Радіаційне опромінення
Зміст
Вступ
1. Гігієнічне нормування радіаційного опромінення
2. Біологічна дія радіаційного опромінення
Висновок
Список використаних джерел
Вступ
Іонізуючі випромінювання існували на Землі ще задовго до появи на ній людини. Проте вплив іонізуючих випромінювань на організм людини був виявлений лише наприкінці XIX ст. з відкриттям французького вченого А. Бекереля, а потім дослідженнями П’єра і Марії Кюрі явища радіоактивності.
Поняття «іонізуюче випромінювання» об'єднує різноманітні види, різні за своєю природою, випромінювання. Подібність їх полягає в тому, що усі вони відрізняються високою енергією, мають властивість іонізувати і руйнувати біологічні об'єкти.
Іонізуюче випромінювання - це будь-яке випромінювання, взаємодія якого із середовищем призводить до утворення електричних зарядів різних знаків. Розрізняють корпускулярне і фотонне іонізуюче випромінювання.
Корпускулярне - потік елементарних частинок із масою спокою, відмінною від нуля, що утворюються при радіоактивному розпаді, ядерних перетвореннях, або генеруються на прискорювачах. Це а і b частки, нейтрони, протони та ін.
Фотонне - потік електромагнітних коливань, що поширюється у вакуумі з постійною швидкістю 300000 км/с. Це у випромінювання і рентгенівське випромінювання.
Вони різняться умовами утворення і властивостями: довжиною хвилі й енергією. До фотонного випромінювання належить й ультрафіолетове випромінювання - найбільш короткохвильова частина спектра сонячного світла (довжина хвилі 400*10-9м).
Випромінювання характеризуються за своєю іонізуючою і проникаючою спроможностями. Іонізуюча спроможність випромінювання визначається питомою іонізацією, тобто числом пар іонів, що утворюються частинкою в одиниці об'єму, маси середовища або на одиниці довжини шляху. Різноманітні види випромінювань мають різноманітну іонізуючу спроможність.
1. Гігієнічне нормування радіаційного опромінення
Під впливом радіоактивного випромінювання в організмі людини, який на 65 % складається з води, відбуваються складні фізичні та біологічні процеси. Молекули води розриваються і створюють вільні іони Н і ОН. За наявності кисню ці іони перетворюються у сполуки гідрогенпероксиду (НО2) і пероксиду водню (Н2О2), які є сильними окислювачами. Ці продукти вступають у хімічні реакції з молекулами тканини, створюючи невластиві здоровому організму сполуки.
Стан ураженої людини залежить від величини поглинутої дози і часу, протягом якого було отримано дозу радіації. Це пояснюється тим, що організм людини здатний виводити уражені клітини та народжувати замість загиблих нові. Час реакції людського організму на дію опромінення становить 4 доби, після чого починається відновлення уражених клітин.
Великі дози радіації зовнішнього опромінення (у 100 рад і більше), отримані за короткий термін, спричиняють променеві захворювання різного ступеня (табл. 1).
Таблиця 1 - Характеристика променевої хвороби у людей
|
Ступінь |
Доза, рад |
Симптоми |
|
I (легкий) |
100–200 |
Слабкість, головний біль, нудота, втома. Людина одужує через 1–2 місяці. Без смертельних випадків |
|
II (середній) |
200–400 |
Розлад шлунку, підвищення температури до 38°, кровотеча ясен. Одужання через 2–3 місяці. Смертність від інфекційних ускладнень до 20 % уражених. |
|
III (важкий) |
400–600 |
Загальний стан тяжкий, підвищення температури до 40°, кровотеча, виснаження. Одужання через 5–10 місяців. Смертність до 50 %. |
|
IV (вкрай важкий) |
>600 |
Летальний кінець протягом 5–10 діб у 100 % опромінених. |
Санітарно-гігієнічне нормування доз радіоактивного опромінення населення. Гранично допустимі дози, що не призводять до променевих захворювань, такі: 50 рад у разі одноразового опромінення протягом 4-х діб, 100 рад у разі багаторазового опромінення протягом 30 діб, 200 рад – протягом 3-х місяців, 300 рад – протягом одного року.
Гранично допустимі ефективні дози (еквівалентні дози) опромінення за 1 рік від усіх індустріальних джерел випромінювання (встановлені Нормами радіаційної безпеки НРБУ-97) для різних категорій населення такі (табл. 2).
Категорія А (персонал) – особи, які працюють із джерелами – 20 мЗв (2 бер) (середня за будь-які 5 років або 50 мЗв за окремий рік). Для жінок до 45 років і вагітних – у 10 раз менша.
Категорія Б (персонал) – особи, які безпосередньо не працюють з джерелами випромінювання, але перебувають на проммайданчиках і можуть отримувати опромінення 2 мЗв (0,2 бер).
Категорія В – усе населення – 1 мЗв (0,1 бер). До цієї дози не включені: доза, отримана під час медичного обстеження (лікування), від природних джерел, у разі аварійного опромінення.
Таблиця 2 - Норми еквівалентної дози зовнішнього опромінення окремих органів і тканин (мЗв/рік)
|
Категорії населення |
Органи, тканини тіла |
||
|
Кришталик ока |
Шкіра |
Кисті та стопи |
|
|
А |
150 |
500 |
500 |
|
Б |
15 |
50 |
50 |
|
В |
15 |
50 |
– |
Структура опромінення людей в нормальних умовах протягом одного року така:
- від природного радіаційного фону – 0,2 бер;
- медична рентгенодіагностика – 0,15 бер;
- будівельні матеріали – 0,1 бер;
- інші джерела випромінювання – 0,05 бер,
- тобто сумарно 0,45–0,5 бер за 1 рік.
Природний радіаційний фон обумовлений космічним випромінюванням та природними радіоактивними речовинами. Для України він становить в середньому 0,01–0,03 мР/год.
Допустимі норми аварійного опромінення за 1 рік такі:
- для населення – 5 бер;
- для персоналу – 25 бер.
Визначення доз радіоактивного опромінення від точкового джерела
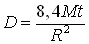
Дозу радіації D, яка отримана або може бути отримана людиною від точкового джерела випромінювання (джерело можна вважати точковим, якщо його лінійні розміри у 5-10 разів менші, ніж відстань до об’єкта опромінення), визначають за формулою, Р:
>
>
де А – активність джерела випромінювання, мКі;
t – час опромінення, год;
R – відстань від джерела до об’єкта опромінення, см;
>
>– іонізаційна гамма-стала
радіонукліда, Р/год.
Існують таблиці гамма-сталих
для різних радіонуклідів. Наприклад, >
>
радію становить 8,4, кобальту – 13,5, йоду
– 2,3, стронцію – 3,5 Р/год (табл. 3).
Гамма-стала >
>
ізотопу – потужність дози в повітрі
(Р/год), яку створює точкове джерело
цього ізотопу активністю А = 1 мКі на
відстані R = 1 см без початкової фільтрації.
На практиці для визначення кількості ізотопу замість активності А в одиницях мілікюрі (мКі) використовують іншу одиницю – еквівалент 1 міліграма радію (мг-екв. радію) М – активність будь-якого радіоактивного ізотопу, гамма-випромінювання якого створює таку ж потужність експозиційної дози, що й 1 мг радію (8,4 Р/год).
Гамма-еквівалент ізотопу М
зв’язаний з його активністю А (мКі)
через гамма-сталу >
>
ізотопу співвідношення >
>,
де 8,4 – гамма-стала радію.
Таблиця 3 - Гамма-стала Кg та активність А, що відповідає одному грам-еквіваленту радію деяких радіоактивних ізотопів
|
Номер в періодичній системі елементів |
Ізотопи |
Масове число (атомна маса) А |
Гамма-стала >
|
Активність А, що відповідає грам-еквіваленту радію |
Період напіврозпаду Т |
|
11 |
Натрій >
|
24 |
19 |
0,44 |
15 год |
|
25 |
Марганець >
|
56 |
8,42 |
1 |
2,57 год |
|
27 |
Кобальт >
|
60 |
13,5 |
0,626 |
2,271 року |
|
26 |
Залізо >
|
59 |
6,75 |
1,25 |
44,589 доби |
|
30 |
Цинк >
|
65 |
2,85 |
2,98 |
243,9 доби |
|
38 |
Стронцій >
|
90 |
3,50 |
2,4 |
29,12 року |
|
53 |
Йод >
|
131 |
2,3 |
3,7 |
8,04 доби |
|
55 |
Цезій >
|
137 |
3,55 |
2,36 |
30 років |
|
88 |
Радій >
|
226 |
8,4 |
1 |
160 років |
Тоді формула для розрахунку дози радіації від точкового джерела має такий вигляд, Р:
>
>.
2. Біологічна дія радіаційного випромінювання
Особливу загрозу для здоров’я людей та існуванню природних біоценозів становить забруднення біосфери радіоактивними речовинами, які небезпечні своїм іонізуючим випромінюванням. Розрізняють іонізуюче випромінювання природного і штучного походження. До недавнього часу, до середини ХХ ст., основним джерелом іонізуючого випромінювання були природні джерела – Космос, гірські породи та вулканічна діяльність. У різних регіонах Землі рівень природної радіації сильно різниться, збільшуючись у десятки й сотні разів у районах родовищ уранових руд, радіоактивних сланців тощо. До зон підвищеної радіоактивності в Україні належать Жовті води, Кіровоградська область, Хмельник, Миронівка, Полісся та ін.
Сьогодні основними джерелами радіоактивного забруднення біосфери є джерела антропогенного походження: випробовування ядерної зброї, аварії на атомних електростанціях, підводних човнах та виробництвах радіоактивних матеріалів тощо.
Розрізняють кілька видів іонізуючого випромінювання. Під час радіоактивного розпаду утворюються a(альфа)–, b(бета)– і g(гамма)–частинки. Альфа-випромінювання є потоком позитивного заряджених ядер гелію, бета-випромінювання – потік негативно заряджених швидких електронів і гамма-випромінювання – короткохвильове випромінювання електромагнітної природи. Альфа-випромінювання проникає на відстань від кількох сантиметрів у повітрі й кількох міліметрів – у тканинах, гамма – випромінювання – на відстань до сотень метрів. Радіація - це потік різних видів випромінювання, які утворюються в процесі радіоактивного розпаду і взаємодіють з навколишнім середовищем. Кожний вид радіонуклідів розпадається з певною швидкістю, яка характеризується періодом напіврозпаду - часом, протягом якого число атомів даного радіонукліду зменшується вдвоє.
Для вимірювання ступеня радіаційної небезпеки використовують такі показники: експозиційну дозу, поглинену дозу та еквівалентну дозу, які вимірюються певними одиницями.
Поглинена доза - енергія іонізуючого випромінювання, яка поглинулась тілом (тканинами організму), у перерахунку на одиницю маси. Вимірюється у системі СІ в греях (Гр). Слід відзначити, що дана величина не враховує того, що при однаковій поглиненій дозі альфа–випромінювання більш небезпечним ніж гамма– або бета–випромінювання.
Еквівалентна доза - поглинена доза, що помножена на коефіцієнт, який відображає здатність даного виду випромінювання пошкоджувати тканини організму. Вимірюють у системі СІ в одиницях - зівертах (Зв). Зіверт - одиниця еквівалентної дози у СІ. Відповідає поглиненій дозі в 1 Дж/кг (для рентгенівського, гамма– і бета–випромінювання).
Необхідно враховувати, що одні частини тіла (органи, тканини) більш чутливі, ніж інші: наприклад, при однаковій еквівалентній дозі випромінювання виникнення раку у легенях більш ймовірно, ніж у щитовидній залозі, а опромінення полових залоз особливо небезпечно через ризик генетичних пошкоджень. По цій причині дози опромінювання органів і тканин також необхідно враховувати з різними коефіцієнтами. Помноживши еквівалентні дози на відповідні коефіцієнти і додавши суми по усіх органах і тканинах, отримуємо ефективну еквівалентну дозу, яка відображає сумарний ефект опромінювання для організму. Вимірюється у зівертах.
(Беккерель (Бк) одиниця активності нукліду в радіоактивному джерелі (у системі СІ). 1Бк відповідає одному розпаду у секунду для радіонукліда.)
Ці три поняття описують лише індивідуально отримані дози. Склавши індивідуальні ефективні еквівалентні дози, які отримані групою людей, отримують колективну ефективну еквівалентну дозу, яка вимірюється у людино–зівертах (люд–ЗВ, рос. варіант люд –Зв).
Найбільш поширені позасистемні одиниці і їх зв’язок із системою СІ: кюрі (Ки, Си), одиниця активності ізотопу: 1Ки=3,700 х 1010 Бк; рад - одиниця поглиненої дози випромінювання: 1 рад = 0,01 Гр; бєр - одиниця еквівалентної дози: 1 бєр = 0,01 Зв.
Рентген (Р) позасистемна одиниця експозиційної дози рентгенівського і гамма–випромінювання. Експозиційна доза характеризує іонізацію у повітрі у полі джерела рентгенівського або гамма–випромінювання. Експозиційна доза дорівнює 1 Р, якщо спряжена з рентгенівським або гамма–випромінюванням корпускулярна емісія на 0,001293 г повітря утворює іони, які несуть заряд в одну електростатичну одиницю кількості електрику кожного знаку.
Бєр, біологічний еквівалент рентгена - доза будь-якого виду іонізуючого випромінювання, яка має таку ж біологічну дію, що і доза рентгенівських або гамма-променів у 1Р.
Рівень вмісту радіоактивних ізотопів у організмі залежить від їх концентрації в навколишньому середовищі. Припустимий вміст радіоактивних речовин в організмі (тобто така кількість, за наявності якої утворюється доза на критичний орган, що перевищує ГДД) залежить від ступеня безпеки радіоактивних елементів у випадку потрапляння всередину і визначається їх радіотоксичністю.
Радіотоксичність - це властивість радіоактивних ізотопів спричинювати патологічні зміни у випадку потрапляння їх до організму. Радіотоксичність ізотопів залежить від низки моментів, основними з яких є: 1) вид радіоактивного перетворення; 2) середня енергія одного акту розпаду; 3) схема радіоактивного розпаду); 4) шляхи надходження радіоактивних речовин до організму; 5) розподіл в органах та системах; 6) час перебування радіонукліда в організмі; 7) тривалість надходження радіоактивних речовин до організму людини.
Основними шляхами надходження радіоактивних речовин до людського організму є: дихальні шляхи, кишково-шлунковий тракт і шкіра. Найнебезпечнішим вважається потрапляння радіоактивних ізотопів через верхні дихальні шляхи, звідки вони попадають у шлунок і в легені. Через неушкоджену шкіру резорбція в 200–300 разів менша, ніж через травний канал, і не відіграє суттєвої ролі, за винятком ізотопу водню - тритію, який легко потрапляє через шкіру.
Додаткове внутрішнє опромінення можливе у випадку надходження радіоактивних речовин під час споживання забруднених харчових продуктів.
Іонізуюче випромінювання має високу біологічну активність. Залежно від дози опромінення та низки інших умов воно здатне негативно впливати на людину навіть до її загибелі. Біологічна дія радіоактивного випромінювання полягає в ушкодженні; іонізації або збудженні молекул (у тому числі ДНК), загибелі клітин, виникненні мутацій.
Відзначають такі ефекти впливу іонізуючою радіації на організм людини: соматичні (гостра променева хвороба, хронічна променева хвороба, місцеві променеві ураження); сомато–стохатичні (злоякісні новоутворення, порушення розвитку плода, скорочення тривалості життя); генетичні (генні мутації, хромосомні аберації).
Доза опромінення до 0,25 Гр (25 рад) звичайно не спричинює значних відхилень у загальному статусі та крові. Доза 0,25–0,5 ГР (25–50 рад) може призвести до окремих відхилень у складі крові. Доза 0,5–1 Гр (50–100 рад) зумовлює нерізко виражені зміни в картині крові, порушення функції нервової системи. Пороговою дозою для гострого променевого ураження прийнято вважати одноразове опромінення дозою 1 Гр (100 рад). У випадку подальшого опромінення дозою 150 рад і більше ймовірною є можливість виникнення хронічної променевої хвороби, яка проявляється вегето-судинними порушеннями, функціональними змінами центральної нервової системи, токсичним ураженням печінки, зменшенням числа лейкоцитів до 2 тис/мм3 у крові, переродженням нейтрофільних гранулоцитів тощо.
Серйозну загрозу для здоров’я людини, яка перенесла гостру чи хронічну променеву хворобу, становлять віддалені наслідки променевого ураження. Вони можуть проявитися через 10-20 років після опромінення. До основних віддалених наслідків відносяться, зокрема, захворювання, що пов’язані зі змінами генетичного апарату (пошкоджуються хромосомний апарат, порушуються механізми ділення (мітозу), відбувається блокування процесів відновлення та диференціювання клітин тощо), злоякісні пухлини, захворювання крові, скорочення тривалості життя.
Згідно з рекомендаціями Міністерства по контролю за радіаційним забрудненням для запобігання можливим вадам розвитку доза опромінення на все тіло не повинна перевищувати 50 Р, а на орган чи тканину - 500 Р. Іонізуюче випромінювання, яке діє на гонади в дозах 100–200 Р, впливає на ооцити і зумовлює тимчасову безплідність, а в дозі 400 Р - стійку безплідність.
Що стосується небезпеки генетичного виродження людства (зокрема, на сучасному етапі), то можна сказати, що ризик народження хворої дитини через опромінення чи інший шкідливий вплив саме внаслідок мутації (природні або викликані штучно зміни спадкових особливостей організмів, які змінюють їх морфологічні і (або) фізіолого–поведінкові ознаки) не такий вже й великий. За даними експертів ООН, генетичні хвороби внаслідок опромінення в дозі 1 рад популяції в 1 млн. новонароджених виникають у першому поколінні в 63 випадках, що складає 0,06% від загального числа генетичних хвороб у популяції. Однак для нащадків хворої дитини ризик успадкувати захворювання вже становить 50%.
Пошкоджуюча дія радіації на плід людини (тератогенний ефект) можлива, якщо дози опромінення перевищують 20-25 рад. Водночас, генетично значною, тобто такою, що здатна викликати патологічні зміни у хромосомному апараті плода, вважають дозу 10 рад.
Слід пам’ятати, що загрожу для здоров’я людини становить і ще не вивчений механізм поєднання зовнішнього і внутрішнього опромінення (повітря, їжа), зовсім не досліджене і явище синергізму - взаємодії радіації з хімічними речовинами - свинцем, пестицидами тощо.
Після аварії на ЧАЕС сільськогосподарські угіддя зазнали значного радіоактивного забруднення, особливо в Київській, Житомирській, Чернігівській та Рівненській областях. Продукція, яка вирощується на цих угіддях, забруднена радіонуклідами. Тому для використання її в харчовому раціоні необхідно здійснювати певні профілактичні заходи. Перед кулінарною та технологічною обробкою харчової сировини її очищають механічними способами від забруднення землею, яка містить радіонукліди. Картоплю, овочі, фрукти та ягоди ретельно миють теплою проточною водою. Гриби і ягоди бажано вимочувати впродовж 2–3 год. Це дає змогу зменшити радіоактивність на 80% переважно за рахунок видалення.
У процесі варіння харчової сировини значна частина радіонуклідного забруднення екстрагується у відвар. З грибів, щавлю, гороху, капусти та буряків через 5–10 хв. Варіння до 60-85% 137Cs переходить у відвар, який зливають і видаляють. Гриби варто відварити двічі підряд упродовж 10 хв. щоразу, видаляючи перший і другий відвари. М’ясо і рибу, виловлену в місцевий водоймах, вимочують у воді впродовж 1,5 год., а потім ріжуть дрібними шматками і варять у чистій воді протягом 10 хв., відливають відвар, знову заливають продукт чистою водою і готують страву.
Продукти, забруднені радіонуклідами, недоцільно смажити, їх краще тушкувати. При видалені з риби кісток і плавників вміст 137Cs зменшується на 40%. Попереднє видалення кісток з м’яса сприяє майже повному видаленню радіонуклідів.
Якщо варити у несолоній воді, перехід радіонуклідів у бульйон зменшується на 40%. Якщо картоплю варити неочищеною, в ній залишається менше радіонуклідів. Близько половини 137Cs видаляється із засолених грибів, овочів, фруктів. При переробці зерна на борошно та крупи вміст 90 Sr зменшується в них на 60–90%. При приготуванні з молока сиру в продукті залишається 10–29% 137Cs, у масло й сметану переходить відповідно 1,5 і 9%.
З метою зменшення шкідливого впливу радіонуклідів на організм людини і запобігання його негативним наслідкам потрібно обмежити їх надходження в організм із навколишнього середовища. Цього можна досягти як за рахунок технологічної та кулінарної обробки, так і за рахунок застосування радіопротекторів.
Радіозахисні властивості мають білки, полі ненасичені жирні кислоти, деякі амінокислоти, тіамін, рибофлавін, складні не крохмальні вуглеводи, вітамін Р, каротин та деякі мінеральні речовини.
В умовах радіаційного забруднення особливо бажаними є сірковмісні амінокислоти – цистеїн і метіонін. Вони містяться в значних кількостях в білку молока та яєць, у бобових та вівсяній крупі, домашньому сирі, курячому м’ясі й соняшниковому насінні, а також капусті, петрушці, цибулі.
До раціону повинні входити й жири, переважно рослинні, що містять полі ненасичені жирні кислоти й антиоксиданти. Слід збільшити кількість не крохмальних вуглеводів – харчових волокон полісахаридів, пектинових речовин і зменшити споживання цукру. Оптимальна доза пектину становить 2–4 г (для дітей 1–2 г) на добу.
Потреба дорослої людини в аскорбіновій кислоті становить 70–100 мг на добу. Вона захищає від негативного впливу радіонуклідів стінки судин, капілярів та мембрани клітин. Овочі та фрукти забезпечують організм аскорбіновою кислотою, каротином, біофлавоноїдами, пектиновими речовинами та органічними кислотами. Багато аскорбінової кислоти і калію в картоплі, якої потрібно споживати не менше 350–400 г на добу. Серед фруктів – чорна смородина, лимони, шипшина. Серед овочів – кріп, який у тричі багатший на аскорбінову кислоту за лимони.
Вітамін А (каротин), що міститься у моркві, кукурудзі, пастернаку, шпинаті, капусті та гарбузі має протипухлинні та радіопротекторну дії.
Цинк, що міститься в овочах і фруктах, блокує поглинання організмом радіонукліда 65 Zn.
Вітаміни групи В потрібні у кількості 17–25 мг на добу. Вони містяться в молоці, чорному хлібі, бобових, яйцях, печінці., а також у горіхах, гарбузовому та соняшниковому насінні. Характерною є радіозахисна властивість горіхів і насіння, які мають низький вміст радіонуклідів та хімічних токсинів.
Добова потреба у такому антиоксиданті як токоферол (вітамін Е) становить 20 мг. Цього вітаміну багато у зародках злаків (2,5 г на 100 г) та висівковому хлібі, а також міститься він у горіхах та насінні (соняшниковому й гарбузовому).
Для запобігання шкідливого впливу радіоактивних 137Cs та 90 Sr необхідно насичувати організм солями калію та кальцію. Багато калію міститься в овочах (огірки) і фруктах, кальцію – в домашньому сирі і молоці. Добова потреба в кальції для дорослої людини становить 800 мг, для дітей 1200 мг. Цю потребу можуть задовольнити 100 г сиру або 0,5 л молока.
Особливе значення в умовах радіоактивного забруднення в харчовому раціоні мають кровотворні мікроелементи – залізо, мідь, манган та кобальт. Добова потреба в мангані становить 5 мг, міді – 2 мг і заліза – 14 мг. Багато цих мікроелементів міститься в м’ясних продуктах, печінці, крові, яблуках та вівсяній крупі. Нестача такого елемента як йод спричинює гіперплазії щитоподібної залози. Поповнити дефіцит йоду можна за рахунок вживання йодованої солі, а також морській рибі, водоростях.
До раціону слід включати кавуни й дині, багаті на органічні кислоти, пектинові речовини, каротин й калій.
Корисним продуктом є бобові, особливо квасоля, що містить повноцінний білок, метіонін, цистин, полі ненасичені жирні кислоти та магній. Магній сприяє оптимальному засвоєнню кальцію і перешкоджає засвоєнню радіоактивного 90 Sr. Щодня потрібно споживати 150–200 г яблук, абрикос, персиків, слив та вишень.
Висновок
Основну частину опромінення населення земної кулі одержує від природних джерел випромінювань. Більшість з них такі, що уникнути опромінення від них неможливо. Протягом всієї історії існування Землі різні види випромінювання попадають на поверхню Землі з Космосу і надходять від радіоактивних речовин, що знаходяться у земній корі.
Радіаційний фон, що утворюється космічними променями, дає менше половини зовнішнього опромінення, яке одержує населення від природних джерел радіації. Космічні промені переважно приходять до нас з глибин Всесвіту, але деяка певна їх частина народжується на Сонці під час сонячних спалахів. Космічні промені можуть досягати поверхні Землі або, взаємодіяти з її атмосферою, породжуючи повторне випромінювання і призводячи до утворення різноманітних радіонуклідів. Опромінення від природних джерел радіації зазнають усі жителі Землі, проте одні з них одержують більші дози, інші - менші.
Це залежить, зокрема, від того, де вони живуть. Рівень радіації в деяких місцях залягання радіоактивних порід земної кулі значно вищий від середнього, а в інших місцях - відповідно нижчий. Доза опромінення залежить також і від способу життя людей.
За підрахунками наукового комітету по дії атомної радіації ООН, середня ефективна еквівалентна доза зовнішнього опромінення, яку людина одержує за рік від земних джерел природної радіації, становить приблизно 350мкЗв, тобто трохи більше середньої дози опромінення через радіаційний фон, що утворюється космічними променями.
Людина зазнає опромінення двома способами - зовнішнім та внутрішнім. Якщо радіоактивні речовини знаходяться поза організмом і опромінюють його ззовні, то у цьому випадку говорять про зовнішнє опромінення. А якщо ж вони знаходяться у повітрі, яким дихає людина, або у їжі чи воді і потрапляють всередину організму через органи дихання та кишково-шлунковий тракт, то таке опромінення називають внутрішнім.
Список використаних джерел
1. Гандзюк М.П., Желібо Є.П., Халімовський М.О. Основи охорони праці: Підручник для студ. вищих навч. закладів. - К.: Каравелла, 2003.
2. Геврик Є.О. Охорона праці. - К.: Ельга; Ніка-Центр, 2003.
3. Желібо Є.П., Заверуха Н. М., Зацарний В.В. Безпека життєдіяльності / За ред. Є.П. Желібо. - К.: Каравела, 2003.
4. Жидецький В.Ц. Основи охорони праці. - Львів: Афіша, 2002.
5. Основи охорони праці / За ред. Гандзюка М.П., Купчика М.П. - К.: Основа, 2000.
6. Основи охорони праці / За ред. Комаренський М.П. - К.: Основа, 2004.
7. Основи охорони праці / За ред. Яворівський Г.Н. – К., 2002.
>
>
>
>
>
>
>
>
>