Вычислительная техника и программирование
КУРСОВАЯ РАБОТА
по теме: "Вычислительная техника и программирование"
Киев
Введение
Если задана функция y(x), то это означает, что любому допустимому значению х сопоставлено значение у. Но нередко оказывается, что нахождение этого значения очень трудоёмко. Например, у(х) может быть определено как решение сложной задачи, в которой х играет роль параметра или у(х) измеряется в дорогостоящем эксперименте. При этом можно вычислить небольшую таблицу значений функции, но прямое нахождение функции при большом числе значений аргумента будет практически невозможно. Функция у(х) может участвовать в каких-либо физико-технических или чисто математических расчётах, где её приходится многократно вычислять. В этом случае выгодно заменить функцию у(х) приближённой формулой, то есть подобрать некоторую функцию j(х), которая близка в некотором смысле к у(х) и просто вычисляется. Затем при всех значениях аргумента полагают у(х)"j(х).
Что касается критерия согласия, то классическим критерием согласия является "точное совпадение в узловых точках". Этот критерий имеет преимущество простоты теории и выполнения вычислений, но также неудобство из-за игнорирования шума (погрешности, возникающей при измерении или вычислении значений в узловых точках). Другой относительно хороший критерий — это "наименьшие квадраты". Он означает, что сумма квадратов отклонений в узловых точках должна быть наименьшей возможной или, другими словами, минимизирована. Этот критерий использует ошибочную информацию, чтобы получить некоторое сглаживание шума. Третий критерий связывается с именем Чебышева. Основная идея его состоит в том, чтобы уменьшить максимальное отклонение до минимума. Очевидно, возможны и другие критерии.
Цель задачи о приближении (интерполяции): данную функцию у(х) требуется приблизительно заменить некоторой функцией j(х), свойства которой нам известны так, чтобы отклонение в заданной области было наименьшим. интерполяционные формулы применяются, прежде всего, при замене графически заданной функции аналитической, а также для интерполяции в таблицах.
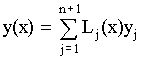
Один из подходов к задаче интерполяции — метод Лагранжа. Основная идея этого метода состоит в том, чтобы прежде всего найти многочлен, который принимает значение 1 в одной узловой точке и 0 во всех других. Легко видеть, что функция (1) является требуемым многочленом степени n; он равен 1, если X=Xj и 0, когда X=Xi, i¹j.
-

(1)
Многочлен Lj(x)×Yj принимает значения Yi в i-й узловой точке и равен 0 во всех других узлах. Из этого следует, что (2) есть многочлен степени n, проходящий через n+1 точку (Xi, Yi).
-

(2)
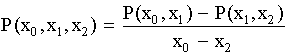
Другой подход — метод Ньютона (метод разделённых разностей). Этот метод позволяет получить аппроксимирующие значения функции без построения в явном виде аппроксимирующего полинома. В результате получаем формулу для полинома Pn, аппроксимирующую функцию f(x):
P(x)=P(x0)+(x-x0)P(x0,x1)+(x-x0)(x-x1)P(x0,x1,x2)+…+
(x-x0)(x-x1)…(x-xn)P(x0,x1,…,xn);
-

разделённая разность 1-го порядка;

разделённая разность 2-го порядка и т.д.
Значения Pn(x) в узлах совпадают со значениями f(x)
Фактически формулы Лагранжа и Ньютона порождают один и тот же полином, разница только в алгоритме его построения.
Постановка задачи:
1.
Построить интерполяционный полином
Ньютона по значениям функции в узлах:
.
2. Математическая постановка задачи:
Формула выглядит так:

Разделённая разность:
.
1. Алгоритм программы Polinom
|
Рис.1 Схема алгоритма подпрограммы Swap |
Рис.2 Схема алгоритма подпрограммы Null |
|
Рис.3 Схема алгоритма подпрограммы Rise |
Рис.4 Схема алгоритма подпрограммы Calculat |

Рис.5 Схема алгоритма подпрограммы Vvod

Рис.6 Схема алгоритма программы Print_Polinom

Рис.7 Схема алгоритма подпрограммы Div_Res

Рис.8 Схема алгоритма программы Nuton

Рис.9 Схема алгоритма подпрограммы Recover

Рис.10 Блок-схема программы Polinom
2. Листинг программы Polinom
Реализуем алгоритм на языке высокого уровня Turbo Pascal, используя подпрограммы.
PROGRAM POLINOM; {Программа построения интерполяционного полинома Ньютона}
Uses Crt;
Const Max_Num_Usel=20; {Количество узлов}
Type
Matrix_Line = Array[1..Max_Num_Usel] Of Real;
Var Max:Byte;
X,F:Matrix_Line;
PROCEDURE Swap(Var First,Second:real); {Обмена двух REAL переменных}
Var Temp:Real;
Begin
Temp:=First;
First:=Second;
Second:=Temp;
End; {Swap}
FUNCTION Rise(Root:Real;Power:Integer):Real; {Возведение в степень}
Var Temp:Real;
i:Integer;
Begin
Temp:=1;
For i:=1 To Power Do
Temp:=Temp*Root;
Rise:=Temp;
End; {Rise}
PROCEDURE Null(Last:Byte;Var M:Matrix_Line); {Обнуление матриц}
Var i:Byte;
Begin
For i:=1 To Last Do
M[i]:=0;
End; {Null}
PROCEDURE Calculat(Num:Integer;Cx:Matrix_Line); {вычисление значений полинома}
Var x,y:Real;
i:Integer;
Finish:Boolean;
c:Char;
Begin
Writeln('***********************************************');
Writeln;
Writeln('Вычисление значений интерполяционного полинома:');
Writeln('~~~~~~~~~~~~~~~~~~~~~~~~~~~~~~~~~~~~~~~~~~~~~~~');
Writeln('Введите значение x:');
Repeat
y:=0;
Readln(x);
For i:=Num DownTo 1 Do
y:=y+Cx[i]*Rise(x,i-1);
Writeln('Значение полинома в точке Xo=',x:7:4,' равно Yo=',y:7:4);
Write('Нажмите `ESC` для выхода или любую клавишу для продолжения');
c:=Readkey;
If c=#27 Then Finish:=True Else Finish:=False;
GoToXY(1,WhereY-2);
DelLine; DelLine;DelLine;
Until Finish;
End; {Calculat}
PROCEDURE Vvod(Var Mat_x,Mat_f:Matrix_Line;Var Number:Byte);
Var c:Char;
i,j:Integer;
Enter:Boolean;
Begin
ClrScr;
Writeln('Построение интерполяционного полинома Ньютона по значениям функции в узлах');
Writeln('~~~~~~~~~~~~~~~~~~~~~~~~~~~~~~~~~~~~~~~~~~~~~~~~~);
Writeln;
Writeln('Введите кол-во узлов интерполяции (0<N<',Max_Num_Usel,'):');
Repeat
Readln(Number);
Until (Number<Max_Num_Usel);
ClrScr;
Writeln('Значения узлов не должны сопадать');
Writeln('Введите значения узлов и значения функций в них:');
For i:=1 To Number Do
Begin
Repeat
{Ввод узлов}
Enter:=True;{Правильность ввода}
GoToXY(5,i+3);
Write('X(',i-1,')=');
Readln(Mat_x[i]);
For j:=i-1 DownTo 1 Do
If (Mat_x[j]=Mat_x[i]) Then {Проверка на одинаковые узлы}
Begin
Writeln('Значения узлов ',i,' и ',j,' введены неверно!!!');
Write('Нажмите `Y` для повторения ввода или любую клавишу для выхода');
c:=Readkey;
If (c='Y') Or (c='y') Then Enter:=False Else Halt;
GoToXY(5,i+3);
DelLine;DelLine;DelLine;
End;
Until Enter;
{Ввод значений функции в узлах}
GoToXY(35,i+3);
Write('Y(',Mat_x[i]:5:2,')=');
Readln(Mat_f[i]);
End;
{Сортировка узлов по возрастанию}
For i:=1 To Number Do
For j:=i To Number Do
If (Mat_x[j]<Mat_x[i]) Then
Begin
Swap(Mat_x[j],Mat_x[i]);
Swap(Mat_f[j],Mat_f[i]);
End;
End;{Vvod}
{Распечатка полинома}
PROCEDURE Print_Polinom(N:Integer;Cx:Matrix_Line);
Var i:Integer;
c:Char;
Begin
Writeln;
Writeln('Полином Ньютона:');
Write('P',N-1,'(x)=');
For i:=N DownTo 1 Do
If Round(Cx[i]*1000)<>0 Then{Если в числе не более 3х нулей после запятой,}
Begin {тогда выводим его на экран}
If (Cx[i]<0) Then Write(' - ') Else Write(' + ');
Write(ABS(Cx[i]):5:3);
If (i>2) Then Write('·x^',i-1) Else
If (i>1) Then Write('·x')
End;
Writeln;
Writeln;
Writeln('Нажмите `ESC` для выхода или любую клавишу для вычисления значения полинома');
c:=Readkey;
GoToXY(1,WhereY-1);
DelLine;DelLine;
If c<>#27 Then Calculat(N,Cx);
End;{Print_Polinom}
PROCEDURE Recover(Current,Number:byte; Var Result,Mat_X:Matrix_Line);
{Восстановление коэффициентов полинома по его корням}
Var Process,i,j,k:Integer;
Begin
{Заносим первый линейный множитель вида (X - Cn) в Result}
k:=2; {Количество коэффициентов в Result = 2}
If Current<>1 Then {Если исключаем не Х1, то Result[1] = X1}
Begin
Result[1]:=-Mat_X[1];
Process:=2 {Начнем обработку со второго множителя}
End
Else Begin {Иначе Result[1] = X2}
Result[1]:=-Mat_X[2];
Process:=3 {Начнем обработку с третьего множителя}
End;
Result[2]:=1; {В любом случае Result[2] = 1, т.к. все множители вида (X - Cn) }
For i:=Process To Number Do
If i<>Current Then
Begin
For j:=k DownTo 1 Do {Домнoжаем полученный полином на X}
Result[j+1]:=Result[j];
Result[1]:=0; {Поэтому C0 = 0}
For j:=1 To k Do {Домнoжаем полученный полином на Cn = -X[n]}
Result[j]:=Result[j]-Mat_X[i]*Result[j+1];
Inc(k); {Размерность полинома увеличилась}
End;
End; {Recover}
PROCEDURE Nuton(Number:Byte;Var Mat_x,Mat_f:Matrix_Line);
{Интерполяционная формула Ньютона }
Var i,j:integer;
Temp,Result:Matrix_Line;
C:real;
{Функция вычисления разделенной разности по начальному и конечному узлам}
Function Div_Res(Beg_Usel,Fin_Usel:Byte;Var Xn,Fn:Matrix_Line):real;
Begin
Beg_Usel:=Beg_Usel+1;
If Beg_Usel=Fin_Usel Then
Div_Res:=(Fn[Fin_Usel]-Fn[Beg_Usel-1])/(Xn[Fin_Usel]-Xn[Beg_Usel-1])
Else Div_Res:=(Div_Res(Beg_Usel,Fin_Usel,Xn,Fn)-Div_Res(Beg_Usel-1,Fin_Usel-1,Xn,Fn))/(Xn[Fin_Usel]-Xn[Beg_Usel-1]);
End; {Div_Res}
Begin {Nuton}
Null(Number,Result);
Null(Number,Temp);
For i:=2 To Number Do
Begin
Recover(Number+1,i-1,Temp,Mat_x);
c:=Div_Res(1,i,Mat_x,Mat_f); {Значение разделенной разности 1 и i-го узлов}
For j:=1 To i Do
Result[j]:=c*Temp[j]+Result[j];
End;
Result[1]:=Result[1]+Mat_f[1];
Print_Polinom(Number,Result)
End;{Nuton}
Begin{Main}
Null(Max_Num_Usel,X);
Null(Max_Num_Usel,F); {Начальное обнуление матриц}
Vvod(X,F,Max);
Nuton(Max,X,F);
End.{Main}
3. Пример работы программы
Чтобы проверить правильно ли у нас строится полином Ньютона, разложим какую-нибудь известную функцию. Например, y=sin(x) на интервале Х от 0.1 до 0.9. Полином будем строить по 5 точкам (шаг 0.2). Данные в программу вводим согласно таблице 1.
Таблица 1. Исходные значения для программы.
-
x
y(x)
0.1
0.0998
0.3
0.2955
0.5
0.4794
0.7
0.6442
0.9
0.7833
На инженерном калькуляторе вычисляем Sin(0.4)= 0.3894
Результаты работы программы:
Построение интерполяционного полинома Ньютона по значениям функции в узлах
Введите кол-во узлов интерполяции (0<N<20): 5
Значения узлов не должны сопадать
Введите значения узлов и значения функций в них:
X(0)=0.1 Y( 0.10)=0.0998
X(1)=0.3 Y( 0.30)=0.2955
X(2)=0.5 Y( 0.50)=0.4794
X(3)=0.7 Y( 0.70)=0.6442
X(4)=0.9 Y( 0.90)=0.7833
Полином Ньютона:
P4(x)= + 0.018·x^4 - 0.181·x^3 + 0.005·x^2 + 0.99

Рисунок 11. Результат работы программы Polinom
Вычисление значений интерполяционного полинома:
Введите значение x:
0.4
Значение полинома в точке Xo= 0.4000 равно Yo= 0.3894

Рисунок 12. Результат вычисления значения полинома
Заключение
Появление и непрерывное совершенствование ЭВМ привело к революционному преобразованию науки вообще и математики в особенности. Изменилась технология научных исследований, увеличились возможности теоретического изучения, прогноза сложных процессов, проектирования инженерных конструкций. Но более сложные расчёты требуют и более глубокого знакомства с численными методами. Численные методы носят в основном приближённый характер, позволяя, тем не менее, получить окончательный числовой результат с приемлемой для практических целей точностью.
Выполняя курсовую работу, я познакомилась с понятием интерполяция, укрепила свои знания в программировании на языке Turbo Pascal и при оформлении курсовой работы получила практические навыки при работе в пакетах Microsoft Word и Microsoft Visio.



