Защита информации от несанкционированного доступа (работа 1)
МИНИСТЕРСТВО ОБРАЗОВАНИЯ И НАУКИ УКРАИНЫ
ПОЯСНИТЕЛЬНАЯ ЗАПИСКА
к курсовому проекту
на тему: "Защита информации от несанкционированного доступа"
по курсу "Кодирование и защита
информации"
2004
АННОТАЦИЯ
Пояснительная записка содержит описание разработанной программы и руководство по ее использованию. Также в ней приводится описание используемых методов шифрования информации.
СОДЕРЖАНИЕ
АННОТАЦИЯ
ВВЕДЕНИЕ
Постановка задачи
Основные понятия
Выбор методов шифрования
Программная реализация
Общее описание
Дополнительные модули
Руководство пользователя
ЗАКЛЮЧЕНИЕ
БИБЛИОГРАФИЧЕСКИЙ СПИСОК
ПРИЛОЖЕНИЕ А
Введение
В настоящее время большое внимание уделяется информации, недаром наш век называют «информационным». Во время того, как люди познают технологии хранения и передачи информации, встает вопрос о ее защите от несанкционированного доступа. Для решения этой проблемы было разработано большое количество разнообразных методов кодирования информации, которые могут быть реализованы программно. Данная разработка представляет собой программный модуль, обеспечивающий шифрование и расшифровывание информационных блоков.
1. Постановка задачи
Необходимо разработать программу для шифрования и расшифровывания файлов на основе настроек пользователя. Для шифрования использовать ГОСТ 28147-89. Разработать удобный интерфейс общения с пользователем. Поставить программу на платформу Windows, что обеспечит ее расширение, дополнение и удобство использования.
2. Основные понятия
В данной работе будет рассматриваться защита информации, хранящейся в электронном виде, от несанкционированного доступа. Для обеспечения секретности информации используются следующие методы:
хранение на съемном носителе;
ограничение доступа к системе;
хранение в зашифрованном виде;
Комбинированием этих средств защиты можно добиться относительно хорошей защищенности информации. Невозможно абсолютно защитить информацию от несанкционированного доступа (взлома). Любой из этих способов поддается взлому в некоторой степени. Вопрос в том, будет ли выгодно взламывать или нет. Если затраты ресурсов на защиту (стоимость защиты) больше чем затраты на взлом, то система защищена плохо.
Данная разработка является криптографической частью системы защиты – она зашифровывает и расшифровывает информацию, поэтому ниже будут приведены только основные понятия криптографии.
Шифр – последовательность операций, проводимых над открытыми (закрытыми) данными и ключом с целью получения закрытой (открытой) последовательности.
Ключ – конкретное для каждого нового кода значение каких-нибудь характеристик алгоритма криптографической защиты.
Гамма шифра – это некоторая псевдослучайная последовательность заданной длины, используемая для шифрования.
Гаммирование – процес наложения гаммы шифра на открытые данные.
Зашифровывание – процесс преобразования открытых данных в закрытые с помощью шифра и ключа.
Расшифровывание – процедура преобразования закрытых данных в открытые с помощью шифра и ключа.
Шифрование – зашифровывание и (или) расшифровывание.
Дешифрование – совокупность действий по преобразованию закрытых данных в открытые без знания ключа и (или) алгоритма зашифровывания.
Имитозащита – защита от ложной информации. Осуществляется по собственным алгоритмам, с помощью выработки имитовставки.
Имитовставка – последовательность данных определенной длины, полученных специальными методами гаммирования из открытых исходных данных. Содержимое имитовставки является эталоном для проверки всей остальной информации.
3. Выбор методов шифрования
Для шифрования информации в программу встроены следующие алгоритмы:
ГОСТ 28147-89 - стандарт шифрования Российской Федерации. В программе используется два режима кодирования – режим простой замены и режим гаммирования. Данные кодируются по 64 бита (8 байт) с помощью 256-битного (32-байтного) ключа.
Два простых метода, вложенных как пример построения модулей для программы. Кодирование по 64 бит, ключ – 64 бит.
Программа может быть дополнена алгоритмами кодирования, т.е. рекомпилирована с дополнительными модулями. В дальнейших версиях предполагается создание модульных расширений (plug-in) для программы, которые будут содержать дополнительные алгоритмы криптографических преобразований.
Рассмотрим подробнее алгоритм криптографического преобразования ГОСТ 28147-89. Ключ состоит из восьми 32-битных элементов, рассматриваемых как беззнаковые целые числа. Таким образом, ключ составляет 256 бит или 32 байта. При шифровании используется таблица замен, являющейся матрицей 8х16, содержащей 4-битовые элементы (числа от 0 до 15). Основной шаг криптопреобразования – оператор, определяющий преобразование 64-битового блока. Дополнительным параметром этого оператора является 32-битный блок, в качестве которого используется какой – либо элемент ключа.
Алгоритм основного шага криптопреобразования

Рисунок 3.1 Схема основного шага криптопреобразования алгоритма ГОСТ 28147-89.
Определяет исходные данные для основного шага криптопреобразования: N –преобразуемый 64-битовый блок данных, в ходе выполнения шага его младшая (N>1>) и старшая (N>2>) части обрабатываются как отдельные 32-битовые целые числа без знака. Таким образом, можно записать N=(N>1>,N>2>). X – 32-битовый элемент ключа;
Сложение с ключом. Младшая половина преобразуемого блока складывается по модулю 232 с используемым на шаге элементом ключа, результат передается на следующий шаг;
Поблочная замена. 32-битовое значение, полученное на предыдущем шаге, интерпретируется как массив из восьми 4-битовых блоков кода: S=(S>0>,S>1>,S>2>,S>3>,S>4>,S>5>,S>6>,S>7>). Далее значение каждого из восьми блоков заменяется на новое, которое выбирается по таблице замен следующим образом: значение блока S>i> заменяется на S>i>-тый по порядку элемент (нумерация с нуля) i-того узла замен (т.е. i-той строки таблицы замен, нумерация также с нуля). Другими словами, в качестве замены для значения блока выбирается элемент из таблицы замен с номером строки, равным номеру заменяемого блока, и номером столбца, равным значению заменяемого блока как 4-битового целого неотрицательного числа.
Циклический сдвиг на 11 бит влево. Результат предыдущего шага сдвигается циклически на 11 бит в сторону старших разрядов и передается на следующий шаг. На схеме алгоритма символом >11> обозначена функция циклического сдвига своего аргумента на 11 бит в сторону старших разрядов.
Побитовое сложение: значение, полученное на шаге 3, побитно складывается по модулю 2 со старшей половиной преобразуемого блока.
Сдвиг по цепочке: младшая часть преобразуемого блока сдвигается на место старшей, а на ее место помещается результат выполнения предыдущего шага.
Полученное значение преобразуемого блока возвращается как результат выполнения алгоритма основного шага криптопреобразования.
Базовые циклы:
цикл выработки имитовставки (0123456701234567)
Для каждого элемента данных выполняется основной шаг криптографического преобразования с элементами ключа, порядок Базовые циклы построены из основных шагов криптографического преобразования. Существует всего три базовых цикла, различающиеся порядком следования ключевых элементов:
цикл зашифрования (01234567012345670123456776543210)
цикл расшифрования (01234567765432107654321076543210)
следования которых приведен выше. Для циклов шифрования левая и правая половины блока меняются местами, для цикла выработки имитовставки – нет.
Предусматривается три режима шифрования данных: простая замена, гаммирование, гаммирование с обратной связью и один дополнительный редим формирования имитовставки.

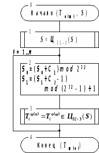
Рис. 4. Алгоритм зашифрования (расшифрования) данных в режиме гаммирования.
Режим простой замены – наиболее простой. Блоки данных по 64 бит проходят базовый цикл зашифрования (расшифрования). Результат – зашифрованная (расшифрованная информация). При таком режиме блоки независимы.
Режим гаммирования – чтобы блоки информации были зависимы друг от друга используется рекуррентный генератор последовательности чисел, который инициализируется синхропосылкой, прошедшей цикл зашифрования. Схема алгоритма шифрования в режиме гаммирования приведена на рисунке 3.2, ниже изложены пояснения к схеме:
Определяет исходные данные для основного шага криптопреобразования: T>о(ш) >– массив открытых (зашифрованных) данных произвольного размера, подвергаемый процедуре зашифрования (расшифрования), по ходу процедуры массив подвергается преобразованию порциями по 64 бита; S – синхропосылка, 64-битный элемент данных, необходимый для инициализации генератора гаммы;
Начальное преобразование синхропосылки, выполняемое для ее «рандомизации», то есть для устранения статистических закономерностей, присутствующих в ней, результат используется как начальное заполнение РГПЧ;
Один шаг работы РГПЧ, реализующий его рекуррентный алгоритм. В ходе данного шага старшая (S>1>) и младшая (S>0>) части последовательности данных вырабатываются независимо друг от друга;
Гаммирование. Очередной 64-битный элемент, выработанный РГПЧ, подвергается процедуре зашифрования по циклу 32–З, результат используется как элемент гаммы для зашифрования (расшифрования) очередного блока открытых (зашифрованных) данных того же размера.
Результат работы алгоритма – зашифрованный (расшифрованный) массив данных.
4. Программная реализация
4.1 Общее описание
Для разработки программы были выбраны языки программирования Delphi 5.0 (Object Pascal) – разработка удобного интерфейса и встроенный ассемблер – для написания, собственно, алгоритмов шифрования.
Проект состоит из девяти модулей:
GOST, K1, K2 – реализация алгоритмов ГОСТ 28147-89 и тестовых методов шифрования.
CodingTools, CodingUnit – модули, реализующие вспомогательные алгоритмы и типы данных.
OptionsUnit, ProgressUnit, TestUnit – модули, описывающие интерфейс с пользователем.
Hazard – основной модуль программы. Создает окна и запускает программу.
Программа использует три формы (окна), созданные с помощью среды Delphi.
Основная форма TestForm, содержит список файлов и кнопки запуска процесса шифрования, выхода, вызова окна настроек, добавления и очистки списка (рисунок 4.1).
Окно настроек содержит списки поддерживаемых и применяемых методов шифрования, поле описания метода и поле ввода ключа (рисунок 4.2).
Третье окно – ProgressForm появляется при запуске процесса кодирования и состоит из двух надписей и двух индикаторов.

Рисунок 4.1 – Интерфейс программы

Рисунок 4.2 – Окно настроек
4.2 Дополнительные модули
Модуль CodingTools содержит описание типов для 64,48 и 32-разрядных чисел и процедуры их обработки: сложение по модулю 2, &, |, кодирование по таблице, разложение на числа меньшей разрядности. Также он содержит описания параметров кодирования и тип-шаблон функции шифрования.
Модуль CodingUnit содержит список встроенных алгоритмов и общие функции: обработка командной строки, подбор функции шифрования, шифрование файла, процедуры поиска функций по имени или индексу, поиск ошибок и оповещение.
Модули методов экспортируют каждый по две процедуры – шифрование и дешифрацию блоков по 64К.
5. Руководство пользователя
Программа работает под управлением ОС Windows 95/98/ME и требует правильной инсталляции. После инсталляции программу можно запустить из меню «Пуск» либо из командной строки эмуляции MS-DOS.
Командная строка имеет следующий вид:
Hazard.exe [/D] [путь к файлу [путь к файлу […]]]
/D – дешифрование
Чтобы запустить программу в режиме шифрования или дешифрования из графической оболочки Windows нужно воспользоваться соответствующими ярлыками из меню «Программы».
Чтобы добавить файлы в список шифрования/дешифрования можно воспользоваться соответствующей кнопкой на главной панели программы, либо «перетащить» их из окна проводника Windows.
Чтобы выбрать алгоритм шифрования нужно нажать кнопку «Настройки». Появится окно со списками поддерживаемых и применяющихся методов и полем ввода ключа.
После выбора методов программа рассчитает окончательный ключ, который может быть использован для расшифровывания файлов. Можно не запоминать окончательный ключ, в таком случае необходимо запомнить ключи каждого из выбранных методов и при расшифровывании сделать соответствующие настройки.
При нажатии на кнопку запуска появится индикатор прогресса, который отобразит состояние процесса шифрования текущего файла и процесса шифрования в общем.
При дешифровании следует учитывать, что программа расшифровывает файлы только с расширением .crf.
Заключение
В результате курсовой работы была разработана первая версия программы, осуществляющей шифрование информации. В дальнейшем предполагается разработка и усовершенствование комплекса программ, обеспечивающих защиту информации от несанкционированного доступа. В процессе разработки были закреплены навыки шифрования информации по ГОСТ 28147-89 и программирования на ассемблере.
Библиографический список
Конспект лекций по курсу «Кодирование и защита информации»
Андрей Винокуров. «Алгоритм шифрования ГОСТ 28147-89, его использование и реализация для компьютеров платформы Intel x86»
Михаил Гук. «Процессоры Pentium II, Pentium Pro и просто Pentium», Санкт-Петербург «Питер», 1999 г.
Приложение А
program Hazard;
uses
Windows,
Messages,
SysUtils,
Forms,
TestUnit in 'TestUnit.pas' {MainForm},
CodingUnit in 'CodingUnit.pas',
OptionsUnit in 'OptionsUnit.pas' {OptionsForm},
K1 in 'K1.pas',
K2 in 'K2.pas',
K3 in 'K3.pas',
ProgressUnit in 'ProgressUnit.pas' {ProgressForm},
GOST in 'GOST.pas';
{$R *.RES}
{$R Laynik.res}
function AlreadyRunning: boolean;
begin
Result:=False;
if FindWindow('TMainForm','Кодирование')<>0 then
Result:=True;
end;
begin
Decode:=false;
If not AlreadyRunning then
begin
Application.Initialize;
Application.Title := '[LG] Hazard';
Application.CreateForm(TMainForm, MainForm);
Application.CreateForm(TOptionsForm, OptionsForm);
Application.CreateForm(TProgressForm, ProgressForm);
MainForm.DoCommandLine(String(system.CmdLine));
Application.Run;
end else
begin
MessageBox(0,'Приложение уже запущено','Ошибка',MB_ICONSTOP+MB_OK);
end
end.
unit K1;
interface
uses CodingTools;
function Coding_K1(Buf: Pointer; Size: LongWord; Param: TCodingParameters):Integer;
function DeCoding_K1(Buf: Pointer; Size: LongWord; Param: TCodingParameters):Integer;
implementation
const
FShTable: TConvertTable64 =
(57,49,41,33,25,17, 9, 1,59,51,
43,35,27,19,11, 3,61,53,45,37,
29,21,13, 5,63,55,47,39,31,23,
15, 7,56,48,40,32,24,16, 8, 0,
58,50,42,34,26,18,10, 2,60,52,
44,36,28,20,12, 4,62,54,46,38,
30,22,14, 6);
LShTable: TConvertTable64 =
(39, 7,47,15,55,23,63,31,38,6,
46,14,54,22,62,30,37, 5,45,13,
53,21,61,29,36, 4,44,12,52,20,
60,28,35, 3,43,11,51,19,59,27,
34, 2,42,10,50,18,58,26,33, 1,
41, 9,49,17,57,25,32, 0,40, 8,
48,16,56,24);
procedure K1Coding64bits(A: word64; var R: word64; K1:word64);
begin
convert(A,FShTable,R);
asm
push esi
mov esi,DWORD[R]
mov eax,DWORD[K1]
xor [esi],eax
add esi,4
mov eax,DWORD[K1+4]
xor [esi],eax
pop esi
end;
end;
procedure K1DeCoding64bits(A: word64; var R: word64; K1:word64);
begin
asm
mov eax,DWORD[K1]
xor DWORD[A],eax
mov eax,DWORD[K1+4]
xor DWORD[A+4],eax
end;
convert(A,LShTable,R);
end;
function Coding_K1(Buf: Pointer; Size: LongWord; Param: TCodingParameters):Integer;
var
i,j,l:integer;
a,r: ^word64;
k: word64;
begin
for i:=0 to 7 do
k.v8[i]:=BYTE(Param.Key[i]);
convert(K,LshTable,K);
l:=Size div 8;
for i:=1 to Param.WayCount do
begin
for j:=0 to l-1 do
begin
a:=Pointer(LongWord(Buf)+j*8);
r:=a;
K1Coding64bits(A^,R^,K);
end;
end;
result:=0;
end;
function DeCoding_K1(Buf: Pointer; Size: LongWord; Param: TCodingParameters):Integer;
var
i,j,l:integer;
a,r:^word64;
k: word64;
begin
for i:=0 to 7 do
k.v8[i]:=BYTE(Param.Key[i]);
convert(K,LshTable,K);
l:=Size div 8;
for i:=1 to Param.WayCount do
begin
for j:=0 to l-1 do
begin
a:=Pointer(LongWord(Buf)+j*8);
r:=a;
K1DeCoding64bits(A^,R^,K);
end;
end;
result:=0;
end;
end.
unit K2;
interface
uses CodingTools;
function Coding_K2(Buf: Pointer; Size: LongWord; Param: TCodingParameters):Integer;
function DeCoding_K2(Buf: Pointer; Size: LongWord; Param: TCodingParameters):Integer;
implementation
const
FShTable: TConvertTable64 =
(57,49,41,33,25,17, 9, 1,59,51,
43,35,27,19,11, 3,61,53,45,37,
29,21,13, 5,63,55,47,39,31,23,
15, 7,56,48,40,32,24,16, 8, 0,
58,50,42,34,26,18,10, 2,60,52,
44,36,28,20,12, 4,62,54,46,38,
30,22,14, 6);
LShTable: TConvertTable64 =
(39, 7,47,15,55,23,63,31,38,6,
46,14,54,22,62,30,37, 5,45,13,
53,21,61,29,36, 4,44,12,52,20,
60,28,35, 3,43,11,51,19,59,27,
34, 2,42,10,50,18,58,26,33, 1,
41, 9,49,17,57,25,32, 0,40, 8,
48,16,56,24);
procedure K2Coding64bits(A: word64; var R: word64; B: byte);
begin
convert(A,FShTable,R);
asm
push esi
mov esi,DWORD[R]
mov cl,[b]
ror dword[esi],cl
add esi,4
mov cl,[b]
ror dword[esi],cl
pop esi
end;
end;
procedure K2DeCoding64bits(A: word64; var R: word64; B: Byte);
begin
asm
mov cl,[b]
rol DWORD[A],cl
mov cl,[b]
rol DWORD[A+4],cl
end;
convert(A,LShTable,R);
end;
function Coding_K2(Buf: Pointer; Size: LongWord; Param: TCodingParameters):Integer;
var
i,j,l:integer;
a,r: ^word64;
k: word64;
b: byte;
begin
b:=0;
for i:=0 to 7 do
k.v8[i]:=BYTE(Param.Key[i]);
convert(K,LshTable,K);
for i:=0 to 7 do b:=b xor K.v8[i];
l:=Size div 8;
for i:=1 to Param.WayCount do
begin
for j:=0 to l-1 do
begin
a:=Pointer(LongWord(Buf)+j*8);
r:=a;
K2Coding64bits(A^,R^,B);
end;
end;
result:=0;
end;
function DeCoding_K2(Buf: Pointer; Size: LongWord; Param: TCodingParameters):Integer;
var
i,j,l:integer;
a,r:^word64;
k: word64;
b: byte;
begin
b:=0;
for i:=0 to 7 do
k.v8[i]:=BYTE(Param.Key[i]);
convert(K,LshTable,K);
for i:=0 to 7 do b:=b xor K.v8[i];
l:=Size div 8;
for i:=1 to Param.WayCount do
begin
for j:=0 to l-1 do
begin
a:=Pointer(LongWord(Buf)+j*8);
r:=a;
K2DeCoding64bits(A^,R^,B);
end;
end;
result:=0;
end;
end.
unit K3;
interface
uses CodingTools;
function Coding_K3(Buf: Pointer; Size: LongWord; Param: TCodingParameters):Integer;
function DeCoding_K3(Buf: Pointer; Size: LongWord; Param: TCodingParameters):Integer;
implementation
uses SysUtils;
const
FShTable: TConvertTable64 =
(57,49,41,33,25,17, 9, 1,59,51,
43,35,27,19,11, 3,61,53,45,37,
29,21,13, 5,63,55,47,39,31,23,
15, 7,56,48,40,32,24,16, 8, 0,
58,50,42,34,26,18,10, 2,60,52,
44,36,28,20,12, 4,62,54,46,38,
30,22,14, 6);
LShTable: TConvertTable64 =
(39, 7,47,15,55,23,63,31,38,6,
46,14,54,22,62,30,37, 5,45,13,
53,21,61,29,36, 4,44,12,52,20,
60,28,35, 3,43,11,51,19,59,27,
34, 2,42,10,50,18,58,26,33, 1,
41, 9,49,17,57,25,32, 0,40, 8,
48,16,56,24);
procedure K3Coding64bits(A: word64; var R: word64; B: byte);
begin
convert(A,FShTable,R);
asm
push esi
mov esi,DWORD[R]
mov cl,[b]
ror dword[esi],cl
add esi,4
mov cl,[b]
ror dword[esi],cl
pop esi
end;
end;
procedure K3DeCoding64bits(A: word64; var R: word64; B: Byte);
begin
asm
mov cl,[b]
rol DWORD[A],cl
mov cl,[b]
rol DWORD[A+4],cl
end;
convert(A,LShTable,R);
end;
function Coding_K3(Buf: Pointer; Size: LongWord; Param: TCodingParameters):Integer;
var
i,j:integer;
a,r: ^word64;
k: word64;
b: byte;
begin
b:=0;
k.v32[0]:=0;
k.v32[1]:=0;
for i:=0 to StrLen(Param.Key)-1 do
k.v8[i]:=BYTE(Param.Key[i]);
convert(K,LshTable,K);
for i:=0 to 7 do b:=b xor K.v8[i];
for i:=1 to Param.WayCount do
begin
for j:=0 to Size-8 do
begin
a:=Pointer(LongWord(Buf)+j);
r:=a;
K3Coding64bits(A^,R^,B);
end;
end;
result:=0;
end;
function DeCoding_K3(Buf: Pointer; Size: LongWord; Param: TCodingParameters):Integer;
var
i,j:integer;
a,r:^word64;
k: word64;
b: byte;
begin
b:=0;
k.v32[0]:=0;
k.v32[1]:=0;
for i:=0 to StrLen(Param.Key)-1 do
k.v8[i]:=BYTE(Param.Key[i]);
convert(K,LshTable,K);
for i:=0 to 7 do b:=b xor K.v8[i];
for i:=1 to Param.WayCount do
begin
for j:=Size-8 downto 0 do
begin
a:=Pointer(LongWord(Buf)+j);
r:=a;
K3DeCoding64bits(A^,R^,B);
end;
end;
result:=0;
end;
end.
unit OptionsUnit;
interface
uses
Windows, Messages, SysUtils, Classes, Graphics, Controls, Forms, Dialogs,
StdCtrls, Buttons, Spin, ExtCtrls;
type
TOptionsForm = class(TForm)
UsedMethodsBox: TListBox;
MethodsBox: TListBox;
Label1: TLabel;
Label2: TLabel;
BitBtn1: TBitBtn;
BitBtn2: TBitBtn;
BitBtn3: TBitBtn;
BitBtn4: TBitBtn;
BitBtn5: TBitBtn;
KeyEdit: TEdit;
Label3: TLabel;
DirectionGroup: TRadioGroup;
WayCountEdit: TSpinEdit;
Label4: TLabel;
DescMemo: TMemo;
procedure BitBtn5Click(Sender: TObject);
procedure FormCreate(Sender: TObject);
procedure BitBtn4Click(Sender: TObject);
procedure BitBtn3Click(Sender: TObject);
procedure BitBtn2Click(Sender: TObject);
procedure BitBtn1Click(Sender: TObject);
procedure UsedMethodsBoxClick(Sender: TObject);
procedure DirectionGroupExit(Sender: TObject);
procedure KeyEditExit(Sender: TObject);
procedure WayCountEditExit(Sender: TObject);
procedure EnableKeys(B: Boolean);
procedure FormClose(Sender: TObject; var Action: TCloseAction);
private
{ Private declarations }
public
{ Public declarations }
end;
var
OptionsForm: TOptionsForm;
implementation
{$R *.DFM}
uses CodingUnit, TestUnit;
procedure TOptionsForm.EnableKeys;
begin
DirectionGroup.Enabled:=B;
KeyEdit.Enabled:=B;
WayCountEdit.Enabled:=B;
end;
procedure TOptionsForm.BitBtn5Click(Sender: TObject);
begin
Close;
MainForm.GenerateKey;
end;
procedure TOptionsForm.FormCreate(Sender: TObject);
var i: integer;
begin
for i:=1 to QolMethods do
begin
MethodsBox.Items.Add(Methods[i].MethodName);
Used[i]:=false;
end;
UsedMethodsBox.Clear;
EnableKeys(False);
DescMemo.Clear;
end;
procedure TOptionsForm.BitBtn4Click(Sender: TObject);
var
i: integer;
begin
UsedMethodsBox.Clear;
for i:=1 to QolMethods do Used[i]:=false;
EnableKeys(False);
DescMemo.Clear;
end;
procedure TOptionsForm.BitBtn3Click(Sender: TObject);
begin
If UsedMethodsBox.ItemIndex=-1 then exit;
Used[MethodIndex(UsedMethodsBox.Items.Strings[UsedMethodsBox.ItemIndex])]:=false;
UsedMethodsBox.Items.Delete(UsedMethodsBox.ItemIndex);
If UsedMethodsBox.Items.Count=0 then EnableKeys(False);
DescMemo.Clear;
end;
procedure TOptionsForm.BitBtn2Click(Sender: TObject);
begin
If MethodsBox.ItemIndex=-1 then exit;
if UsedMethodsBox.Items.IndexOf(Methods[MethodsBox.ItemIndex+1].MethodName)=-1 then
begin
UsedMethodsBox.Items.Add(Methods[MethodsBox.ItemIndex+1].MethodName);
Used[MethodsBox.ItemIndex+1]:=true;
EnableKeys(True);
UsedMethodsBox.ItemIndex:=UsedMethodsBox.Items.Count-1;
UsedMethodsBox.OnClick(Self);
end;
end;
procedure TOptionsForm.BitBtn1Click(Sender: TObject);
var i: integer;
begin
UsedMethodsBox.Clear;
for i:=1 to QolMethods do
begin
UsedMethodsBox.Items.Add(Methods[i].MethodName);
Used[i]:=true;
end;
EnableKeys(True);
end;
procedure TOptionsForm.UsedMethodsBoxClick(Sender: TObject);
var
i: integer;
begin
If (UsedMethodsBox.ItemIndex=-1)or
(UsedMethodsBox.Items.Count=0) then
begin
EnableKeys(False);
DescMemo.Clear;
Exit;
end else
begin
EnableKeys(True);
end;
i:=MethodIndex(UsedMethodsBox.Items.Strings[UsedMethodsBox.ItemIndex]);
if i=0 then exit;
DirectionGroup.ItemIndex:=UsedMethods[i].Direction-1;
KeyEdit.MaxLength:=Methods[i].KeyMaxLength;
KeyEdit.Text:=String(UsedMethods[i].Key);
WayCountEdit.Value:=UsedMethods[i].WayCount;
DescMemo.Clear;
DescMemo.Lines.Append(Methods[i].MethodDescription);
end;
procedure TOptionsForm.DirectionGroupExit(Sender: TObject);
var
i: integer;
begin
If (UsedMethodsBox.ItemIndex=-1)or
(UsedMethodsBox.Items.Count=0) then Exit;
i:=MethodIndex(UsedMethodsBox.Items.Strings[UsedMethodsBox.ItemIndex]);
if i=0 then exit;
UsedMethods[i].Direction:=DirectionGroup.ItemIndex+1;
end;
procedure TOptionsForm.KeyEditExit(Sender: TObject);
var
i: integer;
begin
If (UsedMethodsBox.ItemIndex=-1)or
(UsedMethodsBox.Items.Count=0) then
Exit;
i:=MethodIndex(UsedMethodsBox.Items.Strings[UsedMethodsBox.ItemIndex]);
if i=0 then exit;
StrPCopy(UsedMethods[i].Key,KeyEdit.Text);
end;
procedure TOptionsForm.WayCountEditExit(Sender: TObject);
var
i: integer;
begin
If (UsedMethodsBox.ItemIndex=-1)or
(UsedMethodsBox.Items.Count=0) then
Exit;
i:=MethodIndex(UsedMethodsBox.Items.Strings[UsedMethodsBox.ItemIndex]);
if i=0 then exit;
UsedMethods[i].WayCount:=WayCountEdit.Value;
end;
procedure TOptionsForm.FormClose(Sender: TObject;
var Action: TCloseAction);
var
i: integer;
begin
Action:=caHide;
for i:=1 to QolMethods do
begin
if Used[i] then
begin
if StrLen(UsedMethods[i].Key)<Methods[i].KeyMinLength then
begin
ShowMessage(Methods[i].MethodName+': '+Methods[i].KeyMinMessage);
Action:=caNone;
Exit;
end else
if StrLen(UsedMethods[i].Key)>Methods[i].KeyMaxLength then
begin
ShowMessage(Methods[i].MethodName+': '+Methods[i].KeyMaxMessage);
Action:=caNone;
Exit;
end;
end;
end;
end;
end.
unit ProgressUnit;
interface
uses
Windows, Messages, SysUtils, Classes, Graphics, Controls, Forms, Dialogs,
ComCtrls, StdCtrls;
type
TProgressForm = class(TForm)
Label1: TLabel;
PBOne: TProgressBar;
PBAll: TProgressBar;
Label2: TLabel;
private
{ Private declarations }
public
Current: integer;
procedure UpdateProgress(fn: String;perc:integer;Cap:String);
procedure InitProgress(qol:integer;Cap:String);
procedure EndProcess;
{ Public declarations }
end;
var
ProgressForm: TProgressForm;
implementation
{$R *.DFM}
procedure TProgressForm.EndProcess;
begin
inc(current);
end;
procedure TProgressForm.UpdateProgress;
begin
ProgressForm.Caption:=Cap+' - '+inttostr(round(PBAll.Position*100/PBAll.Max))+'%';
Label1.Caption:=Cap+fn;
PBOne.Position:=perc;
PBAll.Position:=100*Current+perc;
end;
procedure TProgressForm.InitProgress;
begin
Caption:=Cap;
Label1.Caption:='Подготовка...';
PBOne.Position:=0;
PBOne.Max:=100;
PBAll.Position:=0;
PBAll.Max:=qol*100;
Current:=0;
end;
end.
unit TestUnit;
interface
uses
Windows, Messages, SysUtils, Classes, Graphics, Controls, Forms, Dialogs,
StdCtrls, ActnList, ExtCtrls, ComCtrls, ToolWin, Grids, Outline, DirOutln,
Buttons, ShellApi, Registry;
type
TMainForm = class(TForm)
Label1: TLabel;
RecurseBox: TCheckBox;
BitBtn1: TBitBtn;
StaticText1: TStaticText;
MainKey: TEdit;
BitBtn2: TBitBtn;
Open: TOpenDialog;
BitBtn3: TBitBtn;
BitBtn4: TBitBtn;
BitBtn5: TBitBtn;
BitBtn6: TBitBtn;
files: TListBox;
procedure FileDrop(var Msg: TWMDropFiles); message WM_DROPFILES;
procedure AddCmdLine(var msg: TMessage); message WM_USER;
procedure FormCreate(Sender: TObject);
procedure BitBtn1Click(Sender: TObject);
procedure DoCommandLine(S: String);
procedure StopDblClick(Sender: TObject);
procedure GoDblClick(Sender: TObject);
procedure GenerateKey;
function DecodeKey: integer;
procedure BitBtn2Click(Sender: TObject);
procedure BitBtn3Click(Sender: TObject);
procedure BitBtn6Click(Sender: TObject);
private
{ Private declarations }
public
end;
var
MainForm: TMainForm;
Decode: boolean;
implementation
uses CodingUnit, OptionsUnit, ProgressUnit;
{$R *.DFM}
procedure TMainForm.GenerateKey;
var
i,k,l: integer;
s: string;
begin
for i:=1 to QolMethods do
begin
If Used[i] then
begin
k:=random(9)+1;
s:=concat(s,Methods[i].MethodKey);
s:=concat(s,IntToStr(k));
l:=strlen(UsedMethods[i].Key)+k*6;
s:=concat(s,Format('%2d',[l]));
s:=concat(s,StrPas(UsedMethods[i].Key));
s:=concat(s,Format('%2d',[strlen(UsedMethods[i].Key)+k*5+UsedMethods[i].Direction]));
s:=concat(s,Format('%2d',[strlen(UsedMethods[i].Key)+k*4+UsedMethods[i].WayCount]));
end;
end;
for i:=1 to length(s) do if s[i]=' ' then s[i]:='-';
MainKey.Text:=S;
end;
function TMainForm.DecodeKey;
var
i,k,l,t: integer;
s: string;
begin
Result:=0;
s:=MainKey.Text;
for i:=1 to length(s) do if s[i]='-' then s[i]:='0';
try
while s<>'' do
begin
t:=MethodByChar(s[1]);
Used[t]:=true;
delete(s,1,1);
k:=strtoint(copy(s,1,1));
delete(s,1,1);
l:=strtoint(copy(s,1,2))-k*6;
delete(s,1,2);
StrPCopy(UsedMethods[t].Key,copy(s,1,l));
delete(s,1,l);
UsedMethods[t].Direction:=strtoint(copy(s,1,2))-l-k*5;
delete(s,1,2);
UsedMethods[t].WayCount:=strtoint(copy(s,1,2))-l-k*4;
delete(s,1,2);
end;
except
on E:Exception do Result:=1;
end;
end;
Procedure TMainForm.DoCommandLine(S: String);
var
i: integer;
tmp: string;
begin
System.CmdLine:=PChar(S);
tmp:=ParamStr(1);
if CompareText(tmp,'/D')=0 then
begin
// декодирование
Decode:=true;
StaticText1.Caption:='Введите ключ';
MainKey.Color:=clWindow;
MainKey.ReadOnly:=false;
MainKey.Text:='';
if ParamCount>1 then
begin
for i:=2 to ParamCount do
begin
Files.Items.Add(ParamStr(i));
end;
end;
end else
begin
//кодирование
if ParamCount>0 then
for i:=1 to ParamCount do
begin
Files.Items.Add(ParamStr(i));
end;
Decode:=False;
end;
end;
procedure TMainForm.AddCmdLine(var msg: TMessage);
//var
// P: array[0..1024]of char;
begin
// GlobalGetAtomName(msg.WParam,p,1023);
// GlobalDeleteAtom(msg.WParam);
// DoCommandLine(String(P));
end;
procedure TMainForm.FormCreate(Sender: TObject);
begin
Caption:='Кодирование';
DragAcceptFiles(Handle,TRUE);
if Decode then BitBtn1.Enabled:=false;
end;
procedure TMainForm.BitBtn1Click(Sender: TObject);
begin
OptionsForm.ShowModal;
end;
procedure TMainForm.StopDblClick(Sender: TObject);
begin
Close;
end;
procedure ValidateFiles;
var
i,k: integer;
begin
with MainForm.Files do
begin
i:=0;
while i<=Items.Count-2 do
begin
k:=i+1;
while k<=Items.Count-1 do
begin
if CompareText(Items.Strings[i],Items.Strings[k])=0 then
begin
Items.Delete(k);
continue;
end;
inc(k);
end;
inc(i);
end;
end;
end;
procedure TMainForm.FileDrop(var msg:TWMDropFiles);
var
i,count: integer;
p: pchar;
s: string;
attr:LongWord;
begin
msg.Result:=0;
count:=DragQueryFile(Msg.Drop,$ffffffff,nil,0);
getmem(p,1024);
for i:=0 to count-1 do
begin
DragQueryFile(msg.Drop,i,p,1024);
s:=StrPas(p);
attr:=GetFileAttributes(PCHAR(s));
if attr<>$ffffffff then
begin
if (attr and FILE_ATTRIBUTE_DIRECTORY) = 0 then
begin
if Decode then
begin
if Pos('.crf',lowercase(s))<>0 then
files.Items.Add(s);
end else
begin
if Pos('.crf',lowercase(s))=0 then
files.Items.Add(s);
end;
end;
end;
end;
freemem(p,1024);
DragFinish(msg.Drop);
ValidateFiles;
end;
function NoMethods:Boolean;
var
i:integer;
begin
result:=true;
for i:=1 to QolMethods do if used[i] then result:=false;
end;
procedure TMainForm.GoDblClick(Sender: TObject);
var
i: integer;
begin
if files.Items.Count=0 then
begin
ShowMessage('Список файлов пуст');
Exit;
end;
ValidateFiles;
if Decode then
begin
if MainKey.Text='' then begin
ShowMessage('Вы забыли ввести ключ');
exit;
end;
if DecodeKey<>0 then begin
ShowMessage('Введен неправильный ключ');
Exit;
end;
if NoMethods then begin
ShowMessage('Не выбрано ни одного метода');
Exit;
end;
ProgressForm.InitProgress(files.Items.Count,'Декодирование');
ProgressForm.Show;
for i:=0 to files.items.count-1 do
begin
DoDecoding(files.items.strings[i]);
end;
ProgressForm.Hide;
end else
begin
if NoMethods then begin
ShowMessage('Не выбрано ни одного метода');
Exit;
end;
ProgressForm.InitProgress(files.Items.Count,'Кодирование');
ProgressForm.Show;
for i:=0 to files.items.count-1 do
begin
DoCoding(files.items.strings[i]);
end;
ProgressForm.Hide;
end;
end;
procedure TMainForm.BitBtn2Click(Sender: TObject);
var
T: TRegistry;
begin
T:=TRegistry.Create;
T.RootKey:=HKEY_LOCAL_MACHINE;
T.OpenKey('\Software\Laynik Group\[LG] Hazard Encrypter 2000',True);
Open.InitialDir:=T.ReadString('Lastpath');
if Open.Execute then
begin
files.Items.AddStrings(Open.files);
validatefiles;
T.WriteString('Lastpath',ExtractFileDir(Open.Files.Strings[Open.Files.Count-1]));
end;
T.Free;
end;
procedure TMainForm.BitBtn3Click(Sender: TObject);
begin
if (files.Items.Count=0) or (files.ItemIndex=-1) then exit;
files.Items.Delete(files.ItemIndex);
end;
procedure TMainForm.BitBtn6Click(Sender: TObject);
begin
files.clear;
end;
end.
unit CodingUnit;
interface
uses Classes,SysUtils,Dialogs,CodingTools,K1,K2,K3,GOST;
Const
PIECE_LENGTH = $FFFF;
// Direction constants
diForward = 1;
diBackward = 0;
// ERROR VALUES
CL_ERROR_EMPTYLINE = -1;
CL_ERROR_NOFILENAME = -2;
function Coding_Kir(Buf: Pointer; Size: LongInt; Param: TCodingParameters): Integer;
function DeCoding_Kir(Buf: Pointer; Size: LongInt; Param: TCodingParameters): Integer;
function DoCoding(S: String): integer;
function DoDecoding(S: String): integer;
function MethodIndex(const S: String):integer;
function MethodByChar(const C: Char):integer;
const
QolMethods = 4;
Methods:array[1..QolMethods] of TCodingFunction =
((MethodName:'ГОСТ 28147-89 (ПЗ)';MethodKey:'G';MethodProc:Coding_GOST;MethodDecProc:Coding_GOST;
KeyMinLength:32;KeyMaxLength:32;KeyMinMessage:'Ключ должен быть длиной 32 символa';KeyMaxMessage:'Ключ должен быть длиной 32 символa';
MethodDescription:'Кодирование по ГОСТ 28147-89 (простая замена)'),
(MethodName:'ГОСТ 28147-89 (Г)';MethodKey:'G';MethodProc:Coding_GOST;MethodDecProc:Coding_GOST;
KeyMinLength:32;KeyMaxLength:32;KeyMinMessage:'Ключ должен быть длиной 32 символa';KeyMaxMessage:'Ключ должен быть длиной 32 символa';
MethodDescription:'Кодирование по ГОСТ 28147-89 (гаммирование)'),
(MethodName:'К1';MethodKey:'K';MethodProc:Coding_K1;MethodDecProc:DeCoding_K1;
KeyMinLength:8;KeyMaxLength:8;KeyMinMessage:'Ключ должен быть длиной 8 символов';KeyMaxMessage:'Ключ должен быть длиной 8 символов';
MethodDescription:'Сумма по модулю два'),
(MethodName:'К2';MethodKey:'L';MethodProc:Coding_K2;MethodDecProc:DeCoding_K2;
KeyMinLength:3;KeyMaxLength:8;KeyMinMessage:'Минимальная длина ключа - 3 символа';KeyMaxMessage:'Ключ должен быть длиной менее 9 символов';
MethodDescription:'Циклический сдвиг'));
UsedMethods:array[1..QolMethods] of TCodingParameters =
((Key:'';WayCount:1;Direction:1),
(Key:'';WayCount:1;Direction:1),
(Key:'';WayCount:1;Direction:1),
(Key:'';WayCount:1;Direction:1));
Used: array[1..QolMethods] of boolean = (false,
false,
false,
false);
implementation
uses TestUnit, ProgressUnit;
function MethodIndex(const S: String):integer;
var
i: integer;
begin
Result:=0;
for i:=1 to QolMethods do
begin
if CompareStr(S,Methods[i].MethodName)=0 then
Result:=i;
end;
end;
function MethodByChar(const C: Char):integer;
var
i: integer;
begin
Result:=0;
for i:=1 to QolMethods do
begin
if C=Methods[i].MethodKey then
Result:=i;
end;
end;
function GenerateFileName(s:string):string;
begin
Result:=concat(s,'.crf');
end;
function GenerateDecFileName(s:string):string;
begin
If Pos('.CRF',UpperCase(s))<>0 then delete(s,Pos('.CRF',uppercase(s)),4);
s:=concat(s,'.dec');
Result:=s;
end;
function DoCoding(S: String): integer;
var
j,i,ks,ls,size,res,fs,pr: integer;
f,outp: file;
buf: pointer;
S1: String;
begin
result:=0;
GetMem(buf,$10000);
fillchar(buf^,$10000,0);
if buf=nil then begin
ShowMessage('Не хватает памяти под буфер');
Result:=1;
exit;
end;
AssignFile(f,s);
s1:=GenerateFileName(s);
AssignFile(outp,s1);
{$I-}
Reset(f,1);
fs:=filesize(f);
Rewrite(outp,1);
{$I+}
if IOResult=0 then
begin
ProgressForm.UpdateProgress(s1,0,'Кодирование ');
size:=$10000;
while size=$10000 do
begin
BlockRead(f,buf^,$10000,size);
for i:=1 to QolMethods do
begin
ks:=0;
if (size mod 8)<>0 then
begin
ls:=(8*((size div 8)+1));
ks:=ls-size;
for j:=size to ls-1 do PCHAR(buf)[j]:=#0;
end else ls:=size;
if Used[i] then Methods[i].MethodProc(buf,ls,UsedMethods[i]);
if fs<>0 then pr:=round(filepos(f)*100 / fs) else pr:=round((100*i) / qolmethods);
ProgressForm.UpdateProgress(s1,pr,'Кодирование ');
end;
BlockWrite(outp,buf^,ls,res);
end;
if ks<>0 then blockwrite(outp,ks,1);
end
else ShowMessage('Ошибка обращения к '+S);
CloseFile(f);
CloseFile(outp);
FreeMem(buf,$10000);
ProgressForm.EndProcess;
end;
function DoDecoding(S: String): integer;
var
ks,pr,i,size,res,fs: integer;
f,outp: file;
buf: pointer;
s1: string;
begin
result:=0;
GetMem(buf,$10000);
fillchar(buf^,$10000,0);
if buf=nil then begin
ShowMessage('Не хватает памяти под буфер');
Result:=1;
exit;
end;
AssignFile(f,s);
s1:=GenerateDecFileName(s);
AssignFile(outp,s1);
{$I-}
Reset(f,1);
fs:=filesize(f);
Rewrite(outp,1);
{$I+}
if IOResult=0 then
begin
ProgressForm.UpdateProgress(s1,0,'Декодирование ');
size:=$10000;
while size=$10000 do
begin
BlockRead(f,buf^,$10000,size);
for i:=QolMethods downto 1 do
begin
if Used[i] then Methods[i].MethodDecProc(buf,size,UsedMethods[i]);
if fs<>0 then pr:=round(filepos(f)*100 / fs) else pr:=round((100*i) / qolmethods);
ProgressForm.UpdateProgress(s1,pr,'Декодирование ');
if (size mod 8)<>0 then
begin
ks:=byte(PCHAR(Buf)[size-1])+1;
end else ks:=0;
end;
BlockWrite(outp,buf^,size,res);
end;
Seek(outp,filepos(outp)-ks);
Truncate(outp);
end
else ShowMessage('Ошибка обращения к '+S);
CloseFile(f);
CloseFile(outp);
FreeMem(buf,$10000);
ProgressForm.EndProcess;
end;
function Coding_Kir;
begin
Result:=0;
end;
function DeCoding_Kir;
begin
Result:=0;
end;
end.
unit GOST;
interface
uses
SysUtils,
CodingTools;
function coding_GOST(Buf: Pointer; Size: LongWord; Param: TCodingParameters):Integer;
function coding_GOSTSE(Buf: Pointer; Size: LongWord; Param: TCodingParameters):Integer;
implementation
var
Key: array [0..7] of LongWord;
const
ExchTable: array [0..7,0..15] of byte =
((2,5,3,7,12,1,15,14,9,4,6,8,10,0,11,13),
(8,3,1,9,10,15,2,14,13,5,11,7,0,12,4,3),
(15,1,14,2,13,3,12,4,11,5,10,0,6,9,7,8),
(1,3,5,7,9,2,4,6,8,10,11,13,15,12,14,0),
(1,4,7,10,13,2,5,8,11,0,14,3,6,9,12,15),
(1,5,9,13,2,6,10,0,14,3,7,11,15,4,8,12),
(1,6,11,2,7,12,0,3,8,13,4,9,14,5,10,15),
(1,7,0,13,2,8,14,3,9,15,4,10,5,11,6,12));
C1 = $1010101;
C2 = $1010104;
procedure BaseStep(var N:word64; X: longword);
var
i:integer;
s:word64;
begin
s.v32[0]:=(N.v32[0] + X) mod $100000000;
for i:=0 to 3 do
begin
//Замена по таблице младшие или старшие 4 бита
s.v8[i]:=(ExchTable[i*2,(s.v8[i] and $0F)]) or (ExchTable[i*2+1,((s.v8[i] shr 4) and $0F)] shl 4);
end;
asm
push ecx
mov cl,11
rol DWORD[s.v32[0]],cl
pop ecx
end;
s.v32[0]:=s.v32[0] xor N.v32[1];
N.v32[1]:=N.v32[0];
N.v32[0]:=s.v32[0];
end;
procedure SEcoding64bits(var N:word64);
var
k,j: integer;
s:LongWord;
begin
for k:=1 to 3 do
for j:=0 to 7 do BaseStep(N,Key[j]);
for j:=7 downto 0 do BaseStep(N,Key[j]);
s:=N.v32[0];
N.v32[0]:=N.v32[1];
N.v32[1]:=s;
end;
procedure SEdecoding64bits(var N:word64);
var
k,j: integer;
s:LongWord;
begin
for j:=0 to 7 do BaseStep(N,Key[j]);
for k:=1 to 3 do
for j:=7 downto 0 do BaseStep(N,Key[j]);
s:=N.v32[0];
N.v32[0]:=N.v32[1];
N.v32[1]:=s;
end;
procedure GOST_G_coding(var T: pointer; S:word64; Size:word);
var
i:integer;
begin
SEcoding64bits(S);
for i:=1 to (Size div 8) do
begin
S.v32[0]:=(S.v32[0]+C1) mod $100000000;
S.v32[1]:=((S.v32[1]+C2-1) mod ($ffffffff)) +1;
word64(Pointer(LongWord(T)+LongWord((i-1)*8))^).v32[0]:=
word64(Pointer(LongWord(T)+LongWord((i-1)*8))^).v32[0] xor S.v32[0];
word64(Pointer(LongWord(T)+LongWord((i-1)*8))^).v32[1]:=
word64(Pointer(LongWord(T)+LongWord((i-1)*8))^).v32[1] xor S.v32[1];
end;
end;
function coding_GOST(Buf: Pointer; Size: LongWord; Param: TCodingParameters):Integer;
var
i: integer;
s: word64;
begin
s.v32[0]:=0; s.v32[1]:=0;
for i:=0 to 7 do
begin
Key[i]:=(BYTE(Param.Key[i*4+3]) shr 24) or (BYTE(Param.Key[i*4+2]) shr 16) or
(BYTE(Param.Key[i*4+1]) shr 8) or (BYTE(Param.Key[i*4]));
s.v32[i mod 2]:=s.v32[i mod 2]+Key[i];
end;
GOST_G_coding(Buf,s,Size);
end;
function coding_GOSTSE(Buf: Pointer; Size: LongWord; Param: TCodingParameters):Integer;
var
i: integer;
begin
for i:=0 to 7 do
begin
Key[i]:=(BYTE(Param.Key[i*4+3]) shr 24) or (BYTE(Param.Key[i*4+2]) shr 16) or
(BYTE(Param.Key[i*4+1]) shr 8) or (BYTE(Param.Key[i*4]));
end;
for i:=1 to (Size div 8) do
begin
SEcoding64bits(word64(Pointer(LongWord(Buf)+LongWord((i-1)*8))^));
end;
end;
var
i: integer;
begin
for i:=0 to 7 do Key[i]:=0;
end.