Использование качественных методов теории принятия решений в процессе построения UFO-моделей
Міністерство освіти і науки України
Харківський національний університет радіоелектроніки
Факультет прикладної математики та менеджменту
Кафедра соціальної інформатики
Магістерська атестаційна робота
Використання якісних методів теорії прийняття рішень у процесі побудови UFO-моделей
Магістрант: гр. КСмаг-05-1 Рінгіс А.В.
Науковий керівник: доц. Єльчанінов Д.Б.
Зав. кафедри Соловйова К.О.
2006
Реферат
Об’єкт дослідження – процес побудови UFO-моделей.
Мета роботи – дослідження можливості використання якісних методів прийняття рішень у процесі побудови UFO-моделей.
Методи дослідження – якісні методи теорії прийняття рішень та сучасні комп’ютерні технології обробки табличних даних.
Результати роботи:
– критерії оцінки UFO-моделі;
− класифікація UFO-моделей у Microsoft Excel;
− UFO-моделі систем телемеханіки
прийняття рішень, класифікація, UFO-аналіз, моделювання, табличний процесор
Реферат
Объект исследования – процесс построения UFO-моделей.
Цель работы – исследование возможности использования качественных методов принятия решений в процессе построения UFO-моделей.
Методы исследования – качественные методы теории принятия решений и современные компьютерные технологии обработки табличных данных.
Результаты работы:
– критерии оценки UFO-модели;
− классификация UFO-моделей в Microsoft Excel;
− UFO-модели систем телемеханики.
принятие решений, классификация, UFO-анализ, МОДЕЛИРОВАНИЕ, табличный процессор
Abstract
Research object – process of UFO-models construction.
Work purpose – researching of possibility of verbal decision-making methods using in process of UFO-models construction.
Research methods – verbal decision-making methods and modern computer technologies of tabular data processing.
Work results:
– UFO-model evaluation criteria;
− classification of UFO-models in Microsoft Excel;
− UFO-models of telemechanics systems.
decision-making, classification, UFO-analysis, modeling, tabular processor
Содержание
Введение
1. Обзор современного состояния проблемы
1.1 Автоматизация построения UFO-моделей
1.2 Методы решения задачи выбора
1.3 Качественные методы принятия решений
1.3.1 Метод запрос ранжирования многокритериальных альтернатив
1.3.2 Метод шнур выбора лучшей многокритериальной альтернативы
1.3.3 Метод оркласс порядковой классификации альтернатив
1.3.4 Метод цикл порядковой классификации альтернатив
1.3.5 Метод клара порядковой классификации альтернатив
1.4 Определение множества критериев
1.5 Постановка задачи
2. Многокритериальная оценка UFO-модели
2.1 Критерии оценки UFO-модели
2.2 UFO-модели с двумя лучшими значениями по критериям
2.3 UFO-модели с одним лучшим значением по некоторому критерию
2.4 UFO-модели с не лучшими значениями по всем критериям
2.5 Сравнение UFO-моделей
3. Классификация UFO-моделей в Microsoft Excel
3.1 Описание UFO-моделей в Microsoft Excel
3.2 Анализ классов UFO-моделей
4. Использование порядковой классификации в процессе UFO-моделирования систем телемеханики
4.1 Общие сведения о фирме «Технокон»
4.2 Стратегия работы с заказчиком
4.3 Порядковая классификация UFO-моделей системы телемеханики
Выводы
Перечень ссылок
Введение
Основой процесса построения моделей систем является библиотека готовых компонентов. Эффективным является подход, при котором задается контекстная диаграмма, определяющая внешние связи системы, а соединение входов и выходов осуществляется в автоматическом (полуавтоматическом) режиме.
В результате могут получиться несколько конфигураций, соответствующих заданной контекстной диаграмме. Поэтому естественно возникает проблема выбора наилучшей конфигурации.
Задача выбора наиболее предпочтительной модели системы из имеющегося перечня конфигураций относится к классу задач стратегического выбора.
Выбор того или иного принципа решения задачи является важным методологическим этапом. Известны различные подходы к решению задачи стратегического выбора наиболее предпочтительного варианта.
Для решения задачи выбора конфигурации системы можно использовать подход, который базируется на принципах, заложенных в методах вербального анализа решений.
Целью данной магистерской аттестационной работы является исследование возможности использования качественных методов принятия решений в процессе построения UFO-моделей.
Полученные результаты можно использовать в процессе UFO-анализа, а также для внедрения в CASE-инструментарии, используемые в процессе моделирования систем.
1. Обзор современного состояния проблемы
1.1 Автоматизация построения UFO-моделей
При создании моделей организационных систем используют один из двух разных подходов (а часто и оба одновременно): «снизу-вверх» и «сверху-вниз». При использовании подхода «сверху-вниз» сначала строится контекстная диаграмма системы, которая затем подвергается декомпозиции на подсистемы.
Декомпозиция определяет разбиение системы на подсистемы и их взаимодействие между собой. Создание диаграммы декомпозиции является довольно сложным процессом, требующим большого практического опыта.
Основой процесса построения моделей организационных систем является библиотека готовых компонентов. Использование стандартных проверенных на практике библиотек делает процесс моделирования более простым и эффективным. Однако до сих пор этот процесс осуществляется вручную. В таких популярных и широко применяемых системах моделирования как BPwin и Rational Rose размещение компонента на диаграмме осуществляется с помощью «мыши» [1, 2].
Гораздо более эффективным, чем рисование большого количества компонентов вручную, является подход, при котором задается контекстная диаграмма, определяющая внешние связи организационной системы, а соединение входов и выходов осуществляется в автоматическом или хотя бы полуавтоматическом режиме.
Именно такой подход реализован в CASE-средстве UFO-toolkit, предназначенном для анализа и моделирования бизнес-систем. Этот подход основан на формальных математических результатах, обеспечивающих [3]:
выбор компонентов, необходимых для построения модели системы;
исключение компонентов, бесполезных для моделирования системы;
описание всех возможных связей между подсистемами;
построение простых одно-, двух- и трехуровневых моделей системы;
построение сложных многоуровневых конфигураций системы.
В результате могут получиться несколько конфигураций, соответствующих заданной контекстной диаграмме. Поэтому естественно возникает проблема выбора наилучшей конфигурации UFO-модели.
1.2 Методы решения задачи выбора
организационный качественный решение моделирование
Задача выбора наиболее предпочтительной модели организационной системы из имеющегося перечня конфигураций относится к классу задач стратегического выбора, характеризующихся следующими особенностями [4]:
имеется сравнительно немного (не более 10) вариантов, из которых нужно выбрать один, наилучший;
варианты оцениваются по многим критериям, среди которых могут быть как количественные, так и качественные критерии, при этом последние преобладают;
рассматриваемые варианты, как правило, являются несравнимыми по своим оценкам;
существует большая неопределенность в оценках вариантов по критериям, неустранимая на момент принятия решений;
принимаемое решение относится к будущему, и его последствия имеют долгосрочный характер;
имеется ЛПР, несущее основную ответственность за результат принятия решений;
задачей ЛПР является выбор наилучшего варианта, соответствующего его целям.
Выбор того или иного принципа решения задачи является важным методологическим этапом [5]. Известны различные подходы к решению задачи стратегического выбора наиболее предпочтительного варианта. Так, в литературе широко представлены методы, основанные на применении математического аппарата, который базируется на активном использовании понятия «взвешенных сумм». Такой подход более известен как теория многокритериальной полезности (Multi-Attribute Utility Theory – MAUT) [6].
Например, в статье [7] рассматривается процедура принятия решения по выбору сложной технической системы, в данном случае корпоративного сервера, которая базируется на активном использовании «взвешенных сумм». Методология выбора серверов для решения прикладных задач является ключевым моментом статьи. Помимо инженерно-технических аспектов, в этой статье в процессе выбора учитывается множество эксплуатационных, экономических, политических и психологических факторов. Отметим, что задачи выбора корпоративного сервера и модели организационной системы достаточно близки, так как основаны на анализе конфигурации, собранной из некоторого набора элементов.
Использование подхода MAUT для решения задачи выбора конфигурации сложной технической или организационной системы не всегда целесообразно по следующим причинам. Метод MAUT рекомендуется применять для решения задач с большим числом альтернатив, оцененным по небольшому числу критериев. Однако, и в случае выбора серверов, и в случае выбора конфигурации организационной системы, как правило, сравниваемых вариантов не много (не более 10), и они характеризуются большим числом признаков. Кроме того, обычно все варианты несравнимы друг с другом по своим характеристикам. Построение многомерной функции полезности требует больших временных затрат. В частности, в работе [8] описана подобная процедура, которая потребовала восьми часов работы ЛПР. Когда альтернатив много и возможна ситуация, при которой к имеющимся альтернативам добавятся в будущем еще и дополнительные, то такие временные затраты оправданы. В противном случае имеет смысл применить другую методологию.
Количественная оценка некоторых критериев, используемых для сравнения конфигураций сложной технической или организационной системы, носит искусственный характер. В качестве примера приведем критерий «функциональная эффективность». Оценки по упомянутым критериям в большинстве случаев дают эксперты, и они плохо поддаются расчету [9]. Использование балльной шкалы оценок по критериям не учитывает особенности системы переработки информации человека (особенно, если выбирается градация из 7 и более оценок).
Поэтому при оценке объектов по критериям и назначении весов критериев могут возникнуть различные ошибки. Есть ряд работ, посвященных этому вопросу [10, 11], которые показывают, что методы MAUT чувствительны к ошибкам в числовых измерениях. И, наконец, строго доказано [6], что использование взвешенной суммы критериальных оценок корректно только в том случае, когда критерии попарно независимы по предпочтению.
Для решения задачи выбора конфигурации организационной системы можно использовать подход, который базируется на принципах, заложенных в методах вербального анализа решений [4]. Вербальный анализ решений ориентирован на так называемые слабо структурированные задачи, где качественные и субъективные факторы доминируют. Методы вербального анализа решений имеют психологическое обоснование. В них используются такие операции получения информации от ЛПР и экспертов, которые по результатам проведенных психологических экспериментов считаются надежными [12]. Кроме того, информация, получаемая от ЛПР, проверяется на непротиворечивость, а выявленные противоречия предъявляются ЛПР для анализа и разъяснения. В методах этой группы используются лишь вербальные оценки альтернатив по критериям, к которым не применяются количественные преобразования. Оценка и сравнение могут проводиться как для всех гипотетически возможных, так и для конкретных альтернатив.
Особенность рассматриваемых объектов выбора (конфигурации сложных организационных систем) состоит в том, что они характеризуются большим числом показателей.
Поскольку вариантов немного, то обычно все варианты несравнимы друг с другом по своим характеристикам. И предлагаемые методы решения задачи выбора лучшего объекта применять неэффективно. Поэтому для использования одного из методов вербального анализа решений необходимо решить еще одну вспомогательную, но крайне важную задачу: построить процедуру, которая позволяет агрегировать большое число базовых характеристик в небольшое число критериев, имеющих порядковые шкалы оценок (количественные и качественные). Можно ожидать, что сокращенное описание объектов позволит упростить процедуру решения исходной задачи выбора.
1.3 Качественные методы принятия решений
1.3.1 Метод запрос ранжирования многокритериальных
альтернатив
Задачи ранжирования альтернатив, имеющих оценки по многим критериям, широко распространены на практике и характеризуются следующими особенностями:
имеется достаточно большое количество альтернатив и критериев;
используются порядковые шкалы критериев с вербальными оценками;
оценки альтернатив могут быть получены только от людей, играющих роль «измерительных устройств»;
правило принятия решения должно быть выработано до появления реально сравниваемых объектов.
Для решения подобных задач ранжирования альтернатив ранее был разработан метод запрос (замкнутые процедуры у опорных ситуаций) – первый из методов вербального анализа решений. Метод запрос I был опубликован в 1978 г. [13]. Вторая версия этого метода – запрос II (ЛМ) [14, 15] содержала дальнейшее развитие идей работы [13]. Обе версии были основаны на похожих процедурах получения информации от ЛПР, и предназначены для построения квазипорядка на множестве альтернатив.
Метод запрос III [16] является новым этапом развития предложенного ранее подхода. В отличие от предыдущих версий в методе запрос III:
реализована улучшенная процедура построения единой порядковой шкалы изменений качества для всех критериев;
существенно уменьшено количество несравнимых альтернатив по сравнению с методом запрос II;
впервые дана оценка «разрешающей силы» метода.
Рассмотрим одну из личных проблем принятия решения, весьма актуальную для аспирантов и студентов: выбора снимаемой квартиры или комнаты на время учебы.
Предположим, что ЛПР определил как наиболее важные для него следующие критерии оценки квартир с порядковыми вербальными шкалами, упорядоченными от лучшей оценки к худшей:
цена квартиры:
ниже типичной для района;
близка к типичной для района;
выше типичной для района;
близость квартиры к метро:
можно добраться до метро за 10 минут;
можно добраться до метро в пределах получаса;
можно добраться до метро в течение почти часа или более;
близость квартиры к месту учебы:
учеба находится в 3-4 остановках метро от квартиры;
учеба и квартира находятся на одной линии метро;
чтобы добраться до учебы нужны пересадки в метро;
тип района:
безопасный район, охраняемая зона, хорошая экология;
средний по криминогенности район, типичная городская экология;
опасный, криминогенный район или промышленная зона;
наличие мебели:
квартира полностью обставлена;
в квартире имеется минимум мебели;
квартира без мебели.
Политика выбора квартиры уже частично определена в приведенных выше формулировках критериев и их шкал. Кроме этого, необходимо выработать правило, позволяющее сравнивать многочисленные варианты, поступающие к ЛПР из различных источников. Можно предположить заранее, что квартиры могут иметь достаточно разнообразные оценки. Поэтому возникает задача ранжирования всех возможных сочетаний по приведенным выше критериям.
1.3.2 Метод шнур выбора лучшей многокритериальной
альтернативы
Задачи ранжирования альтернатив по качеству и выбора лучшей из них являются близкими в том смысле, что последовательное выделение лучших альтернатив из заданного множества позволяет осуществить их ранжирование.
В рамках подхода вербального анализа решений ранее [14] был предложен метод парк (парная компенсация), ориентированный на выбор лучшей альтернативы из группы заданных многокритериальных альтернатив на основе их парного сравнения, который позволил решить важные практические задачи [17]. Однако метод парк имеет существенные ограничения:
метод не предназначен для выбора не более чем 3-5 альтернатив;
в методе используются парные сравнения всех, в том числе не существующих вариантов решений;
шкалы критериев имеют только вербальные оценки;
предположения о возможных процедурах получения информации от ЛПР не подкреплены психологическими исследованиями.
Для преодоления указанных недостатков был предложен человеко-машинный метод шнур (шкала нормализованных упорядоченных различий) для выбора лучшей из группы альтернатив [18-20], который имеет следующие особенности. Прежде всего, в нем активно используются возможности компьютера, который без участия ЛПР попарно сравнивает все альтернативы по определенным правилам, анализируя их сходства и различия. При этом компьютер подготавливает наиболее эффективный процесс опроса ЛПР, что создает возможности для анализа большой группы альтернатив. Во-вторых, некоторые количественные критерии (например, стоимость) также могут рассматриваться как естественный и удобный язык выражения предпочтений ЛПР. Метод позволяет работать как с качественными, так и с количественными оценками альтернатив по критериям. Тем самым, метод шнур расширяет и дополняет возможности других методов вербального анализа решений.
Весьма актуальными в рыночной экономике являются проблемы выбора лучшего объекта для инвестиций. Приведем пример одной из таких задач.
Фирма ищет место для постройки крупного универсального магазина [18]. Предварительный анализ показал, что имеются четыре возможных места его постройки. Решая задачу выбора места для магазина, правление фирмы решило руководствоваться следующими критериями:
количество мест для парковки автомашин (К1);
наличие поблизости конкурентов (К2);
плотность населения в радиусе километра (К3);
стоимость участка (К4);
поток общественного транспорта (К5);
видимость магазина с главной улицы (К6);
существующая инфраструктура (К7).
Заранее намеченные варианты места постройки магазина были оценены экспертами, причем использовались критерии, имевшие шкалы оценок либо в натуральных единицах, либо вербальные. Варианты размещения магазина с оценками представлены в таблице 1.1.
Таблица 1.1 – Варианты места постройки магазина
|
Критерий |
Направление |
Варианты |
|||
|
А1 |
А2 |
А3 |
А4 |
||
|
К1 |
max |
400 |
300 |
250 |
150 |
|
К2 |
min |
1 |
5 |
3 |
5 |
|
К3 |
max |
200 |
4500 |
6000 |
7000 |
|
К4 |
min |
6 |
16 |
12 |
20 |
|
К5 |
max |
1 |
3 |
5 |
7 |
|
К6 |
max |
5 |
5 |
3 |
1 |
|
К7 |
max |
3 |
3 |
5 |
7 |
Обозначения max и min указывают на желательное направление изменения оценки по соответствующему критерию.
Все качественные критерии имели следующие одинаковые шкалы оценок:
плохая (низкая, мало) – 1;
средняя – 3;
хорошая (высокая, много) – 5;
очень хорошая (высокая, много) – 7.
1.3.3 Метод оркласс порядковой классификации альтернатив
Задачи классификации объектов, обладающих совокупностью многих признаков, относятся к наиболее распространенным на практике задачам принятия решений. Многокритериальные задачи классификации отличаются от других многокритериальных задач принятия решений тем, что в них не требуется ранжировать альтернативы. Достаточно распределить их между несколькими классами. Во многих случаях эти классы могут быть упорядочены по качеству, по предпочтительности, по степени выраженности некоторого свойства и тому подобное. Например, объекты, отнесенные к первому классу, имеют лучшее качество, более предпочтительны для ЛПР или более характерны для некоторого свойства, чем объекты, отнесенные ко второму классу и так далее.
Несмотря на распространенность подобного рода задач, их теоретическое исследование, как задач принятия решений, проводилось в небольшом числе работ [21-24]. Одним из первых методов, предназначенных для решения задачи порядковой многокритериальной классификации как задачи принятия решения, был метод оркласс (ординальная классификация) [14, 23, 25], реализованный в виде интерактивной компьютерной системы.
Ряд предприятий, нуждающихся в финансовых средствах, обратились в коммерческий банк с просьбой о предоставлении займов. Правление банка поручило своему члену, курирующему кредитные подразделения банка, выработать единую политику предоставления кредитов.
От ЛПР требуется сформулировать четкое правило: в каких случаях и на каких условиях следует предоставлять кредиты предприятиям, а когда им следует отказывать в кредитах.
Исходя из целей банка, для оценки заемщиков, обратившихся за кредитом, ЛПР разработал следующие критерии, имеющие шкалы оценок, упорядоченных от лучшей (первой) к худшей (последней):
репутация клиента:
процветающее, успешное предприятие;
достаточно стабильное предприятие;
стабильность предприятия вызывает сомнения;
кредитная история:
положительная;
отсутствует;
отрицательная;
ликвидность залога:
высокая;
средняя;
низкая.
Поскольку заранее не известно, какие именно клиенты обратятся за кредитом, нужно определить правила принятия решений для клиентов, характеризуемых любыми комбинациями из представленных выше значений оценок. Ясно, что банку выгодно дать кредит процветающему предприятию с хорошей кредитной историей при высокой ликвидности залога. Столь же ясно, что не следует давать кредит клиенту с сомнительной репутацией, плохой кредитной историей при невысокой ликвидности залога. Но как должен действовать банк в менее очевидных случаях? Для построения таких решающих правил ЛПР может использовать метод оркласс.
1.3.4 Метод цикл порядковой классификации альтернатив
Важнейшим критерием качества алгоритма классификации является количество вопросов, задаваемых ЛПР для получения решающих правил классификации. Время опытного специалиста, руководителя очень ценно, поэтому его необходимо использовать максимально эффективно. Одна из наиболее продуктивных идей в направлении минимизации общего числа вопросов к ЛПР в процессе построения полной классификации состоит в использовании так называемых цепных покрытий множества векторных оценок.
Метод классификации, основанный на цепном покрытии, состоит в последовательном использовании принципа дихотомии для всех цепей покрытия.
Существует много различных способов построения цепных покрытий множества векторных оценок. В частности, Ж. Ансель [26, 27], занимаясь изучением монотонных функций алгебры логики, доказал существование и предложил алгоритм построения минимального цепного покрытия пространства, образованного двоичными шкалами критериев. В.Б. Алексеев [28] обобщил алгоритм построения минимального цепного покрытия на случай произвольных шкал критериев.
В работах [28-30] предложены алгоритмы расшифровки монотонных функций алгебры логики, основанные на цепном покрытии пространства векторных оценок.
Важно отметить, что эти алгоритмы используют статическое цепное покрытие, т.е. покрытие пространства строится до начала классификации и не изменяется в процессе опроса. Однако можно предположить, что использование информации, полученной из ответов ЛПР, для изменения цепного покрытия, позволит сконструировать более эффективный, т.е. задающий меньшее число вопросов алгоритм. Впервые эта идея динамического построения цепного покрытия была применена в алгоритме дифкласс [31], предназначенном для построения классификации в задачах с двоичными шкалами критериев и двумя классами решений. Позднее был разработан алгоритм цикл (цепная итеративная классификация), позволяющий строить полные и непротиворечивые классификации в задачах с произвольными количествами оценок по критериям и произвольным количеством классов решений [32, 33].
Рассмотрим следующую практическую задачу. Готовясь к путешествию, турист рассматривает варианты выбора отеля. Варианты проживания описываются следующим набором критериев с оценками, упорядоченными по убыванию качества:
класс отеля:
5 звезд;
4 звезды;
3 звезды;
2 звезды и хуже;
расположение отеля:
тихое место;
иногда шумно;
часто шумно;
стоимость проживания:
ниже обычной;
обычная;
выше обычной;
время в пути до пляжа:
меньше 10 минут;
от 10 до 20 минут;
больше 20 минут;
развлечения:
много;
среднее количество;
мало;
кухня:
изысканная;
обычная;
наличие места для прогулок:
много;
достаточно;
мало.
Требуется построить классификацию, т.е. отнести произвольный рассматриваемый отель, имеющий любое сочетание оценок по критериям, к одному из двух классов решений:
привлекательный вариант, рассматривать далее;
неудовлетворительный вариант, исключить из рассмотрения.
1.3.5 Метод клара порядковой классификации альтернатив
Методы оркласс и цикл позволяют построить классификацию полного множества объектов. Однако на практике часто нужно классифицировать не все возможные альтернативы, а только их некоторое подмножество.
Во всех развитых странах мира существует необходимость оценки коллективов, проводящих фундаментальные научные исследования. Предположим, что ЛПР поставило задачу разделения исследовательских коллективов на два класса: хорошие и средние. Для оценки коллективов предложены следующие критерии:
публикации в журналах Академии наук:
большое число;
среднее;
небольшое;
публикации в зарубежных журналах:
большое число;
среднее;
небольшое;
принятые доклады на международные конференции:
большое число;
среднее;
небольшое;
участие в оргкомитетах международных конференций:
интенсивное;
удовлетворительное;
слабое;
визиты за рубеж за счет принимающей стороны:
большое число;
небольшое.
Всего комбинаций оценок: 162.
Пусть имеются 22 коллектива, получившие оценки экспертов. Нужно разделить коллективы на два класса в соответствии с предпочтениями ЛПР, и, желательно, решить эту задачу за минимальное число обращений к ЛПР. Очевидно, что использование метода оркласс или цикл для классификации всех 162 возможных ситуаций неэффективно, т.к. они требуют значительного числа вопросов к ЛПР. Существует метод клара (классификация реальных альтернатив) [34-36], направленный на решение данного типа задач.
1.4 Определение множества критериев
Выбор критериев и формирование шкал оценок является задачей, которая решается ЛПР самостоятельно или с привлечением информационного аналитика. Предлагаются следующие подходы к ее решению [37].
Первоначально составляется перечень всех базовых показателей, характеризующих отдельные компоненты организационной системы, систему в целом и ее окружение. Характеристики, описывающие организационную систему, можно представить в виде иерархической системы, нижним уровнем которой служат выделенные базовые показатели. Некоторые из базовых показателей удобно объединять в составные показатели, которые выступают как оценки следующего уровня иерархии. После классификации эти общие оценки наполняются конкретным содержанием.
Следующим этапом является формирование вспомогательных шкал оценок для каждого базового показателя. Шкалы могут иметь числовые точечные, интервальные или вербальные (словесные) оценки. Шкалы оценок могут совпадать с обычно используемыми на практике, либо конструироваться специально для данного критерия. Для сокращения размерности описания объекта часто бывает удобно перейти от непрерывной шкалы оценки к дискретной шкале, имеющей небольшое число оценок на шкале. Например, можно оценивать стоимость оценками «низкая», «средняя», «высокая», указав для каждой из оценок соответствующие интервалы величин. Все сформированные оценки ЛПР должно упорядочить от лучшей к худшей.
Далее ЛПР по своему усмотрению определяет число и состав критериев, их содержание. В качестве критерия можно выбрать один из базовых показателей или несколько характеристик, объединенных в составной критерий. ЛПР устанавливает, какие показатели будут считаться самостоятельными критериями, а какие будут отнесены к тому или иному составному критерию. Шкалы простых критериев, являющихся базовыми показателями, уже построены на предыдущем этапе. Для формирования шкал оценок по составным критериям можно воспользоваться несколькими процедурами.
Наиболее простым способом конструирования порядковой шкалы для составного критерия является использование однотипных наборов порядковых вербальных шкал базовых показателей и объединение одинаковых оценок в одну общую оценку по принципу: все лучшие оценки по базовым показателям образуют лучшую оценку по составному критерию, все средние оценки – среднюю, все худшие оценки – худшую.
Более сложные процедуры предполагают применение методов ЗАПРОС и ЦИКЛ [14, 36, 38], в которых необходимо рассматривать множество всех возможных векторных оценок в критериальном пространстве, образованном декартовым произведением значений оценок на шкалах критериев. Метод ЗАПРОС позволяет построить единую порядковую шкалу, формируя ее из оценок по отдельным частным критериям, с помощью которой производится частичное упорядочение многопризнаковых объектов. Метод ЦИКЛ предназначен для построения полной непротиворечивой порядковой классификации многопризнаковых объектов. В нашем случае в качестве таких многопризнаковых объектов выступают наборы оценок по базовым показателям, образующим составной критерий. При формировании шкалы оценок составного критерия важно также учесть, что одна часть характеристик, входящих в состав подобного критерия, может рассматриваться как самостоятельная, а другая часть характеристик может быть составной. Поэтому процедура построения шкалы составного критерия сама может состоять из нескольких этапов.
Сконструированные критерии, имеющие порядковые шкалы оценок, используются для решения первоначальной задачи многокритериального выбора. После перехода от числовых или вербальных оценок базовых показателей к критериальным оценкам может случиться так, что варианты станут сравнимыми и, более того, некоторый вариант (или некоторые) окажется наилучшим. Если же наилучший вариант сразу выделить нельзя, то для его нахождения можно воспользоваться одним из методов вербального анализа решений, например ПАРК [14] или КОМПАС [39]. В этом случае размерность описания такой новой задачи многокритериального выбора и сложность ее решения будут существенно меньше исходной.
Рассмотренный подход позволяет решать достаточно широкий круг задач выбора различных технических и программных средств. С каждым годом с учетом многообразия новых аппаратных решений и появления новых программных продуктов, специалистам в области информационных технологий становится все сложнее отслеживать новинки и, соответственно, правильно осуществлять выбор сложных технических систем. В работе [40] в качестве примера подобной технической системы рассматриваются вычислительные кластеры. Подобные задачи особенно актуальны для организаций, предоставляющих консалтинговые услуги в области информационных технологий.
Подход позволяет ЛПР существенно сократить время, необходимое для выбора наиболее предпочтительного вычислительного кластера, и воспользоваться услугами экспертов. При этом нет необходимости самостоятельно проводить достаточно сложное тестирование многочисленных вариантов конфигураций вычислительных кластеров совместно с программным обеспечением, что, зачастую, просто невозможно, исходя из чисто технических и организационных аспектов.
В рамках рассматриваемого подхода в работе [40] предложена процедура построения составных критериев путем агрегирования более простых критериев. Важной особенностью процедуры является возможность сформировать разные наборы критериев, с тем, чтобы сравнить полученные результаты для разных вариантов с целью оценки качества выбора. Методика агрегирования базовых характеристик объекта в составные критерии оценки была опробована на примере решения практической задачи многокритериального выбора вычислительных кластеров.
1.5 Постановка задачи
Проведенный анализ современного состояния проблемы показывает, что:
результатом моделирования системы может быть несколько конфигураций, соответствующих заданной контекстной диаграмме;
существует множество подходов к решению задачи выбора лучшей конфигурации;
результат выбора зависит от набора критериев и их шкал оценок.
Целью данной магистерской аттестационной работы является исследование возможности использования качественных методов принятия решений в процессе построения UFO-моделей.
Достижение сформулированной цели связано с решением следующих задач:
разработка подхода к определению критериев оценки UFO-модели;
исследование UFO-моделей на основании предложенных критериев;
осуществление классификации UFO-моделей в Microsoft Excel;
применение полученных результатов в процессе UFO-моделирования.
2. Многокритериальная оценка UFO-модели
2.1 Критерии оценки UFO-модели
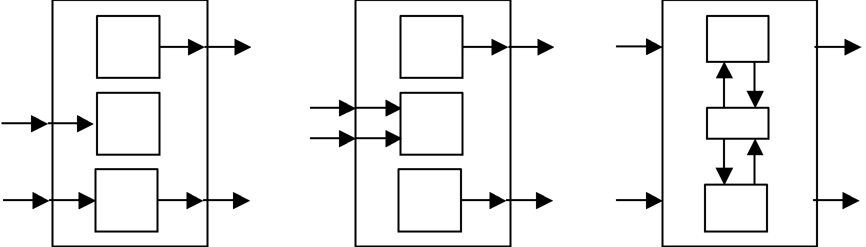
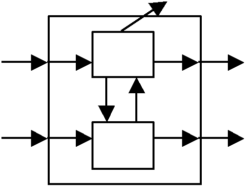
Рассмотрим систему с двумя входами и двумя выходами (рис. 2.1).

Рисунок 2.1 – Система с двумя входами и двумя выходами
Входы этой системы могут быть соединены с ее выходами с помощью некоторых других подсистем. Существует много вариантов соединения входов с выходами. По каким критериям можно оценить эти варианты?
Одним из таких критериев может быть количество подсистем. Чем меньше количество подсистем, тем лучше. Максимальное количество подсистем определяется, например, требованиями заказчика проектируемой системы.
Другим критерием может являться количество внутренних связей. Чем меньше количество внутренних связей, тем лучше. Максимальное количество внутренних связей задается также при проектировании системы.
Наконец, третьим критерием может выступать количество внешних («висящих») связей, которые могут образоваться у системы как результат процесса соединения ее входов и выходов с помощью подсистем, имеющих избыточное количество входов и выходов.
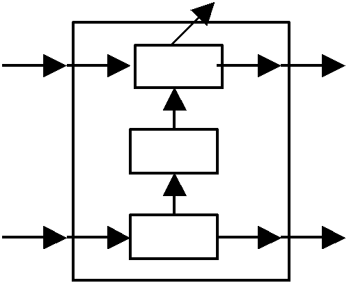
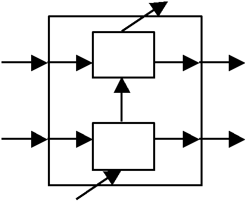
Таким образом, исходя из сформулированных трех критериев, наилучшим вариантом реализации системы, изображенной на рис. 2.1, является вариант, показанный на рис. 2.2.

Рисунок 2.2 – Наилучший вариант реализации системы
Рассмотренный пример показывает, что критерии «количество подсистем» и «количество висящих связей» не зависят от заданной системы. Для любой системы наилучшим значением критерия «количество подсистем» будет 1, а наилучшим значением критерия «количество висящих связей» будет 0.
Что касается критерия «количество внутренних связей», то его наилучшее значение полностью определяется количеством входов и выходов заданной системы (точнее, их суммой). В рассмотренном примере наилучшим значением критерия «количество внутренних связей» будет 4.
Как было сказано выше, максимальные допустимые значения рассматриваемых критериев задаются требованиями заказчика проектируемой системы. Пусть максимально допустимым значением критерия «количество подсистем» будет 3, критерия «количество внутренних связей» – 6, а «количество висящих связей» – 2. Тогда шкалы рассматриваемых критериев будут иметь вид, показанный на рис. 2.3.

Рисунок 2.3 – Порядковые шкалы значений критериев
При таких значениях критериев общее количество разных гипотетически возможных вариантов реализации системы, показанной на рис. 2.1, равно 33 = 27. Наилучший вариант реализации этой системы, показанный на рис. 2.2, формально можно описать вектором (1, 4, 0). Здесь и далее значение первого компонента вектора показывает количество подсистем, значение второго компонента – количество внутренних связей, третьего – количество висящих связей. Например, вектор (2, 5, 1) формально описывает вариант реализации системы, состоящей из двух подсистем, пяти внутренних связей и одной висящей связи [41].
2.2 UFO-модели с двумя лучшими значениями по критериям
Рассмотрим все гипотетически возможные варианты реализации системы, показанной на рис. 2.1, исходя из сформулированных выше критериев и их шкал.
Наилучший вариант (1, 4, 0) реализации этой системы показан на рис. 2.2.
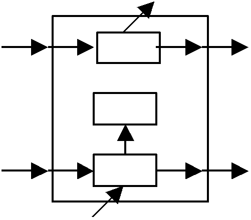
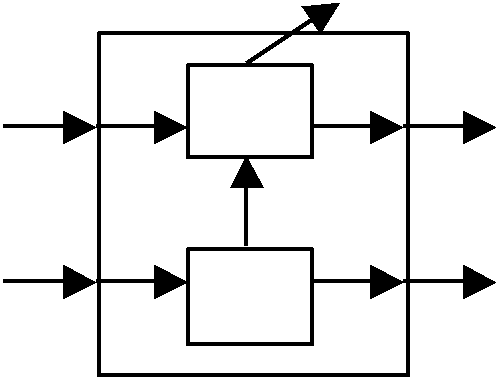
Зафиксируем значения первых двух компонент этого варианта, и чуть ухудшим значение последнего компонента. Получим вариант (1, 4, 1) реализации системы (рис. 2.4).

Рисунок 2.4 – Система с одной висящей связью
На рис. 2.4 изображена система с одной висящей выходной связью. Также варианту (1, 4, 1) реализации системы может соответствовать и система с одной висящей входной связью.
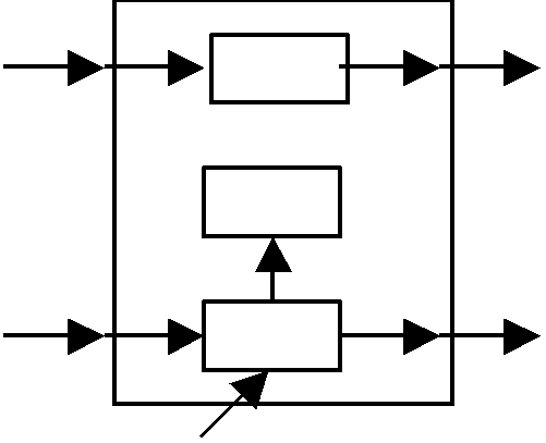
Продолжим ухудшать значение последнего компонента при фиксированных лучших значениях первых двух компонентов. Получим вариант (1, 4, 2) реализации системы (рис. 2.5).

Рисунок 2.5 – Система с двумя висящими связями
На рис. 2.5 изображена система с одной висящей входной связью и одной висящей выходной связью. Также варианту (1, 4, 2) реализации системы может соответствовать как система с двумя висящими входными связями, так и система с двумя висящими выходными связями.
Далее ухудшать значение последнего компонента невозможно (достигнуто последнее самое плохое значение по критерию «количество висящих связей»). Поэтому теперь зафиксируем самые лучшие значения первого и последнего компонента, и чуть ухудшим значение второго компонента. Получим формальный вариант (1, 5, 0) реализации системы (рис. 2.6).

Рисунок 2.6 – Система с одной «петлей»
Полученный формальный вариант реализации системы можно считать очень неудачным. Действительно, в этом случае подсистема на выход дает результат, который использует только она сама!
Продолжим ухудшать значение второго компонента при фиксированных лучших значениях первого и последнего компонентов. Получим вариант (1, 6, 0) реализации системы (рис. 2.7).

Рисунок 2.7 – Система с двумя «петлями»
Полученный формальный вариант реализации системы можно считать еще более неудачным, чем рассмотренный выше. В этом случае подсистема выдает уже два результата, которые использует только она сама!
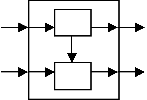
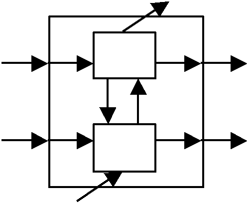
Далее ухудшать значение второго компонента невозможно (достигнуто последнее самое плохое значение по критерию «количество внутренних связей»). Поэтому теперь зафиксируем самые лучшие значения второго и третьего компонента, и чуть ухудшим значение первого компонента. Получим формальный вариант (2, 4, 0) реализации системы (рис. 2.8).

Рисунок 2.8 – Система с двумя подсистемами
На рис. 2.8 изображена система, у которой верхний вход связан с верхним выходом, а нижний вход – с нижним выходом. Также варианту (2, 4, 0) реализации системы может соответствовать и система, у которой верхний вход связан с нижним выходом, а нижний вход – с верхним выходом.
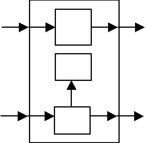
Продолжим ухудшать значение первого компонента при фиксированных лучших значениях последних двух компонентов. Получим вариант (3, 4, 0) реализации системы (рис. 2.9).

Рисунок 2.9 – Система с тремя подсистемами
Полученный формальный вариант реализации системы можно считать не очень удачным. Действительно, в этом случае с состав системы входит подсистема, которая ничего не делает!
Возможны и гораздо более худшие версии формального варианта (3, 4, 0) реализации, при которых полученная система является частично или полностью неработоспособной! Соответствующие примеры показаны на рис. 2.10.

Рисунок 2.10 – Частично и полностью неработоспособные системы
Далее ухудшать значение первого компонента невозможно (достигнуто последнее самое плохое значение по критерию «количество подсистем»).
Таким образом, из шести формально возможных вариантов реализации системы с двумя лучшими значениями по некоторым фиксированным критериям только один вариант (2, 4, 0) оказался работоспособным. Варианты (1, 5, 0) и (1, 4, 1) обладают по крайней мере одним недостатком, а варианты (1, 4, 2) и (1, 6, 0) – двумя. Вариант же (3, 4, 0) может обладать как одним недостатком, так и быть частично или даже полностью неработоспособным.
Справедливости ради стоит отметить, что и работоспособный вариант (2, 4, 0) тоже обладает полностью неработоспособной версией (рис. 2.11)!

Рисунок 2.11 – Изолированная замкнутая система
2.3 UFO-модели с одним лучшим значением по некоторому
критерию
Зафиксируем лучшее значение по первому критерию, а по второму и третьему – средние значения. Рассмотрим вариант (1, 5, 1).

Рисунок 2.12 – Система с одной «петлей» и висящей связью
На рис. 2.12 изображена система с одной висящей входной связью. Также варианту (1, 5, 1) реализации системы может соответствовать и система с одной висящей выходной связью. Вариант (1, 5, 1) обладает всеми недостатками своих «родителей» – вариантов (1, 4, 1) и (1, 5, 0) (рис. 2.4 и рис. 2.6 соответственно).
Ухудшим значение третьего критерия. Получим вариант (1, 5, 2).

Рисунок 2.13 – Система с одной «петлей» и двумя висящими связями
На рис. 2.13 изображена система с одной висящей входной связью и одной висящей выходной связью. Также варианту (1, 5, 2) реализации системы может соответствовать как система с двумя висящими входными связями, так и система с двумя висящими выходными связями. Вариант (1, 5, 2) также обладает всеми недостатками своих «родителей» – вариантов (1, 4, 2) и (1, 5, 0) (рис. 2.5 и рис. 2.6 соответственно).
Теперь рассмотрим вариант (1, 6, 1).

Рисунок 2.14 – Система с двумя «петлями» и одной висящей связью
На рис. 2.14 изображена система с одной висящей выходной связью. Также варианту (1, 6, 1) реализации системы может соответствовать и система с одной висящей входной связью. Вариант (1, 6, 1) обладает всеми недостатками своих «родителей» – вариантов (1, 4, 1) и (1, 6, 0) (рис. 2.4 и рис. 2.7 соответственно).
Ухудшим значение третьего критерия. Получим вариант (1, 6, 2).

Рисунок 2.15 – Система с двумя «петлями» и двумя висящими связями
На рис. 2.15 изображена система с одной висящей входной связью и одной висящей выходной связью. Также варианту (1, 6, 2) реализации системы может соответствовать как система с двумя висящими входными связями, так и система с двумя висящими выходными связями. Вариант (1, 6, 2) также обладает всеми недостатками своих «родителей» – вариантов (1, 4, 2) и (1, 6, 0) (рис. 2.5 и рис. 2.7 соответственно).
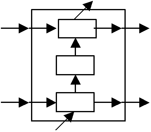
Зафиксируем теперь лучшее значение по второму критерию, а по первому и третьему – средние значения. Рассмотрим вариант (2, 4, 1).

Рисунок 2.16 – Система с двумя подсистемами и одной висящей связью
На рис. 2.16 изображена система с одной висящей выходной связью. Также варианту (2, 4, 1) реализации системы может соответствовать и система с одной висящей входной связью. На рис. 2.16 изображена система, у которой верхний вход связан с верхним выходом, а нижний вход – с нижним выходом. Также варианту (2, 4, 1) реализации системы может соответствовать и система, у которой верхний вход связан с нижним выходом, а нижний вход – с верхним выходом.
Ухудшим значение третьего критерия. Получим вариант (2, 4, 2).

Рисунок 2.17 – Система с двумя подсистемами и двумя висящими
связями
На рис. 2.17 изображена система с одной висящей входной связью и одной висящей выходной связью. Также варианту (2, 4, 2) реализации системы может соответствовать как система с двумя висящими входными связями, так и система с двумя висящими выходными связями. На рис. 2.17 изображена система, у которой верхний вход связан с верхним выходом, а нижний вход – с нижним выходом. Также варианту (2, 4, 2) реализации системы может соответствовать и система, у которой верхний вход связан с нижним выходом, а нижний вход – с верхним выходом.
Теперь рассмотрим вариант (3, 4, 1).

Рисунок 2.18 – Система с тремя подсистемами и одной висящей связью
На рис. 2.18 изображена система с одной висящей выходной связью. Также варианту (3, 4, 1) реализации системы может соответствовать и система с одной висящей входной связью.
Ухудшим значение третьего критерия. Получим вариант (3, 4, 2).

Рисунок 2.19 – Система с тремя подсистемами и двумя висящими
связями
На рис. 2.19 изображена система с одной висящей входной связью и одной висящей выходной связью. Также варианту (3, 4, 2) реализации системы может соответствовать как система с двумя висящими входными связями, так и система с двумя висящими выходными связями.
Зафиксируем теперь лучшее значение по третьему критерию, а по первому и второму – средние значения. Рассмотрим вариант (2, 5, 0).

Рисунок 2.20 – Система с двумя связанными подсистемами
На рис. 2.20 изображена система, у которой верхний вход связан с верхним выходом, а нижний вход – с нижним выходом. Также варианту (2, 5, 0) реализации системы может соответствовать и система, у которой верхний вход связан с нижним выходом, а нижний вход – с верхним выходом.
Ухудшим значение второго критерия. Получим вариант (2, 6, 0).

Рисунок 2.21 – Система с двумя дважды связанными подсистемами
На рис. 2.21 изображена система, у которой верхний вход связан с верхним выходом, а нижний вход – с нижним выходом. Также варианту (2, 6, 0) реализации системы может соответствовать и система, у которой верхний вход связан с нижним выходом, а нижний вход – с верхним выходом.
Теперь рассмотрим вариант (3, 5, 0).

Рисунок 2.22 – Система с тремя несвязанными подсистемами
Полученный вариант реализации системы можно считать не очень удачным. случае с состав системы входит подсистема, из которой ничего не выходит!
Ухудшим значение второго критерия. Получим вариант (3, 6, 0).

Рисунок 2.23 – Система с тремя связанными подсистемами
Таким образом, из двенадцати формально возможных вариантов реализации системы с одним лучшим значением по некоторому фиксированному критерию только три варианта (2, 5, 0), (2, 6, 0) и (3, 6, 0) оказались работоспособными. Варианты (3, 5, 0) и (2, 4, 1) обладают по крайней мере одним недостатком, варианты (1, 5, 1), (2, 4, 2) и (3, 4, 1) – двумя недостатками, варианты (1, 5, 2), (1, 6, 1) и (3, 4, 2) – тремя. Самым неудачным оказался вариант (1, 6, 2), обладающий четырьмя недостатками.
2.4 UFO-модели с не лучшими значениями по всем критериям
Исходя из сформулированных выше трех критериев, наихудшим вариантом реализации системы, изображенной на рис. 2.1, является вариант (3, 6, 2), показанный на рис. 2.24.

Рисунок 2.24 – Наихудший вариант реализации системы
Улучшим значение третьего критерия. Получим вариант (3, 6, 1).

Рисунок 2.25 – Система с тремя связанными подсистемами и висящей
связью
Теперь рассмотрим вариант (3, 5, 2).

Рисунок 2.26 – Система с тремя несвязанными подсистемами и
висящими связями
Улучшим значение третьего критерия. Получим вариант (3, 5, 1).

Рисунок 2.27 – Система с тремя несвязанными подсистемами и
висящей связью
Теперь рассмотрим вариант (2, 6, 2).

Рисунок 2.28 – Система с двумя связанными подсистемами и
висящими связями
Улучшим значение третьего критерия. Получим вариант (2, 6, 1).

Рисунок 2.29 – Система с двумя связанными подсистемами и висящей
связью
Теперь рассмотрим вариант (2, 5, 2).

Рисунок 2.30 – Две связанные подсистемы с двумя висящими связями
Наконец, рассмотрим вариант (2, 5, 1) со средними значениями по всем критериям.

Рисунок 2.31 – Две связанные подсистемы с одной висящей связью
Таким образом, из восьми формально возможных вариантов реализации системы с не лучшими значениями по всем критериям, варианты (3, 6, 1), (2, 6, 1) и (2, 5, 1) обладают одним недостатком, варианты (3, 6, 2), (3, 5, 1), (2, 6, 2) и (2, 5, 2) – двумя недостатками, а вариант (3, 5, 2) – тремя.
2.5 Сравнение UFO-моделей
Проанализировав все 27 формально возможных вариантов реализации системы можно сказать, что для сравнения моделей системы недостаточно использовать только критерии «количество подсистем», «количество внутренних связей» и «количество висящих связей». Оказывается, что модель системы, формально худшая по совокупности значений по критериям, может иметь меньше недостатков и лучше функционировать, чем формально более лучшая система. Примером могут служить варианты (1, 5, 0) и (2, 5, 0) (табл. 2.1).
Таблица 2.1 – Характеристики моделей системы
|
Количество |
|||
|
подсистем |
внутренних связей |
висящих связей |
недостатков |
|
1 |
4 |
0 |
0 |
|
1 |
4 |
1 |
1 |
|
1 |
4 |
2 |
2 |
|
1 |
5 |
0 |
1 |
|
1 |
5 |
1 |
2 |
|
1 |
5 |
2 |
3 |
|
1 |
6 |
0 |
2 |
|
1 |
6 |
1 |
3 |
|
1 |
6 |
2 |
4 |
|
2 |
4 |
0 |
0 |
|
2 |
4 |
1 |
1 |
|
2 |
4 |
2 |
2 |
|
2 |
5 |
0 |
0 |
|
2 |
5 |
1 |
1 |
|
2 |
5 |
2 |
2 |
|
2 |
6 |
0 |
0 |
|
2 |
6 |
1 |
1 |
|
2 |
6 |
2 |
2 |
|
3 |
4 |
0 |
1 |
|
3 |
4 |
1 |
2 |
|
3 |
4 |
2 |
3 |
|
3 |
5 |
0 |
1 |
|
3 |
5 |
1 |
2 |
|
3 |
5 |
2 |
3 |
|
3 |
6 |
0 |
0 |
|
3 |
6 |
1 |
1 |
|
3 |
6 |
2 |
2 |
Количество недостатков модели системы определяется количеством висящих связей, наличием внутренних «петель» и подсистем, не имеющих входа или выхода.
Вероятно, самым существенным недостатком является наличие висящей связи, менее существенным – наличие подсистем, не имеющих входа или выхода, а наименее существенным – наличие внутренних «петель».
3. Классификация UFO-моделей в Microsoft Excel
3.1 Описание UFO-моделей в Microsoft Excel
Наилучшую модель (1, 4, 0) системы представим, как показано на рис. 3.1.

Рисунок 3.1 – Описание наилучшей модели системы
Для генерации количества висящих связей (рис. 3.2) используем формулу:
=ЕСЛИ(C2=2;0;C2+1)

Рисунок 3.2 – Описание третьего критерия
Для генерации внутренних связей (рис. 3.3) используем формулу [42]:
=ЕСЛИ(И(B2=6;C2=2);4;ЕСЛИ(И(C2=2;C3=0);B2+1;B2))


Рисунок 3.3 – Описание второго критерия
Для генерации количества подсистем (рис. 3.4) используем формулу:
=ЕСЛИ(И(A2=3;B2=6;B3=4);1;ЕСЛИ(И(B2=6;B3=4);A2+1;A2))


Рисунок 3.4 – Описание первого критерия
Затем введем для каждой модели количество недостатков и подсчитаем вес модели (рис. 3.5) по формуле:
=СУММ(A2:C2)+D2*4

Рисунок 3.5 – Описание недостатков и веса модели
К первому классу отнесем все модели, у которых нет недостатков (вес от 5 до 9). Ко второму – модели с 1 или 2 недостатками (вес от 10 до 14 и от 15 до 19). Оставшиеся модели (с 3 и 4 недостатками) отнесем к третьему классу (вес от 20 до 22 и 25).
Для вычисления номера класса (рис. 3.6) используем формулу:
=ЕСЛИ(И(E2>=5;E2<=9);1;ЕСЛИ(И(E2>=10;E2<=19);2;3))


Рисунок 3.6 – Описание класса модели
Для вычисления количества моделей в каждом классе (рис. 3.7) используем формулу:
=СЧЁТЕСЛИ($F$2:$F$28;H4)

Рисунок 3.7 – Описание количества моделей в классах
3.2 Анализ классов UFO-моделей
Данные о принадлежности моделей к классам были обработаны в системе SPSS 8.0 for Windows для статистической обработки результатов эксперимента (рис. 3.8).

Рисунок 3.8. – Представление данных в системе SPSS 8.0 for Windows
Анализ показал, что распределение моделей по классам удовлетворяет закону нормального распределения (рис. 3.9).

Рисунок 3.9 – Нормальное распределение моделей по классам
4. Использование порядковой классификации в процессе
UFO-моделирования систем телемеханики
Все результаты, представленные в этом разделе, получены в ходе преддипломной практики на фирме «Технокон» [43].
4.1 Общие сведения о фирме «Технокон»
Предприятие «Технокон» предлагает услуги по проектированию и поставке «под ключ» заказных систем и комплексов телемеханики для применения на объектах:
теплофикации;
водоснабжения, канализации и водоочистки;
электроэнергетики;
нефтяной и газовой промышленности;
транспорта.
Проектируемые под заказ системы и комплексы телемеханики комплектуются всем необходимым для решения задач дистанционного контроля и управления оборудованием удаленных объектов, включая:
программируемые логические контроллеры;
модемы для обмена данными с системами оперативно-диспетчерского контроля и управления;
заказное прикладное программное обеспечение;
системы терморегулирования;
силовая защитная и коммутационная аппаратура;
аппаратура электропривода исполнительных механизмов;
средства обеспечения искробезопасности, молниезащиты и пр.
В зависимости от особенностей конкретного применения, в качестве платформы (ядра) узла заказной системы телемеханики используются стандартные элементы промышленной автоматики, выпускаемые группой Schneider Electric: программируемые логические контроллеры (ПЛК) серий Modicon TSX Quantum, Compact или Micro, и, при необходимости, сопрягаемые с ними устройства распределенного сбора и обработки сигналов объекта – Modicon TSX Momentum.
4.2 Стратегия работы с заказчиком
Современная скорость эволюционирования систем и средств автоматизации диктует необходимость применять технологии разработки, способные учитывать как изменения требований заказчика, так и возможностей аппаратуры и ПО. Иначе в результате выполнения работ по проекту заказчик может получить именно то, что он запрашивал, но это будет не то, что ему действительно необходимо.
Стратегия фирмы «Технокон» по работе с заказчиком основывается на вовлечение его в процесс разработки продукта и концепции «ориентированного на пользователя» программного обеспечения. Участие заказчика на всех этапах создания продукта гарантирует выпуск продукции высокого качества, удобной в эксплуатации и удовлетворяющей всем требованиям заказчика еще и потому, что сам пользователь проникается концепцией и восприятием конечного продукта. Вовлечение заказчика в процесс проектирования значительно повышает качество обучения персонала заказчика.
При необходимости взаимодействие с заказчиком реализуется с помощью различных методов прототипирования – традиционного макетирования (создание функционирующей системы, в значительной степени подобной проектируемой) и демонстрационного (создание опережающей реализации ограниченной версии системы в соответствии со структурой или этапностью процесса проектирования и разработки).
На этапе функционального проектирования полномасштабного программно-технического комплекса работающий прототип улучшает взаимодействие между исполнителем и заказчиком, проясняет функциональные требования к системе. Пользователь может также ознакомиться с особенностями ввода/вывода и его мнение может быть учтено при проектировании.
Тесное взаимодействие с заказчиком позволяет получить обратную связь от пользователя на ранних шагах проектирования и исключить дорогостоящие изменения проекта после этапа рабочего проектирования [44].
4.3 Порядковая классификация UFO-моделей системы
телемеханики
Пусть необходимо построить систему телемеханики, контекстная диаграмма которой показана на рис. 4.1.

Рисунок 4.1 – Контекстная диаграмма системы телемеханики
Для сравнения различных UFO-моделей системы телемеханики будем пользоваться теми же критериями, которые были рассмотрены в разделе 2:
количество подсистем (три значения от 1 до 3);
количество внутренних связей (пять значений от 6 до 10);
количество висящих связей (три значения от 0 до 2).
Всего 3*5*3 = 45 различных состояний. Разбиваем их на пять классов, центры которых указаны в таблице 4.1.
Таблица 4.1. – Центры классов
|
Класс |
Центр класса |
Вес |
|
1 |
(1; 1; 1) |
3 |
|
2 |
(1,5; 2; 1,5) |
5 |
|
3 |
(2; 3; 2) |
7 |
|
4 |
(2,5; 4; 2,5) |
9 |
|
5 |
(3; 5; 3) |
11 |
Центром первого класса будет UFO-модель, содержащая одну подсистему без висящих связей, которая формально описывается вектором (1; 1; 1) (рис. 4.2).

Рисунок 4.2 – Центр первого класса
К первому классу также отнесем состояние (1; 2; 1), в котором мы «чуть-чуть» ухудшили значение по второму критерию. Состояния (2; 1; 1) и (1; 1; 2) не представляется возможным отнести к первому классу, так как ухудшение по первому и третьему критерию, у которых всего три значения, на одно значение шкалы гораздо более существенно, чем ухудшение на одно значение шкалы по второму критерию, у которого пять значений. Поэтому отнесем состояния (2; 1; 1) и (1; 1; 2) ко второму классу. Все три состояния с весом 4 проклассифицированы.
Ко второму классу отнесем все состояния с весом 5, кроме состояний (3; 1; 1) и (1; 1; 3), которые отнесем к третьему классу. Причина та же – длина шкалы первого и третьего критериев.
Центром третьего класса будет UFO-модель, содержащая две подсистемы с восемью внутренними связями и одной висящей связью, которая формально описывается вектором (2; 3; 2) (рис. 4.3).

Рисунок 4.3 – Центр третьего класса
Все состояния с весами 6, 7 и 8 отнесем к третьему классу. К четвертому классу отнесем все состояния с весом 9, кроме состояний (1; 5; 3) и (3; 5; 1), которые отнесем к третьему классу (по аналогии с состояниями с весом 5).
Центром пятого класса будет UFO-модель, содержащая три подсистемы с десятью внутренними связями и двумя висящими связями, которая формально описывается вектором (3; 5; 3) (рис. 4.4).

Рисунок 4.4 – Центр пятого класса
К пятому классу также отнесем состояние (3; 4; 3), а состояния (2; 5; 3) и (3; 5; 2) – к четвертому (по аналогии с состояниями с весом 4). Построим гистограмму по полученным данным (рис. 4.5).

Рисунок 4.5 – Первый вариант распределения UFO-моделей
Рассуждения логичные, но полученные результаты сильно отличаются от эталонного нормального распределения. Попробуем действовать более прямолинейно (табл. 4.2).
Таблица 4.2 – Диапазон весов классов
|
Класс |
Центр класса |
Диапазон весов |
|
1 |
(1; 1; 1) |
3 |
|
2 |
(1,5; 2; 1,5) |
4-5 |
|
3 |
(2; 3; 2) |
6-7-8 |
|
4 |
(2,5; 4; 2,5) |
9-10 |
|
5 |
(3; 5; 3) |
11 |
Построим гистограмму по полученным данным (рис. 4.6).

Рисунок 4.6 – Второй вариант распределения UFO-моделей
Теперь полученные результаты более соответствуют нормальному распределению.
Попробуем перенести состояние (2, 2, 2) с весом 6 из третьего класса во второй и состояние (2, 4, 2) с весом 8 из третьего класса в четвертый. Построим гистограмму по полученным данным (рис. 4.7).

Рисунок 4.7 – Третий вариант распределения UFO-моделей
Теперь полученные результаты почти идеально соответствуют нормальному распределению.
Выводы
В процессе выполнения магистерской аттестационной работы получены следующие результаты:
проанализирована проблема автоматизации построения UFO-моделей;
проанализированы методы решения задачи выбора;
проанализированы качественные методы принятия решений:
ранжирования многокритериальных альтернатив;
выбора лучшей многокритериальной альтернативы;
порядковой классификации альтернатив;
проанализированы особенности определения множества критериев;
разработан подход к определению критериев оценки UFO-модели;
на основании предложенных критериев исследованы UFO-модели:
с двумя лучшими значениями по критериям;
с одним лучшим значением по некоторому критерию;
с не лучшими значениями по всем критериям;
осуществлена классификация UFO-моделей в Microsoft Excel:
реализовано описание UFO-моделей в Microsoft Excel;
проведен анализ классов UFO-моделей;
полученные результаты применены в процессе UFO-моделирования систем телемеханики.
Полученные результаты можно использовать в процессе UFO-анализа.
Среди возможных направлений развития следует отметить перспективность исследования возможности применения вербальных методов принятия решений, не затронутых в данной работе, в процессе UFO-анализа. Также направлением развития может быть внедрение полученных результатов в CASE-инструментарии, используемые в процессе моделирования систем.
Результаты работы апробированы на IV-м Международном научно-практическом форуме «Информационные технологии и кибернетика 2006», который проходил в Днепропетровске 27-28 апреля 2006 г., и опубликованы в сборнике докладов и тезисов этого форума [41].
Перечень ссылок
1. Бондаренко М.Ф., Маторин С.И., Ельчанинов Д.Б. Системная технология моделирования информационных и организационных систем: Учебное пособие. – Харьков: ХНУРЭ, 2005. – 116 с.
2. Бондаренко М.Ф., Соловьева Е.А., Маторин С.И., Ельчанинов Д.Б. Объектная технология моделирования информационных и организационных систем: Учебное пособие. – Харьков: ХНУРЭ, 2005. – 160 с.
3. Бондаренко М.Ф., Соловьева Е.А., Маторин С.И., Ельчанинов Д.Б. Системологическая технология моделирования информационных и организационных систем: Учебное пособие. – Харьков: ХНУРЭ, 2005. – 136 с.
4. Ларичев О.И. Теория и методы принятия решений: Учебник. Изд. 2-е, перераб. и доп. – М.: Логос, 2002. – 392 с.
5. Петровский А.Б. Компьютерная поддержка принятия решений: современное состояние и перспективы развития. / Системные исследования. Методологические проблемы: Ежегодник. – М.: УРСС, 1996. – С. 146-178.
6. Кини Р.Л., Райфа Х. Принятие решений при многих критериях: предпочтения и замещения. – М.: Радио и связь, 1981. – 560 с.
7. Иванилов Е.И. Некоторые аспекты выбора серверов. // Корпоративные системы. − 2003. – №4. – С. 34-36.
8. Кини Р.Л. Размещение энергетических объектов: выбор решений. – М.: Энергоатомиздат, 1983. – 320 с.
9. Рытиков А.М., Ройтман Е.Я., Шафрин Ю.А. Что мешает эффективному внедрению типовых АСУ. // Цветные металлы. − 1988. – №1. – С. 98-101.
10. Ногин В.Д. Принятие решений в многокритериальной среде: количественный подход. – М.: Физматлит, 2002. – 176 с.
11. Подиновский В.В. Количественная важность критериев. // Автоматика и телемеханика. − 2000. – №5. – С. 110-123.
12. Ройзензон Г.В., Фуремс Е.М. Исследования возможностей человека при сравнении трехкритериальных альтернатив. / Труды восьмой национальной конференции по искусственному интеллекту с международным участием (КИИ-2002). – Т. 1. – М.: Физматлит, 2002. – С. 511-518.
13. Ларичев О.И., Зуев Ю.А., Гнеденко Л.С. Метод запрос (замкнутые процедуры у опорных ситуаций) анализа вариантов сложных решений. / Многокритериальный выбор в слабоструктуризованных проблемах. / Под ред. С.В. Емельянова. – М.: ВНИИСИ, 1978. – С. 83-97.
14. Ларичев О.И., Мошкович Е.М. Качественные методы принятия решений. – М.: Физматлит, 1996. – 208 с.
15. Larichev O.I., Moshkovich H.M. ZAPROS-LM: A method and a system for ordering multiattribute alternatives // Europ. J. Operat. Res. – 1995. – Vol. 82. − №3. – P. 503-521.
16. Larichev O.I. Ranking multicriteria alternatives: The method ZAPROS III. // Europ. J. Operat. Res. – 2001. – Vol. 131. − №3. – P. 550-558.
17. Larichev O., Brown R. Numerical and verbal decision analysis used for the problems of resources allocation in Arctic. // J. Multi-Criteria Decision Anal. – 2000. – Vol. 9. − №6. – P. 263-274.
18. Larichev O.I., Kochin D.Yu., Ustinovicius L.L. Multicriteria method for choosing the best object for investments. / DSS in the Uncertainty of the Internet age. – Katowice: The Karol Adamiecki Univ. of Econ., 2003. – P. 255-270.
19. Kochin D., Ustinovicius L. Verbal analysis of the investment risk in construction. // J. Business Econ. and Manag. – 2003. – Vol. 4. − №4. – P. 228-234.
20. Кочин Д., Ларичев О., Устинович Л. Вербальный метод определения эффективности инвестиций в строительстве. // Computer Modell. and New Technol. – 2003. – Vol. 7. − №2. – P. 37-47.
21. Ларичев О.И. Наука и искусство принятия решений. – М.: Наука, 1979. – 199 с.
22. Clansey W. Classification problem solving. / Proc. of National Conf. Artificial Intelligence AAAI. – Austin: Univ. of Texas, 1984. – P. 49-55.
23. Ларичев О.И., Мошкович Е.М. Задача классификации в принятии решений. // Докл. АН СССР. – 1986. – Т. 287. − №3. – С. 567-570.
24. Выявление экспертных знаний. / О.И. Ларичев, А.И. Мечитов, Е.М. Мошкович, Е.М. Фуремс. – М.: Наука, 1989. – 128 с.
25. Мошкович Е.М. Конструктивный поиск и устранение противоречий в предпочтениях лица, принимающего решения при разбиении многомерных альтернатив на конечное число классов. / Проблемы и процедуры принятия решений при многих критериях. Сборник трудов. №6. / Под ред. С.В. Емельянова, О.И. Ларичева. – М.: ВНИИСИ, 1982. – С. 73-80.
26. Hansel G. Sur le nombre des functions Booleennes monotones de n variables. // C. r. Acad. sci. – 1966. – Vol. 262. − №20. – P. 1088-1090.
27. Ансель Ж. О числе монотонных булевых функций от n переменных. / Кибернетический сборник. №5. Н. с. – М.: Мир, 1968. – С. 53-57.
28. Алексеев В.Б. О расшифровке некоторых классов монотонных многозначных функций. // Журн. вычисл. математики и мат. физики. – 1976. – Т. 16. − №1. – С. 189-198.
29. Соколов Н.А. Об оптимальной расшифровке монотонных функций алгебры логики. // Журн. вычисл. математики и мат. физики. – 1982. – Т. 22. − №2. – С. 449-461.
30. Соколов Н.А. Оптимальная расшифровкя монотонных булевых функций. // Журн. вычисл. математики и мат. физики. – 1987. – Т. 27. − №12. – С. 1878-1887.
31. Ларичев О.И., Болотов А.А. Система дифкласс: Построение полных и непротиворечивых баз экспертных знаний в задачах дифференциальной классификации. // НТИ. Сер. 2, Информ. процессы и системы. – 1996. – №9. – С. 9-15.
32. Асанов А.А. Методы извлечения и анализа экспертных знаний: Дис. … канд. техн. наук. – М., 2002. – 129 с.
33. Ларичев О.И., Асанов А.А. Метод цикл порядковой классификации многокритериальных альтернатив. // Докл. РАН. – 2000. – Т. 375. − №5. – С. 592-596.
34. Кочин Д.Ю. Метод классификации заданного множества многокритериальных альтернатив. / Методы поддержки принятия решений: Сб. тр. Ин-та систем. анализа РАН. / Под ред. О.И. Ларичева. – М.: Эдиториал УРСС, 2001. – С. 4-18.
35. Larichev O.I., Kortnev A.V., Kochin D.Yu. Decision support system for classification of a finite set of multicriteria alternatives. // Decision Support Systems. – 2002. – Vol. 33. − №1. – P. 13-21.
36. Ларичев О.И. Вербальный анализ решений. – М.: Наука, 2006. – 181 с.
37. Ройзензон Г.В. Выбор вычислительных кластеров на основе анализа количественной и качественной информации. / Искусственный интеллект. – Т. 2. – Донецк: Наука і освіта, 2004. – С. 375-379.
38. Асанов А.А., Борисенков П.В., Ларичев О.И., Нарыжный Е.В., Ройзензон Г.В. Метод многокритериальной классификации ЦИКЛ и его применение для анализа кредитного риска. // Экономика и математические методы. − 2001. – Т.37. – №2. – С. 14-21.
39. Ашимихин И.В., Ройзензон Г.В. Выбор лучшего объекта на основе парных сравнений на подмножествах критериев. / Методы поддержки принятия решений: Сб. трудов ИСА РАН / Под ред. О.И. Ларичева. – М.: УРСС, 2001. – С. 51-71.
40. Ройзензон Г.В. Многокритериальный выбор вычислительных кластеров. / Методы поддержки принятия решений: Сб. трудов ИСА РАН. – М.: УРСС, 2005. – С. 68-94.
41. Рингис А.М. Качественные методы принятия решений в процессе организационного моделирования. / Информационные технологии и кибернетика 2006: Сборник докладов и тезисов IV-го Международного научно-практического форума (Днепропетровск, 27-28 апреля 2006 г.). – Днепропетровск: ИТМ, 2006. – С. 61.
42. Петров В.Н. Информационные системы. – СПб.: Питер, 2002. – 688 с.
43. Технокон – О фирме [Электронный ресурс]. – Режим доступа: http://www.tehnokon.com/company.html. – Загл. с экрана.
44. Технокон – АСУТП [Электронный ресурс]. – Режим доступа: http://www.tehnokon.com/asutp.html. – Загл. с экрана.