Проектування офісу САПР-одяг
ВСТУП
Процес проектування є цілеспрямованою послідовністю дій по реалізації проектних рішень (до яких приводять проектні процедури: математичне моделювання, оптимізація, компоновка об'єктів), що приводять до створення опису об'єкту проектування, достатнього для виготовлення об'єкту і його експлуатації в заданих умовах.
У загальному випадку проектуванням називається складання опису, необхідного для створення в заданих умовах нового неіснуючого об'єкту (системи тих. процесу, економічні процеси, технічні вироби і т.д.).
Цей процес базується на вивченні потреби суспільства і пошуку якнайкращого варіанту її задоволення.
У цьому визначенні дві основні особливості:
1. Наявність обмежень, що накладаються на процес рішення задачі проектування.
2. Необхідність вибору якнайкращого (оптимального) варіанту рішення.
На даному етапі розвитку сучасних технологій дуже важливим є створення нових максимально функціональних систем. Проте створення чогось нового не завжди може бути вигідним з матеріальної точки зору оскільки вимагає великих матеріальних витрат і витрат часу. Проблема матеріальних витрат розв'язується за допомогою проектування. Воно дозволяє прогнозувати стани об'єктів в різних умовах, зовнішній вигляд і багато інших важливих аспектів, усувати недоліки і помилки в ще не існуючих об'єктах. Це дозволяє уникнути великих матеріальних і фізичних витрат.
Сучасні системи проектування дозволяють автоматизувати процеси проектування тим самим зменшити час і ресурси на його виконання.
Ціль автоматизації - підвищити якість проектування, знизити матеріальні витрати на нього, скоротити строки проектування й ліквідувати ріст числа інженерно-технічних працівників, зайнятих проектуванням і конструюванням.
Проектування являє собою цілеспрямовану послідовність дій по реалізації проектних рішень (до яких приводять проектні процедури: математичне моделювання, оптимізація, компонування об'єктів), що приводять до створення описи об'єкта проектування, достатнього для виготовлення об'єкта і його експлуатації в заданих умовах.
Особливістю автоматизованого проектування є те, що в ході проектування відбувається постійний діалог людини й машини [1].
Дана курсова робота присвячена автоматизованому проектуванню складних систем, які характеризуються ієрархією, різноманіттям зв'язків між елементами, багаторазовою зміною стану, множиною показників якості й критеріїв. Окремі частини складних систем можуть розглядатися як система.
Для вивчення й проектування систем використають: математичне моделювання (заміна реальної системи її математичним описом на різних рівнях абстракції), що значно скорочує витрати на створення моделі й проводиться на ЕОМ без додаткових приладів; геометричне моделювання (процес побудови форми об'єкта - поступова її деталізація в міру розвитку ідей розроблювача), що реалізується за допомогою САПР й являє собою роботу з формами в тривимірному просторі; фізичне моделювання (макетування), що є альтернативою математичному.
Метою курсового проекту є моделювання об'єктів в різних системах автоматизованого проектування. Перша частина проекту є математичним моделюванням за допомогою програм Excel і MathCAD. Друга частина містить в собі проектування офісу (за допомогою системи 3D Home Architect), його зовнішнього і внутрішнього вигляду, устаткування і інших об'єктів, розробку схеми електропостачання, а так само даних про споживання електричної енергії, опис можливої діяльності офісу і працівниках.
1 ГРАФІЧНЕ МОДЕЛЮВАННЯ ОФІСУ САПР-ОДЯГ
Початкові дані для проектування офісу
Вихідні дані:
|
Діяльність офісу |
САПР - одяг |
|
Кількість комп'ютерів |
2 |
|
Кількість принтерів |
2 |
|
Блоки безперебійного живлення |
2 |
|
Кількість сканерів |
1 |
|
Модем |
+ |
|
Телевізор (підключення до ЕОМ) |
+ |
|
Кондиціонер |
+ |
|
Музичний центр |
+ |
|
Осцилограф (підключення до ЕОМ) |
- |
|
Корисна площа офісу |
21,5 кв.м |
Опис призначення офісу і його програмне забезпечення
На підставі вихідних даних можна припустити, що в офісі може працювати 4 чоловіки. Тому що ця установа призначена для роботи в сфері одягу, то необхідні наступні кадри: два програмісти, директор, дизайнер.
Офіс може виконувати:
створення нових ескізів одягу;
обслуговування клієнтів;
розробка одягу під замовлення.
Для використання в даній установі WindowXP Professional , тому що це одна із самих нових і надійних операційних систем. Вона має найбільшу універсальність, має широке поширення, і відповідно, має особливу підтримку з боку апаратного й програмного забезпечення. Для комп'ютера, що працює в цій системі, найбільше просто підібрати прикладні програми й драйвери пристроїв.
Завдяки графічному інтерфейсу Windows XP є простій для використання, тому немає необхідності навчати операторів для переходу на нову ОС, Windows XP Professional є нащадком таких систем Win95, WinNT, Win98, і зберігає основні принципи роботи в ОС цього типу, отже, оператори працюючі на попередніх версіях легко зможуть адаптуватися до нового. Основною відмінністю нової ОС від попередніх версій є надійність і стабільність роботи. Вона більше мультимедійна й функціональна. Windows XP Professional уводить новий стандарт програмного забезпечення для бізнесу, поєднуючи продуктивність і надійність корпоративного рівня з безпрецедентною простотою експлуатації. Побудована на фундаменті перевіреної технології Windows 2000 система Windows XP Professional включає всі можливості Microsoft® Windows® XP Home Edition, а також нові й поліпшені засоби, розроблені спеціально для бізнесу й досвідчених користувачів. Час запуску знижений, а стабільність роботи офісних програм вище, ніж у будь-який попередньої операційної системі. Підтримка декількох моніторів дозволяє переглядати більше даних або одночасно виводити вікна двох різних програм.
Для виконання роботи програміста повинен використати персональний комп'ютер з наступним програмним забезпеченням: VStitcher 4.01, ЛЕКО 8.04, CorelDRAW, Internet Explorer, Virtual Fashion, Design Fashion.
VStitcher 4.01 - 3D-моделирование одягу. Працюючи з програмою, користувач може створити 3D-модель вибраного фасону, а потім "одягнути" її на персонажа. При цьому, користувач може задати підлогу, вік, розміри тіла, позу, колір шкіри, зачіску і інші особливості персонажа. Програма дозволяє навіть створювати одяг для вагітних і задавати для персонажа період вагітності.
Бібліотеки програми містять велику кількість вузлів і деталей, що дозволяє дуже швидко створювати малюнки і ескізи жіночого, чоловічого, дитячого одягу. Потрібен графічний планшет.
ЛЕКО 8.04. Результатом роботи конструктора в системі є оцифроване представлення комплекту лекал, які можуть бути викреслені на плоттері, принтері або можуть передаватися в інші САПР для подальшої розкладки і розкрою. В цьому відношенні система "ЛЕКО" є сумісною практично з будь-якою САПР, доповнюючи і розширюючи її можливості.
У основу системи конструювання САПР "ЛЕКО" закладений новий підхід до рішення задачі автоматизації робіт модельєра-конструктора - максимально автоматизувати рутинні типові дії конструктора при побудові лекала, дати конструктору принципово нові можливості побудови лекал, надати можливість накопичення і повторного використовування досвіду конструктора. Для вирішення цих задач в основу системи було закладене використовування формалізованого текстового представлення методики (алгоритму, програми) побудови лекала, записуване на спеціалізованій мові опису геометричних побудов (мові програмування).
CorelDRAW - ця програма дозволяє Будувати в автоматичному режимі основні лекала декількох різновидів для плечових і поясних виробів жіночого, чоловічого і дитячого одягу, декілька різновидів комірів. У ці лекала вже на етапі побудови можна закласти основні ознаки моделі, вибрати силует (прилеглий, напівприлеглий, прямий) і вид основи. Виконувати розмноження за розмірами і ростам. Виконувати розкладку деталей, розраховувати необхідну кількість тканини. Розраховувати площі лекал і відсоток відходів тканини, довжину швів. Створювати власну базу моделей, розкладок, різних заготівок, а також користуватися іншими базами даних лекал, що є у вільному продажу. До програми додаються дані по розмірних ознаках жіночого, дитячого і чоловічого одягу на основі вибірки з Гостів.
Virtual Fashion призначений для автоматичної побудови викрійок одягу і подальшого їх редагування. Далі підготовлене креслення можна роздрукувати на принтері або плоттері. Робота з лекалами на рівні ліній і крапок відкриває широкі можливості для дизайнера.
1.3 Співробітники офісу
Функції програміста полягають у побудові та створенні лекал для подальшого шиття одягу. Програміст повинен створювати за допомогою програм необхідні лекала одягу. Складання презентації своєї роботи .
Функції дизайнера полягають у призначення ділових зустрічей, робота з клієнтами, допомого програмістам у розробці лекал, відповідає на телефонні дзвінки, веде архів.
Функції директора включають роботу, спрямовану на організацію своїх робітників, перевірка роботи, рішення задач пов'язані з економією електроенергії, зарплатою, також на канцелярію. Перевірка договорів.
Час роботи офісу: з 9-00 до 17-00, перерив з 12-00 до 13-00 годин. Вихідний – понеділок, неділя.
1.4 Альтернативне комп'ютерне встаткування. Критерії вибору
Тому що особливістю проектування є здійснення оптимального вибору з декількох варіантів, відповідно до критеріїв оптимальності, те былозделано два варіанти комп'ютерного встаткування .
Склад комп'ютерного встаткування розроблявся, виходячи із заданого встаткування (2 комп'ютери, 2 принтери, 1 сканер, 2 блоки безперебійного живлення).
Перший варіант
Таблиця 1.1 – Устаткування (1 варіант)
|
Комплектуючі |
Опис |
Ціна, грн |
|
Материнська плата |
FOXCONN S939 NF4 NF4XK8MC-RC |
286.08 |
|
Процесор |
AMD Athlon 64 x3200+ S939 OEM |
430.54 |
|
Оперативна пам'ять |
512MB DDR400 PC-3200, Elixir |
28.94 |
|
HDD |
1000.0 Gb; WESTERN DIGITAL; WD.G1NC10000My Book World Edition |
1863.79 |
|
FDD |
Дисковод 3,5" SONY 1,44Mb, внешний, pearl-white, USB |
169.95 |
|
Оптичний привід |
Устройство для записи/перезаписи DVD NEC ND-3550A,OEM, DVD+R DL 8X, DVD-R DL 6X, DVD+RW 8X,DVD-RW 6X, DVD+R 16X, DVD-R 16X, DVD-ROM 16X, CD-RW 32X,CD-R 48X, CD-ROM 48X. |
330 |
|
Корпус |
AEROCOOL T40; Black; Моддинговый корпус! (без блока питания) |
396.55 |
|
Клавіатура |
Logitech Internet 350,USB,OEM |
74.16 |
|
Миша |
A4TECH XL-750F-2 USB; (RET) |
116.54 |
|
Акустика |
F&D/SVEN PS-820B 2 колонки + сабвуфер |
165.83 |
|
Монітор |
22" ASUS VW222U; Black; 16:10; 2 мс; 1680x1050; 300 кд/м2; у/о 170/160; 2000:1; TCO'03; m/media; VES |
1730.40 |
|
Разом |
5878,57 |
Вартість 2 комп'ютерів – 11757,14 грн.
Таблиця 1.2 - Додаткове устаткування (1 варіант)
|
Устаткування |
Опис |
Ціна, грн |
|
Модем |
Факс-модем D-Link DFM-562IS(внутренний, PCI, до 56KB/s(V.90, k56flex),факс до 14.4KB/s,G3,голосовой, Conexant HSFi CX11252) |
120 |
|
Джерело безперебійного живлення |
APC Back UPS ES 525 (BE525-RS)(525 VA / 300W) (AVR, Диап.раб.напряж.: 160-280V(47/53Гц);розетки Shuko: 3(питание от батареи) и 1 (фильтр), USB порт, с кабелем, защ.коммуникац оборудования ; в комплекте ПО, подзарядка 3-5 часов) |
321*2 |
|
Принтер |
Canon LBP-2900; A4; GDI; (2400) 600x600 dpi; 12 ppm; 2 Mb; USB 2.0; WinPrint; (cart.703) |
685.50*2 |
|
Сканер |
HP ScanJet G3010; A4; 4800x4800 dpi; 48 bit; USB 2,0; слайд-модуль |
597.66 |
|
Разом |
2730,66 |
Общая стоимость оборудования: 14487,80
Для проектування складних систем необхідно мати альтернативи, тобто варіанти вибору. Для здійснення оптимального вибору з декількох варіантів, за критеріями оптимальності, було спроектовано два варіанти комп'ютерного встаткування.
Другий вариант
Таблиця 1.3– Устаткування (2варіант)
|
Комплектуючі |
Опис |
Ціна, грн |
|
Материнська плата |
ASUS K8V-MX; Socket 754; VIA K8M800+VT8237R; 2DDR; 3xP, 1xA; Video; Sound-6ch; Lan; 2xSATA; 2xATA133 |
266.56 |
|
Процесор |
Athlon 64 x2 5200+ AM2 box,ADA5200CSBOX |
623.15 |
|
Оперативна пам'ять |
2 Gb DDR2 SDRAM PC5400 GOODRAM |
198.28 |
|
HDD |
1000.0 Gb; WESTERN DIGITAL; WD.G1NC10000My Book World Edition |
1863.79 |
|
FDD |
Дисковод 3,5" Mitsumi 1,44Mb,black |
31.16 |
|
Оптичний привід |
DVD+RW/-RW & CDRW NEC ND-7173S Silver S-ATA (OEM) |
181.28 |
|
Корпус |
DELUX DLC-SF473 silver/black; Midi Tower; ATX; 440W P4, 20+4 pin; 5.25"x3, 3.5"x1e+6i; ATX w/USB |
278.36 |
|
Клавіатура |
|
25.96 |
|
Миша |
A4TECH OP-3D-1 Red; 2x button; optical; PS/2; (RET) |
28.99 |
|
Акустика |
Genius SP-I201U выход на наушники, черный лак, USB |
111.24 |
|
Монітор |
20" SAMSUNG SM 2032BW; Black glossy; 16:10; 2 мс; 1680x1050; 300 кд/м2; у/о 170; 1000:1 (DC 3000:1); |
1535.73 |
|
Разом |
5144,5 |
Вартість 2 комп'ютерів – 10289 грн.
Таблиця 1.4 - Додаткове встаткування (1 варіант)
|
Устаткування |
Опис |
Ціна, грн |
|
Модем |
Факс-модем D-Link DFM-562IS(внутренний, PCI, до 56KB/s(V.90, k56flex),факс до 14.4KB/s,G3,голосовой, Conexant HSFi CX11252) |
120 |
|
Джерело безперебійного живлення |
APC Back UPS ES 525 (BE525-RS)(525 VA / 300W) (AVR, Диап.раб.напряж.: 160-280V(47/53Гц);розетки Shuko: 3(питание от батареи) и 1 (фильтр), USB порт, с кабелем, защ.коммуникац оборудования ; в комплекте ПО, подзарядка 3-5 часов) |
321*2 |
|
Принтер |
XEROX Phaser 3117; A4; 600 dpi ; 16 ppm; 8 Mb; USB 1.1; GDI; (картр.3000(1000 ст.) стр.; мес. ресурс |
453.20 |
|
Сканер |
Canon CanoScan LiDe 25 |
351.23 |
|
Разом |
1566,43 |
Общая стоимость оборудования: 11855.43 грн.
Для проектування офісу ми приймаємо другий план, тому що в першому плані вартість устаткування більше чим у другому, а для нас необхідно економить на всьому, хоча по використанню встаткування із другій таблиці ні чим не уступає першому й гарантія на експлуатацію дається однакова.
1.5 План офісу і його об'ємне зображення
1.5.1 План офісу з указівкою розмірів
План офісу розроблявся, виходячи з кількості співробітників і заданого встаткування (2 комп'ютери, 2 принтери, 1 сканер, 2 джерела безперебійного живлення). На плані показані розміри офісу, вікна й двері.

Рисунок 1.1 - План офісу з розмірами в 2D

Рисунок 1.2 – 2D вид
1.5.2 Об’ємне проектування будинку
На рисунку зображено офіс одягу у об’ємному вигляді.

Рисунок 1.3 – 3D вид офісу
1.5.3 Інтер’єр усіх кімнат
На плані показані меблі, комп'ютери, електротехнічні арматури (світильники, вимикачі, розетки), вікна й двері.

Рисунок 1.4 – Приймальня в 3D виді

Рисунок 1.5 - Кімната відпочинку в 3D виді

Рисунок 1.6 – Робоча кімната в 3D виді

Рисунок 1.7 – Кімната директора в 3D виді
1.5.4 Територія проектованого будинку
На рисунках зображено ландшафт навколишньої території (зона відпочинку, зона очікування, спортивна площадка).

Рисунок 1.8 - План офісу в аксонометрії

Рисунок 1.9 - План офісу в аксонометрії
1.6 Електропостачання офісу
1.6.1 Схема електропостачання
Наступний етап, полягає в необхідності, показати на плані офісу електротехнічні арматури (світильники, вимикачі, розетки, електричні сполучні коробки) .
На (рис.1.7) показана схема підключення світильників і розеток моделі офісу.

Рисунок 1.10 - Електропроводка
Пояснення до рисунка:
Л1 - Люстра 1 у приймальні, ставиться до коробки 1
Л2 - Світильник 1 в загальному туалеті, ставиться до коробки 2
Л3 – Люстра 2 у кімнаті відпочинку, ставиться до коробки 3
Л4 – Люстра 3 у кабінеті директора, ставиться до коробки 4
Л5 – Люстра 4 у робочому приміщенні, ставиться до коробки 5
Л6 – Люстра 5 у робочому приміщенні, ставиться до коробки 6
Р1 – Розетка 1 у кімнаті відпочинку, до неї підключається магнітофон (100Вт)
Р2 – Розетка 2 у кабінеті директора, до неї підключається настільна лампа(100 Вт)
Р3 – Розетка 3 у робочому приміщенні, до неї підключається принтер-сканер(100 Вт)
Р4 – Розетка 4 у робочому приміщенні, до неї підключається комп’ютер (400 Вт)
К1 - Коробка 1
К2 - Коробка 2
К3 - Коробка 3
К4 - Коробка 4
К5 - Коробка 5
К6 - Коробка 6
1.6.2 Місце розміщення в офісі електротехнічних арматур

1 – Розподільний щит
2 – Коробка
3 – Розетка
4 – Вимикач
1.6.3 Розрахунок кабельної продукції для електропостачання
Для того, щоб розрахувати кабельну продукцію, необхідно скористатися наступними формулами:
Визначення струму в кабелі
I (A) = P (Вт) / U (B)
2. Перший закон Кергофа
I = I1 + I2 + I3…In
3. Площа поперечного перерізу кабелю
S = I / δ
Матеріал - алюміній.
Таблиця 1.5 - Елементи електроустаткування

Розрахунок струму в окремих частинах схеми електропостачання
Для того, щоб розрахувати струму в окремих частинах схеми електропостачання, необхідно скористатися наступними формулами:
Визначення струму в кабелі
I (A) = P (Вт) / U (B)
2. Перший закон Кергофа
I = I1 + I2 + I3…In
Таблиця 1.6 - Розрахунок струму в окремих частинах схеми електропостачання

1.6.5 Розрахунок споживаної електроенергії в середньому за день й за місяць. Оплата електроенергії
Виходячи з перерахованих вище споживачів, розрахуємо добове споживання електроенергії в офісі. Добовий усереднений графік споживання електроенергії наведений у таблиці 7.
Таблиця 1.7 - Витрата електроенергії

Споживання електроенергії за добу:
W = P>cp>*t/1000 = 11,6 кВт*ч
Добові витрати= W*0,156 = 2,784 Грн, где 0,24 – плата за 1 кВт*ч
Витрати за місяць = добові витрати *22=61,248 Грн, де 22 – це кількість робочих днів за місяць
На рисунку 1.8 представлений графік споживання електроенергії офісом.

Рисунок 1.11 - Графік споживання електроенергії
Як видно з гістограми, максимальне споживання електроенергії з 9 до 11 та з 14 до 17 годин - у цей час працює все встаткування й горить світло.
1.7 Висновки щодо проекту офісу
У графічному моделюванні був змодельований офіс, ведучий свій бізнес у сфері одягу. Офіс займає п’ять кімнат:
Перша - приймальня;
Друга - туалет;
Третя - кімната для відпочинку персоналу;
Четверта - кабінет директора;
П'ята - безпосередньо робоче приміщення;
Для офісу було підібрано відповідне встаткування: два комп'ютери, два принтери, одного сканера, 2 блоки безперебійного живлення, на загальну суму 11855,43 грн.
Також було розраховане енергоспоживання офісу й розроблена схема електропроводки. За результатами розрахунків на електропроводку офісу буде потрібно 31,6 метрів кабелю, а сумарний максимальний розрахунковий струм (із
запасом) буде становити близько 9 амперів. Добове споживання електроенергії - ледве більше 11,6 квт*ч, що буде коштувати 2,78 грн у добу або 61,25 грн на місяць.
У звіт до проекту також включений:
1. План офісу;
2. Скріншоти 3D-проекти офісу;
3. Звіт по підборі встаткування;
4. Схема електропроводки;
5.Розрахунки енергоспоживання й навантаження на силові елементи.
2 МАТЕМАТИЧНЕ МОДЕЛЮВАННЯ
2.1 Завдання 1.1
Варіант 3
Модель об'єкта представлена системою лінійних рівнянь:
Визначити невідомі змінні(Xi)
використовуючи функцію Find;
використовуючи Поиск решения у Excel. Зрівняти результати.
Система лінійних рівнянь

Рішення засобами Excel
Щоб вирішити систему рівнянь, використаємо команду Пошук рішення. Однак спочатку формується таблиця початкових даних (рис.2.1):

Рисунок 2.1 - Таблиця початкових даних
Правильність рішення системи рівняння можна простежити, якщо включити режим відображення формул (рис. 2.2):
Рисунок 2.2 - Дані в режимі відображення формул
Для рішення рівняння, необхідно заповнити вікно "Пошук рішення" у такий спосіб (рис. 2.3)

Рисунок 2.3 - Вікно пошуку рішень
При натисканні клавіші "Виконати" на екрані з'являється наступне вікно й таблиця з рішенням (рис 2.4)

Рисунок 2.4 - Вікно з рішеннями

Рисунок 2.5- Результат рішення
Результат: x1=5; x2=0; x3=3; x4=2
Рішення засобами MathCAD
Рішення даної системи рівняння можна знайти за допомогою розв'язуваного блоку Given...Find.

Функція Find шукає точне рішення системи рівнянь, записаної після слова Given.

Результат: x1=5; x2=0; x3=3; x4=2
Перевірка:
Щоб перевірити отримані значення підставляємо в дану систему рівнянь.


Дане рівняння вирішили різними методами й засобами в результаті одержали однакові відповіді, але методи рішення відрізняються. Тому що за допомогою програми Math CAD неможливо зрозуміти процес рішення задачі, що дозволяє зробити MS Excel.
2.2 Завдання 1.2
Варіант 13
Перетворити модель, задану у вигляді системи нелінійних рівнянь до виду f 1(x) = y й f 2 (y)= x. Побудувати їхні графіки й визначити початкове наближення рішення. Вирішити систему нелінійних рівнянь.

Рішення засобами Excel
Знайдемо крапку перетинання y й x. Тому що sin перебувають у проміжку
від -1 до 1, то можна скласти наступні нерівності:










Після побудови й настроювання графіків був зроблений висновок, що доцільно задатися інтервалами, показаними на рис.6

Рисунок 2.6- Інтервали пошуку рішення
Далі необхідно побудувати таблицю й графік функцій використовуючи отримані обмеження.
При побудові графіка необхідно використати дані значення (рис. 7)


Рисунок 2.7- Вибір вихідних даних
Натискаємо "Далі", уводимо назву графіка, поміщаємо діаграму на наявному аркуші, натискаємо "Готове". Після виконання всіх операцій одержимо графіки функцій (рис.2.8).

Рисунок 2.8 - Побудовані графіки функцій
Далі для знаходження точного рішення необхідно заповнити таблицю з вихідними даними й розрахунковими формулами.
Для цього необхідно заповнити таблицю з вихідними даними й
розрахунковими формулами. Задаємо початкові значення х и y рівні "0" (рис. 2.9)

Рисунок 2.9 - Таблиця вихідних даних
Необхідно включити режим відображення формул, для перевірки правильності рішення (рис. 2.10)

Рисунок 2.10 - Дані в режимі відображення формул
Для того щоб вирішити рівняння, скористаємося вікном "Пошук рішення" (рис. 2.11)

Рисунок 2.11 - Вікно пошуку рішень
При натисканні клавіші "Виконати" на екрані з'являється наступне вікно й таблиця з рішенням (рис. 2.12).

Рисунок 2.12 - Результат рішення
Результат: x=0,582,y=1,7999
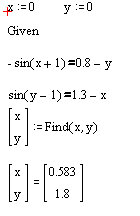
Рішення засобами MathCAD
Систему нелінійних рівнянь можна знайти за допомогою блоку Given...Find[3].
Д
е
- початкові значення. Функція Find шукає
точне рішення системи рівнянь, записаної
після слова Given.

Результат: x=0,582, y=1,799
Перевірка:
Отримані значення підставляємо в дану систему рівнянь

Результати збігаються значить отримані розрахунки різними методами й засобами були зроблені правильно. Але при порівнянні методу рішення в даних програмних продуктах, з'являються відмінності. MathCAD дає можливість швидко й просто одержати результат, а Excel у відмінності від Math CAD дає користувачеві можливість, зрозуміти процес рішення задачі, методом градиентного, імовірнісного пошуку. Так само більш чітко видно значення початкових умов для рішення задачі.
2.3 Завдання 2.1
Варіант 4
Задача А.
Вирішити задачу проектування конусоподобного фільтра.
Із круглої заготівлі (r = 2) фільтровані папери вирізують сектор з кутом , потім з іншого роблять фільтр у вигляді конуса. Необхідно розрахувати величину
кута , при якій забезпечується максимальний об'єм конуса.
R -радіус основи конуса; h - висота конуса; r - радіус заготівлі фільтрованого паперу.
Рішення засобами MathCAD.
Таким чином, задача зведена до максимізації функції однієї змінної.
Максимум цільової функції можна знайти, використовуючи:
Потужним способом MathCAD для рішення оптимизационных задач є використання убудованих функцій Minimize й Maximize. Функція Maximize
використається у вигляді:
Maximize (цільова функція, параметр1, параметр2, ..., параметрN )
Вирішимо нашу задачу використовуючи функцію Maximize


Рішення засобами Excel
Алгоритм рішення даної задачі аналогічний раніше розглянутому. Спочатку ми задаємо цільову функцію, потім визначаємо для неї обмеження, вибираємо змінювані змінні й, задавши перші наближення для змінних, виконуємо Пошук рішення.
Як цільова функція виберемо рівняння об'єму конуса умови незаперечності змінних величин, і кут Q не повинен перевищувати 2 ПІ .

Рисунок 2.13 - Дані в режимі відображення формул
Застосувавши Пошук рішення

Рисунок 2.14 - Вікно пошуку рішення
При натисканні клавіші "Виконати" на екрані з'являється наступне вікно й таблиця з рішенням (рис. 15):

Рисунок 2.15 - Результат рішення
Висновок: Отримані в результаті обчислень різними програмними продуктами (MathCAD ,Excel) значення повністю ідентичності, що говорить про вірогідність рішення. Так само наочно видно, що обчислення в MathCAD більше громіздкі, але з математичної точки зору більше правильні.
Задача Б.
Проектування 2 -х конусоподібних (пожежних) цебер.
Із круглої заготівлі жерсті (r = 3) вирізують сектор з кутом , потім з іншого роблять цебро у вигляді конуса й з вирізаного сектора теж (тобто 2-а цебра). Необхідно розрахувати величину кута θ, тобто Як необхідно розкроїти заготівлю, щоб об'єм 2-х цебер був максимальним.
R -радіус основи конуса; h - висота конуса; r - радіус заготівлі
Рішення засобами Excel.
Для рішення даної задачі необхідно заповнити таблицю з вихідними даними й розрахунковими формулами (рис.16).
|
R= |
3 |
|
T= |
2,03583904182688 |
|
2Пи-T= |
=2*ПИ()-B3 |
|
V1 |
=(((B2^2)*(B3^2))/(6*ПИ()))*(КОРЕНЬ(B2^2-((B2^2)*(B3^2))/(4*(ПИ()^2)))) |
|
V2 |
=(((B2^2)*(B4^2))/(6*ПИ()))*(КОРЕНЬ(B2^2-((B2^2)*(B4^2))/(4*(ПИ()^2)))) |
|
V |
=B6+B7 |
|
2ПИ |
=2*ПИ() |
Рисунок 2.16 - Дані в режимі відображення формул
Об'єм першого сектора розраховується по формулі:

Об'єм другого сектора розраховується по формулі:

Далі задається початкове
значення кута
=0,
установлюється цільовий осередок
(загальний об'єм). Викликається "Пошук
рішень" (мал.14). Тому що коло - це ,
тобто, то обмеження для кута
наступні:
.Нижче
наведені відповідні таблиці .

Рисунок 2.17- Вікно пошуку рішень
Виконавши даної операції, було отримано наступне рішення (рис. 18,19).

Рисунок 2.18 – Вікно результату пошуку рішень
-
R=
3
T=
2,035839
2Пи-T=
4,247346
V1
5,616486
V2
19,04211
V
24,65859
2ПИ
6,283185
Рисунок 2.19 - Результат рішення
Рішення засобами MathCAD.
Для рішення даної задачі необхідно заповнити таблицю з вихідними даними й розрахунковими формулами, представленими вище.
А далі скористаємося вже відомою структурою Given.

Висновок: Отримані в результаті обчислень різними програмними продуктами (Excel, MathCAD) значення повністю ідентичності, що говорить про вірогідність правильного рішення.
Задача 4.
Ємність відстійника для відходів повинна складати 40000 л. Виготовляється з залізобетону товщиною 10 см. Визначити геометричні параметри відстійника (L,H,a,W), при яких на його виготовлення піде мінімальна кількість бетону (див. Рис.).

Рис.

2.4 Завдання 2.2
Функція об'єкта
задана неявно рівнянням
,
,
.
Побудувати графіка залежності функції
на заданому відрізку
й знайти ee мінімум і максимум з точністю



Рішення засобами Excel
Щоб вирішити задачу необхідно заповнити таблицю. Задаємо значення t=[4,7]. Задаємо функцію f(x), у якій початкове значення х буде дорівнює "0".
Далі скористаємося вікном "підбор параметра":


Рисунок 2.24- Вікно підбора параметра

Рисунок 2.25 - Вікно результату підбора параметра з результатом

Рисунок 2.26 - Результат рішення
Отримане значення х необхідно перенести в наступний осередок і на це значення х зробити підбор параметра.


Рисунок 2.27 - Вікно підбора параметра
Така дія необхідно виконувати доти, поки t не буде дорівнює "7".Далі необхідно побудувати графік за значеннями x й t (рис. 2.28 ):


Рисунок 2.28 - Побудова графіка
Для визначення максимуму й мінімуму функції необхідно заповнити таблицю з вихідними даними й розрахунковими формулами. Задаємо початкові значення x й y рівні "0"


Рисунок 2.29 - Таблиця початкових даних
Максимальні й мінімальні значення необхідно знайти за допомогою вікно Пошук рішень.

Рисунок 2.30 - Вікно пошуку рішень на максимум
При натисканні клавіші "Виконати" на екрані з'являється наступне вікно й таблиця з рішенням.

Рисунок 2.31 - Результат максимуму функції

Рисунок 2.32 - Вікно пошуку рішень на мінімум
При натисканні клавіші "Виконати" на екрані з'являється наступне вікно й таблиця з рішенням.

Рисунок 2.33 - Результат мінімуму функції
Результат: max x = 1.284 t = 1.6
min x = 0.1476 t = -1
Розрахункові дані одержали тільку за допомогою програми MS Excel. Тому що функція є складної, знайти її максимум і мінімум можна тільки через підбор параметрів з попереднього значення х, що не вийде зробити в Math CAD.
2.5 Завдання 2.4
Варіант 3
Задача про проектування оптимального асортиментах.
Підприємство планує випускає 2 види продукції. Ціна одиниці 1 виду продукції - 2500, 2-го виду продукції - 5000. Для виготовлення продукції використаються три види сировини, запаси якого 37, 57,6 й 7 умовних одиниць. Норми витрат кожної сировини на одиницю продукції представлені в таблиці.
-
Продукция
Затраты сырья
1-вид
2-вид
Нормы
1,2
1,9
37+0,1*N
2,3
1,8
57,6+0,1*N
0,1
0,7
7+0,1*N
Рисунок 2.34 - Вихідні дані
Потрібно визначити планова кількість випускає продукции, що (підібрати параметри плану) таким чином, щоб прибуток був максимальною (при заданих обмеженнях).
Для варіантів (27й 28) вирішити задачу з урахуванням собівартості (С) продукції рівної : С1 = 10*N, С2 = 30*N, де N -номер варіанта.
Задачу вирішити засобами Excel й Mathcad зробити висновки
Рішення засобами Excel
1-й вид - x1 одиниць, 2-й вид - x2 одиниць: зроблена продукція
Тоді прибуток від зробленої й проданої продукції виражається цільовою функцією (уважаючи собівартість Сi рівної нулю):
f(x>1>,x>2>)=(2500-с1) x>1>+(5000-с2)x>2>.
Обмеження по запасах сировини:
1,2 x>1>+1,9 x>2> ≤ 37,3
2,3 x>1>+1,8 x>2> ≤ 57,9
0,1 x>1>+0,7 x>2> ≤ 7,3
Необхідно задати початкові значення х1 і х2, які будуть дорівнюють нулю (рис. 35)

Рисунок 2.35 - Таблиця початкових даних

Рисунок 2.36 - Дані в режимі відображення формул
Далі необхідно скористатися вікном "Пошук рішення".


Рисунок 2.37 - Вікна пошуку рішень
При натисканні клавіші "Виконати" на екрані з'являється наступне вікно й таблиця з рішенням (рис. 38)

Рисунок 2.38 - Результати рішення
Результат: x1 = 19 x2 = 7
з урахуванням собівартості: x1 = 17 x2 = 8
Рішення засобами MathCAD
Дану функцію необхідно задатися початковими значеннями.

- початкові значення.
Вибираємо обмеження


З урахуванням собівартості:


Результат: x1 = 19 x2 = 7
з урахуванням собівартості: x1 = 17 x2 = 8
Перевірка:
Отримані значення підставляємо в дані функції.
(2500-30)*17+(5000-90)*8=81270
2500*19+5000*7=82500
Результати збігаються, отримані різними засобами й методами. Порівнюючи методи рішення можна сказати, що програма MathCAD зручна своєю простотою й швидкістю у відмінності від Excel, що у свою чергу дозволяє зрозуміти процес рішення задачі.
ВИСНОВКИ
Мети й завдання курсової роботи з теми "Проектування офісу програмування" досягнуті в повному обсязі: систематизація й закріплення теоретичних знань, отриманих при вивченні навчальної дисципліни "Основи автоматизованого проектування складних систем" і придбання навичок у використанні сучасних інформаційних технологій, а також придбання й закріплення навичок самостійної роботи.
У математичному моделюванні були вирішені всі задані завдання за допомогою Excel, MathCAD. Всі отримані результати вирішені двома програмами сходяться значити отримані розрахунки були зроблені правильно. Порівнюючи методи рішення можна сказати, що програма MathCAD зручна своєю простотою й швидкістю у відмінності від Excel, що у свою чергу дозволяє зрозуміти процес рішення задачі.
У графічному моделюванні був змодельований офіс, ведучий свій бізнес у сфері одягу. План офісу розроблявся, виходячи з кількості співробітників і заданого встаткування (2 комп'ютери, 2 принтери, 1 сканер, 2 блоку безперебійного живлення). На плані показані меблі, комп'ютери, електротехнічні арматури (світильники, вимикачі, розетки), вікна й двері. Розроблений дизайн офісу (килимове покриття, кольори стін, форми вікон і т.д.). На території крім офісу, розміщені газони, доріжки, під'їзд для автомобіля. Розташувати ємність для поливу газону на плані території офісу. Був зроблено альтернативний вибір комп'ютерного забезпечення. План офісу займає 21,5 м².
У даній курсовій роботі є недоліки, які можна в наслідку модернізувати, наприклад, електропроводка в офісі.
СПИСОК ВИКОРИСТАНИХ ДЖЕРЕЛ
Конспект лекцій по дисципліні "Основи автоматизованого проектування складних систем". Лектор Карчевскій В.П.
Інформатика: Базовий курс/ С.В.Симонович ізд. - Спб.: Пітер, 2001.-640з
http://www.spez.com.ua
Леонтьев В.П. Новітня енциклопедія персонального комп'ютера. - М.: Олма-пресс Утворення, 2004. - 734 с.: іл.
Комп'ютер з нуля. Книга + Відеокурс: учеб. пособ/ під ред. Ф.Н. Рєзникова. - М.:Кращі книги, [2005]. - 384 с.: іл. + [1] CD. іл.
Додаток - Створення презентації курсового проекту за допомогою Power Point











