Радиоволновые и радиолучевые средства обнаружения
Реферат
На тему
Радиоволновые и радиолучевые средства обнаружения
1. Назначение, виды и основные характеристики радиоволновых и радиолучевых средств обнаружения
Радиоволновые и радиолучевые средства обнаружения получили широкое распространение при защите периметров объектов и организации скрытых или маскируемых рубежей охраны в помещениях.
Различие
между радиоволновыми и радиолучевыми
средствами обнаружения состоит в способе
формирования чувствительной зоны СО:
РВСО использует ближнюю зону распространения
радиоволн; РЛСО - дальнюю зону, т.е. более
100
.
Чувствительная зона СО - это участок или объект, появление в котором объекта обнаружения вызывает возникновение полезного сигнала с уровнем, превышающим уровень шума или помехи.
Внутри зоны чувствительности располагается зона отчуждения
- это зона, появление в которой людей, техники или других объектов обнаружения может привести к превышению полезным сигналом порогового значения и выдаче СО сигнала "Тревога".
Внутри зоны отчуждения располагается зона обнаружения СО
- зона, где СО обеспечивает заданную вероятность обнаружения.
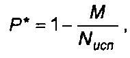
Вероятность обнаружения - это вероятность того, что СО выдаст обязательно сигнал "Тревога" при пересечении или вторжении в зону обнаружения нарушителя, в условиях и способами, оговоренными в нормативной документации. Как правило, зарубежные фирмы указывают в качестве вероятности обнаружения СО несмещенную оценку вероятности обнаружения:

где N,«;>n> - число испытаний по преодолению зоны обнаружения СО; М - число пропусков нарушителя.
Например, если при пересечении ЗО в количестве 100 раз не было пропусков нарушителя, т.е. СО выдало 100 раз сигнал "Тревога", то про это СО можно сказать, что его вероятность обнаружения составляет 0,99.
В отечественной практике под вероятностью обнаружения, как правило, понимается нижняя граница доверительного интервала, в котором с доверительной вероятностью лежит истинное значение вероятности обнаружения.
То есть под вероятностью обнаружения понимается величина

где Р* - среднее частотное значение вероятности обнаружения, определяемое выражением

-
коэффициент Стьюдента для данного числа
испытаний
и выбранной доверительной вероятности.
"Полезным" называют сигнал, возникающий на выходе чувствительного элемента при преодолении или вторжении в зону обнаружения нарушителя.
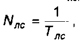
Другим важным параметром СО является частота ложных срабатываний Nne. определяемая выражением:

где Т>лс> - время наработки на ложное срабатывание.
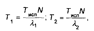
Доверительный интервал для оценки средней наработки на ложное срабатывание задается граничными значениями и Т>2>, определяемыми из соотношений:

где
Т>исп>
- продолжительность испытаний; N - число
испытываемых образцов;
-
нижняя оценка параметра распределения
Пуассона;
-
верхняя оценка параметра распределения
Пуассона.
Помеховым сигналом называется зависимость электрической величины от времени на выходе ЧЭ СО при воздействии на него возмущающих факторов любой природы, не связанных с вторжением или преодолением объектами обнаружения зоны обнаружения.
Возмущающим воздействием называется воздействие на ЧЭ СО, являющееся причиной возникновения помехи или искажающее форму полезного сигнала.
Примером возмущающего воздействия могут служить: порыв ветра, снег, дождь; кошки, собаки, перемещающиеся в чувствительной зоне; транспорт, перемещающийся вблизи 43, и др.
Флюктуационной помехой называют помеху, являющуюся непрерывным случайным процессом, описываемым своими многомерными функциями распределения.
Импульсной помехой называют помеху, представляющую собой случайную последовательность импульсов, описываемую моментами появления импульсов и их видом.
Причиной пропуска полезного сигнала является маскирующее действие помехи, полностью или частично компенсирующей полезный сигнал, либо отсутствие в полезном сигнале характерных признаков, позволяющих отличить его от помехового сигнала, что приводит к несрабатыванию СО.
При определении вероятности обнаружения СО, выпускаемых в больших объемах, могут применяться методики, использующие кроме доверительного интервала и доверительной вероятности риск заказчика и риск изготовителя. Например, по отечественной методике аналогичное СО будет иметь вероятность обнаружения не более 0,9.
В зависимости от принципа действия различают активные или пассивные РВСО и РЛСО.
Пассивные РВСО и РЛСО используют собственное излучение объекта обнаружения или вызываемое им изменение электромагнитных полей внешних источников.
Активные РВСО и РЛСО используют собственный источник ЭМП для формирования чувствительной зоны.
Различают одно- и двухпозиционные РВСО и РЛСО:
- однопозиционные имеют общий блок приемопередатчика;
- двухпозиционные имеют разнесенные блоки передатчика и приемника.
Пассивные РЛСО применяются для обнаружения нарушителей, имеющих собственное электромагнитное излучение.
Форма чувствительной зоны для пассивных РВСО определяется формой диаграммы направленности антенны. В первом случае она, как правило, круговая, а используемый диапазон лежит в пределах 10 Гц...10 ГГц. Во втором случае, как правило, чувствительная зона имеет лучевую форму и используются метровый и дециметровый диапазоны.
Активные однопозиционные РЛСО включают в себя:
- однопозиционную РЛС;
- нелинейный радиолокатор;
- однопозиционное микроволновое СО.
Однопозиционные РЛС метрового, дециметрового, сантиметрового и миллиметрового диапазонов применяются для контроля территории, прилегающей к особо важным объектам, охраны береговой полосы, прибрежной зоны и ближней разведки в условиях боевых действий. Различают стационарные, мобильные и носимые РЛСО.
Нелинейный радиолокатор использует широкополосный сигнал специальной формы и предназначен для обнаружения человека за неподвижными физическими преградами и укрытиями.
Однопозиционные микроволновые СО используют для временного блокирования разрывов в заграждении, охраны объемов неотапливаемых помещений, входов в охраняемые здания, для перекрытия "мертвых зон" радиолучевых рубежей охраны периметров, организации скрытых рубежей блокирования в охраняемых помещениях.
Примечание: "Мертвой зоной" называется пространство между СО и 30 или разрывы в 30, где вероятность обнаружения меньше заданной.
Данные СО работают в дециметровом, сантиметровом и миллиметровом диапазонах. Для обнаружения используется изменение расположения стоячих волн в охраняемом объеме при появлении объекта обнаружения, либо проявление эффекта Доплера при движении объекта обнаружения.
Двухпозиционные РЛСО работают в дециметровом, сантиметровом и миллиметровом диапазонах и используются для блокирования периметров объектов, мест временного расположения войсковых подразделений, грузов и т.п. Полезный сигнал формируется за счет изменения объектом обнаружения сигнала связи на входе приемника.
Двухпозиционные РВСО работают в декаметровом, метровом и дециметровом диапазонах длин волн и используются для блокирования периметров объектов и организации скрытых рубежей охраны. В качестве антенных систем здесь применяются радиоизлу-чающие кабели, другое название - линия вытекающей волны, а также кусочно-ломаные двух- и однопроводные линии.
В данную классификацию не вошли некоторые СО, являющиеся комбинацией нескольких СО, и еще только разрабатываемые РЛСО с синтезированной апертурой.
2. Передатчик, антенная система и приемник как блок формирования полезного сигнала
Пусть
имеется РЛСО с антенной системой,
состоящей из двух одинаковых антенн с
размерами D>B>
по вертикали и D>r>>
>по
горизонтали, установленных на высоте
Н>А>
от поверхности земли параллельно забору
на расстоянии А от него и на расстоянии
L
друг от друга. Диаграмма направленности
антенны определяется углами
в
вертикальной и горизонтальной плоскостях
соответственно.
При этом возможны следующие случаи: - антенную систему можно рассматривать как состоящую из точечных антенн, если выполняются условия:

- антенную систему необходимо рассматривать как имеющую конечный размер, если приведенные выше условия не выполняются.

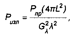
Мощность, излучаемая передающей антенной Р>И>зл. связана с мощностью, наводимой в приемной антенне Р>П>р, при расположении антенн в свободном пространстве выражением:

где
-
длина волны РЛСО;
-
коэффициент усиления антенны.
Влияние подстилающей поверхности на работу РЛСО показано на рис. 3.2. При увеличении расстояния L между антеннами принимаемый сигнал имеет колебательный характер и затухает. При увеличении высоты подвеса антенн Н>А> принимаемый сигнал имеет колебательный характер и возрастает, стремясь к значению принимаемого сигнала для свободного пространства. Аналогичная картина наблюдается и при увеличении расстояния А до протяженного предмета - забора, стены.

Известно, что при распространении радиоволн от передающей к приемной антенне образуется сложная интерференционная картина. Для большинства РЛСО и большой протяженности зоны обнаружения справедливо условие дифракции Френеля.
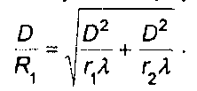
Известно также, что область ВЧ-рассеяния по отношению характерного размера объекта D к радиусу первой зоны Френеля Ri подразделяется следующим образом:

Процесс сигналообразования в РЛСО происходит следующим образом. Человек - нарушитель при движении поперек участка последовательно перекрывает зоны Френеля.
При этом человек с высокой степенью точности моделируется при перемещении в "рост" и "ползком" прямоугольником с габаритами человека, при перемещении "согнувшись" - двумя прямоугольниками. Радиус m-ой зоны Френеля


а наибольший радиус зоны Френеля, определяющий ширину зоны обнаружения, составляет

Соответственно,
отношение
выражается
через расстояние от точечного источника
электромагнитного поля до объекта п,
расстояние от объекта до точки наблюдения
г>2>
и длину волны
следующей
формулой:

Основные параметры человека, влияющие на параметры полезного сигнала, показаны на рис. 3.4.
Чтобы уменьшить мертвую зону при обнаружении ползущего человека, необходимо устанавливать большую антенну.
В соответствии с размерами животных, обитающих на данном объекте, и их возможными путями продвижения определяется уровень помеховых импульсных сигналов.
Другой тип помехи - от подстилающей поверхности. Общие требования к РЛСО по подстилающей - поверхности следующие:
- неравномерность поверхности не более 20 см;
- трава и снежный покров - свыше 30 см.
Полоса частот полезного сигнала определяется минимальной и максимальной шириной зоны чувствительности, а также минимальной и максимальной скоростью передвижения нарушителя. Соответственно для конкретного средства обнаружения при уменьшении длины участка блокирования возможно обнаружение более медленно движущегося нарушителя.

Для обеспечения совместной работы нескольких средств применяется амплитудная модуляция зондирующего сигнала разными частотами. Временное разделение, требующее взаимной синхронизации, применяется редко.
Для уменьшения влияния изменений состояния подстилающей поверхности на уровень полезного сигнала в РЛСО применяются АРУ или логарифмический усилитель.
В современных РЛСО, использующих цифровые методы обработки, как правило, имеется возможность настройки на длину блокируемого участка и максимальную и минимальную скорость движения нарушителя.
3. О двух подходах к построению РВСО
РВСО строятся на основе одно- или двухпроводных линий и радиоизлучающих кабелей. Одно- и двухпроводные линии применяются в контактных средствах при блокировании верха заграждения. Характеристики проводной линии очень сильно зависят от состояния подстилающей поверхности.
Для всех РВСО характерна неравномерность чувствительности вдоль рубежа охраны. Для ее выравнивания в двухпроводных линиях применяется изменение начальных условий формирования стоячих волн в линиях.
Для компенсации неравномерности чувствительной зоны РВСО были предложены и применяются различные методы, как-то:
- зондирование ЛВВ радио- и видеоимпульсами;
- зондирование ЛВВ сигналом с линейно-частотной модуляцией;
- зондирование ЛВВ многочастотным сигналом, в том числе с переключением частот;
- переключение нагрузки кабелей;
- переключение передающего и приемного кабелей;
- использование двух приемных кабелей, разнесенных на местности.
Существующие РВСО ЛВВ и применяющиеся в них методы выравнивания чувствительности можно разделить на две группы:
1. РВСО ЛВВ с односторонним включением передатчика и приемника. Для выравнивания чувствительности применяются импульсные зондирующие сигналы, при этом неравномерность чувствительности уменьшается за счет разбиения 43 на элементарные участки малой длины.
2. РВСО ЛВВ со встречным включением передатчика и приемника. Неравномерность чувствительности уменьшается за счет многоканальной обработки сигналов. Для формирования двух и более реализаций ФЧ используются различные способы: два разнесенных приемных кабеля, переключение нагрузки кабелей, переключение передающего и приемного кабелей, многочастотные зондирующие сигналы и т.д.
Рассмотрим первую группу способов. Использование радиоимпульсов с частотой заполнения около 60 МГц позволяет получить элементарные участки длиной около 30 м, что не обеспечивает компенсацию низкочастотной и высокочастотной гармоник для всех типов фунтов. Данное средство применяется для блокирования рубежей в пустынных и полупустынных районах США, Канады и Израиля, где период низкочастотной пространственной гармоники более или менее соизмерим с величиной элементарного участка.


Можно доказать, что при использовании большого числа зондирующих частот в диапазоне 30...90 МГц возможна компенсация неравномерности чувствительности до уровня 2...3 дБ. В литературе описано большое число эмпирических алгоритмов обнаружения: с логической обработкой каналов по схеме М из N, с перемножением текущих значений сигналов, с суммированием квадратов текущих значений сигнала и т.д. Показано, что многочастотные методы позволяют не только получить высокую равномерность чувствительности по длине рубежа, но и при необходимости разработать алгоритм управления формой 43 РВСО ЛВВ, например, получать 43 шириной от 1 до 8 м.
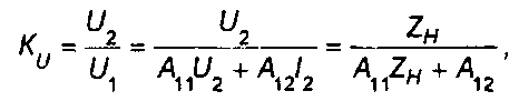
Зону обнаружения, показанную на рис. 3.6 можно представить в виде четырехполюсника, эквивалентная электрическая схема которого приведена на рис. 3.7.

Рассмотрим коэффициент передачи четырехполюсника по напряжению. Для внутренних токов и напряжений при определении Ки лучше воспользоваться параметрами четырехполюсника типа А, для которого

где
отношение
напряжений при разомкнутых выходных
контактах четырехполюсника;

величина, обратная передаточной проводимости при закороченных выходных зажимах;

При
согласованной нагрузке
.
Тогда, подставив значения Z>H>
и Z>2>
в, получим:

Для
рассматриваемых случаев, когда
,
слагаемым Z>w>
в знаменателе можно пренебречь. Тогда
получаем:

Для излучающего кабеля Z>w> = const, поэтому все изменения коэффициента передачи будут зависеть от изменения сопротивления связи Z.
Рассмотрим изменения передаточной проводимости среды в поперечном разрезе схемы зоны взаимодействия ЛВВ, показанном на рис. 3.8.
Так
как приемная и передающая линии
располагаются по разные стороны границы
раздела земля/воздух, то сопротивление
связи можно разбить на две составляющие:
Z
- сопротивление связи воздушного
пространства и Z>y>
-
сопротивление связи грунта. Тогда
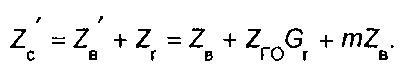
Сопротивление связи грунта можно
представить как

где Z>ro> = const G>f> - коэффициент, зависящий от типа грунта и его влажности.

Из выражений и имеем

При попадании нарушителя в зону взаимодействия ЛВВ возникает неоднородность, которая меняет сопротивление связи Z>c>. Причем, если неоднородность появляется в воздушном пространстве, то меняется сопротивление Z>B>, а сопротивление Z>r> при этом остается неизменным:

где m - коэффициент модуляции сопротивления связи воздушного пространства. Отсюда

Для излучающих кабелей коэффициент модуляции входного сигнала М будет пропорционален коэффициенту модуляции сопротивления связи:

Как показал анализ других вариантов взаимного расположения кабелей, рассмотренный выше вариант обладает рядом преимуществ:
- меньшая зависимость от состояния грунта;
- большее отношение сигнал/помеха.
Анализ поля излучающего кабеля показывает наличие двух волн, распространявшихся с разными фазовыми скоростями внутри кабеля и по внешней поверхности кабеля. Более точное решение показало, что кроме указанных двух типов волн должны присутствовать и другие пространственные компоненты.
Если провести подробный анализ продольной и поперечной составляющих напряженности электрического поля вдоль кабеля, то краткое резюме из него сведется к следующему.
Составляющие электромагнитного поля излучающего кабеля во внешней среде содержат несколько компонентов, отличающихся коэффициентом распространения или фазовой скоростью.
Основной
пространственный компонент поля
обусловлен внутренней Т-волной, вытекающей
через щели. Этот компонент, выражаемый
множителем
,
не зависит от электрических свойств
среды. Второй компонент, выраженный в
виде

является аналитическим представлением поверхностной волны. Третий компонент

является аналитическим представлением пространственной волны. Ее фазовая скорость определяется электрическими параметрами диэлектрической оболочки кабеля. Четвертый компонент

является пространственной волной и ее фазовая скорость полностью определяется электрическими параметрами внешней среды. Величины в приведенных выражениях fj обозначают:
m - коэффициент модуляции сопротивления связи воздушного пространства;
d - шаг перфорации внешнего электрода кабеля; k - const;
Z - координата пересечения рубежа охраны; hp, Pl р>2> - коэффициенты фазы.
Суммарное продольное электрическое поле кабеля представляет собой сумму биений основного компонента со вторым, третьим и четвертым компонентами. Результирующее поле должно иметь довольно сложный характер. Первым недостатком этой модели излучающей структуры является то, что в результирующем выражении для продольной составляющей напряженности электрического поля отсутствует дискретный спектр пространственных гармоник, обусловленный дискретным распределением излучающих щелей.
Кроме того, из полученного выражения можно сделать неверный вывод о том, что продольное распределение основной гармоники не зависит от координаты Z. Вместе с тем, эта модель точнее других отражает распределение поля вдоль излучающего кабеля и позволяет объяснить появление второй пространственной гармоники в функции неравномерности чувствительности СО. Однако получить значения амплитуд и коэффициентов затухания пространственных гармоник теоретическим путем до настоящего времени не удалось. Также неизвестна зависимость убывания амплитуд гармоник в радиальном направлении, что не позволяет сделать вывод о значении коэффициента передачи системы передающий - приемный кабели при ее расположении в различных средах.
Приведенные в литературе результаты экспериментальных исследований показывают, что неравномерность распределения поля вдоль излучающего кабеля может достигать 50 дБ.
При использовании режимов короткозамкнутой нагрузки или холостого хода, а также неполном согласовании нагрузки с волновым сопротивлением кабеля следует учитывать и встречный поток энергии, создаваемой отраженной волной. Накладываясь друг на друга, прямая и отраженные волны будут также создавать стоячую волну и результирующая картина поля вдоль кабеля еще более усложнится.
Если
учитывать только отражение от
несогласованной нагрузки и пренебрегать
затуханием волны вдоль кабеля, то
результирующая напряженность поля
вдоль кабеля может быть представлена
в виде суммы прямой
и
отраженной
волн.
При этом прямая и отраженная волны определяются выражениями:

где
А, В, С, D
- амплитуды пространственных волн;
-
коэффициенты распространения волн; р
- коэффициент отражения.
Принимая во внимание четность косинусоидальной функции, продольное распределение результирующего поля кабеля можно выразить в виде:

На основании изложенного можно утверждать:
- результирующая картина поля вдоль излучающего кабеля является суперпозицией по меньшей мере четырех типов волн;
- неравномерность напряженности поля вдоль кабеля составляет в одночастотном режиме до 40 дБ;
- подстилающая поверхность оказывает определённое влияние на распределение поля и коэффициент связи между кабелями.
Вместе с тем следует отметить, что практический интерес представляет комплексный коэффициент передачи системы передающий - приемный кабели и его изменения при проходе человека. Теоретическим путем получить такую зависимость до настоящего времени не удалось. Поэтому построена модель функции чувствительности РВСО ЛВВ. Под ФЧ подразумевается зависимость максимальной амплитуды полезного сигнала при проходе человека через чувствительную зону РВСО ЛВВ от координаты места пересечения рубежа и частоты зондирующего сигнала, т.е. ФЧ = F, где Z - координата пересечения рубежа, f - частота зондирующего сигнала.
Определить ФЧ можно двумя принципиально разными способами:
- во-первых, посредством параллельных проходов чувствительной зоны с интервалом 0,7... 1 м. Величина интервала определяется габаритами и точностью движения человека поперек к линии кабеля;
- во-вторых, выполняется один проход вдоль линии кабеля, непосредственно под излучающим кабелем. Проведение многократных поперечных проходов одного человека через 0,7 м на участке длиной 125 м - чрезвычайно трудоемкое дело. В самом деле, измерение значений ФЧ в 179 точках потребует проведения от 4500 до 6000 пересечений рубежа. За время проведения такой серии экспериментов из-за влияния климатометеорологических факторов значения параметров сигналов существенно изменятся, что обесценит результаты проделанной работы.
Для другого способа неточность траектории передвижения человека вдоль кабеля и, в равной мере, невозможность точного определения линии закладки приемного кабеля могут привести к значительным систематическим ошибкам в определении ФЧ при продольном проходе. Поэтому для постановки эксперимента была разработана и обоснована методика проведения записи сигналов при продольном проходе.
Визуальный анализ пространственного спектра Фурье ФЧ показывает наличие двух ярко выраженных гармонических составляющих с периодами 14...17 и 1,5...2,5 м, характерных для любых частот зондирующего сигнала. Возникает важный вопрос: являются ли обнаруженные пространственные гармоники одинаковыми для всех частот сигнала? Если пространственные частоты не одинаковы, то можно компенсировать неоднородности за счет использования нескольких специально подобранных зондирующих частот.
Таким образом, можно сделать вывод о том, что ФЧ описывается выражением вида:

где
а и b
- постоянные, определяющие амплитуды
пространственных гармоник; f
- частота зондирующего сигнала;
-
коэффициенты, определяющие зависимость
периода пространственной гармоники от
частоты зондирующего сигнала;
-
постоянные, определяющие взаимное
расположение пространственных гармоник.
Важной задачей является оценка значений приведенных выше коэффициентов, их зависимости от состояния подстилающей поверхности и скорость изменения.
Полученные данные о значении периодов пространственных гармоник 14...17 и 1,5...2,5 м относятся к мокрому торфяному грунту. При подсыхании грунта значения периодов пространственных частот увеличиваются на 10... 15%. С учетом того, что мокрый торфяник имеет наибольшую диэлектрическую проницаемость по сравнению с другими грунтами, можно предположить, что полученные значения периодов пространственных частот являются нижними пределами их изменений.