Проект вагона МЧС для проведения аварийно-спасательных работ в метрополитене
СОДЕРЖАНИЕ
ВВЕДЕНИЕ
1. Обоснование цели проекта.
1.1. Тушение пожара в метрополитене.
Оперативно-тактическая характеристика метрополитена, как
объекта поднадзорного МЧС.
1.2.1. Вентиляция.
1.2.2. Водоснабжение.
1.2.3. Связь.
1.2.4. Тупики.
Развитие пожара в подвижном составе между станциями.
Особенности тушения пожаров в подземных сооружениях метрополитена и подвижном составе.
1.4.1. Действия пожарных подразделений.
1.4.2. Разведка пожара.
Спасание людей и материальных ценностей.
Действия должностных лиц метрополитена.
Организация и действия штаба пожаротушения.
Тушение пожара в подвижном составе.
1.5.1. Способы прекращения горения.
Выбор и характеристика вагона.
Тактико-технические характеристики проектируемого вагона.
Оборудование аварийно-спасательного поезда.
Расположение поезда на путях.
Действия боевого расчета проектируемого поезда.
Теоретический расчет сил и средств с применением поезда.
Расчет механизмов.
3.1. Тяговая передача. Подвеска редуктора.
Устройство и принцип действия.
Кинематический расчет двигателя вагона.
ВЫВОД
ЛИТЕРАТУРА
ВВЕДЕНИЕ
Анализ пожаров по минскому метрополитену за период 1996-2000 года показал, что число пожаров с 1996 года неуклонно растет, а общее количество пожаров в 1999 году является наибольшим за последние 6 лет. Общий ущерб от пожаров в метрополитене г.Минска за данный период 1996-1999 г. составил 70.687.531 руб. Спасено материальных ценностей на сумму 572.862.571 руб. Уничтожена 1 единица автотранспортной техники. Максимальное количество пожаров происходит в мае-июле (см. рис.1.) -5 и 4. Пик количества пожаров приходится на конец недели (суббота, воскресенье – по 4).

Наибольшая причина загораний – неосторожное обращение с огнем. Наиболее часто – в бытовых помещениях (4), стройки – 2, совмещенная тяговая подстанция – 2, сушильная камера, котлован подземного перехода, территория административного здания, железнодорожный вагон, цех фасовки цемента – по 1.
По изделиям и устройствам – кабель, провод – 3, отходы материалов, мусор, автотехника, кондиционер – по 1, прочие – 11. По причинам : неосторожное обращение с огнем – 6, недостаток конструкции и изготовления оборудования - 3, нарушение правил пожарной безопасности при эксплуатации бытовых и электрических приборов – 3, нарушение ППБ при проведении сварочных работ - 2, нарушение ППБ при эксплуатации теплогенерирующих агрегатов и устройств – 1, нарушение правил монтажа электрооборудования - 1.
1. Обоснование цели работы.
1.1. Тушение пожара в метрополитене.
Тушение пожаров на объектах метрополитена организуется в соответствии с "Инструкцией о порядке взаимодействия органов пожарной охраны МВД СССР и МПС СССР по организации пожарного надзора и тушению пожаров на объектах метрополитена", утвержденной в марте 1977 года заместителем министра внутренних дел СССР Рожковым Н.А. и заместителем министра путей сообщения СССР Шелковым Б.А.
Тушение пожаров в подземных сооружениях метрополитена обеспечивается :
- быстрым сообщением о пожаре;
- четким руководством всеми работами по тушению пожара;
- наличием безотказной связи, обеспечивающей управление силами и средствами пожаротушения;
- взаимодействием пожарной службы со службами метрополитена;
- сосредоточением достаточного количества сил и средств;
Метрополитен имеет разветвленную сеть подземных сооружений, различные технические устройства и большое количество подвижного состава. Пожары в подземных сооружениях метрополитена характеризуются специфическими условиями развития и сложностью тушения. Наиболее печальные последствия имели нижеописанные чрезвычайные ситуации.
Субботним вечером 28 октября в Бакинском метро было многолюдно. Один из поездов «забрал» очередную партию пассажиров на станции «Улдуз» и тронулся в путь. Уже в туннеле, на расстоянии 150-200 метров от перрона, в третьем, а затем и в четвертом вагонах вспыхнул пожар. Машинист сразу же передал по рации в депо сигнал «SOS». Там приняли решение выключить ток в туннеле, что соответствовало инструкции, однако вернуть обесточенный поезд на станцию было уже невозможно. В электричке началась паника. Люди выбивали окна и двери, выпрыгивали из пылающих вагонов, но в туннеле их ждала настоящая «газовая камера». Раскаленное облако ядовитых газов – продуктов горения вагонной обшивки, настигало людей. Они задыхались и падали замертво. В чреве туннеля, освещенного всполохами огня, метались обезумевшие от страха пассажиры. Те, кого сбивали с ног, - а это в основном были женщины, старики и дети, встать уже не могли. На шпалах их «добивал» смертоносный газ.
К месту ЧП прибыли пожарные и спасатели. Более 400 человек удалось эвакуировать. Около шести часов пожарные, спасатели и добровольцы тушили пламя и вытаскивали еще живых пассажиров. От электрички осталось 6 оплавленных металлических каркасов. Температура пламени была настолько велика, что колеса буквально приварились к рельсам. Их пришлось отбивать кувалдами. Темный и смрадный туннель был усеян трупами.
Правительственная комиссия Азербайджана по расследованию аварии в Бакинском метро в качестве главной причины назвала технические неполадки, а точнее в «устаревшей системе метро, оставшейся от советской эпохи». Трагедию 1995 г. в подземке Баку специалисты назвали самой страшной во всей истории мирового метрополитена. Британские метрополитеновцы после пожара в лондонской подземке 1984 г. не пожалели одного миллиарда фунтов стерлингов для внедрения новой эффективной противопожарной системы.
О характере развития пожара в метрополитене говорит также следующий пример. Пожар возник на станции «Александер плац» (г.Берлин) 4 октября 1972 года за час до открытия метро в поезде, который находился на запасном пути. Горение обнаружили рабочие строительного вагона. Они пытались потушить пожар ручными огнетушителями, но не смогли. Температура и дым заставили их отступить. Рабочие были эвакуированы пожарными и отправлены в больницу. Пожарные вступили в борьбу с огнем, который охватил весь поезд. К этому времени туннель заполнился дымом и из запасной шахты вырывался столб пламени высотой 1,5 метра. Во время тушения разведка проводилась группами по 5 человек во главе с офицером в средствах индивидуальной защиты органов дыхания. После того как разведка установила границы пожара, в перекрытии ближайшей шахты было вырезано отверстие, через которое группа бойцов в огнезащитной одежде попыталась проникнуть в туннель, но сильный огонь не позволял им этого сделать. Тогда в отверстие была подана высокократная пена. Температура снизилась, задымление уменьшилось. Это позволило ввести в действие ствольщиков с мощными водяными стволами. Обрушение туннельного покрытия еще более усложнило обстановку. Вырвавшееся из разрушенного туннеля пламя создало опасность для отеля «Штац Берлин» и центрального универмага.
Чтобы подавить пламя, на разрушенное покрытие туннеля подали высокократную пену. Для охлаждения дымовых газов и защиты витрин были использованы 4 турбореактивные установки. Вскоре обрушилась еще часть туннельного покрытия, что снова усилило горение. Для борьбы с перекинувшимся на поверхность пожаром были поданы водяные стволы. Благодаря принятым мерам распространение огня прекратилось, универмаг и отель не пострадали.
Для тушения пожара был создан штаб и 4 боевых участка. Три боевых участка осуществляли разведку и тушение, а четвертый защищал здания. Штаб поддерживал связь с боевыми участками по радио, а на участках – с помощью мегафона. Разведка пожара велась на протяжении 1,5 км при сильном распространении огня и дыма.
Температура в верхней части покрытия туннеля составляла 800-1000 0С. Под сводом скопился слой горячего воздуха толщиной 1,5 м. Стальные конструкции не выдержали высокой температуры, и 120 метров туннеля обрушилось. Пожар был ликвидирован к 11ч 30мин. Пожар произошел в центре города и продолжался несколько часов. Он, как многие другие подтверждает целесообразность улучшения способов работы пожарных подразделений и создание специальных пожарных команд, которые в минимально короткое время могут приступить к тушению пожара не дожидаясь прибытия основных сил гарнизона.
Оперативно-тактическая характеристика метрополитена,
как объекта поднадзорного МЧС.
Большое влияние на тактику тушения пожаров оказывает планировка станций, а также наличие и состояние инженерного оборудования метрополитена. Из четырех типов станций односводчатые, двухсводчатые, трехсводчатые и многосводчатые – в нашей стране строятся в основном трехсводчатые одноплатформенные станции. Они состоят из двух боковых и среднего туннелей
В среднем туннеле размещается распределительный зал, которых проходами соединяется с пассажирскими платформами. В торцах распределительного зала располагаются эскалаторы, сообщающиеся с вестибюлями станций. Служебные помещения, расположенные под платформой, имеют объединяющий их продольный коридор шириной 1,1м. Длина коридора под платформой достигает 100м.
На уровне подвала находится кислотная аккумуляторная, предназначенная для получения постоянного тока, питающего электрооборудование станции. В соответствии со СНиП II-40-80 «Метрополитены» минимально допускаемое напряжение составляет 550 В.
Вестибюль, входы, платформа станции, перегонные и тупиковые тоннели, служебные и производственные помещения имеют рабочее и аварийное освещение.
Пожарная нагрузка служебных помещений составляет 10-30 кг/м2 , за исключением некоторых станций Московского метрополитена первой очереди, где пожарная нагрузка в 3-4 раза больше. В метрополитенах применяется электрическая тяга поезда двигателями постоянного тока. Питается контактная сеть постоянным током напряжением 825 В. Контактная сеть выполнена в виде третьего рельса, подвешенного на кронштейнах со специальными изоляторами.
Непосредственно к туннелям примыкают дренажные перекачки, санузлы, вентиляционные камеры (небольшого объема).
Интервал движения составов по линии – 4 мин. Диаметр туннеля - 5,1 (5,6) м.
Наибольшая протяженность ветки составляет для Минского метрополитена 10,3 км. Самый длинный перегон – между станциями «Тракторный завод»--«Партизанская». Его длина составляет 2,2 км.
Максимальный пассажиропоток (для Минского метрополитена на 1985 г.) в часы пик составляет 7,8 тыс.чел.
Вентиляция
Служебные помещения под платформой имеют местную приточную вентиляцию. Приточный воздух забирается из вентиляционного канала, расположенного под платформой, а подается в путевой туннель. Для воздухообмена станции и туннелей применяется шахтная система вентиляции, при которой сооружается три вида вентиляционных шахт : станционные, перегонные и тупиковые. Расход воздуха в вентиляции достигает 250 000 м3 /час. Вентиляторы, работающие в реверсивном режиме можно эффективно использовать при пожаре для управления воздушными потоками. В зависимости от типа станции могут применяться и другие схемы подачи воздуха, например, на станциях колонного типа воздух из вентиляционной шахты подается по вентиляционному туннелю в монтажную камеру, к которой примыкает вентиляционный канал, расположенный над средним залом. В этом канале имеются отверстия с решетками, через которые воздух поступает на станцию. На станциях пилонного типа воздух подается по вентиляционным каналам, расположенным под посадочными платформами, откуда он поступает в средний зал и путевые туннели.
Для создания безопасных действий по эвакуации людей и тушению пожара на каждой станции определяются аварийные режимы вентиляции, обеспечивающие незадымляемость путей эвакуации. Работой вентиляции в аварийных режимах управляет служба метрополитена. В случае пожара производится дымоудаление реверсивными вентиляторами типа ВОМД-24Д.
1.2.2. Водоснабжение.
Источником водоснабжения метрополитена является городской водопровод. На вводе у водомера имеется обводная линия для обеспечения необходимого на тушение пожара расхода воды. Внутренние водопроводные сети станций объединяются между собой трубопроводами, расположенными в перегонных туннелях. На магистрали водопроводной линии у торцов станции и через каждые 500 метров устанавливаются задвижки. Во внутренней сети давление поддерживается городской сетью и давлением, создаваемым за счет глубины заложения внутреннего водопровода. Понижение давления на внутренней сети осуществляется редукционным узлом с обводной линией и задвижками. Водопроводная сеть подземных линий рассчитана одновременно на максимальный хозяйственный, технологический и пожарный расходы воды. Норма расхода воды на внутреннее пожаротушение принимается исходя из одновременного действия двух струй с расходом 2,5 л/с каждая. Для подачи воды на пожаротушение применяют внутренние пожарные краны диаметром 51 мм, установленные в вестибюлях, машинных помещениях эскалаторов, в торцах посадочных платформ станций – через каждые 30 м, в коридорах служебных помещений над платформами и на уровне платформ через каждые 45 м. В туннелях проложены трубы 100 мм с вентилями и через каждые 90 м установлен патрубок с полугайкой.
1.2.3. Связь.
Наиболее надежным средством связи при работе в подземных сооружениях является проводная связь с использованием сигнально-переговорных устройств. Радиосвязь также можно использовать, но необходимо учитывать, что надежная связь обеспечивается только на прямых участках туннеля на расстоянии 200-250 м.
Связь осуществляется :
через АТС метрополитена с городской сетью;
поездная диспетчерская связь;
местная связь внутри объектов метрополитена;
туннельная телефонная связь, устроенная с правой стороны через каждые 100 м ;
громкоговорящая связь;
стрелочная связь.
Тупики.
Д
ля
организации оборота подвижного состава,
профилактического осмотра и ремонта
на конечных и зонных станциях метрополитенов
устраивают тупики для одного или двух
путей (рис. 5.)








17991
23692 698
5






100












5560
7800 9500







Рис. 5. Схема камеры съездов (в местах расположения стрелочных переводов).
Тупики располагают в специальных туннелях между перегонными туннелями и соединяют с ними непосредственно за приемно-отправочными путями станции.
Обычно в одном тупиковом туннеле размещают линейный пункт со служебными помещениями (слесарной мастерской, раздевалкой, кладовой). Тупиковые туннели полезной длины 155 м служат для осмотра восьмивагонных составов, они оборудованы смотровой канавой и служебной платформой со стороны внутренней стенки высотой 1,2 м от уровня головки рельс, длиной также 155 м.
Длина тупиков на 40 м больше длины поезда, планитуется на перспективу (рис. 6.), бывают однопутные (а) и двухпутные (б).
Развитие пожара в подвижном составе между станциями.
Наиболее сложная обстановка создается на пожаре в подвижном составе, находящемся в туннеле. При пожаре в туннеле можно выделить три основные зоны : зона до очага пожара; зона горения; зона за очагом пожара – зона задымления.
Развитие пожара в подвижном составе в туннеле характеризуется высокой температурой (800-1000 0С), большой скоростью распространения горения (до 2 м/мин) и плотным задымлением, которое распространяется на значительное расстояние по направлению движения воздушных потоков. На горение вагона в туннеле большое влияние оказывает вентиляция (рис. 7.).
З
она
до очага горения 













Зона горения
Зона
за очагом пожара













Вентиляция воздуха Продукты горения
Рис. 7. Обстановка при горении вагона в туннеле.
Особенности тушения пожаров в
подземных сооружениях метрополитена и подвижном составе.
Действия пожарных подразделений.
Тушение пожаров на подвижном составе железнодорожного транспорта, в том числе и метрополитена, представляет собой сложную задачу. В туннелях метрополитена сложность обуславливается еще и специфическими особенностями этих сооружений : глубиной заложения, ограниченным количеством наклонных туннелей и вертикальных шахт, выходящих на поверхность, влиянием вентиляции на газообмен пожара, наличием или отсутствием подвижного состава в туннеле и др. (рис.7.).
Наиболее рациональной схемой боевого развертывания является прокладка магистральных линии диаметром 77 мм, которые обеспечат подачу воды на тушение подвижного состава. Для обеспечения подачи расчитанного расхода волы необходимо установить на водоисточник два пожарных автомобиля с насосами ПН - 40.
Тушение пожаров на станциях метрополитена, особенно в период их работы, связано с необходимостью проведения сложных работ по эвакуации и спасанию людей, причем при пожаре на этих объектах возможны:
- наличие большого количества людей на станциях, переходах и эскалаторах, примыкающих к станциям, нуждающихся в оказании помощи;
- паника людей, находящихся на станции, и в примыкающих к ним помещениях;
- быстрое распространение нагретых до высокой температуры продуктов горения и заполнение ими объемов, как самих станций, так и переходов,
эскалаторных туннелей и верхних вестибюлей станций;
- угроза пассажирам, находящимся на платформах станций, в вагонах прибывшего поезда, в эскалаторных и переходных туннелях, соединяющихся со станциями и расположенными с ними на одном уровне или выше них;
- быстрое распространение огня по составу поезда, находящегося на
станции, в сторону движения вентиляционного потока;
- угроза распространения пожара из подземных сооружений в эскалаторные туннели и верхние вестибюли станций по горючей отделке эскалаторов;
- сложная планировка помещений при отсутствии достаточного количества входов;
- трудность доступа и сложность подачи средств тушения, особенно в туннели и на станции глубокого заложения;
- наличие в пределах станции и туннелей электросетей и электрооборудования, находящегося под высоким напряжением;
- угроза деформации и потери несущей способности конструктивных элементов;
В качестве средств связи, в зависимости от обстановке на пожаре,
необходимо использовать :
- местную телефонную связь и установки громкоговорящего оповещения метрополитена;
- средства связи, имеющиеся на вооружении пожарной службы, в том числе и мегафоны;
Наиболее надежным средством связи при работе в подземных сооружениях является проводная связь с использованием сигнально-переговорных устройств типа СПУ-3 и СПУ-3К. При работе необходимо, чтобы длина кабеля на катушке была достаточной для обеспечения продвижения отделения ГДЗС на максимально возможное расстояние по туннелю (до 1500 м). Так же возможно применение радиостанций "Виола Н", "Тантал".
В случае использования переносных радиостанций типа "Тюльпан" (61Р1) необходимо учитывать, что надежная связь возможна лишь на прямых участках туннеля на расстоянии 200-250 м. В эскалаторных туннелях радиосвязь обеспечивается в пределах прямой видимости.
Сложные условия тушения пожаров в сооружениях метрополитена могут потребовать частой замены личного состава ГДЗС. Это необходимо учитывать при определении продолжительности работы звеньев и создания резерва газодымозащитников.
Для обеспечения мест проведения работ по тушению пожара в метрополитене необходимо использовать имеющиеся на вооружении пожарной службы средства освещения, вывозимые на автомобилях связи и освещения. В первую очередь должны освещаться пути эвакуации людей из подземных сооружений метрополитена: эскалаторные туннели, места начала подъема и спуска по эскалаторам, платформа станции, путевые туннели, а так же верхний вестибюль станции.
При тушении пожаров в подземных сооружениях метрополитена руководителю тушения пожара необходимо руководствоваться требованиями Боевого устава пожарной службы (Приказ №140 ГУВПС МВД Беларуси), а именно статьями 257 – 265.
Ст. 257. Тушение пожаров в подземных сооружениях метрополитена связано с необходимостью проведения сложных работ по эвакуации и спасанию людей, привлечения большого количества сил и средств пожарной службы и сложностью в управлении ими.
258. При пожарах в подземных сооружениях метрополитена возможны:
- наличие большого количества людей на станциях, переходах, в вагонах электропоездов; возникновение паники;
- быстрое распространение огня и нагретых до высокой температуры продуктов горения по составу поезда в сторону движения воздушного потока;
- трудность доступа и сложность подачи огнетушащих веществ;
- наличие на станциях, в туннелях электросетей и энергооборудования, находящегося под высоким напряжением;
- нарушение устойчивой радиосвязи;
- возможность деформации и обрушения несущих конструкций.
259. При разведке пожара, кроме выполнения общих задач, необходимо установить:
- место нахождения подвижного состава, степень угрозы людям, кратчайшие пути и способы эвакуации, пути продвижения к очагу пожара;
- возможность использования внутреннего пожарного водопровода, а также специальных устройств, систем вентиляции для предотвращения распространения огня и продуктов горения;
- наличие угрозы распространения огня из подземных сооружений метрополитена в наземные.
260. При тушении пожара в подземных сооружениях метрополитена РТП обязан:
- организовать оперативный штаб на пожаре, обязательно включив в его состав ответственных представителей метрополитена. Для обеспечения координации действий всех служб, управления силами и средствами на пожаре создать оперативный штаб у места пожара и группы штаба на смежных станциях;
- разведку вести несколькими разведгруппами (звеньями ГДЗС) по всем направлениям возможного распространения огня и продуктов горения;
- немедленно организовать эвакуацию и спасание людей, используя для этого путевые, эскалаторные, вентиляционные и переходные туннели. В первую очередь использовать эвакуационные пути, расположенные ниже уровня (отметки) помещений, где происходит горение, и переходы на другие станции;
- тушение пожаров в туннелях и помещениях станций, где находятся установки под высоким напряжением, осуществлять после остановки движения поездов, снятия напряжения с контактного рельса, отключения электроустановок и предъявления письменного приказа о снятии напряжения дежурного по объекту;
- для безопасной эвакуации пассажиров, ограничения распространения огня, удаления дыма определить и организовать совместно со службой сантехники необходимый режим вентиляции;
- для предотвращения быстрого распространения пламени по подвижному составу подавать пену внутрь вагонов, организовав вывод негорящих вагонов из опасной зоны;
- направлять звенья ГДЗС для прокладки магистральных рукавных линий до разветвления и для прокладки рабочих рукавных линий от разветвления до очага пожара и от внутреннего водопровода;
- магистральные рукавные линии, кабели освещения и связи прокладывать по балюстрадам эскалаторов.
261. Для тушения пожара в подвижном составе, находящемся в туннеле, подачу огнетушащих веществ к очагу горения организовать со стороны движения вентиляционного потока.
262. На тушение пожара подавать ручные стволы "А", для защиты личного состава использовать водяные завесы в виде распыленных струй. Для тушения пожаров в эскалаторных наклонных туннелях, в подплатформенных помещениях, кабельных туннелях и в совмещенных тяговопонизительных подстанциях применять пену.
263. Для проведения разведки и тушения пожара в подземных помещениях (путевые туннели, тупики, совмещенные тяговопонизительные подстанции) использовать изолирующие противогазы со сроком защитного действия не менее 4 часов. Противогазы КИП-8 и АСВ-2 использовать при проведении работ в помещениях, расположенных в пределах подземных вестибюлей и посадочных платформ, а также в туннелях на расстоянии не более 200 метров от станции; необходимо иметь запасные кислородные баллоны и регенеративные патроны.
264. Для проведения спасательных работ необходимо создать (на станции, в туннеле) контрольно-пропускные пункты ГДЗС, где сосредоточить резервные отделения ГДЗС, запасы кислородных баллонов, регенеративных патронов, кислородно-изолирующих противогазов, приборов освещения и т.д.
265. В качестве средств связи в зависимости от обстановки использовать местную телефонную связь и установки громкоговорящего оповещения метрополитена, средства связи, имеющиеся на вооружении пожарной службы.
Разведка пожара.
Одним из сложнейших видов боевых действий подразделений по борьбе с пожаром в метрополитене является разведка пожара.
Большая протяженность туннелей, наличие тупиков, удаление пожара от поверхности земли, электроустановок под напряжением создают сложные условия для проведения разведки. Посты безопасности выставляются в местах пригодной для дыхания атмосферы без средств защиты (на станциях, в вестибюлях), где создаются запасы газодымозащитного оборудования, средств связи и освещения.
Учитывая сложность работы в подземных сооружениях, РТП должен создавать резерв личного состава ГДЗС, определять продолжительность их работы.
Памятка постовому поста безопасности ГДЗС.
При тушении пожаров звеньями ГДЗС в подземных сооружениях Минского метрополитена необходимо помнить:
- звено ГДЗС должно состоять не менее из 5 чел.
- экипировка: фонари, лом, сцепка, средства связи, иметь 100 % запас воздуха, 2 комплекта ключей 24*27 (для замены баллонов с кислородом и химпоглотителем
- максимально допустимое расстояние в глубину по туннелю в КИП-8 не должно превышать 250-300 м с учетом выполняемых нагрузок;
Постовой поста безопасности обозначает свое место работы у входа в задымленное помещение (вход в метро, вход в туннель).
Спасание людей и материальных ценностей.
Основными путями эвакуации людей из подземных сооружений метрополитена являются: наклонный эскалаторный туннель и примыкающие к нему переходы и лестницы, а также туннели, подземные переходы между станциями вентиляционные шахты.
При возникновении пожара на станции движение поездов прекращается (за исключением пожара в эскалаторном туннеле), а станция закрывается для входа пассажиров. Причем, движение поездов прекращается после того, как поезда, находящиеся на перроне, проследуют эту станцию без остановки.
Эвакуация пассажиров должна производиться прежде всего по эскалаторам на поверхность или по переходам на другую станцию.
Расчетное время эвакуации 680 пассажиров (4 вагонов по 170 пассажиров в каждом) со станции мелкого заложения при работе двух эскалаторов, длиной по 10 м каждый, на подъем со скоростью движения 0.9 м/с составляет около 3 минут.
При возникновении пожара на станции движение поездов прекращается, а станция закрывается для входа пассажиров. Пассажиры, находящиеся на станции, удаляются по эскалаторам на поверхность. При возникновении пожара в поезде, находящемся на станции, поездная бригада открывает двери вагонов и высаживает пассажиров. Пассажиры эвакуируются по эскалаторам на поверхность. При невозможности вывода поезда на станцию, принимаются меры к выводу пассажиров из туннеля в свежем вентиляционном потоке воздуха при снятии напряжения с контактного рельса.
Во всех случаях эвакуации пассажиров со станции по эскалатору должен быть обеспечен вентиляционный режим, устраняющий возможность задымления эскалаторов и лестниц.
В настоящее время проблема обеспечения безопасной эвакуации людей при пожаре подвижного состава в перегонных тоннелях метрополитена в часы «пик» является нерешенной. Трагическим подтверждением этого является происшедший в 1995 г. пожар в Бакинском метрополитене, который сопровождался массовой гибелью и травмированием людей (погибло 286 чел., более 300 чел. травмировано).
В связи с этим были произведены исследования условий обеспечения безопасной эвакуации пассажиров при пожаре остановившегося в тоннеле подвижного состава метрополитена.
Основное условие обеспечения безопасности людей на любом объекте, в соответствии с нормативным документом, состоит в том, чтобы эвакуация из него была завершена до момента блокирования эвакуационных путей в результате распространения на них опасных факторов пожара (ОФП), имеющих для людей предельно допустимые значения.
Требование безопасности формулируется в виде выражения:
t>э><τ>бл>
где t>э> - время эвакуации людей;
τ>бл> - время от начала пожара до блокирования путей эвакуации.
Время блокирования путей эвакуации определяется временем достижения ОФП критического значения по формуле:
τ>бл> = 0,8τ>кр>
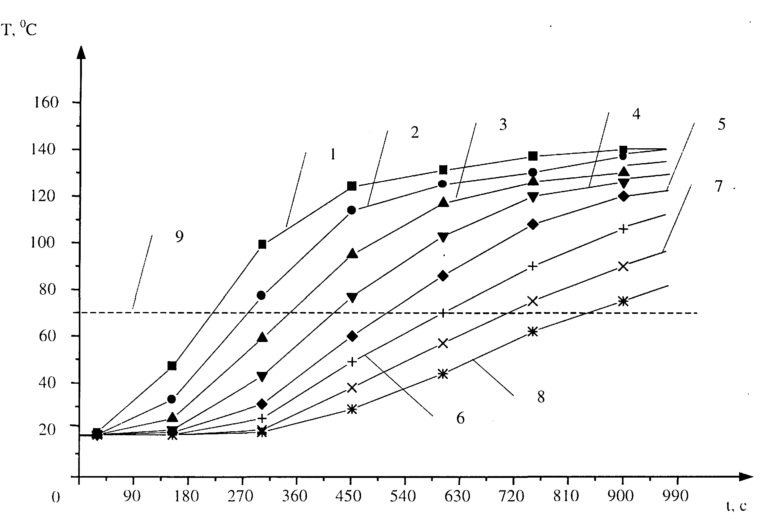
Анализ результатов экспериментов, проведенных в Санкт-Петербургском филиале ВНИИПО в течение 1985 - 1992 гг., показал, что при наиболее жесткой динамике развития пожара (пожар в кабине управления) ОФП, определяющим его критическую продолжительность, является температура. Критическое значение температуры (70 °С) может быть определено как по результатам натурных экспериментов, так и путем математического моделирования. Однако для зоны пожара, находящейся в пределах аварийного вагона, наиболее достоверными являются данные, полученные в результате натурных экспериментов.
На рис. 8 представлены экспериментальные зависимости времени достижения критических значений температур по длине аварийного вагона на путях эвакуации в тоннеле, полученные при сжигании вагона метрополитена в натурном макете перегонного тоннеля.
Анализ данных зависимостей показал, что зона с критическими температурами (возле двери, ближайшей к очагу) формируется на 5-й минуте, а ее распространение в проходе на всю длину вагона заканчивается к 13-й минуте, т.е. на всю длину вагона эта зона распространяется в течение 8 мин. Средняя скорость распространения зоны с критическим значением опасного фактора пожара составляла 1,5 м мин-1, что совпадает со скоростью распространения пожара в вагоне.
Следует отметить, что данный вывод распространяется только на участок тоннеля с аварийным вагоном, так как на стыке аварийного и смежного с ним вагона происходит некоторая задержка распространения горения, но при этом продолжается распространение ОФП в тоннеле.
В связи с отсутствием экспериментальных данных по распространению горения по подвижному составу в целом, для проведения расчетов температуры была использована квазидвухмерная математическая модель пожара подвижного состава в тоннеле метрополитена, разработанная в филиале ВНИИПО. Обработка результатов расчетов по данной модели позволила определить изменение температуры в перегонном тоннеле на уровне рабочей зоны в ходе распространения пожара на 2-й и последующие вагоны в зависимости от времени и продольной координаты (см. рис. 9).

Рис. 8. Зона распространения критической температуры в тоннеле вдоль аварийного вагона на путях эвакуации. 1 - распространение критической температуры в тоннеле вдоль боковых стенок вагона (термопары 1, 3, 5, 7, 9); 2 - распространение критической температуры в тоннеле в зоне открытых дверей (термопары 2,4,6,8); 3 - место расположение термопары; 4 - номер термопары.

Рис. 9. Изменение температуры в перегонном тоннеле на уровне рабочей зоны при развитом пожаре в салоне вагона.
1 - температура на стыке аварийного (вагон 1) и смежного (вагон 2) с ним вагона;
2 - температура на стыке 2 и 3 вагонов; 3 - температура на стыке 3 и 4 вагонов;
4 -температура на стыке 4 и 5 вагонов; 5 - температура на стыке 5 и б вагонов;
6 - температура на стыке 6 и 7 вагонов; 7 - температура на стыке 7 и 8 вагонов;
8 - температура за 8 вагоном; 9 - критическое значение температуры.
Таким образом, в результате анализа результатов экспериментальных исследований и проведения расчетов было получено распределение критической температуры среды в тоннеле по длине подвижного состава на путях эвакуации пассажиров.
Время эвакуации пассажиров определяется, исходя из следующего выражения:
t>э> = t>нэ> + t>р>
где t>э> - интервал времени от возникновения пожара до начала эвакуации пассажиров.
В связи с тем, что выходы из подвижного состава в тоннель и участки движения людей в тоннеле не соответствуют требованиям, предъявляемым к эвакуационным путям, параметры движения людского потока отличаются нормативных параметров. Поэтому для определения параметров движения людских потоков были проведены экспериментальные исследования процесса вынужденной эвакуации людей из вагонов подвижного состава.
Для оценки влияния условий эвакуации, аварийных ситуаций и других факторов на продолжительность эвакуации пассажиров была разработана математическая модель и программа расчета времени движения пассажиров из подвижного состава, остановившегося в тоннеле.
В математическую модель были включены данные, полученные в ходе проведения экспериментальных исследований по определению параметров движения пассажиров из остановившегося в тоннеле подвижного состава. Ее отличие от других моделей заключается в том, что скорость движения пассажиров определялась с учетом переменной плотности людского потока на участках эвакуационного пути.
Графические зависимости, характеризующие выполнение условия безопасности при пожаре в головной (хвостовой) части восьмивагонного подвижного состава в перегонном тоннеле метрополитена в часы «пик», приведены на рис. 10. При этом была принята максимальная «наполняемость» вагона (часы «пик»). Анализ данных, приведенных на рис. 10, показал, что безопасность пассажиров не обеспечивается как при односторонней эвакуации пассажиров по перегонному тоннелю, так и при двусторонней. При односторонней эвакуации условие безопасности не выполнялось в зоне второго вагона, при двусторонней эвакуации - в зоне четвертого вагона от очага пожара.
В связи с этим было рассмотрено влияние объемно-планировочных решений перегонных тоннелей, конструкции вагона и других технических мероприятий на процесс эвакуации людей при пожаре.
Результаты расчетов показали, что:
• безопасной является эвакуация при расположении не менее 2 сбоек шириной 0,9 м на два вагона или не менее 1 сбойки шириной 1,8 м на четыре вагона подвижного состава;
• пропускная способность (и, следовательно, ширина) соединительной сбойки должна быть не менее пропускной способности двух проходов между вагоном и стеной тоннеля;
• при организации эвакуации пассажиров только внутри подвижного состава путем перехода людей из вагона в вагон, их безопасность не обеспечивается уже во втором вагоне. Поэтому проход через вагоны может использоваться в дополнение к основным путям или при незначительном количестве пассажиров в вагонах подвижного состава.
Обеспечение безопасной эвакуации также в значительной мере зависит от времени t>н.э> , которое определяется организационно-техническими мероприятиями, выполняемыми персоналом метрополитена при пожаре подвижного состава, остановившегося в тоннеле. По статистическим данным Службы движения Санкт-Петербургского метрополитена и результатам анализа аварийных ситуаций время для выполнения работ до начала эвакуации составляет от 10 до 15 мин. Поэтому уже до начала эвакуации не обеспечивается безопасность пассажиров, находящихся в аварийном вагоне (рис. 10, кривая 1).
Таким образом, результаты исследований [ ] показали, что:
1. При пожаре подвижного состава в перегонном тоннеле метрополитена безопасность пассажиров аварийного вагона при существующей схеме снятия напряжения с контактного рельса не обеспечивается уже до начала процесса эвакуации.
2. Безопасность пассажиров в перегонных тоннелях не может быть достигнута применением одного из способов обеспечения пожарной безопасности объекта.

Рис. 10. Распределение времен распространения опасной зоны и эвакуации пассажиров по длине тоннеля при пожаре подвижного состава:
1 - необходимое время эвакуации пассажиров; 2 - время эвакуации при одностороннем движении пассажиров; 3 - время эвакуации при двустороннем движении пассажиров; 19,2 м - длина вагона метрополитена по осям автосцепок.
Обеспечение пожарной безопасности людей при их эвакуации из перегонных тоннелей достигается применением комплекса мероприятий таких, как :
изменение объемно-планировочных решений перегонных тоннелей, конструкций вагона подвижного состава и соединительных сбоек;
внедрение систем автоматики, сигнализации, централизации и блокировки, позволяющих оперативно начать эвакуацию людей в тоннель из поезда;
внедрение технических средств оповещения и управления эвакуацией людей на подвижном составе метрополитена.
1.4.4. Действия должностных лиц метрополитена.
Первоначальные действия должностных лиц метрополитена до прибытия пожарной службы должны быть направлены на выполнение организационно технических мероприятий, обеспечивающих своевременную и безопасную эвакуацию пассажиров, а также тушение пожара имеющимися силами и средствами.
Обнаружение пожара.
Оповещение поездного диспетчера.
Оповещение пассажиров.
Организация эвакуации пассажиров и тушение огнетушителями.
Действия диспетчера электромеханической службы : создать или изменить режим работы вентшахт, обеспечение безотказных действий туннельного водопровода, водоотливных устройств и их готовность.
Действия диспетчера электротехнической службы : снимает напряжение по приказу поездного диспетчера, дает уведомление о снятии напряжения.
1.4.5.Организация и действия штаба пожаротушения.
Для успешной ликвидации пожара и проведения спасательных работ на станциях, в туннелях и на других подземных и надземных сооружениях метрополитена создают штаб, в состав которого входят :
руководитель штаба по ликвидации пожара и проведению спасательных работ, которого назначают из ответственных лиц управления метрополитена;
группа инженерно-технического персонала служб метрополитена;
руководитель тушения пожара (РТП).
Штабу по ликвидации пожара подчиняются все службы метрополитена привлекаемые для ликвидации пожара и проведения спасательных работ. Прибывшие подразделения пожарной охраны подчиняются только РТП.
Все действия по тушению пожара РТП (до организации штаба по ликвидации пожара) согласует с руководством (администрацией) или дежурным персоналом объекта метрополитена (рис.11).
Администрация объекта, на котором произошел пожар, представляет руководителю штаба и РТП схемы сооружений объекта и указывает пути подхода к месту пожара (аварии), возможные пути эвакуации людей. Допуск личного состава пожарных подразделений в туннели и помещения станций, где находятся электроустановки, производится начальником объекта или ответственным дежурным:
в помещения - после снятия напряжения с электроустановок;
в туннели - после остановки движения поездов, снятия напряжения с контактного рельса и предъявления посменного приказа о снятии напряжения.
При тушении пожара на станциях или в туннелях руководитель штаба совместно с РТП обязан :
все принимаемые решения по тушению пожара и проведению спасательных работ согласовывать с начальником штаба аварийно-спасательных работ метрополитена, а до организации штаба - с дежурным по станции;
в случае угрозы немедленно организовать спасание людей по путевым, эскалаторным, вентиляционным и переходным туннелям. В первую очередь необходимо использовать эвакуационные пути, расположенные ниже уровня (отметки) помещений, где происходит горение;
уточнить число людей оставшихся в сооружениях метрополитена, обстановку и места возникновения пожара через представителей администрации, пути эвакуации, предотвратить панику;
организовать в различных направлениях несколько разведывательно-спасательных и поисково-спасательных групп работы из числа газодымозащитников численностью не менее 5 человек каждая группа, имеющих при себе переговорные устройства;
организовать посты безопасности или контрольно-пропускные пункты, назначив ответственных из числа начальствующего состава;
независимо от размеров пожара организовать оперативный штаб тушения пожара с обязательным включением в его состав ответственных представителей метрополитена;
установить связь со службами метрополитена и городскими службами (эскалаторной, движения и подвижного состава, сантехники, электростанций и сетей туннельных сооружений, милиции, водоснабжения и др.);
принять меры к отключению силовых установок, устройств и кабелей, получить письменное разрешение (подтверждение) о снятии напряжения и допуска л/с к выполнению работ по тушению;
постоянно поддерживать связь с ЦППС, информируя об обстановке пожара;
применять меры к отключению силовых остановок, устройств и кабелей;
организовывать на месте пожара медицинскую помощь и назначить из лиц среднего или старшего начальствующего состава ответственного за соблюдение мер безопасности;
для осуществления связи с работающими в туннелях звеньями ГДЗС использовать телефонную связь диспетчера станции по телефонным аппаратам, установленным через каждые 100 м на стене туннеля, а также дляотдачи экстренных распоряжений и указаний работающим в туннеле использовать громкоговорящую установку, динамики которой расположены через каждые 150 м по туннелю;
при сильном задымлении совместно со службой сантехники организовать удаление дыма с использованием вентиляционных остановок метрополитена. При недостаточно эффективной работе вентиляционных установок применять (если имеются в гарнизоне) дымососные станции, перевозимые или переносные дымососы;
организовывать постоянное наблюдение за поведением несущих конструктивных элементов;
при продолжительных пожарах и высокой температуре, если есть угроза обрушения конструкций, для обеспечения безопасности удалить из опасной зоны личный состав пожарных частей и обслуживающий персонал, не занятый работой по тушению пожара;
для тушения пожара использовать в первую очередь внутренний противопожарный водопровод;
одновременно с действиями по тушению интенсивно охлаждать несущие конструкции;
при сильном задымлении, взаимодействуя со службой сантехники, организовать удаление дыма с использованием вент. установок метрополитена и переносных дымососов ПД-7, ПД-30;
для предотвращения быстрого распространения пожара по подвижному составу подавать воздушно-механическую пену внутрь вагона, а при необходимости организовать вывод негорящих вагонов из угрожаемой зоны;
при возникновении пожара подвижного состава в перегонном туннеле предусматривается ввод сил и средств на обе станции;
- иметь в постоянной готовности резерв сил и средств; звенья ГДЗС в составе 5 человек направлять в зону работ при наличии 100 % резерва кислородных баллонов и средств связи;
для прокладки рукавных линий и подачи стволов на тушение организовать : водоподающие и оперативные группы, каждая из которых должна состоять не менее чем из пяти газодымозащитников (водоподающие группы прокладывают магистральные рукавные линии до разветвлений, оперативные группы – рабочие рукавные линии от разветвлений до очага пожара).
Необходимо помнить, что:
предельное расстояние от станции к очагу для газодымозащитника с АСВ равно 250-300 м, расход воздуха при выполнении средних нагрузок (переноска рукавов, грузов) равен 4.5 - 5 кгс/см 52 0, т.е. 10-15 атм.;
с учетом уровня залегания станции напор на насосе пожарного автомобиля необходимо снижать на 1.5-2 атм.;

Ш
таб
АСР


Службы метрополитена
С
Службы метрополитена
лужбы метрополитена РТП Службы города 
ШПТ




Н





Ш
Н
Т
Руководитель
Руководитель НКПП

поисково-спасатель-
группы тушения
ными
работами





Водоподающая НБУ-1,2 НБУ 3,4 Заправщик
группа воздуха




Звенья Звенья Звенья Звенья Звенья
ГДЗС ГДЗС ГДЗС ГДЗС ГДЗС
Рис. 11. Структурная схема управления подразделениями при тушении.
Тушение пожара в подвижном составе.
При тушении пожара в подвижном составе, находящемся в туннеле, учитывают, что подача огнетушащих средств к очагу горения возможна только со стороны движения свежего вентиляционного потока воздуха. В связи с этим, управляя вентиляционными потоками, обеспечивают подходы к очагу горения со стороны ближайшей станции. Если подвижный состав находится в туннеле, проникнуть к зоне горения можно только в пространстве между вагонами и обделкой туннеля. Это ограничивает подачу необходимого числа стволов. Для подачи воды в таких условиях применяют стволы «А», а для защиты личного состава – водяные завесы в виде распыленных струй.
При использовании внутреннего противопожарного водопровода в подземных сооружениях для наиболее полного отбора воды открывают задвижки на обводных линиях в водомерном и редукционном узлах.
В метрополитенах с ограниченными протяженными путями подхода к очагу пожара прокладка магистральных линий по наклонным эскалаторным туннелям, вертикальным шахтам, перегонным туннелям связана с большими трудностями и требует значительного времени.
При пожарах в туннелях и на станциях метрополитена как мелкого, так и глубокого заложения магистральную рукавную линию прокладывают до платформы станции с установкой разветвления, при этом во всех случаях предусматривают прокладку резервной магистральной линии. При наличии в эскалаторных туннелях и на станциях сухотрубов для подачи огнетушащих средств их используют в первую очередь.
1.5.1.Способы прекращения горения.
Основные способы прекращения горения в подземных сооружениях метрополитена – поверхностное и объемное тушение водой и пенами высокой и средней кратности. Эти способы тушения выполняют различными тактическими приемами в зависимости от специфических особенностей подземных сооружений, обстановки на пожаре и оснащенности пожарных подразделений.
Из-за особенностей развития пожаров в подземных сооружениях (высокая температура на путях введения сил и средств, задымление) необходимо применять огнетушащие средства для охлаждения продуктов горения, защиты сооружений на путях распространения нагретых газов и снижения задымленности помещений.
В ходе анализа работы подразделений по ликвидации аварий, тушению очага пожара выявилась необходимость создания специальной аварийно-спасательной техники для облегчения работы подразделений МЧС, спасания людей, прокладке магистральных рукавных линий в непригодной для дыхания среде при непрерывном тушении пожара и руководстве за проведением данных работ. Для того, чтобы обеспечить прибытие пожарных подразделений в минимально короткий срок к месту аварии (около 11 минут с момента вызова), оптимальному использованию сил и средств пожарной службы, мы предлагаем использовать пожарный аварийно-спасательный поезд.
Выбор и характеристика вагона.
Спроектирован поезд аварийно-спасательный пожарный в основе которого положен стандартный вагон метрополитена типа Е (см. приложение).
Вагон метрополитена модель 81-714 и 81-717 (ГОСТ 18226-72) относится к вагонам самоходного типа, моторный со всеми ведущими осями и предназначен для перевозки пассажиров нм линиях метрополитена, оборудован 3-мм токоведущим рельсом с номинальным напряжением U=825 В (U>min> = 550В). Общие требования к ним в основном такие же, как и к пассажирским вагонам локомотивной тяги (рис. 12). Основные конструктивные решения вагонов выбирают исходя из назначения данного подвижного состава и учитывая требования технико-экономических показателей.
Вагон модели 81-717 – головной, выполнен с кабиной управления, оборудован двигателем типа ДК-117 номинальной мощностью 110 кВт, преобразователем БПСН-5У2 для питания низковольтных цепей и освещения салона и принудительной вентиляцией.
Вагон приспособлен для установки аппаратуры систем авто-управления ведения поезда. Кузов вагона – цельносварной. Внутренние поверхности металлоконструкций кузова имеют антикоррозионное и противошумовое покрытие. Входные двери вагона имеют централизованное управление, а также соответствующую сигнализацию, информирующую машиниста (водителя) о закрытом положении дверей. Кроме этого вагоны должны быть оборудованы устройствами, допускающими возможность одновременного открытия всех переходных дверей из кабины машиниста. Форма сидений эргономически обоснован, крепления сидений рассчитаны на возможные инерционные силы. Для окон применяются безосколочные стекла типа «Сталинит». В конструкциях пола, стен и потолка вагона предусмотрена соответствующая термоизоляция. Пол, двери и перегородки вагона имеют предел огнестойкости не менее 35 минут. Вагон оборудован электродинамическим реостатным или реостатно-рекуперативным тормозом. Параметры тягового оборудования и энергетические показатели вагона выбираются исходя из требований расчета режима движения.
2.1. Тактико-технические характеристики вагона
(модель 81-717) ТУ 37.001.800-77
Ширина колеи…………………………………..1520 мм
Количество мест для сидения …………………40
Вместимость (расчетная)……………………….220 чел.
Масса вагона (тара)……………………………..34 т
База, мм
вагона по осям сцепления автосцепок………19210
кузова снаружи………………………………..18840
Ширина, мм
вагона снаружи (без гарпов)…………………2670
входных дверей……………………………….1208
Высота вагона от уровня головок рельсов…….3662 мм
Масса (тара) на 1 место для сидения …………..0,85 т
Тип тягового двигателя………………………….ДК-117
Часовая мощность тяговых двигателей…………440 кВт
Ускорение пуска……………………………….…1,2 м/с2
Замедление при торможении ……………………1,2 м/с2
Конструкционная скорость ………………………90 км/ч
Время разгона со стоянки до 60 км/ч……………15 с.
.Оборудование аварийно-спасательного поезда.
Предлагаем оставить четыре двери, убрать форточки, уменьшить площадь остекления (см. приложение). Для облегчения работы личного состава гарнизона ВПС данный пожарный поезд вывозит около 1100-1200 м рукавов 77мм для прокладки магистральной линии из специально предназначенных кассет, в которых рукава уложены в «гармошку». Оборудуем отверстия для забора воздуха на крыше вагона и в системе вентиляции устанавливаем фильтры для очистки воздуха от продуктов горения. Ячейковые фильтры ЛАИК, предназначены для улавливания очень тонкодисперсной пыли и бактерий, обладает эффективностью очистки 100% (проскок взвешенных частиц размером 0,1..0,3 мкм через фильтры не превышает 0,01..0,03%). Фильтрующим материалом служит материал ФП, который представляет собой слой ультратонкого химического волокна, уложенного на марлевую подложку. Фильтрующий материал не регенерируется (не восстанавливается). [ 14 ]
Перемещение и маневр поезда на обесточенном участке пути происходит от аккумуляторных батарей. Для того, чтобы не загромождать проходы, аккумуляторные батареи располагаем под сидениями.
Поезд вывозит в своем составе:
20 аппаратов на сжатом воздухе АСВ-2 (в соответствии с требованиями Приказа №182 «Об утверждении Наставления по
газодымозащитной службе»);
10 огнетушителей ОП-10;
ручной пневматический аварийно-спасательный инструмент;
рукава 77мм в кассетах (60 рукавов);
рукава 51 мм (20 рукавов);
стволы РСК-50 и РС-70 (по 2 шт.);
разветвления РТ-70 (2 шт.);
10 комплектов теплоотражательных костюмов ТК-1500;
фонари (4 шт.);
лом пожарный легкий (2 шт.);
носилки для транспортировки пострадавших (6 шт.);
медицинский комплект (10 шт.);
радиостанция (4 шт., из них одна - стационарная);
блок аккумуляторных батарей;
зажимы рукавные (8 шт.);
седло рукавное (8 шт.);
Расположение поезда на путях.
Для тушения пожаров в подземных сооружениях метрополитена предлагается две схемы размещения пожарных аварийно-спасательных поездов :
Поезда располагаются только на конечных станциях в тупиках.
Расположение поездов не только на конечных станциях в тупиках, но и на специально сконструированных для этого дополнительных ответвлениях от основной ветки.
Рассмотрим
каждую из схем .





















а) б)
Рис.13. Расположение поезда в тупиках.
При расположении поезда (рис.13,а) не требуется больших материальных затрат на устройство отдельной ветки для его расположения, однако эта схема малоэффективна. Это связано с тем, что в случае возникновения пожара один, а может быть и два спасательных поезда могут быть отрезаны находящимися на ветке в данный момент составами от места горения. Для того, чтобы провести разводку поездов находящихся в данный момент на линии потребуется определенное количество времени (около 10 минут). За это время пожар примет развитую форму. Кроме того, концентрация вредных для органов дыхания человека веществ в воздухе может достичь критического значения, что приведет к немалым человеческим жертвам и крупному материальному ущербу. Кроме того, температура внутри туннеля к этому моменту времени будет достигать 800 – 10000С, что создаст определенного рода трудности при проведении первоочередных аварийно – спасательных работ. Необходимо также учитывать, что критическая температура, которую может выдержать человеческий организм, колеблется в пределах 50- 600С, а далее наступает тепловой удар. Паника, возникшая в результате аварии, а также то, что для проведения боевого развертывания и подачи стволов первой помощи необходимо около 15 минут также усугубляет ситуацию.
Наиболее целесообразно применять вторую схему. Преимущество второй схемы (рис.13,б) перед первой :
- время прибытия аварийно-спасательного поезда при аварии уменьшается на 9 минут (см. расчеты ниже), даже если поезда оказываются отрезанными от очага горения. Наличие дополнительной ветки позволяет улучшить маневренность спасательного поезда, а, следовательно, уменьшает время прибытия к месту пожара. Этот вариант расположения пожарного спасательного поезда требует больших финансовых затрат на оборудование дополнительных путей и изменения конструкции туннеля.
Действия боевого расчета проектируемого поезда
Боевой расчет пожарного аварийно-спасательного поезда (4 пожарных, командир звена, машинист, медик) находится в служебном помещении в непосредственной близости от поезда. При поступлении сигнала тревоги личный состав вместе с машинистом занимают места в головном вагоне, где находится боевая одежда и снаряжение пожарных. Вместе с движением с движением вагона осуществляется прокладка магистральной рукавной линии (скорость движения около 10 км/час) от ближайшей к месту пожара станции до места установки разветвления. Поисково-спасательная группа поезда проводит разведку и первоочередные аварийно-спасательные работы и эвакуацию людей из зоны задымления. К этому времени гарнизон ВПС прибывает к месту вызова, устанавливают автомобили на водоисточники и подают воду в ранее проложенную магистральную линию. Действия штаба пожаротушения, персонала метрополитена и других служб спасания аналогичны вышеуказанным. После эвакуации звено, в зависимости от обстановки продолжает тушение вывозимыми огнетушителями, либо присоединяют к разветвлению рабочие рукавные линии со стволами.
Теоретический расчет сил и средств с применением поезда.
Для сравнения качества работ по спасанию людей и ликвидации пожара проведем теоретический расчет сил и средств при следующих условиях :
а) Личный состав гарнизона работает без применения данного поезда, т.е. в обычных условиях. Также принимаем, что авария произошла на середине самого длинного перегона, состав вывести на станцию невозможно. К моменту прибытия пожарных подразделений в туннеле создалось сильное задымление.
Время свободного развития пожара будет состоять из суммы времени обнаружения (1мин.), времени сообщения о пожаре (2 мин.), времени следования к месту пожара (7мин.) и времени боевого развертывания ( из расчета 1,5 мин. на каждые 100м горизонтального пути) и будет составлять 26,5 мин. Определим путь пройденный пламенем за данное время : R = V>л>*(-5) = 1*(26,5-5) = 21,5 м, т.е. на момент введения первых стволов огнем будет охвачен 1 вагон полностью и пламя перекинется на два рядом расположенных вагона.
Площадь пожара равна (прямоугольная форма) S>п>=21,5*2,7 = 58,05 м2
Требуемый расход воды на тушение : Q>тр>т = I>тр>т *S>п >=0,12*58,05 = 7 л/с
Количество стволов для тушения N>ст>т = Q>тр>т/q>ст> = 7/3,5 = 2 ств.«Б»
Количество стволов на защиту из тактических соображений принимаем равным 2.
Общий фактический расход воды на тушение составляет 14 л/с.
Для тушения привлекается следующее число личного состава :
звенья для тушения пожара – 20 чел;
пост безопасности – 4 чел;
поисково-спасательные группы- 30 чел;
водоподающая группа- 19 чел.;
резерв – 40 чел;
Итого для тушения пожара и проведения поисково-спасательных работ привлекается 113 человек.
Число отделений привлекаемых для тушения равно N>отд>=113/4=29 отд.
Номер вызова сил и средств (для Минского гарнизона) – 5-ый.
б) Для тушения пожара используется проектируемый поезд (расположение по схеме а, см. рис.10). Условия развития пожара такие же, как в рассматриваемом выше пункте а).
Один из спасательных поездов оказывается полностью отрезан от очага пожара тремя электропоездами, и его не имеет смысла вводить в действие, так как одновременно на линии могут находиться только 4 электропоезда. В этом случае маневр на путях затруднителен, развести поезда на ветках метрополитена практически невозможно. Если производить развод поездов, то время прибытия аварийно-спасательного поезда к месту пожара составит : 10 мин. – на разводку, 4 мин. – следование по незадымленной зоне туннеля, 6,6 мин – по задымленной зоне; общее время – 20,6 мин, т.е. использовать этот поезд неэффективно. За это время пожарный поезд находящийся на противоположном тупике прибудет к месту аварии, проведет аварийно спасательные работы и эвакуирует половину спасаемых людей. Силы и средства не вводятся одновременно с двух сторон, что противоречит Приказу №182.
в) Для тушения пожара используется проектируемый поезд (расположение по схеме б, см. рис.10). Условия развития пожара такие же, как в рассматриваемом выше пункте а).
В случае возникновения аварии на том же перегоне оба аварийно-спасательных поезда оказываются отрезанными двумя составами от очага горения. В данном случае обеспечивается маневренность поездов и разводка поездов за 2 минуты; т.е. поезд, прибывший в район станции метрополитен «Автозаводская» переводится на параллельную ветку и пожарный поезд выходит из тупика. К месту пожара он будет следовать :
>сл> = >сл1 >+>сл2>+>сл3 >,
где >сл1 >– время на разводку вагонов (2мин);
>сл2 >– время движения при скорости 90 км/ч (незадымленная зона);
>сл3>– время движения при скорости 10 км/ч (задымленная зона);
>сл2 >= 1,5/90*60 = 1 мин.
>сл3 >= 1,1/10*60 = 6,6 мин.
>сл> = 2+1+6,6 = 9,6 мин.
Второй аварийно спасательный поезд находящийся на запасной ветке станции метрополитена «Октябрьская» к месту аварии будет следовать :
>сл> = >сл1 >+>сл2>+>сл3 >,
>сл1 >= 1,8/90*60 = 1,2 мин.
>сл2 >= 6/90*60 = 4 мин.
>сл3>= 1,1/10*60 = 6,6 мин.
>сл> = 1,2+4+6,6 = 11,6 мин.
Как видим, оба поезда практически одновременно быстро прибывают к месту аварии и приступают к спасанию людей.
Определим путь пройденный пламенем за данное время : R = V>л>*(-5) = 1*(11,6-5) = 6,6 м.
Площадь пожара равна (прямоугольная форма) S>п>=6,6*2,7 = 17,82 м2
Требуемый расход воды на тушение : Q>тр>т = I>тр>т *S>п >=0,12*58,05 = 7 л/с
Количество стволов для тушения N>ст>т = Q>тр>т/q>ст> = 7/3,5 = 2 ств.«Б»
Количество стволов на защиту из тактических соображений принимаем равным 2.
Вместимость двух поездов позволяет эвакуировать сразу же всех людей находящихся в горящем поезде. Примерно к 22-24 минуте после возникновения пожара все люди будут эвакуированы, а с 20 минуты личный состав приступит к тушению пожара водяными стволами.
Для тушения со спасательным поездом привлекается следующее число личного состава :
звенья для тушения пожара – 20 чел;
пост безопасности – 4 чел;
водоподающая группа-6 чел.;
поисково-спасательные группы 10 чел;
резерв – 20 чел;
Итого для тушения пожара и проведения поисково-спасательных работ привлекается 54 человек.
Число отделений привлекаемых для тушения равно N>отд>=60/4=15 отд.
Номер вызова сил и средств (для Минского гарнизона) – 4-ый.
Расчет механизмов.
Тяговая передача. Подвеска редуктора.
Устройство и принцип действия.
Тяговая передача предназначена для передачи вращения с вала тягового двигателя на ось колесной пары (рис.14.) Тяговая передача состоит из тягового редуктора 3, смонтированного на оси колесной пары 4, и карданной муфты 2, соединяющей вал тягового двигателя 1 с валом редуктора.
В редукторе применяется косозубая передача. Применение косозубых передач по сравнению с прямозубыми имеет то преимущество, что в зацеплении находятся одновременно не менее двух зубьев, что уменьшает нагрузку на них; передача приобретает спокойный без ударов ход, снижается уровень стука. Профили рабочих поверхностей зубьев очерчены по эвольвенте, что упрощает изготовление шестерен путем нарезания их червячными фрезами.


































































1
4 2 3
Рис.14 . Тяговая передача.
Ведущая шестерня выполнена заодно с валом и соединена через карданную муфту с валом двигателя. Ведомое колесо напрессовано на удлиненную ступицу первого колесного центра.
Кинематический расчет двигателя вагона.
Кинематический расчет начинаем с определения общей массы поезда и проводим для двух режимов работы : стационарного (V=90 км/ч) и аварийного (V=10 км/ч). Согласно технической характеристике масса вагонов поезда будет составлять 70,04 т. Общая вместимость состава – 510 чел. Учитывая массу оборудования и людей общая масса состава равна М = 510*100+70040+6000 = 127040 кг.
КПД мотор-редуктора равно 0.9, тогда при движении к месту пожара со звеном ГДЗС необходимая мощность, развиваемая двигателем составит : N>1> = P>1*>V>1>/102* = 760400*25/102*0,9 = 207081 Вт 210 кВт.
Согласно технической характеристике принимаем два стандартных двигателя.
Мощность в аварийном режиме работы при движении от места пожара, когда масса поезда равна 127040 кг :
N>2> = P>2*>V>2>/102* = 1270400*2,8/102*0,9 = 38750 Вт 40 кВт.
В соответствии с требованиям предъявляемым к вагонам метрополитена определим усилия, развиваемые на колесе двигателя.
При стационарном режиме движения удельное сопротивление вагона равно : = 1,1+(0,09+0,022m)*V2/Q = 1,1+(0,09+0,022*2)*902/76,54 = 15,3 кгс/тс,
где - удельное сопротивление состава, кгс/тс;
m – число вагонов;
V – скорость движения, км/ч;
Q - расчетный вес поезда ,тc.
Необходимая сила тяги на ободе колеса равна : F>к>> >= {102*(1+)*a+}*Q,
где а – заданное ускорение разгона, м/с2
1+ - коэффициент инерции вращающихся частей, ориентировочно принимают 1,1;
F>к >= (102*1,1*1,3+15,3)*76,54 = 12335,2 Н.
Сила тяги, развиваемая одним двигателем :
F>кд >= F>к >/m = 12335,2/2 = 6167,6 Н.
Мощность развиваемая одним двигателем :
N>кд >= F>кд >*V/367 = 6167,6*90/367 = 1512,5
При аварийном режиме движения данные параметры будут иметь следующие значения :
= 1,1+(0,09+0,022m)*V2/Q = 1,1+(0,09+0,022*2)*102/127,04 = 1,2
F>к>> >= {102*(1+)*a+}*Q = (102*1,1*1,3+1,2)*127,04 = 176,5 Н.,
F>кд >= F>к >/m = 176,5/2 = 88,25 Н.
N>кд >= F>кд >*V/367 = 88,25*10/367 = 2,4
ВЫВОД
В ходе разработки данного проекта была проанализирована информация инспекции ГПН на метрополитене, Минского городского управления при МЧС Республики Беларусь, теория и примеры тушения пожаров в подземных сооружениях метрополитена, требования Боевого устава пожарной службы, Строительных норм и правил, инструкций и другой нормативной документации.
На основе расчетов и сопоставлений доказано, что применение пожарного аварийно-спасательного поезда для проведения первоочередных аварийно-спасательных работ и тушения пожара в подземных сооружениях метрополитена необходимо и целесообразно. В результате применения данного поезда время прибытия пожарных подразделений к месту пожара сокращается на 46% и составит 12 минут, привлекаемое число сил и средств становится значительно меньшим (количество задействованного личного состава уменьшается на 41%), облегчается и упрощается работа по спасанию людей, локализации и ликвидации пожара. Номер вызова для привлечения сил и средств МЧС для тушения пожара в подземных сооружениях метрополитена уменьшается до четвертого.
ЛИТЕРАТУРА
Анурьев В.К. Справочник конструктора-машиностроителя, т.1-3. М.-Просвещение, 1985г.
Астахов П.Н. Справочник по тяговым расчетам. – М, Транспорт, 1973г.
Вагоны. Проектирование, устройство и методы испытаний. Под ред. Кузьмича А.М. - М, Машиностроение, 1978г
ГОСТ 12.1.004-91.Пожарная безопасность. Общие требования.
Гузенков В.П. Детали машин. – М.-Высшее образование, 1979г.
Дмитриченко А.С. и др. Методическое пособие к выполнению курсового проекта по прикладной механике (раздел «Детали машин») – Мн.- ВПТУ, 1995г.
Добровольская Э.М. Вагоны метрополитена типа Е : устройство и оборудование. – М, Транспорт, 1989г.
Зычков Э.А. Исследование условий обеспечения безопасной эвакуации пассажиров при пожарах в перегонных тоннелях метрополитена//НИИПБ; Научное обеспечение пожарной безопасности №8, 1999
Иванов А.А, Иванова Л.В. Прикладная механика. Курсовое проектирование. М.- Высшая школа, 1979г.
Инструкция о порядке взаимодействия органов пожарной охраны МВД СССР и МПС СССР по организации пожарного надзора и тушению пожаров на объектах метрополитена.
Кашаева.А.Н. - М, Машиностроение, 1981г.
Кимстач И.Ф. и др. Пожараня тактика: Учеб.пособие для пожарно-техн. училищ и нач. состава пожарной охраны.- Стройиздат, 1984 г.
Конструкция, расчет и проектирование локомотивов. Под ред.
Кошмаров А.И. Термодинамика и теплопередача в пожарном деле. -
М., Высшая школа, 1982 г.
14. Краснов Ю.С. Справочник молодого рабочего по изготовлению и монтажу вентиляционных систем. –2-е изд. –М.:Высшая школа, 1989.
15. Организация проведения аварийно-спасательных работ и тушение пожара в метрополитене: Методическое пособие, Мн.- МГУ при ГУВПС МВД Беларуси, 1995г.
Повзик А.К. «Пожарная тактика»,М.-Строииздат, 1984г.
Приказ №140 ГУВПС «Об утверждении БУПС».
Приказ №182 «Об утверждении Наставления по газодымозащитной службе» от 1.12.1996 г.
СНиП 2.01.02-85*. Противопожарные нормы.
СНиП II-40-80 «Метрополитены».
Титков В. Эхо бакинской трагедии.. Пожарное дело, 1996. №2
Шишканов М.М, Воробьев В.К, Тумарович Ю.Г. « Основы пожарно-тактической подготовки»-Мн., ВПТУ, 1996г.
Приложение
ХАРАКТЕРИСТИКА ОБЪЕКТА . /ст."Парк Челюскинцев"/
Станция метро "Парк Челюскинцев" - мелкого заложения, закрытого типа, общая длина - 300 м, расстояние до ближайших станций: "Московская" - 1023 м,"Академия наук" - 1001 м.
В комплекс станции метрополитена входят:
1. Два подземных помещения со служебными вестибюлями.
2. Станционные туннели и пассажирская платформа.
3. Подплатформенные кабельные коллекторы, водоотливные установки.
4. Стационарная вентшахта.
5. Тяговопонизительная подстанция со вспомогательными помещениями.
6. Пешеходные лестницы для входа и выхода с платформы.
Все конструкции помещений на станции выполнены из несгораемых материалов (бетон, железобетон) полы в служебных помещениях выполнены из трудносгораемых материалов (деревянные конструкции пропитаны огнезащитным составом, линолеум - самозатухающий). Входы на станцию осуществляются непосредственно из пешеходных переходов в вестибюли.
Максимальный пассажирский поток в часы "пик" составляет:
- посадка - 470 человек
- высадка - 620 человек
Питание тяговой сети производится постоянным током с напряжением 825 В. Все помещения для пассажиров и обслуживающего персонала на станции обеспечены аварийным освещением, которое включается автоматически при отключении рабочей электросети.
Все служебно-бытовые, подплатформенные помещения и кабельные коллекторы оборудованы автоматической пожарной сигнализацией, в коридорах установлены кнопочные извещатели. Приемная станция установлена в комнате дежурного по станции.
Для координации работы всех объектов и служб метрополитена на станции предусмотрена следующая связь:
- АТС метрополитена, связанная с городской телефонной сетью;
- поездная радиосвязь;
- местная радиосвязь внутри объектов метрополитена;
- туннельная телефонная связь;
Для перевозки пассажиров на линии используются 4-х вагонные составы, вместимостью 170 чел/ваг. Максимальная парность в часы "пик" движения - 24 пары/час, интервал движения по линии - 2.5 минуты.
Водоснабжение .
На станции имеется внутренний противопожарный водопровод. Ввод осуществляется от городского водопровода диаметром 100 мм. Водопроводная сеть станции объединена трубопроводами, проложенными в туннелях, с ближайшими станциями "Московская" и "Академия наук". На станции имеется 12 пожарных кранов диаметром 50 мм, которые оборудованы головками
"Богданова", рукавами длиной 20 м (в торцах платформы 4 ПК = 40 м), стволами. Из них:
в вестибюле N 1 - 4 шт.с давлением 2 кгс/см2
- в вестибюле N 2 - 4 шт.с давлением 2 кгс/см2
- на платформе - 4 шт.с давлением 2 кгс/см2
В ящиках пожарных кранов установлены кнопки дистанционного включения электрозадвижек, расположенных на трубопроводе ввода.
Пожарные краны диаметром 50 мм установлены по одной стороне тоннелей через каждые 90 м на водопроводе диаметром 89 мм. Пожарные краны оборудованы соединительными головками "Богдонова" без рукавов и стволов.
По оси симметрии платформы через каждые 30 м установлены пожарно-поливочные краны диаметром 50 мм в люках типа "метро". Пожарные краны оборудованы только соединительными головками "Богданова".
Наружное противопожарное водоснабжение обеспечивается от городских гидрантов.
Наружное противопожарное водоснабжение обеспечивается:
со стороны входов N 1,2: двумя пожарными гидрантами, расположенной на городской кольцевой водопроводной сети диаметром 300 мм по проспекту Ф.Скарыны (расстояние 20 и 170 м) и одним пожарным гидрантом по ул.Толбухина (расстояние 150 м).
со стороны входа N 3: одним пожарным гидрантом, расположенным на городской кольцевой водопроводной сети диаметром 300 мм по проспекту Ф.Скарыны (расстояние 60 м).
1