Автоматизация измерений
БЕЛОРУССКИЙ ГОСУДАРСТВЕННЫЙ УНИВЕРСИТЕТ ИНФОРМАТИКИ И РАДИОЭЛЕКТРОНИКИ
Кафедра метрологии и стандартизации
РЕФЕРАТ
На тему:
"Автоматизация измерений"
МИНСК, 2008
Основные направления и принципы автоматизации электрорадиоизмерений
Возрастание количества измерений, нарастание сложности аппаратуры, повышение требований к точности, расширение использования математических методов обработки результатов измерений и обнаружения ошибок приводит к значительному росту трудоемкости и стоимости измерений и требует создание специализированных автоматизированных средств измерений.
Основные направления автоматизации измерений:
1) разработка средств измерений, в которых все необходимые регулировки выполняются автоматически, либо вообще не требуются;
2) замена косвенных измерений прямыми, и создание многофункциональных комбинированных приборов;
3) разработка панорамных измерительных приборов;
4) применение микропроцессоров (МП) и разработка на их основе приборов со встроенным интеллектом;
5) разработка измерительно-вычислительных комплексов (ИВК), имеющих в своем составе процессоры с необходимым периферийным оборудованием и программным обеспечением;
6) создание на базе ИВК как универсального ядра информационных измерительных систем (ИИС).
Применение микропроцессоров в измерительных приборах
В измерительных приборах МП выполняет следующие функции:
1) управление процессом измерений, отдельными узлами и прибором в целом;
2) обработка измерительной информации, преобразование результатов измерений и представление их на экране дисплея в различных форматах;
3) автоматическая коррекция систематических погрешностей с использованием математических моделей;
4) расширяет функциональные возможности прибора (например современные цифровые осциллографы помимо временных и амплитудных измерений позволяют измерять частотные параметры, проводить анализ спектров сигналов, статических характеристик и так далее);
5) диагностика неисправностей и самокалибровка.
Примеры использования МП в измерительных приборах показаны на рисунках 1 и 2.
Н
а
рисунке 1 приведена обобщенная структурная
схема цифрового осциллографа.
МПС – микропроцессорная схема.
Обобщенная структурная схема скалярного анализатора с МП приведена на рисунке 2.
Г
КИ
– генератор качающейся частоты; КОП –
канал общего пользования.
Измерительно-вычислительные комплексы
Измерительно-вычислительный комплекс (ИВК) – автоматизированное средство измерений, имеющее в своем составе микропроцессоры (МП) с необходимым периферийным оборудованием, измерительные и вспомогательные устройства, управляемые от МП, и программное обеспечение комплекса.
Номенклатура входящих в ИВК компонентов и определяет конкретную область его применения. Но независимо от области применения ИВК должны выполнять следующие функции:
измерение электрических величин;
управление процессом измерений;
управление воздействиями на объект измерения;
представление оператору результатов измерения в заданной форме.
Для выполнения этих функций ИВК должен обеспечивать восприятие, преобразование и обработку сигналов от первичных измерительных преобразователей (датчиков или приборов), управление ими и другими компонентами, входящими в состав ИВК, а также выработку нормализованных сигналов воздействия на объект измерения, оценку точности измерений и представление результатов измерений в стандартной форме.
ИВК по назначению классифицируются на:
1) типовые – для решения широкого круга типовых задач автоматизации измерений, испытаний и так далее;
2) специализированные – для решения уникальных задач автоматизации измерений;
3) проблемные – для решения широко распространенной, но специфической задачи автоматизации измерений.
В состав ИВК входят технические и программные компоненты. Программные компоненты включают в себя системное и общее прикладное программное обеспечение.
В зависимости от конкретных требований проектируются одноуровневые и многоуровневые ИВК. В одноуровневых ИВК вся измерительная периферия соединена непосредственно с интерфейсом центрального процессора. В многоуровневых ИВК вычислительная мощность распределена между различными уровнями.
Обобщенная структурная схема одноуровневого ИВК представлена на рисунке 3.
Информационные измерительные системы
Информационно-измерительная система (ИИС) – совокупность функционально объединенных измерительных, вычислительных и других технических средств, предназначенная для получения измерительной информации, ее преобразования и обработки с целью представления в удобном потребителю виде, либо автоматического осуществления логических функций контроля, диагностики и идентификации.
В зависимости от назначения и выполняемых функций ИИС делятся:
1) измерительные системы;
2) системы автоматического контроля;
3) технической диагностики.
4) распознавание образцов (идентификации).
Для ИИС характерна не только автоматизация таких процедур как регистрация, сбор и передача результатов измерений, но и проведение измерительного эксперимента при активном воздействии на объект исследования в соответствии с принятым планом. Оператор имеет возможность вмешиваться в ход эксперимента и корректировать его в режиме диалога.
О
бобщенная
структурная схема ИИС приведена на
рисунке 4.
Типовые устройства ИИС определяются структурой используемого ИВК. Дополнительными являются следующие устройства:
- датчики, непосредственно воспринимающие от объекта исследования измеряемые величины и преобразующие их в изменение какого-либо параметра электрического сигнала или цепи;
- нормализующие преобразователи, необходимые для преобразования неунифицированных сигналов датчиков в унифицированные аналоговые или цифровые сигналы;
- АЦП;
- коммутаторы, осуществляющие поочередное подключение входных сигналов на общий выход.
Агрегатирование средств измерений
Агрегатирование это метод стандартизации, который позволяет создавать новые изделия путем компоновки их из ограниченного числа унифицированных функциональных частей (деталей, блоков, узлов или приборов).
Важное значение для внедрения агрегатирования имеет совместимость, которая подразделяется на информационную, энергетическую, конструктивную, метрологическую, эксплуатационную, надежностную.
Общие сведения об интерфейсах агрегатных комплексов средств измерений
Интерфейс регламентирует правила обмена всеми видами информации между устройством, образующие какую-либо систему. Он включает в себя аппаратные средства и протокол.
Протокол – совокупность правил, устанавливающих единые принципы взаимодействия подсистем.
Применительно к ИВК и ИИС интерфейс обеспечивает информационную совместимость входящих в них аппаратных средств.
Основные классификационные признаки интерфейсов:
– способ соединения средств измерений и автоматизации (СИА);
– способ передачи информации;
– принцип обмена информации;
режим передачи информации.
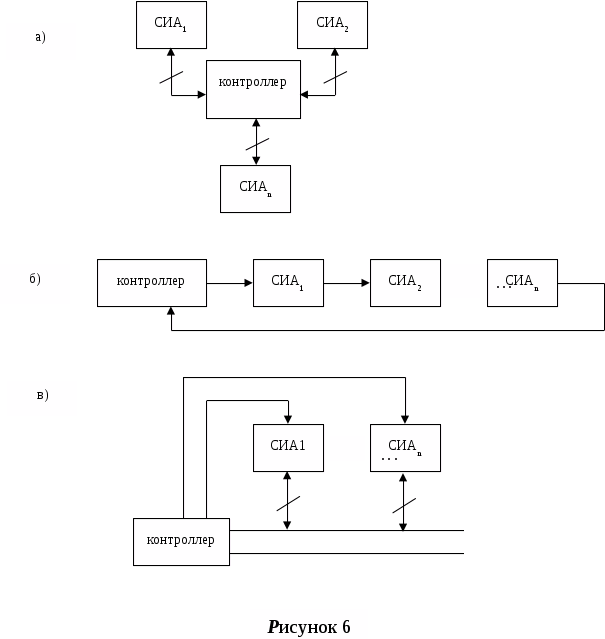
По способу соединения СИА интерфейсы подразделяются на:
магистральные, радиальные, цепочечные, смешанные.
Схема интерфейса с магистральной структурой изображена на рисунке 5.
Для этой структуры характерно то, что сигналы, возникающие во всех шинах интерфейса, доступны сразу всем СИА, но в каждый момент времени только один абонент (СИА) может обмениваться информацией по интерфейсу.
На рисунке 6, а изображена схема интерфейса с радиальной структурой; на рисунке 6, б – с цепочной, а на рисунке 6, в – со смешанной.
По способу передачи информации интерфейсы подразделяются на: параллельные, последовательные, параллельно-последовательные.
В ИИС и ИВК используются параллельно-последовательные интерфейсы, в которых сочетается быстродействие параллельных и меньшая аппаратная сложность последовательных.
По принципу обмена информацией интерфейсы подразделяются на: синхронные и асинхронные.
Наиболее часто используются асинхронные интерфейсы, которые позволяют сопрягать устройства с различным быстродействием.
В зависимости от режима обмена информацией различают интерфейсы: с двусторонней одновременной передачей, с двусторонней поочередной передачей, с односторонней передачей.
ЛИТЕРАТУРА
Метрология и электроизмерения в телекоммуникационных системах: Учебник для вузов / А.С. Сигов, Ю.Д. Белик. и др. / Под ред. В.И. Нефедова. – 2-е изд., перераб. и доп. – М.: Высш. шк., 2005.
Бакланов И.Г. Технологии измерений в современных телекоммуникациях. – М.: ЭКО-ТРЕНДЗ, 2007.
Метрология, стандартизация и измерения в технике связи: Учеб. пособие для вузов / Под ред. Б.П. Хромого. – М.: Радио и связь, 2006.
