рівні поділки) - установка рівності масштабів по вісям графіка.
Форматування ліній графіків
Наступна панель, Traces (Графіки) служить для управління виглядом ліній, якими будується графік. За допомогою опцій цієї панелі можливо керувати наступними параметрами ліній графіка:
- Legend Label (Ім’я кривої) - установка типу ліній у віси ординат;
- Symbol (Маркер) - вибір символа, який розміститься на лінії;
- Line (Лінія) - установка типу ліній;
- Color (Колір) - Колір лінії;
- Type (Тип) - тип графіків;
- Weight (Товщина) - товщина ліній.
В середній частині вікна опцій формату міститься каталог ліній графіків з вказанням на наступні їх установки:
- Symbol (Маркер) - установка символу мітки базових точок графіку;
- Line (Лінія) - установка типу лінії;
- Color (Колір) - установка коліру лінії та базових точок;
- Trace type (Тип) - установка типу графіка.
Вузлові точки графіків (для яких обраховуються координати) часто потрібно виділити якою-небудь фігурою (ромбом, прямокутником і т.д.). Опція Symbol (Маркер) дозволяє задати наступні мітки базових точок графіка кожної із функцій:
- none (нічого) - без мітки;
- x's - нахилений хрест;
- +'х - прямий хрест;
- box (квадрат) - квадрат;
- dmnd (ромб) - ромб;
- o's - коло.
Графіки окремих функцій можливо також виділяти, використовуючи для їх побудови лінії різного типу.
Опція Line задає побудову наступних типів ліній:
- none (нічого) - лінія не будується;
- solid (суцільна) - неперервна лінія;
- dash (пунктир) - пунктирна лінія;
- dadot (штрих-пунктир) - штрих-пунктирна лінія.
Задання типу ліній графіків
Важливе значення має тип графіка. Опція Туре (Тип) задає наступні типи графіка:
- line (лінія) - побудова лініями;
- points (точки) - побудова точками;
- err (інтервали) - побудова вертикальними лініями з оцінкою інтервалу похибок;
- bar (стовпчик) - побудова у вигляді стовпчиків гістограм;
- step (сходинка) - побудова ступінчатою лінією;
- draw (протяжка) - побудова протяжкою від точки до точки.
Можливі конфлікти з міткою символами та типами ліній автоматично виправляються. При цьому пріоритет віддається опції Type (Тип), а конфліктні типи ліній або точок помічаються трьома зірочками. Кожна із вказаних опцій має своє меню з традиційними правилами його використання. Ще дві опції пов’язані з можливістю видалення з графіку допоміжних підписів:
Hide Argument (Сховати змінні) - ховає позначення математичних виразів по вісям графіка;
Hide Legend (Сховати імена) - ховає позначення імен кривих графіка.
Задання надписів у графіках
Панель міток Label (Надписи) дозволяє вводити у рисунок додаткові надписи. Ця панель з’являється, якщо вже створений поточний графік.
Для установки надписів служать невеликі вікна:
Title (Заголовок) - установка титульного надпису до малюнку;
X-Axis (Х-вісь) - установка надпису по вісі X;
Y-Axis (Y-вісь) - установка надпису по вісі Y.
У розділі Title містяться опції Above (Зверху) та Below (Знизу) для установки титульного надпису або над малюнком, або під ним. Активізація цих опцій задається установкою жирної крапки у кружку. Крім того, опція Show Title (Показати заголовок) дозволяє вмикати або вимикати відображення титульного надпису. Для її активізації служить квадратне віконце, пусте при відмові від виводу надпису і з хрестом - при виводі надпису.
Графічні установки по замовчуванню
Панель Defaults (По замовчуванню) служить для установки опцій графіків Change to Defaults (Повернути значення по замовчуванню) і Use for Defaults (Використовувати для значень по замовчуванню). Встановлені та зафіксовані опції використовуються в подальшому при побудові графіків функцій однієї змінної. За допомогою комбінацій цих опцій можливо створювати різноманітні види графіків, наприклад: з відображенням функції чи ні, з відображенням аргументу або без нього та ін. Аналогічні панелі інших видів графіків схожі у своєму принципі, відрізняються вони тільки завдяки особливостям того чи іншого типу графіку.
4. Практична (розрахункова) частина
Загальна робота.
1.Будуємо графіки :
а)для цього на панелі “Графики” нажимаємо дану конопку.


б)отримаємо вікно,де пишемо біля нижньої осі х,а відповідно біля лівої нашу функцію. Проробляємо таку процедуру і для інших функцій.



2.Знаходимо графічним способом корені рівняння.
Проробляємо аналогічну операцію,описану вище.

З даного графіка можемо найти корені рівняння.
3.Знайти графічним способом розв’язки нерівностей. Аналогічно.

4.Знаходимо похідні.
Для цього робимо активним вікно “Матанализ”,де вибираємо

При цьому будемо використовувати панель “Вычисление”,а саме:


5.Знаходимо інтеграли.
Робимо активне вікно “Матанализ”. Вибираємо необхідне нам інтегрування з межами або без них.

Індивідуальне завдання.
Варіант №8.
1.Зображаємо графічно точки перетину.
Для цього виконуємо пункт 1 а) з загальних завдань.
Далі на лівій осі пишемо наші дані функції,а на нижній відповідно х,х.

2.Розв’язуємо графічно нерівності.
Проводимо аналогічну операцію,як і при побудові графіка.

3.Зображаємо графічну функціональну залежність.

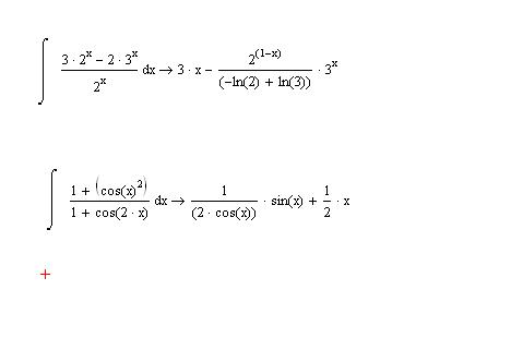
4.Беремо інтеграли.
Проробляємо операцію,описану в пункті 5 загальних завдань. Отримуємо.

5.Знаходимо похідні.
Виконуємо завдання спираючись на пункт 4 загальних завдань.

5. Висновки за результатами виконання роботи
Виконуючи дану лабораторну роботу було виконано наступні завдання:
1. Зображення графічно точок перетину.
2. Розв’язання графічно нерівностей.
3. Зображення графічно функціональної залежності.
4. Знаходження інтеграла.
5. Знаходження похідної.
Освоїв інтегрування та диференціювання за допомогою засобів MathCAD.
Навчився застосовувати графічні методи розв’язку рівнянь та нерівностей.
6. Бібліографічний список
1. В.Ф.Очков MathCad PLUS 6.0 для студентов и инженеров. - М.:ТОО Компьютер Пресс, 1996- 238 с.