Имитационная модель операционного зала банка
«Белгородская государственная сельскохозяйственная академия»
Кафедра информатики и информационных технологий
КУРСОВАЯ РАБОТА
По дисциплине: «Имитационное моделирование экономических процессов»
На тему: «Имитационная модель операционного зала банка»
Белгород 2011
Введение
Имитационное моделирование - это метод исследования, при котором изучаемая система заменяется моделью, с достаточной точностью описывающей реальную систему и с ней проводятся эксперименты с целью получения информации об этой системе. Экспериментирование с моделью называют имитацией (имитация - это постижение сути явления, не прибегая к экспериментам на реальном объекте).
Цель имитационного моделирования состоит в воспроизведении поведения исследуемой системы на основе результатов анализа наиболее существенных взаимосвязей между ее элементами или другими словами - разработке симулятора исследуемой предметной области для проведения различных экспериментов.
Идея имитационного моделирования дает возможность экспериментировать с системами (существующими или предлагаемыми) в тех случаях, когда делать это на реальном объекте практически невозможно или нецелесообразно.
Моделирование - это замещение одного объекта (оригинала) другим (моделью), фиксация и изучение свойств модели. Замещение производится с целью упрощения, удешевления и ускорения изучения свойств оригинала.
Модель - это тоже система со своими множествами параметров и характеристик. Важное требование к модели является ее адекватность к исходной системе в рамках решаемой задачи.
Имитационное моделирование - это метод исследования, при котором изучаемая система заменяется моделью, с достаточной точностью описывающей реальную систему и с ней проводятся эксперименты с целью получения информации об этой системе. Экспериментирование с моделью называют имитацией (имитация - это постижение сути явления, не прибегая к экспериментам на реальном объекте).
Решение задачи имитационного моделирования состоит в том, чтобы найти оптимальное соотношение двух факторов: затрат на содержание обслуживающих устройств и затрат на пребывание в очереди. Эти вопросы зачастую связаны с такими переменными, как время и частота поступления транзактов, время обслуживания и использование определенного числа точек обслуживания. Изменение этих переменных меняет качество обслуживания транзактов.
В курсовой работе представлен процесс разработки имитационной модели обслуживание клиентов в операционного зала в среде Arena.
В первой главе, аналитической части, описана постановка задачи моделирования обслуживания клиентов и приведена структурная схема процесса, подробно описана предметная область моделируемого процесса, логика работы системы, а также дано обоснование выбора программного средства для разработки модели.
Во второй главе, практической части, приведена общая схема имитационной модели “операционного зала банка”, технология её моделирования в выбранном программном средстве Arena с полным описанием основных параметров и свойств используемых объектов.
В третьей главе, произведен анализ результатов имитационного моделирования и проведено планирование имитационного эксперимента, а также получены и проанализированы его результаты.
В заключении подведён итог проделанной работы.
Анализ процессов обслуживания клиентов банка
1.1 Постановка задачи моделирования клиентов банка
В банке работают 4 оператора выполняющие все возможные операции. Клиентов банка можно условно разделить по времени обработки на 3 группы.
Написать модель для двух вариантов дисциплин обслуживания.
Клиент вставать в очередь к одному из операторов (равновераятносно)
Клиент встает в общую очередь ко всем операторам и обслуживается первым освободившимся оператором (так называема быстрая очередь.)
Необходимо определить загрузку зал, среднее время, необходимое клиенту на обслуживание и предложить варианты по повышению эффективности работы операционного клиентов банка. Нужно учесть, что клиенты первого типа прибывают каждые 20±3 минут а второго типа каждые 15±8, третий клиент прибивает каждые 15±5 на стрижку у парикмахера уходит 30 минут, на бритьё 12(время распределения по экспоненциальному закону).
Исходные данные задачи представлены в таблице 1
|
Количество клиентов |
Интенсивность прихода (чел...час) |
Время обслуживания (мин) |
|
1 |
20 |
3 |
|
2 |
15 |
8 |
|
3 |
5 |
15 |
Необходимо построить модель на основе исходных данных и на её основе исследовать систему с несколькими вариантами изменения исходных данных. Будем проводить испытания системы с 3-мя вариантами исходных данных:
оригинальный вариант исходных данных;
при сокращении затрат времени на обслуживание клиентов
при увеличении количества операторов до 4.
постановкой банковского терминала
В каждом из этих случаев надо смоделировать работу в течение 100 часов и оценить степень загрузки операторов банка, а так же среднее время обслуживания клиентов.
1.2 Оценка перспектив управления процессом банковского обслуживания клиентуры (состояние «как будет»)
Переход менеджмента современного банка из состояния «как есть» в состояние «как будет», безусловно, должен начинаться с анализа текущих проблем банковского обслуживания корпоративных клиентов. (Для этой цели можно использовать методику построения «графы проблем»).
По итогам проведенного проблемного анализа можно сделать вывод о том, что при переходе к эффективному обслуживанию клиентуры потребуется создание в банке единой системы обслуживания и соответствующее разделение полномочий (с учетом специализации менеджеров банка) по окончании проведения их сегментации по группам.
Кроме того, введение и развитие подобной системы в банке потребует осуществления постоянной координации всей ее деятельности, расширения ассортимента и повышения качества услуг с учетом мирового опыта, оптимизации денежных потоков с учетом перспектив развития бизнеса, поддержания отношений с рейтинговыми агентствами, приведения финансовой отчетности банка в соответствие с мировыми стандартами, расширения географии деятельности клиентов, обеспечения информационной открытости деятельности банка перед партнерами.
По нашему мнению, для повышения эффективности банковского обслуживания необходимо создать в каждом банке подразделение, осуществляющее индивидуальный подход к каждому доходному и перспективному корпоративному клиенту. Среди его функций может быть разработка возможных стратегий и планов достижения целей, определенных совместно клиентом и банком. В этом случае, банк будет отвечать за инвестиционную, финансовую поддержку деятельности клиента, а клиент - за их практическую реализацию. Кроме того, банком должен быть сформирован портфель услуг, предоставляемых клиенту в соответствии с разработанной стратегией на взаимовыгодной основе. При этом банку важно постоянно оценивать рентабельность обслуживания каждого клиента и, в зависимости от полученных результатов, корректировать планы его обслуживания.
В изменившейся экономической ситуации, возможно, станет нормой предложение услуг крупным клиентам «в пакете». Более того, каждому новому клиенту в первую очередь может быть предоставлена возможность получения сложной услуги, демонстрирующей ему возможности банка. Очевидно, что в случае успеха банк получит во временное и возмездное пользование значительные свободные денежные средства, лежащие на счетах клиента, и заявки на другие услуги.
Таким образом, состояние «как будет» предполагает следующее. Банк разрабатывает бизнес-процесс обслуживания корпоративных клиентов в соответствии со сформулированными основными целями и задачами, определяет стратегию и тактику их достижения и разрабатывает план их практической реализации.
В ходе реализации плана, банк активно использует индивидуальный подход к каждому корпоративному клиенту. Банк проводит экспресс-анализ его текущего финансово-экономического состояния, устанавливает индивидуальные цели и задачи обслуживания, выбирает для каждого них индивидуальные стратегию и тактику обслуживания, разрабатывает индивидуальный план их реализации, ход выполнения которого контролируется с помощью оценки обратной связи «клиент-банк», определяет особый механизм взаимодействия с корпоративным клиентом.
При возникновении отклонений фактических показателей от планируемых, банком проводится соответствующая корректировка планов и механизма обслуживания, а также изменяется стратегия обслуживания. Если это явление принимает массовый характер, то корректируется общая стратегия, пересматриваются цели и задачи, т.е. корректируется политика обслуживания всех клиентов банка.
Основные элементы процесса обслуживания «как будет» показаны на рис. 1.
(Обозначения: Клиент - высокодоходный, привлекательный для банка перспективный корпоративный клиент).

Рис. 1
1.3 Описание моделируемого процесса
В исследуемой модели имеются транзакты четырех операторов – выполняющие все возможные операции. Клиентов банка можно условно разделить по времени обработки на 4 группы В качестве используемых ресурсов выступающих в банке.
Алгоритм работы моделируемого процесса в общем виде можно представить в виде блок-схемы процесса, которая приводится с приложением А.
Описание блок-схемы работы моделируемого процесса представлено в таблице 1.
Таблица 1 - Описание блок-схемы моделируемого процесса
|
Номер блока |
Описание блока |
|
|
Начало процесса моделирования |
|
|
Поступление транзакта-клиент |
|
|
Транзакт получает информацию из оператора |
|
|
25% из транзактов возвращаются |
|
|
Возвращающийся транзакт гуляет 15 ±5 |
|
|
Транзакт возвращается к блоку 2 |
|
|
Транзакта вставает в очеред к одному операторов |
|
|
Транзакт вставает в общую очередь ко всем операторам и обслуживается первым свободившися оператороом |
|
|
Вывод результатов |
|
|
Выход |
1.4 Выбор программного средства моделирования системы
Развитие имитационного моделирования началось в 50-х годах. Сначала имитационные модели разрабатывали на языках типа FORTRAN. В 60-х годах появились и стали развиваться специализированные языки имитационного моделирования GPSS, SIMSCRIPT, GASP, SIMULA SLAM. Их применение позволило упростить процесс имитации систем. В 80-х годах стали разрабатывать имитационные системы (среды), содержащие интерфейс непрограммирующего пользователя, входные и выходные анализаторы, возможность анимации процесса имитационного моделирования. В наше время на рынке ПО для имитации предлагается более 50 мощных продуктов имитационного моделирования, таких как Arena, AutoMod, Ехtеnd, GPSSWorld и др. Сейчас разработка методов имитационного моделирования находится в середине своего развития. Ведутся работы по совместному функционированию распределенных имитационных моделей, связи имитационных моделей через Интернет, универсализации моделей, расширению библиотек.
Для построения модели была выбрана система Arena (фирмы Rockwell Software), так как она наиболее оптимально подходит для решения поставленной задачи, имеет интуитивно понятный интерфейс, наиболее приспособлена для решения задач на основе движения транзактов.
Рассматривались также варианты использования таких программных продуктов, как системы GPSS и Ithink, а также языки программирования VB.net, VBA и C#. системы GPSS и Ithink были отвергнуты по ряду причин. Система GPSS является более сложной для понимания, чем Arena. В Arena предоставляется возможность моделирования с помощью интерфейса, а в системе GPSS необходимо знание языка моделирования: команд и операторов. Система Ithink удовлетворяет всем требованиям, кроме обеспечиваемых средств управления самим программным обеспечением – в ней отсутствует возможность сохранения модели. Используя для моделирования VB.net, VBA и C#, невозможно было бы достичь того же уровня визуализации и анимирования как в Arena за отведённый на работу период времени. Кроме того, использование языков программирования ставит проблему отображения статистической информации, без которой проблематично построение диаграмм и гистограмм. Конечно, это возможно. Но в Arena намного легче – это и есть основная причина выбора.
Arena - программное обеспечение для имитационного моделирования, позволяет создавать подвижные компьютерные модели, используя которые можно адекватно представить очень многие реальные системы.
Имитационное моделирование в среде Arena позволяет рассматривать процессы, происходящие в системе, практически на любом уровне детализации. В имитационной модели можно реализовать практически любой алгоритм управленческой деятельности или поведения системы.
Модели с помощью Arena могут быть построены для таких сфер деятельности как: производственных технологических операций, складского учета, банковской деятельности, обслуживания клиентов в ресторане и т.д.
В целом система исключительно проста в использовании. В системе Arena удачно соединены интерфейсные возможности среды Windows и присущая Arena легкость иерархического построения модели и ее последовательного приближения к реальному объекту.
Arena относится к инструментам, позволяющим моделировать многие процессы в бизнесе.
Arena позволяет:
- моделировать процессы для последующего исследования, документирования, коммуникаций;
- моделировать бизнес «as to be», отразить все протекающие процессы, определить возможности усовершенствования;
- визуализировать процессы с помощью динамической графики и мультипликации;
Arena позволила организациям в разных странах:
- избежать дорогостоящих ошибок, вызываемых реализацией исключительно интуитивных решений;
- разработать процессы, позволяющие бороться с тупиками и неопределенностью, вызванными случайностью и непостоянством систем;
- обнаружить скрытые резервы и устранить тормозящие факторы в существующих реализациях и внутренних процессах;
Возможности системы Arena соответствуют требованиям поставленной задачи моделирования операционного зала.
2. Структура системы анализа операционного состояния банка
банковский обслуживание программный средство
Работа системы анализа (рис. 2) начинается с получения из БД автоматизированной банковской системы сведений о ресурсах банка и заключенных финансовых сделках. На основании этих данных производится расчет показателей текущего состояния банка.

Рис. 2
2.1 Построение имитационной модель операционного зала
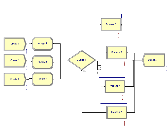
Рассмотрим процесс работы операционного обслуживания банка, изображённые на рисунке 3. На этом этапе, исходя из условий задачи, необходимо описать алгоритм работы модели и задать для каждого модуля соответствующие параметры.

Рис. 3 - Граф модели в среде Arena
На рисунке показана модель в предстартовом состоянии. Вид модели в действии изображён на рисунках 19-21 приложения Б. Модель состоит из одного типа модулей: основная цепь блоков, моделирующих процессы появления, перемещения и исчезновение
Модули модели
Транзакты первого типа создаются в модуле Create с именем «Client 1»

Рис. 4 - Параметры модуля «client 2»
Транзакты второго типа создаются в модуле Create с именем «creat 2»

Рис. 5 - Параметры модуля «Client»
Транзакты второго типа создаются в модуле Create с именем «Client 1,2,3» Транзакты второго типа создаются в модуле Assign

Рис. 6
Далее транзакты следуют в модуль Decide под названием «decide».В этом блоке происходит определение, время или процент в ресурсе для транзакта.

Рис. 7
В случае если мест нету, транзакт идёт на блок Decide с названием «Process». В этом блоке происходит распределение транзактов, 25% остаются в модели и переходят в блок Process с названием «Cassa1»,после чего, возвращаются на блок Decide с названием «Cassa 2». Остальные транзакты покидают модель через блок Dispose с названием «Dispose».

Рис. 8
Вывод транзакта происходит через модуль Dispose «exit to Banc».

Рис. 9
Установите курсор в ячейка Приступаем к проведению имитационного эксперимента.
Выберите в главном меню тему "Сервис" пункт "Анализ данных". Результатом выполнения этих действий будет появление диалогового окна "Анализ данных", содержащего список инструментов анализа.
Выберите из списка "Инструменты анализа" пункт "Генерация случайных чисел" и нажмите кнопку "ОК" (рис. 10).

Рис. 10
В окне параметров видно, что в модели фактически используются 3 вида ресурсов, все они обледенены (set). Каждый ресурс это место в банке для каждого клиента

Рис. 11

Рис. 12

Рис. 13
3. Анализ результатов имитационного моделирования
После прогона имитационной модели был получен ряд отчётов с результатами моделирования.
Далее рассмотрим ту часть отчёта, которая связана со степенью загрузки операторов банка, среднее время, обработки транзакта.

Рис. 14
Заметим, что при оригинальных условиях (рисунок 10) загруженность ресурсов клиентов сильно различна если операторов марина и мба мича загружены на 91 и 95 процента, то загруженность ресурса оператора Евгений составляет всего 93 процентов. Однако при запуске модели мы видим, что все операторы банка работают одинаковое количество времени.
Это объясняется тем что, через зал хоть и проходит одинаковое количество клиентов но затрачиваемое время на оказание услуг ресурсами различно. К тому же, такую разницу между тем, что мы видим визуально и гистограммой отчёта можно объяснить тем, что визуально отображается перемещение от одного блока к другому, на что уходит определённое время. Т.е. мы наблюдаем процесс появления посетителей банка, когда этот процесс уже завершён. Соответственно, при прогоне модели визуально мы можем оценить лишь анимацию перемещения посетителей. А в отчёте мы уже оцениваем реальные статистические данные. Следовательно, эффект одинаковой загруженности операторов объясняется разницей времени, требуемого на оказание услуг, так же, анимацией и реальным временем, потраченным на оказание услуг.

Рис. 15

Рис. 16
На рисунке 16 можно заметить распределение нагрузки между операторами практически равномерно, за исключением лишь одного оператора банка Евгений это обусловлено тем, о чем говорилось в первом случае. Следовательно, повышение количества клиентов до 4 не значительно повышает эффективность работы операторов видно что уровень загруженности операторов не как не изменился по отношению к первому случаю, но количество обслуженных клиентов несколько возросло относительно первого случая.
По сравнению со вторым случаем мы можем заметить что количество обслуженных клиентов абсолютно одинаково, но количество требуемых ресурсов во втором случае выше чем в 1 случае, и также уровень загруженности ресурсов практически не изменился по отношению ко второму случаю. Отсюда, можно сделать вывод, что 1 случай (сокращения времени обслуживания) будет более оптимален по отношению к остальным.
Заключение
В результате курсовой работы была решена задача моделирования обслуживания клиентов операционного зала банка. Проведен анализ обслуживания клиентов двух типов. Построенная имитационная модель в системе Arena позволяет оценить загрузку ресурсов операторов, проследить зависимость эффективности работы оператора от времени обработки и времени обслуживания клиентов.
Как показало исследование, в обоих случаях банк начинает работать лучше. Однако, если учесть, что степень загрузки клиентов сопоставима как при увеличении операторов в банке, так и при уменьшении времени обслуживания клиентов, то основным фактором остаётся время затрачиваемое на оказание услуг клиентам. По этому критерию явно лидирует 2-ой эксперимент с быстрая очередь уменьшением времени на оказание услуг клиентам. Окончательный выбор, если не учитывать стоимость переоборудование и переквалификации банке в каждом из случаев, остаётся за снижение время обслуживания.
Вывод: для повышения эффективности работы банка, прежде всего, необходимо уменьшить время затрачиваемое на оказание услуг клиентам (сокращение время обслуживания) и установкой банковских терминалов.
Список используемой литературы
1. В.Н. Томашевский, Е.Г. Жданова «Имитационное моделирование в среде GPSS».-М.:Бестселлер,2003. - 416 с.
2. Б.Я. Советов, С.Я. Яковлев «Моделирование систем». - М.: «Высшая школа», 2003.
3. В. Боев «Моделирование систем. Инструментальные средства GPSS World».-СПб.: «БХВ-Петербург», 2004.
4. Соболь И.М. «Метод Монте-Карло», Москва «Наука», 1985 г.
5. Справочник по работе банка данных системы МИМЕР. Часть 1 /Основы технологии банка данных. Принцип работы СУБД МИМЕР. Компоненты семейства МИМЕР // Обработка информации в высших и специальных учебных заведениях. Берлин Центральный институт.
6. Клейнрок Л. «Теория массового обслуживания» - М.: Машиностроение, 1979. - 432 с.
7. Прицкер А. «Введение в имитационное моделирование» - М.: Мир, 1987.-644 с.
8. Емельянов А.А., Власова Е.А., «Имитационное моделирование экономических процессов» - М. Финансы и статистика, 2002.
9. Вентцель Е.С. Теория вероятностей. - М.: Наука, 1969. - 564 с.
10. Пугачев В.С. Теория вероятностей и математическая статистика. - М: Наука, 1979. - 327 с.
11. Бусленко Н.П. Моделирование сложных систем. - М.: Наука, 1978. 399 с.
12. Шрайбер Т.Дж. Моделирование на GPSS. -W.: Машиностроение, 1979. - 287 с.
13. Варфоломеев В.И. Алгоритмическое моделирование элементов экономических систем. - М.: Финансы и статистика, 2000. - 208 с.