Системний аналіз складних систем управління
Міністерство освіти і науки України
Національний університет харчових технологій
Кафедра АКІТ
Курсова робота
з предмету
«Cистемний аналіз складних систем управління»
Виконав:
Студент гр. АКС-4-4
Ширма Сергій
Перевірив:
доц. Власенко Л. О.
Київ 2010
Зміст
Вступ.
1. Основні положення системного аналізу. Характеристика та ознаки складних систем.
2. Характеристика та класифікація технологічних комплексів (ТК) як складних систем.
3. Використання теорії графів для структурного аналізу складних систем.
4. Системний аналіз технологічного комплексу.
5. Графова потокова модель технологічного комплексу.
6. Виділення внутрішніх комплексів в ТК.
Висновки.
Література.
Вступ
Для нинішнього життя характерне значне ускладнення, з яким зустрічаємось повсюдно та повсякчас. З одного боку, його створюємо ми самі, намагаючись створити собі комфорт, наприклад, придбати комп’ютер або сучасні побутові пристрої. Однак, це вимагає знань з фізики, механіки, електротехніки тощо, і не зі злої волі виготовлювачів ми змушені вивчати детальні інструкції користувача. Адже техніка, як правило, багатофункціональна і гріх не використати всі її цінні властивості.
Суттєво ускладнюють життя сучасної людини численні зв’язки, якими вона оплутана і які увесь час розширюються. Крім традиційних сімейних і одинних зв’язків, кожен підтримує контакти з друзями, сусідами, діловими партнерами, організаціями. Все це є результатом складного структурованого середовища нашого існування.
Характерною особливістю нинішнього життя стала необхідність все частіше приймати рішення: від побутових до життєво важливих і виробничих. Причина цього є розширення спектру можливостей, вагатоальтернативність нашого буття, яку можна пояснити в кінцевому підсумку складністю побудови суспільства і держави. Прийняття правильного рішення можливе лише за умови глибокого проникнення в сутність ситуації, всебічного розуміння явищ, стосовно яких рішення приймається.
Надії на спрощення нашого буття немає – цивілізація розвивається в напрямку її ускладнення, насамперед, у сфері технологічній та інформаційній. В цих умовах єдино правильний підхід – це всестороннє пізнання явища і, в жодному разі, неприпустимість локалізованого ізольованого дослідження. Предмет розгляду потрібно вивчати у взаємозв'язку зі своїм оточенням, зрозуміти причини його розвитку і руху, а це означає з’ясувати цілі та способи їх досягнення, встановити ресурси і джерела існування аналізованого явища. Більше того, вивчення потрібно здійснювати систематизовано, в певній послідовності, лише тоді воно дасть очікуваний результат. Якщо ще донедавна науковці буквально ганялися за фактами, то сьогодні в епоху інформаційних технологій, вони вже не в змозі справитися з величезними потоками розрізнених і різноманітних фактів. Аналітичні методи окремих наук, які спрацьовують при вивченні окремих явищ і процесів, тепер не спрацьовують. Потрібен принцип, який допоміг би розібратися в усіх логічних зв’язках між відокремленими фактами.
Таким принципом став системний підхід до пізнання, за яким об’єкт пізнання потрібно розглядати як систему, що функціонує в середовищі та взаємодіє з іншими системами. В загально теоретичному плані системний підхід знайшов своє втілення в теорії систем, в прикладному – в системному аналізі.
Нині системний підхід використовують в усіх галузях знань, хоча в різних областях він проявляється по різному. В технічних науках мова іде про системотехніку, в кібернетиці – системне управління, в біології – біосистеми, в соціології – структурно-функціональний підхід, в суспільних науках – системологію.
1. Основні положення системного аналізу. Характеристика та ознаки складних систем
Істотне місце в сучасній науці і практиці займає системний підхід, хоча його єдиного трактування в науці немає – кожний дослідник по-своєму розуміє його зміст.
Системний підхід – це напрямок методології спеціально-наукового пізнання і соціальної практики, в основі якого лежить дослідження об'єктів як систем. Специфіка системного підходу визначається тим, що він орієнтує дослідження на розкриття цілісності об'єкта і забезпечуючих її механізмів, на виявлення різноманітних типів зв'язків складного об'єкта і зведення їх у єдину теоретичну картину. Основними принципами системного підходу є:
– вивчення феномена цілісності і встановлення складу цілого, його елементів;
– дослідження закономірностей з'єднання елементів у систему, тобто структури об'єкта, що складає ядро системного підходу;
– вивчення функцій системи і її складових у тісному зв'язку з вивченням структури, тобто структурно-функціональний аналіз системи;
– дослідження генезису системи, її границь і зв'язків з іншими системами.
На практиці ідеї системного підходу кристалізуються в методологічних засобах системного аналізу. Системний аналіз – методологія дослідження таких властивостей і відносин в об'єктах, які важко спостерігати і важко розуміти, за допомогою представлення об'єктів у вигляді систем і вивчення властивостей цих систем і взаємин між цілями і засобами їх реалізації.
Головна ідея системного аналізу. Головне в системному аналізі – це складне перетворити в просте, таку, що важко розв’язати і зрозуміти, проблему перетворити в чітку послідовність завдань, для яких або існує тривіальний розв'язок, або які можна легко розв’язати відомими методами. Перша частина процедури системного аналізу полягає в тому, щоб розбити цілісну проблему на більш доступні для розв’язання складові частини та вико ристати найбільш підхожі спеціальні методи для розв’язання окремих підпроблем. Ця частина називається аналізом. Друга частина – об’єднання окремих розв’язків в загальний розв’язок проблеми – отримала назву синтез.
Таким чином, системний аналіз передбачає не лише органічне поєднання аналітичного поділу проблеми на частини і дослідження зв’язків і відношень між цими частинами, але й робить особливий акцент на розгляд цілей і задач, спільних для усіх частин, і відповідно до цього здійснюється синтез загального розв'язку з окремих. По суті справи, в системному аналізі методи аналізу та синтезу взаємно переплітаються, при виконанні аналітичних процедур звертається увага на способи об’єднання окремих результатів в єдине ціле і вплив кожного елемента на інші елементи системи.
Два підходи до системного аналізу. Спеціалісти розрізняють два підходи до тлумачення терміну "системний аналіз" – підхід, який базувався головним чином на застосуванні складних математичних прийомів, зокрема теорії оптимізації і дослідження операцій, та підхід, в основу якого була покладена логіка системного аналізу.
“Математичний” підхід був історично першим. Прихильники його роблять наголос на описі складної системи з допомогою формальних засобів (блочних діаграм, мереж, математичних рівнянь тощо). На основі подібного роду описів ставиться математична задача відшукання оптимального проекту системи або найкращого режиму її функціонування, тобто знаходження максимуму або мінімуму цільової функції системи при заданих обмеженнях. Однак існує цілий ряд реальних проблем з масою невизначеностей, де математика не є ефективною, і тоді на перший план висуваються не математичні методи, а логіка системного аналізу, пошук конструктивних засобів організації прийняття рішень. Системний аналіз починають визначати як процедуру розбиття досліджуваного процесу на підпроцеси, складної проблеми – на підпроблеми і етапи, для яких є можливість підібрати методи дослідження і виконавців. При цьому основна увага концентрується на методи такого розбиття. І мабуть, не випадково під системним підходом дуже часто розуміють деяку сукупність системних принципів. Цей другий підхід був запропонований RANDcorporation.
Системний аналіз розглядається перш за все як методологія з’ясування і впорядкування (або структуризації) проблеми, яку належить розв’язати із застосуванням або без застосування математики і комп’ютерів. Логічний системний аналіз доповнюється в тій чи іншій мірі математичними, статистичними і логічними методами, однак тепер як область їх застосування, так і методологія істотно відрізняється у порівнянні з математичним підходом.
Класифікація проблем. Людську діяльність можна умовно розділити на дві сфери: сфера рутинної діяльності, тобто регулярних, повсякденно розв'язуваних задач, і сфера розв’язання нових, таких, що вперше виникають, задач. У першій з них способи вирішення задач, як правило, добре відпрацьовані і потреб для системного аналізу немає, хоча сама наявність рутини в деяких випадках складає проблему. Однак у сфері людської діяльності, пов'язаної з вирішенням нових, невідомих раніше задач (наприклад, у перспективному плануванні, науці, конструкторських розробках), методи системного аналізу потрібно застосовувати майже повсюдно, а в деяких випадках – без них не можна обійтися. Залежно від глибини пізнання розрізняють на три класи проблем:
а) добре структуровані або кількісно сформульовані проблеми, в яких існуючі залежності з’ясовані настільки добре, що вони можуть бути виражені в числах і символах, які також дають в кінцевому підсумку чисельні оцінки;
б) неструктуровані або якісно виражені проблеми, що містять лише опис важливих ресурсів, ознак і характеристик, кількісні залежності між якими зовсім невідомі;
в) погано структуровані або змішані проблеми, які містять як якісні, так і кількісні елементи, причому якісні маловідомі та невизначені сторони пробле ми мають домінуючу тенденцію.
Для розв’язання добре структурованих проблем використовується методологія дослідження операцій. В неструктурованих проблемах традиційним є евристичний метод, який полягає в тому, що досвідчений спеціаліст збирає максимум різних відомостей про розв’язувану проблему, вживається в неї та на основі інтуїції і досвіду вносить пропозиції про доцільні заходи.
Системний аналіз застосовують для вирішення проблем третього класу – погано структурованих. До них відноситься більшість найважливіших економічних, технічних, політичних і воєнно-стратегічних задач великого масштабу. Типовими проблемами такого роду є ті, які:
– намічені для розв’язання в майбутньому;
– пов'язані з великою кількістю альтернатив;
– залежать від сучасно го рівня технологічних досягнень;
– потребують значних вкладень капіталу і містять елементи ризику;
– пов'язані з потребами складного комбінування ре сурсів, необхідних для їх розв’язання;
– мають невизначеність щодо вартості або часу завершення дій.
Системний аналіз застосовується для того, щоб спочатку структурувати неструктуровану, ледь позначену проблему, відтак зібрати додаткову інформацію про неї, встановити взаємозв'язки складових частин, віднайти можливі кількісні оцінки окремих параметрів (хоча б суб'єктивні чи експертні) і перевести початкову проблему в розряд структурованих, до розв’язання яких можна застосувати добре відомий і відпрацьований апарат.
Альтернативні варіанти вирішення проблем. Застосування методів системного аналізу для вирішення зазначених проблем необхідно насамперед тому, що в процесі прийняття рішень доводиться здійснювати вибір в умовах невизначеності, яка зумовлена наявністю факторів, що не піддаються строгій кількісній оцінці. Процедури і методи системного аналізу спрямовані саме на висування альтернативних варіантів вирішення проблеми, виявлення масштабів невизначеності за кожним із варіантів і співставлення варіантів за тим або іншим критерієм ефективності. Фахівці з системного аналізу лише рекомендують варіанти рішень, прийняття ж рішення залишається в компетенції відповідної посадової особи (чи органу).
Сутність системного аналізу полягає не в математичних методах і процедурах: його рекомендації далеко не обов’язково випливають з обчислень. Найсуттєвішим є те, що систематично на всіх етапах життєвого циклу будь-якої технічної системи здійснюється співставлення альтернатив, по можливості в кількісній формі, на основі логічної послідовності кроків, які можуть бути відтвореними і перевіреними іншими. Системний аналіз дозволяє глибоко і краще осмислити сутність системи, її структуру, організацію, завдання, закономірності розвитку, оптимальні шляхи методи управління.
Ознаки складних систем:
ієрархічна побудова;
багатофункціональність;
наявність множини цільового вибору;
складні взаємозв’язки;
складна залежність ефективності кінцевого результату від ефективності різних ланок ієрархічної системи управління тощо.
2. Характеристика та класифікація технологічних комплексів (ТК) як складних систем
Можна виділити різні ознаки, але головними є ті, які характеризують як деякі кількісні сторони, наприклад, кількість елементів, так і якісні. Відомий підхід, коли складною системою (СС) називають таку, математичні моделі якої можна описати принаймні двома способами (детерміновані та стохастичні, теоретико-імовірнісні і т.д.). Для ТК при характеристиці їх як СС виділяють такі ознаки:
• кількість підсистем, особливо це має значення для неперервних ТК. Ці підсистеми, зв'язані між собою складними структурними та функціональними відношеннями;
• можливість управління підсистемами на основі різних критеріїв оптимальності;
• існування для підсистем задач оперативної оптимізації та необхідність координації роботи підсистеми;
• наявність ієрархічної структури;
• необхідність урахування автономності підсистем.
Аналіз ТК як складних систем передбачає визначення та оцінку їх структури, оцінку матеріальних та енергетичних потоків, формування необхідних інформаційних визначень, що дає можливість визначити структуру управління. При побудові автоматизованих ТК визначається кількість підсистем, розташування точок отримання інформації, розташування пунктів управління та технічна реалізація системи.
3. Використання теорії графів для структурного аналізу складних систем
Теорія графів – розділ математики , який досліджує властивості різних геометричних схем (графів), які утворені множиною точок та ліній, що їх з’єднують. При структурному аналізі систем елементам ставлять у відповідність вершини графа, а зв’язкам – ребра (вершинний граф). Іноді зручно використовувати реберний граф (елементи – ребра, зв’язки – вершини).
Види графів. Якщо визначена множина елементів V, то граф G=G(V) вважається визначеним, коли деяке сімейство сполучень елементів пбо пар виду Е=(a,b), де a,b належить V, вказує, які елементи є зв’язні. У відповідності з геометричною інтерпретацією пара Е=(a,b) – ребро, а елементи a i b - кінцеві точки ребра, або вершини. Якщо початок розташування вершини не має значення, то Е – неорієнтовне ребро, а якщо це важливо, то Е – орієнтовне ребро, дуга, причому a – початкова вершина, b – кінцева.
В теорії графів використовують також таку термінологію: ребро Е інцидентно вершинам a,b; вершини a,b інцидентні ребру Е.
Граф, складений виключно з орієнтованих ребер – орієнтований. Відповідно: неорієнтовані та змішані графи. Неорієнтований граф можна перетворити в орієнтований заміною кожного ребра Е парою ребер з тими ж кінцями, але протилежної орієнтації (процес подвоєння).
Граф кінцевий, коли число ребер кінцеве, та нескінченний - у протилежному випадку.
Граф, який складається лише з ізольованої вершини – нуль-граф, а граф, ребрами якого є різні пари двох різних вершин a, b і з V – повний граф.
В орієнованому повному графі є пари ребер по одному в кожному напрямку, які з’єднують будь-які дві різні вершини (a,b).
Способи формалізованого задання графів.
Графічне представлення – найбільш наочне, але не достатнє, його не можна використовувати при роботі на ЕОМ.
Матричне представлення. Можуть бути різні форми. Для неорієнтованого графа матриця суміжності є симетричною. В матриці суміжності вершин для орієнованого графа:
А=||a>ij>||
Елементи визначаються так:
1,
якщо з вершини і
можна
перейти в вершину j
a>ij >=
0 - в протилежному випадку.
Вид матриці суміжності орієнованих графів суттєво залежить від принципу нумерації вершин.
Множинне представлення. Для орієнованого графа G(V) задається множина вершин та відповідність G, яка показує, як зв’язані між собою вершини. Відповідність G в цьому випадку є відображенням множини V в V. Для кожної вершини і відповідність G визначає множину вершин G(i), в які можна безпосередньо попасти з вершини і. Часто G(і) називають множиною правих інциденцій.
Множина G-1(і) визначає всі вершини, з яких можна безпосередньо попасти в вершину і - зворотна відповідність (відображення). По аналогії множина G-1(і) називається множиною лівих інциденції. Множинний спосіб більш практичний, особливо для ієрархічних систем.
Частинний граф та підграф. Граф Н називається частинним графом графа G, якщо його множина вершин V(H) є в множині вершин V графа G і всі ребра графа Н є ребрами графа G.
Ланцюг – послідовність ребер Е>0>, Е>1>... Е>n >коли кожне ребро Е>n-1 >дотикається одним з кінців з ребром Е>n.>
Шлях – послідовність дуг, коли кінець кожної попередньої співпадає з початком наступної, наприклад (1,3)(3,5)(5,1). Це поняття також використовується для орієнованих графів.
Цикл - кінцевий ланцюг, який розпочинається і закінчується в одній вершині, наприклад (1,2,4,1).
Контур – кінцевий шлях, для якого початкова вершина першої дуги співпадає з кінцевою вершиною останньої дуги шляху: послідовність дуг (1,3), (3,5),(5,1) – контур.
Довжина ланцюга – число ребер (дуг), які входять в ланцюг (шлях) графа.
4. Системний аналіз технологічного комплексу
Бродильне відділення спиртового заводу
Технологічний комплекс як складна система:

Головна мета функціонування ТК: зброджування сусла - виготовлення бражки.
Короткий опис технологічного процесу, матеріальних та енергетичних потоків:
Спиртове бродіння - це процес анаеробного перетворення вуглеводневого сусла в етиловий спирт і вуглекислий газ під дією дріжджів. Спиртове бродіння сумарно виражається рівнянням Гей-Люссака
С>6>Н>12>О>6> -…-…-=2С>2>Н>5>ОН +2 СО>2> +118кДж ,
яке відображає початкові і кінцеві продукти бродіння , але не дає уявлення про хімічні перетворення цукрів і не позволяе судити про механізм творення побічних продуктів і нових дріжджових клітин . Процес спиртового бродіння протікає через ряд проміжних стадій з участю аденілових кислот і великої кількості ферментів .
Хімізм бродіння вивчали багато вчених \А.А. Іванов , А.М. Лебедев , С.П. Костичев , А.Е. Фаворський , О. Мейергоф , Г.М. Ембден та інші\ .
Весь процес спиртового бродіння , або ферментативної дисиміляції вуглеводнів в анаеробних умовах можна умовно зообразити поетапно на тринадцять етапів.
При спиртовому бродінні поряд з етиловим спиртом і вуглекислим газом завжди утворюється невелика кількість побічних продуктів в тому числі і гліцерину . При зв’язуванні оцтового альдегіду сульфітом бродіння направляється в сторону утворення гліцерину .
С>6>Н>12>О>6> -…-…= СН>3>СНО + С>3> Н>5> (ОН)>3> .
В лужному середовищі молекула оцтового альдегіду вступає в реакцію з другою молекулою оцтового альдегіду , утворюючи етиловий спирт і оцтову кислоту , паралельно утворюється також гліцерин . Ці реакціі сумарно виражаються рівнянням .
2С>6>Н>12>О>2> + Н>2>О=2С>3>Н>5>(ОН)>3> + С>2>Н>5>ОН + СН>3> СООН +2 СО>2>
Другорядним продуктом бродіння крім гліцерину , оцтової кислоти є також янтарна , молочна , лимонна кислоти , ацетон , діацетил , та вищі спирти , ефіри , альдегіди, кетони.
Зброджування сусла відбувається для отримання бражки та її подальшої переробки у бражній колоні. В даному випадку бродіння у кожному з чанів триває 72 години.
Перелік контрольованих, регульованих параметрів та функцій управління, які обираються для створення системи автоматизації:
У 1-9 бродильних чанах контролюється верхній рівень дискретними активними датчиками (використовуються у схемі сигралізації верхнього рівня), а у передаточному чані рівень контролюється за допомогою рівнеміра з аналоговим вихідним сигналом що подається на контролер. Також на кожному чані стоять клапани впуску сусла та випуску бражки. Остання за допомогою насосів подаєтсья у передаточний чан, а потім на БРУ.
Спосіб функціонування: неперервно-періодичний;
Класифікація за кількістю виконуваних функцій: однофункціональний.
Ступінь однорідності: однорідне виробництво.
Класифікація за способом з’єднання елементів: паралельний.
Наявність накопичувальних ємностей: немає.
Інформаційна потужність ТК: мала (до 160 сигналів).
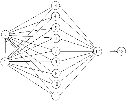
5. Графова потокова модель бродильного відділення спиртового заводу

Кожній вершині графа відповідає елемент технологічного комплексу:
Варильне відділення
Дріжджове відділення
1-й чан;
2-й чан;
3-й чан;
4-й чан;
5-й чан;
6-й чан;
7-й чан;
8-й чан;
9-й чан;
Передаточний чан;
БРУ.
На основі графової моделі будуємо матрицю зв’язків:
-
і
j
1
2
3
4
5
6
7
8
9
10
11
12
13
1
0
1
1
1
1
1
1
1
1
1
1
0
0
2
0
0
1
1
1
1
1
1
1
1
1
0
0
3
0
0
0
0
0
0
0
0
0
0
0
1
0
4
0
0
0
0
0
0
0
0
0
0
0
1
0
5
0
0
0
0
0
0
0
0
0
0
0
1
0
6
0
0
0
0
0
0
0
0
0
0
0
1
0
7
0
0
0
0
0
0
0
0
0
0
0
1
0
8
0
0
0
0
0
0
0
0
0
0
0
1
0
9
0
0
0
0
0
0
0
0
0
0
0
1
0
10
0
0
0
0
0
0
0
0
0
0
0
1
0
11
0
0
0
0
0
0
0
0
0
0
0
1
0
12
0
0
0
0
0
0
0
0
0
0
0
0
1
13
0
0
0
0
0
0
0
0
0
0
0
0
0
Для виділення внутрішніх комплексів на графах використаєм алгоритм заснований на використанні матриці шляхів на графі (Р-матриця).
Р-матриця:
-
і
j
1
2
3
4
5
6
7
8
9
10
11
12
13
1
1
1
1
1
1
1
1
1
1
1
1
1
1
2
0
1
1
1
1
1
1
1
1
1
1
1
1
3
0
0
1
0
0
0
0
0
0
0
0
1
1
4
0
0
0
1
0
0
0
0
0
0
0
1
1
5
0
0
0
0
1
0
0
0
0
0
0
1
1
6
0
0
0
0
0
1
0
0
0
0
0
1
1
7
0
0
0
0
0
0
1
0
0
0
0
1
1
8
0
0
0
0
0
0
0
1
0
0
0
1
1
9
0
0
0
0
0
0
0
0
1
0
0
1
1
10
0
0
0
0
0
0
0
0
0
1
0
1
1
11
0
0
0
0
0
0
0
0
0
0
1
1
1
12
0
0
0
0
0
0
0
0
0
0
0
1
1
13
0
0
0
0
0
0
0
0
0
0
0
0
1
На основі Р-матриці складаєм допоміжну S-матрицю за таким правилом:

S-матриця:
-
і
j
1
2
3
4
5
6
7
8
9
10
11
12
13
1
1
0
0
0
0
0
0
0
0
0
0
0
0
2
0
1
0
0
0
0
0
0
0
0
0
0
0
3
0
0
1
0
0
0
0
0
0
0
0
0
0
4
0
0
0
1
0
0
0
0
0
0
0
0
0
5
0
0
0
0
1
0
0
0
0
0
0
0
0
6
0
0
0
0
0
1
0
0
0
0
0
0
0
7
0
0
0
0
0
0
1
0
0
0
0
0
0
8
0
0
0
0
0
0
0
1
0
0
0
0
0
9
0
0
0
0
0
0
0
0
1
0
0
0
0
10
0
0
0
0
0
0
0
0
0
1
0
0
0
11
0
0
0
0
0
0
0
0
0
0
1
0
0
12
0
0
0
0
0
0
0
0
0
0
0
1
0
13
0
0
0
0
0
0
0
0
0
0
0
0
1
Висновок: Як бачимо із допоміжної S-матриці, у даному ТК немає жодного комплексу
Література
Ладанюк А.П. Основи системного аналізу: Навчальний посіб. – Вінниця.: Нова книга, 2004. – 176 с.
Згуровський М.З., Панкратова Н.Д. Основи системного аналізу. – К.: BHV, 2007. – 544 c.
Перегудов Ф. И., Тарасенко Ф. П. Введение в системный анализ. Уч. пособие для вузов.– М.: Высшая школа, 1989, - 367 с.
Стопакевич О. А. Теорія систем і системний аналіз. Підручник.– К.: ІСДО, 1996, - 200 с.
Добкин В. М. Системный анализ в управлении.– М.: Химия, 1984, - 224 с.