Зеркальные антенны
Министерство науки и образования Украины
Черкасский государственный технологический университет
Кафедра радиотехники
КУРСОВАЯ РАБОТА
По дисциплине: «Приборы СВЧ и антенны»
На тему: «Зеркальные антенны»
Проверил: Исполнил:
Преп. Даник.В.О. студ. 4-го курса
гр. ЗРТ-33, ФЕТ
Соболев А.В.
Черкассы, 2007
Содержание
Введение
Действие зеркал
Влияние фазовых отклонений
Направленность действия параболического зеркала
Применение параболических зеркал в антенной технике
Другие зеркальные антенны
Итог
Список использованной литературы
Введение
Антенна выступает в роли промежуточного звена радиоприбором – приемником или передатчиком – и окружающим пространством, являясь своего рода преобразователем электромагнитной энергии, её трансформатором. Передающая антенна, питаемая энергией радиопередатчика, возбуждает в пространстве электромагнитное поле, несущее сигнал. Незначительную часть энергии поля улавливает приемная антенна, создающая на входе радиоприемника эдс, достаточную для воспроизведения сигнала.
С изобретением радио начинается история антенной техники, которая проходит свои этапы вместе с развитием радиотехники. Однако элементы, излучавшие электромагнитную энергию и отбиравшие ее из пространства, были известны уже в опытах Генриха Герца (1886–1888гг.) до возникновения самой идеи об использовании электромагнитного поля для передачи сигналов. Впоследствии нашим знаменитым соотечественником А. С. Поповым была изобретена первая радиотехническая антенна.
Вслед за первыми шагами радиотехники, когда использовались искровые и дуговые генераторы, задачам радиосвязи были подчинены длинные и средние, а затем и короткие волны. За это время – к середине тридцатых годов – возникли и сформировались все основные типы проволочных антенн, или «радиосетей». Антенны длинных и средних волн по своим размерам почти всегда меньше длины волны. Освоение же коротких волн означало качественный скачок в антенной технике, так как открылась реальная возможность построения антенн, значительно превышающих длину волны и поэтому обладающих большой направленностью действия. Тенденция к дальнейшему укорочению рабочей волны ещё сильнее проявляется в последующий период, начиная с предвоенных лет. Как известно, благодаря появившимся недавно оптическим квантовым генераторам практике теперь доступны когерентные электромагнитные колебания светового диапазона, что открывает совершенно новые возможности в радиосвязи.
Действие зеркал
Рефлектором для антенны являлась такая же антенна, расположенная на расстоянии четверти волны и питаемая в опережающей квадратуре либо не присоединенная к источнику,- «пассивная» антенна. В последнем случае отражение оказывалось неполным: антенна с пассивным рефлектором обладает некоторым обратным излучением.

Рис. 1
Между тем, можно представить совершенный пассивный рефлектор в виде расположенной за антенной Р (рис. 1а) идеально проводящей плоскости. Если расстояние Н выбрано так, что при отражении в направлении нормали волна приходит к Р в фазе с прямым излучением, то амплитуда поля в этом направлении удваивается. В случае параллельного отражающей плоскости линейного вибратора (рис. 1б) ее действие эквивалентно находящемуся на расстоянии 2h противофазному вибратору и, следовательно, для удвоения излучения по нормали нужно брать

Применяя рассмотренный принцип на практике, не стремятся к максимально возможному увеличению плоского пассивного рефлектора.
Достаточно (рис, 1в), чтобы края этого антенного зеркала были видны из Р под углом 2α>0>, внутри которого сосредоточено все или почти все обратное (270° > а > 90°) излучение антенны Р. Тогда обратное излучение антенны с зеркалом будет пренебрежимо мало.
В дальнейшем при изучении антенных зеркал будем предполагать, что все размеры системы - в том числе и расстояние облучателя от зеркала - значительно превосходит длину волны, так что применимы правила геометрической оптики.

Рис. 2
Следя за ходом лучей, отраженных от плоского зеркала (рис.2а), легко заметить, что угловая ширина пучка лучей, падающего на зеркало, при отражении сохраняется. На (рис.2б) для сравнения показано кривое зеркало, поверхность которого специально выбрана с тем расчетом, чтобы пучок лучей, расходящийся из Р, превратить в параллельный - с угловой шириной 2а>0> = 0°. Такое зеркало создает синфазное поле в своем плоском раскрыве, след которого показан пунктиром на рис.б. В зависимости от характера облучающей антенны оно более или менее близко к полю в раскрыве идеальной поверхности антенны.
П
араболическое
зеркало. Покажем,
что изображенный на рис.3 профиль
зеркала, собирающего расходящийся
пучок лучей в параллельный, описывается
параболой. На рис. 3 сделаны построения,
необходимые для этого вывода. Начало
координат совмещено для удобства с
точечным облучателем зеркала Р.
Рис. 3
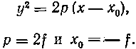
Профиль зеркала можно было бы найти из условия, что при отражении от его поверхности должен выполняться закон Снеллиуса: угол отражения равен углу падения. Это привело бы к дифференциальному уравнению кривой. Но проще задаться равенством всех оптических путей из начала координат до плоскости х = 0:

Рассматривая центральный луч, видим, что

Учитывая также равенства

имеем
откуда после простых преобразований получается уравнение параболы

где
Величина f называется фокусным расстоянием параболического зеркала.
Уравнение можно записать и в полярных координатах, сделав в выражении

замену
О
но
имеет вид

Рис. 4
На рис. 4 введены следующие
обозначения: диаметр параболического
зеркала D,
глубина d
и угол раскрыва 2α>0>;
зеркало рис.4а, для которого
называется длиннофокусным, а зеркало
рис.4б -короткофокусным, так как для него
Внося в (5.69) координаты края
зеркала
находим
следующее соотношение, связывающее его
линейные размеры с фокусным расстоянием:

Как видно из рис. 5

С учетом
это выражение можно переписать в виде

В антенной технике применяются зеркала в виде параболоида вращения (рис. 5a), а также в виде параболического цилиндра (рис.5б). В первом случае облучателем служит точечная, а во втором - линейная антенна. Соответственно нужно рассматривать как меридиональное сечение параболоида вращения либо как сечение параболического цилиндра плоскостью, к которой линейный облучатель нормален.
2. Влияние фазовых отклонений
Подобно тому как это было сделано при рассмотрении линз, выясним ряд вопросов, связанных с влиянием фазовых искажений в раскрыве антенны. Обычно в раскрыве зеркала допускается фазовое отклонение Δφ= π/2.

Рис.6
Н
а
рис.6а показано изменение хода центрального
и крайнего лучей при смещении облучателя
зеркала вдоль фокальной оси. Разность
их фаз в раскрыве есть

откуда допустимое смещение равно
Смещение облучателя – не единственная причина фазового отклонения в раскрыве, поэтому принято брать Δφ = π/8
Т
огда
В
ыбор
необходимой точности изготовления
зеркала поясняется рис.6б, где пунктиром
показан требуемый профиль зеркала, а
сплошной линией -фактически выполненный.
Составляя разность хода лучей и
соответствующую разность фаз


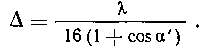
и если разрешается Δφ = π/8, то
Наименьшее отклонение допускается в центре зеркала зеркала (а' = 0):

Итак, по краям зеркало может быть сильнее деформировано без существенного ухудшения его свойств.
3. Направленность действия параболического зеркала
Поле излучения, создаваемое зеркалом, в принципе можно найти, зная наведенный облучателем на его поверхности электрический ток. Вместо тока на «освещенной» стороне можно рассматривать поле в плоскости раскрыва, которое заменяется электрическим и магнитным эквивалентными поверхностными токами либо распределением источников типа элемента Гюйгенса. Однако и для определения тока на поверхности зеркала, и для нахождения поля в его раскрыве нет иного практического приема, кроме предположения, что каждый элемент зеркала действует как элемент плоскости, что, естественно, дает лишь приближенный результат. При этом, в частности, не учитываются краевая дифракция и токи на «неосвещенной» стороне зеркала.
С
огласно
известному правилу плотность
поверхностного тока зеркала есть
где Нs — магнитное поле на металлической поверхности.

Рис. 7
Каждый ее элемент, как уже отмечалось, принимается за участок бесконечной плоскости, и соответственно этому Н>s> находится как удвоенная (при отражении) касательная к зеркалу компонента магнитного поля облучателя Н:

По известной характеристике направленности облучателя (обычно считают, что зеркало находится в его дальней зоне) вычисляют распределение тока на всем зеркале. Затем поле излучения зеркала находится как суперпозиция полей всех излучающих элементов. Это можно сделать как путем непосредственного интегрирования полей, создаваемых токами зеркала в дальней зоне, так и при помощи векторного потенциала.
Второй способ определения направленности действия зеркальной антенны, при котором исходят из поля в его раскрыве, называется «апертурным». Пусть рассматривается зеркало в виде параболоида вращения, и поле в раскрыве по известной характеристике облучателя уже найдено. Объяснению дальнейших действий служит рис.7, на котором дальнее поле описывается в сферических координатах (r, υ, α), а поле в раскрыве — в штрихованных сферических координатах (r, 90°-ύ, α'). Дальняя точка наблюдения М (r, υ, α) лежит в плоскости α = 0, являющейся также плоскостью чертежа. Начало координат находится в центре раскрыва, и соответственно этому в раскрыве υ' = 90°,
Пусть комплексная амплитуда электрического поля излучения в точке М (r, υ , 0), создаваемого элементом раскрыва в окрестности точки Р (r', 0, α'), есть

где q(r',
α') - взятая с требуемой амплитудой
функция плотности источников в раскрыве
. Как видно из рис. 7,

причем

Учитывая это и интегрируя dЕ>m> по раскрыву, имеем следующее выражение для электрического поля дальней зоны антенны в плоскости α = 0:

Для получения простого результата идеализируем задачу, взяв q>m>(r', α') = e>0> const, т. е., в сущности, приняв раскрыв зеркала за идеальную поверхностную антенну в форме круга. Тогда


пишем

а интегрирование по r' дает

Из этого выражения нетрудно получить нормированную характеристику направленности зеркала в меридиональной плоскости учитывая, что

В результате

Далее, нетрудно найти угловую ширину главного максимума излучения по нулям. Первый корень уравнения J>1> (x) = 0 равен В>11> = 3,832.
Полагая sin υ>0 >≈ υ>0,> имеем

Полученные формулы оказываются более достоверными для длиннофокусных зеркал, облучаемых обычно равномернее, чем короткофокусные.
Учет действительных характеристик направленности реальных облучателей требует уже весьма громоздких математических действий, которые не приводятся. Остановимся лишь на некоторых результатах, обычно используемых при расчете зеркальных антенн.
Подробнее других изучено параболическое зеркало, облучаемое элементарным электрическим вибратором, снабженным плоским контррефлектором (рис.8). Характеристика направленности в меридиональной плоскости при этом выражается формулой

Г
де

Кнд антенны в которой коэффициент использования раскрыва x равен:

График функции х(R/f) показывает, что найвыгоднейшим при данном типе облучателя является отношение радиуса зеркала к фокусному расстоянию:

при котором

Существование оптимума объясняется следующим образом: при удалении облучателя кнд антенны должен был бы возрастать в результате повышения равномерности облучения, однако при этом уменьшается угол, под которым видно зеркало (рис.8а), так что увеличивается доля энергии, уходящей за его край, что снижает кнд.

Рис.8
Короткофокусное зеркало (рис.8б) облучается почти без потерь, но неравномерно. Можно убедиться, что максимальный коэффициент использования соответствует состоянию, при котором амплитуда поля дипольного облучателя на краю зеркала составляет около 1/3 максимальной.
На рис.9а, б показано распределение тока в зеркале при дипольном облучателе. Ток, наводимый на короткофокусном зеркале (рис.9б), собирается у двух полюсов, расположение которых нетрудно определить из рис.9в: они лежат на пересечениях оси облучателя с поверхностью параболоида.

Рис. 9
В результате существования полюсов часть зеркала несет противофазный ток, уменьшающий излучение в осевом направлении. Как говорят, зеркало имеет при этом «вредные зоны». Однако и в тех случаях, когда вредных зон нет, нельзя игнорировать специфического искривления линий тока в результате неоднородности поля облучателя.
4. Применение параболических зеркал в антенной технике
Соединение параболического зеркала с облучателем называют зеркальной или параболической антенной. Последнее название более точно, так как находят применение и непараболические зеркала, порождающие иные зеркальные антенны. Разработано много различных типов точечных облучателей для зеркал в виде параболоида вращения; некоторые из них будут рассмотрены.
Облучатель в виде элементарного электрического вибратора с плоским отражателем — «дипольно-рефлекторный» — может быть реализован в конструкции, показанной на рис.10а. Диполь питается коаксиальной линией, проходящей по оси симметрии за зеркало, и присоединен к ней при помощи стакана, обеспечивающего симметричное питание. Одна половина вибратора соединена с внешним проводником линии, а другая — с построенным как его продолжение металлическим четвертьволновым цилиндром, к которому подходит внутренний проводник линии. Диаметр дискового контррефлектора обычно составляет около 0,8. Фазовый центр облучателя находится приблизительно в плоскости контррефлектора.
Конструктивно более прост облучатель в виде небольшого пирамидального рупора (рис. 10б). Размеры раскрыва рупора выбираются с тем расчетом, чтобы угловая ширина главного лепестка диаграммы направленности была приблизительно одной и той же в Е- и Н-плоскостях. Можно отметить, что волновод, питающий рупор, несколько искажает доле излучения зеркала, «заменяя» пространство. В то же время при облучении рупором мала кросс-поляризация, так как поле облучения более однородно.
В отличие от рассмотренного «волноводно-рупорного» облучателя «волноводно-вибраторный» (рис. 10в) и «волноводно-щелевой» (рис.10г) облучатели питаются волноводами, не затеняющими пространство.
Вибраторы, возбуждаемые излучением волновода (рис.10в), укрепляются на металлической пластинке, которая, будучи перпендикулярной вектору Е, не возмущает поля. При размерах системы, указанных на рисунке (при этом первый вибратор несколько короче, а второй - несколько длиннее полуволны), обеспечивается однонаправленное излучение на зеркало. Фазовый центр лежит между вибраторами.

Рис.10
На практике действие неравномерности облучения зеркала либо утечки энергии облучателя за его края бывает значительнее, чем это учтено в приближенном расчете, результаты которого приводились. К тому же нужно принимать во внимание фазовые отклонения, вызываемые неточностью изготовления зеркал. Поэтому обычно не удается достигнуть указанного выше максимального значения x=0,83. При допустимых фазовых отклонениях коэффициент использования может составлять
x=0,4÷0,6.
Облучатели для параболических цилиндров могут составляться из нескольких полуволновых вибраторов, располагаемых на фокальной линии. Это, в частности, могут быть щелевые вибраторы, питаемые волноводом.

Рис. 11
Параболическое зеркало может использоваться в качестве антенны в весьма широком диапазоне частот, который снизу ограничивается уменьшением относительных размеров раскрыва и усилением краевых эффектов, а сверху - трудностью соблюдения требуемых допусков конструкции. Поэтому рабочая полоса антенны определяется условиями согласования с линией передачи. При этом существенна «реакция зеркала» на облучатель. Предположим, что облучатель был согласован с линией без зеркала. Тогда в результате отражения от зеркала в питающей линии появится обратная волна, т. е. возникнет некоторое рассогласование. Если же облучатель согласован при наличии зеркала на фиксированной частоте, то реакция зеркала проявится при частотных отклонениях. В ряде случаев используются различные приемы частичного устранения реакции зеркала. Например, делается отверстие в его средней части (рис.11а) или помещается там металлический диск (рис. 11б). Диск при расстоянии от зеркала около четверти волны создает (как пассивная антенна) поле излучения, находящееся в противофазе с полем, подлежащим компенсации; нужная интенсивность излучения диска достигается подбором его размера. Впрочем, существуют приближенные формулы для диаметра диска d, и его расстояния от зеркала а (см. рис.11,), при которых компенсация реакции зеркала должна быть наилучшей:

Для устранения реакции зеркала облучатель может быть также вынесен из области раскрыва (рис. 11в).
Путем поперечного смещения облучателя из фокуса осуществляется качание луча параболической антенны. Это схематически показано на рис. 12. Вообще процесс сопровождается расширением основного максимума и увеличением бокового излучения, но при небольших углах качания указанные побочные эффекты невелики.

Рис. 12 Рис. 13
Отметим еще, что для облегчения веса и уменьшения действия ветра антенные зеркала часто делают решетчатыми, перфорированными и т. п. (рис.13). При этом необходимо, чтобы решетка содержала металлические элементы, параллельные вектору Е, а расстояние между ними было существенно меньше половины длины волны. Некоторое представление о действии промежутка между элементами решетки или также отверстия в листе дает аналогия с коротким участком запредельного волновода: излучение проходит через зеркало с отверстиями, но значительно ослабляется. Обычно для оценки действия решетчатых и подобных зеркал пользуются решениями задач дифракции на бесконечных плоских периодических системах.
5. Другие зеркальные антенны
Стремление улучшить параболические зеркальные антенны, а также расширить их функции или добиться некоторых специальных эффектов привело к созданию целого ряда зеркальных антенн разных типов. Рассмотрим некоторые из них.
К числу зеркальных следует отнести рупорно-параболическую антенну (рис.14а), которая образована частью поверхности параболоида вращения, соединенной с пирамидальным рупором, так что его фазовый центр находится в фокусе зеркала. В этой конструкции осуществлено полное 'вынесение облучателя из поля излучения зеркала и очень мало обратное излучение за края раскрыва. Рупорно-параболическая антенна имеет коэффициент использования раскрыва порядка х=0,65÷0,75. Это - совершенная и сравнительно простая 'конструктивно, но несколько громоздкая антенна: угол раскрыва рупора должен составлять 30÷45°, что при практически используемых размерах раскрыва приводит к значительным размерам всей антенны
Основными достоинствами рупорно-параболической антенны являются широкий рабочий диапазон частот, в пределах которого обеспечивается весьма высокая степень согласования с питающей линией, и чрезвычайно низкий уровень бокового и обратного излучений. Рабочий диапазон рупорно-параболических антенн ограничивается снизу только размерами поперечного сечения питающего волновода, а сверху - точностью выполнения отражающего параболического зеркала. В настоящее время известны, например, рупорно-параболические антенны, используемые в диапазоне 3000 ÷11 000 Мгц. Коэффициент отражения от входа антенны не превышает при этом 1,5-2%.
Низкий уровень задних лепестков рупорно-параболических антенн является весьма ценным качеством в условиях радиорелейной линии, где этим определяется хорошее «защитное действие» антенны. Например, при кнд порядка 40 дб уровень задних лепестков может быть около 70 дб. Следует подчеркнуть, что обычные параболические антенны при таком же кнд имеют задние лепестки порядка 50 дб. Благодаря низкому уровню боковых и задних лепестков переходное затухание между двумя соседними рупорно-параболическими антеннами очень велико.
На рис. 14б схематически изображена сегментно параболическая антенна в двух вариантах питания.

Рис. 14
Антенна образована поверхностью параболического цилиндра и двумя близко расположенными плоскостями. Облучателем может служить открытый конец волновода или вертикальный вибратор, соединенный с коаксиальной линией и снабженный контррефлектором. Если электрический вектор перпендикулярен плоскостям, между ними возбуждается волна ТЕМ, а при параллельном плоскостям электрическом поле — волна Н>01>.Чтобы высшие поля заведомо отсутствовали, расстояние между плоскостями в первом случае не должно превышать /2, а во втором — а. На рис.14в показано применение сегментно-параболической антенны в качестве облучателя зеркала в виде параболического цилиндра.
Зеркальные антенны применяются при построении так называемых перископических систем. У подножия мачты располагается параболическое зеркало, излучение которого направлено в зенит и отражается в горизонтальном направлении помещенным на мачте плоским зеркалом. Очевидно, что такая система может использоваться вместо того, чтобы помещать параболическое зеркало на вершину мачты, для чего требуется вести туда длинный волноводный тракт.
При построении перископических систем находит также применение принцип фокусировки. Поскольку - в аспекте геометрической оптики такое зеркало обладает свойством концентрировать излучение в одном из фокусов, когда в другом находится точечный источник, то на практике один из фокусов совмещают с фазовым центром облучателя эллипсоида, а в области другого располагают переизлучатель. Благодаря фокусировке повышается кпд передачи от излучателя к переизлучателю (уменьшается «переливание» энергии за края переизлучателя), что ведет к возрастанию коэффициента усиления перископической системы. Принцип фокусировки может быть реализован и иным путем: «сужение» потока энергии в области переизлучателя достигается и при параболическом излучателе при вынесении первичного облучателя из фокуса параболоида. Дальнейшее улучшение перископической системы может быть достигнуто, если вместо плоского переизлучающего зеркала взять параболическое.
В связи с проблемой качания луча в широком угле возрастает роль сферических зеркал. Сферическая поверхность в некоторой части близка к параболической, так что при облучении ее близко расположенным источником формируется относительно узкий отраженный луч. На рис.15а показано два расположения облучателя вблизи сферической поверхности; направления формируемого луча обозначены стрелками. Вращение облучателя относительно центра сферы вызывает поворот луча на тот же угол, причем в силу неизменности условий отражения (в пределах определенного угла качания) ширина луча практически не меняется. Однако коэффициент использования поверхности зеркала оказывается низким.

Рис.15
Он зависит от вида характеристики направленности облучателя (оптимальное расстояние которого от поверхности зеркала подбирается) и от угла качания.
Усовершенствование зеркальной сферической антенны достигается на пути превращения ее в двухзеркальную антенну. В качестве облучателя берется зеркало специальной формы, облучаемое обычным «точечным» источником, характеристика направленности которого теперь уже не играет определяющей роли, поскольку форма облучающего зеркала выбирается с тем расчетом, чтобы при отражении от сферы формировался плоский фронт волны. Двухзеркальная сферическая антенна схематически изображена на рис. 15б

Рис.16
Различные двухзеркальные антенные системы в настоящее время играют важную роль. Используя принцип оптического телескопа Кассегрэна, помещают перед параболическим зеркалом в качестве контррефлектора гиперболическое (рис. 16а). Фазовый центр облучателя совмещается с фокусом гиперболы F, и вследствие этого лучи, отраженные от гиперболического зеркала, можно рассматривать как идущие из расположенного за ним «виртуального фокуса» F', который, как это понятно, должен совпадать с фокусом параболического зеркала. Облучатель (рис.15б) обычно представляет собой рупор, вмонтированный в основное зеркало. Если облучатель значительно больше длины волны, то по правилам геометрической оптики можно построить его изображение в гиперболическом зеркале - «виртуальный облучатель», который показан на рис.15б пунктиром; изображение оказывается уменьшенным. Чтобы затенение пространства гиперболическим зеркалом было минимальным, размеры системы выбирают приблизительно так, что угол, под которым края облучателя видны из виртуального фокуса, близок к углу, под которым из центра параболического зеркала видны края гиперболического зеркала (в этом условии учитывается возможность затенения основного зеркала облучателем), рис.15в.
Двухзеркальная антенна типа Каесегрэна отличается рядом положительных качеств. Она удобна по конструкции и, в частности, дает возможность располагать подключаемую аппаратуру непосредственно за зеркалом, избегая длинной линии передачи. Облучение зеркала производится сравнительно равномерно с быстрым спаданием интенсивности у краев, поскольку при отражении луча от облучающего гиперболического зеркала интенсивность уменьшается с ростом угла по отношению к оси системы. Таким образом, рассеяние сосредоточено, главным образом, в переднем полупространстве; уровень задних лепестков диаграммы невелик. Как уже отмечалось, это обстоятельство может быть важным ч в ряде применений, например в радиорелейных линиях. Приемная антенна с малыми задними лепестками может быть «малошумящей» в результате малой чувствительности к излучению земли.
Выше рассмотрена лишь одна из распространенных двухзеркальных антенн типа Каесегрэна. Существуют различные модификации таких антенн. Отметим, например, что вместо гиперболического контррефлектора может применяться плоский.
Итог
Зеркальные антенны - антенны, в которых для фокусирования высокочастотной электромагнитной энергии используется явление зеркального отражения от криволинейных металлических поверхностей (зеркал). По размерам зеркало значительно превосходит длину волны. Основные модификации Зеркальные антенны определяются количеством отражателей: известны одно-, двух- и трёхзеркальные антенны. Конструктивно зеркальные антенны выполняют в виде металлических или металлизированных поверхностей различной формы. Для снижения массы зеркал и уменьшения давления ветра (парусности) на их поверхность зеркала нередко изготавливают не из сплошного материала, а из сетки проводов или параллельных пластин, а также из перфорированных металлических листов. Применяют зеркальные антенны следующих типов: параболические антенны, Кассегрена антенны, рупорно-параболические антенны, сферические антенны, перископические антенны, зеркальные апланатические антенны и другие.
Список использованной литературы
Бахрах Л. Д., и Вавилова И. В. Сферические двухзеркальные антенны. «Радиотехника и электроника», - 1961, - № 7.
Никольский В.В. Антенны,- М.: «Связь»,- 1966, с.367
Домбровский И.А. Антенны,- М.: Связьиздат, 1957