Розрахунок інтегралів за допомогою методів Гауса та Чебишева
Міністерство освіти і науки України
Вінницький державний технічний університет
Інститут ІНАЕКСУ
Факультет АКСУ
Кафедра АІВТ
Курсова робота з дисципліни :
«Обчислювальні методи та застосування ЕОМ»
Керівник професор, д.т.н._______________ Квєтний Р.Н.
Студент гр. 3АВ-0_______________ Кучерявий В.Р.
2003
Зміст
Завдання
1.Загальні відомості
2.Вибір методу інструментальних засобів вирішення задач
3.Функціональне призначення програми
4.Розробка та опис логічної частини програми
5.Керівництво оператору
6.Результати обчислень
Висновки
Література
Додаток А
Блок-схема алгоритму
Додаток Б
Лістинг програми
Анотація
В даній курсовій роботі проведено дослідження різницевого методу для розв’язання крайової задачі. Дослідження проводиться на прикладі заданого диференційного рівняння. Дається опис методу та задачі в цілому.
1. Загальні відомості
Формула Чебишева
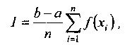
Формула обчислення може бути приведена до вигляду
(1)
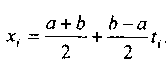
заміною змінних

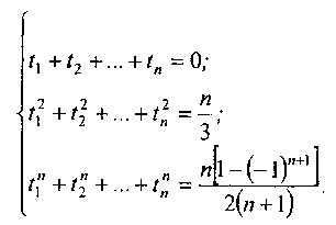
При виведенні формули Чебишева використовуються такі умови:
• коефіцієнти А>І> рівні між собою;
• квадратурна формула (1) точна для всіх поліномів до степеня п включно.
При цих умовах формула (1) має вигляд:
(2)
Для
знаходження
використовуємо
другу умову, згідно з якою формула (2)
повинна бути точною для функції вигляду

Після підстановки цих функцій в (2) отримаємо систему рівнянь

Система
рівнянь має розв'язок при п
<8 та п=9.
В цій
обмеженій точності і полягає недолік
формули Чебишева. Значення
для
різних п
наведені
в довідниках.
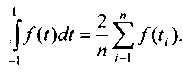
Для довільного інтервалу (а, b) формула (2) приймає вигляд

Де

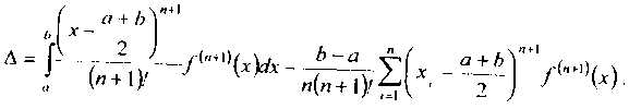
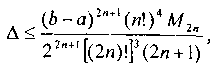
Похибка обчислень за методом Чебишева:

Формула Гаусса
Формула
Гаусса називається формулою найвищої
алгебраїчної точності. Для формули
розрахунку найвища точність може бути
досягнута для поліномів степеня (2п
- 1), які
визначаються 2n
постійними
і
(і=1,2,...,n).
Завдання
полягає у визначенні коефіцієнтів
і
абсцис точок
.
Для знаходження цих постійних розглянемо
виконання формули розрахунку для функцій
вигляду

Враховуючи, що

отримаємо систему рівнянь

Ця система нелінійна, і її звичайне розв'язання пов'язане із значними обчислювальними труднощами. Але якщо використовувати систему для поліномів вигляду

де
-
поліном Лежандра, тоді її можна звести
до лінійної відносно коефіцієнтів
з заданими точками
.
Оскільки степені поліномів в співвідношенні
не перевищують 2п
-1, повинна
виконуватися система (4) і формула (5)
приймає вигляд

В результаті властивості ортогональності ліва частина виразу дорівнює 0, тоді

що
завжди забезпечується при будь-яких
значеннях
в точках
,
які відповідають кореням відповідних
поліномів Лежандра.
Підставляючи
ці значення
в систему і враховуючи перші n.
рівнянь,
можна визначити коефіцієнти
>.>
Формула
розрахунку, де
-
нулі полінома Лежандра
,
а
визначаються із системи, називається формулою Гаусса.
Значення
для
різних п
наведені
в довідниках.
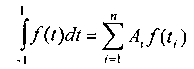
Для довільного Інтервалу (а,b) формула для методу Гаусса приймає вигляд

Де

Оцінка похибки формули Гаусса з п вузлами визначається із співвідношення

де
-
максимальне значення
>
>похідної
на ділянці

2.Вибір методу інструментальних засобів вирішення задач
Розв’язок даної задачі реалізовано на ЕОМ, причому було складено алгоритм та програму в середовищі Borland Delphi 7. Програма є досить простою та зрозумілою для користувача середнього рівня. Готову програму можна використовувати навіть на мінімальних системних параметрах процесора типу Intel P-100, 8 Мb ОЗУ та операційній системі MS-Windows 95.
3. Функціональне призначення
Розроблена програма дозволяє розрахувати вказаний інтеграл:
,
методами Чебишева та Гауса з кроками 0,1 і 0,05.
Результати виводяться у текстовій формі.
4. Розробка та опис логічної частини програми
В даній курсовій роботі було розроблено програмне забезпечення для розв’язання та дослідження заданого диференційного рівняння. Розвязок ведеться за різницевим алгоритмом. Кодування на мові Паскаль проводилося з застосуванням інтуїтивно-зрозумілих назв змінних та процедур. Також відступи та табуляція дозволяє досить легко збагнути структуру програми.
В інтерфейсі також не допущено зайвих елементів.
5. Керівництво оператору
Для завантаження програми необхідно запустити програмний файл Project1.exe. При цьому зявиться вікно (рис. 1), де можна задати початкові умови, переглянути постановку задачі а також ознайомитися з розв’язком при натисненні кнопки Розвязок.

Рисунок 1. Інтерфейс програми.
6. Результати обчислень
Результати обчислень:
Метод Гауса: 0,9962219100
Похибка: 0,0004163754
Метод Чебишева: 0,9961046200
Похибка: 0,0111120270
Точне розвязання (Mathcad): 1,1367262
Висновки
При виконані даної курсової роботи я навчилась розраховувати інтеграли за допомогою методів Гауса та Чебишева. Було відмічено, що метод Гауса є значно точнішим від Чебишева, за що і отримав назву метода найвищої математичної точності.
Література
Самарський А.А. Вступ в чисельні методи. - М.: Наука,
1987. – 286 с.
2.Квєтний Р.Н., Маліков В.Т. Обчислювльні методи та використання ЕОМ. Вища школа, 1989 – 55 с., 104 с.
Додаток A – Алгоритм роботи програми


















Додаток Б - Лістинг програми
unit Unit1;
interface
uses
Windows, Messages, SysUtils, Variants, Classes, Graphics, Controls, Forms,
Dialogs, StdCtrls, ExtCtrls, Buttons, Math;
type
TForm1 = class(TForm)
GroupBox2: TGroupBox;
BitBtn1: TBitBtn;
BitBtn2: TBitBtn;
BitBtn3: TBitBtn;
Memo1: TMemo;
LabeledEdit1: TLabeledEdit;
procedure BitBtn1Click(Sender: TObject);
procedure BitBtn2Click(Sender: TObject);
private
{ Private declarations }
public
{ Public declarations }
end;
var
Form1: TForm1;
implementation
uses Unit2;
{$R *.dfm}
procedure TForm1.BitBtn1Click(Sender: TObject);
begin
Form2.ShowModal;
end;
procedure TForm1.BitBtn2Click(Sender: TObject);
const
c = 1.5;
d = 2.0;
n = 3;
tc:array[1..3] of extended = (-0.707107, 0, 0.707107);
tg:array[1..3] of extended = (-0.77459667, 0, 0.77459667);
Ag:array[1..3] of extended = (5/9, 8/9, 5/9);
function f(x:extended):extended;
begin
result := c*x/2+1/cos(d*x);
end;
function f_4(x:extended):extended;
begin
result := power(d,4)*
(24-20*power(cos(d*x),2)+
power(cos(d*x),4))/
power(cos(d*x),5);
end;
function f_6(x:extended):extended;
begin
result := -power(d,6)*
(-720-840*power(cos(d*x),2)-
182*power(cos(d*x),4)+power(cos(d*x),6))/
power(cos(d*x),7);
end;
var
i :integer;
h, x,a,b:Extended;
sumC,sumG,iG,iC,ec,max:Extended;
errC,errG:Extended;
begin
try
h:=StrToFloat(LabeledEdit1.Text);
a := 0.0;
b := 0.785-h;
errC:=0; errG:=0;
x:=a; sumC:=0; sumG:=0;
while x<b do begin
iG:=0; iC:=0; ec:=0; max:=0;
for i:=1 to 3 do begin
iC:=iC+(f((2*x+h)/2+h/2*tC[i]));
iG:=iG+(Ag[i]*f((2*x+h)/2+h/2*tG[i]));
ec:=ec+power((2*x+h)/2+h/2*tC[i]-(2*x+h)/2,n+1)*f_4((2*x+h)/2+h/2*tC[i]);
if f_6((2*x+h)/2+h/2*tG[i])>max then max:=f_6((2*x+h)/2+h/2*tG[i]);
end;
iC:=iC*h/n;
iG:=iG*h/2;
sumC:=sumC+iC;
sumG:=sumG+iG;
max:=power(h,2*n+1)*power(6,4)*max/power(2,2*n+1)/power(120,3)/(2*n+1);
if h/18*ec>errC then errC:=h/18*ec;
if max>errG then errG:=max;
x:=x+h;
end;
a := 0.785+h;
b := 1;
x:=a;
while x<b do begin
iG:=0; iC:=0; ec:=0; max:=0;
for i:=1 to 3 do begin
iC:=iC+(f((2*x+h)/2+h/2*tC[i]));
iG:=iG+(Ag[i]*f((2*x+h)/2+h/2*tG[i]));
ec:=ec+power((2*x+h)/2+h/2*tC[i]-(2*x+h)/2,n+1)*f_4((2*x+h)/2+h/2*tC[i]);
if f_6((2*x+h)/2+h/2*tG[i])>max then max:=f_6((2*x+h)/2+h/2*tG[i]);
end;
iC:=iC*h/n;
iG:=iG*h/2;
sumC:=sumC+iC;
sumG:=sumG+iG;
max:=power(h,2*n+1)*power(6,4)*max/power(2,2*n+1)/power(120,3)/(2*n+1);
if h/18*ec>errC then errC:=h/18*ec;
if max>errG then errG:=max;
x:=x+h;
end;
with Memo1.Lines do begin
clear;
Add('Результати обчислень: ');
Add(' Метод Гауса: '+FloatToStrF(sumG,ffFixed,8,10));
Add(' Похибка: '+FloatToStrF(errG,ffFixed,8,10));
Add(' Метод Чебишева: '+FloatToStrF(sumC,ffFixed,8,10));
Add(' Похибка: '+FloatToStrF(errC,ffFixed,8,10));
Add(' Точне розвязання (Mathcad):
'+FloatToStrF(1.1367262217813367605,ffFixed,8,10));
end;
except
on EConvertError do
Application.MessageBox('Неправильно введен_ дан_', 'Увага');
end;
end;
end.