Розробка ПО "Розрахунок відсотків по банківським вкладам"
Вступ
Для чого людина несе свої заощадження в банк? Звичайно ж, щоб забезпечити їх збереження, і найголовніше – отримати доходи. І ось тут знання і уміння скласти попередній розрахунок відсотків по депозиту як ніколи потрібне, адже прогнозування відсотків по вкладах або відсотків по кредитах відноситься до однієї із складових розумного управління своїми фінансами. Таке прогнозування добре здійснювати до підписання договорів і здійснення фінансових операцій, а також в періоди чергового нарахування відсотків і прилічення їх до вкладу за вже оформленим депозитним договором.
Для нарахування відсотків по вкладах (депозитам), та і кредитам теж, застосовуються наступні формули відсотків:
Порядок нарахування відсотків по вищеперелічених формулах здійснюється з використанням фіксованої або плаваючої ставки. Щоб не повертатися до даного питання надалі, відразу поясню значення слів і відзнаки фіксованої ставки і плаваючої ставки.
Фіксована ставка, це коли встановлена по вкладу банка процентна ставка, закріплена в депозитному договорі і залишається незмінним весь термін вкладення засобів, тобто фіксується. Така ставка може змінитися лише у момент автоматичної пролонгації договору на новий термін або при достроковому розірванні договірних стосунків і виплаті відсотків за фактичний термін вкладення по ставці «до запитання», що обмовляється умовами.
Плаваюча ставка, це коли спочатку встановлена за договором процентна ставка може мінятися протягом всього терміну вкладення. Умови і порядок зміни ставок обмовляються в депозитному договорі.
1. Планування програмного продукту
В даній курсовій роботі необхідно розробити програмний продукт «Розрахунок відсотків по банківським вкладам». В даній програмі використовуються математичні формули розрахунку простих та складних відсотків. Аналіз Банковської системи та принципи роботи з клієнтами.
1.1 Системний аналіз
Обчислення відсоткових ставок в ручну завжди займало багато часу, та й було не таким вже й легким завданням. Я розробив програму для обчислення відсотків банківських депозитів, яка значно полегшує цю задачу.
Порядок нарахування відсотків по вище перелічених формулах здійснюється з використанням фіксованої або плаваючої ставки. Щоб не повертатися до даного питання надалі, відразу поясню значення слів і відзнаки фіксованої ставки і плаваючої ставки.
Фіксована ставка, це коли встановлена по вкладу банка процентна ставка, закріплена в депозитному договорі і залишається незмінним весь термін вкладення засобів, тобто фіксується. Така ставка може змінитися лише у момент автоматичної пролонгації договору на новий термін або при достроковому розірванні договірних стосунків і виплаті відсотків за фактичний термін вкладення по ставці «до запитання», що обмовляється умовами.
Плаваюча ставка, це коли спочатку встановлена за договором процентна ставка може мінятися протягом всього терміну вкладення. Умови і порядок зміни ставок обмовляються в депозитному договорі. Процентні ставки можуть змінюватися: у зв'язку із змінами ставки рефінансування, із зміною курсу валюти, з переходом суми вкладу в іншу категорію, і іншими чинниками. Для нарахування відсотків із застосуванням формул, необхідно знати параметри вкладення засобів на депозитний рахунок, а саме:
суму вкладу (депозиту)
процентну ставку по вибраному вкладу (депозиту)
циклічність нарахування відсотків (щодня, щомісячно, щокварталу і так далі)
термін розміщення вкладу (депозиту)
інколи потрібний і вигляд використовуваної процентної ставки – фіксованою або плаваючою.
Розглянемо названі вище стандартні формули відсотків, які застосовуються для розрахунку відсотків по вкладах (депозитам):
Формула простих відсотків.
Формула простих відсотків застосовується, якщо відсотки, що нараховуються на вклад, зараховуються до вкладу лише в кінці терміну депозиту або взагалі не зараховуються, а перекладаються на окремий рахунок, тобто розрахунок простих відсотків не передбачає капіталізації відсотків.
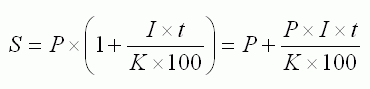
При виборі вигляду вкладу, на порядок нарахування відсотків варто звертати увагу. Коли сума вкладу і термін розміщення значні, а банком застосовується формула простих відсотків, це приводить до заниження суми процентного доходу вкладника. Формула простих відсотків по вкладах виглядає
так:

Значення символів:
S – сума грошових коштів, що належать до повернення вкладникові після закінчення терміну депозиту. Вона складається з первинної суми розміщених грошових коштів, плюс нараховані відсотки.
I – річна процентна ставка
t – кількість днів нарахування відсотків по притягненому вкладу
K – кількість днів в календарному році (365 або 366)
P – первинна сума притягнених в депозит грошових коштів
Sp – сума відсотків (доходів).
А щоб розрахувати лише суму простих відсотків формула виглядатиме так:
Формула суми простих відсотків
Значення символів:
Sp – сума відсотків (доходів).
I – річна процентна ставка
t – кількість днів нарахування відсотків по притягненому вкладу
K – кількість днів в календарному році (365 або 366)
P – сума притягнених в депозит грошових коштів.
1.2 Аналіз вимог
Аналіз вимог визначає конкретні функції і характеристики програмного продукту. У ПП «Розрахунок відсотків по банківським вкладам» повинні бути розроблені наступні функції: визначення шляху до відео або аудіо файлу, відкриття та обробка демонстраційних відео та аудіо файлів; тестування контроль-функції. Так як потреби повинні бути визначені з самого початку і системний аналіз визначив поетапну розробку в вигляді послідовності версій, то конструювання програмної розробки повинно бути багатоциклічним з запланованим покращенням продукту.
Аналіз вимог визначає інтерфейс, призначений для користувача. Користувацького інтерфейс повинен бути простим і мати інструментарій для проведення тестування.
Програмна система (ПС) повинна працювати під управлінням ОС WINDOWS, а призначений для користувача інтерфейс повинен бути створений в графічному відображенні даної ОС. Ефективне проектування користувацького інтерфейсу – це завжди діалог між розробником і користувачем. Він повинен базуватися на чіткому розумінні того, що по той бік призначеного для користувача інтерфейсу знаходяться живі люди і що правильне проектування має на увазі інтенсивне спілкування з ними. Тому розробка інтерфейсу, призначеного для користувача повинна бути заснована на розумінні основних правил і принципів проектування інтерфейсу користувача.
Інтерфейс ПП «Розрахунок відсотків по банківським вкладам». повинен мати можливості роботи з аудіо та відео інформацією: відкриття файлу, визначення типу файлу, визначення розміру та часу виконування файлу; зупинення програвання, перехід по файлу.
Аналіз вимог закінчується розробкою Технічного завдання.
Технічне завдання є настільним документом програміста і на вимогу замовника зміні не підлягає, так як потреби визначені з самого початку.
Документ «Технічне завдання» приведений в додатку А.
1.3 Стратегія конструювання
Існує три стратегії конструювання:
1) Водоспадна;
2) Інкрементна;
3) Еволюційна.
Кожна стратегія базується на класичних моделях. Оскільки на початку процесу проектування визначені всі вимоги і конструювання програмної розробки повинно бути багатоциклічним з запланованим покращенням продукту, то вибирається інкрементна модель.
Модель, яка наведена на рисунку 1 є класичним прикладом інкрементної стратегії конструювання.
Перший інкремент приводить до отримання базового продукту, який реалізує базові потреби. Наступний інкремент передбачає модифікацію базового продукту та забезпечує додаткові характеристики та функціональність. Інкрементна модель забезпечує на кожному інкременті робочий продукт.
Планування програмної системи починається на системному рівні і відбувається через аналіз, проектування, кодування, тестування і супровід.
2. Синтез програмного продукту
Якщо етап аналізу відповідає на питання що повинна робити майбутня система, то в процесі синтезу формується відповідь на питання: «Яким чином система буде реалізувати пред'явлені до неї вимоги?». Все це вирішують три етапи синтезу: проектування, кодування і тестування.
Інформаційні потоки аналізу у вигляді інформаційної, функціональної і поведінкової моделі поступають на етап синтезу.
2.1 Проектування
Поведінкова модель визначає архітектуру і призначений для користувача інтерфейс програмної системи. При проектуванні визначається призначений для користувача інтерфейс, який формується за допомогою інструментальних засобів візуального програмування.
2.2 Кодування
Наступним етапом синтезу є кодування, власне програмування.
Для розробки даного ПП використовується середовище візуального проектування Delphi. Середовище Delphi володіє практично всіма можливостями стоврення систем обробки звуку та зображення. Більшість додатків, створених у Delphi, працюють в інтерактивному режимі. На екрані виводиться інформація, призначена для користувача програми, і очікується його реакція у відповідь у вигляді введення даних чи команд. Інтерактивний додаток створюється на основі форми, що є, як правило, основним вікном інтерфейсу з елементами керування, які дозволяють здійснювати взаємодію з користувачем.
Для створення програми після запуску Delphi створимо три форми та нанесемо на них відповідні компоненти.
2.3 Тестування
Після програмування та налагодження програми наступає етап тестування.
Процес пошуку помилок в програмі називається тестуванням, а процес пошуку і виправлення помилок називається налагодженням програми. Таким чином тестування є складовою частиною налагодження. Метою налагодження є виявлення помилки, яка виникає на етапі виконання програми і приводить до невірних результатів роботи програми. Процес налагодження – це перевірка роботи і виправлення помилок додатка програмістом перед передачею проекту на тестування.
Основні типи помилок наступні:
1) Синтаксичні помилки – порушені загальні правила даної мови програмування (наприклад, непорядки з роздільниками).
2) Семантичні помилки – порушені правила семантики (зміст) (наприклад, ділення на нуль).
3) Логічні помилки – неправильне застосування конструкцій мови програмування або неправильно запрограмований алгоритм завдання (наприклад, вкладені оператори FOR або одержана неправильна відповідь).
Прояв помилок програми на етапі її виконання може бути у вигляді:
1) відсутність результату;
2) передчасної зупинки програми; може бути частина результатів;
3) невірних результатів;
4) некоректності програми при зверненні до файлів;
5) зациклення;
6) «зависання» системи: ПК не реагує ні на які клавіші і команди.
Після процесу налагодження наступає етап тестування. Існують два методи тестування – метод «чорної скриньки» і метод «білої скриньки
3. Документування програмних застосувань
3.1 Загальні вимоги до програмних документів
програмний відсоток вклад документування
Для документування програмних застосувань необхідно ознайомитися з відповідними стандартами. ГОСТ – державний стандарт. Не дивлячись на давність появи, державний стандарт був і залишається єдиним широкодоступним стандартом документування і розробки ПЗ для вітчизняних програмістів. Проходження державному стандарту дає можливість:
– уніфікувати програмні вироби для взаємного обміну і застосування, раніше розроблених програм в нових розробках
– понизити трудомісткість і підвищити ефективність розробки, супроводу і експлуатації програмних продуктів
– автоматизувати виготовлення і зберігання програмної документації.
Єдина система програмної документації – ЄСПД – відноситься до стандартів класу 19 і підрозділяється на 10 груп:
0 – загальні положення
1 – основоположні стандарти
2 – правила виконання документації розробки
3 – правила виконання документації виготовлення
4 – правила виготовлення документації супроводу
5 – правила виконання експлуатаційної документації
6 – правила звернення програмної документації
7,8 – резервні групи
9 – інші стандарти
Програмні документи діляться на дві групи документи, що містять відомості, необхідні для розробки програмного продукту і його виготовлення і документи, використовувані при експлуатації програмного продукту. Вони приведені в таблицях 1, 2:
Таблиця 1 – Програмні документи
|
Вид програмного документа |
Зміст програмного документа |
|
Специфікація |
Склад ПЗ і документація на нього |
|
Відомість утримувачів оригіналів |
Перелік підприємств, на яких зберігаються оригінали програмних документів |
|
Текст програми |
Документований запис програми з необхідними коментарями |
|
Опис ПЗ |
Відомості про логічну структуру і функціонування ПЗ |
|
Програма і методика випробувань |
Вимоги, що підлягають перевірці при випробуванні ПЗ, а також порядок і методи їх контролю |
|
Технічне завдання |
Призначення і область застосування програми, технічні, техніко-економічні і спеціальні вимоги, необхідні стадії і терміни розробки, що пред'являються до програми, види випробувань |
|
Пояснювальна записка |
Схема алгоритму, загальний опис логіки і функціонування ПЗ, а також обґрунтування ухвалених технічних і техніко-економічних рішень |
Таблиця 2 – Програмні документи
|
Вид експлуатаційного документа |
Зміст експлуатаційного документа |
|
Відомість експлуатаційних документів |
Перелік експлуатаційних документів на програму |
|
Опис застосування |
Відомості про призначення програми, область застосування, вживані методи, клас вирішуваних задач, обмеження для застосування, мінімальної конфігурації технічних засобів |
|
Керівництво системного програміста |
Відомості для перевірки, забезпечення функціонування і настройки програми на умови конкретного застосування |
|
Керівництво програміста |
Відомості для експлуатації програми |
|
Керівництво оператора |
Відомості для забезпечення процедури спілкування оператора з обчислювальною системою в процесі виконання програми |
|
Керівництво по технічному обслуговуванню |
Відомості по установці і обслуговуванню програмних засобів |
Ці документи розробляються на різних стадіях розробки програми. Не всі вони є обов'язковими для різних видів програм.
Документ «Керівництво оператора» приведений в Додатку В.
Висновки
В даній курсовій роботі я ознайомився з структурою депозитного розрахунку, вивчив принципи роботи. Знання і уміння скласти попередній розрахунок відсотків по депозиту як ніколи потрібне, адже прогнозування відсотків по вкладах або відсотків по кредитах відноситься до однієї із складових розумного управління своїми фінансами. Таке прогнозування добре здійснювати до підписання договорів і здійснення фінансових операцій, а також в періоди чергового нарахування відсотків і прилічення їх до вкладу за вже оформленим депозитним договором.
Література
А. Чиртик і В. Борисюк. Завдання на Delphi – СПб.: Пітер, 2007 – 400 с.
Любавин С.А. – Програмування на Delphi – М.:НТ Прес, 2008 – 576 с.
А. Хомоненко, В. Гофман, Е. Мещери, В. Никифоров. Delphi 7. СПб.: БХВ-Петербург, 2003. – 912 с.
Фаронов В.В. Delphi 4: Учбовий курс. – М.: Нолидж, 1998. – 464 с.
Фаронов В.В. Delphi 6: Учбовий курс. – СПб.: Пітер, 2002. – 512 с.
Фаронов В.В. Система програмування Delphi. – СПб.: БХВ-Петербург, 2003. – 912 с.
В.В. Фаронов. Delphi. Програмування на мові високого рівня 1-і издание. – СПб.: Пітер, 2003, 640 с.
В. Гофман, А. Хомоненко. Delphi 5 в оригіналі. СПб.: БХВ-Петербург, 2003. – 912 с.
Костянтин Суворов, Михайло Черемных. Довідник Delphi. Базові класи. СПб. – BHV – СПб, 2004
Компоненти і ради. http://www.delphi.agava.ru/
Компактне програмування на Object Pascal (Delphi). kol.mastak.ru
Додаток
Лістинг форм
Лістинг стартової форми
unit Unit1;
interface
uses
Windows, Messages, SysUtils, Variants, Classes, Graphics, Controls, Forms,
Dialogs, StdCtrls, ExtCtrls, imgList, Menus;
type
TForm1 = class(TForm)
Edit1: TEdit;
Edit2: TEdit;
Edit3: TEdit;
GroupBox1: TGroupBox;
RadioButton1: TRadioButton;
RadioButton2: TRadioButton;
Button1: TButton;
Label1: TLabel;
Label2: TLabel;
Label3: TLabel;
Label4: TLabel;
MainMenu1: TMainMenu;
N1: TMenuItem;
N2: TMenuItem;
procedure Button1Click (Sender: TObject);
procedure RadioButton1Click (Sender: TObject);
procedure RadioButton2Click (Sender: TObject);
procedure N1Click (Sender: TObject);
procedure N2Click (Sender: TObject);
private
{Private declarations}
public
{Public declarations}
end;
var
Form1: TForm1;
implementation
uses unit2;
{$R *.dfm}
procedure TForm1. Button1Click (Sender: TObject);
var
sum: real; // сумма вклада
pr: real; // процентная ставка
srok: integer; // срок вклада
dohod: real; // доход по вкладу
buf: real;
i: integer;
begin
// получить исходные данные
sum:= StrToFloat (Edit1. Text);
pr:= StrToFloat (Edit2. Text);
srok:= StrToInt (Edit3. Text);
if RadioButton1. Checked then
// выбран переключатель Простые проценты
dohod:= sum * (pr/100) * (srok/360)
else
// т. к. в группе два переключателя, то если
// не выбран RadioButton1, то выбран
// RadioButton2 – Сложные проценты
begin
buf:= sum;
for i:=1 to srok do
buf:= buf + buf * (pr/100);
// здесь buf – сумма в конце срока вклада
dohod:= buf – sum;
end;
sum:= sum + dohod;
Label4. Caption:= 'Доход: ' + FloatToStrF (dohod, ffGeneral, 9,2) + #13 +
'Сумма в конце срока вклада: ' +
FloatToStrF (sum, ffGeneral, 9,2);
end;
програмний відсоток вклад документування
procedure TForm1. RadioButton1Click (Sender: TObject);
begin
Label2. Caption:= 'Срок (дней)';
Label4. Caption:= «;
end;
procedure TForm1. RadioButton2Click (Sender: TObject);
begin
Label2. Caption:= 'Срок (мес.)';
Label4. Caption:= «;
end;
procedure TForm1.N1Click (Sender: TObject);
begin
form2. ShowModal;
end;
procedure TForm1.N2Click (Sender: TObject);
begin
close;
end;
end.