Проектирование и синтез дискретных устройств
МПС РФ
ДВГУПС
Кафедра: " Автоматика и телемеханика".
Курсовой проект
На тему: "Проектирование и синтез дискретных устройств".
К.П.2107.021.226.
Выполнил: Садохин Н. В.
Проверил: Годяев А. И.
Дата _________________
Хабаровск
2008 г.
Содержание:
1. Синтез дискретного устройства.
1.1 Структурная схема.
1.2 Расчет дешифратора и индикаторов.
1.3 Синтез счетной схемы.
1.4 Делитель частоты.
2. Проектирование конечного автомата.
2.1 Описание автомата.
2.2 Анализ сигналов и минимизация автомата.
3. Заключение.
4. Приложение.
5. Список литературы.
С
труктурная
схема.
ГТИ - генератор тактовых импульсов.
F/n - делитель частоты.
Проектирование дешифратора.
В синтезируемом ДУ дешифратор расшифровывает значение выдаваемой в каждом состоянии счетной схемы кодовой комбинации, преобразуя ее в код, отображаемый на индикаторе в виде шестнадцатиричного числа.
|
№ |
Кодовая комбинация |
DEC |
Высвеч. Символ. |
Значения функции. |
|||||||||||||||||
|
Q4 |
Q3 |
Q2 |
Q1 |
А |
В |
А |
В |
||||||||||||||
|
x1 |
x2 |
x3 |
x4 |
x5 |
x6 |
x7 |
x1 |
x2 |
x3 |
x4 |
x5 |
x6 |
x7 |
||||||||
|
1 |
0 |
0 |
0 |
1 |
1 |
0 |
1 |
1 |
1 |
1 |
1 |
1 |
1 |
0 |
1 |
1 |
0 |
0 |
0 |
0 |
0 |
|
2 |
0 |
0 |
1 |
1 |
3 |
0 |
3 |
1 |
1 |
1 |
1 |
1 |
1 |
0 |
1 |
1 |
1 |
0 |
0 |
1 |
1 |
|
3 |
0 |
1 |
0 |
1 |
5 |
0 |
5 |
1 |
1 |
1 |
1 |
1 |
1 |
0 |
0 |
1 |
1 |
0 |
1 |
1 |
1 |
|
4 |
0 |
1 |
1 |
1 |
7 |
0 |
7 |
1 |
1 |
1 |
1 |
1 |
1 |
0 |
1 |
1 |
0 |
0 |
0 |
1 |
0 |
|
5 |
1 |
0 |
0 |
1 |
9 |
0 |
9 |
1 |
1 |
1 |
1 |
1 |
1 |
0 |
1 |
1 |
1 |
0 |
1 |
1 |
1 |
|
6 |
1 |
0 |
1 |
1 |
11 |
0 |
B |
1 |
1 |
1 |
1 |
1 |
1 |
0 |
0 |
1 |
1 |
1 |
1 |
0 |
1 |
|
7 |
1 |
1 |
0 |
1 |
13 |
0 |
D |
1 |
1 |
1 |
1 |
1 |
1 |
0 |
1 |
1 |
1 |
1 |
0 |
0 |
1 |
|
8 |
1 |
1 |
1 |
1 |
15 |
0 |
F |
1 |
1 |
1 |
1 |
1 |
1 |
0 |
0 |
0 |
0 |
1 |
1 |
1 |
1 |
Так как индикатор А постоянно показывает 0, то синтезируем дешифратор только на индикатор В.
Для синтеза дешифратора используем карты Карно.
|
00 |
01 |
11 |
10 |
|
|
00 |
x |
x |
x |
x |
|
01 |
1 |
0 |
1 |
1 |
|
11 |
1 |
1 |
0 |
0 |
|
10 |
x |
x |
x |
x |

|
00 |
01 |
11 |
10 |
|
|
00 |
x |
x |
x |
x |
|
01 |
1 |
1 |
1 |
1 |
|
11 |
1 |
1 |
0 |
1 |
|
10 |
x |
x |
x |
x |
|
00 |
01 |
11 |
10 |
|
|
00 |
x |
x |
x |
x |
|
01 |
0 |
1 |
1 |
1 |
|
11 |
1 |
0 |
0 |
1 |
|
10 |
x |
x |
x |
x |
|
00 |
01 |
11 |
10 |
|
|
00 |
x |
x |
x |
x |
|
01 |
0 |
0 |
1 |
0 |
|
11 |
0 |
0 |
1 |
1 |
|
10 |
x |
x |
x |
x |
|
00 |
01 |
11 |
10 |
|
|
00 |
x |
x |
x |
x |
|
01 |
0 |
1 |
0 |
1 |
|
11 |
0 |
0 |
1 |
1 |
|
10 |
x |
x |
x |
x |

|
00 |
01 |
11 |
10 |
|
|
00 |
x |
x |
x |
x |
|
01 |
0 |
1 |
0 |
1 |
|
11 |
1 |
1 |
1 |
0 |
|
10 |
x |
x |
x |
x |

|
00 |
01 |
11 |
10 |
|
|
00 |
x |
x |
x |
x |
|
01 |
0 |
1 |
1 |
1 |
|
11 |
1 |
0 |
1 |
1 |
|
10 |
x |
x |
x |
x |
Индикатор А
Индикатор В
3.Счетная схема
Схема предназначена для хранения числа и изменения его под воздействием входных сигналов на единицу или заданную константу.
|
№ |
t |
t+1 |
T3 |
T2 |
T1 |
||||||
|
Q4 |
Q3 |
Q2 |
Q4 |
Q3 |
Q2 |
J3 |
K3 |
J2 |
K2 |
D1 |
|
|
1 |
0 |
0 |
0 |
0 |
0 |
1 |
0 |
x |
0 |
x |
1 |
|
2 |
0 |
0 |
1 |
0 |
1 |
0 |
0 |
x |
1 |
x |
0 |
|
3 |
0 |
1 |
0 |
0 |
1 |
1 |
0 |
x |
x |
0 |
1 |
|
4 |
0 |
1 |
1 |
1 |
0 |
0 |
1 |
x |
x |
1 |
0 |
|
5 |
1 |
0 |
0 |
1 |
0 |
1 |
x |
0 |
0 |
x |
1 |
|
6 |
1 |
0 |
1 |
1 |
1 |
0 |
x |
0 |
1 |
x |
0 |
|
7 |
1 |
1 |
0 |
1 |
1 |
1 |
x |
0 |
x |
0 |
1 |
|
8 |
1 |
1 |
1 |
0 |
0 |
0 |
x |
1 |
x |
1 |
0 |
|
00 |
01 |
11 |
10 |
|
|
0 |
0 |
0 |
x |
x |
|
1 |
0 |
1 |
x |
x |
|
00 |
01 |
11 |
10 |
|
|
0 |
x |
x |
0 |
0 |
|
1 |
x |
x |
1 |
0 |
|
00 |
01 |
11 |
10 |
|
|
0 |
0 |
x |
x |
0 |
|
1 |
1 |
x |
x |
1 |
|
00 |
01 |
11 |
10 |
|
|
0 |
x |
0 |
0 |
x |
|
1 |
x |
1 |
1 |
x |
|
00 |
01 |
11 |
10 |
|
|
0 |
1 |
1 |
1 |
1 |
|
1 |
0 |
0 |
0 |
0 |
4. Делитель частоты
В связи с тем, что частота тактового генератора равна 210Гц, нам необходимо понизить ее до приемлемого для снятия показаний уровня.
|
Элементная база. |
|
Часть 2
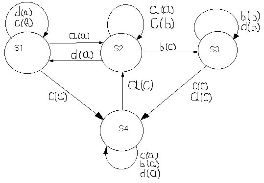
Синтез конечного автомата
Задание: а- 11 Базис - " Или-не"
в- 10 Триггеры - RS
с- 01 Серия – любая

d- 00 Схема - 1
|
Сост-я |
Входные сигналы |
Выходные сигналы |
||||||
|
a |
b |
c |
d |
a |
b |
с |
d |
|
|
S>1> |
S>2> |
S>1> |
S>4> |
S>1> |
a>y> |
b>y> |
a>y> |
a>y> |
|
S>2> |
S>2> |
S>2> |
S>2> |
S>1> |
a>y> |
c>y> |
b>y> |
a>y> |
|
S>3> |
S>4> |
S>3> |
S>4> |
S>3> |
c>y> |
b>y> |
c>y> |
b>y> |
|
S>4> |
S>2> |
S>4> |
S>4> |
S>4> |
c>y> |
a>y> |
a>y> |
a>y> |
|
S>1> |
S>2> |
S>3> |
S>4> |
|
|
S>1> |
b,d |
a |
- |
c |
|
S>2> |
d |
a,b,c |
- |
- |
|
S>3> |
- |
- |
b,d |
a,c |
|
S>4> |
- |
a |
- |
b,c,d |
Минимизация по входным сигналам:
а S>1 >|-- S>2 >; b S>1 >|-- S>1 >; c S>1 >|-- S>4 >; d S>1 >|-- S>1 >;
a S>2 >|-- S>2 >; b S>2 >|-- S>2 >; c S>2 >|-- S>2 >; d S>2 >|-- S>1 >;
a S>3 >|-- S>4> ;b S>3> |-- S>3> ; c S>3> |-- S>4>; d S>3> |-- S>3> ;
a S>4
>|-- S>2>
;b S>4>
|-- S>4>
;c S>4>
|-- S>4>
;d S>4>
|-- S>4>
.

;

;
;

.
.
Минимизация по выходным сигналам:
a S>1 >|--a>y >; b S>1 >|--b>y>; c S>1 >|--a>y>; d S>1 >|--a>y>;
a S>2 >|--a>y>; b S>2 >|--c>y>; c S>2 >|--b>y>; d S>2 >|--a>y>;
a S>3 >|--c>y>; b S>3 >|--b>y>; c S>3 >|--c>y>; d S>3 >|--b>y>;
a S>4
>|--c>y>;
b S>4 >|--a>y>;
c S>4 >|--a>y>;
d S>4 >|--a>y>.


|
Элементная база. |
|
Заключение
Целью данного курсового являлось научиться проектировать цифровые автоматы и их отдельные узлы. При расчете этого курсового я научился делать необходимые расчеты для синтеза конечных автоматов и счетных схем.
Список литературы
Годяев А. И. "Проектирование дискретных устройств".
Годяев А. И. "Методические указания по автоматике и телемеханике".
Лекции Крамаренко Е. Р.