Информационные характеристики систем передачи сообщений
БЕЛОРУССКИЙ ГОСУДАРСТВЕННЫЙ УНИВЕРСИТЕТ ИНФОРМАТИКИ И РАДИОЭЛЕКТРОНИКИ
кафедра ЭТТ
РЕФЕРАТ на тему:
«Информационные характеристики систем передачи сообщений»
МИНСК, 2008
Информационные характеристики дискретных сообщений. Краткие теоретические сведения.
Системы передачи
дискретной информации – системы, в
которых реализации сообщений представляют
собой последовательности символов
алфавита источника. Если m
– объем алфавита источника дискретных
сообщений, то совокупность элементарных
сообщений (символов)
- алфавит источника. Априорная вероятность
появления символа
при независимость его от предыдущих –
.
В общем случае
априорная вероятность появления
будет условной:

,
где
-
символы, сформированные источником до
символа
.
Количество информации, которое несет
символ
,
определяется формулой:
.
Масштабный коэффициент
зависит от выбора единицы измерения
количества информации. Если единица
количества информации выбирается
двоичной, то
и соответственно
(бит)
Основные информационные свойства дискретных сообщений:
1.Свойство аддитивность:
,
где q
– количество символов
в сообщении,
а
принимает
одно из значений в пределах от 1 до m.
2. Среднее количество
информации, приходящейся на один символ
источника сообщений, при условном
характере априорной вероятности:
3. Среднее количество
информации, приходящейся на один символ
источника сообщений, при зависимости
вероятности появления очередного
символа
только от вероятности появления
предыдущего символа
:
4. Среднее количество информации, приходящейся на один символ, при независимости символов источника сообщений:
является определением энтропии источника дискретных сообщений.
5. Максимальная
энтропия источника имеет место при
независимости и равновероятности
символов сообщения (
):
6. Коэффициент избыточности:
,
где
и
– относительная скорость передачи
информации, характеризует возможность
оптимизации скорости передаваемой
информации.
Устранение избыточности позволяет сократить объем сообщения, а следовательно, повысить скорость передачи информации.
В канале с помехой передаваемая информация частично искажается.

Рис. 1
Как показано на
рис. 1, передаваемой сообщение
под влиянием помехи n(t)
на выходе канала связи преобразуется
в сообщение
.
Если дискретный стационарный канал без
памяти, то
и длительности символов
на выходе и входе канала одинаковы.
Тогда скорость передачи информации как
среднее количество информации, получаемое
в единицу времени, определяется
выражением:
,
где
– частота посылки символов, а
–
среднее количество взаимной информации
в множестве символов
относительно множества символов
:
>
>
В формуле
–
условная энтропия множества символов
X
при данном множестве Y,
определяющая среднее количество
потерянной информации из-за влияния
помех;
-
условная энтропия множества символов
Y
при данном множестве X,
определяющая шумовую энтропию;
- энтропия множества символов Y:
,
,
,
Где
-
вероятность ошибки воспроизведения
символа
.
Скорость передачи информации определяется формулой:
(бит/с)
Пропускная способность дискретного канала связи определяется следующим выражением:
,
где

В каналах без помех
.
Информационные характеристики непрерывных сообщений. Краткие теоретические сведения.
Источник непрерывных
сообщений характеризуется тем, что в
каждый момент времени
сообщение
может принимать бесконечное множество
значений с бесконечно малой вероятностью
каждого и них, и, если бы сообщение могло
передаваться абсолютно точно без
искажений, оно несло бы бесконечное
количество информации. Однако на практике
при передаче информации всегда имеют
место искажения и количество информации,
содержащееся в принятом непрерывном
сообщении, определяется разностью
значений энтропий сообщения до и после
получения информации. Эта разность
является конечной величиной.
Пусть
- реализация непрерывного сообщения на
входе канала связи,
– реализация выходного сообщения;
-
одномерная плотность вероятности
входных сообщений,
-
одномерная плотность вероятности
выходных сообщений,
-
условная плотность вероятности
при известном
(апостериорная вероятность);
-
условная плотность вероятности
при
известном
,
- совместная плотность вероятности.
Тогда будут иметь место следующие
выражения:
Энтропия источника непрерывных сообщений:
,
где
-
интервал квантования (точность измерения);
Дифференциальная энтропия источника непрерывных сообщений:
б,
Определяющая количество информации в битах, приходящейся в среднем на один отсчет.
Максимальная дифференциальная энтропия источника непрерывных сообщений:
Которая имеет место при нормальной плотности распределения случайного процесса:
,
-
математическое ожидание случайной
величины,
- дисперсия этой величины,
-
основание натурального логарифма.
Полная средняя взаимная информация:
>,
>
где
- дифференциальная энтропия сообщения
на выходе канала связи:
-
дифференциальная условная энтропия, характеризующая действие шумового процесса.
Для аддитивной смеси
при статистической независимости
нормальных процессов
и помехи
:
,
,
,
где
и
- соответственно дисперсии процессов
и
.
Пропускная способность канала связи для нормально распределенных сообщения и помехи:
,
(бит/с)
где
-
полоса пропускания канала.
Пропускная способность
канала связи при
:
,
(бит/с)
Где
-
спектральная плотность аддитивной
помехи.
Пропускная способность
канала связи при спектральной плотности
гауссовского сигнала
и спектральной плотности
аддитивной гауссовой помехи
определяется:
,
где
- полоса пропускания канала.
Скорость передачи информации для гауссовских сигнала и аддитивной помехи:
(бит/с),
где
-
эффективная полоса частот, занимаемая
информационным сигналом,
.
Многоканальные системы передачи
информации. Обобщенная
структурная
схема, классификация, особенности
применения.
Многоканальные
системы передачи - которые имеют несколько
каналов
передачи информации. Каждый
канал приемник - передатчик.

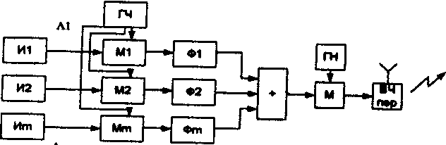
ГКИ - генератор канальных импульсов, УУ - устройство уплотнения, КФ – канальный модулятор.

ФУ - формирующее устройство, М – модулятор, ГН – генератор несущей, ДМК – демодулятор канальный.
В зависимости от видов уплотнения:
1) линейное уплотнение;
2) нелинейное уплотнение;
3) уплотнение логического типа.
4) мажоритарное
5) компенсационное
Соответственно линейное и нелинейное разделение.
При линейном уплотнении - канальные сигналы должны быть линейно независимы. Каждый из этих сигналов не может быть получен из сигналов
этой же системы - ортогональные.
Три вида ортогональности:
1) частотная ортогональность (ЧРК);
2) временная ортогональность (ВРК);
3) структурная ортогональность - кодовая (СУ),(СРК).
Многоканальная РТС ПИ с временным уплотнением канальных сигналов.
Для организации многоканальной передачи по одной линии связи необходимы операция уплотнения каналов на передающей части системы связи и операция разделения на приемной. Информация от нескольких источников передается в многоканальной радиолинии по общему ВЧ-тракту. В результате предварительного преобразования, кодирования выходных сигналов датчика формируются канальные сигналы. Канальные сигналы объединяются по определенному правилу, в результате чего образуется суммарный групповой сигнал (уплотнение).
Два метода объединения: линейный - простое суммирование канальных сигналов, мажоритарный - использование различных функций, применяется для передачи цифровой информации. При линейном уплотнении используются ортогональные сигналы.
На основании т. Котельникова можно передавать всю информацию, содержащуюся в сигнале с ограниченным спектром в виде выборок этого сигнала через равные интервалы времени. Для передачи выборок канал используется не полностью, и поэтому, используя временное разделение, можно передавать несколько сигналов.
В приемнике отсчеты, принадлежащие каждому сигналу выделяются с помощью соответствующих устройств. Частота выборок не меньше 2Фм, Фм– максимальная частота спектра передаваемого сообщения. Если выборку делать с более высокой частотой появятся защитные интервалы.

Величины С1, С2, С3, Сн преобразуются датчиками (Д), вх. сигналы датчиков поступают на первичные модуляторы (М – АИМ, ШИМ, ФИМ, КИМ).
Эти импульсы возникают в заданные моменты времени каждого канала. Работой коммутатора управляет ГТИ.
Такт. Импульсы также подаются на синхронизатор (С), синхроимпульсы должны по какому-либо параметру отличаться от канальных импульсов.
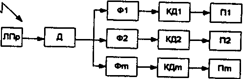
Коммутаторы в приемной и передающей частях должны работать синхронно. В синхронизаторе на приемной стороне синхронизатора. Импульсы отделяются и формируются. Напряжение, используемое для управления коммутатором. Он подключает канальные импульсы к соответстсвующим демодуляторам.
Многоканальная РТС ПИ с частотным уплотнением канальных сигналов.
В системах с ЧРК используются канальные сигналы, частотные спектры которых располагаются в не перекрывающихся частотных полосах. Формирование канальных сигналов при помощи АМ, ЧМ, ФМ, чтобы средние частоты спектров канальных сигналов соответствовали средним частотам отведенных полос каждого канала. Разделение с помощью частотных фильтров.

ГН – генератор несущей, ЛПР – производится выделение группового сигнала с помощью демодулятора.

Ф – фильтра, П – получатель.
Многоканальная РТС ПИ с уплотнением канальных сигналов по форме (кодовое линейное уплотнение).
I——|

Достоинства:
1) высокая потенциальная помехоустойчивость;
2) высокая информационная защищенность;
3) энергетическая скрытность системы;
4) возможно специальное помехоустойчивое кодирование группового сигнала;
5) универсальность. Недостатки:
1) повышенная сложность системы;
2) многоуровневый сигнал сложнее обрабатывается цифровым образом;
3) требуется время для выхода системы в синхронный режим;
4) количество уплотняемых каналов не превышает сотни.
ЛИТЕРАТУРА
Охрименко А.Е. Основы извлечения, обработки и передачи информации. (В 6 частях). Минск, БГУИР, 2004.
Девятков Н.Д., Голант М.Б., Реброва Т.Б.. Радиоэлектроника и медицина. –Мн. – Радиоэлектроника, 2002.
Медицинская техника, М., Медицина 1996-2000 г.
Сиверс А.П. Проектирование радиоприемных устройств, М., Радио и связь, 2006.
Чердынцев В.В. Радиотехнические системы. – Мн.: Высшая школа, 2002.
Радиотехника и электроника. Межведоств. темат. научн. сборник. Вып. 22, Минск, БГУИР, 2004.