Розв’язання нелінійних диференційних рівнянь методом січних і половинного ділення
Зміст
1.Загальні відомості
2.Вибір методу інструментальних засобів вирішення задач
3.Функціональне призначення програми
4.Розробка та опис логічної частини програми
5.Керівництво оператору
6.Результати обчислень
Висновки
Література
Додаток А. Блок-схема алгоритму
Додаток Б. Лістинг програми
Анотація
В даній курсовій роботі проведено дослідження двох чисельних методів вирішення нелінійних рівнянь: половинного ділення та січних. Дослідження проводиться на прикладі заданого нелінійного рівняння. Дається опис кожного з методів та задачі в цілому.
1. Загальні відомості
Метод половинного ділення
В
цьому методі спочатку обчислюється
значення функції в точках, що розташовані
через рівні інтервали на осі
.
Коли
і
мають
протилежні знаки, знаходять
Якщо знак
>
>збігається зі знаком
,
то надалі замість х>п>
використовується
. Якщо ж
має
знак, протилежний знакові,
тобто збігається зі знаком
то
на
замінюється
>
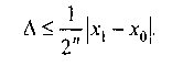
>Відзначимо, що і в цьому,
і в наступних методах за умову припинення
ітераційного процесу доцільно брати
умову
де
-
задана похибка знаходження
кореня.
Графічне зображення методу подане на рисунку 1, а структура алгоритму в Додатку А.
Похибка
розв'язку
>
>через
ітерацій знаходиться в межах

Метод має малу швидкість збіжності, оскільки інтервал, де знаходиться корінь, з кожним кроком зменшується не більше ніж в два рази.

Рис. 1. Метод половинного ділення
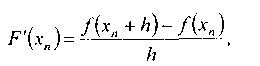
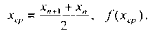
Метод січних
Однією з головних проблем при застосуванні методу Ньютона є необхідність аналітичного опису похідної. Якщо це складно чи неможливо, то можна застосувати її наближену оцінку (рисунок 2). Тоді замість методу дотичних застосовується метод січних, за яким

де
-
наближена оцінка похідної, що розглядається
як січна, а не як дотична, і може бути
оцінена за формулою

Чи

де h — деякий невеликий крок.
Алгоритм цього методу подібний методу Ньютона, але з іншою ітераційною формулою.

Рис. 2. Метод січних
2. Вибір методу інструментальних засобів вирішення задач
Розв’язок даної задачі реалізовано на ЕОМ, причому було складено алгоритм та програму в середовищі Borland Delphi 7. Програма є досить простою та зрозумілою для користувача середнього рівня. Готову програму можна використовувати навіть на мінімальних системних параметрах процесора типу Intel P-100, 8 Мb ОЗУ та операційній системі MS-Windows 95.
3. Функціональне призначення
Розроблена програма дозволяє розв’язати вказане нелінійне рівняння методами половинного ділення та січних, порівняти результати їх роботи:
,
Результати виводяться у текстовій формі.
4. Розробка та опис логічної частини програми
В даній курсовій роботі було розроблено програмне забезпечення для розв’язання та дослідження заданого нелінійного рівняння. Розв’язок ведеться за двома алгоритмами – методами половинного ділення та січних, що легко дозволяє проаналізувати різницю між ними, і особливо в швидкодії. Комплексні корені знаходяться за допомогою метода Ліна.
Кодування на мові Паскаль проводилося з застосуванням інтуїтивно-зрозумілих назв змінних та процедур. Також відступи та табуляція дозволяє досить легко збагнути структуру програми.
В інтерфейсі також не допущено зайвих елементів.
5. Керівництво оператору
Для завантаження програми необхідно запустити програмний файл Project1.exe. При цьому з’явиться вікно (рис. 1), де можна задати початкові умови, переглянути постановку задачі а також ознайомитися з розв’язком при натисненні кнопки Розв’язок.

Рисунок 1. Інтерфейс програми.
6. Результати обчислень
Метод половинного ділення:
Допустима похибка: 0,0100000000
Корені: 0,0703125000
Кількість кроків до розв’язання: 7
Метод січних:
Допустима похибка: 0,0100000000
Корені: 0,0681605830
Кількість кроків до розв’язання: 3
Метод Ліна:
Допустима похибка: 0,0100000000
Корені: -0,8807288000+1,8272344000i
-0,8807288000-1,8272344000i
1,3466523000+1,3238930000i
1,3466523000-1,3238930000i
Висновки
При виконані даної курсової роботи я навчився розв’язувати нелінійні рівняння. Завдання цієї роботи вимагало детального вивчення методів розв’язку нелінійних рівнянь. Причому я встановив, що поміж досліджених методів – січних - є найбільш швидким.
Література
1. Самарський А.А. Вступ в чисельні методи. - М.: Наука, 1987. – 286 с.
2.Квєтний Р.Н., Маліков В.Т. Обчислювльні методи та використання ЕОМ. Вища школа, 1989 – 55 с., 104 с.
Додаток A
Алгоритм
роботи програми



































Додаток Б
Лістинг програми
unit Unit1;
interface
uses
Windows, Messages, SysUtils, Variants, Classes, Graphics, Controls, Forms,
Dialogs, StdCtrls, ExtCtrls, Buttons, Math;
type
TForm1 = class(TForm)
GroupBox2: TGroupBox;
BitBtn1: TBitBtn;
BitBtn2: TBitBtn;
BitBtn3: TBitBtn;
Memo1: TMemo;
LabeledEdit1: TLabeledEdit;
procedure BitBtn1Click(Sender: TObject);
procedure BitBtn2Click(Sender: TObject);
private
{ Private declarations }
public
{ Public declarations }
end;
var
Form1: TForm1;
const
v:array [0..5] of Extended = (-1,15,-5,3,-1,1);
implementation
uses Unit2;
{$R *.dfm}
procedure TForm1.BitBtn1Click(Sender: TObject);
begin
Form2.ShowModal;
end;
procedure TForm1.BitBtn2Click(Sender: TObject);
function f(x:Extended):Extended;
var
i:integer;
begin
result:=v[5]*x*x*x*x*x+v[4]*x*x*x*x+v[3]*x*x*x+v[2]*x*x+v[1]*x+v[0];
end;
const
n = 5;
var
step, j, i,k :integer;
err:Extended;
x,y:Extended;
x_l, x_r, p,q, pp, qq,t: Extended;
b:array[0..n+1] of Extended;
a:array[0..n-1,0..n-1] of Extended;
begin
try
// Half-dividing method
x_l := 0; x_r := 1;
step := 0; y:=f(x_l);
err:=StrToFloat(LabeledEdit1.Text);
while abs(x_l-x_r)>err do begin
x:=(x_r+x_l)/2;
if f(x_l)*f(x)>0 then
x_l := x
else
x_r := x;
y:=f(x);
inc(step);
end;
with Memo1.Lines do begin
Clear;
Add('Метод половинного д_лення:');
Add(' Допустима похибка: '+FloatToStrF(err,ffFixed,8,10));
Add(' Корен_: '+FloatToStrF(x,ffFixed,8,10));
Add(' К_льк_сть крок_в до розвязання: '+IntToStr(step));
end;
// Trunc's method
x := 1; x_l := 0;
step := 0;
while abs(x_l-x)>err do begin
x_l := x;
x := x - f(x)/((f(x+err)-f(x))/err);
inc(step);
end;
with Memo1.Lines do begin
Add('Метод с_чних:');
Add(' Допустима похибка: '+FloatToStrF(err,ffFixed,8,10));
Add(' Корен_: '+FloatToStrF(x,ffFixed,8,10));
Add(' К_льк_сть крок_в до розвязання: '+IntToStr(step));
end;
// Lin's method
with Memo1.Lines do begin
Add('Метод Л_на:');
Add(' Допустима похибка: '+FloatToStrF(err,ffFixed,8,10));
end;
p := 1; q := 1; pp :=0; qq := 0;
while (abs(p-pp)>err) or (abs(q-qq)>err) do begin
pp:=p; qq:=q;
for i:=0 to n do
b[i]:=v[i];
for j:=0 to n-1 do
for i:=0 to n-1 do
a[i,j]:=0;
a[2,2]:=q;
a[1,1]:=q; a[2,1]:=p;
a[0,0]:=q; a[1,0]:=q; a[2,0]:=1;
a[0,3]:=p; a[1,3]:=1; a[3,3]:=1;
a[0,4]:=1; a[4,4]:=1;
b[0]:=v[2]; b[2]:=v[0];
for k:=0 to n-1 do begin
t:=a[k,k];
for j:=0 to n-1 do
a[k,j]:=a[k,j]/t;
b[k]:=b[k]/t;
for i:=0 to N-1 do
if (i<>k) and (a[i,k]<>0) then begin
for j:=0 to n-1 do
a[i,j]:=a[i,j]-a[i,k]*a[k,j];
b[i]:=b[i]/t-b[k];
end;
end;
p:=b[0]; q:=b[3];
inc(step);
end;
with Memo1.Lines do begin
Add('Корен_:'+FloatToStrF(-0.88072880417729734356,ffFixed,8,10)+'+'+FloatToStrF(1.8272344014937090258,ffFixed,8,10)+'i');
Add(''+FloatToStrF(-0.88072880417729734356,ffFixed,8,10)+'-'+FloatToStrF(1.8272344014937090258,ffFixed,8,10)+'i');
Add(''+FloatToStrF(1.3466523186783762535,ffFixed,8,10)+'+'+FloatToStrF(1.3238929524834183243,ffFixed,8,10)+'i');
Add(''+FloatToStrF(1.3466523186783762535,ffFixed,8,10)+'-'+FloatToStrF(1.3238929524834183243,ffFixed,8,10)+'i');
end;
except
on EConvertError do
Application.MessageBox('Неправильно введен_ дан_', 'Увага');
end;
end;
end.