Волновая резонансная теория
Реферат
Отчет состоит из 70 машинописных листов, содержит 16 пояснительных иллюстраций, 6 таблицу, 6 принт-скринов и .. используемых источников.
ВОЛНОВАЯ РЕЗОНАНСНАЯ ТЕОРИЯ
В данной работе разрабатывается волновая резонансная нейронная сеть, выполняющая задачи распознавания и обучения. В качестве прототипа рассмотрена Адаптивно Резонансная Теория Гроссберга. Для выбора модели нейрона для разработанной сети, рассмотрены пять существующих моделей нейронов. Так же разработана модель импульсного двухпорогового нейрона и обоснован ее выбор.
В качестве результата проделанной работы, представлена нейронная сеть, написанная с помощью пакета Simulink в программе Matlab, которая выполняет задачи распознавания и обучения.
Оглавление
1. Анализ поставленной задачи в предметной области
1.1 Актуальность поставленной задачи
1.2 Некоторые сведения из анатомии мозга и нейрона
Основная часть
2.1 Введение
2.2 Постановка задачи
2.2.1 Неформальная постановка задачи
2.2.2 Формальная постановка задачи
2.3 Волновая Резонансная Теория
2.3.1 Описание ВPT
2.3.2 Основные определения и Леммы
2.3.3 Теорема о стабильности
2.3.4 Доказательство
2.3.5 Архитектура ВPT
2.3.6 Принцип работы
2.4 Адаптивная резонансная теория
2.4.1 АРХИТЕКТУРА APT
2.4.2 Описание APT
2.4.3 Упрощенная архитектура APT
2.4.4 Функционирование сети APT в процессе классификации
2.4.5 Теоремы APT
2.5 Выбор модели нейрона.
2.6 Результат работы
2.6.1 Реализация ВРТ в среде Matlab с использованием пакета Simulink
2.6.2 Тестирование
Заключение
Список использованных источников:
Экономическая часть
3.1 План разработки программы
3.2 Определение затрат на разработку программы
Охрана труда и безопасность жизнедеятельности
4.1 Введение
4.2 Излучение и эргономика
4.3 Проблема освещенности и зрительные нагрузки
4.4 Микроклимат в помещении
4.5 Шум
4.6 Физиологические факторы
4.7 Пожарная и взрывопожарная безопасность
Заключение
1. Анализ поставленной задачи в предметной области
1.1 Актуальность поставленной задачи
Людей всегда интересовало их собственное мышление. Это самовопрошение, думание мозга о себе самом является, возможно, отличительной чертой человека. Имеется множество размышлений о природе мышления, простирающихся от духовных до анатомических. Обсуждение этого вопроса, протекавшее в горячих спорах философов и теологов с физиологами и анатомами, принесло мало пользы, так как сам предмет весьма труден для изучения. Те, кто опирался на самоанализ и размышление, пришли к выводам, не отвечающим уровню строгости физических наук. Экспериментаторы же нашли, что мозг труден для наблюдения и ставит в тупик своей организацией. Короче говоря, мощные методы научного исследования, изменившие наш взгляд на физическую реальность, оказались бессильными в понимании самого человека.
Нейробиологи и нейроанатомы достигли значительного прогресса. Усердно изучая структуру и функции нервной системы человека, они многое поняли в «электропроводке» мозга, но мало узнали о его функционировании. В процессе накопления ими знаний выяснилось, что мозг имеет ошеломляющую сложность. Сотни миллиардов нейронов, каждый из которых соединен с сотнями или тысячами других, образуют систему, далеко превосходящую наши самые смелые мечты о суперкомпьютерах. Тем не менее мозг постепенно выдает свои секреты в процессе одного из самых напряженных и честолюбивых исследований в истории человечества.
Лучшее понимание функционирования нейрона и картины его связей позволило исследователям создать математические модели для проверки своих теорий. Эксперименты теперь могут проводиться на цифровых компьютерах без привлечения человека или животных, что решает многие практические и морально-этические проблемы. В первых же работах выяснилось, что эти модели не только повторяют функции мозга, но и способны выполнять функции, имеющие свою собственную ценность. Поэтому возникли и остаются в настоящее время две взаимно обогащающие друг-друга цели нейронного моделирования: первая – понять функционирование нервной системы человека на уровне физиологии и психологии и вторая – создать вычислительные системы (искусственные нейронные сети), выполняющие функции, сходные с функциями мозга.
Быстрое накопление экспериментальных данных в последней четверти XX века подготовило фундамент, если не для создания окончательной версии ответа на вопрос: "Как мыслит человек!", то, по крайней мере, для того чтобы попытаться построить с учетом последних достижений физики, биофизики и компьютерной техники новую концепцию работы мозга, которая не противоречила бы экспериментальным данным. Существуют и другие стремления к ускоренному развитию нейронаук, диктуемые практическими запросами медицины и поиском нетрадиционных путей создания "интеллектуальной" техники.
Актуальность данной проблемы очевидна. Ежегодно тысячи людей становятся жертвами заболеваний и нетрудоспособности вследствие повреждения мозга, включающих основные психические, наследственные и дегенеративные заболевания, инсульты, нарушения в связи с наркоманиями, влияние пренаталъных факторов, нейротоксинов в окружающей среде и травм, а также нарушений речи, слуха и других когнитивных расстройств. Разработка искусственных моделей нейронных сетей позволит вылечить большое число таких заболеваний.
Нейронные сети можно использовать не только для лечения болезней непосредственно связанных с мозгом, но и в более широкой сфере, например в диагностике.
В 1990 году Вильям Бакст из Калифорнийского университета в Сан-Диего использовал нейронную сеть - многослойный персептрон - для распознавания инфаркта миокарда у пациентов, поступающих в приемный покой с острой болью в груди. Его целью было создание инструмента, способного помочь врачам, которые не в силах справиться с потоком данных, характеризующих состояние поступившего больного. Другой целью может быть совершенствование диагностики. Свою задачу исследователь усложнил, поскольку анализировал данные только тех пациентов, кого уже направили в кардиологическое отделение. Бакст использовал лишь 20 параметров, среди которых были возраст, пол, локализация боли, реакция на нитроглицерин, тошнота и рвота, потение, обмороки, частота дыхания, учащенность сердцебиения, предыдущие инфаркты, диабет, гипертония, вздутие шейной вены, ряд особенностей ЭКГ и наличие значительных ишемических изменений.
Сеть продемонстрировала точность 92% при обнаружении инфаркта миокарда и дала только 4% случаев сигналов ложной тревоги, ошибочно подтверждая направление пациентов без инфаркта в кардиологическое отделение. Итак, налицо факт успешного применения искусственных нейронных сетей в диагностике заболевания.
Нейросети также можно использовать и для прогноза действия различных разрабатываемых средств лечения. Они уже успешно применяются в химии для прогноза свойств соединений на основе их молекулярной структуры. Исследователи из Национального института рака в США использовали нейросети для предсказания механизма действия препаратов, применяемых при химиотерапии злокачественных опухолей. Заметим, что существуют миллионы различных молекул, которые необходимо исследовать на предмет их антираковой активности. Специалисты Института рака разбили известные онкологические препараты на шесть групп в соответствии с механизмом их действия на раковые клетки и обучили многослойные сети классифицировать новые вещества и распознавать их действие. В качестве исходных данных использовались результаты экспериментов по подавлению роста клеток из различных опухолей. Нейросетевая классификация позволяет определить, какие из сотен ежедневно апробируемых молекул стоит изучать далее в весьма дорогих экспериментах in vitro и in vivo. Для решения аналогичной задачи использовались и сети Кохонена. Эти обучаемые без учителя самоорганизующиеся нейросети разбивали вещества на заранее неизвестное число кластеров и поэтому дали исследователям возможность идентифицировать вещества, обладающие новыми цитотоксическими механизмами воздействия.
Диагностика и лечение онкологических заболеваний, а также разработка новых медикаментозных средств несомненно представляют собой важнейшую область применения нейросетевых технологий. Однако в последнее время среди исследователей и врачей растет осознание того факта, что будущие успехи должны быть тесно связаны с изучением молекулярных и генетических причин развития заболеваний.
Не случайно в апреле 1997 года эксперты Национального института здоровья (США) выступили с рекомендациями по усилению исследований, связанных с выявлением причин, вызывающих рак, и разработок, направленных на предупреждение болезней. Нейросети уже довольно давно активно применяются в анализе геномных последовательностей ДНК, в частности для распознавания промоторов - участков, предшествующих генам и связываемых с белком РНК-полимераза, который инициирует транскрипцию. Их используют для дифференциации кодирующих и некодирующих участков ДНК (экзонов и интронов) и предсказания структуры белков.
География исследовательских групп, применяющих нейросети для разработки медицинских приложений, очень широка. О США нечего и говорить - в университете каждого штата ведутся подобные исследования, причем главное их направление - рак молочной железы. Да что там университеты - военные академии этим тоже занимаются. В Чехии Иржи Шима разработал теорию обучения нейронных сетей, способных эффективно работать с так называемыми интервальными данными (когда известны не значения параметра, а интервал его изменения), и использует их в различных медицинских приложениях. В Китае сотрудники Института атомной энергии обучили нейросеть отличать больных с легкими и тяжелыми заболеваниями эпителия пищевода от тех, кто страдает раком пищевода, на основе элементного анализа ногтей. В России в НИИЯФ МГУ нейросети применяются для анализа заболеваний органов слуха. Наконец, в Австралии Джордж Христос использовал теорию нейронных сетей для построения первой гипотезы о причинах загадочного синдрома внезапной смерти новорожденных.
И это только в медицине. А возможности, предоставляющиеся при использовании нейронных сетей в других сферах жизни, порою трудно вообразить. Например, компания Psynapse, стартап-компания из Вашингтона, утверждает, что, комбинируя науки о поведении и о компьютерах, удалось создать первую анти-хакерскую систему. Разработчики обещают, что новая система сетевого мониторинга, не будет впускать хакеров в сеть и отключит их еще до того, как они смогут как-либо навредить.
Система защиты от вторжений Checkmate компании Psynapse в реальном времени оценивает действия каждого посетителя сети, и если она замечает поведение, указывающее на попытки взлома безопасности, автоматически ограничивает доступ взломщика. По словам основателя и СЕО Psynapse Гарри Джексона это большой прогресс по сравнению с существующими системами, которые обычно лишь посылают сигналы тревоги сетевым администраторам. Система Checkmate отличается от существующих систем мониторинга, которые в основном представляют собой системы на основе продукционных правил или на основе распознавания подписей. Такие технологии ограничены, поскольку базируются на распознавании известных алгоритмов взлома и последовательных обновлениях баз данных.
Для создания Checkmate Джексон обратился к наукам о поведении и в основу системы заложил нейронную сеть. Используя процесс, сходный с тем, который протекает при развитии психологических оценок, эксперты по компьютерной безопасности Psynapse описали алгоритмы поведения, о которых программа будет сообщать администраторам. "Однажды столкнувшись с явлением, обучившись", - говорит Джексон, - "Checkmate может обобщить его и использовать в ситуациях, с которыми она раньше никогда не сталкивалась". По данным компании тестирование показывает, что Checkmate так же аккуратна, как и человек – и намного быстрее. По сравнению с людьми-экспертами, Checkmate "гораздо стремительнее, тот есть может оценить намерения пользователей сети в реальном времени," говорит Джексон. Checkmate, продажи которой начнутся в январе, будет продаваться как готовое к использованию приложение. Ожидаемая начальная цена - $30,000 за единицу товара.
О возможностях использования нейронных сетей можно говорить бесконечно. Они используются в финансовом прогнозировании,….И в первую очередь в построении искусственного интеллекта и интеллектуальных роботов. Актуальность развития этой сферы науки очевидна.
Развитие искусственных нейронных сетей вдохновляется биологией. То есть рассматривая сетевые конфигурации и алгоритмы, исследователи мыслят их в терминах организации мозговой деятельности. Но на этом аналогия может и закончиться. Наши знания о работе мозга столь ограничены, что мало бы нашлось руководящих ориентиров для тех, кто стал бы ему подражать. Поэтому разработчикам сетей приходится выходить за пределы современных биологических знаний в поисках структур, способных выполнять полезные функции. Во многих случаях это приводит к необходимости отказа от биологического правдоподобия, мозг становится просто метафорой, и создаются сети, невозможные в живой материи или требующие неправдоподобно больших допущений об анатомии и функционировании мозга. Несмотря на то что связь с биологией слаба и зачастую несущественна, искусственные нейронные сети продолжают сравниваться с мозгом.
Для лучшего понимания задачи и ее решения необходимы некоторые знания из анатомии.
1.2 Некоторые сведения из анатомии мозга и нейрона
Мозг состоит из нескольких больших участков, каждый из которых отвечает за какие-то жизненные функции. Мозг включает: ствол головного мозга (задний мозг), мозжечок, лимбическую систему, диэнцифалон и кору головного мозга (рис.1).
Ствол головного мозга – часть мозга, соединяющая головной и спинной мозг. Он контролирует многие основные функции, такие как биение сердца, дыхание, прием пищи, сон. Осуществляет он это с помощью указаний спинному мозгу, другим частям мозга и тела о том, что необходимо делать для выполнения основных функций.
Мозжечок, который составляет всего одну восьмую веса головного мозга, координирует инструкции мозга по привычным повторяющимся действиям и по поддержанию равновесия и сохранению позы. Это выпуклый рельефный участок, расположенный над стволом головного мозга.
На вершине ствола головного мозга под корой расположен участок более эволюционно примитивной структуры – лимбической системы (рис. 2). Лимбическая система задействована во многих наших эмоциях и мотивациях, особенно в тех, что относятся к выживанию, например, страх и гнев, и тех, что связаны с сексуальным поведением.

Рис.1. Этот рисунок мозга в разрезе демонстрирует некоторые основные области мозга.

Рис.2. Рисунок мозга в разрезе демонстрирует некоторые внутренние структуры мозга. Амигдалоид и гиппокамп находятся глубоко в мозге, но показано так, чтобы было видно в какой части.
Две крупных структуры лимбической системы – амигдалоид и гиппокамп также отвечают за память.
Гиппокамп - (от греч. Hippocampos - мифическое существо Гиппокамп) небольшая часть мозга, одна из функций которой, кратковременная память и сохранение вновь возникающих воспоминаний. Гиппокамп занимается перекодировкой информации в краткосрочной памяти человека для её последующей записи в долговременной памяти.
Диэнцифалон, который также расположен под корой головного мозга, содержит таламус и гипоталамус (рис.2). Таламус задействован в сенсорном восприятиии и регулировании моторных функций (то есть движений). Он соединяет области коры головного мозга, которые отвечают за сенсорное восприятие и движение, с другими частями головного и спинного мозга, у которых также свои роли в ощущениях и движениях.
Гипоталамус очень маленький, но важный компонент диэнцифалона. Он играет главную роль в регулировании гормонов, гипофиза, температуры тела, надпочечника и прочего.
Кора головного мозга, разделенная на правое и левое полушария, составляет около двух третей массы мозга и покрывает большую часть остальных структур мозга. Это самая развитая часть человеческого мозга, ответственная за мышление, восприятие, употребление и понимание языка. Это также самая молодая структура в плане эволюции мозга. Кора головного мозга может быть разделена на области, каждая из которых выполняет свою функцию (рис. 3). Например, есть области, ответственные за зрение, слух, осязание, движение, обоняние. Другие области отвечают за мышление и объяснение причин. Хотя многие функции, такие как осязание, регулируются и правым и левым полушариями, есть такие, которые управляются только одним полушарием. Например, у многих людей способности к языку зависят только от левого полушария.

Рис. 3. Рисунок мозга в разрезе демонстрирует доли коры головного мозга и их функции.
Мозг состоит из миллиардов нервных клеток – нейронов. Нейрон (от греч. neuron -нерв ), нервная клетка, состоящая из тела и отходящих от него отростков -относительно коротких дендритов и длинного аксона; основная функциональная и структурная единица нервной системы. Нейрон проводит нервные импульсы от рецепторов в центральную нервную систему (чувствительные нейроны); от центральной нервной системы к исполнительным органам (двигательные нейроны); соединяют между собой другие нервные клетки (вставочные нейроны).

Рис.4. Схема нейрона
Нейрон проводит электрические импульсы, находясь в возбужденном состоянии. Рассмотрим строение нейрона. В природе не существует "типичного" нейрона, поэтому постараюсь схематически описать свойства, общие для большинства нейронов, хотя в каждом специальном случае эту обобщенную картину придется соответственно модифицировать. Возбуждение нейронов изменяет потенциал дендритов и тела клетки. Эффекты этих изменений сходятся на аксонном холмике. В результате чего, при соответствующей пространственно-временной конфигурации пришедших сигналов, импульс мембранного потенциала начинает распространяться по аксону, расходится по концевым разветвлениям и активизирует концевые синаптические луковички, которые в свою очередь изменяют мембранный потенциал других нейронов или мышечных волокон. Луковички так же называют пуговками. Пуговки лежат на других нейронах или на эффекторах. Места соприкосновения этих веточек с другими клетками называются синапсами.
Хоть и указано направление передачи информации от дендритов к аксону, нейрон может "проводить" в обоих направлениях, но, в большинстве случаев, возбуждение передается на дендрит или сому (соматические - клетки животных или растений, кроме половых) той клетки, с которой он образует синапс (рис. 5). При этом возбуждение сначала передается на холмик, а за тем распространяется по аксону, пока не достигнет концевого разветвления.

Рис.5. Синапс
Рассмотрим клетку как живое существо, помещенное в мембрану, между наружной и внутренней поверхностью которой существует разность потенциалов. Если изменить эту разность, то это изменение распространяется пассивным образом (как распространяется тепло от нагретого конца к другим частям металлического стержня). Для клеток с короткими отростками этого достаточно чтобы передать сигнал об изменении потенциала из одного конца системы в другой. Но если аксон достаточно длинный, то этого механизма не достаточно.
У клеточных мембран есть дополнительное свойство: когда разность потенциалов превышает так называемый порог, то в цилиндрических образованиях типа аксона возникает импульс, который активно распространяется, сохраняет постоянную амплитуду, то есть не затухает (подобно горению пороха в металлической трубке, то есть происходит цепная реакция передачи энергии от одного слоя пороха другому, регенеративный процесс). Но в трубке порох прогорит и в дальнейшем возможен только пассивный теплообмен. Поэтому аксон лучше сравнивать с перезаряжающимся запалом: представим, что после распространения каждого такого импульса по аксону происходят химические процессы - аналог -перезарядка запала. Поэтому имеется короткий рефрактерный период (рис. 6), во время которого аксон не может передавать импульс; именно в этот период происходит химическое восстановление.

Рис.6. Осциллограмма колебаний, снятая с изолированного живого нейрона. Запись сделана с LP-нейрона стоматогастрального ЦГР омара, когда активность всех остальных нейронов подавлена. Характерное периодичное затухание является рефрактерным периодом.
Если бы внести разряжение в каком-либо участке по длине аксона, то возбуждение пошло бы в обе стороны. Однако, если импульс возникает на одном конце аксона (обычно на холмике), то он может распространяться лишь в одном направлении, так как возбужденный конец становится рефракторным и остается в таком состоянии довольно долго. Передвигаясь по аксону, он вызывает новые импульсы в каждом из ответвлений (или коллатералий), а те, в свою очередь, вызывают новые импульсы в каждой из более тонких веточек. Когда же импульс доходит до концевой пуговки, то после небольшой задержки на мембране клетки, с которой аксон образует синапс, возникает разность потенциалов. Мембрана концевой пуговки называется пресинаптической мембраной, а мембрана той, клетки, на которую передается импульс, - постсинаптической. В большинстве случаев непосредственная причина изменения потенциала постсинаптической мембраны имеет не электрическую, а химическую природу. В некоторых синапсах изменение поляризации происходит без химических медиаторов. Но, как правило, электрический импульс, достигнув концевой пуговки, вызывает выделение из так называемых синаптических пузырьков вещества, называемого медиатором, которое диффундирует через небольшую синаптическую щель к постсинаптической мембране. Попав на эту мембрану, медиатор вызывает изменение ее поляризации. Медиатор по своему действию может быть двух основных типов: возбуждающим, если он изменяет разность потенциалов на постсинаптической мембране в направлении к пороговому значению, или тормозным, то есть изменяет разность потенциалов в обратную сторону. Здесь действует закон Дейла: если проследить за всеми ветвлениями одного и того же аксона, то все синапсы, образуемые этим аксоном с другими клетками, окажутся либо только возбуждающими, либо только тормозными. Но закон Дейла выведен для беспозвоночных, и может оказаться неверным даже для млекопитающих.
Импульс, достигший концевой пуговки аксона, обычно вызывает лишь предпороговое возбуждение постсинаптической мембраны. Но синапсов обычно много и от одного, и от многих нейронов, и поэтому, накапливаясь, потенциалы, передаваясь пассивным методом, подойдут к аксонному холмику, и суммарное возбуждение может превзойти пороговое, то есть получаем, так называемый, резонанс. Когда согласованный эффект многих таких подпороговых изменений в аксоном холмике превысит порог, и, если это происходит в момент, когда рефрактерный период после предыдущего возбуждения уже закончился, то вдоль аксона начнет распространяться следующий импульс. Если же кумулятивный эффект окажется гораздо больше нормального, то он может превысить и текущее значение порога, прежде чем тот вернется к своему нормальному значению. Период, в течение которого никакое повторное раздражение, не зависимо от его силы, не может вызвать второй импульс, называется абсолютным рефракторным периодом. Когда же очень сильное входное возбуждение может привести к возникновению в аксоне второго импульса, то говорят об относительном рефракторном периоде.
Таким образом, нейрон воспринимает химический сигнал, и реагирует на него повышением или понижением ответов. В этих процессах восприятия химических сигналов и генерации импульсов нейроном важную роль играют перестройки надмолекулярных структур в различных частях данной нервной клетки, а также волны структурных перестроек, сопровождающие передачу информации в пределах данного нейрона и от одного нейрона к другому. Процессы метаболизма (обеспечивающие, в частности, клетку энергией) восстанавливают эти надмолекулярные структуры перестраивающиеся в процессе передачи информации.
2. Основная часть
2.1 Введение
От процесса мышления можно провести аналогию к процессу распознавания. Процесс распознавания образа в нейрокомпьютерах обладает почти всеми свойствами мышления. Действительно:
— он происходит в нейросетях, у человека — в реальных, в компьютере — в искусственных. Основные принципы функционирования тех и других можно считать одинаковыми;
— в нем происходит обработка информации;
— принятие решения в данном случае сводится к выбору класса (из числа обученных), к которому принадлежит данный объект;
при недостатке информации принятие решения — акт творчества. Для этого в нейрокомпьютере есть все необходимое, включая аппарат рецепции информации, перемешивающий слой (больцмановский шум) и запоминание результата. Момент принятия решения нейро-процессор умеет выбирать сам. В нейрокомпьютере решение принимается интуитивно;
каждый нейрокомпьютер индивидуален. Это проявляется на разных стадиях обучения. Так, локализация образа в процессоре Гроссберга происходит в элементе, выбранном случайно. В исходно одинаковых процессорах эти элементы, как правило, не совпадают. Это немешает работе процессора, но определяет его индивидуальность.
Нейронная сеть представляет собой систему динамически взаимодействующих элементов с набором входных и выходных сигналов. Простейший вариант такого дискретного элемента показан на рис. 7а, где >1> входные функции, Ф (>1,> >2,> >3,…> >n>) — семейство входных функций, {а>>>1>, а>>>2>, а>>>3>, ..., а>>>n>} — набор чисел (весовых коэффициентов), — пороговая функция, — выходная функция. Пусть X— набор признаков внешних стимулов, воздействующих на рецепторы, генерирующие входные функции >i>. В дискретном пороговом варианте (Х) = 1 тогда и только тогда, когда >>>i>>i>(Х) > . На интуитивном уровне ясно, что каждое >i> из семейства Ф содержит определенные сведения о том, будет ли истинной или ложной выходная функция для каждой внешней ситуации X. Если в целом (Х) имеет положительную корреляцию с семейством (Х), то можно ожидать, что и веса будут положительными, тогда как при отрицательной корреляции отрицательными будут и веса >>. Однако идею корреляции в данном случае следует воспринимать не буквально, а лишь как аналогию. В нейронных сетях, как будет ясно из дальнейшего изложения, возможны более сложные зависимости, нежели просто корреляционные соотношения. В зависимости от решаемой задачи элементы нейронной сети могут с различной степенью детализации имитировать принципы функционирования отдельных нейронов, нейронных популяций (например, тормозных и возбуждающих) или нейронных структур. В классических нейрофизиологических экспериментах этим уровням детализации соответствуют импульсная активность одиночных нейронов, локальный полевой потенциал нейронных ансамблей и электроэнцефалограммы (ЭЭГ), получаемые методом многоэлектродного отведения от мозга в целом.

Рис7а, б. Простейший вариант нейронной сети (а) и его механическая аналогия (б)
Простейшей механической аналогией вычислений в нейронных сетях являются в одномерном случае "качели с распределенным расположением груза", в двумерном — "скатывание шарика по поверхности, испещренной оврагами". На рисунке 76 в качестве примера показаны "качели". Допустим, что внешняя ситуация X отображена в виде расположения грузов в некоторых зонах {p>1>, p>2> , … , р>п>}- Пусть >i>(X) = 1, когда груз находится в i-й точке. Для случая, изображенного на рис. 76, имеем >i> = (i — 4), = 0, результат вычисления будет: (i — 4) >I>(X) > 0, а логическое заключение о ситуации — "доска наклонится вправо", т.е. при распознавании двух ситуаций, будет выбрана одна.
Мозг человека выполняет трудную задачу обработки непрерывного потока сенсорной информации, получаемой из окружающего мира. Из потока тривиальной информации он должен выделить жизненно важную информацию, обработать ее и, возможно, зарегистрировать в долговременной памяти. Понимание процесса человеческой памяти представляет собой серьезную проблему; новые образы запоминаются в такой форме, что ранее запомненные не модифицируются и не забываются. Это создает дилемму: каким образом память остается пластичной, способной к восприятию новых образов, и в то же время сохраняет стабильность, гарантирующую, что образы не уничтожатся и не разрушатся в процессе функционирования?
Традиционные искусственные нейронные сети оказались не в состоянии решить проблему стабильности-пластичности. Очень часто обучение новому образу уничтожает или изменяет результаты предшествующего обучения. В некоторых случаях это не существенно. Если имеется только фиксированный набор обучающих векторов, они могут предъявляться при обучении циклически. В сетях с обратным распространением, например, обучающие векторы подаются на вход сети последовательно до тех пор, пока сеть не обучится всему входному набору. Если, однако, полностью обученная сеть должна запомнить новый обучающий вектор, он может изменить веса настолько, что потребуется полное переобучение сети.
Итак, основной целью данной работы является создание нейронной сети, являющейся одним из способов решения проблемы стабильности-пластичности.
Одним из результатов исследования этой проблемы является Адаптивная резонансная теория (APT) Гроссберга.
2.2 Постановка задачи
2.2.1 Неформальная постановка задачи
Создание нейронной сети, которая:
распознает входной сигнал, если была ему ранее обучена;
в случае не распознавания входного сигнала, запоминает его;
совершает эти действия с учетом проблемы стабильности-пластичности. Т.е. при подаче на вход сигнала схожего с одним из запомненных ранее, классифицирует его, как узнанный. Если входной сигнал сильно отличается от запомненных ранее, не уничтожая результаты предыдущего обучения, запоминает его.
Программную реализацию осуществить в среде Matlab.
2.2.2 Формальная постановка задачи
Введем обозначения:
X – множество входных векторов
X
– входной вектор
X = (x>1>,..,x>r> )
A>i> – нейронный ансамбль
a>ij> – j-й нейрон в i-ом ансамбле
M – множество обученных ансамблей нейронов
B – множество порогов
B –
вектор порогов, соответствующий одному
нейронному ансамблю
B>i> = [b>1>,..b>r>]
b>i> – порог одного нейрона
n – номер первого необученного ансамбля
I>i> – выходной импульс i-го нейронного ансамбля
I = {0;1}
I>i> = 1 , когда входной сигнал соответствует запомненному в i-м ансамбле образу, или обучен ему
c – командная переменная
c = {0;1}
T – время полного цикла, Т = Т>1 >+ Т>2>
T>1> – время процесса распознавания
T>2> – время процесса обучения
Постановка задачи:
Создать нейронную сеть удовлетворяющую теореме:
T:
X
:

2.3 Волновая Резонансная Теория
2.3.1 Описание ВPT
Сеть ВPT - это классификатор кривых. В качестве которых могут выступать звуковые кривые (кривые зависимости интенсивности от времени, спектр звука), синусоиды, и т.д.
Входной вектор является аппроксимацией классифицируемой кривой. Один из способов его получения – это дискретизация величины интенсивности по времени. Он классифицируется в зависимости от того, на какой из множества ранее запомненных образов он похож. Свое классификационное решение сеть ВPT выражает в форме генерации единичного импульса одним из ансамблей распознающего слоя. Если входной вектор не соответствует ни одному из запомненных образов, создается новая категория посредством запоминания образа, идентичного новому входному вектору. Если входной вектор мало отличается от какого-либо из ранее запомненных, то произойдет его распознавание, если хотя бы одна компонента входного вектора сильно (не допустимо) отличается от запомненного образа, то узнавания не произойдет. Запомненный образ не будет изменяться, если текущий входной вектор не окажется достаточно похожим на него. Таким образом решается дилемма стабильности-пластичности. Новый образ может создавать дополнительные классификационные категории, однако новый входной образ не может заставить измениться существующую память.
2.3.2 Основные определения и Леммы
Опр1: n – номер 1-го необученного нейрона,
n>1 >=> >1;
при
t =
T>1>
Опр2: c – командная переменная,
при t
= T>1>
Опр3: i-й
ансамбль обучен
:
X
Лемма 1 (об обучении): 
Лемма 2 (о командном блоке): Пусть
I>i>
= 1 (при t
= T>1>),
=> c
= 0,

2.3.3 Теорема о стабильности
Теорема (о стабильности):
X
:

2.3.4 Доказательство
Существование:
X>1> : B>1> = X>1> => I>1> = 1 (из Леммы об обучении)


Ч.т.д.
Единственность:
От противного
Предположим

Из (1) по Л2 следует, что т.к. I>k>
= 1
,
т.е. пункт (2) не возможен
Ч.т.д.
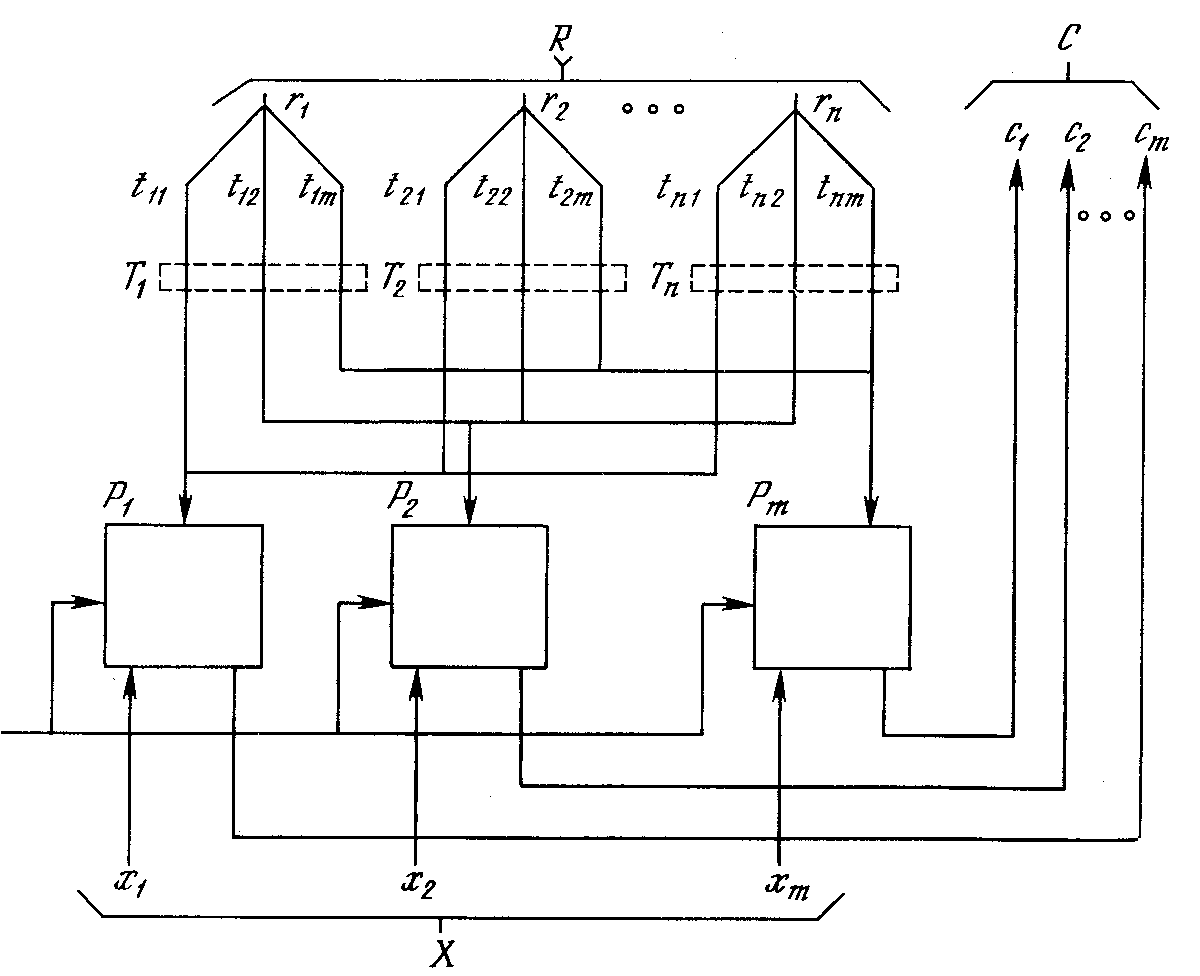
2.3.5 Архитектура ВPT
На рис. 8 показана схема сети ВPT, представленная в виде четырех функциональных модулей. Она включает Блок Управления, N фильтров, N ансамблей нейронов и Командный Модуль. Блок Управления и Командный Модуль обеспечивают управляющие функции, необходимые для обучения и классификации.

Рис. 8. Схема ВРТ
2.3.6 Принцип работы
Блок управления (БУ) получает на вход вектор x и пропускает его в параллельно во все ансамбли. Вместе с сигналом БУ пропускает номер первого необученного ансамбля n, который при инициализации сети равен 1; и командную переменную c. В случае, если сигнал проходит впервые, т.е. идет его распознавание, командная переменная равна 0.
Перед каждым нейронным ансамблем установлен фильтр. Его функция заключается в том, чтобы не пропускать сигнал в еще не обученный ансамбль. Эта функция реализуется благодаря переменной n. В том случае, если n превышает номер ансамбля, сигнал пропускается и командная переменная обнуляется. В случае, если n равна номеру ансамбля, командная переменная проходит без изменений и входной сигнал пропускается. Если же n меньше номера ансамбля, не пропускается ни входной вектор, ни командная переменная.
В нейронном ансамбле проверяется величина командной переменной. Если она нулевая, то в каждом отдельном нейроне идет сравнение величины элемента входного вектора с ранее запомненной. Если же c=1, то происходит запоминание.
В процессе сравнения, как описывалось ранее, каждый элемент входного вектора проверяется на совпадение с ранее запомненным. Т.е. образ распознается только в случае резонанса входного и сигнала, которому был обучен ансамбль (рис.8).

Рис.9. Не резонанс.
После процесса сравнения мы получаем сигналы со всех ансамблей. В случае успешного распознавания или обучения, сигнал будет равен единице, в другом случае – нулю. В контрольном блоке идет проверка сигналов со всех ансамблей. Если с одного из них пришел положительный ответ, посылается сигнал об окончании процесса, если ответ нулевой, посылается команда о переходе к обучению.
Блок БУ при получении из контрольного блока команды об обучении, увеличивает номер n на единицу, устанавливает командную переменную в единицу и посылает повторный сигнал. В случае прихода с контрольного блока сигнала об успешном распознавании или обучении, процесс останавливается.
Одной из главных задач при создании нейронной сети является выбор модели нейрона, наиболее подходящей для решаемой сетью задачи. Для этого рассмотрим несколько наиболее известных из разработанных моделей.
2.4 Адаптивная резонансная теория
Сети и алгоритмы APT сохраняют пластичность, необходимую для изучения новых образов, в то же время предотвращая изменение ранее запомненных образов. Эта способность стимулировала большой интерес к APT, но многие исследователи нашли теорию трудной для понимания. Математическое описание APT является сложным, но основные идеи и принципы реализации достаточно просты для понимания. Мы сконцентрируемся далее на общем описании APT; математически более подготовленные читатели смогут найти изобилие теории в литературе, список которой приведен в конце главы. Нашей целью является обеспечение достаточно конкретной информацией, чтобы читатель мог понять основные идеи и возможности, а также провести компьютерное моделирование с целью исследования характеристик этого важного вида сетей.
2.4.1 АРХИТЕКТУРА APT
Адаптивная резонансная теория включает две парадигмы, каждая из которых определяется формой входных данных и способом их обработки. АРТ-1 разработана для обработки двоичных входных векторов, в то время как АРТ-2, более позднее обобщение АРТ-1, может классифицировать как двоичные, так и непрерывные векторы. В данной работе рассматривается только АРТ-1. Читателя, интересующегося АРТ-2, можно отослать к работе [3] для полного изучения этого важного направления. Для краткости АРТ-1 в дальнейшем будем обозначать как APT.
2.4.2 Описание APT
Сеть APT представляет собой векторный классификатор. Входной вектор классифицируется в зависимости от того, на какой из множества ранее запомненных образов он похож. Свое классификационное решение сеть APT выражает в форме возбуждения одного из нейронов распознающего слоя. Если входной вектор не соответствует ни одному из запомненных образов, создается новая категория посредством запоминания образа, идентичного новому входному вектору. Если определено, что входной вектор похож на один из ранее запомненных векторов с точки зрения определенного критерия сходства, запомненный вектор будет изменяться (обучаться) под воздействием нового входного вектора таким образом, чтобы стать более похожим на этот входной вектор.
Запомненный образ не будет изменяться, если текущий входной вектор не окажется достаточно похожим на него. Таким образом решается дилемма стабильности-пластичности. Новый образ может создавать дополнительные классификационные категории, однако новый входной образ не может заставить измениться существующую память.
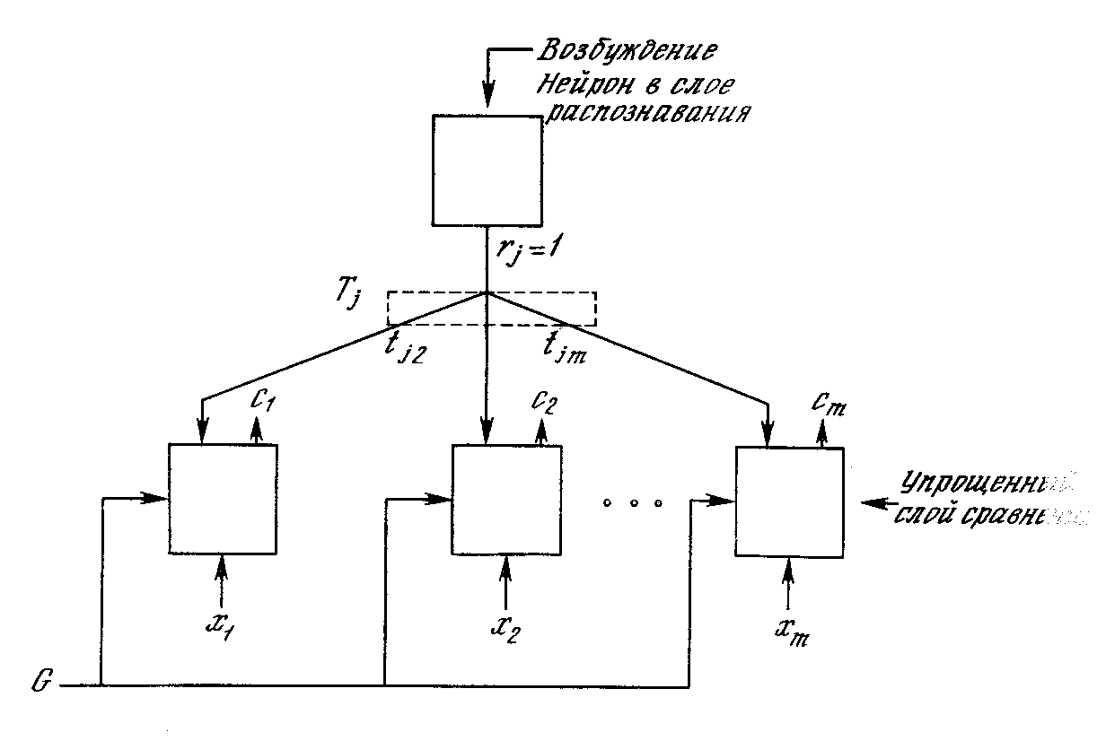
2.4.3 Упрощенная архитектура APT
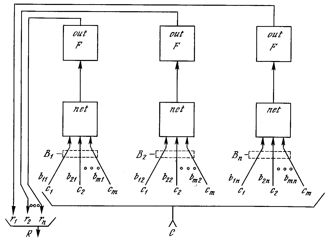
На рис. 9 показана упрощенная конфигурация сети APT, представленная в виде пяти функциональных модулей. Она включает два слоя нейронов, так называемых «слой сравнения» и «слой распознавания». Приемник 1, Приемник 2 и Сброс обеспечивают управляющие функции, необходимые для обучения и классификации.
Перед рассмотрением вопросов функционирования сети в целом необходимо рассмотреть отдельно функции модулей; далее обсуждаются функции каждого из них.
Слой сравнения. Слой сравнения получает двоичный входной вектор Х и первоначально пропускает его неизмененным для формирования выходного вектора C. На более поздней фазе в распознающем слое вырабатывается двоичный вектор R, модифицирующий вектор C, как описано ниже.
Каждый нейрон в слое сравнения (рис. 10) получает три двоичных входа (0 или I): (1) компонента х>i> входного вектора X; (2) сигнал обратной связи R>i> – взвешенная сумма выходов распознающего слоя; (3) вход от Приемника 1 (один и тот же сигнал подается на все нейроны этого слоя).

Рис. 9. Упрощенная сеть АРТ

Рис. 10. Упрощенный слой сравнения
Чтобы получить на выходе нейрона единичное значение, как минимум два из трех его входов должны равняться единице; в противном случае его выход будет нулевым. Таким образом реализуется правило двух третей, описанное в [З]. Первоначально выходной сигнал G1 Приемника 1 установлен в единицу, обеспечивая один из необходимых для возбуждения нейронов входов, а все компоненты вектора R установлены в 0; следовательно, в этот момент вектор C идентичен двоичному входному вектору X.
Слой распознавания. Слой распознавания осуществляет классификацию входных векторов. Каждый нейрон в слое распознавания имеет соответствующий вектор весов B>j> Только один нейрон с весовым вектором, наиболее соответствующим входному вектору, возбуждается; все остальные нейроны заторможены.
Как показано на рис. 11, нейрон в распознающем •слое имеет, максимальную реакцию, если вектор C, являющийся выходом слоя сравнения, соответствует набору его весов, следовательно, веса представляют запомненный образ или экземпляр для категории входных векторов. Эти веса являются действительными числами, а не двоичными величинами. Двоичная версия этого образа также запоминается в соответствующем наборе весов слоя сравнения (рис. 10); этот набор состоит из весов связей, соединяющих определенные нейроны слоя распознавания, один вес на каждый нейрон слоя сравнения.
В процессе функционирования каждый нейрон слоя распознавания вычисляет свертку вектора собственных весов и входного вектора C. Нейрон, имеющий веса, наиболее близкие вектору C, будет иметь самый большой выход, тем самым выигрывая соревнование и одновременно затормаживая все остальные нейроны в слое.
Как показано на рис. 12, нейроны внутри слоя распознавания взаимно соединены в латерально-тормозящую сеть. В простейшем случае (единственном, рассмотренном в данной работе) предусматривается, что только один нейрон в слое возбуждается в каждый момент времени (т. е. только нейрон с наивысшим уровнем активации будет иметь единичный выход; все остальные нейроны будут иметь нулевой выход). Эта конкуренция реализуется введением связей с отрицательными весами l>ij> с выхода каждого нейрона r>i> на входы остальных нейронов. Таким образом, если нейрон имеет большой выход, он тормозит все остальные нейроны в слое. Кроме того, каждый нейрон имеет связь с положительным весом со своего выхода на свой собственный вход. Если нейрон имеет единичный выходной уровень, эта обратная связь стремится усилить и поддержать его.

Рис. 11. Упрощенный слой распознавания
Приемник 2. G2, выход Приемника 2, равен единице, если входной вектор X имеет хотя бы одну единичную компоненту. Более точно, G2 является логическим ИЛИ от компонента вектора X.
Приемник 1. Как и сигнал G2, выходной сигнал G1 Приемника 1 равен 1, если хотя бы одна компонента двоичного входного вектора X равна единице; однако если хотя бы одна компонента вектора R равна единице, G1 устанавливается в нуль. Таблица, определяющая эти соотношения:

Рис. 12. Слой распознавания с латеральным торможением
|
ИЛИ от компонента вектора X |
ИЛИ от компонента вектора R |
G1 |
|
0 |
0 |
0 |
|
1 |
0 |
1 |
|
1 |
1 |
0 |
|
0 |
1 |
0 |
Сброс. Модуль сброса измеряет сходство между векторами X и C. Если они отличаются сильнее, чем требует параметр сходства, вырабатывается сигнал сброса возбужденного нейрона в слое распознавания.
В процессе функционирования модуль сброса вычисляет сходство как отношение количества единиц в векторе C к их количеству в векторе C. Если это отношение ниже значения параметра сходства, вырабатывается сигнал сброса.
2.4.4 Функционирование сети APT в процессе классификации
Процесс классификации в APT состоит из трех основных фаз: распознавание, сравнение и поиск.
Фаза распознавания. В начальный момент времени входной вектор отсутствует на входе сети; следовательно, все компоненты входного вектора X можно рассматривать как нулевые. Тем самым сигнал G2 устанавливается в 0 и, следовательно, в нуль устанавливаются выходы всех нейронов слоя распознавания. Поскольку все нейроны слоя распознавания начинают работу в одинаковом состоянии, они имеют равные шансы выиграть в последующей конкуренции.
Затем на вход сети подается входной вектор X, который должен быть классифицирован. Этот вектор должен иметь одну или более компонент, отличных от нуля, в результате чего и G1, и G2 становятся равными единице. Это «подкачивает» нейроны слоя сравнения, обеспечивая один из двух единичных входов, необходимых для возбуждения нейронов в соответствии с правилом двух третей, тем самым позволяя нейрону возбуждаться, если соответствующая компонента входного вектора X равна единице. Таким образом, в течение данной фазы вектор S в точности дублирует вектор X.
Далее для каждого нейрона в слое распознавания вычисляется свертка вектора его весов Вj и вектора C (рис. 11). Нейрон с максимальным значением свертки имеет веса, наилучшим образом соответствующие входному вектору. Он выигрывает конкуренцию и возбуждается, одновременно затормаживая все остальные нейроны этого слоя. Таким образом, единственная компонента r>j> вектора R (рис. 10) становится равной единице, а все остальные компоненты становятся равными нулю.
В результате, сеть APT запоминает образы в весах нейронов слоя распознавания, один нейрон для каждой категории классификации. Нейрон слоя распознавания, веса которого наилучшим образом соответствуют входному вектору, возбуждается, его выход устанавливается в единичное значение, а выходы остальных нейронов этого слоя устанавливаются в нуль.
Фаза сравнения. Единственный возбужденный в слое распознавания нейрон возвращает единицу обратно в слой сравнения в виде своего выходного сигнала r>j>. Эта единственная единица может быть визуально представлена в виде «веерного» выхода, подающегося через отдельную связь с весом t>ij> на каждый нейрон в слое сравнения, обеспечивая каждый нейрон сигналом р>j>, равным величинеt>ij> (нулю или единице) (рис. 13).

Рис. 13. Путь сигнала отдельного возбужденного нейрона в слое распознавания
Алгоритмы инициализации и обучения построены таким образом, что каждый весовой вектор Т>j> имеет двоичные значения весов; кроме того, каждый весовой вектор В>j> представляет собой масштабированную версию соответствующего вектора Т>j>. Это означает, что все компоненты P (вектора возбуждения слоя сравнения) также являются двоичными величинами.
Так как вектор R не является больше нулевым, сигнал G1 устанавливается в нуль. Таким образом, в соответствии с правилом двух третей, возбудиться могут только нейроны, получающие на входе одновременно единицы от входного вектора X и вектора P.
Другими словами, обратная связь от распознающего слоя действует таким образом, чтобы установить компоненты C в нуль в случае, если входной вектор не соответствует входному образу, т. е. если X и P не имеют совпадающих компонент.
Если имеются существенные различия между X и P (малое количество совпадающих компонент векторов), несколько нейронов на фазе сравнения будут возбуждаться и C будет содержать много нулей, . в то время как X содержит единицы. Это означает, что возвращенный вектор P не является искомым и возбужденные нейроны в слое распознавания должны быть заторможены. Это торможение производится блоком сброса (рис. 9), который сравнивает входной вектор X и вектор C и вырабатывает сигнал сброса, если степень сходства этих векторов меньше некоторого уровня. Влияние сигнала сброса заключается в установке выхода возбужденного нейрона в нуль, отключая его на время текущей классификации.
Фаза поиска. Если не выработан сигнал сброса, сходство является адекватным, и процесс классификации завершается. В противном случае другие запомненные образы должны быть исследованы с целью поиска лучшего соответствия. При этом торможение возбужденного нейрона в распознающем слое приводит к установке всех компонент вектора R в 0, G1 устанавливается в 1 и входной вектор X опять прикладывается в качестве C. В результате другой нейрон выигрывает соревнование в слое распознавания и другой запомненный образ P возвращается в слой сравнения. Если P не соответствует X, возбужденный нейрон в слое распознавания снова тормозится. Этот процесс повторяется до тех пор, пока не встретится одно из двух событий:
Найден запомненный образ, сходство которого с вектором X выше уровня параметра сходства, т. е. S>. Если это происходит, проводится обучающий цикл, в процессе которого модифицируются веса векторов T>j> и B>j>, связанных с возбужденным нейроном в слое распознавания.
Все запомненные образы проверены, определено, что они не соответствуют входному вектору, и все нейроны слоя распознавания заторможены. В этом случае предварительно не распределенный нейрон в распознающем слое выделяется этому образу и его весовые векторы B>j> и T>j> устанавливаются соответствующими новому входному образу.
Проблема производительности. Описанная сеть должна производить последовательный поиск среди всех запомненных образов. В аналоговых реализациях это будет происходить очень быстро; однако при моделировании на обычных цифровых компьютерах этот процесс может оказаться очень длительным. Если же сеть APT реализуется на параллельных процессорах, все свертки на распознающем уровне могут вычисляться одновременно. В этом случае поиск может быть очень быстрым.
Время, необходимое для стабилизации сети с латеральным торможением, может быть длительным при моделировании на последовательных цифровых компьютерах. Чтобы выбрать победителя в процессе латерального торможения, все нейроны в слое должны быть вовлечены в одновременные вычисления и передачу. Это может потребовать проведения большого объема вычислений перед достижением сходимости. Латеральные тормозящие сети, аналогичные используемым в неокогнитронах, могут существенно сократить это время.
2.4.5 Теоремы APT
Наиболее важные теоремы, показывающие характеристики сетей APT:
После стабилизации процесса обучения предъявление одного из обучающих векторов (или вектора с существенными характеристиками категории) будет активизировать требуемый нейрон слоя распознавания без поиска. Эта характеристика «прямого доступа» определяет быстрый доступ к предварительно изученным образам.
Процесс поиска является устойчивым. После определения выигравшего нейрона в сети не будет возбуждений других нейронов в результате изменения векторов выхода слоя сравнения С; только сигнал сброса может вызвать такие изменения.
Процесс обучения является устойчивым. Обучение не будет вызывать переключения с одного возбужденного нейрона слоя распознавания на другой.
Процесс обучения конечен. Любая последовательность произвольных входных векторов будет производить стабильный набор весов после конечного количества обучающих серий; повторяющиеся последовательности обучающих векторов не будут приводить к циклическому изменению весов.
2.5 Выбор модели нейрона.

Рис. 14. (а) Схематическое изображение нейрона: 1 – тело клетки (сома), 2 – мембрана, 3 – дендриты, 4 – аксон, 5 – синаптическое окончание, (б) Ионные каналы в мембране нейрона: К, Na, Са – ионы калия, натрия, кальция, (в) Эквивалентная электрическая схема мембраны нейрона: G>Na>, G>K>, G>Ca>,…— нелинейные ионные проводимости; R>m> – сопротивление утечки; С>т> – емкость мембраны; E>Na>, E>K>,…–равновесные потенциалы для соответствующих токов.
На рис. 14 схематически изображены нервная клетка и клеточная мембрана. Для построения адекватной динамической модели нейрона принципиально, что окружающая его мембрана нередко представляет собой эквипотенциальную поверхность. Поэтому, несмотря на вполне макроскопические размеры нейрона, при анализе его электрической активности (частота 4-60 Гц) нервную клетку можно рассматривать как сосредоточенную в пространстве систему. Другими словами, переменные, описывающие состояние нейрона (мембранный потенциал, концентрацию тех или иных ионов и т.д.), можно рассматривать как функции только времени. Другой важный вопрос связан со способом описания активности нейронов. Поскольку состояние нейрона определяется неравновесной диффузией различных заряженных ионов, для моделирования его активности, вообще говоря, следует использовать кинетическое описание. Однако, когда мы интересуемся нейроном как генератором низкочастотных электрических пульсаций, такое описание, очевидно, избыточно. Для построения соответствующей теории вполне достаточно уравнений для средних по времени t>0> << Т (Т — характерный период электрической активности нейрона) динамических переменных: мембранного потенциала и макроскопических ионных токов. При этом нейрон можно рассматривать как нелинейную электрическую цепь из RC-элементов. Источником энергии для работы этой диссипативной системы служат биохимические процессы, связанные со взаимодействием внутриклеточной и межклеточной сред.
Осцилляторная активность нейрона определяется тем, что это неравновесная система с разнообразными обратными связями, в том числе и запаздывающими. Именно благодаря этим обратным связям, закрывающим или открывающим ионные каналы в соответствующей фазе электрической активности мембраны, состояние нейрона, отвечающее потенциалу покоя, может стать неустойчивым, и он превращается в генератор. Такой генератор можно рассматривать как динамическую систему, в рамках которой микроскопическая кинетика проявляется лишь как малые флуктуации.
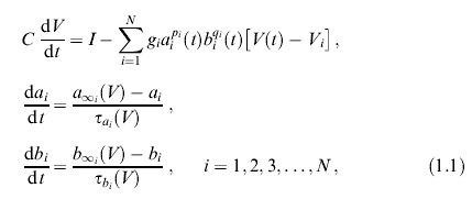
Нелинейные динамические модели нейронов, которые строятся для объяснения обнаруживаемых феноменов и предсказания новых (в чем, собственно, и состоит назначение теории), в значительной степени зависят от того нейрофизиологического эксперимента, на который они опираются. Так, для описания нейронов ЦГ обычно используются варианты классической модели Ходжкина-Хаксли (1952 г.), включая ее разнообразные обобщения, учитывающие дополнительные мембранные токи, или, наоборот, более упрощенные, использующие в качестве переменных мембранный потенциал V(t) и некоторые вспомогательные токи, описывающие процессы двух типов быстрые Ie(t) и медленные I>M>(t) (см., например, [13-15]).
Типичная обобщенная модель Ходжкина-Хаксли (в широком смысле conductance-based model) имеет вид

где V(t) — электрический потенциал клеточной мембраны, С характеризует электрическую емкость мембраны, i обозначает вид тока, текущего через мембрану, или, как говорят, тип ионного канала (калиевого, натриевого, кальциевого канала, канала утечки), g>i> — максимальная проводимость, V>i> — равновесный потенциал (потенциал реверсии) для i-го канала, a>i> и b>i> — переменные, характеризующие активацию и инактивацию i-го канала, эти переменные можно рассматривать, например, как вероятности открытия или закрытия того или иного канала, a p>i> и q>i> представляют собой число управляющих частиц, достаточное, чтобы открыть или закрыть канал (обычно это целые числа от нуля до четырех). a>∞>>i> (V) и b>∞>>i>(V) — стационарные состояния уровня активации и инактивации, они зависят от V сигмоидным образом, так же как и характерные времена релаксации ф>ai>(V) и ф>ai>(V). В классической работе Ходжкина и Хаксли [14] N = 3.
Сейчас популярны и более простые модели подобного типа. Одна из них — модель Морриса-Лекара [15]:

где m>∞>(V), W>∞>(V), ф(V) — функции сигмоидного типа. Здесь учтена всего лишь одна переменная W, описывающая активацию нейрона. Естественно, что в рамках динамической модели с двумерным фазовым пространством невозможно описать все детали динамики нейрона и, в первую очередь, хаотические колебания мембранного потенциала клетки, наблюдаемые в различных экспериментах [16, 17] (поскольку странный аттрактор не может быть вложен в двумерное пространство). Поэтому сейчас весьма широко используются трехмерные модели, также опирающиеся на формализм Ходжкина-Хаксли. Это, например, модель Чэй [18] и др.
Формализм Ходжкина и Хаксли, основанный на детальном анализе ионного транспорта через мембрану, получил широкое распространение. Но весьма продуктивны и феноменологические модели, описывающие основные особенности динамики нейронов. Одна из моделей такого типа — модель Розе-Хиндмарш [19] (более подробно см. раздел 3):

где х – мембранный потенциал, у характеризует "быстрые" токи (например, калиевые и натриевые), а z – "медленные" токи, I – внешний ток, а, Ь, с, d, r, s, х>0> – постоянные параметры.
При обсуждении динамических процессов в коре головного мозга наиболее часто используется модель нейронной активности Вилсона и Кована (1972 г.), учитывающая взаимодействие двух связанных популяций нейронов – подавляющих и возбуждающих [20]:

где Е и I – безразмерные величины, характеризующие активность возбуждающих и тормозящих нейронов соответственно. Здесь параметр е < 1, поскольку постоянные времени для торможения, как правило, больше характерных времен возбуждения, F – функция сигмоидного типа: F=l/(l+e-x) или F= 1/2 + (1/р) arctanx.
При моделировании больших ансамблей нейронов часто используют и совсем простые точечные модели в виде фазовых осцилляторов, к которым сводятся системы осцилляторов общего вида с периодическим поведением и слабыми парными связями (см., например, [21], обзор [22]):

или еще более простые модели переключательного, спинового, типа, подобные тем, которые широко применяются в теории фазовых переходов.
Описанные выше модели нейронов дублируют именно физиологические и анатомические особенности отдельного нейрона. Но при создании нейронной сети нет необходимости в таком точном воспроизведении естественного нейрона. Необходим нейрон, удовлетворяющий поставленным требованиям, и не усложненный реализацией лишних в рамках поставленной задачи физиологических особенностей, так как это будет негативно отражаться на быстродействии сети. Необходима упрощенная, но подходящая для поставленной задачи распознавания модель.
В поставленной задаче необходим пороговый, импульсный нейрон, удовлетворяющий требованию пластичности и стабильности. Для решения этой задачи я взяла двухпороговый нейрон (рис. 15).

Рис.15. Двухпороговый нейрон.
При прохождении входным сигналом нижнего порога, и не превышении верхнего, нейрон срабатывает и генерирует импульс.
После обучения нейронного ансамбля, он будет узнавать только сигнал, мало отличающийся от запомненного. Т.е. ансамбль будет генерировать положительный импульс только в случае резонанса входного сигнала и сигнала, которому обучен ансамбль (рис. 16).

Рис.16. Резонанс.
2.6 Результат работы
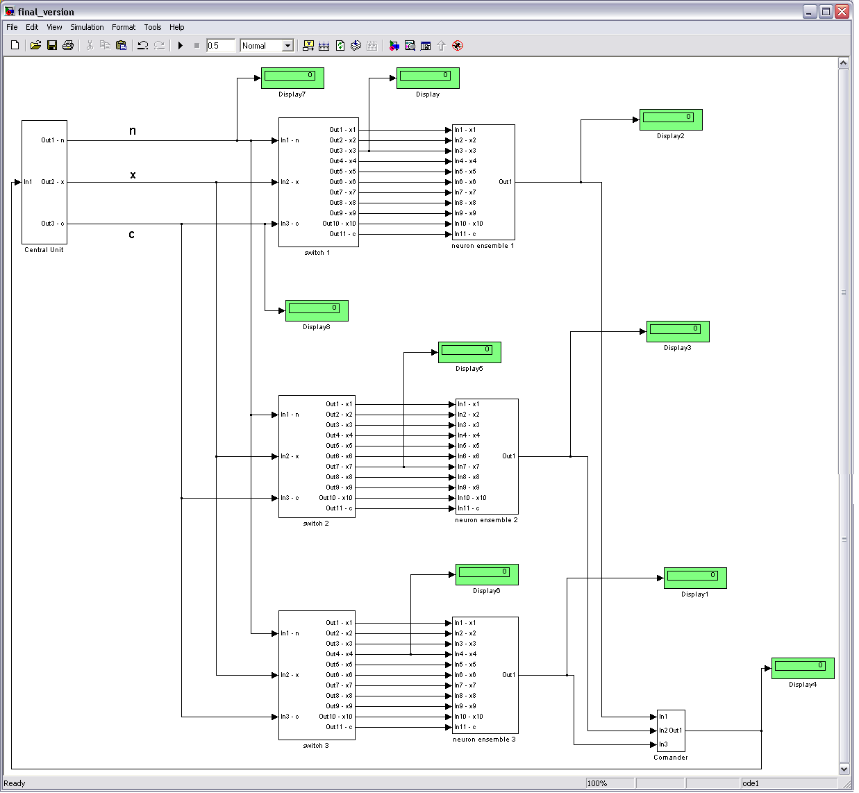
2.6.1 Реализация ВРТ в среде Matlab с использованием пакета Simulink






Заключение
Архитектура ВРТ сконструированы по принципу биологического подобия; это означает, что ее механизмы во многом соответствуют механизмам мозга (как мы их понимаем). Однако они могут оказаться не в состоянии моделировать распределенную память, которую многие рассматривают как важную характеристику функций мозга. Экземпляры ВРТ представляют собой «бабушкины узелки»; потеря одного узла разрушает всю память. Память мозга, напротив, распределена по веществу мозга, запомненные образы могут часто пережить значительные физические повреждения мозга без полной их потери.
Кажется логичным изучение архитектур, соответствующих нашему пониманию организации и функций мозга. Человеческий мозг представляет существующее доказательство того факта, что решение проблемы распознавания образов возможно. Кажется разумным эмулировать работу мозга, если мы хотим повторить его работу. Однако контраргументом является история полетов; человек не смог оторваться от земли до тех пор, пока не перестал имитировать движения крыльев и полет птиц.
Список использованных источников:
http://www.ibusiness.ru
http://www.narcom.ru
3. Экономическая часть
В дипломном проекте разрабатывается программа – волновая резонансная нейронная сеть, которая является частью программного обеспечения интеллектуального робота.
Данный раздел дипломного проекта посвящен решению следующих задач:
разработка плана создания программы;
определение затрат на разработку программы и ее цены;
3.1. План разработки программы
Библиотека работ имеет следующий вид, приведенный в Таблице 1.
Таблица 1
|
Наименование этапа |
Основные задачи и состав работ |
Время выполнения (в днях) |
|
1. Разработка ТЗ |
1) составление проекта ТЗ заказчиком; |
20 |
|
2) проработка проекта ТЗ исполнителем; |
10 |
|
|
3) согласование и утверждение ТЗ |
10 |
|
|
2. Эскизное проектирование |
1) изучение научно-технической информации; |
10 |
|
2) выбор элементной базы разработки; |
5 |
|
|
3) выбор основных программных решений |
10 |
|
|
4) разработка структурных и функциональных схем программы; |
10 |
|
|
3. Техническое проектирование |
1) разработка принципиальных схем; |
15 |
|
2) уточнение основных параметров программы по результатам прогнозирования; |
5 |
|
|
3) уточнение основных параметров программы после изучения научно-технической информации; |
5 |
|
|
4) программирование и отладка с учетом принципиальных схем |
30 |
|
|
5) программирование и отладка с учетом основных параметров изделия |
25 |
|
|
4. Тестирование программы |
10 |
|
|
5. Проверка соответствия работы опытного образца требованиям ТЗ |
5 |
|
|
6. Объединение с остальными частями интеллектуального робота |
15 |
Библиотека событий приведена в таблице 2
Таблица 2
|
0. Начало работ |
|
1. Проект ТЗ заказчика готов |
|
2. проработка проекта ТЗ исполнителем завершена |
|
3. Согласованное и утвержденное ТЗ |
|
4 Изучение научно-технической информации завершено |
|
5. Выбрана элементная базы разработки |
|
6. Выбраны основные программные решения |
|
7. Структурная и функциональная схема программы готовы |
|
8. Принципиальные схемы разработаны |
|
9. Основные параметры изделия уточнены |
|
10. Готовое программное средство |
|
11. Настройка и тестирование программы завершены |
|
12. Проведена оценка соответствия ТЗ |
|
13. Объединение с остальными частями интеллектуального робота успешно завершено |
Для оценки временных и стоимостных
параметров используем метод сетевого
планирования и управления (СПУ). Основным
плановым документом в системе СПУ
является сетевой график (сетевая модель
или сеть), представляющий собой
информационно-динамическую модель, в
которой отражаются взаимосвязи и
результаты всех работ, необходимых для
достижения конечной цели разработки.
Сетевая модель изображается в виде
сетевого графика (сети), состоящего из
стрелок и кружков. Стрелками в сети
изображаются отдельные работы, а кружками
— события. Под стрелками указывается
ожидаемое время выполнения работ. Жирной
линией показан критический путь
.
Сетевая модель комплекса приведена на рисунке 17.

3.3

2.1
3.5
10
5
25








1.1
1.2
1.3
2.2
3.2
4
5
6










2.3
20
10
10
5
5
10
5
15

3.4
10
30
2.4
3.1
10
15
Рис. 17 Сетевая модель
Критический путь равен:
= 125 дней (определен по сетевой
модели).
Полный резерв времени пути
- это разница между длиной критического
пути
и длиной рассматриваемого пути
.

Трудоемкость приведена в таблице 3.
Таблица 3
|
№ п/п |
Код работы |
Время выполнения (дней) |
Количество исполнителей |
Трудоемкость чел. час |
|
1 |
1.1 |
20 |
1 |
160 |
|
2 |
1.2 |
10 |
1 |
80 |
|
3 |
1.3 |
10 |
1 |
80 |
|
4 |
2.1 |
10 |
1 |
80 |
|
5 |
2.2 |
5 |
1 |
40 |
|
6 |
2.3 |
10 |
1 |
80 |
|
7 |
2.4 |
10 |
1 |
80 |
|
8 |
3.1 |
15 |
1 |
120 |
|
9 |
3.2 |
5 |
1 |
40 |
|
10 |
3.3 |
5 |
1 |
40 |
|
11 |
3.4 |
30 |
1 |
240 |
|
12 |
3.5 |
25 |
1 |
200 |
|
13 |
4 |
10 |
1 |
80 |
|
14 |
5 |
5 |
1 |
40 |
|
15 |
6 |
15 |
1 |
120 |
3.2. Определение затрат на разработку программы
Расчет заработной платы сотрудников, занятых разработкой программы приводится в таблице 4.
Таблица 4
|
№ п/п |
Код работы |
Трудоемкость чел. час |
Среднечасовая ставка |
Сумма ЗП |
|
1 |
1.1 |
160 |
1 |
160 |
|
2 |
1.2 |
80 |
1 |
80 |
|
3 |
1.3 |
80 |
1 |
80 |
|
4 |
2.1 |
80 |
1 |
80 |
|
5 |
2.2 |
40 |
1 |
40 |
|
6 |
2.3 |
80 |
1 |
80 |
|
7 |
2.4 |
80 |
1 |
80 |
|
8 |
3.1 |
120 |
1 |
120 |
|
9 |
3.2 |
40 |
1 |
40 |
|
10 |
3.3 |
40 |
1 |
40 |
|
11 |
3.4 |
240 |
1 |
240 |
|
12 |
3.5 |
200 |
1 |
200 |
|
13 |
4 |
80 |
1 |
80 |
|
14 |
5 |
40 |
1 |
40 |
|
15 |
6 |
120 |
1 |
120 |
|
Итого |
1480 |
1480 |
Суммарные затраты на разработку
программы
(руб)
определяются по формуле:
,
где
=1480
рублей – общая заработная плата
сотрудников, занятых разработкой
программы.
=0,2
– коэффициент, учитывающий дополнительную
заработную плату (премии)
=0,26
коэффициент, учитывающий оплату единого
социального налога (ЕСН)
=0,6
– коэффициент, учитывающий накладные
расходы
= 3125,76
Цена разработанной программы определяется по формуле:
,
= 4688,64
Где
- норматив рентабельности
- количество организаций, которые
могут купить данную программу
Расчет капитальных вложений
Капитальные вложения, связанные с внедрением новой программы определяются по формуле:
,
где
=54000
рублей – капитальные вложения
=2500
маш-ч годовое машинное время ЭВМ,
необходимое для решения задач с помощью
программы
=
= 4688,64 руб – цена разработанной программы
=2500
полный годовой фонд работы ЭВМ.
=58688,64
Расчет эксплуатационных расходов, связанных с использованием разработанной программы
руб/год
Где
=2500
часов – машинное время работы ЭВМ,
используемой в течение года для решения
задач с помощью разработанной программы.
==50
руб/час – себестоимость одного машиночаса
=1200
руб/год – затраты по ведению программы
=10
лет – срок службы программы
= 132068,8
4. Охрана труда и безопасность жизнедеятельности
4.1 Введение
Работая с ЭВМ, пользователь подвергается воздействию множества физически опасных и вредных факторов, среди них:
отсутствие или недостаток естественного света,
недостаточная освещенность рабочей зоны,
электрический ток,
статическое электричество,
зрительные нагрузки,
излучение и др.
Также воздействуют такие психофизиологические факторы, как:
умственное перенапряжение,
перенапряжение зрительных и слуховых анализаторов,
монотонность труда,
эмоциональные перегрузки.
Воздействие указанных неблагоприятных факторов приводит к снижению работоспособности, вызываемое развивающимся утомлением. А при длительном нахождении человека в зоне комбинированного воздействия различных неблагоприятных факторов, может привести к профессиональному заболеванию.
Важнейшей частью персональных компьютеров является дисплей (так же видеодисплейный терминал, экран, монитор) – прибор, предназначенный для наблюдения пользователем за работой компьютера. Работа с дисплеем оказывает отрицательное влияние на зрение, нервную систему.
Существует три группы факторов, которые могут повлиять на здоровье пользователя персонального компьютера:
визуальные параметры дисплея в сочетании со световым климатом в помещении;
электростатическое и электромагнитные поля компьютера, дисплея и других периферийных устройств;
эргономические параметры рабочего места.
4.2 Излучение и эргономика
Многолетние исследования о влиянии излучений, генерируемых компьютерами и периферийными устройствами, на здоровье человека дали противоречивые результаты. Но некоторые исследования определили потенциальную опасность для здоровья, которую вызывает долговременное пребывание в зоне неионизированных электромагнитных полей крайне низких частот и очень низких частот.
Дисплеи создают неионизированное электромагнитное поле, которое состоит из электрического (E-поле) и магнитного (H-поле) полей. Беспокойство вызывают крайне низкие частоты - КНЧ (5 Гц – 2000 Гц) и очень низкие частоты - ОНЧ (2 – 400 кГц) спектра. Кроме того, электронно-лучевые трубки (ЭЛТ) дисплеев создают электростатические поля, уменьшающие число отрицательно заряженных ионов в пространстве между пользователем и экраном дисплея, что является причиной ощущения сухости во рту и в носоглотке, сыпи на коже и дерматита у операторов компьютеров.
По мнению врачей-гигиенистов, с точки зрения излучения наиболее опасен монитор. Он излучает в электромагнитном диапазоне от 1 Гц до 1 ГГц. Для того чтобы снизить эмиссионные характеристики техники, в современных компьютерах предусмотрена внутренняя защита. Однако для нее необходимо заземление устройства. При этом очень важно проследить, чтобы провод заземления не просто «присутствовал в розетке», но не прерывался по всей цепочке. Однако заземление часто отсутствует, и все современные разработки по защите от излучений становятся бесполезны.
Так же крайне важно соответствие предельной нагрузки на электропроводку количеству оборудования. Если компьютеров слишком много и электропроводка не рассчитана на такую нагрузку, при последовательном подключении приборов вместе с сопротивлением сети будет возрастать и низкочастотное электромагнитное поле. Это можно даже заметить визуально — экран монитора начинает дрожать.
Удлинитель с розетками или стабилизатор напряжения «Пилот» так же является потенциальным источником излучения. «Пилот» с разболтанными контактами (они портятся при постоянном включении-выключении устройств из сети) излучает больше.
Допустимые значения параметров неионизирующих ЭМ-излучений указаны в таблице 5. Визуальные эргономические параметры видеодисплейных терминалов и пределы их изменений указаны в таблице 6.
Таблица 5. Допустимые значения параметров неионизирующих электромагнитных излучений
|
Параметр |
В диапазоне частот 5 Гц-2 кГц |
В диапазоне частот 2-400 кГц |
|
Напряженность электромагнитного поля на расстоянии 50 см вокруг ВДТ по электрической составляющей должна быть не более, В/м |
25 |
2,5 |
|
Плотность магнитного потока должна быть не более, нТл |
250 |
25 |
|
Поверхностный электростатический потенциал не должен превышать, В |
500 |
Таблица 6. Пределы изменений визуальных эргономических параметров видеотерминалов
|
Наименование параметра |
Минимальное значение |
Максимальное значение |
|
Яркость знака (яркость фона), измеренная в темноте, кд/м2. |
35 |
120 |
|
Внешняя освещенность экрана, лк. |
100 |
250 |
|
Угловой размер знака на экране, угл. мин. |
16 |
60 |
Оптимальным диапазоном значений визуального эргономического параметра называется диапазон, в пределах которого обеспечивается безошибочное считывание информации при времени реакции оператора, превышающем минимальное, установленное экспериментально для данного типа ВДТ, не более чем в 1,2 раза. Допустимым диапазоном значений визуального эргономического параметра называется диапазон, при котором обеспечивается безошибочное считывание информации, а время реакции человека-оператора превышает минимальное, установленное экспериментально для данного типа ВДТ, не более чем в 1,5 раза.
4.3 Проблема освещенности и зрительные нагрузки
Большое значение при работе с ПК имеют визуальные параметры, такие как неравномерность яркости фона и знака, дрожание, мерцание и т. д. Одно из необходимых требований — это корреляция яркости фона экрана и внешней освещенности. Чем ярче фон, тем больше должна быть освещенность. У старых мониторов «садится» электронно-лучевая трубка, и яркость фона уменьшается. По санитарным нормам яркость не должна быть меньше 35 кд/м2. Если она меньше, этот монитор лучше не использовать.
СанПиН запрещает располагать рабочие места с компьютерами в подвальных помещениях (без естественного освещения). В случае, если такого расположения требует технологический процесс, вопрос необходимо согласовать с органами санитарно-эпидемиологического надзора. Несоблюдение нормативов на визуальные параметры терминала может приводить к самым разным нарушениям зрения.
Операторы ПК подвержены риску проявления «компьютерного зрительного синдрома» (общепринятое сокращение – CVS). Фактически, CVS стал наиболее широко распространенной проблемой здоровья в мире, связанной с применением ЭВМ. Признаками проявления CVS является любой из следующих симптомов: напряжение глаз, головные боли, двоение изображение, усталые, красные или сухие глаза, временная близорукость, случайное «смазывание» изображений на экране, возрастающее раздражение глаз, изменение в цветовом восприятии. Неправильный выбор визуальных параметров дисплея и светового климата в помещении являются основными причинами CVS. Слабое зрение и зеркальные блики на экранах дисплеев интенсифицируют проявление CVS. Симптомы компьютерного зрительного синдрома несомненно влияют на зрение и производительность работы за компьютером. Важно отметить, что если у взрослых пользователей периодический отдых позволяет через некоторое время полностью восстановить зрительные функции, то у детей в возрасте до 14-15 лет CVS может привести к устойчивой потере зрения (близорукости).
4.4 Микроклимат в помещении
При работе с вычислительной техникой, из микроклиматических параметров особое значение имеет влажность воздуха. В сухом воздухе повышенные уровни электростатического поля возрастают еще больше. Под действием электростатического поля поляризуются частицы, которые «собирают» на себя микробы и пыль. У работающего может возникнуть аллергия, конъюнктивит, высыпание на коже.
4.5 Шум
Периферийное оборудование излучает меньше, чем монитор. Но здесь возникает такой нормируемый параметр, как шум. Норматив на шум для рабочего места, оснащенного принтером, составляет 70 дБА, а без принтера 50 дБА. 50 дБА соответствует работе радио «комнатной громкости». 70 дБА — это серьезный шум. С громкостью 70 дБА стучат машинки в машинописном бюро или движутся машины (исключая грузовики, тягачи, мотоциклы и строительные машины). Современные принтеры работают практически бесшумно, поэтому с новыми принтерами проблем обычно не возникает.
4.6 Физиологические факторы
Работа с компьютером, как правило, сопряжена с долговременным положением в одной, зачастую, неудобной позе. Перегружаются конечности: кисти рук (или одна из кистей, если человек плохо владеет клавиатурой), предплечья; немеет спина, шея. Длительное пребывание в «вынужденной позе» может привести к заболеваниям опорно-двигательного аппарата, таким как искривление позвоночника, остеохондрозы, тендовагиниты, артрозы и др.
Для их предотвращения, необходимо, во-первых, периодически менять положение корпуса, а во-вторых, создать опору для всех частей тела: для рук – подлокотники, для спины — спинка кресла, и т.д. Если имеется выдвижная доска и клавиатура отодвинута от края стола на 20-30 см (опора для предплечий), а для ног предусмотрена специальная подставка, нагрузка на опорно-двигательный аппарат будет меньше — и меньше будет вероятность развития подобных заболеваний. В СанПиН 2.2.2.542-96 четко указаны параметры офисной мебели. Рабочий стул должен быть подъемно-поворотным и регулируемым по высоте и углам наклона сиденья и спинки, а также по расстоянию спинки от переднего края сиденья. Руководство компаний обязано покупать качественную мебель — такую, где регулировка легко осуществима, а фиксация надежна. Использование стульев и кресел с полуоторванными спинками, таким образом, является нарушением нормативов. Наличие подставки для ног тоже обязательно — но во многих ли офисах вы видели такие подставки? Конструкция клавиатуры должна предусматривать опорное приспособление, позволяющее менять угол наклона ее поверхности в пределах от 5 до 15 градусов.
Так же, для устранения данных проблем, необходим режим труда. Через каждый час рекомендуется делать перерыв на 10 минут. Если перерывы делаются через два часа, их продолжительность надо увеличивать до 15-20 минут. То есть перерывы на чай и перекуры, обычные в российских организациях и учреждениях, являются вполне законными согласно санитарным нормам. Они должны предоставляться работнику независимо от его обеденного перерыва. Хорошо бы в это время проделать упражнения из производственной гимнастики, но, скорее всего, мало кто будет ими заниматься. В принципе, любое движение снимает некоторое напряжение с мышц.
Любая работа или деятельность, требующая фиксированной позы длительное время, может приводить к скелетно-мышечному дискомфорту. Уменьшить или даже полностью устранить такой дискомфорт можно правильным выбором конструкции рабочего места, применением регулируемой мебели (кресла, стола для дисплея, подставки для ног).
Некоторые люди, чья работа требует интенсивного применения клавиатуры, сообщают о болях в запястьях, предплечье и шее. Это заболевание мягких тканей, связано с повторяющимися движениями, фиксированным положением тела, неудобной позой и чрезмерной нагрузкой. Правильная установка дисплея и клавиатуры, а также соответствующее оборудование рабочего места должны минимизировать возможность заболеваний.
4.7 Пожарная и взрывопожарная безопасность
Пожарная опасность производственных зданий и помещений определяется особенностями выполняемого в них технологического процесса, свойствами применяемых веществ и материалов, а также условиями их обработки. По взрывопожарной и пожарной опасности помещения и здания подразделяют на категории А, Б, В, Г, Д. В целом категории взрывопожарной и пожарной опасности определяются путем последовательной проверки принадлежности помещения к категориям от высшей (А) к низшей (Д).
Пожарная профилактика - это комплекс организационных и технических мероприятий, направленных на обеспечение безопасности людей, на предотвращение пожара, ограничение его распространения, а также на создание условий для успешного тушения пожара.
Пожары в ВЦ представляют особую опасность, так как сопряжены с большими материальными потерями. Характерная особенность ВЦ - небольшие площади помещений. Как известно пожар может возникнуть при взаимодействии горючих веществ, окисления и источников зажигания. В помещениях ВЦ присутствуют все три основные фактора, необходимые для возникновения пожара. Горючими компонентами на ВЦ являются: строительные материалы для акустической и эстетической отделки помещений, перегородки, двери, полы, перфокарты и перфоленты, изоляция кабелей и др.
Источниками зажигания в ВЦ могут быть электронные схемы от ПЭВМ, приборы, применяемые для технического обслуживания, устройства электропитания, кондиционирования воздуха, где в результате различных нарушений образуются перегретые элементы, электрические искры и дуги, способные вызвать загорания горючих материалов.
В современных ЭВМ очень высокая плотность размещения элементов электронных схем. В непосредственной близости друг от друга располагаются соединительные провода, кабели. При протекании по ним электрического тока выделяется значительное количество теплоты. При этом возможно оплавление изоляции. Для отвода избыточной теплоты от ЭВМ служат системы вентиляции и кондиционирования воздуха. При постоянном действии эти системы представляют собой дополнительную пожарную опасность.
4.8 Заключение
Программисты, операторы ЭВМ подвергаются воздействию физически опасных и вредных производственных факторов. Таких, как отсутствие или недостаток естественного света, недостаточная освещенность рабочей зоны, электрический ток, статическое электричество, зрительные нагрузки, излучение и др.
Вредное воздействие факторов можно снизить или свести к минимуму с помощью различных мер, проводимых как самим пользователем ПК, так и обеспечивающем его рабочим местом начальством. Если на рабочем месте решить такие проблемы как отсутствие или недостаток естественного света, недостаточная освещенность рабочей зоны, электрический ток, статическое электричество, зрительные нагрузки, излучение и др. тогда работоспособность человека и производительность его труда резко увеличится.
Работодатель должен обеспечить оператора ПК:
Не устаревшим, а по возможности самым современным оборудованием.
Необходимым и достаточным освещением рабочего места.
Увлажнителем воздуха.
Удобной офисной мебелью, параметры которой описаны в разделе 4.6.
Рекомендации пользователям:
Экран дисплея должен быть расположен так, чтобы Вы смотрели слегка вниз.
Расположите экран дисплея под прямым углом к окнам и не прямо под источниками верхнего освещения для того, чтобы избежать бликов и отражений.
Отрегулируйте яркость и контрастность экрана (если это возможно) до получения приятного Вами комфортного вида изображения.
Выключайте монитор, когда Вы не используете его.
Отрегулируйте свое кресло так, чтобы оно поддерживало Вашу спину и не оказывало давления на подколенный сустав в то время как Ваши ноги будут прочно расположены на полу или на подставке для ног.
Положите свои рабочие материалы так, чтобы их легко было достать.
Отрегулируйте клавиатуру так, чтобы Ваши руки были расслаблены и удобно расположены при работе.
Расположите руки так, чтобы избежать перегибов запястья при нажатии на наиболее часто используемые клавиши.
Пользуйтесь специальными принадлежностями – подставками для ладоней или запястий, подставками для ног и т. п.
Время от времени переводите взгляд от экрана на удаленные объекты и обратно.
Часто моргайте, чтобы защитить Ваши глаза от сухости.
В течение дня вставайте и потягивайтесь или изменяйте сидячую позу.
Сохраняйте экран дисплея чистым.
Заключение
Основным итогом дипломной работы является разработка нейронной сети, выполняющей задачу распознавания и обучения.
Для данной задачи:
Изучен пакет Simulink программы Matlab;
Изучена Адаптивно Резонансная Теория Гроссберга;
Разработана Волновая Резонансная Теория;
Разработана архитектура нейронной сети, удовлетворяющая поставленной задаче;
Рассмотрены пять из существующих в настоящее врамя моделея нейронов;
Разработана модель импульсного двухпорогового нейрона;
Смоделирована нейронная сеть в пакете Simulink программы Matlab.
Выполнено организационно-экономическое обоснование проекта, по результатам которого получен расчет затрат на создание данного програмного продукта.
В разделе «Охрана труда и окружающей среды» разработаны требования к мониторам ПК для наибольшей работоспособности оператора.