Проектирование первичной сети связи на участке железной дороги (работа 1)
>Министерство Путей Сообщения>
>Уральский Техникум Железнодорожного Транспорта >
Проектирование первичной сети связи
>на участке железной дороги>
Курсовой проект по дисциплине
”Многоканальные системы передачи”
> КП 2016 Ш-63 П3>
> Студент >
>
Грушин Д. С.>
> подпись>
> дата>
>
>
> Преподаватель>
> Чумакова Т. Н.>
> подпись>
> дата>
>

>
Содержание:
>Введение 3>
>1 Проверочные расчёты каналов 6>
>Расчёт длин усилительных участков 6>
>Расчёт затуханий усилительных участков 7>
>Построение диаграммы уровней 9>
>1.4 Проверка качества связи 11>
>Выбор кабеля, типа линии и систем уплотнения 13>
>Техническая характеристика аппаратуры уплотнения 15>
>Технические данные К-60П 15>
>Схема частотных преобразований К-60П 17>
>Схема комплекта К-60П 18>
>Назначение и основные технические данные К-24Т 18>
>Схема частотных преобразований К-24Т 19>
>Схема комплекта линейного оборудования К-24Т 20>
>Схема прохождения цепей по линейно аппаратному цеху>
> и план размещения оборудования 22>
>Схема связи на участке железной дороги 24>
>Краткий сметно-финансовый расчёт 25>
>Техника безопасности при строительстве кабельных магистралей >
> и монтаже оборудования 27>
>7.1 Основные сведения об охране труда 27>
>7.2 Техника безопасности при рытье траншеи 28>
>7.3 Техника безопасности при транспортировке и прокладке кабеля 28>
7.4 Техника безопасности при работах в колодцах
кабельной канализации 28
7.5 Техника безопасности при разделке кабеля 29
Список литературы 30
ВВЕДЕНИЕ
Многоканальная связь получила широкое распространение на железнодорожном транспорте. Особенно большое значение эта связь приобретает в связи с разбросанностью подразделений железнодорожного транспорта на большие расстояния.
Управление работой отдельных хозяйственных единиц требует организации между командными пунктами (Министерство путей сообщения, управления дорог и т.п.) и низовыми организациями оперативной (например, телефон) и документальной (телеграф, передача данных, факсимиле) связи.
Обеспечение оперативной отчетности и сбора данных от отдельных подразделений для фиксации проделанной работы и составление оперативных планов возможно только при четко работающей оперативной и документальной связи.
Организация различных видов оперативно-технологической связи требует создания между отдельными станциями, узлами и административными пунктами соответствующего числа каналов связи. Каналы могут быть получены с использованием соответствующей аппаратуры, обеспечивающей ведение нескольких независимых телефонных разговоров по одной линии передачи.
Идея образования нескольких одновременно действующих каналов связи по общей линии передачи с использованием токов различных частот была высказана в 1860 году Г.И. Морозовым. После изобретения телефона Г.Г. Игнатьевым в 1880 году предложил схему для одновременной передачи телеграфных и телефонных сигналов, основанную на их разделении прототипами электрических фильтров. Таким образом, было положено начало принципу частотного разделения различных связей, организуемых по общей цепи. В то же время во Франции Пикар и Кайло разработали схему одновременного телеграфирования и телефонирования, построенную по принципу уравновешенного моста.
Практическое создание многоканальных телефонных систем передачи стало возможным после изобретения в 1895 году радио А.С. Поповым, электронных ламп и применения их для усиления, генерации переменных токов, их модуляции и демодуляции, разработки теории и методов проектирования электрических фильтров, выравнивателей и других элементов.
Первая четырехканальная аппаратура высокочастотного телефонирования (так называли ранее системы передачи) была введена в действие в США на участке Балтимор – Питсбург в 1918 году. В СССР многоканальную телефонную связь стали применять в начале 20-х годов. Первая отечественная аппаратура высокочастотного телефонирования на один разговор, разработанная под руководством П.А. Азбукина при участии Я.И. Великина, была установлена на участке Ленинград – Бологое. В 1926 году под руководством В.Н. Листова создана аппаратура, дающая возможность организовать три телефонных канала на воздушных цветных цепях. В последующие годы был освоен выпуск более совершенной аппаратуры с передачей электрических колебаний несущей частоты СМТ-34 и вслед за ней аппаратуры без передачи по линии тока несущей частоты СМТ-35. Эта аппаратура была использована для организации телефонной связи Москва – Хабаровск. В 1940 году была закончена разработка 12-канальной системы передачи по воздушным цветным цепям.
>В послевоенные годы последовательно проводилась модернизация аппаратуры избирательной связи с селекторным вызовом сначала на базе электронных ламп, а затем и полупроводниковых приборов, начали выпускать трёхканальную (В-3) и двенадцати канальную (В-12) системы передачи по воздушным цветным цепям и систему передачи ВС-3 по стальным воздушным цепям.>
С начала 50-х годов большое внимание уделяется созданию систем передачи по кабельным непупинизированным цепям. Так, в 1951 году была разработана 12-канальная система передачи К-12 и 24-канальная система передачи по симметричным кабельным цепям К-24. С 1956 года в ряде стран и в том числе в СССР велись разработки многоканальных систем передачи с импульсно-кодовой модуляции (ИКМ), принцип которой был предложен А.Ривсом в конце 30-х годов.
Оперативно-технологическая связь прошла длительный путь развития на основе разработки и последовательной модернизации своей технической базы, а также поисков новых технических решений. Имеющиеся теперь на железнодорожном транспорте устройства оперативно-технологической связи были созданы в результате многолетнего труда большого коллектива транспортных специалистов.
> Первым видом транспортной оперативно-технологической связи в нашей стране была поездная диспетчерская связь, появившаяся в 1921 году. В ней использовались групповые физические цепи воздушных линий связи. Вызов промежуточных станций осуществлялся посылкой с распорядительной станции импульсов постоянного тока, а сигнал вызова принимало электромагнитное избирательное устройство—селектор. По этому термину и вся связь в целом получила название ”селекторной”. Аналогичная система селекторной связи была использована для создания постанционной и линейно-путевой связи, а в последующем—аппаратуры дорожной распорядительной связи и на её основе—аппаратуры связи совещаний.>
> Традиционный способ построения оперативно-технологической связи на базе использования групповых физических цепей имеет существенный недостаток, заключающийся в том, что число физических цепей должно быть равно числу организуемых связей. С учетом цепей для обходных каналов на аппаратуре систем передачи это приводит к необходимости применения на транспортных линиях связи кабелей большой емкости (до 14 четверок). Для сокращения этой емкости разработана система передачи К-24Т, предназначенная для уплотнения двухкабельных линий передачи. Она позволяет включать промежуточные пункты избирательной связи непосредственно в каналы ТЧ. Создание этой аппаратуры вызвало необходимость разработки комплекса дополнительных устройств для сопряжения четырехпроводного тракта групповых каналов ТЧ с аппаратурой промежуточных пунктов.>
> Наряду с этими разработками ведутся поиски новых принципов построения аппаратуры групповой связи и способов организации групповых каналов на базе цифровых систем передачи с импульсно-кодовой модуляцией. Использование этих способов вместе с самой современной элементной базой обеспечит значительное повышение качества и надежности связи.>
1 Проверочные расчёты каналов
>Расчёт длин усилительных участков>
Обслуживаемый усилительный участок ставим между вторым и третьим необслуживаемыми усилительными участками. Обслуживаемый усилительный участок выбирается с двухчастотной автоматической регулировкой усиления (линия короткая). Разбиваем секцию ОП-ОУП на усилительные участки, длина усилительного участка:
> >
>аном—номинальное затухание усилительного участка, аном =51 дБ.>
>t max—коэффициент затухания кабеля на верхней частоте линейного спектра К60П при максимальной температуре грунта.(для 252 кГц).>
>
>
>температурный коэффициент километрического затухания при f = 252 кГц, показывает, как изменится если температура увеличится на один градус.>
>Т—исходная температура, при которой известна , Т = +18С,>
>t
= +14С>
> .>
> = 2,61 дБ/км>
>Р
ассчитаем
максимально допустимую длину усилительного
участка>
>Smax—максимальное усиление усилителя НУП, при f = 252 кГц Smax=55,6дБ >
>2ат—затухание двух линейных трансформаторов. 2ат=1дБ>
>алв—затухание линейного выравнивателя. алв =1дБ>
> >

>Рассчитаем минимально допустимую длину усилительного участка>
- разность затуханий контура
начального наклона в цепи ОС на верхней
и нижней контрольной частоте.
> 
- разность затуханий
линейного выравнивателя. >
>
- коэффициенты затухания
цепей кабеля на ВКЧ и НКЧ>
>
НУП
НУП ОУП НУП МВ НУП
НУП НУП>
> +ИЛ3>
> 19,3 16,6 19,5 19,2 19,6 МВ 19,4 18,3 16,7>
> 55,4 93,2>
> >
> 148,6>
>Рисунок 1—Схема участка >
Расставим магистральные выравниватели. Они должны находиться друг от друга на расстоянии 60-80 км, причем желательно, чтобы усилительный участок был меньше номинального на 1-2 км.
>1.2 Расчет затуханий усилительных участков>
Расчет ведется на максимальной частоте линейного спектра, при максимальной и минимальной температурах грунта.
>Т = 2 С>
> t = 1 C>
Таблица
1
|
>
ак
= > |
||
|
> t = +14 C> |
>t = -1 C> |
|
|
>1> |
>ак1 = 2,59 ·19,3 = 49,99> |
>ак1 = 19,3 ·2,52 = 48,63> |
|
>2> |
>ак2 = 2,59 ·16,6 = 42,99> |
>ак2= 16,6 ·2,52 = 41,83> |
|
>3> |
>ак3 = 2,59 ·19,5 = 50,50> |
>ак3 = 19,5 ·2,52 = 49,14> |
|
>4> |
>ак4 = 2,59 ·19,2 = 49,72> |
>ак4 = 19,2 ·2,52 = 48,38> |
|
>5> |
>ак5 = 2,59 ·19,6 = 50,76> |
>ак5 = 19,6 ·2,52 = 49,39> |
|
>6> |
>ак6 = 2,59 ·19,4 = 50,39> |
>ак6 = 19,4 ·2,52 = 48,89> |
|
>7> |
>ак7 = 2,59 ·18,3 = 47,39> |
>ак7 = 18,3 ·2,52 = 46,11> |
|
>8> |
>ак8 = 2,59 ·16,7 = 43,25> |
>ак8 = 16,7 ·2,52 = 42,08> |
>Рассчитаем затухания станционных устройств>
>аст = алв+2алтр+амв+аил (1.7)>
>алв = 1дБ (технические данные)>
>2
алтр
= 1дБ>
>а
мв
= 2,61 дБ>
>аил = 7,4 дБ (частный случай)>
>Таблица 2>
Направление прямое |
Направление обратное |
|
|
>1> |
>аст = 1 + 1 = 2 дБ> |
>аст = 1 + 1 + 2,61 = 4,61 дБ> |
|
>2> |
>аст = 1 + 1 + 7,4 = 9,4 дБ> |
>аст = 1 + 1 + 7,4= 9,4 дБ> |
|
>3> |
>аст = 1 + 1 = 2 дБ> |
>аст = 1 + 1 = 2 дБ> |
|
>4> |
>аст = 1 + 1 = 2 дБ> |
>аст = 1 + 1 = 2 дБ> |
|
>5> |
>аст = 1 + 1 + 2,61= 4,61 дБ> |
>аст = 1 + 1 = 2 дБ> |
|
>6> |
>аст = 1 + 1 = 2 дБ> |
>аст = 1 + 1 + 2,61= 4,61 дБ> |
|
>7> |
>аст = 1 + 1 = 2 дБ> |
>аст = 1 + 1 = 2 дБ> |
|
>8> |
>аст = 1 + 1 + 2,61 + 7,4 = 12,01 дБ> |
>аст = 1 + 1 = 2 дБ> |
>Рассчитаем затухание усилительных участков по формуле: >
>ауу = а к + а ст (1.8)>
>Таблица 3>
|
|
|
>при t = + 14C> |
>при t = 1C> |
|
>ауу1 =49,99+2=51,99> |
>ауу1 =48,63+2=50,63> |
|
>ауу2 =42,99+9,4=52,39> |
>ауу2 =41,83+9,4=51,23> |
|
>ауу3 =50,5+2=52,5> |
>ауу3 =49,14+2=51,14> |
|
>ауу4 =49,72+2=51,72> |
>ауу4 =48,38+2=50,38> |
|
>ауу5 =50,76+4,61=55,37> |
>ауу5 =59,39+4,61=54> |
|
>ауу6 =50,24+2=52,24> |
>ауу6 =48,89+2=50,89> |
|
>ауу7 =47,39+2=49,39> |
>ауу7 =46,11+2=48,11> |
|
>ауу8 =43,25+12,01=55,26> |
>ауу8 =42,08+12,01=54,09> |
|
|
|
|
>при t = + 14C> |
>при t = 1C> |
|
>ауу1 =49,99+4,61=54,6> |
>ауу1 =48,63+4,61=53,24> |
|
>ауу2 =42,99+9,4=52,39> |
>ауу2 =41,83+9,4=51,23> |
|
>ауу3 =50,5+2=52,5> |
>ауу3 =49,14+2=51,14> |
|
>ауу4 =49,72+2=51,72> |
>ауу4 =48,38+2=50,38> |
|
>ауу5 =50,76+2=52,76> |
>ауу5 =59,39+2=51,39> |
|
>ауу6 =50,24+4,61=54,85> |
>ауу6 =48,89+4,61=53,5> |
|
>ауу7 =47,39+2=49,39> |
>ауу7 =46,11+2=48,11> |
|
>ауу8 =43,25+2=45,25> |
>ауу8 =42,08+2=44,08> |
Таблица 4
|
Исходные данные |
К-60 П, МКПАБ 741,05 5207 10,7 |
|||||||
|
>Длина секции регулирования> |
>55,4> |
>93,2> |
||||||
|
>пунктов> |
>ОП НУП НУП ОП НУП НУП НУП НУП ОП> > 19,3 16,6 19,5 19,2 19,6 19,4 18,3 16,7> |
|||||||
|
>Длина усилительных участков> |
||||||||
|
|
||||||||
|
>Затухание +14С> > кабеля ак, дБ -1С> |
>49,99> |
>42,99> |
>50,5> |
>49,72> |
>50,76> |
>50,24> |
>47,39> |
>43,25> |
|
>48,63> |
>41,83> |
>49,14> |
>48,38> |
>49,39> |
>48,89> |
>46,11> |
>42,08> |
|
|
>Затухание входных устройств аст, дБ> |
>2> |
>9,4> |
>2> |
>2> |
>4,61> |
>2> |
>2> |
>12,01> |
|
>Затухание усилитель-ных участков: ауу, дБ> |
>51,99> |
>52,39> |
>52,5> |
>51,72> |
>55,37> |
>52,24> |
>49,39> |
>55,26> |
|
Усиление усилителей: S>нуп>, дБ |
>50,6> |
>51,2> |
>51,1> |
>50,4> |
>54> |
>50,9> |
>48,1> |
>54,1> |
|
|
||||||||
|
>Затухание входных устройств аст, дБ> |
>4,61> |
>9,4> |
>2> |
>2> |
>2> |
>4,61> |
>2> |
>2> |
|
>Затухание усилитель-ных участков ауу, дБ> |
>53,2> |
>51,2> |
>51,1> |
>50,4> |
>51,4> |
>53,5> |
>48,1> |
>44,1> |
|
Усиление Усилителей: S>нуп>, дБ |
>54,6> |
>52,39> |
>52,5> |
>51,72> |
>52,76> |
>54,85> |
>49,39> |
>45,25> |
>Построение диаграммы уровней>
>1.3.1 Расчёт уровней на входе и выходе усилительных пунктов>
> Направление прямое Направление обратное>
>1) рвх.нуп1 = 0,9 ауу1 1) рвх.нуп6 = 0,9 ауу8>
> рвх.нуп1 = 0,9 51,99 = 52,89 дБ рвх.нуп6 = 0,9 45,25 = 46,15 дБ>
> рвых.нуп1 = рвх.нуп1 + Sнуп1 рвых.нуп6 = рвх.нуп6 + Sнуп8>
> рвых.нуп1 = 52,89 + 50,6 = 2,29 дБ рвых.нуп6 = 46,15 + 44,1 = 2,05 дБ>
> 2,29 + 1,57 = 0,72 АРУ выкл. 2,05 + 1,57 = 0,48 АРУ выкл.>
>2) рвх.нуп2 = рвых.нуп1 ауу2 2) рвх.нуп5 = рвых.нуп6 ауу7>
> рвх.нуп2 = 2,29 52,39 = 54,68 дБ рвх.нуп5 = 2,05 49,39 = 51,44 дБ>
> рвых.нуп2 = рвх.нуп2 + Sнуп2 рвых.нуп5 = рвх.нуп5 + Sнуп7>
> рвых.нуп2 = 51,2 54,68 = 3,48 дБ рвых.нуп5 = 51,44 + 48,1 = 3,34 дБ>
> 3,48 + 1,57 = 1,91 АРУ вкл. 3,34 + 1,57 = 1,77 АРУ вкл.>
>3) рвх.оуп = рвых.нуп2 ауу3 3) рвх.нуп4 = рвых.нуп5 ауу6>
> рвх.оуп = 1,91 52,5 = 54,41 дБ рвх.нуп4 = 1,77 54,85 = 56,62 дБ>
>4) рвх.нуп3 = 0,9 ауу3 рвых.нуп4 = рвх.нуп4 + Sнуп6>
> рвх.нуп = 0,9 51,72 = 52,62 дБ рвых.нуп4 = 56,62 + 53,5 = 3,12 дБ>
> рвых.нуп3 = рвх.нуп4 + Sнуп4 3,12 + 1,57 = 1,55 АРУ вкл.>
> рвых.нуп3 = 52,62 + 50,4 = 2,22 дБ 4) рвх.нуп3 = 1,55 ауу5>
> 2,22 + 1,57 = 0,65 АРУ вкл. рвх.нуп3 = 1,55 52,76 = 54,31 дБ >
>5) рвх.нуп4 = рвых.нуп4 ауу5 рвых.нуп3 = рвх.нуп3 + Sнуп5>
> рвх.нуп4 = 2,22 55,37 = 57,59 дБ рвых.нуп3 = 54,31 + 51,4 = 2,91 дБ>
> рвых.нуп4 = рвх.нуп5 + Sнуп5 2,91 + 1,57 = 1,34 АРУ выкл.>
> рвых.нуп4 = 57,59 + 54 = 3,59 дБ 5) рвх.оуп = рвых.нуп3 ауу4>
> 3,59 + 1,57 = 2,02 АРУ вкл. рвх.оуп = 1,34 51,72 = 53,06 дБ>
> 6) рвх.нуп5 = рвых.нуп4 ауу5 6) рвх.нуп2 = рвых.оуп ауу3>
> рвх.нуп5 = 2,02 52,24 = 54,26 дБ рвх.нуп2 = 0,9 52,5 = 53,4 дБ>
> рвых.нуп5 = рвх.нуп6 + Sнуп6 рвых.нуп2 = рвх.нуп2 + Sнуп3>
> рвых.нуп5 = 54,26 + 50,9 = 3,36 дБ рвых.нуп2 = 53,4 + 51,1 = 2,3 дБ>
> 3,36 + 1,57 = 1,79 АРУ вкл. 2,3 + 1,57 = 0,73 АРУ выкл.>
>7) рвх.нуп6 = рвых.нуп5 ауу6 7) рвх.нуп1 = рвых.нуп2 ауу1>
> рвх.нуп6 = 1,79 49,39 = 51,18 дБ рвх.нуп1 = 2,3 52,39 = 54,69 дБ>
> рвых.нуп6 = рвх.нуп7 + Sнуп7 рвых.нуп1 = рвх.нуп1 + Sнуп2>
> рвых.нуп6 = 51,18 + 48,1 = 3,08 дБ рвых.нуп1 = 54,69 + 51,2 = 3,49 дБ>
> 3,08 + 1,57 = 1,51 АРУ вкл. 3,49 + 1,57 = 1,92 АРУ вкл.>
>8) рвх.оуп = рвых.нуп7 ауу8 8) рвх.оуп = рвых.нуп1 ауу1>
> рвх.оуп = 1,51 55,26 = 56,77 дБ рвх.оуп = 1,92 54,6 = 56,52 дБ>
>Рисунок 2—Диаграмма уровней прямого направления>
>Рисунок 3—Диаграмма уровней обратного направления>
>Проверка качества связи>
>1.4.1 Расчет ожидаемых шумов>
>где:>
>1) Uш.т.—напряжение термического шума >
> pШ.Т.—уровень термического шума в спектре одного канала pШ.Т. = 132 дБ >
> pп.i—уровень приёма на каждом необслуживаемом усилительном пункте в >
> децебелах.>
> К—псофометрический коэффициент. К = 1,33>
>2) Uш.л.п.—напряжение шума линейных переходов.>
> L —длина секции регулирования (без искусственной линии).>
> >
>3) Uш.н.п.— напряжение шума нелинейных переходов. >
>Uш.н.п. = Uш.л.п.(1.13)>
> Uш.н.п. = 0,164323356 мВ псоф>
>4) Uш.ок.—напряжение шума вносящегося оконечной аппаратурой.>
>Uш.ок. = 0,246 мВ псоф (1.14)>
>5) Uш.выд.—напряжение шума, вносимое аппаратурой выделения каналов.>
>Uш.выд. = Uш.ок. (1.15)>
> Uш.выд. = 0,246 мВ псоф>
>1.4.2 Расчёт допустимого шума>
> >
>где:>
> Uш.л.т.—напряжение шума, вносимое линейным трактом.>
> Uш.доп. Uш.ож.>
2 Выбор кабеля, типа линии и систем уплотнения
> Поскольку участок электрифицирован постоянным током, то для защиты от электрической коррозии применяют кабель в защитном полиэтиленовом шланге: МКПАБШп.>
>Для работы систем передачи К60П и К24Т выбираем двух кабельную линию.>
>Для организации связи по симметричному кабелю применяют системы передачи К-60П и К-24Т. К-60П применяем для организации дорожной и магистральной связи, а для организации оперативно-технологической связи между отделениями дороги применяем две системы К-24Т.>
> Поскольку участок электрифицирован постоянным током, то для защиты от электрической коррозии применяют кабель в защитном полиэтиленовом шланге: МКПАБШп (магистральный кабель, кордельно-трубчатая полиэтиленовая изоляция жил, с алюминиевой оболочкой, бронированный двумя стальными лентами, в полиэтиленовом шланге).>
>Кабели марки МКПАБШП изготовляют ёмкостью 4,7 и 14 четверок; содержит сигнальные пары и контрольную жилу. Контрольная жила не со сплошной, а с прерывистой (прореженной) изоляцией. При нарушении герметичности кабеля и проникновении в него влаги последняя быстрее смачивает контрольную жилу, чем остальные жилы со сплошной изоляцией, т.е. быстрее срабатывает сигнализация о повреждении кабеля, и этим облегчается нахождение места повреждения кабеля.>
> Кабель имеет семь четвёрок с медными жилами диаметром 1,05 мм, пять сигнальных пар и одну контрольную жилу; сигнальные пары и контрольная жила—медные диаметром 0,7 мм.>
>В кабельной четвёрке обычно применяют следующую расцветку жил: жила “а” имеет красную расцветку, “b”—жёлтую, “c”—синюю, “d”—зелёную.>
>Для работы систем передачи К-60П и К-24Т выбираем двух кабельную линию. >
>Для организации связи по симметричному кабелю применяют системы передачи К-60П и К-24Т. Систему передачи К-60П применяем для организации дорожной и магистральной связи, а для организации оперативно-технологической связи между отделениями дороги применяем две системы К-24Т.>
>Рисунок 2.1—Разрез кабеля типа МКПАБШп 741,05 + 520,7 + 10,7>
>1 центрирующий полиэтиленовый кордель,>
>2 четыре медные жилы,>
>3 спирально навитый полиэтиленовый кордель,>
>4 полиэтиленовая трубка,>
>5 нитка из хлопчатобумажной пряжи,>
>6 контрольная жила,>
>7 пять сигнальных пар,>
>8 поясная изоляция,>
>9 алюминиевая оболочка,>
>10 две-три поливинилхлоридные ленты,>
>11 подушка из кабельной пряжи,>
>12 две броневые ленты из низкоуглеродистой стали,>
>13 слой битума,>
>14 полиэтиленовый шланг.>
>3 ТЕХНИЧЕСКАЯ ХАРАКТЕРИСТИКА АПАРАТУРЫ УПЛОТНЕНИЯ>
>3.1 Технические данные апаратуры К-60 >
>Система передачи К-60П предназначена для организации шестидесяти каналов тональной частоты на цепях симметричных кабелей МКС и МКБ. На железнодорожном транспорте ее широко используют для работы по кабелям МКП. Система связи двух кабельная однополосная, линейный спектр частот равен 12–252 кГц. Дальность передачи 12500 км. Максимальная длина переприемного участка по тональной частоте составляет 2500 км. Для обеспечения такой дальности в цепь включают обслуживаемые и необслуживаемые промежуточные усилители.>
>Номинальный относительный уровень передачи в линию без предыскажения по всем каналам равен -5 дБ, с предыскажением по верхнему каналу -1 дБ, по нижнему -11 дБ. Для поддержания остаточного затухания в аппаратуре оконечных и промежуточных станций постоянным током имеются устройства автоматической регулировки усиления—АРУ. Работой устройств автоматической регулировки усиления управляют токи контрольных частот: 16 кГц – наклонная, 112 кГц – криволинейная, 248 кГц – плоская. На оконечных станциях и ОУП-3 используют трехчастотные (плоско-наклонно-криволинейные); на ОУП-2 – двухчастотные (плоско-наклонные) АРУ; на НУП – частотно-зависимую грунтовую АРУ.>
>Наибольшее усиление усилительных станций на высшей предаваемой частоте для ОП и ОУП составляет 61 дБ, для НУП – 55 дБ. Необслуживаемые усилительные пункты размещают вдоль магистрали в среднем через 19 км, ОУП-2 – через 250-300 км, ОУП-3 – через 500-600 км.>
>Оконечные и обслуживаемые усилительные пункты имеют местные источники электропитания, НУП получают электропитание дистанционно с ОУП или ОП.>
>Наибольшее число НУП между ОУП (ОП) при организации дистанционного питания по системе провод-земля равно 12, по системе провод-провод – 6.>
>Для уменьшения взаимных помех между каналами систем, работающих на параллельных цепях в одной четверке кабеля, в системе передачи предусмотрены два варианта линейного спектра частот. В дополнительном варианте применена инверсия спектров.>
>Дополнительные данные:>
>номинальное затухание усилительного участка на частоте 252 кГц при максимальной температуре грунта, дБ . . . . . . . . . . . . . . . . . . . 51>
>разность затуханий контура постоянного наклона в цепи ООС на частотах 247 и 17 кГц, дБ . . . . . . . . . . . . . . . . . . . . . . . . . . . . . . . . 13>
>разность затуханий линейных выравнивателей на частотах >
> 247 и 17 кГц, дБ . . . . . . . . . . . . . . 17.0; 18.6; 20.2; 22; 23.6; 25>
>затухание линейных выравнивателей на частоте 252 кГц, дб . . . . . . . . 1>
>затухание двух линейных трансформаторов, дБ . . . . . . . . . . . . . . . 1>
>магистральные выравниватели:>
>расстояние между ними, км . . . . . . . . . . . . . . . . . . . . . . .60-8>
>затухание на частоте 252 кГц, дБ . . . . . . . . . . . . . . . . . . . . . . 3>
>искусственные линии: >
>эквивалентная дина кабеля, км . . . . . . . . . . . . . . . . . . . . . . . 3; 6 >
>затухание, дБ, на частоте 252 кГц: ИЛ3 . . . . . . . . . . . . . . . . 7.4>
> ИЛ6 . . . . . . . . . . . . . . . 14.9 >
> ИЛ3-ИЛ6 . . . . . . . . . . . . . 22.3>
> 2) затухание, дБ, на частоте 12 кГц ИЛ3 . . . . . . . . . . . . . . . . 2.2 >
> ИЛ6 . . . . . . . . . . . . . . . . 4.3>
> ИЛ3-ИЛ6 . . . . . . . . . . . . . 6.5>
>пределы изменения усиления грунтовой АРУ при изменении температуры >
> на 20С (от -2 до + 18С, от -10 до +10С, от +10 до + 30С), дБ; для >
> кабеля МКС>
> на частотах: 12 кГц . . . . . . . . . . . . . . . . . . . . . . . . . . . . . . . 1 >
> 252 кГц . . . . . . . . . . . . . . . . . . . . . . . . . . . . . 2.1 >
>пределы регулировки АРУ по контрольным частотам, дБ:>
> 1) для усилителей с двухчастотной АРУ: >
> плоская (248 кГц) . . . . . . . . . . . . . . . . . . . . . . . . . . . . . . 4 >
> наклонная (12 кГц) . . . . . . . . . . . . . . . . . . . . . . . . . . . . 3.5 >
> 2) для усилителей с трехчастотной АРУ: >
> плоская (248 кГц) . . . . . . . . . . . . . . . . . . . . . . . . . . . . . . 4>
> наклонная (12кГц) . . . . . . . . . . . . . . . . . . . . . . . . . . . . 3.5 >
> криволинейная (80кГц) . . . . . . . . . . . . . . . . . . . . . . . . . . 3.5 >
>погрешность частотных АРУ, дБ . . . . . . . . . . . . . . . . . . . . . . 0.5 >
>погрешность температурной АРУ, дБ . . . . . . . . . . . . . . . . . . . 0.2>
>максимальное усиление усилительных станций на частоте 252 кГц >
> при максимальном положении регуляторов АРУ, дБ:>
> 1) для НУП . . . . . . . . . . . . . . . . . . . . . . . . . . . . . . . . . . . 55 >
> 2) для ОУП, ОП . . . . . . . . . . . . . . . . . . . . . . . . . . . . . . . . . 61>
>- минимальное усиление усилительных станций на частоте 252 кГц, дБ:>
> 1) для НУП . . . . . . . . . . . . . . . . . . . . . . . . . . . . . . . . . . . 45>
> 2) для ОУП, ОП . . . . . . . . . . . . . . . . . . . . . . . . . . . . . . . . . 49>
>средняя псофометрическая мощность шумов, пВт, в точке с нулевым >
> относительным уровнем, вносимых в каналы ТЧ системы:>
> линейным трактом при дальности передачи 2500 км . . . . . . . . . . . 7500>
> оборудованием двух оконечных станций с НЧ окончанием каналов >
> и оборудованием транзита по НЧ . . . . . . . . . . . . . . . . . . . . . . . 500 >
> оборудованием транзита по ВЧ (по первичным группам) . . . . . . . . . . 200>
>оборудованием выделения каналов (на 4, 12 и 24 канала) в тракт:>
>прямого прохождением. . . . . . . . . . . . . . . . . . . . . . . . . . . . . 30>
> выделения и введения четырех каналов . . . . . . . . . . . . . . . . . . . 350 >
>уровень мощности собственных шумов в спектре одного канала ТЧ >
> (248-252 кГц), приведенный по входу линейного усилителя, дБ:>
> НУП и ОУП-2 . . . . . . . . . . . . . . . . . . . . . . . . . . . . . . . . -132 >
> ОУП-3 и ОП . . . . . . . . . . . . . . . . . . . . . . . . . . . . . . . . . -129>
>3.2 Схема частотных преобразований системы передачи К-60П>

> >
> 0,3 3,4 f , кГц>
>60 108 f , кГц>
> в Первичная группа>
>312 360 408 456 504 552 f , кГц>
> Вторичная группа>
> 12 60 108 156 204 252 f , кГц>
> 112 246 Линейный >
> спектр>
>Рисунок3.1—Схема частотных преобразований системы передачи К-60П>
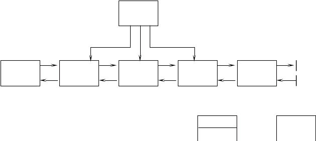
>3.3 Структурная схема оконечной станции ОК-60П>
>с
206 СУГО>
> 1-5>
> СТВ-ДС СИП-60 СГП СЛУК СВКО11 кабель1 >
> 60 ОП кабель2>
>
>
> ССС-7 СДП>
> ТУ ТМ>
> >
>Рисунок 3.2—Структурная схема оконечной станции ОК-60П>
>СТВ-ДС-60 стойка тонального вызова и дифференциальных систем>
>СИП-60 стойка индивидуального преобразователя >
>СГП стойка групповых преобразований>
>СЛУК ОП стойка линейных усилителей и корректоров>
>СУГО-1-5 стойка унифицированного генераторного оборудования>
>СВКО-11 стойка вводно-коммутационного оборудования>
>СДП стойки дистанционного питания>
>ССС-7 стойки служебной связи>
>3.4 Назначение и основные технические данные К-24Т>
>Система передачи К-24Т (кабельная 24-канальная транспортная) работает в диапазоне частот от 12 до 108 кГц и создает 12 прямых каналов, связывающих обе оконечные станции, 9 групповых каналов, параллельно выделяемых во всех промежуточных пунктах и предназначенных для организации групповых связей типа диспетчерских, и 3 многоточечных канала, используемых при передачи дискретной информации. Прямые каналы занимают в линейном тракте диапазон частот 12-60 кГц, групповые организуют в диапазоне от 72 до 108 кГц, многоточечные – от 60 до 72 кГц.>
>Дальность передачи составляет 500 км. На оконечных и промежуточных станциях предполагается размещение на одной стойке двух систем передачи. Следовательно, общее число организуемых каналов будет: 24 прямых, 18 групповых и 6 многоточечных каналов.>
>Система передачи К-24Т использует линейный тракт системы К-60П, поэтому уровни передачи в диапазоне частот 12-108 кГц соответствуют диаграмме уровней этой системы.>
>Промежуточные станции СП К-24Т имеют в своем составе усилительные элементы, компенсирующие затухание, вносимое параллельным подключением устройств промежуточного пункта. Поэтому включение в цепь любого числа промежуточных пунктов, не изменяет диаграммы уровней, что обеспечивает отсутствие переходных влияний между параллельно работающими системами передачи К-60П и К-24Т.>
>3.5Схема частотных преобразований К-24Т>
> 1 108 кГц>
> 2 104 кГц>
> .>
> .>
> .>
> 12 64 кГц>
> 0,3 3,4 кГц>
> кГц>
> 60 кГц 108>
> 564 кГц>
> 12>
> 444 кГц>
> 12>
> >
> 60,6 107,7 кГц>
> 12 12 кГц>
> >
> 456,3 551,7>
> 564 кГц>
> 12 12 кГц>
>12,3 60 107,7>
>Рисунок 3.3—Схема частотных преобразований К-24Т>
> >
>3.6 Схема комплекта линейного оборудования К-24Т>
> 
УВ3 3>
>

1 1>
> 2 Т К-12 Д-135 Т1 ЛУс>




> 

ВЛ1 ИЛ1>
>
>
>
УсВ1 УсПер>


>
К-60 К-72>
> УсПр>
>
Пер>
> КИП>
>Пр>
> УсВ2>
>
Ус
Пр>
>
К-72
К-60>
> УсВ2 УсПер>

> ВЛ2 ИЛ2>
> ЛУс Д-135 К-12 Т >
> УВ3 >
>Рисунок 3.4—Схема комплекта линейного оборудования К-24Т>
>Спектр линейного тракта формируется тремя ступенями преобразования частоты сигнала. Первоначально распределение спектра сигналов в диапазоне частот первичной группы (ПГ) от 60 до 108 кГц осуществляется в КИП-24. Затем в КГП спектор первой ПГ 1 током несущей частоты 444 кГц преобразуется в диапазон частот от 504,6 до 551,7 кГц и ПГ 2 током несущей частоты 564 кГц—в диапазоне частот от 456,3 до 503,4 кГц. После объединения первичных групп общий спектр частот током несущей частоты 564 кГц переносится в диапазон частот от 12,3 до 107,7 кГц.>
Комплект линейного оборудования СП К-24 Т обеспечивает организацию трёх основных трактов прохождения сигналов: тракта прямого прохождения электрических колебаний всего спектра частот от 12 до 112 кГц, тракта выделения электрических колебаний спектра частот 60—108 кГц и тракта введения сигнала, поступающих в линейный тракт. В тракт прямого прохождения включены фильтры верхних К-12 и нижних Д-135 частот. ДСТ 1 позволяет параллельное ответвление электрических колебаний спектра частот 60—108 кГц, и пропускают колебания всего спектра от 12 до 108 кГц в усилитель ЛУс.
В тракте выделения включен переменный выравниватель ВЛ1, корректирующий АЧХ предшествующего участка, вспомогательный усилитель УсВ1, фильтр К-60 (или К-72) и усилитель приёма УсПр. Измерительный уровень электрических колебаний по напряжению – 30 дБ на входе КИП-24.
> В ходе эксплуатации допускается ручная регулировка в УсПр в пределах>
> 4 дБ. Если система передачи работает с предыскажением, то контур компенсации предыскажений включают на выходе УсВ1.>
> В тракте введения включен вспомогательный усилитель УсВ2, дифференциальным трансформатором которого разделяются направления передачи УсПер и переменная искусственная линия ИЛ1 (или ИЛ2).>
> В случае работы системы передачи К-24Т с предыскажением на входе УсПер включается контур, обеспечивающий предыскажения уровней передачи. Фильтры К-60 и К-72 обеспечивают параллельное подключение и выделение девяти каналов в спектре от 72 до 108 кГц. По этим каналам устанавливают двустороннюю связь в обоих направлениях. Для трёх каналов в спектре от 60 до 72 кГц двусторонняя связь организуется только в одном направлении. Эти три канала могут быть использованы для сбора дискретной информации, связи с движущимися объектами, передачи сигналов телемеханики и т. п.>
4 СХЕМА ПРОХОЖДЕНИЯ ЦЕПЕЙ
ПО ЛИНЕЙНО-АППАРАТНОМУ ЦЕХУ
И ПЛАН РАЗМЕЩЕНИЯ ОБОРУДОВАНИЯ
На рисунке приведена схема включения аппаратуры К-60Т в оконечном пункте. Предусматривается транзитное соединение с другой системой одной (первой) первичной ГП1. После стойки вводно-кабельного оборудования СВКО и стойки линейных усилителей оконечного пункта СЛУК-ОП электрические колебания в спектре частот 12—256 кГц попадают на стойку групповых преобразователей, где выделяются пять первичных группГП1—ГП5. На схеме показана передача первой первичной группы каналов через стойку коммутации первичных групп СКП-1 в другую систему. Остальные первичные группы подаются на стойку индивидуальных преобразователей СИП-60, где выделяются отдельные четырех проводные каналы тональной частоты. По расписанию канал может быть передан на аппаратуру связи совещаний. Для этого на стойке СЧДП переставляют соответствующие дужки, подключая к каналу студию связи совещаний. Аналогично канал может быть передан на аппаратуру тонального телеграфирования или установлено по расписанию четрехпроводное транзитное каналов. Необходимые для преобразования спектров токи несущих частот подаются от стойки генераторного оборудования СУГО-1-5 через распределители мощности РМ. На схеме также показан ввод токов контрольных частот поступающих от стойки СУГО.
При построении линейно аппаратного цеха руководствуются следующими
параметрами:
ширина от 5 до 13 м (6 м—типовые);
длина определяется количеством устанавливаемой аппаратуры и 15-20 % на развитие;
высота не менее 3.2 м;
перекрытия должно быть рассчитано на нормальную нагрузку 750 кг/м2;
пол должен быть покрыт линолеумом, стены - масляной краской светлых тонов;
должно быть не менее двух выходов;
высота дверей не менее 2.3 м, ширина - 1.5 м;
освещенность при искусственном освещении не менее 75 люкс;
-освещенность при аварийном освещении не менее 20 люкс;
вентиляция;
Аппаратуру располагают параллельными рядами перпендикулярно окнам. Главный проход располагают вдоль помещения со стороны противоположной стене с окнами, второй проход около окон.
Над стойками укрепляют систему воздушных желобов (кабель ростов). На кабель роста укладывают кабели меж стоечного монтажа и токораспределительной проводки. Желоба идущие вдоль помещения называют главными, а вдоль рядов аппаратуры – рядовыми. При расстановке апаратуры следует стремиться к заполнению в каждом ряду крайних мест (у главных желобов). Ряды апаратуры располагают попарно лицевыми сторонами друг к другу:
главный проход должен быть не менее 1.5 м;
проход между лицевыми сторонами стоек не менее 1.1 м;
проход в рядах с вводно-коммутационным оборудованием не менее 1.3 м;
проход между монтажными задними сторонами рядов, а также между стенкой и монтажной стороной ряда не менее 0.7 м (если стойки шкафного типа, то их можно устанавливать вплотную друг к другу и к стене);
проход около окон – 0.5м.
Порядок расположения стоек.
стойки устанавливают так, чтобы кабели линейной проводки и провода питания были возможно короче.
стойки, между которыми должно быть большое число соединений располагают возможно ближе друг к другу.
в непосредственной близости от ввода линейных проводов устанавливают вводные, вводно-кабельные стойки и стойки дистанционного питания. Тут же располагают аппаратуру связи совещаний, усилителей токов низкой частоты и аппаратуру дорожной распорядительной связи (ДРС).
стойки ПСП располагают у окон .
аппаратуру ВЛП располагают после аппаратуры кабельных линий.
стойки автоматического регулирования напряжения (САРН) располагают в одном ряду с той аппаратурой, которая требует стабилизированного напряжения питания (например: СУГО).
5 Схема связи на участке железной дороги
На участке железной дороги с помощью аппаратуры К-60П организуются следующие виды связи:
>Транзит первой первичной группы >
>Выход на комплекты дальнего набора>
>Выход на аппаратуру передачи данных>
>Выход на ручную междугороднюю станцию >
>Включается аппаратура магистральной связи сообщений >
>Включается аппаратура дорожно-распорядительной связи>
>Включается аппаратура тонального телеграфирования>
>С помощью аппаратуры К-24Т организуем следующие виды связи:>
>- поездную диспетчерскую связь (ПДС) - для переговоров поездного диспетчера со всеми раздельными пунктами, входящими в обслуживаемый им участок, по вопросам руководства движения поездов; >
>- энергодиспетчерскую связь (ЭДС) - для оперативного руководства энергоснабжением электрифицированных участков железных дорог; >
>- вагонную диспетчерскую связь (ВДС) - для служебных переговоров работников отделения со станциями по вопросам распределения и использования вагонного парка;>
>- служебную диспетчерскую связь (СДС) - для служебных переговоров технического персонала дистанций СЦБ и связи с линейными электромеханиками по вопросам обеспечения действия устройств автоматики, телемеханики и связи на станциях и перегонах; >
>- линейно-путевую связь (ЛПС) - для оперативного руководства работой технического персонала дистанции пути, занятого обслуживанием путевых устройств и искусственных сооружений; >
>- билетную диспетчерскую связь (БДС) - для централизованного распределения мест на пассажирские поезда; >
>- информационную связь (ИС) - для переговоров работников промежуточных станции, платформ, разъездов и остановочных пунктов между собой и с работниками прилегающих участковых и отделенческих станций; >
>- постанционную связь (ПС) - для переговоров работников промежуточных станции, платформ, разъездов и остановочных пунктов между собой и с работниками прилегающих участковых и отделенческих станций; >
>- поездную межстанционную связь (МЖС) -для переговоров дежурных смежных станции по вопросам движения поездов >
>- перегонную связь (ПГС) - для переговоров линейных работников, находящихся на перегоне, с дежурным ближайшей станции, а также с поездным диспетчером, энергодиспетчером, диспетчерами дистанций пути, сигнализации и связи; - отделенческую связь совещаний (ОСС) - для проведения оперативных совещаний руководящих работников с подчиненными им работниками, является частью общей сети связи совещаний дороги. >
6 КРАТКИЙ СМЕТНО-ФИНАНСОВЫЙ РАСЧЁТ
>Таблица 6.1 Спецификация оборудования>
|
>№> |
> Наименование> > оборудования> |
> Единица> >измерения> |
>Кол-во> > шт.> |
> Стоимость> |
|
|
>единичная> |
>общая> |
||||
|
>1> |
>Стойка тональных систем и дифференциальных систем СТВ-ДС> |
> стойка> |
> 2> |
||
|
>2> |
>Стойка индивидуальных > >преобразователей СИП-60> |
> стойка> |
> 2> |
||
|
>3> |
>Стойка группового> >преобразования СГП> |
> стойка> |
> 2> |
||
|
>4> |
>Стойка линейных усилителей и > >корректоров СЛУК ОП> |
> стойка> |
> 2> |
||
|
>5> |
>Стойка унифицированного> >генераторного оборудования СУГ 2> |
> стойка> |
> 2> |
||
|
>6> |
>Стойка дистанционного > >питания СДП> |
> стойка> |
> 2> |
||
|
>7> |
>Стойка автоматической регулировки> >напряжения САРН> |
> стойка> |
> 2> |
||
|
>8> |
>Стойка индивидуального > >оборудования СИО-24П> |
> стойка> |
> 1> |
||
|
>9> |
>Стойка линейных усилителей > >и корректоров обслуживаемого усилительного пункта СЛУК ОУП> |
> стойка> |
> 1> |
||
|
>10> |
>Стойка промежуточных усилителей необслуживаемых СПУН> |
> стойка> |
> 6> |
||
|
>11> |
>Вводно-кабельный шкаф ВКШ> |
> шкаф> |
> 6> |
||
|
>12> |
>Стойка вводно-коммутационного оборудования СВКО> |
>стойка> |
> 6> |
||
|
>13> |
>Вводно-кабельная стойка ВКС> |
>стойка> |
> 2> |
||
|
>14> |
>Стойка четырех проводных и > >двухпроводных переключений СЧДП> |
>стойка> |
> 6> |
||
|
>15> |
>Стойка промежуточных > >переключений ПСП> |
>стойка> |
> 2> |
||
|
>16> |
>Стойка служебной связи ССС-7> |
>стойка> |
> 3> |
||
|
>17> |
>Стойка оконечная СО К-24Т> |
>стойка> |
> 2> |
||
|
>18> |
>Стойка промежуточная СП К-24Т> |
>стойка> |
> 5> |
||
|
>19> |
>Стойка оконечная ОК 3Т> |
>стойка> |
> 2> |
||
|
>20> |
>Стойка транзита первичной > >группы СТПГ> |
>стойка> |
> 4> |
||
|
>21> |
>Стойка коммутаций > >и переключений СКП> |
>стойка> |
> 2> |
||
|
>22> |
>Распорядительная станция > >диспетчерская тональная РСДТ> |
>стойка> |
> 2> |
||
|
>23> |
>Распорядительная станция > >постанционной связи ПСТ> |
>стойка> |
> 2> |
||
|
>24> |
>Комплект измерительных > >приборов КИП> |
>комплект> |
> 3> |
||
|
>25> |
>Стойка магистральной связи > >совещаний МСС> |
> 4> |
|||
|
> ИТОГО:> |
|||||
|
>1> |
>Наценка ГУМТО> |
>%> |
>1> |
||
|
>2> |
>Транспортные расходы> |
>%> |
>4> |
||
|
>3> |
>Заготовительно-складские > >работы 1,2%> |
||||
|
>ВСЕГО ПО СПЕЦИФИКАЦИИ> |
|||||
|
>Монтажные и наладочные работы> |
>%> |
>25> |
|||
|
>Общая стоимость оборудования > >с учётом монтажных работ> |
>Таблица 6.1 Смета на строительство кабельных линий передачи>
|
>№> |
>Наименование работ> |
>Стоимость> >1 км> |
>Количество>>км> |
>Общая> >стоимость> |
|
>1> |
>Строительные работы> |
>148,62> |
||
|
>2> |
>Монтажные работы со стоимостью кабеля> |
|||
|
>ИТОГО> |
>7. ТЕХНИКА БЕЗОПАСНОСТИ ПРИ СТРОИТЕЛЬСТВЕ КАБЕЛЬНЫХ МАГИСТРАЛЕЙ И МОНТАЖЕ ОБОРУДОВАНИЯ>
>7.1 Основные сведения об охране труда>
> В процессе технического обслуживания ЛАЦ должны соблюдаться требования по охране труда и технике безопасности. Следует руководствоваться действующими правилами и инструкцией по охране труда при обслуживании и ремонте устройств СЦБ и связи на железнодорожном транспорте.>
> Все каркасы оборудования должны быть заземлены. Перед вводными стойками и перед стойками дистанционного питания напряжением более 250 В должны быть положены резиновые коврики. В цепях питания и в боксах должны применяться дужки с изолирующим покрытием той части, за которую берутся руками. Штифты кабельных боксов, находящихся под напряжением дистанционного питания, должны быть заключены в изоляционные трубки. В оборудовании коммутации дистанционного питания предусматривают блокировку, обеспечивающую снятие напряжения с токоведущих частей при открывании дверцы, крышки или снятия чехла с оборудования. >
> Работать на токоведущих частях, находящихся под напряжением источников питания, можно в диэлектрических перчатках, стоя на резиновом коврике, или в диэлектрических галошах, в головном уборе и застегнутыми у кистей рук рукавами одежды, пользоватся инструментами с изолирующими ручками; изолироваться от соседних токоведущих частей резиновыми ковриками или электрокартоном; не прикасаясь к окружающим предметам. Применять напильники, ножовки, металлические метла и другие неизолированные предметы запрещается. Проводить электрические измерения воздушных цепей при приближении и во время грозы запрещается. При обнаружении на проводах постоянного напряжения необходимо сообщать об этом линейному работнику, направляемому на устранение повреждения. Отсутствие напряжения на токоведущих частях следует проверять только вольтметром или индикатором напряжения с неоновой лампой.>
> Все работы в НУП проводятся по распоряжению начальника дистанции сигнализации и связи или его заместителя и только после разрешения дежурного инженера питающего пункта. Для обеспечения безопасности работ, выполняемых в НУП или ОУП при снятом напряжении, необходимо сделать дополнительные разрывы в цепях приема дистанционного питания, а при работах на линии при снятом напряжении делать разрывы в усилительном пункте, из которого напряжение поступает в данную линейную цепь.>
> Работы по испытанию аппаратуры дистанционного питания проводятся только по указанию лица, ответственного за проведение испытаний. В этом случае в НУП выделяют бригады, состоящие каждая не менее чем из двух человек, из которых одного назначают старшим, Все работники перед началом испытаний должны быть ознакомлены со своими обязанностями и порядком проведения работ. Напряжение дистанционного питания включают в линию после того, как из всех НУП будут получены подтверждения о готовности проведения испытаний. Снимать с аппаратуры дистанционного питания отдельные платы разрешает руководитель работ после выключения дистанционного питания.>
> Работы в НУП проводятся только при открытой крышке горловины камеры. Помещение камеры НУП, не имеющие постоянной вентиляции, перед началом и во время работ должны проветриваться ручным вентилятором. Конец шланга вентилятора должен находится на высоте 20-30 см от пола камеры. У работающих в помещении камеры НУП должны быть застегнуты у кистей рук рукова одежды и надеты головные уборы. Все защитные средства, применяемые в ЛАЦ, должны периодически проходить контрольные испытания в установленные сроки.>
> 7.2 Техника безопасности при рытье траншеи>
>В пределах железнодорожного полотна на перегонах и станциях по условиям техники безопасности траншеи начинают рыть только после получения письменного получения. При рытье траншеи нельзя заваливать землёй ходовые рельсы, сточные решётки, люки, пожарные краны и всякого рода подземные сооружения. В населённых пунктах разрытую траншею и котлованы следует ограждать щитами, а ночью, помимо этого—освещать красным фонарём. При работе вблизи путей следует соблюдать особую осторожность и принимать меры к предотвращению обвалов и оползней краёв траншеи. Материалы и инструменты надо располагать на таком расстоянии от путей, чтобы их не мог задеть подвижной состав. Складывать материалы и инструменты на откосе земли со стороны траншеи или котлована запрещается. В местах прохода пешеходов через траншеи должны быть уложены мостики с перилами и бортовыми досками. Запрещается спускаться в вырытый котлован до того, как его стенки будут укреплены щитами, а также—опускаться в котлован и вылезать из него по крепящим распорам.>
>7.3 Техника безопасности при транспортировке и прокладке кабеля>
>Погрузку и выгрузку барабанов с кабелем массой более 60 кг необходимо выполнять механизированным способом и на ровной местности. При наличии уклона под щеки барабана укладывают упоры. Перед началом прокладки кабеля необходимо проверить герметичность оболочки через вентиль, впаянный в конце кабеля. Завод поставляет кабель под воздушным давлением. При раскатке и укладке кабеля в междупутье барабан устанавливают с соблюдением габарита приближения строений. Не допускается оставлять на ночь в междупутье. Кабель прокладывают, как правило при плюсовой температуре воздуха. В случае необходимости прокладки кабелей связи при температуре ниже допустимых, кабель на барабанах следует подогреть.>
>7.4 Техника безопасности при работах в колодцах кабельной канализации>
>При протягивании кабеля в канализации запрещается находиться у изгибов троса и прикасаться голыми руками к движущемуся кабелю или тросу. Во время установки на стенки колодца железобетонного перекрытия находиться в колодце запрещается. Спускаться в колодец разрешается после того, как перекрытие будет надёжно установлено. При открывании колодца следует соблюдать особую осторожность, чтобы не получилось искры от ударов ломом, молотком и т. д., которые могут вызвать взрыв, если в колодце имеются взрывоопасные газы. Необходимо, чтобы на каждом работнике, спускающемся в колодец, был надет спасательный пояс с лямками надёжно прикреплённый прочной верёвкой.>
>7.5 Техника безопасности при разделке кабеля>
>Во время ремонтных работ на силовых кабелях высокого напряжения дополнительно должны соблюдаться следующие правила: работу на таких кабелях выполняют не менее двух человек, приступать к работе можно только после того, как с кабеля будет снято высокое напряжение, а жилы кабеля на обоих концах заземлены и установлены плакаты ”Не включать. Работают люди”.>
> Если кабель необходимо разрезать ножовкой, то металлическую часть последней соединяют гибким изолированным проводом с временно устраиваемым в месте работ заземлением. Электромонтёр, разрезающий кабель или вскрывающий чугунную соединительную муфту, должен надеть галоши, резиновые перчатки и предохранительные очки, а под ноги подложить доски или резиновый коврик.>
> >
>СПИСОК ЛИТЕРАТУРЫ >
>1 Багуц В.П., Тюрин В.Л. ”Многоканальная телефонная связь на железнодорожном транспорте”, М.., Транспорт, 1988>
>2 Голиков Е.Е., ”Проектирование многоканальной связи на железнодорожном транспорте”, М.., Транспорт, 1981>
3 Марков М.В., Михайлов А.Ф. ”Сети и электросвязи на железнодорожном транспорте”, М.., Транспорт, 1988
4 Худов В.Н., Фельдман А.Б. ”Избирательная телефонная связь на железнодо-рожном транспорте”, М.., Транспорт, 1988

>Наименование
>