Розробка структурної схеми комп’ютерної мережі
Розробка структурної схеми комп’ютерної мережі
Зміст
Аналіз технічного завдання
Аналіз технології
Аналіз заданої топології
Вибір обладнання
Розроблення структури мережі
Висновки
Список посилань
1. Аналіз технічного завдання
Технічне завдання: Проектування комп'ютерної мережі. Кількість комп’ютерів – 36.
Для проектування такого типу мережі я вирішував такі питання:
Вибір типу локальної мережі (Gigabit Ethernet);
Топологія мережі ("комутована");
Тип мереженого адаптера (1000BASE-T);
Роз’єм мережевого адаптера (RG-45);
Вид кабелю (вита пара).
2. Аналіз технології
мережева локальна обчислювальна матриця
Мережева технологія — це погоджений набір стандартних протоколів та програмно-апаратних засобів що їх реалізовують, достатній для побудови локальної обчислювальної мережі. Мережеві технології називають базовими технологіями або мережевою архітектурою локальних мереж. Мережева технологія або архітектура визначає топологію і метод доступу до середовища передачі даних, кабельну систему або середовище передачі даних, формат мережевих кадрів тип кодування сигналів, швидкість передачі в локальній мережі. У сучасних локальних обчислювальних мережах широкого поширення набула така технологія або мережева архітектура, як: Ethernet. Популярність забезпечується простими, надійними і недорогими технологіями. Найбільшого поширення набула версія Ethernet, що використовує як середовище передачі виті пари, оскільки монтаж і обслуговування їх набагато простіше.
Ethernet (езернет, від лат. aether — етер) — базова технологія локальних обчислювальних (комп'ютерних) мереж з комутацією пакетів, що використовує протокол CSMA/CD (множинний доступ з контролем несучої та виявленням колізій). Цей протокол дозволяє в кожний момент часу лише один сеанс передачі в логічному сегменті мережі. При появі двох і більше сеансів передачі одночасно виникає колізія, яка фіксується станцією, що ініціює передачу. Станція аварійно зупиняє процес і очікує закінчення поточного сеансу передачі, а потім знову намагається повторити передачу. Ethernet-мережі функціонують на швидкостях 10Мбіт/с, Fast Ethernet — на швидкостях 100Мбіт/с, Gigabit Ethernet — на швидкостях 1000Мбіт/с, 10 Gigabit Ethernet — на швидкостях 10Гбіт/с. В кінці листопада 2006 року було прийняте рішення про початок розробок наступної версії стандарту з досягненням швидкості 100Гбіт/с (100 Gigabit Ethernet).
Gigabit Ethernet. Існують наступні більш розповсюджені і оптимізовані для сучасного часу модифікації Gigabit Ethernet:
1000BASE-T, IEEE 802.3ab - Стандарт Ethernet 1 Гбіт/с. Використовується кручена пара категорії 5e або категорії 6. У передачі даних беруть участь всі 4 пари. Швидкість передачі даних - 250 Мбіт/с по одній парі.
1000BASE-TX, - Стандарт Ethernet 1 Гбіт/с, що використовує тільки кручену пару категорії 6. Передавальні і приймаючі пари розділені фізично по дві пари в кожному напрямку, що значно спрощує конструкцію прийомопередавача. Швидкість передачі даних - 500 Мбіт/с по одній парі. Практично не використовується.
1000Base-X - загальний термін для позначення технології Гігабіт Ethernet зі змінними трансіверами GBIC або SFP.
1000BASE-SX, IEEE 802.3z - 1 Гбіт/с Ethernet технологія використовує лазери з припустимою довжиною випромінювання в межах діапазону 770-860 нм. Використовуючи багатомодове волокно, дальність проходження сигналу без повторювача до 550 метрів.
1000BASE-LX, IEEE 802.3z - 1 Гбіт/с Ethernet технологія використовує лазери із припустимою довжиною випромінювання в межах діапазону 1270-1355 нм. При використанні багатомодового волокна дальність проходження сигналу без повторювача до 550 метрів. Оптимізована для далеких відстаней, при використанні одномодового волокна (до 40 км).
1000BASE-CX - Технологія Гігабіт Ethernet для коротких відстаней (до 25 метрів), використовується спеціальний мідний кабель (Екранована кручена пара (STP)) із хвильовим опором 150 Ом. Замінений стандартом 1000BASE-T, і зараз не використовується.
1000BASE-LH (Long Haul) - 1 Гбіт/с Ethernet технологія, використовує одномодовий оптичний кабель, дальність проходження сигналу без повторювача до 100 кілометрів.
Враховуючи те що відстань між комутатором і комютерами нашої мережі не перевищуватиме 100м я вирішив використовувати - 1000BASE-T, IEEE 802.3ab модифікацію Gigabit Ethernet на витій парі категорії 5.
Gigabit Ethernet на кручений парі категорії 5. Як відомо, кожна пара кабелю категорії 5 має гарантовану смугу пропускання до 100 Мгц. Для передачі по такому кабелю даних зі швидкістю 1000 Мбіт/с було вирішено організувати рівнобіжну передачу одночасно по всім 4 парам кабелю. Це відразу зменшило швидкість передачі даних по кожній парі до 250 Мбіт/с. Однак і для такої швидкості необхідно було придумати метод кодування, що мав би спектр не вище 100 Мгц. Для розробки варіанту Gigabit Ethernet на UTP категорії 5 була створена спеціальна група 802.3ab, що вже розробила проект стандарту для роботи з 4-ма парами UTP категорії 5. Для кодування даних був застосований код РАМ5, що використовує 5 рівнів потенціалу: -2, -1,0, +1, +2. Тому за один такт по одній парі передається 2,322 біт інформації. Отже, тактову частоту замість 250 МГц можна знизити до 125 Мгц. Код РАМ5 на тактовій частоті 125 Мгц вкладається в смугу 100 Мгц кабелю категорії 5. Для розпізнавання колізій і організації повнодуплексного режиму розробники специфікації 802.3аb застосували техніку, яка використовується при організації дуплексного режиму на одній парі проводів у сучасних модемах і апаратурі передачі даних абонентських закінчень ISDN. Замість передачі по різних парах проводів чи рознесення сигналів двох одночасно працюючих назустріч передавачів по діапазону частот обидва передавачі працюють назустріч один одному. Для відокремлення прийнятого сигналу від свого власного приймач віднімає з результуючого сигналу відомий йому свій сигнал. Природно, що це не проста операція і для її виконання використовуються спеціальні цифрові сигнальні процесори — DSP (Digital Signal Processor).
Розробники технології Gigabit Ethernet зберегли велику ступінь наступності з технологіями Ethernet і Fast Ethernet. Gigabit Ethernet використовує ті ж формати кадрів, що і попередні версії Ethernet, працює в повнодуплексном і напівдуплексному режимах, підтримуючи на поділюваному середовищі той же метод доступу CSMA/CD з мінімальними змінами.
3. Аналіз заданої топології
Технологія комутації сегментів Ethernet була запропонована фірмою Kalpana в 1990 році у відповідь на зростаючі потреби в підвищенні пропускної здатності зв'язків високопродуктивних серверів із сегментами робочих станцій.
Головною причиною підвищення продуктивності мережі при використанні комутатора є паралельна обробка декількох кадрів. Перевага комутатора, завдяки якій він завоював дуже гарні позиції в локальних мережах, це його висока продуктивність, то розробники комутаторів намагаються випускати так звані що не блокують(non-blocking) моделі комутаторів.
Комутатор, що не блокує, - це такий комутатор, що може передавати кадри через свої порти з тією же швидкістю, з якої вони на них надходять, при умові, що не відбувається блокування кадрів через обмежену швидкість вихідного порту.
Широкому застосуванню комутаторів, безумовно, сприяло та обставина, що впровадження технології комутації не вимагало заміни встановленого в мережах обладнання - мережевих адаптерів, концентраторів, кабельної системи. Порти комутаторів працювали у звичайному напівдуплексному режимі, тому до них прозоро можна було підключити як кінцевий вузол, так і концентратор, що організує цілий логічний сегмент. Незважаючи на те що в комутаторах працюють відомі й добре відпрацьовані алгоритми прозорих мостів і мостів з маршрутизацією від джерела, існує велика розмаїтість моделей комутаторів. Вони відрізняються як внутрішньою організацією, так і набором виконуваних додаткових функцій, таких як трансляція протоколів, підтримка алгоритму покриваючого дерева, утворення віртуальних логічних мереж і ряду інших.
Особливості технічної реалізації комутаторів. Після того як технологія комутації привернула загальну увагу й отримала високі оцінки фахівців, багато компаній зайнялися реалізацією цієї технології у своїх пристроях, застосовуючи для цього різні технічні рішення. Багато комутаторів першого покоління були схожі на маршрутизатори, тобто ґрунтувалися на центральному процесорі загального призначення, пов'язаному з інтерфейсними портами по внутрішній швидкісній шині.

Комутатор на процесорі загального призначення
Основним недоліком таких комутаторів була їхня низька швидкість.
Комутаційна матриця забезпечує основний і найшвидший спосіб взаємодії процесорів портів, саме він був реалізований у першому промисловому комутаторі локальних мереж.

Реалізація комутаційної матриці 8x8 за допомогою двійкових перемикачів
Особливістю комутаційної матриці залишається технологія комутації фізичних каналів. Відомим недоліком цієї технології є відсутність буферизації даних усередині комутаційної матриці - якщо складений канал неможливо побудувати через зайнятість вихідного порту або проміжного комутаційного елемента, то тоді дані повинні накопичуватися в їхньому джерелі, у цьому випадку - у вхідному блоці порту, що прийняв кадр. Основні переваги таких матриць - висока швидкість комутації й регулярна структура, що зручно реалізовувати в інтегральних мікросхемах.
У комутаторах із загальною шиною процесори портів зв'язують високошвидкісною шиною, яка використовується в режимі поділу часу. Щоб шина не блокувала роботу комутатора, її продуктивність повинна дорівнювати принаймні сумі продуктивності всіх портів комутатора.

Архітектура комутатора з загальною шиною
Кадр повинен передаватися по шині невеликими частинами, по декілька байт, щоб передача кадрів між декількома портами відбувалася в псевдопаралельному режимі, не вносячи затримок у передачу кадру в цілому. Вхідний блок процесора поміщає в комірку, прийнятний по шині, тег, у якому вказує номер порту призначення. Кожен вихідний блок процесора порту містить фільтр тегів, що вибирає теги, призначені даному порту. Шина, так само як і комутаційна матриця, не може здійснювати проміжну буферизацію, але тому що дані кадру розбиваються на невеликі комірки, то затримок з початковим очікуванням доступності вихідного порту в такій схемі немає - тут працює принцип комутації пакетів, а не каналів.
Третя базова архітектура взаємодії портів – двовхідна поділювана пам'ять.

Архітектура поділюваної пам'яті
Вхідні блоки процесорів портів з'єднуються з входом перемикачем, що, поділяє пам'ять, а вихідні блоки цих же процесорів з'єднуються перемикачем з виходом цієї пам'яті. Перемиканням входу й виходу поділюваної пам'яті управляє менеджер черг вихідних портів. У поділюваній пам'яті менеджер організує кілька черг даних, по одній для кожного вихідного порту. Вхідні блоки процесорів передають менеджерові портів запити на запис даних у чергу того порту, що відповідає адресі призначення пакета. Менеджер по черзі підключає вхід пам'яті до одному із вхідних блоків процесорів і той переписує частину даних кадру в чергу певного вихідного порту. По мірі заповнення черг менеджер робить також почергове підключення виходу поділюваної пам'яті до вихідних блоків процесорів портів, і дані із черги листуються у вихідний буфер процесора.
Комбіновані комутатори. У кожної з описаної архітектури є свої переваги й недоліки, тому часто в складних комутаторах ці архітектури застосовуються в комбінації одна з одною.

Комбінування архітектури комутаційної матриці й загальної шини
Комутатор складається з модулів з фіксованою кількістю портів (2-12), виконаних на основі спеціалізованій ВІС, що реалізує архітектуру комутаційної матриці. Якщо порти, між якими потрібно передати кадр даних, належать одному модулю, то передача кадру здійснюється процесорами модуля на основі наявної в модулі комутаційної матриці. Якщо ж порти належать різним модулям, то процесори спілкуються по загальній шині. При такій архітектурі передача кадрів всередині модуля буде відбуватися швидше, ніж при міжмодульній передачі, тому що комутаційна матриця - найбільш швидка, хоча й найменш масштабований спосіб взаємодії портів. Швидкість внутрішньої шини комутаторів може досягати десятки Гбіт/с.
4. Вибір обладнання
Отже ми з'ясували що комутатори зв'язують процесори портів по трьох основних схемах - комутаційна матриця, загальна шина й поділювана пам'ять. У комутаторах з фіксованою кількістю портів звичайно використовується комутаційна матриця, а в модульних комутаторах - сполучення комутаційної матриці в окремих модулях із загальною шиною й поділюваною пам'яттю для зв'язку модулів.
Для підтримки режиму, що не блокує, роботи комутатора загальна шина або поділювана пам'ять повинні мати продуктивність, що перевищує сумарну продуктивність всіх портів максимальної швидкісного набору модулів, які встановлюються в шасі.
Основними характеристиками продуктивності комутатора є: швидкість фільтрації кадрів, швидкість просування кадрів, загальна пропускна здатність по всіх портах у мегабітах за секунду, затримка передачі кадру. На характеристики продуктивності комутатора впливають: тип комутації – "на льоту" або з повною буферизацією, розмір адресної таблиці, розмір буфера кадрів.
Для автоматичної підтримки резервних зв'язків у складних мережах у комутаторах реалізується алгоритм покриваючого дерева Spanning Tree Algorithm. Цей алгоритм заснований на періодичній генерації службових кадрів, за допомогою яких виявляються й блокуються петлевидні зв'язку в мережі. Комутатори можуть поєднувати сегменти різних технологій локальних мереж, транслюючи протоколи канального рівня у відповідності зі специфікацією IEEE 802.1Н.
Комутатори підтримують різноманітні користувацькі фільтри, засновані на Мас-адресах, а також на вміст полів протоколів верхніх рівнів. В останньому випадку адміністратор повинен виконати великий обсяг ручної роботи із завдання положення поля відносно початку кадру і його необхідне значення. Звичайно фільтри допускають комбінацію декількох умов за допомогою логічних операторів AND й OR. Комутатори забезпечують підтримку якості обслуговування за допомогою пріоритетної обробки кадрів. Стандарт 802.1р визначає додаткове поле, що складається з 3 біт, для зберігання пріоритету кадру незалежно від технології мережі. Технологія віртуальних локальних мереж (VLAN) дозволяє в мережі, побудованій на комутаторах, створити ізольовані групи вузлів, між якими не передається будь-який тип трафіка, у тому числі й широкомовний. Віртуальні мережі є основою для створення великих маршрутизованих мереж і мають перевагу перед фізично ізольованими сегментами гнучкістю складу, що змінюється програмним шляхом.
Останнім часом спостерігається виразна тенденція витиснення комутаторами концентраторів з нижніх рівнів великих мереж. Існують дві основні схеми застосування комутаторів: зі стягнутої в точку магістраллю й з розподіленою магістраллю. У великих мережах ці схеми застосовують комбіновано.
Для побудови даної комп’ютерної мережі я вирішив використати комутатор фірми D-Link DGS-1248T/GE (WebSmart комутатор з 44 портами 10/100/1000Base-T + 4 комбо-портами 1000Base-T/Mini GBIC (SFP) і функцією енергозбереження). Комутатор DGS-1248T/GE є ефективним способом підвищення продуктивності та безпеки мереж малого бізнесу. DGS-1248T забезпечує швидкість Gigabit Ethernet для підтримки програм, чутливих до смуги пропускання, і розширення ємності мережі. Розширений функціонал включає комбо-порти Gigabit, підтримку Power over Ethernet1, QoS, а також функції гнучкого багатофункціонального управління. Підтримка Power over Ethernet дозволяє спростити установку бездротових точок доступу, мережевих камер, телефонів VoIP та іншого мережного обладнання.
Для сполучення комп’ютерів з комутатором використовую виту пару. Фактично вита пара представляє собою восьмижильний кабель, в якому для обміну інформацією в мережі використовується чотири пари провідників.
Ще одна важлива задача - це вибір комп'ютерів. Якщо для робочих станцій або невиділених серверів звичайно використовують звичайні комп'ютери, то виділений сервер краще придбавати спеціально для мережі. Краще, якщо це буде швидкодійний спеціалізований комп'ютер-сервер, спроектований з урахуванням специфічних потреб мережі (такі сервери випускаються всіма найбільшими виробниками комп'ютерів).
Для побудови даної мережі також використовую мережеву карту – це спеціальний пристрій основне призначення якого є забезпечувати двох направлений обмін даними між персональним комп’ютером і локальною мережею (комутатором). Вона є одним із елементів апаратної конфігурації комп’ютера.
Варто тільки відзначити, що продуктивність мережі і її надійність визначаються самим низькоякісним її компонентом. Тому, купуючи дорогі концентратори або комутатори, не варто економити на мережних адаптерах. Вірно і зворотне. У будь-якому випадку краще, коли всі компоненти устаткування максимально повно відповідають один одному.
В проектуванні даної мережі використовую різновид мереженої карти розрахований на роботу з мережами класу 1000Base-T і комплектується роз’ємами RG-45. Роз’єм має вид поглиблення прямокутної форми з невеликим пазом для замка мережевої вилки, в нижній частині гнізда розміщено вісім контактів, які з’єднуються з відповідними контактами вилки мереженого кабеля. Відстань між мережевим комутатором та робочою станцією не перевищує 100 м.
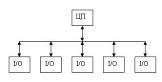
5. Розроблення структури мережі

Структурна схема мережі.
Специфікація обладнання.
Характеристики: комутатора D-Link DGS-1248T/GE
Стандарти і функції портів
- IEEE 802.3 10BASE-T Ethernet (мідний кабель на основі витої пари)
- IEEE 802.3u 100BASE-TX Fast Ethernet (мідний кабель на основі витої пари)
- IEEE 802.3ab 1000BASE-T Gigabit Ethernet (мідний кабель на основі витої пари)
- IEEE 802.3z Gigabit Ethernet (оптоволоконний кабель)
- Автоузгодження ANSI / IEEE 802.3 NWay
- Управління потоком 802.3х
- 802.3af Power over Ethernet (тільки для DGS-1224TP)
- Автовизначення MDI / MDIX для всіх портів на основі витої пари
Кількість портів
44 порту 10/100/1000BASE-T, 4 комбо-порту 10/100/1000BASE-T/SFP
При використанні SFP відповідні порти 10/100/1000 BASE-T блокуються
Швидкість передачі даних
Ethernet:
- 10 Мбіт / с (напівдуплексний режим)
- 20 Мбіт / с (повнодуплексний режим)
Fast Ethernet:
- 100 Мбіт / с (напівдуплексний режим)
- 200 Мбіт / с (повнодуплексний режим)
Gigabit Ethernet:
- 2000 Мбіт / с (повнодуплексний режим)
Мережеві кабелі
- UTP кат. 5, кат. 5e (100 м макс.)
- EIA/TIA-568 100-Ом STP (100 м макс.)
Повний / напівдуплекс
- Повний / напівдуплекс для швидкості 10/100 Мбіт / с
- Повний дуплекс для швидкості Gigabit
Програмне забезпечення
Функції 2 рівня
- IGMP snooping: підтримка 64 групи під LGPL (Multicast Groups)
- 802.1D Spanning Tree
- Агрегація портів: до 6 груп на пристрій, до 8 портів на групу
Продуктивність
Пропускна здатність комутатора
96 Гбіт / с
Метод комутації
- Store-and-forward
Критерії на вибір кабелю теж стали більш жорсткими. Для зменшення наведень, односпрямованої передачі, зворотних втрат, затримок і фазового зрушення, була прийнята до використання категорія 5e для неекранованої крученої пари.
Обтиск кабелю для мережі виробляється по одній з наступних схем:

Прямий (straight-through) кабель.

Перехресний (crossover) кабель. Схеми обтиску кабелю
Розрахунок параметрів мережі та її вартості
|
Найменування |
Од. вим. |
Ціна за одиницю ($) |
Кількість |
Вартість |
|
Кабель Lanmark-5 UTP 4 пары solid, 350 МHz |
м. |
0,3 |
1000 |
300,00 |
|
комутатор D-Link DGS-1248T/GE |
шт. |
614,00 |
1 |
614,00 |
|
Мережева карта Lan D-Link DGE-560T 1-port 1000BaseT |
шт. |
25,00 |
36 |
900,00 |
|
Розетка |
шт. |
5,00 |
36 |
180,00 |
|
Конектор RJ 45 |
шт. |
0,12 |
72 |
8,64 |
|
Патч-корд UTP, cat 5e, 2м. |
шт. |
1,5 |
36 |
54,00 |
|
Разом |
2056,64 |
Висновок
Досить швидке розвинення світу швидкості обробки інформації надає все більше швидкі і недорогі рішення по використанню спеціальних апаратних засобів, для зняття частини навантаження по обробці трафіку з центрального процесора. Використовується і технологія буферизації, що забезпечує переривання процесора для обробки декількох кадрів одразу. На сьогодні технологія Gigabit Ethernet стає все більш доступною для використання в домашніх умовах, що прямо зацікавить простого користувача. Більш швидкий доступ до домашніх ресурсів забезпечить якісний перегляд відео великої роздільної здатності, займе менше часу для перерозподілу інформації і, нарешті, дозволить «вживу» кодувати відеопотоки на мережеві диски.
Список використаної літератури
1. Буров Є. Комп’ютерні мережі. – Львів: БАК, 1999 – 468 с.
2. Основы современных кмпьютерных технологий./ Под ред. А.Д. Хомоненко. – СПб.: Корона, 1998. – 448 с.
3. Локальные вычислитильные сети. Принципы построения, архитектура, коммуникационные средства./ Под ред. С.В. Назарова. – М.: Фин. и стат., 1996. – 400 с.
4. Хаусли Т. Системы передачи и телеобработки данных. – М.: Радио и связь, 1994. – 297 с.
5. Халсалл Ф. Передача данных, сети компьютеров и взаимосвязь открытых систем. – М.: Радио и св., 1997. –354 с.